Синтез диметилэтилкарбинола (2-метилбутанола-2)
Синтез
диметилэтилкарбинола (2-метилбутанола-2)
Содержание
Введение
. Химические превращения кетонов
. Общая часть
. Экспериментальная часть
Выводы
Список литературы
Введение
Основой данной курсовой работы является синтез
диметилэтилкарбинола, который так же имеет название амиленгидрат.
Это вещество относится к амиловым или пентиловым
спиртам с общей формулой С5Н11(ОН). Пентиловые спирты
существуют в нескольких изомерных формах, и из восьми возможных структурных
изомеров три также имеют оптически активные формы. Среди всех структурных форм
четыре являются первичными спиртами: 1-пентанол (амиловый спирт),
2-метил-1-бутанол, изопентиловый спирт (3-метил-1-бутанол), изоамиловый спирт и
третбутилкарбинол (2,2-диметил-1-пропанол); три - вторичными спиртами -
2-пентанол, 3-пентанол и 3-метил-2-бутанол; и последняя - третичным спиртом -
третпентиловый спирт (2-метил-2-бутанол) [6].
Наибольшую важность в практическом отношении
представляет изобутилкарбинол. Этот спирт составляет главную составную часть
так называемого сивушного, или фузельного, масла, образующегося в небольшом
количестве, наряду с обыкновенным спиртом, при брожении сахаристых жидкостей,
картофельных заторов, свекловичной патоки.
Диметилэтилкарбинол представляет жидкость (т.
пл. - 12°) с камфарным запахом, кипящую при 102,5° и действующую снотворно,
вследствие чего применяется для легких наркозов. Технически его готовят, исходя
из амилового спирта брожения, который действием хлористого цинка переводится в
обыкновенный амилен, состоящий главным образом из триметилэтилена; амилен
взбалтывают при - 20° с разбавленной серной кислотой, и полученный раствор
кипятят с водой. При 200° он разлагается на воду и триметилэтилен; при
окислении распадается на ацетон и уксусную кислоту [5].
Целью работы является двухстадийный синтез
диметилэтилкарбинола и анализ литературы на тему «химические превращения
кетонов».
1. Химические
превращения кетонов
. Структура.
Кетоны - соединения общей формулы RR’CO.
Группы R и R’
могут быть алифатическими или ароматическими
Наличие карбонильной группы С=О определяет в
основном химические свойства кетонов. [1] Карбонильная группа легко атакуется
нуклеофильными агентами по двум причинам. В-первых, эта группа может
существовать в двух резонансных формах, одна из которых несет положительный
заряд на карбонильном атоме углерода. Во-вторых, электроотрицательность атома
кислорода обуславливает постоянную поляризацию карбонильной группы, углеродный атом
которой оказывается заряженным положительно [2]
Химия альдегидов и кетонов
определяется наличием карбонильной группы. Эта группа, во-первых, является
местом нуклеофильной атаки и, во-вторых, увеличивает кислотность атомов
водорода, связанных с α-углеродным
атомом. Оба эти эффекта вполне согласуются со строением карбонильной группы, и
по сути дела оба обусловлены способностью кислорода принимать отрицательный
заряд [1]. В схеме 1 отражены основные направления превращений карбонильных
соединений [3].
Схема 1
2. Енолизация.
Кетоны с водородным атомом в α-положении
к карбонильной группе являются слабыми СН-кислотами, они способны образовывать
сопряженный амбидентный анион и енол [3]. Енолизация включает две стадии:
быстрое обратимое протонирование кислорода карбонильной группы (1) с
последующим медленным отщеплением α-водородного
атома (2) [1]:
3. Нуклеофильное присоединение.
Карбонильная группа содержит
двойную углерод-кислородную связь; поскольку подвижные π-электроны
сильно оттянуты к кислороду, углерод карбонильной группы является
электронодефицитным центром, а кислород карбонильной группы -
электроноизбыточным. Поскольку эта часть молекулы плоская, она относительно
доступна для атаки сверху или снизу от этой плоскости в направлении,
перпендикулярном к ней. Не удивительно, что эта доступная поляризованная группа
очень реакционноспособна.
Поскольку важнейшая стадия в этих реакциях -
образование связи с электронодефицитным (кислым) карбонильным углеродом, то
карбонильная группа более всего склонна к взаимодействию с электроноизбыточными
нуклеофильными реагентами, т. е. с основаниями. Типичными реакциями кетонов это
реакции нуклеофильного присоединения [1]. Общая схема реакции:
(3)
а) Присоединение
С-нуклеофилов к двойной связи углерод-кислород
включает целую группу весьма различных реакций, так как различна природа
С-нуклеофилов. Известен ряд С-нуклеофилов карбанионной природы. В основном
здесь идет речь о металлорганических соединениях со связью С - М различной
полярности:
(4)
Углеводородные остатки R2
могут быть различного типа (алкильные, алкенильные, арильные, алкинильные).
В результате реакции
присоединения образуются производные алканолов или других гидроксилсоединений -
алканоляты (алкоксиды), это важный метод получения спиртов.
На присоединении сопряженного
карбаниона, генерированного из кетона, к карбонильной группе основывается
важная реакция - альдольная конденсация. В реакции альдольной конденсации
образуются β-гидроксикарбонильные
соединения. В некоторых случаях альдольная конденсация происходит в присутствии
кислого катализатора. При этом нейтральный слабый С-нуклеофил - енол -
присоединяется к активированной карбонильной группе. Продукты альдольной
конденсации легко отщепляют молекулу воды и образуют ненасыщенные соединения
(кротоновая конденсация). Реакция альдольной конденсации, катализируемая
кислотой или основанием (5) в общем виде:
(5)
б) Присоединение N-нуклеофилов
к карбонильной группе представляет собой различные реакции аммиака, первичных и
вторичных аминов, первичных и вторичных аминов, гидразина и его производных,
гидроксиламина и других соединений с первичной или вторичной аминогруппой.
Реакция производных аммиака
почти всегда заканчивается отщеплением молекулы воды от продукта присоединения
и образованием соединений с двойной связью С=N
[3].
(6)
Восстановительное аминирование - превращение
кетонов в амины при обработке аммиаком в присутствии катализатора.
(7)
В ходе восстановительного аминирования кетон
может реагировать не только с аммиаком, но и с образующимся первичным амином, в
результате чего получается некоторое количество вторичного амина. Однако
тенденцию к образованию подобных продуктов дальнейшего превращения можно легко
контролировать, подбирая соотношения реагентов [1].
в) Присоединение О-нуклеофилов
к карбонильной группе представляет собой реакции карбонильных соединений с
водой, алканолами, пероксикислотами, реакции олигомеризации и полимеризации.
Реакции с анионными О-нуклеофилами (гидроксиды, алканоляты) обычно вызывают
другие превращения (альдольное присоединение, реакции диспропорционирования).
Вода и алканолы являются
слабыми нуклеофилами, поэтому реакция идет только с очень активными
карбонильными соединениями (формальдегид, галогензамещенные альдегиды и кетоны)
или с активированными вследствие кислотного катализа карбонильными
соединениями. Эти реакции можно изобразить схемой (8):
(8)
В реакции с алканолами
получаются полуацетали. В избытке алканола полуацетали превращаются в ацетали
[3]:
(9)
г) Присоединение
галоген-нуклеофилов к карбонильной группе представляет
собой реакции карбонильных соединений с галогенидами фосфора, серы и др. Прямое
взаимодействие карбонильных соединений с галогенид-ионами не наблюдается.
При взаимодействии с
галогенидами фосфора и серы (сильными электрофилами) сначала происходит
активация карбонильного соединения и затем реакция с галогенид-ионом [3].
Лимитирующей стадией является образование енола, который по мере образования
медленно реагирует с галогеном [1]:
Аналогично с PCl5
протекает
реакция с SF4.
д) Восстановление
кетонов. Карбонильные соединения могут быть
восстановлены до соответствующих спиртов или углеводородов. В реакциях
каталитического гидрирования получают спирты:
(12)
Гидрирование в присутствии
аммиака или аминов ведет к получению аминов (восстановительное аминирование
карбонильных соединений или восстановительное алкилирование аммиака или
аминов):
(13)
Восстановление карбонильных соединении
происходит при взаимодействии с активными металлами (Zn,
Mg) в водной среде.
Так, восстановление цинком в кислой среде в основном дает углеводороды
(восстановление по Клемменсену) [3]:
(14)
е) Окисление
кетонов требует разрыва углерод-углеродной связи и
поэтому происходит лишь в довольно жестких условиях. Многие кетоны могут
расщепляться с любой стороны карбонильной группы, приводя к образованию смеси
кислот, например:
(15)
Эта реакция важна для циклических кетонов,
которые дают дикарбоновые кислоты [1].
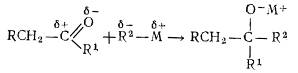
2. Общая часть
Одно из наиболее важных использований реактивов
Гриньяра - реакция с альдегидами и кетонами, приводящая к спиртам [1]. Обычно
взаимодействие магнийорганических соединений изображают, как двухстадийный
процесс. Первая стадия заключается в координации атома магния с атомом
кислорода карбонильной группы с образованием промежуточного комплекса:
(16)
На второй стадии происходит миграция
алифатического или ароматического радикала (в виде аниона или свободного
радикала) от магния к углероду карбонильной группы [4]:
(17)
Продукт представляет собой магниевую соль слабо
кислого спирта и легко превращается в спирт при добавлении более сильной
кислоты - воды.
(18)
Поскольку образовавшийся в процессе реакции Mg(OH)X
представляет собой желатинообразное вещество, с которым трудно работать, вместо
воды обычно используют разбавленную минеральную кислоту (HCl,
H2SO4),
так что образуются растворимые в воде соли магния [1].
Синтез диметилэтилкарбинола проводился по
методу, использующему этот способ получения третичных спиртов. На последнем
этапе вместо воды использовался насыщенный раствор хлорида аммония NH4Cl,
но раствор при этом остался густым, гелеобразным. Эта взвесь основной соли
мешала при разделении эфирного и водного слоев, подкисление соляной кислотой
так же не помогло ее растворить (этот способ используется с осторожностью, так
как третичные спирты склонны к дегидратации). Перегонка была проведена не
полностью, так как вещество отгонялось плохо.
. Восстановление кетона с образованием
вторичного спирта и непредельного углеводорода:
(19)
. Дегидратация полученных спиртов под действием
магнийгалогеналкила:
(20)
. Реакция Вюрца:
(21)
Полученное после перегонки вещество было
прозрачное, белое, с немного резким запахом. Измеренный показатель преломления
отличается от табличного в третьем знаке.
3. Экспериментальная часть
кетон нуклеофильный синтез
диметилэтилкарбинол
Стадия 1. Получение бромистого этила.
Источник: Гинзбург, 73.
Схема реакции:
(22)
Табл. 1. Свойства и расчет количества исходных
веществ
|
Название
|
Мол.
масса (г/моль)
|
Константы
|
Количество
|
Соотношение
молей
|
|
|
Т.
Кип / Т. Пл (оС)
|
Плотность
(г/см3)
|
моль
|
г
|
Мл
|
|
|
Спирт
этиловый
|
46
|
78,4/-117
|
0,806
|
0,7
|
32
|
40
|
1,4
|
|
Бромистый
калий
|
119
|
-
58,8/734
|
|
0,5
|
60
|
|
1
|
|
Серная
кислота
|
98
|
279,6
/10,38
|
1,84
|
1,41
|
138
|
75
|
2,82
|
Теоретический выход: 0,5 моль, 54,5 г
Выход по методике: 45 г (82,57%)
Табл. 2. Характеристики продуктов реакции
|
Название
|
|
Литературные
данные
|
Установлено
в работе
|
|
Мол.
масса (г/моль)
|
Т.
Кип / Т. Пл (оС)
|
Мол. Масса
(г/моль)Т. Кип / Т. Пл (оС)
|
|
|
|
|
Бромистый
этил
|
109
|
38,4/-125,5
|
1,4220
|
|
|
1,421026
|
Ход синтеза.
В круглодонную колбу на 250 мл добавили 40 мл
этанола, 35 мл воды; при помешивании вручную и охлаждении льдом постепенно
прилили 75 мл концентрированной серной кислоты. Смесь охладили до комнатной
температуры, при перемешивании вручную добавили мелко растертый порошок бромида
калия (белые мелкие кристаллы), который остался в смеси виде белых кристаллов.
Собрали установку (рис. 1).
Начали нагревать реакционную смесь, следя за
температурой (нагревала не выше 65оС). Так как бромистый этил
чрезвычайно летуч, для уменьшения потерь в приемник добавили холодной воды и
периодически добавляла кусочки льда. При прохождении реакции (примерно 30
минут) в приемник через аллонж поступали маслянистые мутные капли, опускавшиеся
на дно. После прохождения реакции в колбе с исходными реагентами не осталось
осадка бромида калия. Используя делительную воронку, отделили бромистый этил от
воды, затем промыли его концентрированной серной кислотой (не меньше ¼
объема
бромистого этила). Собрали вещество из делительной воронки в плоскодонную
колбу, добавили осушитель - СаCl2
на 20 минут, вещество стало прозрачным.
Провели перегонку с дефлегматором на водяной
бане. Установка, как для получения вещества, но для приема использовался аллонж
с отводом (рис. 2). Перегонка производилась в интервале температур 36-40оС.
После перегонки еще раз использовали осушитель, так как вещество было мутным.
Померили показатель преломления.
Выход составил: 27,1 г (50% от теоретического).
Значительные потери можно объяснить
легколетучестью бромистого этила.
Рис. 1. Установка для 1 стадии
- термометр; 2 - дефлегматор; 3 - холодильник; 4
- аллонж; 5 - приемник; 6 - колба; 7 - колбонагреватель

Стадия 2. Получение Диметилэтилкарбинола.
Источник: Гинзбург, 219.
Схема реакции:
(23)
Табл. 3. Свойства и расчет количества исходных
веществ
|
Название
|
Мол.
масса (г/моль)
|
Константы
|
Количество
|
Соотношение
молей
|
|
|
Т.
Кип / Т. Пл (оС)
|
Плотность
(г/см3)
|
моль
|
г
|
Мл
|
|
|
Магний
|
24
|
|
|
0,17
|
4
|
|
1
|
|
Бромистый
этил
|
109
|
38,4/-125,5
|
1,455
|
0,17
|
19
|
13
|
1
|
|
Ацетон
безводный
|
58
|
56/-95
|
0,791
|
0,17
|
10
|
12
|
1
|
Теоретический выход: 0,17 моль, 14,96 г
Выход по методике: 7-8 г (~50%)
Табл. 4. Характеристики продуктов реакции
|
Название
|
|
Литературные
данные
|
Установлено
в работе
|
|
Мол.
масса (г/моль)
|
Т.
Кип / Т. Пл (оС)
|
Мол. Масса
(г/моль)Т. Кип / Т. Пл (оС)
|
|
|
|
|
Диметилэтилкарбинол
|
88
|
101/-12
|
1,405220
|
|
|
1,40120
|
Ход синтеза.
Собрала установку (рис. 3) проверила, чтобы все
детали были сухими.
Рис. 3. Установка для 2 стадии
- трехгорлая колба; 2 - капельная воронка; 3 -
холодильник; 4 - мешалка с затвором; 5 - хлоркальциевая трубка
В колбу, через воронку для сухих веществ
поместила 4 г магниевой стружки с кусочками йода. Затем нагрела закрытую колбу
спиртовкой до появления фиолетовых паров йода, охладила ее до комнатной
температуры. Затем добавила 33 мл абсолютного эфира. К полученной смеси из
капельной воронки по каплям добавила 13 мл бромистого этила при помешивании (в
течение 10 мин). Сначала нагрела колбу теплой водой, при слишком бурном
протекании реакции (эфир стекает с холодильника струей, а не каплями) охлаждала
холодной водой, после нагревала еще 15 минут. Магний растворился не весь, в
колбе черный раствор с остатками магниевой стружки.
Охладила льдом и, не убирая лед, по каплям, при
помешивании прибавила раствор 12 мл ацетона в 25 мл абсолютного эфира в течение
20 минут. Прибавление каждой капли раствора ацетона сопровождалось энергичной
реакцией, образовывался белый осадок; сначала он растворялся при перемешивании,
а затем оседал в виде вязкой голубовато-серой массы, на дне колбы остался
черный раствор. Оставлено на неделю. Так как весь эфир за это время испарился,
добавила еще 30 мл.
Используя ту же установку, прокипятила смесь на
водяной бане в течение 25 мин, охладила и добавила насыщенный раствор
хлористого аммония (5 г в 20 мл воды), затем еще 20 мл воды. Осадок не
растворился, раствор густой, мутный, гелеобразный, серого цвета, сверху
прозрачный эфирный слой. Декантацией перелила эфирный слой в отдельную колбу
(прозрачный, светло-желтый). Остальной гелеобразный раствор перелила в
делительную воронку. Среда раствора щелочная, после добавления 40 мл
разбавленной соляной кислоты, осталась щелочной. Добавила 60 мл эфира для
экстракции, разделения слоев не происходило, по-прежнему густая смесь.
Смесь перелила в плоскодонную колбу, оставила на
неделю, за это время произошло разделение слоев (сверху вниз): прозрачный
эфирный слой, белые хлопья, прозрачный водный слой (не густой). Перелила в
делительную воронку, смесь опять стала густой. Экстрагировала два раза эфиром
(по 25 мл), при этом эфирный слой хорошо отделялся от гелеобразного водного
слоя. Соединила эфирные растворы (два прозрачных после экстракции, один
светло-желтый), промыла 5% раствором соды (NaHCO3),
2 раза по 25 мл, добавила осушитель (Na2SO4)
на 1,5 часа. Провела отгонку эфира на ротационном испарителе (при ~35оС,
10 мин). Осталось около ¼ от объема
всего вещества, раствор стал ярко-желтым, немного мутным, добавила осушитель (Na2SO4),
оставила на неделю. Добавила 20 мл эфира для экстракции, отфильтровала от
осушителя, отогнала эфир на ротационном испарителе (36оС, 6 мин).
Провела перегонку с дефлегматором, используя установку на рис. 2. При нагревании
в течение 15 минут раствор кипел (из ярко-желтого стал бурым), но температура
на термометре не повысилась с комнатной, отгонка не происходила. При создании
повышенного давления водоструйным насосом (через отвод аллонжа), температура
быстро поднялась, вещество начало перегоняться при 75оС (эта часть
была взята для измерения показателя преломления), температура поднялась до 89оС
(отогналось еще столько же вещества, как при 75оС). Всего отогналось
примерно 3 мл вещества (прозрачное, бесцветное, с запахом), которое
использовалось для измерения показателя преломления. До отгонки было
предположительно 7 мл вещества.
Выход по методике примерно 3 мл или 2,427 г
(0,809 г/см3), что составляет 30% от теоретического выхода.
Выводы
Был произведен анализ литературы по теме
«химические превращения кетонов». В основе взята структура разделения всех
реакций по группам из учебника Нейланда О.Я., с дополнениями по отдельным
реакциям или использованием схем превращений из учебников Моррисона Р. и Тернея
А.
Было синтезировано целевое соединение -
диметилэтилкарбинол. В целом это дало опыт в проведении синтезов с
магнийорганикой.
Список литературы
1.
Моррисон Р., Бойд Р. Органическая химия. - М.: Мир, 1974. - 1133 с.
.
Терней А. Современная органическая химия: в 2 т. - М.: Мир, 1981. - Т. 2
.
Нейланд О.Я. Органическая химия: Учеб. для хим. спец. вузов. - М.: Высш. шк.,
1990 - 751 с.
.
Лабораторные работы по органической химии / Под ред. О.Н. Гинзбурга, А.А.
Петрова. - М.: Высш. шк., 1970. - 198 с.
.
http://eventology.wiki-wiki.ru/ru-wz/index.php/Амиленгидрат