Характеристика реакции поликонденсации
Оглавление
Введение
. Характеристика реакции поликонденсации
. Классификация реакций поликонденсации
. Глубина протекания реакции поликонденсации.
Уравнение Карозерса.
. Влияние различных факторов на молекулярную массу и
выход полимера при поликонденсации.
. Кинетика поликонденсации
. Методы осуществления реакции поликонденсации
. Полимеры, получаемые реакцией поликонденсации
Литература
Введение
Основу производства синтетических полимерных материалов составляют так
называемые крупнотоннажные полимеры, это, прежде всего, полимеры олефинов,
стирола, поливинилхлорида. Совершенно очевидно, что ограниченное количество
типов крупнотоннажных полимеров не может удовлетворить по свойствам
всевозможные комбинации требований в различных областях их использования. Номенклатуру
выпускаемых полимерных материалов можно увеличить на порядок путем
сополиконденсации, т.е. совместной поликонденсации двух или более мономеров.
Это единственный процесс, который позволяет получать практически неограниченное
число полимерных материалов путем изменения природы мономеров и их соотношения.
Так, на основе десятка базовых мономеров методом сополиконденсации ежегодно
производится свыше 30 млн тонн полимерных материалов. По мере накопления
экспериментальных данных формировались новые разделы теории, отражающие
специфические особенности сополиконденсации, влияние среды на состав
сополимера, и др. В последние годы предложены методы, позволяющие управлять
также молекулярно-массовым распределением и, в некоторых случаях, тактичностью
(со)полимеров.
1.
Характеристика реакции поликонденсации
Поликонденсацией называется процесс образования полимеров путем
ступенчатого присоединения молекул полифункциональных мономеров друг к другу, к
n-мерам, накапливающимся в ходе
реакции, и n-меров друг к другу в результате
взаимодействия функциональных групп и выделения низкомолекулярных продуктов.
Основу реакции поликонденсации лежит реакция замещения. Вследствие
выделения побочных продуктов элементарный состав звеньев полимера отличается от
элементарного состава исходных мономеров. Например, поликонденсация
аминокислоты сопровождается отщеплением молекул воды в результате
взаимодействия карбоксильных и аминогрупп соседних молекул. На первой стадии
реакции образуются димеры, которые далее превращаются в более
высокомолекулярные продукты.
Состав полимера на каждой стадии можно изобразить следующей
формулой:
Каждый акт взаимодействия функциональных групп мономеров
ведёт к образованию устойчивых соединений (димера, тримера,тетрамера,
полимеров), которые могут быть выделены на любой промежуточной стадии. Таким
образом, реакция поликонденсации является ступенчатым процессом.
Необходимым условием поликонденсации является участие в реакции молекул
мономеров, каждая из которых содержит две или более функциональные группы,
способные взаимодействовать между собой.
Благодаря наличию функциональных групп, олигомеры могут взаимодействовать
и между собой и с мономерами. Такое взаимодействие определяет рост полимерной
цепи. Если молекулы исходных мономеров содержат по две функциональные группы,
рост полимерной цепи происходит в одном направлении и образуются линейные
макромолекулы. Наличие в молекулах исходных мономеров более двух функциональных
групп приводит к образованию разветвленных макромолекул или сшитых (трехмерных)
структур. Бифункциональные вещества могут обладать функциональными группами
одинакового или различного строения, В результате каждого акта взаимодействия
образуется продукт с функциональными концевыми группами, способными к
дальнейшему взаимодействию.
2. Классификация реакций поликонденсации
В связи с многообразием химических реакций поликонденсационные процессы
можно классифицировать:
) по типу связей между звеньями;
) по числу мономеров, участвующих в реакции;
) по механизму процессов.
Поликонденсация в зависимости от типа связей, образующихся в результате
взаимодействия функциональных групп мономеров, может быть представлена
различными классами химических реакций, важнейшими из которых являются:
1) полиамидирование
n H2NRNH2 + n HOOCR'COOH ↔ H[-HN-R-NHCO-R'-CO-]nOH+ (2n-1)Н20
n H2N-R-COOH ↔ H[-HN-R-CO-]nOH + (п-1) Н20
2) полиэтерификация
HO-R-OH + n HOOC-R'-COOH ↔H[-OR-OOC-R'-CO-]nOH+ (2n-l)Н20HO-R-OH → H[-0-R-]n0H + (n-1)Н20
3) полисульфидированне
Cl-R-Cl + n Na2S→Cl [-R-S-]nNa + (2n-l)NaCl
4) полиарилирование
NaOArONa + n ClOC-R-COCl →Na(-OArOOC-R-CO-]nCl +
(2n-1)NaCI
По числу мономеров, участвующих в реакции, процессы поли- конденсации
можно разделить на гомо- и гетерополиконденсацию (сополиконденсацию).
Гомополиконденсация - процесс, в котором участвуют молекулы одного и того
же вещества, имеющего одинаковые или разные функциональные группы:
H2N-R-COOH ↔ Н [-HN-R-CO-]n ОН +(n-1)Н2OHO-R-OH →Н [-O-R-]n ОН + (n-1) Н2O
Гетерополиконденсация (сополиконденсация) - процесс, в котором участвуют
молекулы различных мономеров, имеющих одинаковые или разные функциональные
группы:
H2N-R-NH2+nHOOC-R'-COOH ↔ H[-HN-R-NHCO-R'-CO-]nOH+
+ (2n-l) H2О
n HOOC-R-COOH + n HOOC- R'-COOH ↔
H [-OOC- R-COO-R'-CO-]nOH+ (2n-1 )H2O
По механизму процессов следует различать равновесную (обратимую) и
неравновесную (необратимую) поликонденсацию. Такое деление обусловлено наличием
или отсутствием деструктивных процессов с участием низкомолекулярных продуктов
реакции, разной активностью мономеров, а также различием в термодинамических и
кинетических факторах, определяющих процесс.
Равновесная поликонденсация характеризуется наличием на стадии роста
деструктивных и обменных реакций, вызываемых низкомолекулярными продуктами
реакции и образующимися молекулами полимера. Процесс характеризуется небольшими
константами равновесия (kp=
10-102) . Средняя молекулярная масса определяется термодинамическими факторами.
Для обратимых процессов характерна малая скорость[(k= 10-3-10-5 л/(моль∙с)], сравнительно большая энергия
активации (80-160 кДж/моль), что обуславливает высокие температуры реакции и
большую продолжительность процесса.
Неравновесная поликонденсация - необратимый процесс получения полимера, в
котором отсутствуют деструктивные реакции под влиянием выделяющегося
низкомолекулярного продукта, а в ряде случаев отсутствуют и другие обменные
реакции. Особенностью неравновесной поликонденсации являются высокие значения
константы равновесия (kp=103-1025),
молекулярная масса образующегося полимера определяется кинетическими факторами.
Большинство случаев необратимой поликонденсации характеризуется высокими
скоростями [k до 105 л/(моль∙с)] и малой
энергией активации.
В большинстве случаев для необратимых реакций применяют мономеры с
высокой реакционной способностью (например, дихлорангидриды кислот). Большие
скорости поликонденсации с использованием мономеров подобного типа определяют
способ проведения процесса: межфазная и низкотемпературная поликонденсация в
растворе. При этом низкая температура, высокие скорости реакции и образование
полимера, не способного к химическим превращениям при взаимодействии с
низкомолекулярным продуктом, обуславливают отсутствие деструктивных и обменных
реакций в полимере в процессе синтеза, то есть их необратимость.
Следует отметить, что существуют примеры проведения неравновесной
поликонденсации в расплаве или в растворе при высокой температуре (например,
образование полиэфиров из дихлорангидридов дикарбоновых кислот и диолов).
3. Глубина
протекания реакции поликонденсации. Уравнение Карозерса
Степень исчерпания функциональных групп, называемая полнотой или глубиной
поликонденсации, зависит, прежде всего, от тщательности удаления из реакционной
среды низкомолекулярных продуктов, препятствующих смещению равновесия в сторону
образования полимера.
Между степенью полимеризации (х) и глубиной реакции (р) существует
математическая зависимость, которая была выведена В.Карозерсом в 1936 г.
Пусть f - количество функциональных групп,
приходящееся в среднем на одну молекулу мономера, a No и N-
соответственно, начальное и конечное число молекул в реакционной смеси. Общее
количество функциональных групп в исходной смеси равно fNo.При каждой реакции конденсации исчезают две
функциональные группы и одна молекула мономера. Поскольку во время
поликонденсации расходуется No-N молекул, число прореагировавших
групп равно 2(N0-N). Глубина реакции (р) представляет собой долю
прореагировавших функциональных групп:
Р
= 
Если в образовании одной полимерной молекулы участвуют х мономерных
молекул, то для получения N макромолекул потребуется в N раз больше молекул
мономера, откуда следует, что

, или
Подставляя
значение x, получаем уравнение Карозерса в окончательном виде:
=

Величину
х следует рассматривать как среднюю степень полимеризации, так как поликонденсат
является смесью полимергомологов. Приведя уравнение Карозерса к форме:
Видим,
что степень полимеризации больше, чем полнее прошла поликонденсация.
Поскольку
глубина реакции определяется ее продолжительностью, величина макромолекулы
закономерно возрастает в зависимости от времени поликонденсации. В этом
поликонденсация отличается от цепной полимеризации, где такая связь между
глубиной реакции и степенью полимеризации отсутствует. Повышение степени
полимеризации при большой глубине протекания полимеризации обусловлено
замедлением реакции обрыва цепи вследствие увеличения вязкости системы и имеет
мало общего с непрерывным повышением значения х в ходе поликонденсации.
Величина
р не только характеризует степень завершения поликонденсации. Как отношение
количества прореагировавших функциональных групп к их общему числу она
указывает на вероятность возникновения связи между молекулами мономера.
Рассматривая
применение уравнения Карозерса на ряде примеров, можно сделать некоторые выводы
о характере реакции поликонденсации.
.
Исходные мономеры содержат по одной функциональной группе и реакция прошла
полностью (f=l и р=1). Подставляя в формулу уравнения Карозерса
значения f и р, получаем x=2.
Таким обратом, при наличии только одной функциональной группы в мономере
высокомолекулярное соединение не образуется, даже если реакция прошла на 100%.
. Реакция между эквимолярными количествами бифункциональных мономеров
(линейная поликонденсация):
НО-R-ОН + HOOC-R'-COOH → H[-OROOCR'CO-]nOH + Н2О
Т.к. f=(2+2)/2=2 и р=1-1/x, то для получения продукта со
степенью полимеринации, равной 10, необходимо, чтобы реакция прошла на 90%
(р=0,9). Только при завершении реакции на 99,8% (р= 1-1/500) х достигает
значения 500. Это означает, что образование высокомолекулярного соединения
возможно лишь тогда., когда обратимая реакция, какой является поликонденсация,
практически доведена до конца.
4. Влияние различных факторов на
молекулярную массу и выход полимера при поликонденсации
Остановка роста цепи макромолекул может быть вызвана различными причинами
как физического, так и химического характера. Причинами остановки роста цепи
физического характера могут быть:
· увеличение вязкости среды;
· уменьшение скорости взаимной диффузии;
· снижение концентрации реагирующих групп;
· снижение температуры реакции.
Увеличение вязкости среды и понижение концентрации функциональных групп
приводят к уменьшению вероятности их столкновения и остановке реакции роста.
К причинам остановки роста цепи химического характера можно отнести:
· химическое изменение функциональных групп;
· неэквимолярное соотношение мономеров;
· наличие в системе выделяющегося низкомолекулярного продукта
реакции;
· достижение равновесия между прямой и обратной реакциями;
5. Кинетика
поликонденсации
Рассмотрим основные кинетические закономерности поликонденсации на
примере полиэтерификации. Катализаторами реакции этерификации являются кислоты
и щелочи. Механизм кислотного катализа к настоящему времени надежно установлен.
Он включает две стадии:
Протонирование кислоты-реагента кислотой-катализатором (НА):
1. Атаки протонированным реагентом гидроксильной группы
спирта с последующим распадом интермедиата до продуктов реакции:
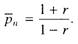
Если в данной реакции удалять воду, то можно учитывать лишь прямое
направление реакции. Тогда:
Неопределяемая величина [С+(ОН)2] может быть исключена с помощью
выражения
В результате получаем:
В отсутствие внешнего катализатора его функцию выполняет кислота-
мономер. Тогда:
где К' = k3К. Поскольку при поликонденсации концентрации
разных функциональных групп обычно равны (в целях получения высокомолекулярного
полимера), то последнее уравнение можно упростить:
Данное уравнение, исходящее из третьего порядка скорости по концентрации
мономера, достаточно хорошо описывает экспериментальные данные. Встречающиеся
отклонения при средних и глубоких степенях завершенности связаны с изменением
состояния реакционной среды - уменьшением полярности, вследствие исчерпания
карбоксильных и гидроксильных (или других полярных) групп мономеров, и
возрастанием вязкости.
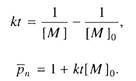
Степень ступенчатой полимеризации равна числу мономерных звеньев в цепи.
При ступенчатой полимеризации двух гомофункциональных мономеров A-R-A и B-R-B степень
полимеризации равна половине их количества в цепи.
Из этого уравнения следует, что темп нарастания молекулярной массы
продукта поликонденсации уменьшается со временем.
Изложенное выше касалось самокатализируемой поликонденсации. При наличии
специально введенного, так называемого внешнего катализатора, уравнение
скорости отвечает второму порядку по концентрации мономера:
Из уравнения следует, что при катализируемой поликонденсации имеет место
линейная зависимость степени полимеризации от времени.
На практике самокатализируемая реакция используется при получении
полиамидов, тогда как при получении полиэфиров и фенопластов - продуктов
поликонденсации фенола с формальдегидом - применяется катализатор.
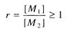
При предыдущем изложении предполагалось равенство концентраций мономеров,
что является одним из условий получения высокомолекулярного полимера при
поликонденсации. Количественной мерой, отражающей степень эквивалентности
концентраций мономеров, является параметр
вследствие [Мх]>[Мг].
Связь среднечисловой степени полимеризации с параметром эквивалентности дается
выражением:
При строго эквивалентных количествах функциональных групп на концах макромолекул
реакция между ними может продолжаться сколь угодно долго, теоретически - вплоть
до образования гигантской макромолекулы. Из этого следует, что для стабилизации
молекулярной массы полимера небольшой избыток одного из мономеров может
оказаться полезным. В этом случае все макромолекулы будут иметь одинаковые
функциональные группы, что исключает возможность реакции между ними. Для этих
целей используют также малые добавки монофункционального соединения.
6.
Методы осуществления реакции поликонденсации
В настоящее время известны следущие промышленные и лабораторные способы
осуществления поликонденсации:
) в расплаве;
) в растворе;
3) межфазная поликонденсация (жидкофазная-поликонденсация на границе
раздела: ж-ж; газофазная-на границе:ж-г);
4) эмульсионная;
5) в твёрдой фазе;
6) на матрицах.
Поликонденсация в расплаве. Процессы поликонденсации в расплаве широко
используют в промышленности для получения полимеров: полиэфиров и полиамидов. Равновесную поликонденсацию в
расплаве обычно проводят в две стадии. Первая стадия проходит в токе инертного
газа, вторая - в вакууме. Это предотвращает
термоокислительную деструкцию мономеров и продуктов поликонденсации,
обеспечивает равномерное нагревание реакционной смеси и интенсивное удаление
низкомолекулярных продуктов реакции. В большинстве случаев реакцию проводят без
катализатора. При вакуумировании расплава на второй стадии поликонденсации
полимер достаточно полно очищается, так что нет необходимости в дополнительной
трудоемкой очистке переосаждением. На всех стадиях реакции расплав интенсивно
перемешивают. Температуру в реакторе постепенно повышают до 250-300°С по мере
увеличения молекулярного веса полимера, а следовательно, и вязкости расплава.
Резкое повышение температуры в начале синтеза может вызвать частичное испарение
одного из мономеров, что приводит к нарушению мольного соотношения реагирующих
веществ.
Поликонденсация в растворе. Проведение поликонденсации в
растворе обеспечивает более равномерное распределение тепла в реакционной смеси
по сравнению с реакцией в расплаве, понижение вязкости среды, а следовательно,
повышение скорости диффузии реагентов и интенсивное удаление низкомолекулярных
продуктов реакции. Природа растворителя оказывает существенное влияние на
молекулярный вес полимера. Молекулярный вес возрастает, если полимер хорошо
растворим в растворителе, а низкомолекулярные продукты реакции в нем не
растворяются. Температура кипения растворителя должна быть выше температуры
кипения низкомолекулярных веществ, выделяющихся во время реакции. Кроме того,
он должен быть тщательно очищен от веществ, которые могут вступать в реакцию с
мономерами или полимером.
В ряде случаев реакцию в растворе проводят в присутствии катализаторов.
Это дает возможность понизить температуру реакции и предотвратить многочисленные
побочные процессы. Эффективно применение акцепторов выделяющегося
низкомолекулярного продукта реакции. Например, при поликонденсации
хлорангидридов карбоновых кислот с аминами, спиртами, фенолами акцепторами
выделяющегося хлористого водорода служат диметилацетамид, N-метилпирролидон, диэтилцианамид,
которые одновременно являются и растворителями. В присутствии акцепторов
низкомолекулярных продуктов поликонденсация проходит с высокой скоростью при
температуре даже ниже 0° С. При использовании акцептора хлористого водорода
полиамиды наиболее высокого молекулярного веса получают при -30°С.
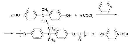
Низкотемпературной поликонденсацией в растворе в присутствии акцепторов
низкомолекулярных продуктов получают полиамиды из хлорангидридов кислот и
диаминов, полиэфиры из хлорангидридов кислот и гликолей или фенолов,
поликарбонаты из хлоругольной кислоты и бисфенолов.
Межфазная поликонденсация. Межфазная поликонденсация используется для
лабораторного или полупромышленного способа получения полимерных изделий
(волокон, пленок, гранул). Применение этого способа ограничено использованием
мономеров с высокой реакционной способностью, большого общего объема фаз и
необходимостью рекуперации органической фазы. Межфазной поликонденсацией
целесообразно получать полимеры, которые трудно или невозможно получить другими
способами.
К достоинствам данного способа получения полимеров следует отнести
простую схему технологического процесса, большие скорости реакции при низких
температурах и атмосферном давлении, возможность получения высокоплавких
продуктов и полимеров с реакционноспособными группами.
Межфазную поликонденсацию можно осуществлять при перемешивании и без
перемешивания. При проведении процесса без перемешивания необходимо постоянно
удалять пленку или волокна из зоны реакции.
Газофазная поликонденсация. Является разновидностью межфазной
поликонденсации и обычно осуществляется путем барботирования газообразного
мономера через водный раствор второго исходного компонента. Газофазная
поликонденсация может быть проведена барботажным или пенным способом. Пенный
способ заключается в том, что готовая газовая смесь подогретого азота и
мономера подается в реактор, куда с постоянной скоростью поступает водный
раствор второго мономера, при этом водный раствор вспенивается, и реакция
протекает на границе раздела фаз.
При данном способе проведения поликонденсации исходные вещества нагревают
в инертной среде при температуре на несколько градусов ниже температуры их
плавления. В данном методе не применяют органические растворители, что выгодно
отличает его от других способов. Этим методом получают, например, полиэфиры и
полиамиды.
Реакцию часто проводят в две стадии, получая первоначально форполимер
(низкомолекулярный продукт) в расплаве. Форполимер измельчают и проводят
поликонденсацию в замкнутой системе в среде инертного газа при температуре на
5-8 °С ниже температуры плавления форполимера. Частицы форполимера должны
занимать 5% объема реакционной зоны; они могут находиться в статическом слое
толщиной 5 мм или в аэрированном псевдоожиженном состоянии.
Этот способ представляет интерес для синтеза полимеров из недостаточно
термостойких исходных мономеров, а также для получения высокоплавких полимеров,
температура плавления которых выше температуры их разложения.
Поликонденсация на матрицах. В настоящее время поликонденсация на
матрицах является препаративным способом синтеза сополимеров со строго
определенным чередованием звеньев в макромолекуле (получение синтетических
полипептидов).
Матрицей служит полимер, функциональные группы которого образуют легко
гидролизуемую связь с одной из функциональных групп мономеров.
Полимер-матрица может иметь пространственное строение, в этом случае его
используют в виде порошка с размером частиц 10-80 мкм. Матрицей может быть и
линейный полимер, растворимый в реакционной среде. Продукт реакции легко
отделяется от сопутствующих веществ фильтрацией и промывкой.
Поликонденсация в эмульсии. Поликонденсацию в эмульсии обычно проводят в
том случае, когда один из мономеров растворим в воде, а другой - в органическом
растворителе, полностью или частично смешивающемся с водой (тетрагидрофуран,
циклогексанон).
Для диспергирования смешивающегося с водой органического
растворителя в водной фазе применяют высаливатели, которые одновременно
являются акцепторами низкомолекулярных продуктов реакции. Поликонденсация
проходит с высокой скоростью только в том случае, когда коэффициент
распределения водорастворимого мономера между водной и органическими фазами
достаточно высок.
В этом случае реакция протекает в органической фазе, в то время
как низкомолекулярные продукты, легко растворимые в воде, диффундируют в водную
фазу, где находится акцептор этих веществ. Молекулярный вес полимера тем выше,
чем выше его растворимость в органической фазе.
7. Полимеры, получаемые реакцией
поликонденсации
Фенолформальдегидные смолы. Фенопласты. Фенолформальдегидная смола была
первым полимером, освоенным промышленным производством еще в 1909 г. Патент на
ее производство был выдан Бакеланду, благодаря чему первый синтетический
полимер долгое время назывался бакелитом. Термин «смола», в данном случае
фенолформальдегидная, означает низкомолекулярный преполимер, т.е. растворимый
продукт (олигомер), который при производстве готовых изделий сшивается с
образованием трехмерного нерастворимого полимера.
Реакция между фенолом и формальдегидом катализируется как основаниями,
так и кислотами. Преполимеры, получаемые при некотором избытке формальдегида в
результате реакции, катализируемой сильными основаниями, называются резолами.
Реакция начинается с образования фенолоспиртов:
которые затем конденсируются:
В результате образуются преполимеры-олигомеры с молекулярной массой более
103 и широким молекулярно-массовым распределением. Сшивание нейтрализованных
резольных смол осуществляется нагреванием до 150- 170 °С. При образовании
сшитого полимера протекают те же две реакции конденсации, что и при образовании
резолов. При этом гидроксильные группы фенола практически не затрагиваются в
реакции поликонденсации.
При кислотном катализе реакции между фенолом и формальдегидом образуются
олигомеры, называемые новолаками или новолачными смолами, которые так же, как и
в предыдущем случае, включают фенолоспирты и диоксифенилметаны различного
строения и молекулярной массы. Однако, при получении новолаков, в отличие от
резолов, в избытке берется фенол, поэтому ароматические ядра в основном
связываются метиленовыми мостиками в орто-орто, орто-пара и пара-пара
положениях. Конечный продукт реакции является линейным олигомером общей
формулы:
поликонденсация молекулярный масса реакция
Отверждение новолачных смол обычно проводится при нагревании до 160°С в
присутствии уротропина (CH2)6N4 (гексаметилентетрамина), который
принимает участие в сшивке молекул олигомера. Образующиеся с его участием
сшивки способны к дальнейшим превращениям в результате термического распада, в
конечном итоге остаются метиленовые, бензиламинные и некоторое количество
азометиленовых сшивок -N=CH- Содержание последних очень мало,
однако, они придают желтоватую окраску полимеру. С учетом сказанного, фрагмент
структуры сшитого полимера может быть представлен следующим образом:

из которых относительно устойчивыми являются лишь монометилол и, в
меньшей степени, диметилолмочевина, поскольку только они могут быть выделены из
реакционной смеси.
Предполагается, что олигомеры образуются в основном за счет реакций с
участием монометилолмочевины. В силыюкислых средах происходит быстрая
дегидратация метилолмочевины. Поэтому в производственном процессе метилольные
производные мочевины получают в нейтральной или слабощелочной среде (рН 7-8),
затем в слабокислой среде осуществляют их конденсацию при 70-120 °С.
Конденсация монометилолмочевины приводит к образованию линейных и разветвленных
олигомеров. Основными реакциями являются:
. Самоконденсация:
2. Дегидратация, сопровождаемая циклизацией:
3. Конденсация метилолмочевины с мочевиной:
Отверждение олигомеров осуществляется в присутствии органических и
неорганических кислот как катализаторов при температуре 120-140 °С. Реакции с
участием олигомеров, аналогичные реакциям 1 -3, могут привести к образованию
метиленовых, диметилэфирных и циклосодержащих сшивок:
В приведенном выше фрагменте структуры аминопласта содержится
диметилэфирная группа, эта же группа образует одну из возможных сшивок. Наличие
диметилэфирной группы в аминопластах приводит к выделению формальдегида при их
нагреве. Это обстоятельство имеет негативное значение с точки зрения экологии и
медицины.
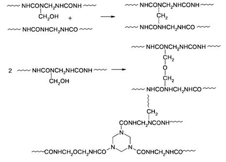
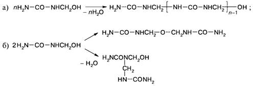
Меламино-формальдегидные смолы. Основные реакции образования
меламино-формальдегидных смол и их последующей сшивки похожи на те, что
рассмотрены выше для мочевино-формальдегидных. На первой стадии при 60-80°С
идет быстрая экзотермическая реакция образования триметилолмеламина, скорость
которой практически не зависит от рН среды:
При значительном, примерно десятикратном избытке формальдегида,
образуются пента- и гексапроизводные.
Конденсация метилолмеламинов проводится в слабокислой среде. В продукте
поликонденсации обнаруживаются метильные и диметилэфирные группы, что подчеркивает
отмеченное выше сходство в механизмах образования мочевино-формальдегидных и
меламино-формальдегидных смол. Отверждение последних происходит при более
низких температурах - до 100 °С.
Полиамиды, полиэфиры, поликарбонаты
Вторым крупным производством полимеров методом ступенчатой полимеризации
явилось производство полиамидов. Некоторые из этих полимеров, например
поли-е-капроамид, получаются также цепной полимеризацией - ионной или
гидролитической, о чем сообщалось ранее. Однако общим методом получения
алифатических гибкоцепных полиамидов является поликонденсация дикарбоновых
кислот и диаминов или аминокислот:
Промышленное производство полиамидов было освоено перед Второй мировой
войной благодаря работам Карозерса.
Почти сразу после войны английскими химиками было освоено производство
полиэфиров, наиболее известным из которых является лавсан - полимер
этиленгликоля и терефталевой кислоты:
Поликарбонаты также могут быть отнесены к классу полиэфиров. Общий способ
их получения состоит в реакции хлорангидридов карбоновых кислот с фосгеном.
Наиболее ценным из этих полимеров является поликарбонат, получаемый из
«бисфенола А»:
На основе этого полимера получают прозрачный листовой материал с
уникальными свойствами: с одной стороны, в него могут забиваться гвозди, а
некоторые его композиции являются пуленепробиваемыми; с другой стороны, он
легко обрабатывается, например, режется обычной ручной пилой.
Полигексаметиленадипамид (найлон-6,6)
Нейло́н - синтетический полиамид
<#"661936.files/image032.gif"> <#"661936.files/image033.jpg">
Важной особенностью реакции уретанобразования является отсутствие
низкомолекулярных продуктов. В ряде случаев это позволяет получать изделия из
полиуретанов методом химического формования.
Разветвленные и сшитые полиуретаны могут быть получены при
поликонденсации изоцианатов и спиртов с функциональностью одного из компонентов
f > 3. В рассмотренной выше реакции
сшитый полимер будет образовываться при введении в реакционную смесь глицерина
или триизоцианатфенилметана. По второму способу сшитые полиуретаны получают в
две стадии. На первой стадии образуется линейный полимер, имеющий на концах две
изоцианатные группы, что достигается некоторым избытком соответствующего
компонента в исходной реакционной смеси. Далее этот макродиизоцианат
отверждается, т.е. сшивается с низкомолекулярными протоно-донорными
соединениями, такими как вода, диолы, первичные и вторичные амины. При
взаимодействии макроизоцианатов с водой можно выделить две последовательных
реакции:
В первой из них, приведенной выше, образуется мочевина и выделяется
углекислый газ. Мочевинные группы реагируют с макроизоцианатами, не вступившими
в реакцию с водой с образованием биуретовых структур (выделена пунктиром на
схеме), что приводит к сшиванию полимера:
Выделяющийся СОг вспенивает реакционную массу благодаря протекающей
параллельно сшивке макромолекул, образовавшаяся полимерная пена твердеет.
Описанные выше реакции лежат в основе промышленного процесса получения
пенополиуретанов. При необходимости количество мочевинных групп в цепи может
быть увеличено при использовании в синтезе полиуретанов диолов в смеси с
диаминами:
Наличие дополнительных мочевинных групп приводит к образованию более
жестких продуктов в результате сшивки форполимера макроизоцианатами.
Макроизоцианаты могут вступать в реакцию сшивки также и с уретановыми
группами, хотя последние являются в данном случае менее реакционноспособными по
сравнению с мочевиной; помеченная структура называется аллофонатной:
Третий путь возникновения узлов разветвления и сшивки при синтезе
полиуретанов связан с тримеризацией изоцианатных групп и образованием
изоциануратных циклов:
Реакция уретанобразования обычно проводится в массе, в расплаве реагентов
при температурах, не превышающих 100 °С, и очень часто при температурах,
соответствующих окружающей среде. Последнее особенно характерно для герметиков,
широко применяемых в быту и промышленности.
Свойства полиуретанов колеблются в широких пределах - от эластомеров до
жестких материалов в зависимости от исходных реагентов, частоты и типа сшивки.
Наиболее часто используются толуилендиизоцианат, 1,6-гексаметилендиизоцианат
(для Эластомеров), глицерин, гликоли - как низкомолекулярные, так и
олигомерные, м- и п-фенилендиамины. Катализаторами реакции
полиуретанобразования являются органические основания (амины), гидроксиды
металлов, ацетилацетонаты железа, меди, ванадия и других металлов,
оловоорганические соединения, например, дибутилдилаурат олова.
Полисилоксаны. Высокомолекулярные полисилоксаны получаются в результате
ионной полимеризации с раскрытием цикла. Более низкомолекулярные продукты могут
быть получены гидролитической поликонденсацией алкилхлорсиланов. Так,
дихлорсиланы гидролизуются водой с образованием моно- и дигидроксисиланов,
которые далее вступают в реакцию поликонденсации, сопровождающуюся выделением
НСl. Катализатором реакции являются
кислоты и основания:
В данном процессе образуется достаточно большое количество циклов, что
требует специальной операции по их удалению. Обычно это делается путем
достаточно длительного нагревания смеси в вакууме. При получении сшитых
эластомеров используют реакции конденсации силанольных групп или
гидрсилилирования. В первом случае используются низкомолекулярные преполимеры,
содержащие на концах гидроксильные группы, и сшивающие агенты, легко
гидролизующиеся под действием следов воды или влаги воздуха до RSi(OH)3:
Во втором случае используют сополисилоксаны, содержащие винильные группы;
сшивающими агентами являются многофункциональные гидриды кремния, катализатором
- платинохлористоводородная кислота.
Литература
1. Семчиков
Ю.Д. Высокомолекулярные соединения. М.: Химия, 2003.
. Шур
А. М. Высокомолекулярные соединения. М.: Высшая школа, 1981.
. Тагер
А.А. Физико-химия полимеров. М.: Химия, 1978.
. Энциклопедия
полимеров. Т. 1, 2, 3. М.: Советская энциклопедия, 1977.
5. Киреев В. В. Высокомолекулярные соединения. М.: Высшая школа,
1992. 512 с.
6. Оудиан
Дж. Основы химии полимеров. М.: Мир, 1974. 614 с.
. Лекционный
материал по химической технологии высокомолекулярных соединений.