Производство молока
Содержание
Введение
1. Теоретическое обоснование темы
1.1 Польза и вред молока
1.2 Химические свойства молока
1.3 Бактерицидные свойства молока
1.4 Физические свойства молока
1.5 Органолептические свойства молока
1.6 Минеральные вещества молока
2. Статистическая сводка и группировка
3. Статистический анализ ряда динамики
3.1 Анализ интенсивности изменения во времени
3.2 Выявление тенденции развития ряда динамики
3.3 Выявление тенденции развития в рядах динамики с использованием
ППП Excel
3.4 Отбор функции в качестве тренда
3.5 Расчет показателей колеблемости
3.6 Прогнозирование
4. Анализ структурных различий
5. Корелляционно-регресионный анализ
Заключение
Библиографический список
риложение
Введение
Молоко - полноценный продукт питания. В молоке содержится
более 120 различных компонентов, в том числе 20 аминокислот, 64 жирные кислоты,
40 минеральных веществ, 15 витаминов, десятки ферментов и т.д.
Энергетическая ценность 1 л сырого молока составляет 2797
кДж. Один литр молока удовлетворяет суточную потребность взрослого человека в
жире, кальции, фосфоре, на 53% - потребность в белке, на 35% - в витаминах А, С
и тиамине, на 26% - в энергии.
Экономический кризис в России и снижение производства привели
к значительному снижению потребления молока и молочных продуктов населением.
Так, потребление молока и молочных продуктов в расчете на душу населения с
учетом всех источников поступления, включая импорт, снизилось в 1998 г. по
сравнению с 1990 г. на 174 кг, или на 44%.
По данным федерального Минсельхоза, в 2003 году
рентабельность молочного животноводства составила в России 0,3% (для сравнения: в 1999 году - 15%). В
то же время в Тюменской области этот показатель достигает 40%, а в Вологодской
приближается к 13%. Если бы не успешные в молочном отношении регионы, доходность
отрасли была бы отрицательной.
Такое положение явилось следствием, как сокращения поголовья,
так и значительного спада продуктивности скота. Средний удой за эти годы
снизился на 24.4%. Практикой
мирового и отечественного скотоводства доказано, что доходность современного
молочного хозяйства напрямую связана с удоем коров. Вследствие этого
животноводы стран с развитым молочным скотоводством разными зоотехническими
приемами добиваются роста их продуктивности. При этом количество молочных
коров, как правило, сокращается, при увеличении объема производства молока.
Известно, что высокопродуктивная корова - это соответствующий уровень культуры
производства и меньший расход кормов на каждый кг молока, жизнеспособный
приплод, здоровая окружающая среда. Для того, чтобы безубыточно содержать стадо
коров, следует освобождаться от всех непригодных к использованию животных.
Характерно, что в некоторых хозяйствах лучшие показатели увеличения
производства молока, повышение продуктивности коров и снижение затрат на
единицу молочной продукции достигнуты в результате сокращения поголовья коров.
Не требует доказательства, по-видимому, очевидный факт: эффективнее содержать
одну корову с высоким удоем, нежели 2-3 с низким. Производство мясных и
молочных продуктов является одним из основных источников удовлетворения
потребностей населения в высокобелковых продуктах питания. Снижение объемов
производства молочной продукции вызвано прежде всего незаинтересованностью
товаропроизводителей в развитии отрасли, роста неплатежей, ухудшение
обеспеченности кормами и другими материально-техническими ресурсами.
Разработанный на перспективу прогноз развития отраслей животноводства, намечает
стабилизацию численности поголовья скота и некоторый рост его продуктивности.
На основе внедрения интенсивных технологий и государственной поддержки отрасли
предполагает существенно повысить продуктивность животных и увеличить
производство товарной продукции. В ближайшем будущем предполагается перейти на
наиболее эффективные, ресурсосберегающие технологии производства молока,
позволяющее повысить продуктивность. Одним из важных направлений стабилизации и
дальнейшего развития отрасли является переход к высокотоварному производству на
основе дифференцированного государственного и регионального финансирования
сельскохозяйственных товаропроизводителей.
Актуальность темы:
Полноценное питание населения является одной из самых важных
факторов сохранения здоровья. Самыми полноценными продуктами питания считаются
продукты животного происхождения, в том числе молоко и молочные продукты.
Естественное назначение молока в природе заключается в обеспечении питанием
молодого организма после рождения. Состав молока различных млекопитающих в
целом определяется теми условиями окружающей среды, в которых происходит рост молодого
организма. Это особенно четко проявляется в содержании белка и жира - чем
больше их в молоке матери, тем быстрее растет ее дитя.
Особое значение молоко и молочные продукты имеют в питании
детей и людей пожилого возраста. Это связано с тем, что питательные вещества
молока являются наиболее доступными и легко перевариваемыми веществами для
организма.
Питательность 1 литра молока составляет 685 ккал.
Калорийность зависит главным образом, от содержания жира, белка. Благодаря
содержанию в молоке важнейших питательных веществ, главным образом белка,
углеводов, витаминов, минеральных веществ, оно является и защитным фактором. В
целях охраны здоровья на предприятиях, где существуют вредные условия труда,
работники получают молоко.
По научно-обоснованным нормам питания рекомендовано, чтобы 30
- 40% калорийности организма в питательных веществах должно приходиться на
молоко и молочные продукты, что составляет около 1,5 литров молока на человека
в день (в пересчете на молоко).
Молочный белок является важным защитным фактором, так как он
в силу своей природы связывает пары кислот и щёлочей, а также нейтрализует
ядовитые желтые металлы (следы) и другие вредные для здоровья вещества.
Благодаря содержанию в молоке кальция, фосфора, витаминов предотвращается
развитие авитаминозов.
Молоко является прекрасным продуктом питания и сырьем для
молочной промышленности только в том случае, если в нем содержится нормальное
количество питательных веществ и органолептическим и санитарно-гигиеническим
показателям соответствует требованиям стандартов.
молоко надой динамика ряд
Молоко служит и как сырье для получения отдельных компонентов
молока, которые, в свою очередь, служат сырьем для фармакологии и других
отраслей промышленности, в частности лактозы, казеинаты, казециты.
Все возрастающее значение молока как полноценного продукта
питания и как сырьевого материала привело к увеличению спроса на него. В
результате этого производство молока стало одной из важнейших отраслей
сельхозпроизводства. В настоящее время молоко составляет значительную долю в
сельскохозяйственном валовом продукте нашей страны.
Сырое молоко - это полученный в результате регулярного,
полного выдаивания вымени у одной или более коров от одного или нескольких
доений чистый и затем охлажденный продукт, из которого ничто не удалено и к
которому ничего не добавлено.
Специфические особенности молока резко выделяют его из других
продуктов сельского хозяйства: молоко во всех хозяйствах получают в течение
круглого года, что нельзя сказать о других продуктах сельскохозяйственного
производства.
В то же время быстрая порча молока вызывает необходимость
перерабатывать его в кратчайший срок после получения.
Уровень потребления молока и молочных продуктов на душу
населения рассматривается как один из факторов благосостояния народа в каждой
стране. Производство молока в мире составляет примерно 97 кг в год, в нашей
стране производится около 171 кг, когда рекомендуемая норма составляет 370 кг.
В последние годы из-за повышенного спроса молочных продуктов
ставятся задачи перед работниками агрокомплекса в увеличение объемов
производства высококачественного молока. В последние годы получаемая основная
масса товарного молока производится в частном секторе агропромышленного
комплекса республики, поэтому очень важно изучить качественные показатели
данной продукции.
Цели темы:
разделение изучаемого общественного явления на однородные в
качественном отношении группы по ряду существенных признаков.
выявить основную тенденцию развития динамики исследуемого
явления с использованием пакетов прикладной программы "EXCEL" и выполнить
прогноз на перспективу.
Для анализа надоя молока на одну корову были применены
следующие методы: анализ структуры и динамики, корреляционно-регрессионный
анализ, и прогнозирование. Структура - это совокупность устойчивых связей и
отношений объекта, обеспечивающих его целостность и тождественность самому
себе, т.е. сохранение основных свойств при различных внешних и внутренних
изменениях. Процесс развития, движения социально-экономических явлений во
времени в статистике принято называть динамикой. Корреляционная связь (от англ.
corelation - соответствие) является частным случаем статистической связи, при
которой изменение среднего значения результативного признака обусловлено
изменением значений факторного признака (парная корреляция) или множества
факторных признаков (множественная корреляция).
1.
Теоретическое обоснование темы
1.1 Польза и
вред молока
С раннего детства бабушки и дедушки, мамы и папы внушали нам,
что молоко очень полезно. Однако на данный момент существуют мнения о том, что
взрослым молоко пить нельзя, что оно вызывает желудочно-кишечные расстройства и
плохо влияет на сердце. В этой статье мы попытаемся выяснить, что является
правдой, а что, лишь беспочвенные домыслы.
Вообще, молоко - это незаменимый продукт питания, один из
основных источников важных микроэлементов, фосфора и кальция, благодаря которым
наши зубки и кости можно сохранить крепкими и здоровыми. Более того, фосфор и
кальций являются "строителями" клеток головного мозга. Также в молоке
содержатся витамины А, В, D, E. Кроме того, молоко помогает устранить головную
боль, т.к. некоторые "молочные вещества" снижают спазмы и болевую
чувствительность. Так что не беритесь принимать таблетки, лучше выпейте стакан
тёплого молока.
Новозеландские учёные выдвинули теорию о том, что один из
белков, содержащийся в молоке, казеин, оказывает отрицательное влияние на
стенки артерий. Однако это была лишь недоказуемая гипотеза. Напротив,
российские диетологи и медики считают, что молоко и молочные продукты нужно употреблять
людям, страдающим сердечнососудистыми заболеваниями. Благодаря тому, что в
молоке содержится калий, он способен укрепить стенки сосудов и улучшить работу
сердца, а также понизить артериальное давление. Поэтому молочные продукты в
особенности рекомендуются гипертоникам.
Но, почему же тогда молоко при всех его положительных
свойствах некоторые считают вредным? По этому поводу существуют несколько
мифов. Давайте разберёмся в них и докопаемся до правды, ведь многие мифы вовсе
не являются таковыми.
Миф 1. Из-за того, что молочный сахар плохо усваивается
организмом, употребление молока приводит к диарее, вздутию живота и
желудочно-кишечным расстройствам. Да, это происходит. Но только у тех людей, у
которых это обусловлено генетически, а именно у жителей Африки, Азии, Южной
Америки и Европы. Лактоза (молочный сахар) полностью переваривается у
большинства жителей Белоруссии, России и Северной Европы вне зависимости от
возраста. Поэтому молоко в нашей стране - довольно популярный продукт. Однако
если вы попали в ту категорию людей, у которых плохо усваивается лактоза, не
отчаивайтесь, всё поправимо. Вам надо привыкать к молоку не сразу, а
постепенно, например, добавляя его немного в кофе, чай, каши. А самый простой
способ - это перейти на кисломолочные продукты - кефир, ряженку, йогурты,
простоквашу.
Миф 2. От молока полнеют. Это может сойти за правду, смотря с
какой стороны подойти к этому вопросу. Действительно, люди могут поправиться от
жира, который содержится в молоке. Конечно, если покупать молоко, где на пакете
или коробке будет написано 6%, то оно принесёт вам немного лишнего веса, при
этом особой пользы от него вы не заметите. Поэтому лучше покупать молоко с
содержанием жира 1.5-2.5 %. Если вы всегда употребляли этот продукт с высоким
содержанием жира, вам надо просто постараться привыкнуть к вкусу 1.5% молока.
Зато потом, вы уже не захотите пить молоко более жирное, тем более от этого
можно долго просидеть в уборной.
Миф 3. Молоко вызывает аллергию. Да, у некоторых людей такое
бывает. Это может проявляться тошнотой, рвотой, появлением красных пятен на
теле и т.д. Таким людям придётся исключить молоко из своего рациона навсегда.
Однако ярко выраженная аллергия встречается крайне редко. Именно из-за боязни
развития аллергии у малышей, врачи советуют будущим мамам сократить
употребление молока до минимума, заменив его на кефирчик, йогурты и ряженку.
1.2
Химические свойства молока
Кислотность. Буферность. Окислительно-восстановительный
потенциал.
Кислотность - показатель свежести молока,
один из основных критериев оценки его качества. В молоке определяют титруемую и
активную кислотность.
Активная кислотность определяется
концентрацией свободных ионов водорода и выражается водородным показателем -
отрицательный логарифм концентрации свободных ионов водорода, находящихся в
растворе, выражается в единицах рН.
Активная кислотность определяется
потенциометрическим методом на рН-метре. В нейтральной среде рН=7. В свежем
молоке рН = 6,68, то есть молоко имеет слабокислую среду.
Молоко имеет слабокислую среду, так как в
нём присутствуют соли (фосфорнокислых и лимоннокислых), белки и углекислый газ.
Титруемая кислотность измеряется в
градусах Тернера (°Т). В соответствии с ГОСТ 3624 титруемая кислотность
показывает количество кубических сантиметров децинормального (0,1 N) раствора
щёлочи, пошедших на нейтрализацию 100 см³ молока или 100 г
продукта с двойным объёмом дистиллированной воды в присутствии индикатора
фенолфталеина. Момент окончания титрования - это появление слабо-розового
окрашивания, которое не исчезает в течение 1 минуты. Титруемая кислотность
свежевыдоенного молока = 16-18°Т, допустимое значение для нормального молока
15,99-20,99°Т.
В западных странах используют другие
единицы измерения титруемой кислотности:
градусы Соксклета-Хенкеля (°SH) -
Германия, Чехия, Польша, Словакия. При определении этой кислотности используют
щёлочь 0,25N.
градусы Дорника (°D) - Голландия,
используют щёлочь 0,09N.
в процентах молочной кислоты (% молочной
кислоты) - США, Куба.
°SH = 2,25°D = 2,5°T = 0,0225 % молочной
кислоты
Буферность
Буферные системы обладают способностью
поддерживать постоянный рН среды при добавлении кислот и щелочей. Они состоят
из слабой кислоты и её соли, образованной сильным основанием, или из смеси двух
кислых солей слабой кислоты. Чем выше в молоке буферных свойств, тем больше
потребуется кислоты или щёлочи для изменения его рН. Количество кислоты,
которое необходимо добавить к 100 см³ молока, чтобы изменить
его рН на единицу, называется буферной ёмкостью молока.
Окислительно-восстановительный потенциал -
это способность составных веществ молока присоединять или терять электроны.
Молоко содержит химические соединения, способные легко окисляться и
восстанавливаться: витамин С, витамин Е, витамин В, аминокислоту цистеин,
кислород, ферменты. Окислительно-восстановительный потенциал молока
обозначается Е и равен 0,25÷0,35 В. Е определяют
потенциометрическим методом. Факторы, влияющие на изменение Е:
· Нагревание молока
уменьшает Е
· Наличие металлов резко
повышает Е
· Наличие микроорганизмов
повышает Е
Окислительно-восстановительный потенциал
молока служит косвенным методом определения бактериальной обсеменённости
молока.
1.3
Бактерицидные свойства молока
В молоке после дойки содержатся
микроорганизмы, количество которых в течение 2 часов не только не увеличивается,
но и понижается. Способность молока подавлять действие микроорганизмов
называется бактерицидными свойствами, а период времени, в течение которого в
молоке проявляются бактерицидные свойства называется бактерицидной фазой.
Бактерицидные свойства молока обусловлены наличием в нём ферментов
(лизоцим
<#"662094.files/image001.gif">
Решение.
а) Решение задачи начнем с проверки исходной информации на
однородность, для этого определим показатели описательной статистики (таблица
2.2).
Таблица 2.2 Описательная статистика
|
Среднее
|
4162,50
|
|
Стандартная
ошибка
|
192,14
|
|
Медиана
|
4019,50
|
|
Мода
|
5680,00
|
|
Стандартное
отклонение
|
815,18
|
|
Дисперсия
выборки
|
664521,56
|
|
Эксцесс
|
-0,26
|
|
Асимметричность
|
0,50
|
|
Интервал
|
2805,00
|
|
Минимум
|
2875,00
|
|
Максимум
|
5680,00
|
|
Сумма
|
74925,00
|
|
Счет
|
18,00
|
Среднее значение надоя молока на 1 корову составляет 4162,5
кг, медиана - 4019,5 кг, мода - 5680 кг; дисперсия - 664521,56, среднее
квадратическое отклонение - 815,18 кг, изучаемая совокупность регионов по надою
молока неоднородная. Показатель асимметрии - 0,50, следовательно,
обнаруживается правосторонняя асимметрия; эксцесса - 0,26. Максимальное и
минимальное значения соответственно равны 5680 и 2875 кг, размах варьирования -
2805 кг.
Группировку начнем с изучения характера изменения
группировочного признака, для этого построим ранжированный ряд распределения
регионов по надою молока (таблица 2.3) и изобразим графически в виде Огивы
Гальтона (рисунок 2.1).
Таблица 2.3 Ранжированный ряд распределения регионов по надою
молока
|
№
|
Регионы
|
Надой молока на
1 корову, кг.
|
|
1
|
Брянская
область
|
2875
|
|
2
|
Тверская
область
|
3083
|
|
3
|
Смоленская
область
|
3251
|
|
4
|
Костромская
область
|
3479
|
|
5
|
Курская область
|
3675
|
|
6
|
Тамбовская
область
|
3676
|
|
7
|
Ярославская
область
|
3915
|
|
8
|
Ивановская
область
|
3959
|
|
9
|
Орловская
область
|
4007
|
|
10
|
Тульская
область
|
4032
|
|
11
|
Воронежская
область
|
4264
|
|
12
|
Калужская
область
|
4324
|
|
13
|
Липецкая
область
|
4433
|
|
14
|
Рязанская
область
|
4453
|
|
15
|
Белгородская
область
|
4832
|
|
16
|
Владимирская
область
|
5307
|
|
17
|
Московская
область
|
5680
|
|
18
|
г. Москва
|
5680
|
По графику ранжированного ряда определим величину равного или
неравного интервала.
Величина равного интервала группировки определяется по
формуле:
Рассчитаем интервалы группировки с равными интервалами:
+938=3813 кг
+938=4751 кг
+938=5689 кг
Полученный ряд распределения представим в виде таблицы (таблица
2.4).
Рисунок 2.1 Распределение регионов РФ по надою молока
Таблица 2.4 Интервальный ряд распределения регионов РФ по
надою молока
|
№ группы
|
Группы регионов
РФ по надою молока
|
Число регионов
|
|
I
|
2875 - 3813
|
6
|
|
II
|
3813 - 4751
|
8
|
|
III
|
4751 - 5689
|
4
|
|
Итого
|
|
18
|
Интервальный ряд распределения регионов РФ по надою молока с
равными интервалами имеет неравномерное распределение по числу регионов в
каждой группе.
Поэтому сгруппируем регионы в группы с равнонаполненными
интервалами (таблица 2.5) или в группы с интервалами с открытыми границами по
следующей схеме (таблица 2.6).
Таблица 2.5 Интервальный ряд распределения регионов РФ по
надою молока
|
№ группы
|
Группы регионов
РФ по надою молока
|
Число регионов
|
|
I
|
2875 - 3813
|
6
|
|
II
|
3813 - 4360
|
6
|
|
III
|
4360 - 5689
|
6
|
|
Итого
|
|
18
|
Таблица 2.6 Интервальный ряд распределения регионов РФ по
надою молока
|
№ группы
|
Группы регионов
РФ по надою молока
|
Число регионов
|
|
I
|
до 3480
|
4
|
|
II
|
3480 - 4100
|
6
|
|
III
|
4100 - 4835
|
5
|
|
IV
|
свыше 4835
|
3
|
|
Итого
|
|
18
|
К первой группе относятся регионы с низким показателем надоя
молока. Ко второй - третьей группе относятся регионы со средним показателем
надоя молока. К последней группе - регионы с максимальным показателем надоя
молока.
Полученный ряд распределения представим в виде гистограммы
(рисунок 2.2), где по оси абсцисс нанесем границы интервалов, а по оси ординат
- численность групп.
Рисунок 2.2 Гистограмма распределения регионов по надою молока
б) Для установления связи между факторным (потребление молока и
молочных продуктов на душу населения) и результативным (надой молока на 1
корову) признаками по каждой группе рассчитаем средние значения этих признаков.
По обобщенным данным определяем направление связи между признаками
(прямая или обратная).
Составим рабочую таблицу, которая необходима для расчета среднего
значения потребления молока и молочных продуктов на душу населения и среднего
надоя молока на 1 корову (таблица 2.7).
Таблица 2.7 и 2.9 (Приложение Е.1, Ё.1)
Составим сводную таблицу (таблица 2.8), для расчета средних
показателей воспользуемся формулой средней арифметической взвешенной.
,
Средний надой молока = надой молока по группе / поголовье коров по
группе;
Среднее потребление молока= потребление молока по группе/
поголовье коров по группе
Таблица 2.8 Группировка регионов по потреблению молока и
молочных продуктов на душу населения
|
№ группы
|
Группы регионов
РФ по надою молока
|
Число регионов
|
Средние
значения по группам
|
|
|
|
Надой молока на
1 корову
|
Потребление
молока и молочных продуктов на душу населения
|
|
I
|
2875 - 3813
|
6
|
46,65
|
2,46
|
|
II
|
3813 - 4751
|
8
|
51,29
|
2,86
|
|
III
|
4751 - 5689
|
4
|
47,67
|
2,66
|
|
Итого
|
|
18
|
48,54
|
2,66
|
Выявлена прямая зависимость объема потребления молока и
молочных продуктов на душу населения от надоя молока на 1 корову. Чем больше
надой молока, тем больше потребление молока и молочных продуктов на душу
населения.
в) Рассчитаем показатели вариации по полученным данным
(таблица 2.9 и 2.10).
Таблица 2.9 Расчет показателей вариации
|
Наименование
показателя
|
Формула расчета
|
Значение
|
|
Размах вариации
|
R=xmax-xmin
|
2805,00
|
|
Среднее
линейное отклонение
|
2,02
|
|
|
Дисперсия
|
4,61
|
|
|
Среднее
квадратическое отклонение
|
2,15
|
|
|
Коэффициент
осцилляции
|
5779,11
|
|
|
Линейный
коэффициент вариации
|
4,16
|
|
|
Коэффициент
вариации
|
4,43
|
|
Размах варьирования надоя молока составляет 2805,00 кг, при
среднем линейном отклонении - 17566,72 кг и среднем квадратическом отклонении -
22496,04 кг, размах варьирования составляет 11,23% от среднего значения,
коэффициент вариации - 90,07%.
г) С вероятностью 0,954 определим ошибку выборки среднего
надоя молока и границы среднего надоя молока в генеральной совокупности.
Обозначим N - число
регионов в Российской Федерации, N=80,
=24975, σВ=22496,04, п=18, t=2. По формулам
определим ошибку выборки среднего надоя молока и границы среднего надоя молока
в генеральной совокупности.
кг
С вероятностью 0,954 можно утверждать, что в регионах Российской
Федерации средний надой молока заключается в пределах от 15291,4 до 34658,6 кг.
3.
Статистический анализ ряда динамики
Для исследования интенсивности изменения явления во времени
рассчитаем показатели ряда динамики надоя молока на одну корову в 2000-2009
гг.: рассчитала показатели ряда динамики по годам и среднегодовые; выполнила аналитическое
выравнивание в Excel по пяти функциям (линейной, логарифмической, полимиальной,
степенной, экспоненциальной); отобрала по максимальному функцию в качестве
тренда, рассчитала показатели колеблемости; сделала точечный прогноз надоя
молока на одну корову, определила вероятные интервалы прогнозов тренда, уровня
надоя молока на одну корову.
3.1 Анализ
интенсивности изменения во времени
Для исследования интенсивности изменения явления во времени
рассчитываются показатели ряда динамики надоя молока на одну корову в ЦФО.
Таблица 3.1 Показатели ряда динамики
|
Годы
|
Надой молока на
1 корову, кг
|
Абсолютный
прирост, кг
|
Темп прироста,%
|
Темп прироста,%
|
Абсолютное
содержание 1% прироста, кг П
|
|
|
Δбаз
|
Δцеп
|
ТР баз
|
Тр цеп
|
Тпр баз
|
Тпр цеп
|
|
|
2000
|
3933
|
-
|
-
|
-
|
-
|
-
|
-
|
-
|
|
2001
|
4201
|
268
|
268
|
106,8
|
106,8
|
3978,6
|
6,8
|
39,3
|
|
2002
|
4455
|
522
|
254
|
113,3
|
106,0
|
4225,2
|
6,0
|
42,0
|
|
2003
|
4888
|
955
|
433
|
124,3
|
109,7
|
4645,6
|
9,7
|
44,6
|
|
2004
|
5131
|
1198
|
243
|
105,0
|
4881,6
|
5,0
|
48,9
|
|
2005
|
5317
|
1384
|
186
|
135,2
|
103,6
|
5062,1
|
3,6
|
51,3
|
|
2006
|
5712
|
1779
|
395
|
145,2
|
107,4
|
5445,6
|
7,4
|
53,2
|
|
2007
|
5749
|
1816
|
37
|
146,2
|
100,6
|
5481,6
|
0,6
|
57,1
|
|
2008
|
5923
|
1990
|
174
|
150,6
|
103,0
|
5650,5
|
3,0
|
57,5
|
|
2009
|
5809
|
1876
|
-114
|
147,7
|
98,1
|
5539,8
|
-1,9
|
59,2
|
|
В среднем
|
5111,8
|
208,4
|
208,4
|
104,4
|
104,4
|
4,4
|
4,4
|
-
|
1. Средний абсолютный прирост:
тыс,
кг
К=n-1,
где К - количество цепных абсолютных приростов,
n - количество уровней ряда,
. Средний коэффициент роста:
=
;
К=n-1, где К - количество цепных
коэффициентов роста
Средний темп роста:
4 Средний темп прироста:
5 Средний уровень ряда динамики:
3.2
Выявление тенденции развития ряда динамики
Таблица 3.2 Выравнивание ряда динамики методом укрупнения
периодов
|
Годы
|
Надой молока на
одну корову, кг
|
Период
|
Сумма
|
Средние
|
|
2000
|
3933
|
|
|
|
|
2001
|
4201
|
2000-2002
|
12589
|
4196,3
|
|
2002
|
4455
|
|
|
|
|
2003
|
4888
|
|
|
|
|
2004
|
5131
|
2003-2005
|
15336
|
5112,0
|
|
2005
|
5317
|
|
|
|
|
2006
|
5712
|
|
|
|
|
2007
|
5749
|
2006-2008
|
17384
|
5794,7
|
|
2008
|
5923
|
|
|
|
|
2009
|
5809
|
|
|
|
Рисунок 3.1 Выравнивание ряда динамики методом укрупнения периодов
Методом укрупнения периодов за 2000 - 2009 годы выявлена тенденция
увеличения надоя молока на одну корову
Таблица 3.3 Выравнивание ряда динамики методом скользящей
средней
|
Годы
|
Надой молока на
одну корову, кг
|
Период
|
Сумма
|
Средние
|
|
2000
|
3933
|
-
|
-
|
#Н/Д
|
|
2001
|
4201
|
2000-2002
|
12589
|
#Н/Д
|
|
2002
|
4455
|
2001-2003
|
13544
|
4196,3
|
|
2003
|
4888
|
2002-2004
|
14474
|
4514,7
|
|
2004
|
5131
|
2003-2005
|
15336
|
4824,7
|
|
2005
|
5317
|
2004-2006
|
16160
|
5112,0
|
|
2006
|
5712
|
2005-2007
|
16778
|
5386,7
|
|
2007
|
5749
|
2006-2008
|
17384
|
5592,7
|
|
2008
|
5923
|
2007-2009
|
17481
|
5794,7
|
|
2009
|
5809
|
-
|
-
|
5827,0
|
Рисунок 3.2 Выравнивание ряда динамики методом скользящей средней
Методом скользящей средней выявлена тенденция увеличения надоя
молока на одну корову кроме 2009 года, в котором произошло незначительное
уменьшение надоя молока на одну корову.
Таблица 3.4 Выравнивание ряда динамики по среднему
абсолютному приросту и среднему коэффициенту роста
|
Годы
|
Надой молока на
одну корову, кг
|
Порядковый
номер года, t
|
Yt=3933+208,4*
(t-1)
|
Yt = 3933*1,044
(t-1)
|
|
2000
|
3933
|
1
|
3933
|
3933
|
|
2001
|
4201
|
2
|
4141,4
|
4106,05
|
|
2002
|
4455
|
3
|
4349,8
|
4286,72
|
|
2003
|
4888
|
4
|
4558,2
|
4475,33
|
|
2004
|
5131
|
5
|
4766,6
|
4672,25
|
|
2005
|
5317
|
6
|
4975
|
4877,83
|
|
2006
|
5712
|
7
|
5183,4
|
5092,45
|
|
2007
|
5749
|
8
|
5391,8
|
5316,52
|
|
2008
|
5923
|
9
|
5600,2
|
5550,45
|
|
2009
|
5809
|
10
|
5808,6
|
5794,67
|
Рисунок 3.3 Выравнивание ряда динамики по среднему абсолютному
приросту и среднему коэффициенту роста
Таблица 3.4 и рисунок 3.3 показывают, что методом выравнивания
ряда динамики по среднему абсолютному приросту с 2000 по 2009 годы выявлена
тенденция увеличения надоя молока на одну корову, причем ежегодно в среднем на
208,4 кг.
Методом выравнивания ряда динамики по среднему коэффициенту роста
за исследуемый период выявлена тенденция увеличения надоя молока на одну корову
ежегодно в средне в 1,044 раза или на 104,4%.
Таблица 3.5 Выравнивание ряда динамики аналитическим методом
по уравнению прямой
|
Годы
|
Надой молока на
одну корову, кг
|
Отклонение от
центрального года t
|
t2
|
y*t
|
Yt=5111,8+259,11*t
|
|
2000
|
3933
|
-4
|
16
|
-15732
|
4075,36
|
|
2001
|
4201
|
-3
|
9
|
-12603
|
4334,47
|
|
2002
|
4455
|
-2
|
4
|
-8910
|
4593,58
|
|
2003
|
4888
|
-1
|
1
|
-4888
|
4852,69
|
|
2004
|
5131
|
0
|
0
|
0
|
5111,80
|
|
2005
|
5317
|
1
|
1
|
5317
|
5370,91
|
|
2006
|
5712
|
2
|
4
|
11424
|
5630,02
|
|
2007
|
5749
|
3
|
9
|
17247
|
5889,13
|
|
2008
|
5923
|
4
|
16
|
23692
|
6148,24
|
|
2009
|
5809
|
-
|
-
|
-
|
-
|
|
Итого:
|
51118
|
0
|
60
|
15547
|
46006, 20
|
Рисунок 3.4 Выравнивание ряда динамики аналитическим методом по
уравнению прямой
Аналитическим методом по уравнению прямой выявлена тенденция роста
надоя молока на одну корову в среднем ежегодно на 259,11 кг.
3.3 Выявление
тенденции развития в рядах динамики с использованием ППП Excel
Таблица 3.6 Выравнивание ряда динамики аналитическим методом
по линейной функции
|
Годы
|
Надой молока на
одну корову, кг
|
Порядковый
номер года t
|
Линейная
функция
|
|
|
|
Yt
|
Yi - Yt
|
(Yi - Yt)
2
|
|
2000
|
3933
|
1
|
4073,60
|
-140,60
|
19768,36
|
|
2001
|
4201
|
2
|
4304,30
|
-103,30
|
10670,89
|
4455
|
3
|
4535,00
|
-80,00
|
6400,00
|
|
2003
|
4888
|
4
|
4765,70
|
122,30
|
14957,29
|
|
2004
|
5131
|
5
|
4996,40
|
134,60
|
18117,16
|
|
2005
|
5317
|
6
|
5227,10
|
89,90
|
8082,01
|
|
2006
|
5712
|
7
|
5457,80
|
254, 20
|
64617,64
|
|
2007
|
5749
|
8
|
5688,50
|
60,50
|
3660,25
|
|
2008
|
5923
|
9
|
5919, 20
|
3,80
|
14,44
|
|
2009
|
5809
|
10
|
6149,90
|
-340,90
|
116212,81
|
|
2010
|
х
|
11
|
6380,60
|
х
|
х
|
|
2011
|
х
|
12
|
6611,30
|
х
|
х
|
|
Итого:
|
51118
|
х
|
х
|
0,50
|
262500,85
|
Рисунок 3.5 Выравнивание ряда динамики аналитическим методом по
линейной функции
Аналитическим методом выравнивания ряда динамики по линейной
функции выявлена тенденция увеличения надоя молока на одну корову в ЦФО.
Таблица 3.7 Выравнивание ряда динамики аналитическим методом
по логарифмической функции
|
Годы
|
Надой молока на
одну корову, кг
|
Порядковый
номер года t
|
Логарифмическая
функция
|
|
|
|
Yt
|
Yi - Yt
|
(Yi - Yt)
2
|
|
2000
|
3933
|
1
|
3670,00
|
263,00
|
69169,00
|
|
2001
|
4201
|
2
|
4331,64
|
-130,64
|
17067,76
|
|
2002
|
4455
|
3
|
4718,68
|
-263,68
|
69527,33
|
|
2003
|
4888
|
4
|
4993,29
|
-105,29
|
11085,41
|
|
2004
|
5131
|
5
|
5206,29
|
-75,29
|
5668,43
|
|
2005
|
5317
|
6
|
5380,32
|
-63,32
|
4009,93
|
|
2006
|
5712
|
7
|
5527,47
|
184,53
|
34051,86
|
|
2007
|
5749
|
8
|
5654,93
|
94,07
|
8848,99
|
|
2008
|
5923
|
9
|
5767,36
|
155,64
|
24223,59
|
|
2009
|
5809
|
10
|
5867,93
|
-58,93
|
3473,05
|
|
2010
|
х
|
11
|
5958,91
|
х
|
х
|
|
2011
|
х
|
12
|
6041,97
|
х
|
х
|
|
Итого:
|
51118
|
х
|
х
|
0,08
|
247125,35
|
Рисунок 3.6 Выравнивание ряда динамики аналитическим методом по
логарифмической функции
Аналитическим методом выравнивания ряда динамики по
логарифмической функции выявлена тенденция увеличения надоя молока на одну корову
в ЦФО.
Таблица 3.8 Выравнивание ряда динамики аналитическим методом
по полиномиальной функции
|
Годы
|
Надой молока на
одну корову, кг
|
Порядковый
номер года t
|
Полиномиальная
функция
|
|
|
|
Yt
|
Yi - Yt
|
(Yi - Yt)
2
|
|
2000
|
3933
|
1
|
3842,04
|
90,96
|
8274,27
|
|
2001
|
4201
|
2
|
4227,17
|
-26,17
|
684,76
|
|
2002
|
4455
|
3
|
4573,69
|
-118,69
|
14088,03
|
|
2003
|
4888
|
4
|
4881,61
|
6,39
|
40,81
|
|
2004
|
5131
|
5
|
5150,93
|
-19,93
|
397,01
|
|
2005
|
5317
|
6
|
5381,63
|
-64,63
|
4177,30
|
|
2006
|
5712
|
7
|
5573,73
|
138,27
|
19117,76
|
|
2007
|
5749
|
8
|
5727,23
|
21,77
|
474,02
|
|
2008
|
5923
|
9
|
5842,12
|
80,88
|
6542,06
|
|
2009
|
5809
|
10
|
5918,40
|
-109,40
|
11968,36
|
|
2010
|
х
|
11
|
5956,08
|
х
|
х
|
|
2011
|
х
|
12
|
5955,15
|
х
|
х
|
|
Итого:
|
51118
|
х
|
х
|
-0,55
|
65764,37
|
Рисунок 3.7 Выравнивание ряда динамики аналитическим методом по
полиномиальной функции
Аналитическим методом выравнивания ряда динамики по полиномиальной
функции выявлена тенденция увеличения надоя молока на одну корову в ЦФО.
Таблица 3.9 Выравнивание ряда динамики аналитическим методом
по степенной функции
|
Годы
|
Надой молока на
одну корову, кг
|
Порядковый
номер года t
|
Степенная
функция
|
|
|
|
Yt
|
Yi - Yt
|
(Yi - Yt)
2
|
|
2000
|
3933
|
1
|
3766,70
|
166,30
|
27655,69
|
|
2001
|
4201
|
2
|
4314,82
|
-113,82
|
12955,51
|
|
2002
|
4455
|
3
|
4671,72
|
-216,72
|
46967,52
|
|
2003
|
4888
|
4
|
4942,71
|
-54,71
|
2992,76
|
|
2004
|
5131
|
5
|
5163,68
|
-32,68
|
1067,85
|
|
2005
|
5317
|
6
|
5351,54
|
-34,54
|
1192,93
|
|
2006
|
5712
|
7
|
5515,70
|
196,30
|
38535,63
|
|
2007
|
5749
|
8
|
5661,96
|
87,04
|
7576,25
|
|
2008
|
5923
|
9
|
5794, 19
|
128,81
|
16592,59
|
|
2009
|
5809
|
10
|
5915,09
|
-106,09
|
11254,15
|
|
2010
|
х
|
11
|
6026,62
|
х
|
х
|
|
2011
|
х
|
12
|
6130,28
|
х
|
х
|
|
Итого:
|
51118
|
х
|
х
|
19,91
|
166790,89
|
Рисунок 3.8 Выравнивание ряда динамики аналитическим методом по
степенной функции
Аналитическим методом выравнивания ряда динамики по степенной
функции выявлена тенденция увеличения надоя молока на одну корову в ЦФО.
Таблица 3.10 Выравнивание ряда динамики аналитическим методом
по экспоненциальной функции
|
Годы
|
Надой молока на
одну корову, кг
|
Порядковый
номер года t
|
Экспонециальная
функция
|
|
|
|
Yt
|
Yi - Yt
|
(Yi - Yt)
2
|
|
2000
|
3933
|
1
|
4104,24
|
-171,24
|
29322,29
|
|
2001
|
2
|
4298,67
|
-97,67
|
9539,29
|
|
2002
|
4455
|
3
|
4502,31
|
-47,31
|
2238,43
|
|
2003
|
4888
|
4
|
4715,60
|
172,40
|
29721,08
|
|
2004
|
5131
|
5
|
4939,00
|
192,00
|
36865,46
|
|
2005
|
5317
|
6
|
5172,97
|
144,03
|
20743,67
|
|
2006
|
5712
|
7
|
5418,03
|
293,97
|
86415,51
|
|
2007
|
5749
|
8
|
5674,71
|
74,29
|
5519,64
|
|
2008
|
5923
|
9
|
5943,54
|
-20,54
|
421,73
|
|
2009
|
5809
|
10
|
6225,10
|
-416,10
|
173140,59
|
|
2010
|
х
|
11
|
6520,01
|
х
|
х
|
|
2011
|
х
|
12
|
6828,88
|
х
|
х
|
|
Итого:
|
51118
|
х
|
х
|
123,83
|
393927,69
|
Рисунок 3.9 Выравнивание ряда динамики аналитическим методом по
экспоненциальной функции
Аналитическим методом выравнивания ряда динамики по
экспоненциальной функции выявлена тенденция увеличения надоя молока на одну корову
в ЦФО.
.4 Отбор
функции в качестве тренда
Произведём отбор функции в качестве тренда используя F - критерий
Фишера при
=0.05.
1) Линейная функция:
=
Fтабл =130,5
>
, таким образом линейная функция считается
статистически значимой и существенной.
2) Логарифмическая функция:
=
Fтабл =
139,7
>
, таким образом логарифмическая функция
считается статистически значимой и существенной.
3) Полиномиальная функция:
=
F табл=180,6
>
, таким образом полиномиальная функция
функция считается статистически значимой и существенной.
4) Степенная функция:
=
Fтабл=198,9
>
, таким образом, степенная функция
считается статистически значимой и существенной.
5) Экспоненциальная функция:
=
Fтабл=96,9
>
, таким образом, экспоненциальная функция
считается статистически значимой и существенной. Так как по F-критерию Фишера все пять функций подходят для отображения
тенденции, то отберем наиболее адекватную функцию по наименьшему среднему
квадратическому отклонению остаточному. Отбор наиболее адекватной функции
проведем с помощью среднеквадратического отклонения:
1 Линейная функция:
2 Логарифмическая функция:
3 Полиномиальная функция:
4 Степенная функция:
5 Экспоненциальная функция:
Наиболее адекватной функцией будет - полиномиальная функция, так
как у нее среднеквадратическое отклонение наименьшее.
=-19.303
t2
+443,044*t+3418,3.
3.5 Расчет
показателей колеблемости
По отобранной функции в качестве тренда
определим показатели колеблемости и сделаем вывод о возможности
прогнозирования.
Размах колеблемости:
-
кг
2 Среднее абсолютное отклонение:

кг
Дисперсия колеблемости
=
Среднеквадратическое отклонение тренда
кг
Относительный размах колеблемости

Относительное линейное отклонение
Коэффициент колеблемости
Коэффициент устойчивости уровня ряда динамики
Так как коэффициент устойчивости больше 50%, то уровни ряда
динамики устойчивы и данное уравнение тренда подходит для расчета прогноза на
перспективу.
3.6
Прогнозирование
Для того, чтобы сделать точечный прогноз надоя молока на одну
корову и определить вероятные интервалы прогнозов тренда, уровня надоя молока
на одну корову сделаем таблицу точечного прогноза надоя молока на одну корову на
основе тренда, вероятные интервалы прогноза тренда надоя молока на одну корову
и вероятные интервалы прогноза надоя молока на одну корову на отдельный год.
Таблица 3.11 Точечные прогнозы надоя молока на одну корову,
полученные на основе тренда
|
Год
|
Надой молока на
1 корову, кг
|
|
2012
|
5809,1
|
|
2013
|
5813,7
|
При сохранении выявленной тенденции точечный прогноз надоя
молока на одну корову по Республике Башкортостан на 2012 год составит 5809,1
кг, на 2013 г. - 5813,7 кг.
Средняя ошибка прогноза тренда на 2012 год определяется по
формуле и равна:
,
где σt -
среднее квадратическое отклонение тренда,
tk - номер прогнозируемого года,
ti - номера лет от 1 до п,
n - число уровней ряда.
Приведем доверительные границы прогноза тренда надоя молока на
одну корову (таблица 3.12).
Таблица 3.12 Вероятные интервалы прогноза тренда надоя молока
на одну корову, кг
|
Год
|
Точечный
прогноз
|
Средняя ошибка
прогноза тренда
|
Доверительная
ошибка α=tст∙mУ
|
Доверительные
границы с вероятностью 0,95
|
|
2012
|
5809,1
|
40,55
|
47,53
|
683,47-778,53
|
|
2013
|
5813,7
|
40,7
|
51,21
|
725,79-828,21
|
Средняя ошибка прогноза на 2012 год определяется по формуле и
равна:
.
Приведем доверительные границы прогноза надоя молока на одну
корову на отдельный год (таблица 3.13).
Таблица 3.13 Вероятные интервалы прогноза надоя молока на
одну корову на отдельный год, кг
|
Год
|
Точечный
прогноз
|
Средняя ошибка
на отдельный год
|
Доверительная
ошибка α=tст∙mУ
|
Доверительные
границы с вероятностью 0,95
|
|
2012
|
5809,1
|
121,64
|
133,58
|
646,23-815,77
|
|
2013
|
5813,7
|
121,72
|
137,25
|
690,27-863,73
|
Средняя ошибка прогноза среднегодового уровня надоя молока на
одну корову на 2011-2013 годы:
Таблица 3.14 Вероятные интервалы прогноза среднегодового
уровня надоя молока на одну корову, кг
|
Вероятность
|
Вероятная
ошибка
|
Доверительные
границы
|
|
0,90
|
49,47
|
681,53-780,47
|
|
0,95
|
62,48
|
714,52-839,48
|
Таким образом, если выявленная тенденция по полиномиальной
функции сохранится, то в следующие два года с вероятностью 95% увеличение,
причем в 2012 году будет составлять - от 646,23 до 815,77, а в 2013 году - от
690,27 до 863,73.
4. Анализ
структурных различий
Структура - совокупность элементов социально-экономических
явлений, обладающих определенной устойчивостью внутригрупповых связей, при
сохранении основных свойств, характеризующих эту совокупность как целое
Статистическая структура - распределение различных частей в
пределах общего для них качества, распределение составляющих совокупность
единиц по количественному и качественному признаку.
Статистические приемы и методы анализа позволяют проводить
исследование конкретных социально-экономических структур в определенных
условиях места и времени, которое заключается, прежде всего в точном
количественном измерении и соизмерении, выявление пропорций и закономерностей.
Структура сложного социально-экономического явления всегда обладает той или
иной степенью подвижности, имеет свойство меняться с течением времени как в
количественном, так и в качественном отношении.
Основные направления изучения структуры включают:
характеристику структурных сдвигов отдельных частей
совокупности за 2 и более периодов;
обобщающую характеристику структурных сдвигов в целом по
совокупности;
оценку степени концентрации и централизации.
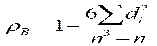
Для статистической оценки структурных сдвигов используются 2
группы показателей:
показатели, основывающиеся на разностях между удельными
весами
одноименных частей совокупности:
абсолютный прирост удельного веса;
средний абсолютный прирост удельного веса.
показатели, базирующиеся на отношении удельных весов одноименных
частей совокупности:
темп роста удельного веса;
средний темп роста удельного веса;
средний удельный вес.
Эти 2 группы показателей относятся к частным показателям
структурных сдвигов. Также определяют обобщающие показатели. К ним относят:
линейный коэффициент "абсолютных" структурных
сдвигов. Представляет собой сумму приростов удельных весов, взятых без учета
знака, деленную на число структурных частей
квадратический коэффициент "абсолютных" структурных
сдвигов;
квадратический коэффициент относительных структурных сдвигов;
линейный коэффициент "абсолютных" структурных
сдвигов за n периодов.
Для характеристики изменений, которые произошли в структуре
могут быть определенны два показателя:
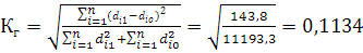
Коэффициент А. Салаи-учитывает интенсивность изменений по
отдельным группам, удельный вес в сравниваемых структурах, а также число групп
где: d1,d0 - удельные значения градаций двух структур
n - число градаций.
Коэффициент К. Гатева - учитывает интенсивность изменений по
отдельным группам и удельный вес групп в сравниваемых структурах.
Данный показатель будет равен нулю, если сопоставляемые
структуры остались неизменными; он будет равен единице, если сопоставляемые
структуры полностью изменились, т.е.0 ≤ KГ ≤ 1. Его
можно использовать и для характеристики различий в структуре потребительских
расходов домашних хозяйств, определенных дифференциацией доходов населения.
Анализ структурных различий по двум
регионам с помощью коэффициентов Салаи и К. Гатаева (Приложение)

;

.
Анализ структурных различий по двум регионам с помощью
коэффициентов Салаи и К. Гатаева (Приложение)

;

.
5.
Корелляционно-регресионный анализ
Изучим зависимость между надоем молока и расходом кормов в
расчете на одну условную голову крупного скота с помощью коэффициентов Спирмена
и Кендалла.
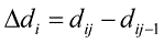
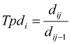
Рассчитаем вспомогательную таблицу для первой пары
показателей. Присвоим ранги признаку Y и фактору X. Найдем сумму разности
квадратов d2.
,
,
Таблица 5.1 Вспомогательная
- объем выборки (число сопоставляемых
пар);- число рангов во втором вариационном ряду, бoльших, чем данное ранговое
число и расположенных ниже него
По формуле вычислим коэффициент ранговой корреляции Спирмена
Связь между показателями прямая и умеренная.
Далее определим коэффициент корреляции Кендалла
Связь между показателями прямая и умеренная.
Аналогичный расчет проведем в таблице 2 по
второй группе показателей.
Таблица 5.2 Вспомогательная
По формуле вычислим коэффициент ранговой корреляции Спирмена.
Связь между показателями прямая и неумеренная.
Далее определим коэффициент корреляции
Кендалла.
Связь между показателями прямая и неумеренная.
Таким образом, с помощью коэффициентов Спирмена и Кенделла
установили, что связь между надоем молока на одну корову и расходом кормов в
расчете на одну условную голову крупного скота - не значимая, а между
потреблением молока и молочных продуктов на душу населения и поголовьем коров
связь - значимая.
Заключение
В результате выполнения данной курсовой работы был произведен
статистический анализ производства молока в центральном федеральном округе РФ.
Среднее значение надоя молока на 1 корову составляет 4162,5 кг, медиана -
4019,5 кг, мода - 5680 кг; дисперсия - 664521,56, среднее квадратическое
отклонение - 815,18 кг, изучаемая совокупность регионов по надою молока
однородная. Показатель асимметрии - 0,50, следовательно, обнаруживается
правосторонняя асимметрия; эксцесса - 0,26. Максимальное и минимальное значения
соответственно равны 5680 и 2875 кг, размах варьирования - 2805 кг.
Применяя метод статистических группировок, был построен
статистический ряд распределения надоя молока на одну корову.
С вероятностью 0,954 можно утверждать, что в регионах
Российской Федерации средний надой молока заключается в пределах от 15291,4 до
34658,6 кг.
За период исследования средний надой молока на одну корову
составил 5111,8 кг, при среднем абсолютном приросте 208,4.
Методом выравнивания ряда динамики по среднему коэффициенту
роста за исследуемый период выявлена тенденция увеличения надоя молока в среднем
в 1,044 раза или на 4,4%.
Аналитическим методом по уравнению прямой выявлена тенденция
увеличения надоя молока на одну корову, причем ежегодно в среднем на 208,4 кг
С помощью прогнозирования выявленная тенденция по
полиномиальной функции. Она сохранится, и в следующие два года с вероятностью
95% увеличение, причем в 2011 году будет составлять - от 646,23 до 815,77, а в
2012 году - от 690,27 до 863,73.
Вычисленные значения критериев показывают, что в регионах
наблюдается низкий уровень различий структур.
В корелляционно-регрессионном анализе с помощью коэффициентов
Спирмена и Кенделла установили, что связь между надоем молока на одну корову и
расходом кормов в расчете на одну условную голову крупного скота - не значимая,
а между потреблением молока и молочных продуктов на душу населения и поголовьем
коров связь - значимая.
Библиографический
список
1. Атраментов,
А.Г. Совершенствование первичной обработки молока [Текст]: учебник / А.Г.,
Атраментов - М.: Агропромиздат, 2006 - 427 с.
. Бойченко,
А.В. Повышение эффективности и конкурентоспособности производства молока
[Текст]: журнал/А.В., Бойченко - Экономика, управление. №8, 2008 - 354 с.
3. Основы
статистики [Текст] / Р.А. Шмойлова [и др.]. - М.: ЕАОИ, 2008. - 296 с.
. Рафикова,
Н.Т. Основы статистики [Текст]: учеб. пособие / Н.Т. Рафикова - М.: Финансы и
статистика, 2007. - 352 с.
. Справочник
по качеству продукции животноводства [Текст] / А.Т. Мысик [и др.]. - М:
Агропромиздат, 2005 г. - 239 с.
риложение
ПРОИЗВОДСТВО МОЛОКА В СЕЛЬСКОХОЗЯЙСТВЕННЫХ ОРГАНИЗАЦИЯХ
РЕГИОНА МЕНЕЕ ЭФФЕКТИВНО, ЧЕМ В ИНДИВИДУАЛЬНЫХ КРЕСТЬЯНСКИХ ХОЗЯЙСТВАХ
В прошлом и в настоящее время, отечественными учёными
обосновывается теория устойчивости и эффективности мелкого трудового
крестьянского хозяйства. Сегодня крестьянское хозяйство трансформировалось, но
теория не потеряла своей актуальности. С реформированием агропредприятий
усилилась их дифференциация на малые, средние и крупные, во многом
обусловленная действием конкуренции и появлением на рынке монополий. Их власть
проявляется в неуклонном росте цен на технику и топливо, удобрения и химические
средства защиты растений. В результате цены монополий стали главным финансовым
инструментом распада хозяйств, сокращения урожайности агрокультур и
продуктивности скота и птицы. Произошло резкое сокращение рабочих мест и
доходов работников сельхозорганизаций. Многие из них были вынуждены уйти в
сферу личного подсобного хозяйства, в котором производство отдельных видов
продукции оказалось более эффективным, чем в сельхозпредприятиях.
Таблица 1 - Динамика объема производства молока и
продуктивности коров в сельхозорганизациях и хозяйствах населения Аургазинского
района за 1990-2008 гг.
|
Показатели
|
1990 г.
|
2001 г.
|
2005 г.
|
2008 г.
|
2008 г. к
1990г., %, раз
|
|
Производство
молока в сельхозорганизациях, тыс. т.
|
631,8
|
188,2
|
177,2
|
160,1
|
< 4,0
p.
|
|
Удельный вес во
всех категориях хозяйств, %
|
74,2
|
38,9
|
40,5
|
45,0
|
<
29,2 п. п.
|
|
Производство
молока в ЛПХ, тыс. т.
|
220,1
|
293,2
|
255,1
|
181,3
|
82,4%
|
|
Удельный вес во
всех категориях хозяйств, %
|
25,8
|
60,7
|
58,3
|
51,0
|
>25,2
п. п.
|
|
Надой на корову
в сельхозорганизациях, кг
|
2663
|
1974
|
2503
|
2498
|
93,8 %
|
|
Надой на корову
в хозяйствах населения, кг.
|
2900
|
3563
|
4252
|
5329
|
183,7
%
|
За 11 лет (1990-2001 гг.) в хозяйствах населения производство
молока увеличилось с 220,1 до 293,2 тыс. т. Но с 2001 года наблюдается обратная
тенденция - производство молока сократилось на 111,9 тыс. т (с 293,2 до 181,3
тыс. т). За этот период в сельхозорганизациях уменьшение производства молока
составило 28,1 тыс. т. Объясняется это сокращением числа семей в
сельхозорганизациях - если в 1990 году их насчитывалось 338,8 тыс., то в 2000
г. - 252,2, в 2006 г. - 236 тыс. В результате уменьшается поголовье коров в
хозяйствах населения. Оно вызвано и возросшим дефицитом кормов, рабочих рук (отходничество
из села молодых людей приобрело массовый характер), а также интенсивным
старением населения и более высокой смертностью мужчин, чем женщин.
В сельхозорганизациях наблюдается тенденция сокращения
продуктивности коров, которая в хозяйствах населения, наоборот, возрастает.
Причем, если в 1990 году разница в среднем надое молока на корову между
хозяйствами населения и сельхозор-ганизациями составила 237, то в 2008 году -
2831 кг. В хозяйствах населения наблюдался устойчивый рост продуктивности коров,
в результате годовой надой на корову составил в 2,1 раза выше, чем в
сельхозорганизациях. Объясняется это такими специфическими условиями содержания
молочных коров в хозяйствах населения, как приобретение породных животных,
заготовка кормов в оптимальные сроки, что обеспечивает их необходимое качество,
своевременный уход за коровами и участие в их содержании подростков и пожилых
членов семей, помощь родственников, проживающих в поселках и городах и т.д.
Следует брать во внимание, что сельхозорганизации, хотя и ограничены в
материально-техническом и финансовом плане, но в счет заработной платы снабжают
хозяйства населения зерном, сеном, корнеплодами. Важно учитывать и следующее. В
отличие от сельхозорганизаций основная часть хозяйств населения не выходят на
сельскохозяйственные рынки, где монополии через цены присваивают значительную
долю валового дохода товаропроизводителя.