Провал государства
Введение
Актуальность темы исследования высока, так как вызовы, с
которыми сталкиваются современные общества, многочисленны и разнородны (от
экономических трудностей и терроризма до инфекционных заболеваний и загрязнения
окружающей среды), но, несмотря на все многообразие проблем, общим и неизменным
условием их преодоления является повышение эффективности деятельности
государства. Осознание указанного факта породило всемирную волну
широкомасштабных реформ, направленных на переосмысление роли государства и преобразование
публичных институтов. И все более заметное место в рамках данных реформ, наряду
с изменениями в политической сфере, приобретает реорганизация системы
государственного управления: вопрос состоит не только в корректировке
содержания и процессов формирования политических целей, но и в
совершенствовании аппарата, призванного эти цели воплощать в жизнь.
В этой связи целью настоящего реферата является экономическое
обоснование деятельности бюрократического аппарата государства и выявление
логики современных административных реформ. В работе прослеживаются основные
этапы и закономерности перехода от классической бюрократической к современной
рыночно-центристской модели государственного управления.
Предметом исследования является современная государственная
экономическая политика.
Объектом выступает анализ провалов государства,
бюрократической монополии и неэффективности, а также анализ модели Нисканена.
1. Теоретические аспекты провалов государства
1.1 Сущность провала
государства
«Провалы» (фиаско) государства (правительства) (government
failure) - это случаи, когда государство (правительство) не в состоянии
обеспечить эффективное распределение и использование общественных ресурсов.
Обычно к «провалам» государства относят: 1. Ограниченность необходимой для
принятия решений информации. Подобно тому как на рынке возможно существование
асимметричной информации, так и правительственные решения могут приниматься
часто при отсутствии надежной статистики, учет которой позволил бы принять
более правильное решение. Более того, наличие мощных групп с особыми
интересами, активного лобби, мощного бюрократического аппарата приводит к
значительному искажению даже имеющейся информации.
. Несовершенство политического процесса. Напомним лишь
основные моменты: рациональное неведение, лоббизм, манипулирование голосами
вследствие несовершенства регламента, логроллинг, поиск политической ренты,
политико-экономический цикл и т.д.
. Ограниченность контроля над бюрократией. Стремительный рост
государственного аппарата создает все новые и новые проблемы в этой области.
. Неспособность государства полностью предусмотреть и
контролировать ближайшие и отдаленные последствия принятых им решений. Дело в
том, что экономические агенты часто реагируют отнюдь не так, как предполагало правительство.
Их действия сильно изменяют смысл и направленность предпринятых правительством
акций (или законов, одобренных законодательным собранием). Мероприятия,
осуществляемые государством, вливаясь в общую структуру, часто приводят к
отличным от первоначальных целей последствиям. Поэтому конечные результаты
действий государства зависят не только, а нередко и не столько от него самого.
Деятельность государства, направленная на исправление
«провалов» рынка, сама оказывается далекой от совершенства. К фиаско рынка
добавляется фиаско правительства. Поэтому необходимо строго следить за
последствиями его деятельности и корректировать ее в зависимости от
социально-экономической и политической конъюнктуры. Экономические методы должны
применяться таким образом, чтобы они не подменяли действия рыночных сил.
Используя те или иные регуляторы, правительство должно строго следить за
негативными эффектами и заблаговременно принимать меры по ликвидации негативных
последствий.
1.2
Провалы рынка и провалы государства
Классическая теория внесла существенные коррективы в
представления об экономических функциях государства в рыночной экономике. А.
Маршалл (Alfred Marshall) ввел понятие «внешние эффекты» (экстерналии) и
показал, что они могут ограничивать сферу рыночного регулирования. Ученик и
последователь Маршалла А. Пигу (Arthur Cecil Pigou) продемонстрировал, что
возникающее вследствие этих эффектов расхождение между величинами частного и
общественного предельных продуктов не позволяет «нормальным экономическим
процессам» обеспечить возможный рост национального дохода. Указанные
соображения послужили основой для формулирования известного понятия «провалы
рынка», наличие которых побуждает многих авторов считать урегулирование
названных проблем функцией государства.
Реальное расширение хозяйственных функций государства в
прошлом веке было обусловлено, разумеется, не только и не столько указанными
теоретическими соображениями, сколько серьезными потрясениями общественной
жизни, связанными прежде всего с двумя мировыми войнами и разразившейся в
межвоенное время Великой депрессией. Но и после окончания Второй мировой войны
(и соответствующего сокращения военных расходов) на протяжении трех десятилетий
- в 1950-е - 1970-е годы - наметилась отчетливая тенденция к расширению позиций
государства в экономике промышленно развитых и особенно бывших колониальных
стран.
Представители либерального («неолиберального»,
«неоконсервативного») течения выступили против «чрезмерного вмешательства»
государства в хозяйственную жизнь. В расширении сферы государственного
предпринимательства и централизованного регулирования «классик» современного
либерализма Ф. Хайек (Friedrich August von Hayek) видит, прежде всего,
нарушение основных прав граждан, ограничение свободы участников рыночных
отношений. Вместе с тем, отстаивая теоретическую трактовку конкуренции как
творческого процесса, он вполне обоснованно, на наш взгляд, пишет о
невозможности более или менее точно подсчитать убытки из-за ограничения
экономических свобод. «В отличие от непосредственных результатов вмешательства
в рыночный порядок, которые в большинстве случаев достаточно очевидны,
косвенные и отдаленные последствия по большей части остаются неизвестны… Нам не
дано знать обо всех издержках, понесенных в результате подобного вмешательства…».
Накопление отрицательных последствий государственной
активности побудило экономистов сформулировать параллельно категории «провалы
рынка» категорию «провалы государства».
Даже в демократическом обществе соперничество в политической
сфере не всегда предполагает тщательное изучение подлинных предпочтений
населения и выявление лучших возможностей их удовлетворения
В 1979 г. Ч. Вульф (Charles Wolf) предложил «теорию
нерыночного провала» (nonmarket failure), развив затем свою концепцию в книге
«Рынки или государство». Позднее чаще употребляли термин «провалы государства».
Так, Э. Крюгер (Anne Osborn Krueger) в 1990 г. высказала следующую гипотезу: «В
некоторых случаях политика, - которая в других случаях могла бы казаться
желательной для решения каких-то неэкономических задач или даже для
корректировки «провалов рынка», - может порождать такую ситуацию, которая
окажется еще хуже, чем была до того, как эта политика начала осуществляться». О
различных «провалах государства» все чаще писали и сторонники теории общественного
выбора.
Постепенно разные версии концепции «провалов государства»
встали в один ряд с концепцией «провалов рынка».
Теоретическая модель, описывающая поведение государства, не
только сталкивается на практике с многочисленными трудностями, связанными с
попытками однозначно количественно определить «общественное благосостояние», а
также с тем, насколько в действительности можно выявить исходную информацию
относительно предпочтений отдельных участников рассматриваемого процесса.
Роль информации
Поскольку целеполагание, определение курса хозяйственной
политики (в широком смысле слова) требуют обширной информации, при анализе
экономических функций общественного сектора исходным пунктом выступает решение
проблем сбора и обработки информации, необходимой для выбора направления
государственной деятельности. Ситуация в данной сфере принципиально отличается
от обычной практики частного предпринимательства. Анализируя функционирование
рыночных механизмов, современная экономическая теория показывает, как в ходе
взаимодействия конкурентных сил выявляются реальные предпочтения отдельных
участников, и накопление соответствующей информации здесь неотделимо от
операций купли-продажи товаров, аренды реальных активов и т.д.
Когда государственные компании осуществляют более или менее
стандартные рыночные операции, их реакция, как правило, оказывается менее
гибкой, а когда государство предоставляет услуги, которые рынок не может
обеспечить (производство общественных благ), информация о предпочтениях
участников просто отсутствует.
Автор концепции «выявленных предпочтений» П. Самуэльсон (Paul
Samuelson) констатировал: трудно (если вообще возможно) представить механизмы,
которые позволяют выявить предпочтения, относящиеся к выбору между
общественными благами. Многое из сказанного относится и к распределительной
политике государства, включая наделение частными благами.
Леонид Гурвич теоретически обосновал, что функционирование
децентрализованных рыночных механизмов предъявляет меньшие требования к
необходимой исходной информации, чем функционирование централизованных
У. Викри (William Spencer Vickrey) и другие экономисты
предложили оригинальные игровые схемы (процедуры), которые могли бы помочь
выявить предпочтения относительно общественных благ. В качестве само собой
разумеющейся используется предпосылка, согласно которой средства, вносимые
участником, направляются исключительно на финансирование предпочитаемого им
общественного блага. Ответы опрашиваемых участников не могут быть просто «да»
или «нет», подчас требуются не только высокий уровень общей осведомленности, но
и достаточно сложные выкладки. Необходимо, например, предложить собственную
денежную оценку выгод, которые обеспечивает данному участнику соответствующее
общественное благо.
В связи с конструированием новых процедур выявления
предпочтений в отношении общественных благ возник особый раздел
микроэкономической теории - «конструирование механизмов» (mechanism design), в
том числе более общих, обеспечивающих аллокацию ресурсов. Предлагаемые
аналитические конструкции способствовали формированию новых направлений в
теории аукционов и некоторых других областях, но все же по-прежнему актуален
вопрос практической значимости этих «мысленных экспериментов».
Когда предпочтения носят индивидуальный характер, неизбежно
возникают проблемы их агрегирования. Если бы даже существовали более
реалистичные механизмы, позволяющие выявить предпочтения отдельных участников
относительно удовлетворения их «нерыночных» потребностей, государство неизбежно
столкнулось бы с трудными проблемами межличностного сравнения индивидуальных
полезностей и коллективного выбора. Из «теорем невозможности» Эрроу (Kenneth
Joseph Arrow) и Гиббарда-Сэттертуэйта (Gibbard-Satterthwaite theorem) следует,
что если соблюдены последовательные условия выражения индивидуальных
предпочтений, то процедуры голосования могут оказаться совместимыми лишь с
«диктаторским» правилом выбора.
Особенно важным представляется следующее обстоятельство:
существующие методы выявления индивидуальных «нерыночных» предпочтений не
позволяют создавать механизмы, способствующие повышению аллокационной
эффективности. Если бы участники хозяйственного процесса честно сообщали о
своих предпочтениях, отмечает Т. Тайдман (Т. Nicolaus Tideman) «это
обеспечивало бы информацию, которая требуется для осуществления улучшения по
Парето, но любое подозрение насчет того, что указанная информация будет
использована для улучшения по Парето… станет побуждать людей к тому, чтобы
предоставлять неверную информацию».
В результате возникают многочисленные трудности в выявлении и
соответствующем использовании информации относительно предпочтений всех
участников и формирования основы, на которую должна опираться государственная
деятельность, а вместе с тем - процедур «общественного выбора». На практике это
проявляется прежде всего в чрезмерно общих и расплывчатых, плохо поддающихся
четким определениям, теоретических рекомендациях относительно «желательной»
активности государства. При этом речь идет не только о формулировках,
призванных охарактеризовать общие цели государства в сфере экономики, но и, как
явствует из некоторых специальных исследований, об определении конкретных задач
тех или иных государственных учреждений.
2.
Теоретические основы бюрократической монополии и неэффективности
.1
Экономическая сущность бюрократической монополии
Конкурентная отрасль производит в точке, где цена равна
предельным издержкам. Монополизированная отрасль производит в точке, где цена
выше предельных издержек. Следовательно, если фирма ведет себя скорее как
монополия, чем как конкурентная, в общем случае цена будет выше, а выпуск -
ниже, чем при чистой конкуренции. По этой причине в отрасли с монополистической
структурой благосостояние потребителей обычно бывает ниже, чем в отрасли с
конкурентной структурой.
Однако это лишнее доказательство того, что благосостояние
фирмы будет выше! Если принять в расчет и фирму, и потребителя, то неясно,
какая форма устройства отрасли «лучше» - конкуренция или монополия. Возникает
впечатление, что для ответа на этот вопрос необходимо оценить относительное
благосостояние потребителей и владельцев фирм, опираясь на определенную систему
социально-философских и морально-этических ценностей. Однако, как мы увидим,
можно выступать против монополии и лишь на основании соображений об
эффективности как таковой.
Рассмотрим ситуацию для монополии, подобную представленной на
рис. 2. Предположим, что нам каким-то образом удалось бы без издержек заставить
данную фирму вести себя как конкурентная, принимающая рыночную цену заданной
извне. Тогда мы обозначили бы конкурентную цену и конкурентный объем выпуска
через pс, yс. Напротив, если бы фирма признавала свое
влияние на рыночную цену и выбирала объем выпуска таким образом, чтобы
максимизировать прибыль, мы имели бы дело с монопольными ценой и объемом
выпуска (pm, ym).
Вспомним, что экономическое устройство является эффективным
по Парето, если не существует способа повысить чье-либо благосостояние, не
понизив тем самым благосостояния кого-то другого. Является ли эффективным по
Парето объем выпуска монополии?
Вспомним определение обратной кривой спроса. При каждом
объеме выпуска p(y) показывает, сколько готовы заплатить люди за дополнительную
единицу товара. Поскольку для всех объемов выпуска между ym иyc
p(y) всегда больше MC(y), имеется целый диапазон объемов выпуска, в котором
люди готовы заплатить за единицу выпуска больше издержек производства. Ясно,
что здесь есть потенциал для улучшения по Парето!
Например, рассмотрим ситуацию при монопольном объеме выпуска
ym. Поскольку p(ym) > MC(ym), мы знаем, что
существует кто-то, готовый заплатить за добавочную единицу выпуска больше, чем
издержки ее производства. Предположим, что фирма производит этот добавочный
выпуск и продает его данному лицу по любой цене, такой, что p(ym)
> p > MC(ym). Тогда благосостояние данного потребителя
возрастает, поскольку он готов уплатить за данную единицу потребления p(ym),
а ее продали за p < p(ym). Подобным же образом производство этой
добавочной единицы выпуска обошлось монополисту в MC(ym), а он
продал ее за p >MC(ym). Все остальные единицы выпуска продаются
по той же цене, что и прежде, так что здесь все осталось без изменений. Однако
при продаже добавочной единицы выпуска каждая сторона рынка получает некий
добавочный излишек - благосостояние каждой из сторон рынка возрастает, и ни у
кого другого при этом благосостояние не снижается. Нам удалось найти улучшение
по Парето.
Монополия производит объем выпуска меньше конкурентного и
потому является неэффективной по Парето.
Рассмотрим причину такой неэффективности. Эффективный объем
выпуска - это объем, при котором готовность заплатить за добавочную единицу
выпуска в точности равна издержкам производства этой добавочной единицы.
Конкурентная фирма это сравнение производит. Монополист же смотрит также, какое
воздействие оказывает возрастание выпуска на доход, получаемый от допредельных
единиц, а эти допредельные единицы не имеют никакого отношения к эффективности.
Монополист всегда был бы готов продать дополнительную единицу по цене ниже
текущей назначенной им цены, если бы ему не приходилось при этом снижать цену
всех остальных допредельных единиц, продаваемых в настоящий момент.
Рис. 2. Неэффективность монополии
2.2
Модель Конституции Ф. Хайека
Модель Конституции, предложенная Фридрихом фон Хайеком,
исходит из необходимости кардинального преобразования существующих
демократических институтов. Они были созданы, считает он, для нужд управления,
а не законодательства. Первоначально под демократией понимали даже не
содержание управления, а лишь форму (или процедуру) принятия решений. Эта форма
ничего не говорила о целях управления и средствах их достижения. С течением
времени, однако (и не без влияния английской традиции), представительное
собрание (парламент) обретает не только высшую, но и неограниченную власть в
обществе. «Если те, кто принимает решения по любым вопросам, - пишет Ф. Хайек,
- могут издавать любой закон, то очевидно, что сами они не подвластны закону».
Это означает, что в обществе господствует принцип парламентского суверенитета.
Принятие законов и контроль за их исполнением - это разные
функции. Если выборный орган будет иметь право изменять сами законы, то он рано
или поздно сделает все возможное, чтобы укрепить и расширить свою власть.
Бесплатные раздачи общественных средств отдельным категориям населения,
поблажки различным группам с особыми интересами становятся условием переизбрания,
средством покупки поддержки большинства, т.е. политической необходимостью.
Сохранение власти любой ценой превращается в цель, растрата общественных благ -
в средство достижения этой цели. Такая тенденция объективно таит в себе
опасность перерождения демократического идеала.
Поэтому Ф. Хайек считает, что в подлинно демократическом
обществе необходимы три представительных органа:
«один - для занятия исключительно конституцией (он будет
собираться с большими интервалами, лишь когда потребуются изменения в
конституции);
другой - для постоянного совершенствования кодекса
справедливости;
третий - для текущего правления, т.е. для распоряжения
общественными ресурсами».
Целью первого из них будет сдерживание произвола, т.е.
«правления без правил». Конституция, которая должна быть одобрена высшим
органом, сможет оградить частную сферу деятельности каждого от вмешательства
государства, т.е. сформулировать четкие пределы по использованию права
государства на принуждение.
Ф. Хайек предлагает совершенно новый принцип формирования
законодательного собрания. Для этого каждое поколение, достигшее 45 лет,
выбирает из своей среды представителей сроком на 15 лет. Таким образом, в
законодательном собрании будут представлены люди в возрасте от 45 до 60 лет,
представительство будет ежегодно обновляться на 1/15. Общая структура власти,
по Ф. Хайеку, будет выглядеть тогда следующим образом (рис. 3):
Высшей инстанцией является Конституция, которая определяет функции
всех органов власти. Законодательное собрание формирует правительственное
собрание, оно, в свою очередь, - правительство, которое руководит
административно-бюрократическим аппаратом.
Такая структура, по мнению Ф. Хайека, позволит избежать извращения
демократического идеала, защитит от перерождения закона в произвол, создаст
пределы для роста административной машины.
3.
Сущность модели У. Нисканена
.1
Модель У. Нисканена
Модель, представленная в данном разделе, основана на
следующих двух ключевых свойствах бюро: (1) бюрократы максимизируют весь бюджет
своего бюро с учетом данных условий спроса и затрат и при ограничении, согласно
которому бюджет должен быть равен или превышать минимальную сумму общих затрат
при равновесном выпуске (2). Бюро обменивают специфическую продукцию (или продуктовую
комбинацию) на определенный бюджет. Таким образом, в рамках данной статьи бюро
определяются этими двумя свойствами или особенностями.
К ряду переменных, которые могут войти в функцию полезности
бюрократа, относятся следующие: заработная плата, офисные блага,* общественная
репутация, власть, патронаж, легкость управления бюро и легкость осуществления
перемен.
В своих трудах Нисканен утверждал, что все эти переменные
представляют собой позитивную монотонную функцию от общего бюджета бюро.
Максимизация бюджета должна быть адекватной задачей даже для
бюрократов с относительно низкой денежной мотивацией и относительно высокой
мотивацией осуществления изменений в интересах общества. Интересно отметить,
что большинство выдающихся государственных руководителей последних лет
значительно увеличили бюджеты управляемых ими бюро.
Вторая особенность, согласно которой бюро обменивают свой
выпуск на общий объем бюджета, а не бюджета в расчете на единицу продукции,
является общепризнанной, но ее значение для поведения бюро не является таковым.
Она дает бюро ту же разновидность «рыночной» власти, каковой обладает монополия
на рынке, где существует выбор типа «все или ничего».
Таким образом, бюро может присвоить весь потребительский
излишек. Однако, как показано ниже, эта особенность бюро приводит к существенно
иному выпуску, бюджету и условиям благосостояния по сравнению с монополией.
В соответствии с этими двумя свойствами, ниже выводятся
условия равновесия на примере бюро, имеющего дело с линейными функциями спроса
и затрат. Сначала рассмотрим покупающее факторы на конкурентном рынке бюро, для
которого:
= а-bQ
= предельная ценность для потребителей
С = минимальные предельные затраты для бюро= выпуск бюро.
Далее, для данных условий

Где=общий бюджет бюро
ТС = минимальные общие затраты бюро
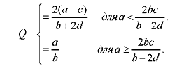
Для этих условий равновесный уровень Q определяется следующим
образом. Максимизация В дает верхний уровень Q = а/b. Ограничение, согласно
которому при некоторых условиях В должна быть равна или больше ТС, дает низший
уровень Q = 2 (а-с)/b + 2 (1. Эти уровни б совпадают при а = 2bс/b - 2ё. Таким
образом, для бюро, покупающего факторы на конкурентном рынке, равновесный
уровень б достигается там, где
Рис. 3 иллюстрирует эти равновесные уровни выпуска для
представленных здесь спроса и затрат.
Рис. 3. Равновесный выпуск бюро
Для более низкого спроса, представленного линией V;,
равновесный выпуск бюро будет заключен внутри бюджетного ограничения, где
площадь многоугольника равна площади прямоугольника efgi. При равновесном
уровне выпуска в данном бюро нет «жира»; общая сумма бюджета просто покрывает
общие минимальные затраты и никакой анализ эффективности затрат не обнаружит
никаких растрат ресурсов. Однако выпуск этого бюро выше парето-оптимального
уровня. Равновесный уровень выпуска находится в области, где минимальные
достижимые предельные затраты ig значительно выше предельной ценности для
потребителей ih затраты охватывают собой весь потребительский излишек, который
мог бы иметь место при эффективной деятельности с более низким уровнем
бюджетных расходов. Если минимальные предельные затраты возрастают с ростом
выпуска вследствие роста удельных факторных затрат (а не уменьшения
производительности), то данное бюро будет приносить существенный факторный
излишек, равный треугольнику cfg этот излишек больше, чем тот, что мог бы быть
произведен при более низком, парето-оптимальном выпуске. Законодательные
органы, представляющие преимущественно интересы факторов, по понятным причинам
предпочитают предоставление общественных услуг посредством бюро.
В условиях более высокого спроса, представленного линией V2,
равновесный выпуск бюро будет находиться ограниченном спросом диапазоне, где
предельная ценность выпуска равна нулю. В этом случае общий бюджет будет равен
треугольнику ea2l и больше минимальных общих затрат, равных прямоугольнику
ejkl. При равновесном уровне выпуска в данном бюро есть «жир». Тщательный
анализ показал бы, что тот же выпуск мог бы быть достигнут при меньшем бюджете,
но аналитик не должен ожидать сотрудничества от бюро, поскольку у последнего
нет стимула знать или показать свою функцию минимальных затрат. На этом участке
равновесный уровень выпуска зависит только от условий спроса. Выпуск данного
бюро также выше парето-оптимального, - при достижении уровня выпуска, где
минимальные предельные затраты равны lk, а предельная ценность для потребителей
равна нулю, затраты снова поглощают весь потребительский излишек. Факторный
излишек, производимый данным бюро, конечно, тоже существенно больше того,
который имел бы место при более низком, парето-оптимальном выпуске.
V = 200 - 1.00Q
С = 75 +.25Q5
Таблица 1. Условия равновесия для альтернативных форм экономической
организации, поставленных в одинаковые условия спроса и затрат
|
Товарный рынок
|
Монополия
|
Конкурентный
|
Бюро
|
|
Рынок факторов
|
конкурентный
|
монопсония
|
конкурентный
|
конкурентный
|
монопсония
|
|
Показатели
|
|
|
|
|
|
|
Выпуск
|
50
|
55.6
|
100
|
166.7
|
200
|
|
Выручка:
|
|
|
|
|
|
|
Общая
|
7,500
|
8,024.7
|
10,000
|
19,444.4
|
20.000
|
|
Средняя
|
150
|
144.4
|
100
|
116.7
|
100,0
|
|
Предельная
|
100
|
88.9
|
100
|
33.3
|
0
|
|
Затраты:
|
|
|
|
|
|
|
Общие
|
4,375
|
4,552.5
|
10,000
|
19,444.4
|
20,000
|
|
Средние
|
87.5
|
81.9
|
100
|
116.7
|
100.0
|
|
Предельные
|
100.0
|
88.9
|
100
|
158.3
|
125.0
|
|
Прибыли
|
3,125
|
3,472.2
|
0
|
0
|
0
|
|
Потребительские
|
|
|
|
|
|
|
излишки
|
1,250
|
1,543.3
|
5000
|
0
|
|
Факторные
излишки
|
312.5
|
0
|
1250
|
3,472.2
|
0
|
Традиционно обеспокоенность деятельностью частных монополий
обусловлена тем, что они производят слишком мало продукции. Действуя в диапазоне
выпуска продукции, где предельная ценность больше предельных затрат, они не
создают такой избыточной ценности, какую могла бы создать конкурентная отрасль.
При спросе и затратах, представленных в таблице 1, частная монополия могла бы
создать сумму прибыли, потребительских и факторных излишков, равную 75%
соответствующей суммы для конкурентной отрасли.
Для данных условий спроса и затрат, покупающее факторы на
конкурентном рынке бюро будет иметь равновесный выпуск, который приблизительно
на две трети превышавшая соответствующий выпуск конкурентной отрасли. Это бюро
не создаст ни прибылей, ни потребительских излишков, но создаст факторный
излишек, составляющий около 55% от общей суммы излишков конкурентной отрасли.
При этих условиях дискриминирующее поставщиков факторов бюро будет иметь
равновесный выпуск, вдвое превышающий равновесный выпуск конкурентной отрасли и
не создаст ни прибыли, ни излишков.
Полезно также сравнивать условия предложения и затрат. У
монополии нет функции предложения; она выбирает такой выпуск, при котором
предельная выручка равняется предельным затратам при продаже продукции по
единой цене. У бюро также нет функции предложения; оно обменивает приросты
выпуска по цене спроса на каждый прирост уровня выпуска вплоть до того, пока
бюджет не сравняется с минимально достижимыми затратами или предельная ценность
прироста не станет нулевой. В каком-то смысле бюро также не имеет
индивидуальной функции предельных затрат. Приращения потребляемых ресурсов для
максимизирующего бюджет бюро будут равны значению спроса, в то время как
разность между этим значением и минимальными приращениями затрат будет
финансироваться за счет потребительского излишка, соответствующего более низким
уровням выпуска. Только если бюро, по какой-либо причине, обеспечивало эффективность
при более низких уровнях выпуска, то приращение потребляемых ресурсов равнялось
бы минимальным приращениям затрат. Одним из следствий этого обстоятельства
является то, что аналитик может не отличить функцию минимальных затрат
ограниченного спросом бюро от поведения бюджета и выпуска. Все, что в
результате можно получить, так это только оценку функции спроса самим бюро; в
статическом случае окажется, что все бюро имеют убывающие предельные затраты, и
в каком-то смысле это действительно так. Оценка функции минимальных предельных
затрат ограниченного спросом бюро должна строиться на основе детальных оценок
производственной функции и факторных затрат, что предъявляет особо высокие
требования к анализу.
В итоге можно сказать, что по разным причинам, как частные
монополии, так и бюро выбирают диапазоны выпуска, которым присуща
неоптимальность. Замена монополии на бюро с целью предоставления какого-либо
продукта или услуги не решает ни одной проблемы; подобная замена приводит к
снижению совокупной избыточной ценности и служит лишь интересам владельцев
специфических факторов.
3.3
Влияние изменений условий спроса и затрат
Сдвиги функции спроса. Рис. 4 иллюстрирует изменения
равновесного выпуска и бюджета бюро при данной функции затрат в ответ на
изменения в спросе.
В диапазоне ограниченного бюджетом выпуска выпуск бюро
вырастет на величину большую, чем величина изменения спроса, даже в условиях
растущих предельных затрат. Бюро, производящее продукцию при постоянных
предельных затратах, будет расти темпами, вдвое превышающими темпы роста
конкурентной отрасли при тех же условиях. В этом диапазоне бюджет на единицу
выпуска возрастет только на величину роста минимальных затрат на единицу
продукции.
Рис. 4. Влияние изменений спроса
В диапазоне ограниченного спросом выпуска выпуск вырастет на
величину равную изменению спроса, независимо от наклона функции минимальных
предельных затрат. Несмотря на более низкий темп роста бюро в этом диапазоне,
он все еще остается выше темпа роста конкурентной отрасли с растущими
предельными затратами. В этом диапазоне бюджет на единицу продукции быстро
возрастает на величину, пропорциональную изменению спроса, независимо от
наклона функции минимальных предельных затрат.
Бюро, подобно частной монополии, часто находит выгодным
попытаться сдвинуть функцию спроса на свою продукцию. Прирост бюджета, который
явился бы результатом изменения спроса, был бы особенно высок в ограниченном
спросом диапазоне выпуска. Следовательно, можно было бы ожидать, что бюрократы
потратят значительную часть своего времени на различные виды продвижения своей
деятельности при поддержке владельцев специфических факторов.
Изменения в наклоне функции спроса. Рис. 5 иллюстрирует
изменения в равновесном выпуске и бюджете бюро при той же функции затрат как
реакцию на изменения наклона функции спроса. Отмеченные изменения точки ее
соединения и наклона таковы, что выпуск конкурентной отрасли при той же функции
затрат был бы постоянным на уровне 100 для каждой комбинации.
Рис. 5. Влияние изменений в наклоне функции спроса
В диапазоне ограниченного бюджетом выпуска равновесный выпуск
бюро будет возрастать с ростом (отрицательным) наклона функции спроса; в ограниченном
спросом диапазоне выпуск будет снижаться с ростом наклона кривых спроса. Бюро,
встретившись с почти горизонтальной функцией спроса, обеспечит выпуск при
затратах бюджета на единицу продукции лишь слегка превышающих соответствующие
затраты в конкурентной отрасли, но общая величина бюджета и бюджет на единицу
продукции будут монотонно возрастать с ростом наклона функции спроса. На
основании этого можно предположить, что бюро может найти выгодным попытаться
увеличить наклон функции спроса на свою продукцию за счет продвижения
собственной активности, ссылаясь на необходимость удовлетворения общественные
«нужд» или военных «потребностей» независимо от затрат. Более важным является
предположение, что бюро, действующее на высоко конкурентном рынке продукции, могло бы быть относительно
эффективным. Однако современная среда бюрократии с ее жесткими ограничениями на
создание новых бюро или новых видов продукции существующими бюро, а также
страстью реформаторов объединять бюро с аналогичной продукцией, кажется
специально рассчитана на снижение конкуренции между бюро и на рост
неэффективности (и, не случайно, бюджета) бюрократии.
Сдвиги функции затрат. Рис. 6 иллюстрирует изменения в
равновесном выпуске и бюджете бюро для данной функции спроса как реакцию на сдвиги
функции минимальных предельных затрат.
Рис. 6. Влияние изменений затрат
В диапазоне ограниченного бюджетом выпуска сдвиг вниз функции
минимальных предельных затрат будет увеличивать равновесный выпуск бюро
быстрыми темпами. Бюро, производящее продукцию при постоянных минимальных
предельных затратах, будет расти вдвое более быстрыми темпами, чем конкурентная
отрасль при таком же сдвиге функции затрат. Бюджет бюро будет быстро расти при
начальных сокращениях затрат, а затем очень медленно по мере приближения
выпуска к ограниченному спросом уровню выпуска. В диапазоне более высокого
выпуска дальнейшие сокращения затрат не увеличат ни равновесный выпуск, ни
бюджет.
Эти эффекты предполагают, что новые бюро или те бюро, которые
сталкиваются с экзогенным ростом затрат, будут очень чувствительны к ним. Такие
бюро будут иметь стимул выявить свою функцию минимальных предельных затрат и
попытаться понизить ее уровень. Это не в меньшей степени касается и ранее
созданных бюро или бюро, сталкивающихся с быстрым ростом спроса. Таллока
заинтересовало наблюдение, что бюро одновременно пытаются сократить затраты и
демонстративно растрачивают огромные ресурсы. Данная модель предполагает, что в
состоянии равновесия бюро, производящее единственный вид продукции, будет
находиться либо в одном, либо в другом из этих состояний. От производящего
различную продукцию бюро, такого как министерство обороны, скорее всего можно
ожидать попыток сократить затраты на ограниченные бюджетом виды продукции и
обеспечить положение, при котором затраты будут достаточно высоки, чтобы
исчерпать доступный бюджет на ограниченные спросом виды продукции.
Изменения наклона функции минимальных затрат на единицу
продукции. Рис. 7 иллюстрирует изменения в равновесном выпуске и бюджете бюро
для данной функции спроса в ответ на изменения наклона функции минимальных
предельных затрат. Отмеченные изменения точки ее соединения и наклона таковы,
что выпуск конкурентной отрасли при той же функции спроса был бы постоянным на
уровне 100 для каждой комбинации.
Рис. 7. Влияние изменений наклона функции затрат
В диапазоне ограниченного бюджетом выпуска равновесный выпуск
бюро, покупающего факторы на конкурентном рынке, будет возрастать по мере
уменьшения наклона функции минимальных затрат на единицу продукции до уровня,
вдвое превышающего выпуск конкурентной отрасли. Бюджет бюро также будет
возрастать с уменьшением наклона этой функции, но сравнительно медленно. Как
выпуск, так и бюджет инвариантны к изменениям наклона функции затрат в
ограниченном спросом диапазоне выпуска.
Эти эффекты предполагают, что бюро может иметь стимул для
использования производственных процессов с более высокими затратами при низких
уровнях выпуска и с более низкими затратами при высоких уровнях выпуска.
Однако, в статическом случае этот стимул не очень силен и может быть частично
компенсирован путем давления со стороны владельцев специфических факторов,
осуществляемого через законодательный орган.
3.4
Модель управления У. Нисканена
Легкость перехода от экономической теории к изучению практики
и проблем управления является одним из преимуществ неформализованного
институционального анализа.
Альтернативной логикой рассуждения является математическое
моделирование отношений агента - доверителя. Такой анализ предполагает принятие
более жесткой предпосылки о рациональности индивида - индивид способен
принимать оптимальные решения с учетом ограниченности информации. В теории
общественного выбора разработаны различные модели бюро или, иначе,
специализированного подразделения государственного аппарата (Нуреев Р., 2009).
Рассмотрим наиболее известную из них - модель бюро
американского экономиста У. Нисканена.
В модели в качестве агента выступает бюро, которое является
монополистом в предоставлении определенного вида услуг. Бюро финансируется за
счет бюджетных средств, которые предоставляются ему законодательным органом.
Бюро обладает значительно лучшей информацией об издержках оказания услуг, чем
парламентарии. Возникающая вследствие этого информационная асимметрия в
соответствии с результатами, полученными автором модели, ведет к выделению бюро
избыточного бюджета. Рассмотрим непосредственно математическую модель. (Якобсон
Л., 2000).
У. Нисканен предложил следующую модель, призванную
продемонстрировать возможность существенного избыточного финансирования бюро
при наличии информационной асимметрии между ним и теми, кто распределяет
бюджетные средства. Пусть В-денежный эквивалент выгод, которые общество в лице
парламента, правительства или других распоряжающихся бюджетом властей
воспринимает в качестве результата деятельности данного бюро; В является
функцией от масштабов деятельности бюро, например от количества Q общественного
блага, которое это бюро поставляет. От Q зависят, очевидно, и совокупные
издержки деятельности бюро С.
Модель Нисканена построена на предположении, что достаточно
полной информацией о функции С = С(Q) располагают только сотрудники бюро,
стремящиеся добиться как можно большего бюджета. Зависимость В = В(Q)
улавливается теми, кто осуществляет финансирование. Предполагается также, что
указанные функции дважды дифференцируемы, причем в некотором интервале В >О,
В О, С >О.
Оптимальная с точки зрения финансирующей стороны аллокация
ресурсов была бы достигнута при масштабе деятельности бюро Qо таком, что В (Qо)
= С (Qо). Однако финансирующая сторона не способна надежно прогнозировать
предельные издержки. В то же время она, естественно, не допустит, чтобы
совокупные издержки превысили воспринимаемые выгоды. Следовательно, бюро может
добиваться увеличения своего бюджета до тех пор, пока С (Q) не сравняется с В
(Q).
Пусть бюро стремится максимизировать приносимую им выгоду
В(Q) при ограничениях В(Q) С(Q), и максимум достигается при Q = Q1. В силу
информационной асимметрии именно таким окажется фактический объем деятельности.
Между тем, решая задачу максимизации В(Q) методом Лагранжа, получаем: В (Q1)=
/(1+) С (Q1) О.
Естественно считать, что С (Q1)>О. Тогда В (Q1)<С (Q1).
Поскольку предельные издержки превышают предельные выгоды, налицо избыточные, с
точки зрения финансирующей стороны, объем деятельности и размер бюджета.
Модель Нисканена становится особенно наглядной, если вслед за
ее автором допустить, что В и С находятся в квадратичной зависимости от Q.
Оптимальный с точки зрения бюро масштаб деятельности Q1 в этом случае вдвое
превышает Qо. Так, пусть В = kQ - lQ2, a C = mQ + nQ2. Соответственно B = k - 2
lQ, a C = m + 2 nQ. При Q = Q1 имеет место равенство: kQ - lQ2 = mQ + nQ2, или
(k - m) Q = (1 + n) Q2. Следовательно, Q1 = (k - m)/(1 + n). При Q = Qо выполняется
равенство: k - 2 lQ = m + 2 nQ, т.е. 2 Q (1 + n) = k - m. Итак, Q1 = (k - m)/2
(1 + n) = 2Q0.
Таким образом, теория агентских отношений весьма перспективна
для изучения экономической сущности исполнительных органов. Одни экономисты
используют строгие математические методы, другие опираются на логику и
терминологию теории агентских отношений.
Заключение
С помощью теоретических моделей Л. Гурвич (Leonid Hurwicz)
убедительно продемонстрировал, что функционирование децентрализованных рыночных
механизмов в принципе предъявляет гораздо меньшие требования к необходимой
исходной информации. Однако рыночные силы по своей природе, по-видимому, не
могут обеспечить адекватное предложение многих государственных услуг. В связи с
этим неизбежно возникают вопросы: какие механизмы максимизации (государством)
общественного благосостояния можно использовать, а также возможно ли
практически контролировать действие подобных механизмов?
Также при изучении бюрократической монополии обозначился тот
факт, что эффективный объем выпуска - это объем, при котором готовность
заплатить за добавочную единицу выпуска в точности равна издержкам производства
этой добавочной единицы. Конкурентная фирма это сравнение производит.
Монополист же смотрит также, какое воздействие оказывает возрастание выпуска на
доход, получаемый от допредельных единиц, а эти допредельные единицы не имеют
никакого отношения к эффективности. Монополист всегда был бы готов продать
дополнительную единицу по цене ниже текущей назначенной им цены, если бы ему не
приходилось при этом снижать цену всех остальных допредельных единиц,
продаваемых в настоящий момент.
Рассмотренная модель Нисканена до некоторой степени упрощает
действительность. В частности, информация об издержках оказания услуг не
находится в распоряжении исключительно бюро. Однако в определенной мере
информационная асимметрия имеет место в действительности. Модель отражает
тенденцию, которая вполне реальна, хотя и не является доминирующей.
Значение этого возрастает в условиях быстрых
изменений в экономических отношениях и других условиях деятельности органов
исполнительной власти, что так характерно для современной России.
провал монополия хайек экономический
Список
литературы
1. Клейнер,
В. Антикоррупционная стратегия бизнеса в России / В. Клейнер // Вопросы
экономики. - 2011. - №4. - С. 32-46.
2. Курс
институциональной экономики: задачник: в 4 ч. / под ред. Е.А. Подколзиной, М.М.
Юдкевич. - М.: ГУ ВШЭ, 2009. - 758 с.
3. Мертон Р. Бюрократическая структура и личность // Мертон
Р. Социальная теория и социальная структура. М.: АСТ, 2006. С. 323-337.
. Мизес Л. фон. Бюрократия. Челябинск: Социум, 2008. 200 с.
5. Нисканен
В. Особая экономика бюрократии Вехи экономической мысли. Экономика
благосостояния и общественный выбор. Т. 4. СПб.: Экономическая школа, 2004. С.
477-493.
. Нисканен
В. Пересмотр // Вехи экономической мысли. Экономика благосостояния и
общественный выбор. Т. 4. СПб.: Экономическая школа, 2004. С. 537-560.
. Нуреев
Р. Экономика бюрократии / Теория общественного выбора: Учебно-методическое пособие,
гл. 9 // Вопросы экономики. 2009. №4. С. 135-157.
. Федеральный
образовательный портал «Экономика, социология, менеджмент». - Режим доступа:
http://www.ecsocman.edu.ru
. Материалы
Международной ассоциации по новой институциональной экономике (ISNIE).
[Электронный ресурс] - Режим доступа: http://www.isnie.org,
http://www.msu.edu/user/schmid/course.htm