Стекло
Реферат
по химии
на
тему: «Стекло»
Введение
Стекло́ -
вещество и материал, один из самых древних и, благодаря разнообразию своих
свойств, - универсальный в практике человека.
Название этого материала в разных языках имеет
разную этимологию. В славянских (русск. стекло, белор. шкло, укр. скло;
ст.-слав. стькло, болг. стъкло, макед. стакло, сербохорв. стакло, словен.
steklo; чеш. sklo, словацк. sklo, польск. - szkło.
Оно является самым широко применяемым материалом
в быту, строительстве, на транспорте благодаря своим уникальным
качествам:прозрачности, твердости, химической устойчивости к активным
химическим реагентам, относительной дешевизне производства. Без него невозможно
изготовить оптические приборы, телевизоры, космические корабли и др. Несмотря
на успехи в создании новых материалов широкого назначения, неорганические
стекла после камня, бетона, металла прочно занимают одно из главных мест среди
используемых в практике.
В чём же универсальность стекла?
Стекло, как известно, делается из песка, извести
и соды. Но само оно не похоже ни на известь, ни на соду, ни на песок.
Стекло прозрачно. Металл, камень, дерево, тысячи
других веществ - все они непрозрачны для видимого света.
Стекло легко окрасить в любой цвет. И для этого
совсем не нужно покрывать его краской. Надо просто в шихту добавить, например,
щепотку кобальта, или селена, или окиси меди. Мы получим по желанию синее
стекло, красное, зеленое.
Стекло почти не меняется от времени. Железо от
времени ржавеет, дерево загнивает, камень превращается в пыль.
Стекло так твердо, так крепко, что его нельзя
поцарапать ни иглой, ни ножом, ни пилой. Его можно разрезать только алмазом или
резцом из сверхтвердой стали.
Можно было бы продолжить перечисление
особенностей стекла. Но и того, что сказано, достаточно. Каждый
согласится:стекло действительно не походит ни на что другое.
Физико-химически - неорганическое вещество,
твёрдое тело, структурно - аморфно, изотропно; все виды стёкол при формировании
преобразуются в агрегатном состоянии - от чрезвычайной вязкости жидкого до так
называемого стеклообразного - в процессе остывания со скоростью, достаточной
для предотвращения кристаллизации расплавов, получаемых плавлением сырья
(шихты). Температура варки стёкол, от 300 до 2500 °C, определяется компонентами
этих стеклообразующих расплавов (оксидами, фторидами, фосфатами и др.).
Прозрачность (для видимого человеком спектра) не является общим свойством для
всех видов существующих как в природе, так и в практике стёкол.
Виды стекол
В зависимости от основного используемого
стеклообразующего вещества, стекла бывают оксидными (силикатные, кварцевое,
германатные, фосфатные, боратные), фторидными, сульфидными и т. д.
Базовый метод получения силикатного стекла
заключается в плавлении смеси кварцевого песка (SiO2), соды (Na2CO3) и извести
(CaO). В результате получается химический комплекс с составом Na2O*CaO*6SiO2.
Кварцевое стекло получают плавлением
кремнезёмистого сырья высокой чистоты (обычно кварцит, горный хрусталь), его
химическая формула - SiO2. Кварцевое стекло может быть также природного
происхождения (см. выше -кластофульгуриты), образующееся при попадании молнии в
залежи кварцевого песка (этот факт лежит в основе одной из исторических версий
происхождения технологии).
Кварцевое стекло характеризуется весьма малым
коэффициентом температурного расширения и потому его иногда используют в
качестве материала для деталей точной механики, размеры которых не должны
меняться при изменении температуры. Примером служит использование кварцевого
стекла в точных маятниковых часах.
Оптическое стекло - применяют для изготовления
линз, призм, кювет и др.
Химико-лабораторное стекло - стекло, обладающее
высокой химической и термической устойчивостью.
Основные промышленные виды стекла.
В качестве главной составной части в стекле содержится
70-75 % двуокиси кремния (SiO2), получаемой из кварцевого песка при условии
соответствующей грануляции и свободы от всяких загрязнений. Венецианцы для
этого применяли чистый песок из реки По или даже завозили его из Истрии, тогда
как богемские стеклоделы получали песок из чистого кварца.
Второй компонент - окись кальция (CaO) - делает
стекло химически стойким и усиливает его блеск. На стекло она идёт в виде
извести. Древние египтяне получали её из щебня морских раковин, а в Средние
века она приготовлялась из золы деревьев или морских водорослей, так как
известняк в качестве сырья для приготовления стекла был ещё не известен. Первым
подмешивать к стеклянной массе мел, как тогда назывался известняк, стали
богемские стеклоделы в XVII веке.
Следующей составной частью стекла являются
оксиды щелочных металлов - натрия (Na2O) или калия (K2O), нужные для плавки и
выделки стекла. Их доля составляет примерно 16-17 %. На стекло они идут в виде
соды (Na2CO3) или поташа (K2CO3), которые при высокой температуре легко
разлагаются на окиси. Соду сначала получали выщелачиванием золы морских
водорослей, а в местности, удалённой от моря, применяли содержащий калий поташ,
получая его выщелачиванием золы буковых или хвойных деревьев.
Различаются три главных вида стекла:
Содово-известковое стекло (1Na2O:1CaO:6SiO2)
Калийно-известковое стекло (1K2O:1CaO:6SiO2)
Калийно-свинцовое стекло (1K2O:1PbO:6SiO2)
стекло стойкость строительство
Стеклообразное и кристаллическое
состояние
Основной разновидностью аморфного состояния веществ
в природе является стеклообразное состояние. Это твердое, однородное, хрупкое,
в той или иной степени прозрачное тело с раковистым изломом. По своей структуре
стеклообразное состояние занимает промежуточное положение между
кристаллическими веществами и жидкими.
Обычно понятие "стекло" определяется
не просто как материал, а как некоторое особое состояние твердого тела,
стеклообразное состояние, противопоставляемое кристаллическому. Известно, что
одно и то же вещество может быть газообразным, жидким и кристаллическим. Для
каждого такого состояния характерна своя группа специфических признаков. Стекло
же не может быть полностью отнесено по совокупности признаков ни к одному из
них. Рассмотрим вещества, находящиеся в указанных агрегатных состояниях, с точки
зрения взаимного расположения частиц (атомов, ионов, молекул), образующих
вещество, и их взаимодействия между собой. При очень высоких температурах
многие неорганические вещества существуют в виде газа. В газе частицы вещества
располагаются и движутся хаотически. При низком давлении, например атмосферном,
взаимодействия между частицами чрезвычайно слабы. При понижении температуры газ
конденсируется в жидкость, которая при дальнейшем снижении температуры
кристаллизуется. В жидкостях и кристаллах частицы располагаются несравненно
более компактно, между ними действуют значительные по величине силы, которые
создают известную упорядоченность в расположении атомов или молекул:в
кристаллах почти идеальную, в жидкостях - существенно менее полную. Основной
особенностью кристаллов является то, что их можно получить путем повторения
элементарной ячейки во всех трех направлениях. Элементарная ячейка состоит из
некоторого числа атомов (ионов, молекул), строго определенным образом
расположенных друг относительно друга. Такое повторение элементарной ячейки
называют дальним порядком. В жидкостях нельзя выделить такой элементарной
ячейки. Для жидкости можно с уверенностью говорить о существовании ближнего
порядка, то есть о ближайших соседних частицах, окружающих центральную. Таким
образом, для жидкости характерен ближний порядок, но нет дальнего. Мы
воспользуемся здесь широко применяемым определением стекла:стекло - это такое
состояние аморфного вещества, которое получается при затвердевании
переохлажденной жидкости. Стекло неравновесно по отношению к кристаллическому
состоянию, которое может реализовываться при том же составе и при тех же
внешних условиях. Отличие стекла от кристаллов состоит в отсутствии
периодичности строения, в отсутствии дальнего порядка в структуре.
Все вещества, находящиеся в стеклообразном
состоянии обладают несколькими общими физико-химическими характеристиками.
Типичные стеклообразные тела:
. изотопы, т.е. свойства их одинаковы во всех
направлениях;
. при нагревании не плавятся, как кристаллы, а
постепенно размягчаются, переходя из хрупкого в тягучее, высоковязкое и,
наконец, в капельножидкое состояние, причем не только вязкость, но и другие
свойства их изменяются непрерывно
. расплавляются и отвердевают обратимо. То есть
выдерживают неоднократный разогрев до расплавленного состояния, а после
охлаждения по одинаковым режимам, вновь приобретают первоначальные свойства,
если не произойдет кристаллизация или ликвация.
Обратимость прессов и свойств указывает на то,
что стеклообразующие расплавы и затвердевшее стекло являются истинными
растворами, ибо обратимость знак истинного раствора. Определение стекла как
переохлажденной жидкости вытекает из способа получения стекла. Для перевода
кристаллического тела в стеклообразное состояние его необходимо расплавить и
затем переохладить снова.
Переход вещества из жидкого состояния в твердое
при понижении температуры может происходить двумя путями:вещество
кристаллизуется либо застывает в виде стекла. По первому пути могут следовать
почти все вещества. Однако путь кристаллизации обычен только для тех веществ,
которые будучи в жидком состоянии, обладают малой вязкостью и вязкость которых
возрастает сравнительно медленно, вплоть до момента кристаллизации. К таким
веществам безусловно можно отнести и оксид висмута, который в чистом состоянии
практически не образует стекол, поэтому создание стеклообразующих систем на его
основе долгое время было трудной задачей.
Сопоставление понятий “свойство-состав”
стеклообразных систем показывает, что большинство свойств в первом приближении
можно разделить на две группы - простые и сложные. К первой группе относятся
свойства, находящиеся в сравнительно несложной зависимости от молярного состава
и поэтому поддающиеся количественному расчету, например:молярный объем,
показатель преломления, средняя дисперсия, термический коэффициент линейного
расширения, диэлектрическая проницаемость, модуль упругости, удельная
теплоемкость, коэффициент теплопроводности. Ко второй группе относятся свойства
гораздо более чувствительные к изменению состава. Зависимость их от состава
сложна и часто не поддается количественным обобщениям. Таковы:вязкость,
электропроводность, скорость диффузии ионов, диэлектрические потери, химическая
стойкость, светопропускание, твердость, поверхностное натяжение, кристаллизационная
способность и др. Расчет этих свойств возможен лишь в частных случаях. На
свойства первой группы различные компоненты оказывают соизмеримое воздействие,
которое можно выразить теми или иными критериями одного порядка. Свойства
второй группы в решающей мере зависят от концентрации щелочей или от
концентрации каких либо других избранных компонентов.
К особой группе свойств следует отнести
прочностные характеристики стекол. Влияние состава на прочность стеклянных
изделий, исключая стеклянное волокно, обычно трудно выявить, так как более
важную роль играют другие факторы, обусловленные внешними воздействиями.
Перечислим важнейшие свойства стекла, многие из которых будут важны при
разработке и синтезе флюса.
) Свойства размягченного и расплавленного
стекла:
Вязкость:свойство жидкостей оказывать
сопротивление перемещению одной части жидкости другой. Плавкость:практическая
величина, характеризующая скорость размягчения стекла и растекания вязкого
расплава по твердой поверхности при различных температурах. Плавкость
представляет собой сложную функцию вязкости, поверхностной энергии на границах
фаз, кристаллизационной способности, температуры начала кристаллизации и
плотности состава.
Смачивающая способность:способность расплава по
отношению к различным твердым поверхностям смаивать их, и характеризуется
краевым углом смачивания и краевым углом растекания и оттекания.
) Молярный объем и плотность.
Молярный объем стекла равен отношению
молекулярного состава стекла к его плотности. Так молекулярный вес стекла
зависит от способа исчисления состава стекла, то и молярный объем является
величиной условной.
) Оптические свойства стекла.
Показатель преломления и дисперсия:способность
стекла преломлять падающий на него свет принято характеризовать посредством
показателя преломления для желтого луча, испускаемого накаленными парами натрия
, либо светящимся гейслеровской трубке гелием. Разница между этими величинами
ничтожна, так как длины волн весьма близки.
Дисперсия - это отношение показателя
преломления, уменьшенного на единицу, к средней дисперсии.
Для производства керамических красителей очень
важен показатель преломления. От него зависит насколько сильно будет отражать
видимый свет цветная пленка стеклообразного вещества находящаяся на поверхности
керамического изделия, от этого будет зависеть и то, как декоративно это
изделие будет выглядеть.
Магнитные, магнитооптические, электрооптические,
электрические свойства имеют больше отношение к техническим и оптическим
стеклам, а поэтому будут опущены в данной работе.
) Механические свойства.
Упругость:свойство твердого тела восстанавливать
свою первоначальную форму после прекращения действия нагрузки. Упругость
характеризуют такие величины как модуль нормальной упругости, называемый также
модулем Юнга, который определяет величину напряжений, возникающих в упругом
деформированном теле под влиянием нагрузки при растяжении (сжатии).
Следовательно, чем выше модуль упругости, тем большее усилие требуется для
того, чтобы вызвать данную деформацию или, другими словами, тем выше напряжения,
возникающие в теле при данной деформации.
Внутреннее трение:Стеклообразные системы, как и
другие тела, обладают способностью поглощать механические, в частности,
звуковые и ультразвуковые колебания. Затухание колебаний зависит от состава
неоднородностей в стекле, и объясняется внутренним трением. Внутреннее трение
силикатного стекла обусловлено собственными колебаниями Si-O каркаса и тех или
иных структурных элементов и ионов между стабильными положениями равновесия.
) Термические свойства.
Термические свойства силикатных систем являются
важнейшими свойствами как при изучении так и при изготовлении керамических и
стеклянных изделий. Главными из термических свойств стекла и стеклоподобных
систем можно назвать - термическое расширение стекла, теплопроводность и
термостойкость.
Термическое расширение:оценивается истинным aT,
либо средними aDT коэффициентами расширения (к. т. р.).
Истинный aT равен тангенсу угла наклона
касательной, проведенной к экспериментальной кривой в точке соответствующей
данной температуре.
На практике обычно пользуются средними
коэффициентами aDT, измеренными в интервалах 20 - 100о, 20 - 400о, 20 - Tоt.
Удельная теплоемкость:- истинная CT и средняя
CDT определяются количеством тепла Q, требуемым для нагревания единицы массы
стекла на 1оС.
Мерой термостойкости служит разность температур
DT, которую выдерживает образец при температурном толчке без разрушений.
Главное влияние на термостойкость стекла
оказывает коэффициент термического расширения a.
) Химическая устойчивость
Высокая химическая устойчивость по отношению к
различным агрессивным средам - одно из очень важных свойств стекол. Однако,
если рассматривать весь диапазон возможных стеклообразных систем, то их
химическая устойчивость может различаться на несколько порядков - от предельно
устойчивого кварцевого стекла до растворимого (жидкого) стекла.
Следует подчеркнуть сложность процесса
разрушения стекла в агрессивных жидкостях. Различают два основных вида явлений
- растворение и выщелачивание.
При растворении компоненты стекла переходят в
раствор в тех же соотношениях, в каких они находятся в стекле. Многие
стеклообразные стекольные системы растворяются с той или иной скоростью в
плавиковой кислоте и в концентрированных горячих растворах щелочей.
Процесс выщелачивания характеризует механизм
взаимодействия стекла с водой и кислотами, исключая плавиковую. При
выщелачивании в раствор переходят преимущественно избранные компоненты -
главным образом, оксиды щелочных и щелочноземельных металлов, в результате чего
на поверхности стекла образуется защитная пленка, которая по своему составу
максимально приближена к стеклообразователю.
Переход от выщелачивания к растворению возможен
и при взаимодействии стекла с водой или с HCl, H2SO4, HNO3 и. т. п. в том
случае, если стекло чрезмерно обогащено щелочами.
О химической устойчивости стекла чаще всего
судят по потере массы образца после обработки в агрессивной среде в течении
заданного промежутка времени. Потери выражаются в мг/см2. Более показателен
метод избирательного определения компонентов, перешедших в раствор. При этом
потери выражают числом молей каждого из оксидов, перешедших в раствор с единицы
поверхности стекла. Для характеристики химической устойчивости стекла в
растворах в условиях высоких температур и давлений необходимо кроме потерь веса
определять глубину разрушенного слоя и характер разрушенной поверхности
Структура стёкол
А.А. Лебедев предположил, что структуру стекла
образуют субмикроскопические кристаллы - кристаллиты, расположенные друг
относительно друг друга хаотическим образом.
Согласно кристаллитной гипотезе стекло является
химически однородным. Исследование стекол методом рентгеноструктурного анализа
явилось качественным скачком в понимании природы стеклообразного состояния.
Согласно полученным данным было показано
следующее:1) кристаллиты содержат 1-2 элементарных ячейки, да и то искаженных,
то есть терялся смысл самого понятия "кристаллит", 2) высказано
предположение о химически неоднородном строении стекла. Исторически
кристаллитная гипотеза сыграла большую роль в понимании природы стеклообразного
состояния, но ее пригодность для описания большинства стеклообразных веществ
оказалась невелика.
Стеклом называют все аморфные тела, получаемые
путем переохлаждения расплава, независимо от их химического состава и
температурной области затвердевания, обладающие в результате постепенного
увеличения вязкости механическими свойствами твердых тел, причем процесс
перехода из жидкого состояния в стеклообразное должен быть обратимым.троение
SiO2 - как кварцевого кристалла:Cтроение SiO2 - в виде кварцевого стекла:

Рис. 1 Рис.
2
Для стекловидного состояния характерно наличие
небольших участков правильной упорядоченной структуры, отсутствие правильной
пространственной решетки, изотропность свойств, отсутствие определенной
температуры плавления. Л.Л. Лебедев, изучая процессы отжига и закалки стекла,
впервые пришел к выводу о наличии в структуре стекла микрокристаллических
образований - кристаллитов (рис. 1). Кристаллиты обладают во внутренней части
сравнительно нормальной кристаллической решеткой, состоящей из групп тетраэдров
SiO4, но по мере приближения к периферии их структура становится все менее
упорядоченной, и прослойки между кристаллитами обладают уже аморфным строением.
Кристаллитная теория структуры стекла развита в работах советских ученых,
показавших «микрогетерогенность» строения стекла. На ее основе создан новый
класс стеклокристаллических материалов - ситаллов, обладающих лучшими
свойствами стекла и нехрупких материалов.
В силикатных стеклах катионы металла помещаются
между отрицательно заряженными тетраэдрами SiО4, не нарушая структуры
силикатного каркаса (рис. 1).
Стеклообразное состояние является менее
устойчивым по сравнению с кристаллическим и обладает избыточным запасом
внутренней энергии, поэтому возможен самопроизвольный переход лишь из
стеклообразного состояния в кристаллическое, сопровождающийся выделением
небольшого количества теплоты. Благодаря своей структуре стекло обладает рядом
специфических свойств, к которым относятся прозрачность, хрупкость, высокая
стойкость к атмосферным воздействиям, чувствительность к резким изменениям
температуры. Этот материал непроницаем для воды и воздуха, обладает низкой
электропроводностью.
В отличие от кристаллических твердых тел (все
атомы упакованы в кристаллическую решетку), в стеклообразном состоянии такой
дальний порядок расположения атомов отсутствует. Стекло нельзя назвать и
сверхвязкой жидкостью, обладающей лишь ближним порядком - взаимным
упорядочением только соседних молекул и атомов. Для стекол характерно наличие
так называемого среднего порядка расположения атомов - на расстояниях, лишь
немногим превышающих межатомные.
Химический состав и свойства стекла
К стеклообразующим веществам относятся:
Оксиды:O3O5
Фториды:
и др.
Карбонат кальция, подобно соде, при сплавлении с
песком взаимодействует с ним, образуя силикат кальция и двуокись углерода. При
сплавлении с избытком песка смеси карбонатов натрия и кальция получают
переохлажденный взаимный раствор полисиликатов кальция и натрия; это и есть обыкновенное
оконное стекло. Главное свойство всякого стекла заключается в том, что оно
переходит из жидкого в твердое состояние не скачком, а загустевает по мере
остывания постепенно вплоть до полного затвердевания. Стекло - аморфное
вещество. Аморфные вещества отличаются от кристаллических тем, что атомы в них
не образуют кристаллической решетки. Однако известная упорядоченность
расположения атомов существует и в стеклах. Для плавленого кварца и силикатных
стекол остаются в силе общие законы кристаллохимии силикатов; каждый атом
кремния в них тетраэдрически окружен четырьмя атомами кислорода, но эти
тетраэдры сочетаются друг с другом беспорядочно, образуя непрерывную
пространственную сетку, в пустотах которой тоже беспорядочно располагаются ионы
металлов (рис). Благодаря этому один «микроучасток» стекольной массы отличен по
атомному строению от другого, соседствующего с ним. Этим и объясняется
отсутствие у стекла постоянной точки плавления, постепенность перехода его из
твердого в жидкое состояние и обратно.
Как материал стекло широко используется в
различии областях народного хозяйства, В соответствии с назначением известны
разнообразные виды стекла:оконное посудное, тарное, химико-лабораторное,
термическое, жаростойкое, строительное, оптическое, электровакуумное и
многочисленные другие вид стекла технического. В пределах каждого вид стекла
имеются самые разнообразные его сорта. В зависимости от условий службы каждого
вида и сорта стеклу предъявляются определённые требования в отношении свойств,
сформулированные в соответствующих стандартах и технических условиях.
Физико-химические свойства стекла определяются главным образом его составом.
В состав стекла входят различные окислы:Si02l
Na20, CaO, MgO, B2O3, Al2O3 и др. Среди видов неорганических стекол (боросиликатные,
боратные и др.) особенно большая роль в практике принадлежит стеклам,
сплавленным на основе кремнезема, - силикатным стеклам. Вводя в состав стекла
определенные окислы, получают стекла с заранее заданными физико-химическими
свойствами. Наиболее простой состав имеет стекло, полученное расплавлением
чистого кремнезема до образования стекловидной массы. Из такого стекла обычно
изготовляют так называемую кварцевую посуду, которая обладает большой
термической и химической стойкостью.
Свойства стекла зависят от входящих компонентов
и их соотношений в сплаве. К наиболее важным качествам стекла относится его
химическая стойкость.
Химическая устойчивость характеризует
сопротивляемость стекол разрушающему действию агрессивных сред. На стекло
воздействуют различные химические агенты, растворяя его составные части и
вызывая коррозию. Одним из самых вредных для стекла веществ является вода,
переводящая силикаты в щелочи и создающая благодаря этому затруднения при
изготовлении многих инъекционных растворов. Способность воды растворять
отдельные составные части стекла начинает проявляться уже в первые минуты
контакта водного раствора со стеклом даже при комнатной температуре и
усиливается при хранении. Стерилизация оказывает очень сильное влияние и сдвиг
рН.
Явления, происходящие в результате воздействия
различных водных растворов - на стекло ампул, станут понятными, если учесть,
что поверхностный слой стекла всегда насыщен ионами щелочных и щелочноземельных
металлов 'благодаря их высокой подвижности (и небольшому заряду по сравнению с
высоким зарядом четырехвалентного иона кремния). По этой причине ион натрия
даже при комнатной температуре может замешаться другими ионами. Ионы щелочных
металлов легко перемещаются из внутренних слоев стекла на место ионов,
вступивших в реакцию.
При воздействии на стекло растворов кислот
происходит нейтрализация щелочи, причем если раствор содержит относительно
много кислоты (рН 3,0 и ниже), то выщелачивание поверхности стекла происходит
без заметного изменения концентрации водородных ионов. Если же на стекло
действуют растворы с рН выше 3,0 и вода, то реакция нейтрализации весьма
заметно отражается на концентрации водородных ионов и рН резко возрастает. При
воздействии растворов кислот и воды реакции выщелачивания сопровождаются
образованием на поверхности стекла гидратной кремнеземистой пленки, обогащенной
щелочноземельными компонентами стекла. Толщина этой пленки постепенно
увеличивается, что затрудняет выход щелочных металлов из внутренних слоев
стекла. В связи с этим процесс выщелачивания, начавшийся вначале быстро,
постепенно затухает, что видно из кривых, которые, достигнув максимума, далее
идут параллельно оси абсцисс.
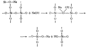
По-другому протекает воздействие щелочных
растворов на поверхность стекла. Вначале они не образуют пленок, а растворяют и
смывают поверхностный слой, разрывая при этом связи Si-О-Si и приводя к
образованию групп Si-О-Na
Рис. 3
Определение химической стойкости. Химическая
стойкость стекла в некоторых случаях может быть определена уже по внешнему его
виду. При хранении на стекле появляется пленка влаги, постепенно переводящая
силикаты в щелочи. Углекислота воздуха вступает во взаимодействие со щелочами,
образуя карбонаты щелочноземельных металлов, выветривающиеся после высыхания водной
пленки и оставляющие грязный налет. Таким образом, чистота стеклянных трубок
является первым признаком их доброкачественности. Загрязнения говорят о низкой
химической стойкости стекла. Основными методами определения доброкачественности
ампульного стекла являются химические. Из них официнальным считается метод,
принятый ГОСТ 10780-64.
Отобранные ампулы тщательно промывают горячей
водой, дважды ополаскивают дистиллированной водой, наполняют свежеперегн энной
дистиллированной водой (рН 5,0-6,8) до номинальной вместимости и запаивают.
Ампулы автоклавируют в течение 30 мин при давлении 2 ата, а затем после их
охлаждения определяют при помощи рН-метра сдвиг рН воды, извлеченной из ампул,
по отношению к рН исходной дистиллированной воды. Сдвиг рН должен быть не выше
2,9 для ампул, изготовленных из стекла марки АБ-1, не более 1,3 для марки НС-1
и 2,0 для марки НС-2.Ввиду того что растворы различных лекарственных веществ
по-разному агрессивны по отношению к стеклу, лучше испытывать ампулы с теми
лекарственными веществами, для которых они предназначены.
Из других известных методов простотой отличается
фенолфталеиновый метод (предложен Д. И. Поповым и Б. А. Клячкиной). Ампулы
заполняют водным раствором индикатора (1 капля 1% спиртового раствора
фенолфталеина на 2 мл воды), запаивают и деляг на три части:одну часть ампул
стерилизуют 30 мин при 100 °С, другую - 20 мин при 120 °С и третью оставляют
для контроля. В ампулах из химически стойкого стекла (НС-1) не наблюдается
красного окрашивания даже при автоклавировании. Если это окрашивание появилось
после автоклавирования, но отсутствовало после стерилизации при 100 °С, такие
ампулы рассматриваются как менее стойкие (НС-2). Окраска в обоих случаях
стерилизации говорит о малой химической стойкости ампул (АБ-1); они пригодны
для наполнения только масляными растворами. При определении химической
стойкости ампул необходимо учитывать удельную поверхность их, т. е. отношение
внутренней поверхности ампулы к объему находящейся в ней.
Определение термической стойкости. Ампулы должны
обладать не только химической, но и термической стойкостью, т. е. не
разрушаться при резких колебаниях температуры, в частности при стерилизации.
Проверку термической стойкости производят следующим образом:испытуемые ампулы
наполняют дистиллированной водой, запаивают и нагревают в автоклаве при 120°С в
течение 30 мин. Партию ампул считают годной, если не менее 95% ампул взятой
пробы останутся целыми.
При оценке доброкачественности ампульного стекла
немаловажное значение имеют его легкоплавкость, бесцветность и прозрачность.
Легкоплавкость стекла. Ампульное стекло должно
быть достаточно легкоплавким, чтобы шейку ампулы можно было быстро запаять в
пламени горелки. Легкоплавкость устанавливают практическим путем, так как нормы
еще не разработаны,
Бесцветность и прозрачность стекла. Эти качества
стекла дают возможность заменить в инъекционном растворе механические
загрязнения (волоски, осколки стекла, обрывки фильтровального материала), а
также признаки порчи растворов (помутнение, появление осадка, изменение цвета
раствора и т.д.). Применять оранжевые или другого цвета стекла рекомендуется не
всегда, ибо в таких ампулах нельзя заметить изменений окраски растворов
(адреналина и некоторых других). Кроме того, по литературным данным, применение
ампул из желтого стекла в некоторых случаях (растворы натрия аскорбината)
является вредным, так как при стерилизации из стекла выделяется остаточное
количество железа. В заключение нужно указать, что ампулы с инъекционными
растворами сохраняют уложенными в коробки, куда не проникает свет.
Химическая стойкость. Химической стойкостью
называется способность стекла противостоять разрушающему действию воды,
растворов солей, влаги и газов атмосферы. Стойкость стекла к действию щелочей
называется щелочестойкостью, к действию кислот - кислотостойкостью. С
увеличением в стекле содержания щелочей оксидов (Na2O или K2O) химическая
стойкость стекла снижается. Введение в состав стекла оксидов цинка, циркония,
магния, бария способствует повышению химической стойкости стекла.
Химическую стойкость стекла определяют по
разности массы образца до и после испытания. Для испытания приготовляют порошок
из стекла или массивный образец стекла, взвешивают его и затем кипятят в
агрессивной среде, чаще всего в растворах NaOH, Na2CO3, HCl и дистиллированной
воде. После опыта образец высушивают и взвешивают на аналитических весах.
Потеря в массе стекла и характеризует его химическую стойкость. Химическую
стойкость определяют также титрованием кислотой (HCl) раствора, в котором было
обработано испытуемое стекло. В этом случае химическая стойкость
характеризуется количеством кислоты, затраченной на титрование:чем больше
израсходовано кислоты на титрование, тем меньше химическая стойкость стекла.
Щелочестойкость оконного стекла определяют попотере массы с 1 дм2 пластины
стекла при обработке ее в кипящем однонормальном растворе углекислого натрия в
течение 3 ч. Потеря при этом не должна превышать 38 мг с 1 дм2 поверхности.
В зависимости от способности стекол
противостоять разрушающему действию воды и других агрессивных растворов их
подразделяют на гидролитические классы, которые определяются количеством HCl,
пошедшим на титрование.
Гидролитические классы (расход HCl, мл):- не
изменяемые водой стекла - 0-0,32,- устойчивые стекла - 0,32-0,65,- твердые
аппаратные стекла - 0,65-2,8,- мягкие аппаратные стекла - 2,8-6,5,-
неудовлетворительные стекла - 6,5 и больше.
Наибольшую химическую стойкость имеет кварцевое
стекло, оно относится к I гидролитическому классу, химико-лабораторные стекла,
как правило, ко II. Большинство промышленных стекол принадлежит к самому
обширному - III гидролитическому классу, а наиболее устойчивые из них - оконное
и полированное - к первой половине этого класса.
Химическая стойкость силикатных стекол в
основном зависит от химического состава и определяется содержанием в них
кремнезема. SiO2 значительно увеличивает химическую стойкость стекла, щелочные
же окислы, как правило, понижают ее. Другие компоненты стекла ведут себя
по-разному по отношению к различным реагентам. Поэтому при подборе химических
составов стекол руководствуются тем, в каких условиях они будут использоваться.
Плотность стекла в зависимости от химического
состава изменяется от 22 до 70·102 кг/м3. Минимальную плотность имеет кварцевое
стекло (22·102 кг/м3), а плотность стекол, содержащих большое количество оксида
свинца, достигает 70·102 кг/м3.
С повышением температуры плотность силикатных
стекол понижается на 15 кг/м3 на каждые 100°С. Отжиг стекла влияет на
плотность. Так, плохо отожженное стекло одного и того же химического состава
имеет плотность на 10 ... 20 кг/м3, а закаленное на 80 ... 90 кг/м3 ниже, чем
отожженное. С изменением химического состава стекла его плотность заметно
изменяется, поэтому на практике она служит косвенным средством контроля
постоянства состава стекла.
Больше половины всего выплавляемого стекла
перерабатывается на листы для остекления зданий. Широкое применение в
строительстве нашли изделия из стекловолокнистых материалов (стеклянная вата,
маты, жгуты и др.), которые используются в качестве тепло- и звукоизоляторов.
Они не гниют и не плесневеют, обладают малым объемным весом, огнестойкостью и
вибростойкостью.
Около трети всей стекольной продукции - сосуды
самого разнообразного типа, фасона и назначения. Замечательные декоративные
свойства стекла (способность воспринимать различные окраски, передавать игру
света, разнообразие в переходах от кристальной прозрачности через все степени
замутнения до полной непрозрачности) обусловили существование особой группы
изделий, объединяемых общим названием "художественное стекло". Сюда
относится художественная столовая посуда, монументальные стеклянные изделия
(барельефы, торшеры, вазы, люстры и др.) и разнообразные отделочные материалы
(плитки и листы для облицовки стен, полов зданий, карнизы, фризы и др.,
использование стекла в витражах). Одной из важных отраслей художественного
стеклоделия является производство смальт (непрозрачных стекол) широкого
ассортимента. Эти стекла используются при создании монументальных стенных панно
в технике мозаичной живописи, родственной технике витража.
В виде стеклоэмалей, непрозрачных тонких
стекловидных слоев различных цветов, стекло используется как защитное покрытие,
предохраняющее металлические изделия от разрушения и придающее им внешний вид,
удовлетворяющий эксплуатационным и эстетическим требованиям. Стеклоэмали
применяются при изготовлении химической и пищевой аппаратуры, посуды, изделий
санитарной техники, труб, вывесок, облицовочных плиток, ювелирных изделий.
Оптическая промышленность и оптическое стекло
позволили создать современные точнейшие оптические приборы во всем разнообразии
их типов и назначений (обычные очки, микроскопы, телескопы, фото- и
киноаппараты и др.).
Особо чистое кварцевое стекло используется для
изготовления волоконных световодов при создании волоконно-оптических линий
связи, позволяющих передавать большие объемы информации. Отдельный класс стекол
образуют так называемые лазерные стекла. Это многокомпонентные стекла различной
природы (силикатные, фосфатные, фторбериллатные, боратные, теллуритные и др.),
активированные неодимом. Лазеры могут быть миниатюрными, как, например,
используемые в медицине, и могут представлять собой мощные системы, применяемые
в термоядерном синтезе. Лазеры применяются также в научных исследованиях,
геодезии, при точной обработке металлов.
Из краткого обзора областей применения стекла
очевидно, что необходимо изготавливать стекла, разные по свойствам:особо
химически стойкие, особо прочные механически, обладающие определенными
коэффициентами термического расширения, заданными оптическими и электрическими
константами и др. Поэтому неудивительно, что исследователи прилагают много
усилий для постижения природы стекла, выяснения влияния разнообразных факторов
на его различные свойства.
Стекло в строительстве и интерьере
СТЕКЛО СТРОИТЕЛЬНОЕ - изделия из стекла,
применяемые в строительстве.
Строительное стекло содержит (%):75-80% SiO2,
10-15% CaO, Около 15% Na2O.
Оно служит для остекления световых проёмов,
устройства прозрачных и полупрозрачных перегородок, облицовки и отделки стен,
лестниц и других частей зданий. К строительным стеклам, относят также тепло- и
звукоизоляционные материалы из стекла (пеностекло и стеклянная вата),
стеклянные трубы для скрытой электропроводки, водопровода, канализации и других
целей, архитектурные детали, элементы стекложелезобетонных перекрытий и т. д.
Большая часть ассортимента строительного стекала
служит для остекления световых проёмов:листовое оконное стекло, зеркальное,
рифлёное, армированное, узорчатое, двухслойное, пустотелые блоки и др. Тот же
ассортимент стекла может быть использован и для устройства прозрачных и
полупрозрачных перегородок.
Листовое оконное стекло, наиболее широко
применяемое в строительстве, вырабатывается из расплавленной стекломассы,
главным образом вертикальным или горизонтальным непрерывным вытягиванием ленты,
от которой по мере её охлаждения и затвердевания отрезаются от одного конца
листы требуемых размеров. Существенным недостатком листового оконного стекла
является наличие некоторой волнистости, искажающей предметы, просматриваемые через
него (в особенности под острым углом).
Зеркальное стекло обрабатывается шлифованием и
полировкой с обеих сторон, благодаря чему оно обладает минимальными оптическим
искажениями. Современный наиболее распространённый способ производства
зеркального стекла состоит в горизонтальной непрерывной прокатке стекломассы
между двумя валами, отжиге отформованной ленты в туннельной печи, шлифовке и
полировке намеханизированных и автоматизированных конвейерных установках.
Зеркальное стекло изготовляется толщиной от 4 мм и выше (в особых случаях - до
40 мм), для варки его применяют высококачественные материалы, поэтому оно
обладает и более высоким светопропусканием, чем обычное оконное стекло;
применяется главным образом для остекления окон и дверей в общественных зданиях,
витрин и дляизготовления зеркал; механические свойства мало отличаются от
механических свойств оконного стекла.
Прокатное узорчатое стекло имеет узорчатую
поверхность, получаемую путём прокатки между двумя валками, один из которых
рифлёный; вырабатывается как бесцветное, так и цветное; применяется в тех
случаях, когда требуется получить рассеянный свет.Узорчатое стекло с матовыми
или «морозным» рисунком применяется для внутренних перегородок, дверных филёнок
и остекления лестничных клеток; изготовляется путём обработки поверхности
оконного или зеркального стекла. Матовый рисунок получается обработкой
поверхности струей песка под шаблон. Рисунок, напоминающий морозный узор на
стекле, получают нанесением на поверхность слоя животного клея, который в процессе
сушки отрывается вместе с верхними слоями стекла.
Армированное стекло содержит в толще своей
проволочную сетку; оно более прочно, чем обычное; при разбивании ударами или
растрескивании во время пожара осколки его рассыпаются, будучи связанными арматурой;
поэтому армированное стекло применяют для остекления фонарей промышленных и
общественных зданий, кабин подъёмников, лестничных клеток, проёмов
противопожарных стен. Вырабатывается методом непрерывного проката между валками
с закаткой проволочной сетки, сматываемой с отдельного барабана. Волнистое
армированное стекло, по форме напоминающее волнистые асбестоцементные листы,
применяется для устройства перегородок, фонарей, перекрытия стеклянных галерей
и пассажей.
Сдвоенные (пакетные) стекла с воздушной или
светорассеивающей прослойкой (например, из стеклянного волокна)обладают
хорошими теплоизоляционными свойствами; изготовляются путём склейки 2 оконных
стекол спрокладной рамкой. Толщина сдвоенных стекол с воздушной прослойкой
12-15 мм. Пустотелые стеклянные блоки изготовляются путём прессования и
последующей сварки двух стеклянных полукоробок; применяются для заполнения
световых проёмов, главным образом в промышленных зданиях; обеспечивают хорошую
освещённость рабочих мест и обладают высокими теплоизоляционными свойствами.
Укладка блоков в проёмы производится на строительном растворе в виде панелей,
перевязанных металлич. переплётами.
Облицовочное стекло (марблит) представляет собой
непрозрачное цветное листовое стекло.
Изготовляется путём периодической прокатки
стекломассы на литейном столе с последующим отжигом в туннельных печах.
Применяется для отделки фасадов и интерьеров жилых и общественных зданий. К
облицовочному стеклу относится также цветное металлизированное стекло.
Рис. 4
СТЕКЛО КВАРЦЕВОЕ - содержит не менее 99% SiO -
(кварца). Кварцевое стекло выплавляют при температуре более 1700° С из самых
чистых разновидностей кристаллического кварца, горного хрусталя, жильного
кварца или чистых кварцевых песков. Кварцевое стекло пропускает
ультрафиолетовые лучи, имеет очень высокую температуру плавления, благодаря
небольшому коэффициенту расширения выдерживает резкое изменение температур,
стойкое по отношению к воде и кислотам. Кварцевое стекло применяют для
изготовления лабораторной посуды, тиглей, оптических приборов, изоляционных
материалов, ртутных ламп («горное солнце»), применяемых в медицине и др.
СТЕКЛО ОРГАНИЧЕСКОЕ (плексиглас) - прозрачная
бесцветная пластическая масса, образующаяся при полимеризации метилового эфира
метакриловой кислоты. Легко поддается механической обработке. Применяется как
листовое стекло в авиа- и машиностроении, для изготовления бытовых изделий,
средств защиты в лабораториях и др.
СТЕКЛО РАСТВОРИМОЕ - смесь силикатов натрия и
калия (или только натрия), водные растворы которых называются жидким стеклом.
Растворимое стекло применяют для изготовления кислотоупорных цементов и
бетонов, для пропитки тканей, изготовления огнезащитных красок, силика-геля,
для укрепления слабых грунтов, канцелярского клея и др.
СТЕКЛО ХИМИКО-ЛАБОРАТОРНОЕ - стекло, обладающее
высокой химической и термической стойкостью. Для повышения этих свойств в
состав стекла вводят оксиды цинка и бора.
СТЕКЛОВОЛОКНО - искусственное волокно строго
цилиндрической формы с гладкой поверхностью, получаемое вытягиванием или
расчленением расплавленного стекла. Широко применяется в химической
промышленности для фильтрации горячих кислых и щелочных растворов, очистки
горячего воздуха и газов, изготовления сальниковых набивок в кислотных насосах,
армирования стеклопластиков и др.
Почему в домашнем интерьере мало применяется
стекло? Наверное, потому, что еще сильно предубеждение, что оно не прочно и
опасно своими острейшими осколками при разрушении.
Но присмотритесь, сколько стеклянных изделий нас
окружает и служит нам годами:зеркала в прихожей и ванной, окна, в серванте и
книжном шкафу.
Много ли из них у вас разбивалось и приносило
неприятности?
Думается, что нет, по крайней мере, ничуть не
больше других предметов домашнего интерьера.
Более смело применяется стекло в офисных
помещениях. Деловые люди давно оценили преимущество стекла перед другими
материалами. Это его способность при перепланировке помещения не уменьшать
количество света.
|
Материал
|
Предел
прочности при
|
Ударная
прочность
|
|
сжатии
|
растяжении
|
изгибе
|
|
|
Сталь
|
200
Мпа
|
200
Мпа
|
200
Мпа
|
200
Мпа
|
|
Стекло
|
1500
Мпа
|
50
Мпа
|
20
Мпа
|
6
Мпа
|
|
Стекло
закалённое
|
1100
Мпа
|
300
Мпа
|
200
Мпа
|
30
Мпа
|
Из этой таблицы видно, насколько разными
характеристиками обладает стекло при различных нагрузках. Максимальную
прочность стекло имеет при сжатии (в 7 раз прочнее стали!). Самое слабое место
стекла - его невосприимчивость к ударам. Но эту характеристику можно улучшить в
5 раз закалкой. Повысить ударную прочность еще в несколько раз, склеивание
стекла между собой. Получиться "триплекс". По такой технологии
делается автомобильное стекло и бронестекло. Даже разрушавшись, оно сохраняет
свою несущую способность. Таким образом, можно компенсировать недостатки стекла
и сделать его прочность подобным другим материалом.
Самое главное преимущество стекла перед другими
материалами - это его прозрачность. Современная архитектура сейчас явно стремиться
к максимуму естественного света и минимуму контрасту с окружающей природой.
Единственный материал при этом можно использовать, это стекло. Потому и
существует огромное количество его разновидностей. Стекло можно сделать
цветным, навести на него рисунок, сделать солнцезащитным или энергосберегающим
(при внешнем остеклении). При оформлении интерьеров можно использовать
различную обработку стекла:полирование кромок, нанесение фацетов, тонирование,
молирование (гибка стекла в термокамере), пескоструйную обработку и множество
других операций. Любую идею дизайнера можно перенести на стекло.
Еще одно из важнейших свойств стекла - это его
экологичность. Основой стекла является кремний. Его соединения, силикаты,
распространены в природе в огромном количестве минералов. Ни сырье, ни сам
продукт - стекло, не наносит природе ни какого вреда.
Оформление интерьера- это сложный творческий
процесс, который требует массы сил, фантазий и навыков. Конечно же, можно
воспользоваться услугами профессионального дизайнера интерьера, который поможет
быстро и качественно спланировать все нюансы и моменты, касательные оформления
квартир или домов. Сегодня нам известно огромное множество современных стилей в
дизайне интерьера, но не зная их особенностей и значения, потеряться в стилях
очень несложно. Хай- тек, постмодерн, модерн, классицизм, минимализм и многие
другие. Прочитав названия достаточно непонятно, что из себя представляет то или
иное направление в дизайне.
Очень популярным сегодня является стиль
"Хай- тек", это совершенно неудивительно, ведь входящие в интерьер
детали и элементы выполнены из стекла, металла и пластика. В комнате,
выполненной в подобном стиле часто встречаются стеклянные полы и стеклянные
межкомнатные двери. Это выглядит не только очень модно и стильно, но и
обеспечивает квартиру множеством полезных функций. Стекло изолирует помещение
от излишних шумов и температур. Кроме всего прочего, современные стеклянные
элементы дома настолько прочны, что могут посоревноваться в качественных
показателях даже с древесиной и металлом.
При отделке интерьера не менее распространено
именно цветное стекло.
Обычная стеклянная масса после остывания имеет
желтовато-зелёный или голубовато-зелёный оттенок. Стеклу можно придать окраску,
если в состав шихты произвести включение, например, тех или иных оксидов
металлов, которые в процессе варки изменят его структуру, что после остывания,
в свою очередь, заставляет стёкла выделять определённые цвета из спектра
проходящего сквозь них света. Железистые соединения окрашивают стекло в цвета -
от голубовато-зелёных и жёлтых до красно-бурых, окись марганца - от жёлтых и
коричневых до фиолетовых, окись хрома - в травянисто-зелёный, окись урана - в
желтовато-зелёный (урановое стекло), окись кобальта - в синий (кобальтовое
стекло), окись никеля - от фиолетового до серо-коричневого, окись сурьмы или
сульфид натрия - в жёлтый (в самый же красивый жёлтый окрашивает, однако,
коллоидное серебро), окись меди - в красный (так называемый медный рубин в
отличие от золотого рубина, получаемого прибавкой коллоидного золота). Костяное
стекло получается замутнением стекломассы пережжённой костью, а молочное -
прибавкой смеси полевого и плавикового шпата. Теми же прибавками, замутив
стекломассу в очень слабой степени, получают опаловое стекло. Окрашенные стёкла,
помимо других областей применения, используют в качестве цветных светофильтров.
Каленое стекло выдерживает огромные массы,
поэтому половое покрытие, выполненное из этого материала будет служить долгое
время и при этом показывать самые достойные характеристики. Во- первых, за
стеклянными элементами очень удобно ухаживать, достаточно регулярно протирать
пол или двери специальными средствами для стекла, которые не включают в свой
состав абразивов. Стеклянный пол может быть выполнен из глянцевого (блестящего)
стела, а может быть матовым. Это еще и очень характерно для тех помещений,
которые требуют визуального увеличения пространства. Стеклянные двери могут
быть также матовыми или прозрачными глянцевыми. А также специально по заказу
можно приобрести уникальную межкомнатную дверь с внутренним рисунком по стеклу,
выполненным лазером. Это очень оригинально и эффектно.
Посуда из стекла
Способность "принимать" и сохранять
пищу, и напитки определяется следующими групповыми показателями:химической
стойкостью к пище и напиткам, стойкостью к атмосферным воздействиям, стойкостью
к тепловым воздействиям, стойкостью к механическим воздействиям. Способность
"отдавать" пищу и напитки:функциональностью объемно-пространственного
решения и универсальностью.
Эргономические свойства предопределяют прежде
всего удобство (комфортность) пользования и гигиеничность стеклоизделий.
Комфортность бытовой посуды определяется удобством держания, переноса,
выполнения функций хранения, мойки, а также удобством транспортирования и хранения.
Гигиенические свойства обусловлены прежде всего природой и свойствами стекла и
характеризуются такими групповыми показателями как безвредность и
загрязняемость.
Механические свойства стекла характеризуются
отсутствием пластических деформаций, высокой прочностью при сжатии (500-800
МПа) и низкой при растяжении, изгибе (25-100 МПа) и особенно при ударе (15-20
МПа). Прочность зависит от химического состава:увеличивается от наличия в
составе стекла SiO2, Аl2Оз, В2Оз, МgО и уменьшается от присутствия щелочных
оксидов, РЬО. Однако решающее влияние оказывает внутренняя структура стекла,
состояние поверхности, наличие на ней дефектов. Прочность повышают путем
закалки, ионного обмена в расплавах солей, нанесения на поверхность
оксидно-металлических покрытий и другими приемами.
Термические свойства стекла характеризуются
весьма низкой теплопроводностью, значительной теплоемкостью и термическим
расширением. Термическая устойчивость изделий увеличивается с повышением
механической прочности стекла, теплопроводности и с уменьшением термического
расширения и теплоемкости. Мерой термостойкости служит перепад температур,
который выдерживает изделие без разрушения. Термостойкость кварцевого стекла -
1000°С, посуды из сортового стекла - 95°, посуды из ситаллов - 300-600°С.
Стекло оптическое - прозрачное стекло любого
химического состава, обладающее высокой стептнью однородности. Содержат 46,4%
РЬО, 47,0% Si0 и другие оксиды; кроны - 72% SiO щелочные и другие оксиды.
Оптическое стекло применяется для изготовления
линз, призм, кювет и др. Стекло для оптических приборов изготовлялось уже в 18
веке, однако возникновения собственно производства оптического стекла относится
к началу 19 века, когда швейцарским учёным П. Гинаном был изобретён способ
механического размешивания стекломассы во время варки и охлаждения - круговым
движением глиняного стержня, вертикальнопогруженного в стекло. Этот приём,
сохранившийся до настоящего времени, позволил получить стекло высокой степени
однородности. Производство оптического стекла получило дальнейшее развитие
благодаря совместным работам немецких учёных Э. Аббе и Ф.О. Шотта, в результате
которых в 1886 возник известный стекольный завод товарищества Шотт в Иене
(Германия), впервые выпустивший огромное многообразие современных оптических
стекол. До 1914 производство оптического стекла существовало только в Англии,
Франции и Германии. В России начало производства оптического стекла относится к
1916. Оно достигло большого развития только после
Великой Октябрьской социалистической революции
благодаря работам советских учёных Д.С. Рождественского, И.В. Гребенщикова,
Г.Ю. Жуковского, Н.Н. Качалова и др.
Основное требование, предъявляемое к оптическому
стеклу - это высокая степень однородности. Отсутствие однородности вызывает
отклонение лучей света от их правильного пути, что делает стекло негодным для
его прямого назначения. Однородность оптического стекла нарушается причинами
химического и физического порядка. Химическая неоднородность обусловлена
местными изменениями химического состава и устраняется размешиванием
оптического стекла в процессе варки. Физическая неоднородность вызывается
напряжениями, возникающими в процессе охлаждения оптического стекла, и
устраняется тщательным отжигом. Оптическое стекло должно иметь определённые
оптические свойства - точные величины показателей преломления для лучей
различных длин волн. Большой ассортимент оптического стекла с различными
показателями преломления и средней дисперсией имеет огромное значение при
расчёте и конструировании оптич. систем для снижения их дефектов, в частности
для уничтожения вредного влияния вторичного спектра и исправления качества
изображения.
Оптические свойства стекла зависят от его
химического состава. Разнообразным сочетанием окислов удаётся получить стекло с
требуемыми значениями оптических постоянных. Некоторые сорта оптического
стекла, например, не содержат кремнезёма (основного составляющего любого
стекла), другие содержат обычно применяемые окислители, но в чрезвычайно
больших количествах. Прозрачность оптического стекла должна быть высокой,
порядка 90-97% на 100 мм пути луча в стекле. Оптическое стекло должно быть
химически устойчивым по отношению к действию влажной атмосферы и к действию
слабых кислот, характеризующему «пятнимость» их, т.е. чувствительность к
прикосновению рук.
Для производства оптического стекла применяются
такие же сырьевые материалы, как и для других типов стекол. Однако требования к
чистоте сырья весьма высоки. Особенно вредными примесями являются соединения
железа и хрома, окрашивающие стекло и увеличивающие его светопоглощение. Варка
оптического стекла производится в одно-, двухгоршковых печах. Важнейшая
операция в производстве оптического стекла размешивание стекла в процессе варки
и особенно в процессе охлаждения.
Для разделки оптического стекла применяются три
способа:
) охлаждение стекла вместе с горшком с
последующей разбивкой на куски и формовкой этих кусков в нагретом состоянии;
) отливка стекломассы в железную форму;
) прокатка в лист отлитой на стол стекломассы.
Оптические стекла выпускаются стекловаренными
заводами в виде прямоугольных кусков различных размеров «плитки» и в виде
заготовок - «прессовки» (линзы, призмы). К оптическим стеклам можно отнести
также и специально окрашенные цветные стекла, применяемые для изготовления
точных светофильтров, которые в виде плоскопараллельных пластин часто
применяются в оптических приборах и служат для изменения спектрального состава
проходящего через них света. Эти цветные стекла изготовляются на заводах
оптического стекла теми же приёмами, что и оптическое стекло.
История стекла
Долгое время первенство в открытии стеклоделия
признавалось за Египтом, чему несомненным свидетельством считались
глазурованные стеклом фаянсовые плитки внутренних облицовок пирамиды Джессера
(27ой век до н.э.); к ещё более раннему периоду (первой династии фараонов)
относятся находки фаянсовых украшений, то есть стекло существовало в Египте уже
5 тысяч лет назад. Археология Двуречья, в особенности - Древних Шумера и
Аккада, склоняет исследователей к тому, что немногим менее древними образцом
стеклоделия следует считать памятник, найденный в Месопотамии в районе Ашнунака
- цилиндрическую печать из прозрачного стекла, датируемую периодом династии
Аккада, то есть возраст её - около четырёх с половиной тысяч лет. Бусина
зеленоватого цвета диаметром около 9 мм, хранящаяся в Берлинском музее,
считается одним из древнейших образцов стеклоделия. Найдена она была
египтологом Флиндерсом Питри около Фив, по некоторым представлениям ей пять с
половиной тысяч лет. Н. Н. Качалов отмечает, что на территории
Старовавилонского царства археологи регулярно находят сосудики для благовоний
местного происхождения, выполненные в той же технике, что и египетские. Учёный
утверждает - есть все основания считать, «что в Египте и в странах Передней
Азии истоки стеклоделия… отделяются от наших дней промежутком приблизительно в
шесть тысяч лет».
Существует также несколько легенд, с той или
иной степенью правдоподобия толкующих возможные предпосылки того, как сложилась
технология. Н. Н. Качалов воспроизводит одну из них, поведанную античным
естествоиспытателем и историком Плинием Старшим (I век). Эта мифологическая
версия гласит, что однажды финикийские купцы на песчаном берегу, за неимением
камней, сложили очаг из перевозимой ими африканской соды - утром на месте
кострища они обнаружили стеклянный слиток.
Изучающие историю происхождения этого материала
когда-нибудь придут к единому мнению и относительно места - Египет, Финикия или
Месопотамия, Африка или Восточное Средиземноморье и т. д., - и относительно
времени - «около 6 тысяч лет назад», но характерную для феноменологии
естествознания черту - «синхронность открытий», можно наблюдать по некоторым
признакам и в данном случае, причём не имеет большого значения разница даже в
сотни лет, в особенности, когда в реконструируемом способе варки стекла
прослеживаются существенные различия.
Актуальность легенд, повествующих о зарождении
стеклоделия, сводится не столько к историческим и этногеографическим аспектам,
которые с точки зрения теории познания лишь косвенно важны, - сколько к
происхождению технологии как таковой, словно отделившейся от «случайных»
процессов гончарных ремёсел, и ставшей отправной точкой для создания материала
с новыми свойствами - первым шагом к управлению ими, а в дальнейшем - к
постижению строения.
В изучении технологии египетского стекловарения
определённых успехов добился английский исследователь А. Лукас. Его сведения
дают следующее представление о развитии стекольного производства Египта
«архаического» периода, который заканчивается IV тысячелетием до н. э.
Так называемый «египетский фаянс» (бусы,
амулеты, подвески, небольшие пластинки для инкрустаций) представляет собой
изделия, покрытые зеленовато-голубой глазурью. Отнесение их к тому, с чем
ассоциируется в настоящее время «фаянс» нельзя считать правильным, поскольку
отсутствует главный признак этой категории изделий - глиняный черепок. Известен
египетский фаянс с «черепком» трёх родов:стеатит, мягкая кварцевая мука и
цельный природный кварц. Существует мнение, что наиболее ранние образцы
изготовлены из стеатита. Минерал этот по составу представляет собой силикат
магния, он присутствует в природе в больших количествах. Изделия, вырезанные из
куска стеатита, для получения глазури покрывались порошкообразной смесью из
сырых материалов, входящих в её состав, и обжигались. Глазурь эта, по
химическому составу представляющая собой силикат натрия с небольшой примесью
кальция - не что иное как легкоплавкое стекло, окрашенное в голубые и
зеленовато-голубые тона медью, иногда с изрядной примесью железа.
Египетские стеклоделы плавили стекло на открытых
очагах в глиняных мисках. Спёкшиеся куски бросали раскалёнными в воду, где они
растрескивались, и эти обломки, так называемые фритты, растирались в пыль
жерновами и снова плавились.
Фриттование использовалось ещё долго после
Средневековья, поэтому на старых гравюрах и при археологических раскопках мы
всегда находим две печи - одну для предварительной плавки и другую для плавки
фритт. Необходимая температура проплавления составляет 1450 °C, а рабочая
температура - 1100-1200 °C. Средневековая плавильная печь («гуть» - по чешски)
представляла собой низкий, топящийся дровами свод, где в глиняных горшках
плавилось стекло. Выложенная только из камней и глинозёма, долго она не
выдерживала, но надолго не хватало и запаса дров. Поэтому, когда лес вокруг
гуты вырубали, её переводили на новое место, где леса было ещё в достатке. Ещё
одной печью, обычно соединяемой с плавильной, была отжигательная печь - для
закалки, где готовое изделие нагревалось почти до точки размягчения стекла, а затем
- быстро охлаждалось, чтобы тем самым компенсировать напряжения в стекле
(предотвратить кристаллизацию). В виде такой конструкции стеклоплавильная печь
продержалась до конца XVII века, однако нехватка дров вынуждала некоторые гуты,
особенно в Англии, уже в XVII веке переходить на уголь; а так как
улетучивающаяся из угля двуокись серы окрашивала стекло в жёлтый цвет,
англичане начали плавить стекло в замкнутых, так называемых крытых горшках.
Этим плавильный процесс затруднялся и замедлялся, так что приходилось
подготавливать шихту не такой твёрдой, и тем не менее однако уже в конце XVIII
века преобладающей делается топка углем. Интересны сведения, имеющие отношение
и к истории стекла и тому факту, что стекло, в общем смысле, за время своего
существования, в отличие от многих других материалов, не претерпело практически
никаких изменений (самые ранние образцы того, что стали называть стеклом ничем
не отличаются от известного всем - бутылочного; исключением, конечно, являются
виды стёкол с заданными свойствами), однако в данном случае речь идёт о
веществе и материале минерального происхождения, нашедшем применение в
современной практике.
Рис. 4 - Диатрета. Вторая половина IV века
Рис. 5 - Скифос. Цветное стекло. Восточное
Средиземноморье. Первая половина I в. Эрмитаж
Заключение
Несмотря на то, что стекло известно с древнейших
времен и находит широкое применение практически во всех областях человеческой
деятельности, природа стеклообразного состояния, понимание процессов
стеклования на атомно-молекулярном уровне далеки от создания теории
стеклообразного состояния, аналогичной по своей общности теории
кристаллического состояния. Жаркие дискуссии по определению понятия
«стеклообразное состояние» отражают сложность решаемой проблемы. По сравнению с
началом века к настоящему времени в связи с развитием техники
структурно-чувствительных методов исследования стекла, а также некоторых
разделов теоретической физики, примененных к интерпретации полученных
экспериментальных результатов и созданию новых модельных представлений,
произошло существенное углубление взглядов на стекло. Оно выражается в переходе
от качественных гипотез (кристаллитная гипотеза и гипотеза беспорядочной сетки)
к выработке количественных критериев для описания стеклообразного состояния.
Не вызывает сомнения, что развитие исследований
в этой области будет стимулировать дальнейшее совершенствование прогнозирования
составов стекол с заданными свойствами, их технологий изготовления,
экспериментальных и теоретических методов исследования.
Список используемой литературы
1.
http://ru.wikipedia.org/wiki/Стекло и другие Интернет-ресурсы.