Синтез и некоторые превращения 3-(о-нитрофенокси) метилоксирана

  • Вид работы:
    Курсовая работа (т)
  • Предмет:
    Химия
  • Язык:
    Русский
    ,
    Формат файла:
    MS Word
    170,33 Кб
  • Опубликовано:
    2013-07-10
Вы можете узнать стоимость помощи в написании студенческой работы.
Помощь в написании работы, которую точно примут!

Синтез и некоторые превращения 3-(о-нитрофенокси) метилоксирана

Содержание

 

ВВЕДЕНИЕ

. ЛИТЕРАТУРНЫЙ ОБЗОР

.1 Химические свойства α-окисей на примере эпихлоргидрина

.2 Механизм раскрытия окисного цикла

.3 Направление реакции раскрытия цикла несимметричных окисей

.4 Другие случаи раскрытия цикла

.5 Влияние среды на раскрытие окисного кольца

.5.1 Действие щелочных металлов и едких щелочей

.5.2 Действие кислот

.6 Перевод хлоргидринов в эпоксидные соединения

.7 Алкилирование фенолов

.7.1 Влияние кето-фенольной таутомерии на С- и О-алкилирование фенолов

.7.2 Алкилирование фенола эпихлоргидрином

.7.3 Алкилирование фенолов в условиях МФК

. ЭКСПЕРИМЕНТАЛЬНАЯ ЧАСТЬ

.1 Объекты и методы исследования

.1.1 Исходные вещества

.1.2 Очистка веществ

.1.3 Идентификация веществ

.2 Синтетическая часть

.2.1 Алкилирование о-нитрофенола эпихлоргидрином и эпибромгидрином

.2.1.1 Реакция с избытком эпихлоргидрина при порционном введении раствора щелочи

.2.1.2 Реакция со смесью о-нитрофенол-сухой KOH с постепенным добавлением эпихоргидрина

.2.1.3 Реакция в толуоле с постепенным добавлением раствора щелочи

.2.1.4 Реакция с эпихлоргидрином в ацетоне в присутствии поташа

.2.1.5 Алкилирование эпибромгидрином при соотношении о-нитрофенол-эпибромгидрин 1:1,5[25]

.2.1.6 Алкилирование эпибромгидрином при соотношении о-нитрофенол-эпибромгидрин 1:2,5

.2.1.7 Алкилирование о-нитрофенола эпихлоргидрином в условиях межфазного катализа [26]

.2.1.8 Синтез 3-(о-нитрофенокси)метилоксирана из смеси и 3-(о-нитрофенокси)метилоксирана 1-(о-нитрофенокси)-3-хлор-пропанола этилатом калия

.2.2 Окислительное расщепление 3-(о-нитрофенокси)метилоксирана

.2.3 Получение бисульфитного производного о-нитрофеноксиэтаналя

.2.4 Синтез оксима о-нитрофеноксиэтаналя

.2.4.1 Синтез в этиловом спирте в присутствии KOH

.2.4.2 Синтез в этиловом спирте в присутствии K2CO3

.2.5 Синтез 1,1-диэтокси-2-(2-нитрофенокси)этана

.2.6 Синтез о-нитрофеноксиацетонитрила

.2.6.1 Из оксима о-нитрофеноксиэтаналя

.2.6.2 Из 1,1-диэтокси-2-(о-нитрофенокси)этана

. ОБСУЖДЕНИЕ РЕЗУЛЬТАТОВ

ВЫВОДЫ

СПИСОК ЛИТЕРАТУРЫ

 

ВВЕДЕНИЕ


Замещенные арилглицидиловые эфиры представляют большой интерес для современной промышленности: они могут быть мономерами в ходе получения эпоксидных смол [1], субстратом в реакциях алкилирования в ходе получения биологически активных веществ, а так же как самостоятельные синтоны для получения новых соединений.

Так, например, постоянный интерес привлекают галогенсодержащие арилглицидиловые эфиры и полученные из них аминоспирты, значительная часть которых проявляет биологическую активность. [2]. Для активно изучаемых в последние годы продуктов аминолиза глицидиловых эфиров характерны различные виды биологического действия; среди них найдены гипотензивные агенты и β-блокаторы. [3].

Введение одной или нескольких функциональных групп в бензольное кольцо арилглицидилового эфира значительно позволяет расширить синтетические возможности данного соединения (и класса в целом). Такого рода полифунциональные соединения представляют особый интерес, поскольку возможна модификация свойств оксирана с целью получения новых функциональных групп с последующей их циклизацией.

Одним из таких соединений является 3-(о-нитрофенокси)-метилоксиран, совместное присутствие и близкое расположение нитрогруппы и оксиранового кольца делает это вещество ценным синтетическим субстратом с малоизученными свойствами. Целью данной работы стала разработка оптимального метода получения
3-(о-нитрофенокси)метилоксирана и изучение его химических свойств.

В соответсвии с указанной целью были поставлены задачи:

) синтез оксирана в различных условиях (соотношений реагентов, природы растворителя, способов проведения реакции);

) исследование превращения оксирана при действии различных реагентов в альдегиды, окисмы, нитрилы, ацетали;

) установление строения полученных соединений.

1. ЛИТЕРАТУРНЫЙ ОБЗОР

 

1.1 Химические свойства α-окисей на примере эпихлоргидрина


-Хлор-1,2-эпоксипропан


Эпихлоргидрин имеет две функциональные группы: эпоксидную группу и атом хлора. Обе они чувствительны к действию щелочи, в первую очередь эпоксидная группа, в особенности в присутствии другого соединения, обладающего одним или несколькими подвижными атомами водорода. Присоединение к эпоксидной группе под каталитическим влиянием щелочи протекает следующим образом:


Это превращение идет таким же образом, если вместо щелочи для реакции присоединения применять катализаторы, используемые для реакции Фриделя-Крафтса, например трехфтористый бор. Если затем добавить щелочь в количестве, достаточном для того, чтобы реакция прошла с атомом хлора (в случае катализа с помощью щелочи необходимое ее количество может быть внесено в реакцию с самого начала), то от хлоргидрина отщепляется хлористый водород и восстанавливается эпоксидная группа, которая теперь находится в положении 2,3 (первоначально в положении 1,2)[4]:


Приведенная схема реакции объясняет, почему эпихлоргидрин является столь ценным продуктом для синтеза высших эпоксидных соединений.

1.2 Механизм раскрытия окисного цикла

Раскрытие кольца окиси в общем представляет собой реакцию нуклеофильного замещения при углероде [5], причем группой, которая замещается, является атом кислорода цикла. Замещение различается в зависимости от типа реакционной формы окиси. Это может быть собственно окись, или это может быть оксониевое производное.


Если замещению подвергается окись, то образуется промежуточное соединение, которое, присоединяя протон, дает нециклический продукт реакции. Производное окиси значительно реакционноспособнее, чем сама окись; обычными катализаторами являются кислые агенты.

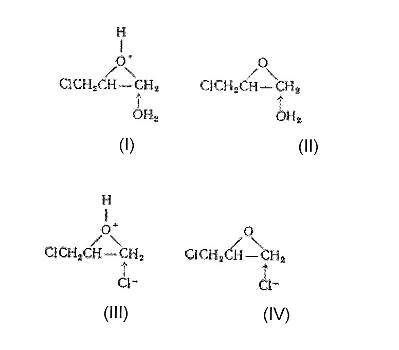
Кинетические данные, полученные Бренстедтом с сотрудниками [6] при исследовании реакции некоторых окисей с различными анионами, показывают, что при этих реакциях важна концентрация кислоты; реакция с производным окиси протекает значительно быстрее по сравнению с реакцией собственно окиси. Так, эпихлоргидрин при 20° и 1 М концентрации иона водорода реагирует в форме соединения I более чем в 400 раз быстрее, чем в форме соединения II, а в форме соединения III приблизительно в 400 раз быстрее, чем в форме соединения IV.


При раскрытии окисного цикла можно изменять характер атакующего нуклеофильного реагента. Если обозначить нуклеофильный реагент YH, то добавлением основания В- можно превратить YH, по крайней мере частично, в более сильный нуклеофильный реагент Y- согласно уравнению YH + В-=ВН + Y-.

Поэтому в большом числе случаев раскрытия окисного цикла применялись катализаторы основного характера.

При раскрытии цикла окисей действием фенолов Бойд и Марль [7] с помощью кинетических измерений показали большую активность фенолятного иона по сравнению с фенолом (реакция, катализируемая основанием). Скорость реакции с окисью уменьшается при понижении основности фенолятного иона. При раскрытии окисного кольца такими реагентами, как спирт, возможны три типа реакций, в которых ступенью, определяющей скорость превращения, является образование промежуточных соединений, как это представлено схемой: реакции в нейтральной среде (А), реакции в присутствии кислотного катализатора (Б) и реакции в присутствии основного катализатора (В):

1.3 Направление реакции раскрытия цикла несимметричных окисей


В тех случаях, когда окись имеет несимметричное строение, раскрытие цикла может привести или к двум структурным изомерам, или к их смеси. Очень часто одно из направлений раскрытия цикла резко преобладает, хотя иногда и получаются смеси изомеров. Можно в значительной степени понять направление раскрытия цикла и с уверенностью предсказать его.

Для обычного бимолекулярного нуклеофильного замещения при атоме углерода установлен следующий ряд скоростей реакции: первичный > вторичный > третичный. Реакции раскрытия цикла окиси протекают в соответствии с этими данными.

В случае окиси пропилена, где имеет место конкурирующее влияние первичного и вторичного атомов углерода, реакционная способность первичного атома значительно выше, что приводит к сильному преобладанию одного типа раскрытия цикла.


Окись пропилена размыкается по этой схеме главным образом при действии фенолятного [7] или алкоголятного [8] ионов с образованием вторично-спиртовой группировки.


Многие аналоги окиси пропилена претерпевают размыкание окисного цикла по тому же направлению. Примерами являются реакции с аминами глицидола [9], эпихлоргидрина и т.д.

При раскрытии окисного цикла под влиянием кислотных катализаторов наблюдается сильное отклонение от упоминавшегося правила скоростей реакций (первичный > вторичный > третичный). Здесь должен быть рассмотрен новый механизм реакции, включающий мономолекулярное раскрытие цикла в соединении с последующей быстрой реакцией открытого карбониевого иона [10,11].


Для этого механизма ряд скоростей реакции был бы такой: третичный > вторичный > первичный. При помощи этого нового механизма может быть объяснено направление раскрытия цикла.

В настоящее время нет данных о кинетике этого процесса, так как не ясно, в какой мере направление раскрытия цикла происходит также по иному механизму. Правило скоростей реакций (первичный > вторичный > третичный) не является достаточно общим, чтобы давать возможность предсказаний при подобного рода реакциях.

1.4 Другие случаи раскрытия цикла


Особого упоминания заслуживают те реакции, в которых галогенгидрины реагируют в щелочной среде, через стадию промежуточного образования окисей. Это, естественно, влияет на стереохимическую сторону реакции и на структуру получающихся соединений.

Катализаторы основного характера в присутствии ограниченных количеств воды или спирта благоприятствуют реакции.


Такая полимеризация приводит к линейным полимерам, средний молекулярный вес которых зависит от условий проведения реакции.

В кислой среде α-окиси могут быть превращены в диоксаны. Например, окись этилена при действии концентрированной серной кислоты или хлористого цинка может быть превращена в диоксан [12].


Соответствующие гликоли также дают диоксаны, однако образование диоксанов из окиси может происходить непосредственно, минуя гликоль.

Окись этилена применяется в качестве алкилирующего средства в реакции Фриделя-Крафтса. При этом бензол, толуол, анизол и т. д. превращаются в β-арилэтиловые спирты; в более жестких условиях образуются диарилэтаны.

1.5 Влияние среды на раскрытие окисного кольца

 

.5.1 Действие щелочных металлов и едких щелочей

В то время как щелочи вызывают бурную полимеризацию чистой окиси этилена, в случае эпихлоргидрина они производят лишь отщепление хлористого водорода.

Если смешать в безводном эфире эквимолекулярные количества эпихлоргидрина и металлического натрия, то образуется диглицидил по следующей схеме:


Эту реакцию осуществили еще в 1871 г. Хюбнёр и Мюлле. Однако они получили очень плохой выход продукта. Клаус и Штейн улучшили условия проведения реакции тем, что брали 1,2 моля натрия на 2 моля эпихлоргидрина в 5-6тикратном количестве эфира. Затем реакционную смесь встряхивали с водой и эфирный раствор подвергали фракционной перегонке. Они получили диглицидил в виде желтоватого вязкого масла с т. кип. 220-230°.

Хюбнер и Мюллер считали, что при этой реакции вначале взаимодействуют две эпоксидные группы с образованием двух ONa-групп и соединением двух молекул эпихлоргидрина, а затем два атома хлора элиминируются с образованием цикла:


Однако Анрио пришел к заключению, что образуется диглицидил, т. е. соединение с двумя эпоксидными группами.

Торне установил, что при действии натрия на эпихлоргидрин образуется аллиловый спирт. Он добился повышения выхода спирта, обрабатывая эпихлоргидрин амальгамой натрия в среде влажного эфира.

Биго получил диглицидил при действии амальгамы натрия на слабо нагретый раствор эпихлоргидрина в эфире (Биго приводит т. кип. 220-225°). Он установил способность диглицидила к взаимодействию с бисульфитом натрия и хлористым магнием, а также его способность восстанавливать аммиачный раствор азотнокислого серебра и реактив Фелинга.

Кижнер обнаружил в качестве побочного продукта при получении диглицидила глицерин-1,3-диаллиловый эфир, который он также смог получить непосредственно при действии металлического натрия на смесь эпихлоргидрина и аллилового спирта.

В присутствии водной щелочи при обычной температуре эпихлоргидрин постепенно переходит в глицерин:


Гидратация идет по эпоксидной группе и вначале в мягких условиях протекает очень медленно, что целесообразно, так как позволяет уменьшить образование побочных продуктов. Однако после получения хлоргидрина омыление протекает уже довольно быстро[1].

1.5.2 Действие кислот

Разбавленные неорганические кислоты вызывают присоединение 1 моля воды к эпихлоргидрину с образованием а-хлоргидрина:


Хотя реакция протекает даже в нейтральной среде, однако при обычной температуре - чрезвычайно медленно. При повышенных температурах, и особенно в слабокислой среде, гидратация протекает быстрее. Реакция изучалась неоднократно. Для подкисления пригодны также жирные кислоты с небольшим молекулярным весом (например, муравьиная кислота), применение которых благодаря их летучести облегчает переработку реакционной смеси [1].

1.6 Перевод хлоргидринов в эпоксидные соединения


Простые эфиры хлоргидрина приобрели особое значение потому, что посредством отщепления хлористого водорода они могут быть переведены в простые эфиры глицидола. Эта реакция неоднократно изучалась, и известен целый ряд запатентованных способов наиболее рационального получения последних.

Гролл и Херн[13] проводят отщепление хлористого водорода с помощью различных неорганических соединений основного характера: едкого натра, едкого кали, аммиака, углекислого аммония или бората аммония. Для проведения реакции 110,5 г хлоргидрина и 500 мл 2 н. раствора едкого натра перемешивают в течение 10 мин. при обычной температуре, затем экстрагируют эфиром и фракционной перегонкой получают глицидол:


Выход составляет около 50% от теоретического. Аналогичным образом в эпоксидные соединения можно перевести замещенные хлоргидрины и более сложные хлорированные гликоли.

Вместо едких щелочей в некоторых случаях можно проводить реакцию с бикарбонатом натрия или с гидроокисями щелочноземельных металлов.

Эриксон[14] описывает способ, позволяющий проводить отщепление хлористого водорода при более низкой температуре (15- 40°) благодаря применению алкоголятов натрия, в особенности mpem-бутилата натрия. Реакция проводится в безводном растворителе, например эфире или mpem-бутаноле. Этот способ особенно ценен для перевода хлоргидринового эфира акриловой кислоты в глицидный эфир акриловой кислоты


так как полимеризация при этом почти не идет. Несмотря на это, при проведении реакции целесообразно добавлять ингибитор, например гидрохинон.



в результате которой образуются простые эфиры глицерина. Эта реакция протекает в большей или меньшей степени, когда работают с водными щелочами в большом разбавлении или когда отщепление хлористого водорода осуществляется с помощью слабощелочных соединений (бикарбонат натрия).

 

1.7 Алкилирование фенолов

 

.7.1 Влияние кето-фенольной таутомерии на С- и О-алкилирование фенолов

Алкилирование фенола является хорошо изученной реакцией, имеющей свои специфические особенности: в зависимости от условий проведения реакции для фенола возможно образование двух таутомерных форм. Образование кето-форм фенолов за счет делокализации и перераспределения электронной плотности приводит к тому, что фенолы способны вступать в реакции как О-, так и С-алкилирования. Направление реакции зависит от многих факторов: природы самого фенола, противоиона, растворителя и температуры проведения реакции.

Устойчивость таутомерных кето-форм возрастает при переходе к полиатомным фенолам; так для 1-нафтола фенольная форма на 12,5 Ккал/моль стабильнее диенона, тогда как для 9-гидроксиантрацена кетоформа антрона уже оказывается термодинамически более стабильной формой.


Наилучшие результаты для О-алкилирования достигаются в диполярных апротонных растворителях, хорошо сольватирующих катионы щелочных металлов (ацетон).

Сольватация кислородного центра феноксид-иона с помощью водородной связи (вода, трифторэтан) или блокирование кислородного центра противоионом в сложном ассоциате ионных пар щелочных фенолятов и нафтолятов (бензол, четыреххлористый углерод, петролейный эфир) приводит к смещения равновесия в сторону таутомерной кето-формы и осуществлению С-алкилирования под действием такими мягкими алкилирующих агентов, как аллилгалогениды и бензилгалогениды.


Жесткие кислоты Льюиса (хлорид и бромид алюминия) связывают жесткий карбонильный кислород кето-формы в очень стабильный комплекс. При этом для гидроксинафтолов и фенолов бензольного ряда, содержащих хотя бы одну алкильную группу в мета-положении к гидроксилу, равновесие в неполярной среде нацело смещается в сторону кето-формы. Эти комплексы можно рассматривать также как биполярные ионы, т.е. как гидроксиаренониевые ионы, образующиеся при протонировании фенолов по бензольному кольцу. Для них должны быть характерны реакции, типичные для аренониевых ионов. Действительно, комплекс 2-нафтола с хлоридом алюминия может быть использован в качестве электрофильного агента в электрофильном ароматическом замещении в бензольном кольце.


Плавлении 1,4-дигидроксинафталина приводит к образованию равновесной смеси, содержащей 10%-дикетоформы. [15].


Введение нитро-группы в бензольное кольцо фенола способствует появлению, наряду с кето-фенольной таутомерией, аци-нитро-таутомерии, о чем свидетельствует изменение окраски, наблюдаемое у многих фенолов при переходе нитрофенола в его соль : изменение строения вещества ведет к появлению производной таутомерной формы нитрофенола- нитролловой кислоты.


О таутомерии нитрофенолов свидетельствует так же, что во многих случаях удается получить изомерные алкилариловые эфиры нитрофенолов, из которых один имеет алкил, связанный с фенольным кислородом, другой - с хиноидным кислородом азота. Эфиры ацинитрофенолов образуются при действии серебряных солей нитрофенолов на йодистый метил, они нестойки и легко перегруппировываются в обычные эфиры.[16]

1.7.2 Алкилирование фенола эпихлоргидрином

Реакция присоединения фенола к эпихлоргидрину может протекать в нейтральной, кислой или щелочной среде.

В нейтральной среде эпихлоргидрин и фенол необходимо нагревать в течение нескольких часов при 155 -160°, иначе реакция не протекает. Получают фениловый эфир хлоргидрина, но с плохим выходом.

При сравнении действия кислых и щелочных катализаторов было установлено, что последние дают лучшие выходы.

Марпл, Шокал и Эванс, применяя в качестве кислого катализатора четыреххлористое олово, разработали технический способ получения ароматических простых эфиров хлоргидрина, в особенности эфиров замещенных фенолов. Вместо четыреххлористого олова целесообразнее применять его комплексе изопропиловым спиртом SnCl4(C8H7OH)4.

Лефевр и Лева нашли, что BF3 является особенно эффективным катализатором реакции эпихлоргидрина с фенолом. В его присутствии присоединение протекает уже при 0° что, сводит к минимуму образование высокомолекулярных продуктов. В растворе бензола при 4-кратном избытке фенола и температуре реакции 0° получают эфиры хлоргидрина с фенолом, о-, м- и п-крезолом, п-бромфенолом и тимолом (выход 50%).

Реакция эпихлоргидрина с фенолами в присутствии щелочи может протекать по двум направлениям.

)        При применении каталитических количеств гидроокиси щелочного металла, степень превращения в фениловый эфир хлоргидрина составляет 35%.

)        При применении эквимолекулярных количеств гидроокиси щелочного металла, фенола и эпихлоргидрина промежуточно образующийся фениловый эфир хлоргидрина превращается в эфир глицидола:


Ариловые эфиры глицидола, получаемые при нагревании эквимолекулярных количеств эпихлоргидрина, фенола и водного раствора щелочи, были впервые получены и описаны Линдеманом.

Прибавление эпихлоргидрина к раствору фенолята натрия при 40-70°С ведет к невысокому выходу фенилового эфира глицидола. Напротив, Марле получил ароматические эфиры глицидола с удовлетворительным выходом взаимодействием при обычной температуре в течение нескольких дней эпихлоргидрина, фенола и расчетного количества едкого натра.

Дэвис, Нант и Скиннер изучали получение ароматических эфиров хлоргидрина при замене едких щелочей гидроокисями щелочноземельных металлов. Из гидроокисей магния, кальция, бария наилучшие результаты были получены с гидроокисью кальция.

Метод синтеза глицидных эфиров фенолов с выходом 55-65% от теоретического состоит в том, что сначала эквимолекулярные количества эпихлоргидрина и фенола подвергают кратковременному нагреванию, а затем при нагревании вносят избыток водного раствора едкой щелочи.

При взаимодействии глицидных эфиров замещенных фенолов с солями третичных аминов образуются четвертичные аммониевые соединения. Например, в случае хлоргидрата триметиламина реакция идет следующим образом:

Для получения полиглицидных эфиров многоатомных фенолов рекомендуют применять 1,5 моля эпихлоргидрина на каждую гидроксильную группу фенола. При этом берут 92-97% щелочи от расчетного. После отделения избытка эпихлоргидрина образовавшиеся хлоргидринные группы переводятся избытком щелочи в эпоксидные группы [1].

1.7.3 Алкилирование фенолов в условиях МФК

Для алкилирования фенолов с успехом может применяться межфазный катализ [17]. В этом методе используется двухфазная система, например, вода-метиленхлорид: к фенолу в присутствии каталитического количества четвертичных солей аммония прибавляется алкилгалогенид, а фазовое равновесие поддерживается путем эффективного перемешивания. Суммарно процесс можно изобразить схемой:


Фенолят-ион и четвертичная соль аммония находится в равновесии с четвертичным феноксидом аммония, который экстрагируется в органическую фазу, где происходит алкилирование. Четвертичный галогенид аммония в свою очередь переходит в равновесие с его гидроксидом в водной фазе.

Достоинство этого метода синтеза заключается в том, что:

1)   Фенолят-ион менее сольватирован в органической фазе, скорость реакции в меньшей степени понижается стерическими эффектами и достигается исключительно О-алкилирование, причем повышается скорость;

2)   Основной является только водная фаза, что предохраняет алкилирующий агент (галогенид, сульфат и т.п.) от разрушения за счет гидролиза;

3)   Используются не стехиометрические количества аммониевой соли.

В качестве катализатора могут использоваться такие четвертичные аммониевые и фосфониевые соли, как бензилтриэтиламмоний хлорид, (ТЭБАХ), тетрабутиламмоний гидросульфат (ТБАГС) и др., можно использовать также полимерно-связанные краун-эфиры и криптаны.

Межфазный метод применим для широкого круга фенолов с элетроноакцепторными и электронодонорными заместителями, Р нафтолов и пространственно затрудненных фенолов. В большинстве случаев при использовании различных алкилирующих агентов выходы эфиров высоки (70-95%).

Этот метод можно успешно применять в синтезе ариловых эфиров гликолей [18], а также для получения моноалкиловых эфиро двухатомных фенолов [19].

Реакция эпихлоргидрина с оксисоединениями ароматического ряда изучалась особенно подробно, так как в результате образуются технически ценные продукты. Наиболее часто в качестве исходных соединений применяют фенолы, особенно многоатомные, одно- или многоядерные.

2. ЭКСПЕРИМЕНТАЛЬНАЯ ЧАСТЬ

 

.1 Объекты и методы исследования

 

.1.1 Исходные вещества

1.      Ацетон, марки ЧДА, ГОСТ 2603-79;

2.      Бензол, марки хч, ГОСТ 5955-75;

.        Гидроксиламин гидрохлорид, марки осч, ТУ6-09-03-369-71;

.        Диэтиловый эфир, марки ЧДА, ТУ 2600-001-43852015-02;

5.      Диоксан-1,4, марки ЧДА, ГОСТ 10455-80;

.        Диэтилацеталь бромуксусного альдегида, Aldrich, CAS 2032-5-1

.        о-Нитрофенол, 99%, CAS 88-75-5, ACROS Organics;

8.      Петролейный эфир 40-70 град., ГОСТ 11992-66;

.        Толуол, марки хч, ТУ 2631-020-44491379-98;

.        Уксусный ангидрид, марки чда, ГОСТ 5815-77;

.        Хлороформ, для спектроскопии, ТУ СОМР 2-045-06;

.        Циклогексанон, марки чда, ТУ 2633-012-44493179-98;

.        Эпибромгидрин, Aldrich, CAS 3132-64-7;

.        Эпихлоргидрин, Aldrich, CAS 106-89-9;

.        Этиловый спирт, марки ОСЧ, ТУ 6-09-4512-77;

.        Калий гидроксид, марки ЧДА, ГОСТ 9285-78

.        Калия карбонат, марки чда, ГОСТ 4221-76;

.        Натрия гидроксид, марки ЧДА, ГОСТ 4328-77;

.        Натрий серноватистокислый пиро, марки ч, ТУ 6-09-4377-78;

.        Натрия хлорид, марки Ч, ГОСТ 4233-77;

.        Натрий сернистый 9-водный, марки ЧДА, ГОСТ 2053-77;

.        Йодная кислота, марки ЧДА, ТУ 6-09-02-87-74;

.        Хлорид железа 6-водный, марки Ч, ГОСТ 4147-74;

.        Тетрабензиламмоний хлорид, марки ч, ТУ 6-09-05-542-76;

.        Серная кислота, осч, ГОСТ 14262-78;

.        Уксусная кислота, марки хч, ГОСТ 61-75.

 

2.1.2 Очистка веществ

а) Обезвоживание сульфата натрия. [20]

б) Обезвоживание карбоната калия.[20]

Выдерживали в сушильном шкафу в течение 3 часов при температуре 102-105ºС.

в) Перегонка ацетона.[21]

Выдерживают в течение 2 часов в присутствии пентаоксида фосфора (10 г/л) и перегоняют при нормальном давлении.

г) Перегонка диэтилацеталя бромуксусного альдегида.

Перегоняли в вакууме водоструйного насоса: т кип 30 оС.

д) Перегонка эпихлоргидрина.

Перегоняли при нормальном давлении: т кип 116 оС.

е) Очистка о-нитрофенола.

В одногорлую колбу объемом 500 мл, снабженную обратным холодильником и механической мешалкой, помещают 50 г (0,36 моль)
о-нитрофенола, добавляют 15 г (0,36 моль) NaOH в 100 мл воды. Смесь нагревают до 50оС и перемешивают при заданной температуре в течение часа. По окончанию перемешивания в реакционную массу добавляют 300 мл воды. В полученный однородный раствор медленно приливают 10% уксусную кислоту до слабокислой реакции. Отфильтровывают желтые кристаллы о-нитрофенола, сушат на воздухе 10 часов.

окись щелочной металл фенол

2.1.3 Идентификация веществ

Температуру плавления определили на «Приборе для определения температуры плавления ПТП».

Показатель преломления определяли на рефрактометре RL-7.

Хроматомасс-спектрометрические исследования проводили на хроматографе «Trace GC Ultra» с масс-селективным детектором DSQ II в режиме электронной ионизации (70 эВ) на кварцевой капиллярной колонке Thermo TR-5 MS, длиной 30 м, внутренним диаметром 0,25 мм, с толщиной пленки неподвижной фазы 0,25 мкм. Применяли режим ввода Split-Splitless (1 мин). Сброс газа-носителя 20 см3/мин. Скорость газа-носителя (гелия) 1,2 мл/мин. Температура испарителя 250 оС, температура переходной камеры 250 оС, температура квадруполя 200 оС. Температура термостата колонки изменялась по программе: от 40 (задержка 1 мин) до 250 оС со скоростью 30 оС в мин. Общее время анализа составляло 28 мин. Объем вводимой пробы 0,1 мкл.

 

2.2 Синтетическая часть

 

.2.1 Алкилирование о-нитрофенола эпихлоргидрином и эпибромгидрином


 

2.2.1.1 Реакция с избытком эпихлоргидрина при порционном введении раствора щелочи

В трехгорлую колбу объемом 250 мл, снабженную обратным холодильником, механической мешалкой и капельной воронкой, помещают 20,87 г (0,15 моль) о-нитрофенола, 34,7 г (0,375 моль) эпихлоргидрина и нагревают при перемешивании до 62-64 ºС. После чего прикапывают в течение 50 мин раствор 6 г. (0,15 моль) NaOH в 15 мл воды, подняв температуру бани до 72-74 ºС. Реакционную смесь перемешивают 30 мин. и добавляют по каплям еще раствор 3г (0,075 моль) NaOH в 10 мл воды в течение 30 мин и перемешивают при температуре 85-90 ºС 10 часов. По окончании синтеза реакционную смесь помещают в делительную воронку и добавляют 40 мл горячей воды (65-70ºС). Органический слой отделяют, добавляют 50 мл толуола и промывают 20 мл насыщенного раствора NaCl и дистиллированной водой до нейтральной реакции. Сушат над Na2SO4, отфильтровывают осушитель. Хроматомасс-спектрометрический анализ показал, что реакционная масса является трех веществ I, III, IV с соотношением 4:2:1

Масс-спектр 3-(о-нитрофенокси)метилоксирана (П II, рис.2; RT, мин; m/z,I % ): (7,74) ; 195(12,67), 139 (18,45), 123 (11,47);
1-(о-нитрофенокси)-3-хлор-пропанола-2 (П II, рис.3, RT, мин; m/z, I %): (8,46); 231(6,15), 182 (8,05), 139 (91,28);
1,3-ди(о-нитрофенокси)-пропанола-2 (П II, рис.4, RT, мин; m/z, I %): (21,53); 334 (4,59), 139 (18,01), 123( 100).

Отгоняют при пониженном давлении (20-25мм) избыточный эпихлоргидрин и толуол, остаток перегоняют в вакууме, собирая фракцию с т.кип. 159-163°С (3-4 мм), кристаллизующуюся при стоянии. Полученную кристаллическую массу дважды подвергают перекристаллизации из смеси спирт: диэтиловый эфир: петролейный эфир: 3:6:1.Получают 5,5 г (26,4%) 2-нитрофеноксиметилоксирана в виде светло-желтых кристаллов т.пл. 50-52 °С.

Литературные данные [22]

2.2.1.2 Реакция со смесью о-нитрофенол-сухой KOH с постепенным добавлением эпихоргидрина

Синтез проводился аналогично 2.2.1.1 с постепенным добавлением эпихлоргидрина к смеси о-нитровенола и измельченного КOH с последующим добавлением щелочи.

Полученная кристаллическая масса является смесью трех веществ I, III, IV с соотношением 1:1,2:4.

Реакционную массу подвергают перекристаллизации из смеси спирт: диэтиловый эфир: петролейный эфир: 3:6:1.Получают 7,5 г (54%) 1,3-ди-(о-нитрофенокси)-пропанола-2, т.пл 102-104 °С.

2.2.1.3 Реакция в толуоле с постепенным добавлением раствора щелочи [23]

В трехгорлую колбу объемом 100 мл, снабженную обратным холодильником, магнитной мешалкой и капельной воронкой, помещают 7 г (0,05 моль) о-нитрофенола, 5,55 г (0,06 моль) эпихлоргидрина в 40 мл и нагревают при перемешивании до 55ºС. После чего прикапывают в течение часа. 1,5 г (0,0375 моль) NaOH в 5 мл воды, подняв температуру бани до 65ºС. Реакционную смесь перемешивают при постоянной температуре и в последующий час прикапывают 0,75 г. NaOH (0,0188 моль) в 3 мл воды. Поднимают температуру до 75ºС и прикапывают в течение часа оставшиеся 0,75 г. NaOH (0,0188 моль) в 3 мл воды. Реакционную смесь помещают в делительную воронку, толуольный слой отделяют, водный слой экстрагируют 25 мл толуола, и промывают водой до нейтральной реакции. Сушат над Na2SO4, отфильтровывают осушитель. Отгоняют при пониженном давлении (20-25 мм) толуол, получают кристаллическую массу, которая является смесью трех веществ I,II, III, IV с соотношением 6:1:1:3.

Масс-спектр 3-(о-нитрофенокси)пропандиола-1,2 (П II, рис.5, RT, мин; m/z, I %): (8,61); 213 (6,2), 182 (17,83), 139 (100).

2.2.1.4 Реакция с эпихлоргидрином в ацетоне в присутствии поташа[24]

В круглодонную одногорлую колбу объемом 500 мл, снабженную обратным холодильником помещают 13,9 г (0,1 моль) о-нитрофенола, 10,18 г (0,11 моль) эпихлоргидрина и 13,8 г (0,1 моль) сухого K2CO3 в 100 мл предварительно высушенного ацетона. Реакционную массу кипятят в течение двух суток. По окончанию синтеза отфильтровывают кристаллы от горячего ацетонового слоя, промывают дополнительным количеством ацетона. Фильтрат объединенных ацетоновых слоев охлаждают, отфильтровывают выпавшие кристаллы. Отгоняют при пониженном давлении (20-25 мм) ацетон, полученную кристаллическую массу растворяют в 100 мл бензола, промывают, чередуя, воду и 5% раствор NaOH. Отгоняют при пониженном давлении (20-25 мм) бензол, получают кристаллы, представляющие собой смесь двух веществ I, III, соотношение которых 14:1. Дальнейшей очистке смесь не подвергалась.

 

2.2.1.5 Алкилирование эпибромгидрином при соотношении о-нитрофенол-эпибромгидрин 1:1,5[25]

В трехгорлую колбу объемом 250 мл, снабженную обратным холодильником, магнитной мешалкой и двумя капельными воронками, помещают 13,9 г (0,1 моль) о-нитрофенола, к которому при комнатной температуре в течение 25 минут прикапывают 5,6 г (0,1 моль) KOH в 20 мл. воды. Смесь перемешивают 30 минут, подняв температуру бани до 65ºС. После чего к реакционной массе в течение 45 минут прикапывают 20,5 г (0,15 моль) эпибромгидрина и продолжают перемешивание при 85 ºС еще 45 минут. Прикапывают 2,8 г (0,05 моль) KOH в 20 мл воды в течение получаса, после чего продолжают перемешивание при постоянной температуре бани еще 2,5 часа. По окончании синтеза реакционную массу остужают, декантируют воду, органический слой промывают горячей водой (80-90ºС) до нейтральной реакции среды. Промытый органический слой растворяют в 100 мл спирта, сушат над Na2SO4. Отфильтровывают осушитель, отгоняют при пониженном давлении (20-25 мм) растворитель, полученная кристаллическая масса является смесью трех веществ, ее подвергают перекристаллизации из смеси спирт: диэтиловый эфир: петролейный эфир: 3:6:1.Получают 7,5 г (54%) 1,3-ди(о-нитрофенокси)-пропанола-2, т.пл 102-104°С.

2.2.1.6 Алкилирование эпибромгидрином при соотношении о-нитрофенол-эпибромгидрин 1:2,5

Синтез проводился аналогично 2.2.1.5 с постепенным добавлением избытка эпибромгидрина.

Полученная кристаллическая масса является смесью трех веществ I,II,IV с соотношением 2,5:1:1,5. Дальнейшей очистке смесь не подвергалась.

2.2.1.7 Алкилирование о-нитрофенола эпихлоргидрином в условиях межфазного катализа [26]

В круглодонную колбу объемом 250 мл помещают 27,8 г (0,2 моль) о-нитрофенола, 18,7 г (0,2 моль) эпихоргидрина и 5 г триэтилбензиламмоний хлорида в 50 мл CCl4. Смесь нагревают 4 часа при 50°С, растворитель отгоняют, смесь фракционируют. По данным хроматомасс-спектрометрии реакционная масса является смесью продуктов I,II,III с соотношением 2: 9,5:1.

2.2.1.8 Синтез 3-(о-нитрофенокси)метилоксирана из смеси и  3-(о-нитрофенокси)метилоксирана 1-(о-нитрофенокси)-3-хлор-пропанола этилатом калия



В двугорлую колбу объемом 100 мл, снабженную обратным холодильником и магнитной мешалкой, помещают 5г масла, содержащего 3 г (0,13 моль) 1-(о-нитрофенокси)-3-хлор-пропанола-2 и 3-(о-нитрофенокси)метилоксирана (2:1 соответственно), в 15 мл спирта. К реакционной массе при комнатной температуре и при постоянном перемешивании добавляют раствор 1,63 г (0,029 моль) KOH в 15 мл спирта. По истечении часа перемешивание прекращают, отфильтровывают выпавшие кристаллы, в реакционную массу добавляют 60 мл воды и оставляют на ночь. Отфильтровывают выпавшие кристаллы, промывая их небольшим количеством воды. Хроматомасс-спектрометрический анализ показал, что полученное вещество является 3-(о-нитрофенокси)метилоксираном. Суммарный выход составляет 3,9 г (92,6%), степень чистоты 99%, т. пл 50-52ºС.[22]

2.2.2 Окислительное расщепление 3-(о-нитрофенокси)метилоксирана


В трехгорлую колбу объемом 100 мл, снабженную обратным холодильником и механической мешалкой помещают 8 г (0,035 моль) H5IO6 и 32 мл Н2О и при перемешивании нагревают до 50°С на водяной бане. Затем добавляют 7 г (0,035 моль) 3-(о-нитрофенокси)метилоксирана и 15 мл диоксана. Нагревают при перемешивании при 50-60°С в течение 20 минут, до тех пор пока смесь не станет прозрачной. Затем реакционную массу насыщают хлоридом натрия. Отделяют органический слой. Водно-солевой слой экстрагируют толуолом. Объединенные органические слои промывают 10%-ым раствором Na2S2O3, а затем Н2О. Сушат Na2SO4. Отгоняют при пониженном давлении (20-25 мм) 1,4-диоксан и толуол. Реакционная масса представляет собой смесь двух веществ: о-нитрофеноксиэтаналя(основное направление реакции) и о-нитрофенола (побочное направление).

Содержание альдегида в 5г неперегоняемого вязкого оранжевого масла составляет 60 %.

Масс-спектр о-нитрофенола (П II, рис.1, RT, мин; m/z, I %): (5,13); 139 (100), 109 (34,26);

о-нитрофеноксиэтаналя (П II, рис.6, RT, мин; m/z, I %): (7,17)%; 181 (3,01), 139 (100), 123 (39,37).

2.2.3 Получение бисульфитного производного о-нитрофеноксиэтаналя



В одногорлую колбу объемом 250 мл, снабженную обратным холодильником и магнитной мешалкой помещают 15 г смеси, содержащей 1-(о-нитрофенокси)-3-хлорпропанол-2, о-нитрофеноксиуксусный альдегид и о-нитрофенол, в 40 мл спирта. К полученному раствору добавляют 50 мл насыщенного раствора метабисульфита натрия (18 г Na2S2O5 в 50 мл воды), раствор встряхивают, охлаждают в течение получаса. Декантируют жидкую фазу, в которой выпадают кристаллы, которые отфильтровывают. Объединенные кристаллические осадки промывают 20 мл спирта.

Получают 5 г (30 %) бисульфитного производного.

 

2.2.4 Синтез оксима о-нитрофеноксиэтаналя


 

2.2.4.1 Синтез в этиловом спирте в присутствии KOH

В 6,7 мл воды растворяют 2,12 г (0,03 моль) гидрохлорида гидроксиламина, а в 16,5 мл этилового спирта 3,37 г (0,06 моль) KOH. Смешивают растворы и отфильтровывают образовавшийся белый осадок KCl. Предварительно в 16,5 мл этилового спирта растворяют 5,14 г смеси, содержащей 2,72 г (0,015 моль) о-нитрофеноксиэтаналя, о-нитрофенол и 1-(о-нитрофенокси)-3-хлорпропанол-2, и приливают к фильтрату. Раствор резко темнеет, становится темно-оранжевым. Оставляют смесь при комнатной температуре на 24 часа. Отфильтровывают образовавшиеся белые кристаллы (неорганические вещества), частично отгоняют этанол и воду, насыщают хлоридом натрия, экстрагируют 30 мл бутанола, отгоняют бутанол. Получают темно-оранжевое масло, кристаллизующееся при стоянии. Дальшейшей очистке смесь не подвергалась. По данным хроматомасс-спектрометрии выход оксима составлил 0,9 г (33%).

Масс-спектр оксима о-нитрофеноксиацетальдегида (П II, рис.7, RT, мин; m/z, I %): (10,89); 195 (26,18), 139 (27,31), 122 (28,45).

2.2.4.2 Синтез в этиловом спирте в присутствии K2CO3

В трехгорлую колбу объемом 100 мл, снабженную механической мешалкой и обратным холодильником, помещают раствор 1,45 г (0,02 моль) солянокислого гидроксиламина в 5 мл воды и 2,89 г смеси, содержащей 1,5 г (0,008 моль) о-нитрофеноксиэтаналя, о-нитрофенол и 1-(о-нитрофенокси)-3-хлорпропанол-2. При перемешивании прикапывают раствор 1,38 г карбоната калия в 5 мл воды в течение 5 минут. Продолжают перемешивание в течение 1 часа при комнатной температуре. Дальнейшей очистке смесь не подвергалась. Выход оксима по данным хроматомасс-спкктрометрического анализа составил 0,15г (10%).

2.2.5 Синтез 1,1-диэтокси-2-(2-нитрофенокси)этана



В одногорлую колбу объемом 250 мл обратным холодильником помещают 14 г (0,1 моль) растертого карбоната калия и раствор 13,9 г (0,1 моль) о-нитрофенола в 100 мл ацетона. Прикапывают через обратный холодильник 19,7 г (0,1 моль) диэтилового ацеталя бромуксусного альдегида. Кипятят 8,5часов на водяной бане, после чего ацетон отгоняют при пониженном давлении, в реакционную массу добавляют 100 мл циклогексанона и 0,98 г. KI и продолжают кипячение на парафиновой бане еще 5 часов, при этом реакционная масса темнеет. Смесь охлаждают, отфильтровывают твердую фазу, промывают циклогексаноном. От объединенных органических фаз отгоняют циклогексанон, реакционную массу подвергают колоночной хроматографии (Merc, silica-gel 60: 0,040-0,063mm, элюент: хлороформ; хромато-масспектрометрический контроль элюирования). Получают 1,75г (12,6 %) 1,1-диэтокси-2-(о-нитрофенокси)этана, неперегоняемое темно-желтое масло.

Масс-спектр 1,1-диэтокси-2-(о-нитрофенокси)этана (П II, рис.8, RT, мин; m/z, I %): (8,16); 210 (2,65), 122 (8,07), 103 (100).

2.2.6 Синтез о-нитрофеноксиацетонитрила

 

.2.6.1 Из оксима о-нитрофеноксиэтаналя



В одногорлую колбу объемом 50 мл, снабженную обратным холодильником, помещают 3,64 г смеси, содержащей 0,9г оксима о-нитрофеноксиэтаналя, о-нитрофенол и 1-(о-нитрофенокси)-3-хлорпропанол-2, и 8,2 г (0,08 моль) уксусного ангидрида и осторожно нагревают на кипящей водяной бане в течение часа. После охлаждения в реакционную смесь выливают в 50 мл дистиллированной воды, экстрагируют толуолом, сушат безводным сульфатом натрия. Отгоняют растворитель при пониженном давлении. Получают черное масло, представляющее собой смесь веществ, с содержанием нитрила 7,5%, выход 25%. Дальнейшей очистке смесь не подвергалась.

Масс-спектр о-нитрофеноксиацетонитрила (П II, рис.9,RT, мин; m/z, I %): (9,33); 178 (34,33), 123 (39,37), 106 (100).

2.2.6.2 Из 1,1-диэтокси-2-(о-нитрофенокси)этана



В трехгорлую колбу объемом 100 мл, снабженную магнитной мешалкой и обратным холодильником помещают 1,75 г (0,007 моль) 1,1-диэтокси-2-(2-нитрофенокси)этана в 20 мл этанола и раствор 1,95 г (0,028 моль) солянокислого гидроксиламина в 10 мл воды. Смесь нагревают при перемешивании до 70°С на водяной бане, доводят pH смеси до 0-1 72% раствором серной кислоты. Продолжают перемешивание в течение 1,5 часов. Смесь охлаждают, добавляют 50 мл воды, экстрагируют хлороформом, сушат над Na2SO4.,отгоняют растворитель. Получают черное масло, представляющее собой смесь двух веществ о-нитрофенола и нитрила, с соотношением 13:1.

3. ОБСУЖДЕНИЕ РЕЗУЛЬТАТОВ


Эпихлоргидрин - бифункциональное соединение, имеющее в своем составе два реакционных центра: эпоксидное кольцо и хлорметильную группу.

о-Нитрофенол - сильная кислота, особенностью которой является аци-нитротаутомерия, вследствие чего данное соединение существует в фенольной и кето-нитридной формах (нитроловая кислота). В щелочной среде бесцветная фенольная форма образует не фенолят, а яркоокрашенную в красный цвет соль нитроловой кислоты. В умеренно щелочных средах эти формы могут существовать одновременно. Таким образом, реакции алкилирования в случает нитрофенола могут идти и по феноксидному кислороду, и по кислороду в NO2-группе. Правда, образующиеся в этом случае эфиры нитроловых кислот, являются неустойчивыми и при комнатной температуре могут могут изомеризоваться в обычные эфиры.

Из рассмотренных данных следует, что взятый нами объект исследования - взаимодействие о-нитрофенола с эпихлоргидрином является достаточно сложным. Из литературных данных [1,4] следует, что эпихлоргидрин с фенолами может реагировать в основных средах или в присутствии катализаторов с образованием хлоргидринов и оксиранов.

По другому источнику [4] в качестве основного продуктов реакции представлены хлоргидрины с выходами от 40-70%. Так, согласно [1] описано п-нитрофенол взаимодействует с эпихлоргидрином с образованием п-нитрофеноксиметилоксирана, реакция при этом требует значительных временных затрат (трое суток).

Позднее было найдено, что алкилирование фенолов можно осуществлять в условиях межфазного катализа. В системе «ж-ж» в присутствии основания из фенолов и эпихлоргидрина образуются оксираны с выходом от 40-80%[17]. В системе «ж-т» [26] реакция фенола с эпихлоргидрином протекает в отсутствии основания по следующей схеме [27]:


Выход хлоргидрина 55%.

Из рассмотренных литературных данных следует, что реакция о-нитрофенола с эпихлоргидрином изучению не подвергалась. В этой связи реакция алкилирования она была исследована нами на предмет изучения природы образующихся продуктов и оптимизации получения 3-(о-нитрофенокси)метилоксирана, с целью увеличения выхода, степени его чистоты и уменьшении затрат на очистку. С этой целью реакция проводилась нами в таких растворителях как: эпихлоргидрин (эпибромгидрин), толуол, ацетон, четыреххлористый углерод (метод межфазного катализа) с различными вариантами проведения синтеза (интенсивное, неинтенсивное перемешивание, температура, соотношение реагентов). Было выявлено, что в этих условиях образуется смесь трех или четырех соединений: 3-(о-нитрофенокси)метилоксирана (I), 3-(о-нитрофенокси)пропандиола-1,2 (II), 1-(о-нитрофенокси)-3-хлор-пропанола-2(III) и 1,3-ди(о-нитрофенокси)-пропанола-2(IV), разделить которую на индивидуальные соединения путем перегонки в вакууме или дробной перекристаллизацией невозможно.

Обнаружено, что при взаимодействии эквимольных количеств о-нитрофенола с эпибромгидрином образуется три соединения: диариловый эфир (III), оксиран (I), диол (II) и с выходами 9:2:1. Строение этих соединений подтверждено данным хроматомасс-спектрометрии, анализ которых представлен на схемах 1, 2, 3.

Схема 1. Структура 1,3-ди(о-нитрофенокси)-пропанола-2

Схема 2. 3-(о-нитрофенокси)метилоксирана

Схема 3. Структура 3-(о-нитрофенокси)пропандиола-1,2

При проведении реакции в избытке эпибромгидрина значительно увеличивается содержание оксирана(I) и диола(II) (до 46 и 20% соответственно).

Замена эпибромгидрина на эпихлоргидрин (неинтенсивное перемешивание) дает то же соотношение продуктов реакции, что взаимодействие эквимольных соотношений эпибромгидрина и о-нитрофенола и приводит к появлению нового продукта 1-(о-нитрофенокси)-3-хлор-пропанола-2 (III). Схема фрагментации молекулярного иона 1-(о-нитрофенокси)-3-хлор-пропанола-2 приведена на схеме 4. Соотношение продуктов при использовании избытка эпихлоргидрина и повышении интенсивности перемешивания можно представить как 4:2:1 с большей долей оксирана (I). При проведении реакции в толуоле (получение эпоксидной смолы) значительно (до 1,5%) снижается доля хлоргидрина (III) и гликоля (II) в реакционной массе, при этом основными продуктами взаимодействия являются оксиран (I) и диариловый эфир (IV) в соотношении 2,5:1. Наибольший выход оксирана (I) дает взаимодействие о-нитрофенола с эквимольным количеством эпихлоргидрина в ацетоне - 93,5%. Недостатком можно считать значительную длительность проведения реакции - 48 часов. Наименьшие временные затраты (3 часа) имеют место при проведении реакции в толуоле.


Схема 4. Структура 1-(о-нитрофенокси)-3-хлор-пропанола-2

Дальнейшие исследования связаны с превращением оксирана в о-нитрофеноксиацетонитрил. Превращение проводилось постадийно через получение о-нитрофеноксиэтаная, его последующим оксимированием и дегидратацией полученного оксима. Было выявлено, что в ходе окисления 3-(о-нитрофенокси)метиоксирана йодной кислотой образуются не только о-нитрофеноксиэтаналь, а так же о-нитрофенол, который получается за счет расщепления эфирной связи, содержание последнего в реакционной массе достигает 40%.

Конденсация о-нитрофеноксиэтаналя с гидрохлоридом гидроксиламина в водно-спиртовой среде в присутствии карбоната калия или этилата калия дает оксим феноксиуксусного альдегида с содержанием 10-33%.Было выявлено, что при использовании сильного основания - этилата калия - образуется одновременно не только оксим, но и нитрил (10%).

Дегидратация оксима о-нитрофеноксиэтаналя осуществлялась действием уксусного ангидрида при кипячении. В результате был получен о-нитрофеноксиацетонитрил с выходом 7,5%.

Для получения оксимов предлагается взаимодействие карбонильных соединений с солянокислым гидроксиламином, но и их ацеталей. Ацетали обладают меньшей реакционной способностью, чем соответствующие альдегиды. В литературе имеются противоречивые данные относительно возможности их конденсации с нуклеофилами. Так в общей органической химии утверждается, что ацетали гладко реагируют с первичными аминами, давая соответствующие азометины [28]. Однако в другом источнике сообщается, что ацетали малоактивны в этой реакции [29]. Ранее Водниковым А. было установлено, что взаимодействие ацеталей феноксиуксусного альдегида с солянокислым гидроксиламином в кислой среде приводит к образованию оксимов, выходы которых варьируются от 72-89%. Исследование взаимодействия нитропроизводных ацеталей феноксиуксусных альдегидов не изучалась. С этой целью был синтезирован диэтиловый ацеталь о-нитрофеноксиэтаналя путем алкилирования о-нитрофенофенола ацеталем бромуксусного альдегида в ацетоне, а затем в циклогексаноне в присутствии поташа. Было выявлено, что синтез ацеталей о-нитрофеноксиэтаналя возможен только в высококипящих растворителях.

В ходе конденсации ацеталя о-нитрофеноксиуэтаналя с солянокислым гидроксиламином, проводимой при 70°С в водно-спиртовой среде с поддержанием pH среды 72% серной кислотой, был получен о-нитрофеноксиацетонитрил с выходом 7%.

Следует отметить, что побочной реакцией во всех синтезах является расщепление эфирной связи и образование о-нитрофенола, содержание которого в реакционной массе в итоге к моменту синтеза достигает 60-90%. Строение всех соединений подтверждено методом хроматомасс-спектрометрии и приведено на схемах 5-7. Структура о-нитрофеноксиэтаналя была подтверждена ранее в работе Литовченко Т.Ю.

Схема 5. Структура оксима о-нитрофеноксиэтаналя

Схема 6. Структура о-нитрофеноксиацетонитрила

Схема 7. Структура диэтилового ацеталь о-нитрофеноксиэтаналя

ВЫВОДЫ


1)      Алкилирование о-нитрофенола эпихлоргидрином или эпибромгидрином в присутствии основания приводит к смеси оксирана, хлоргидрина, диарилового эфира и диола, соотношение между которыми варьируется в зависимости от условий реакции.

2)      Наибольший выход оксирана (94%) достигается при проведении реакции в ацетоне в присутствии поташа.

)        Наиболее оптимальным вариантом синтеза оксирана является проведение реакции эпихлоргидрина и нитрофенола в CCl4 в присутствии межфазного переносчика, с последующим действием этилата калия. Выход эпоксида составил 95% со степенью чистоты 99%.

)        При действии на оксиран йодной кислоты образуется альдегид, который при конденсации с солянокислым гидроксиламином переходит в оксим, дальнейшая дегидратация оксима приводит к образованию нитрила с очень низким выходом 25%. Побочной реакцией является расщепление эфирной связи и количественное образование о-нитрофенола, (50-80%);

)        Структура веществ подтверждена данными хромато-масспектроментрии.

СПИСОК ЛИТЕРАТУРЫ


1.      Пакен А.М. Эпоксидные соединения и эпоксидные смолы.Л.:Государственное научно-техническое издательство химической литературы, 1952

.        Пальчиков, В.А. Аминолиз эфиров, аминов и амидов с глицидильными фрагментами. Биологическая активность аминоспиртов / В.А. Пальчиков, Л.И. Касьян // Вісник Дніпропетр. ун-ту. Хімія. - 2008. - № 14. - C. 7-18.

3.      Tandon V.K., Kumar M., Awasthi A.K., Saxena H.O., Goswamy G.K. Bioorg. Med. Chem. Lett. 2004, 14, 3177

4.      Малиновсикий М.С. Окиси олефинов и их производные. Л: Государственное научно-техническое издательство химической литературы, 1951

5.      Hammett L.P., Phisical Organic Chemistry, McGraw-Hill, New-York, 1940

6.      J. N. Brönsted, M. Kilpatrick, M. Kilpatrick, J.Am. Chem.Soc, 51, 428 (1929)

7.      D.Boyd, E. Marle. J. Chem. Soc. 93, 838 (1908); 105 2117 (1914).

8.      А. А. Петров, ЖОХ, 14, 1038 (1944)

.        T. H. Rider, A. J. Hill, J. Am. Chem. Soc., 52, 1528 (1930)

.        S. Winstein, R. E. Buckles, J. Am. Chem. Soc.,64,2780 (1942)

.        Richard G. Kadesch, J. Am. Chem. Soc., 68,41(1946)

12.    А.Е. Фаворский ,ЖРХО, 38, 741 (1906)

13.    Пат.США 2070990 (25.6.34-16.2.37), Shell

14.    Пат. США 2567842 (19.6.48-11.9.51), Cyanamid

15.    Курц А Л., Ливанцов М.В., Ливанцова Л.И., Фенолы и хиноны, Методическая разработка для студентов III курса,Москва 1996

.        Карер П. Курс органической химии, ГНТИ ХЛ, Лениград, 1962

.        Яновская Л.А., Юфит С.С. Органический синтез в двухфазных системах. М.:Химия, 1982.

.        А.С.670559 (СССР). Способ получения диароксидиэтировых эфиров диэтиленгликоля/ М.Г. Воронков, В.Г. Козырев, С.М. Шостаковский, О.Б. Банникова. - опублик. в Б.И. 1979 №34

.        Франц.пат. 352102. Способ получения о-металлиоксифенола

.        Карякин Ю.В, Ангелов И.И Чистые химические вещества.- М:изд. «Химия»,1974

.        Органикум, т.2.// Пер.с нем. М: «Мир», 1979

.        Liu Z.-Z., Chen H.-C., Cao S.-L., Li R.-T. A novel method for synthesis of aryl glycidyl ethers // Synthetic Communications. - 1994. - Vol.24. - P.833-838

23.    А.М. Торопцева, К.В. Белогородская, В.М. Бондаренко. Лабораторный практикум по химии и технолоиги высокомолекулярных соединений, Л.: Химия, 1972

.        Вейганд-Хильетаг, Методы эксперимента в органической химии, М, 1968

.        Новиков М.С., Озеров А.А., Брель А.К., Солодунова Г.Н., Озерова Т.П. Синтез 3-О-ариловых эфиров 2,3-дигидроксипропиладенина и его пиримидиновых аналогов - потенциальных ингибиторов S-аденозил-L-гомоцистеин-гидролазы // Химия гетероциклич. соед. - 1996. - Вып. 3. - С. 380-385.,

.        К.А. Вьюнов, Ю.О. Голубок, Е. Г.Сочилин. Способ получения 1-фенокси-3-хлорпропанолов-2, 1980

.        Ю.О. Голубок, К.А. Вьюнов,О.А. Подзолкова и др. Кинетика взаимодействия замещенных фенолов с 1-хлор-2,3-эпоксипропаном, ЖОРХ, том XV, вып.10 (1979)

.        Общая органическая химия/под. ред. Бартона, Т.3, - М.:Химия, 1982.

.        Яновская Л.Я. Химия ацеталей / Яновская Л.Я.,. Юфит С.С, Кучеров В.Ф. - М.:Наука, 1975.

Похожие работы на - Синтез и некоторые превращения 3-(о-нитрофенокси) метилоксирана

 

Не нашли материал для своей работы?
Поможем написать уникальную работу
Без плагиата!
Без нейросетей!