Применение теории контрактов на рынке труда
Курсовая работа
Применение теории контрактов на рынке
труда
Кондратьева
Анастасия Егоровна
Введение
трудовой контракт рынок
В настоящее время сложно представить себе работодателя, который не
заключает со своими подчиненными трудового контракта. Предполагается, что
принципал (работодатель) стимулирует высокую производительность работника,
предлагая ему различные уровни заработной платы в зависимости от уровня усилий.
К таким контрактам относятся, например, контракты менеджеров по продажам, промоутеров,
торговых представителей. Однако, каждый работодатель на рынке труда обладает,
как правило, своими критериями оценки уровня усилий работника, так как видит
только итоговый результат работы, но усилия агента для него не наблюдаемы. Это
приводит к необходимости выявления некоторых оптимальных контрактов и правил их
использования на рынке труда в условиях асимметричной информации.
С момента появления теории контрактов как раздела современной
экономической теории во второй половине ХХ-ого века разработано несколько
моделей, связанных с ненаблюдаемыми действиями. Эти модели различны по
используемым параметрам и переменным, функциям, условиям их применения.
Модель, позволяющая описать систему трудовых контрактов в условиях
несовершенной информации, была впервые предложена австрийскими учеными
Holmstrom и Milgrom лишь в 1987, и по сей день является наиболее удобным
инструментом для описания контрактов в условиях асимметричной информации [5].
Данная модель, адаптированная к рынку труда, позволяет связать усилия агента,
результат его работы, с прибылью предприятия, что дает возможность определить
заработную плату, оптимальную для мотивации высокого уровня усилий агента.
Модель, помимо прочего, имеет нежесткие ограничения на функцию полезности
агента, а также применима для случаев с непрерывным уровнем усилий.
Однако, несмотря на внешнее удобство, модель ненаблюдаемых действий не
используется современными предприятиями в явном виде для составления трудовых
контрактов.
Цель данной работы - интерпретация модели ненаблюдаемых действий для
применения в условиях асимметричной информации на рынке труда, а также
выявление причин осложнения ее применения для разработки реальных трудовых
контрактов.
Для достижения поставленной цели необходимо решить следующие задачи:
) изучить различные интерпретации модели ненаблюдаемых действий и области
их применения;
) адаптировать модель к рынку труда;
) проверить на оптимальность реальный трудовой контракт;
) выявить причины ограничения использования модели при разработке трудовых
контрактов.
1. Модель ненаблюдаемых действий
1.1 Трудовые контракты
Пример применения теории контрактов - дискриминация второго рода на рынке
труда. Предположим, что рабочие обладают различными способностями. В момент
найма на работу имеет место асимметрия информации - рабочие знают о своих
способностях существенно больше, чем работодатели.
Рассмотрим предпочтения рабочих по отношению к следующей паре контрактов:
(а) контракт с фиксированной зарплатой, не зависящей от
производительности;
(б) контракт с низкой (или нулевой) базовой зарплатой, но существенной
премией за высокую производительность.
Рабочие с высоким уровнем способностей знают, что они смогут добиться
хороших результатов, поэтому они скорее предпочтут контракт (б) контракту (а),
чем рабочие с низким уровнем. Модели стимулирующих контрактов усиливают данный
эффект - чем больше доход агент связан с результатами его деятельностью, тем
лучше он работает. Однако, стимулирующие контракты играют важную роль и за счет
отсеивания низких типов, даже если бы и эффект стимулирования усилий и не играл
бы роли [1].
.2 Общие предположения модели
Рассмотрим формулировку, классификацию и описание различных вариантов
модели ненаблюдаемых действий (“Moral hazard”),
предложенную А.Бремзеном и С. Гуриевым [1].
Модель «moral hazard» является ключевой в теории контрактов. В этой
модели рассматривается вопрос о том, как при помощи контракта стимулировать
выбор желаемого действия агентом, если само действие не наблюдается
принципалом. При этом имеет место ситуация конфликта интересов: в отсутствие
контракта агент выбрал бы действие, отличное от того, в котором заинтересован
принципал.
Приложения данной модели чрезвычайно широки: ее можно использовать и для
описания отношений между собственниками и менеджерами корпораций, между
законодательной и исполнительной властью, между менеджером и рабочим и т.д.
В российской литературе пока отсутствует устойчивый перевод термина
«moral hazard». Часто используется буквальный перевод, например «субъективный
риск» или «моральный риск». Более точно смысл передается терминами
«оппортунистическое поведение» или «постконтрактный оппортунизм». По
определению Оливера Уильямсона, оппортунистическое поведение также включает в
себя ситуации с асимметричной информацией в момент заключения контракта (модели
неблагоприятного отбора и сигналов) [2]. Однако, в более поздней литературе эти
понятия разделены, модели предконтрактного оппортунизма (модели с асимметричной
информацией), как правило, не рассматриваются в качестве частного случая оппортунистического
поведения, а термин «оппортунистическое поведение» используется в качестве
синонима «постконтрактного оппортунизма», тем более что во многих моделях и
особенно обобщениях и приложениях моделей «moral hazard» отсутствует контракт
как таковой, и его роль играют права собственности, рыночная конкуренция и т.д.
Строго говоря, эти модели не относятся к классу, рассматриваемому в данной
работе, однако их также принято называть моделями «moral hazard», так как в них
используются ключевые идеи теории «moral hazard». Поэтому все три термина -
«moral hazard», «оппортунистическое поведение», «постконтрактный оппортунизм» в
данной работе мы будем использовать как синонимы.
Рассмотрим общую структуру модели:
а) тип агента известен и верифицируем;
б) функция распределения x зависит от e;
в) выигрыш принципала зависит от x и w (например, x - w(x));
г) выигрыш агента зависит от w и e (например, u(w(x)) − c(e), где u(w(x)) -полезность потребления, c(e) - издержки усилий).
Имеет место следующая последовательность действий:
) принципал предлагает агенту контракт w(x): если имеет место результат x
(например, рыночная капитализация, прибыль, объём продаж), принципал платит
агенту w;
) агент подписывает контракт или уходит (принцип “take it or leave it”);
) агент выбирает действие e,
ненаблюдаемое или неверифицируемое;
) принципал наблюдает x и платит зарплату w(x).
Рисунок 1. Последовательность действий в модели ненаблюдаемых действий
Модели оппортунистического поведения описывают и ситуации при найме на
работу, заключении подрядов на оказание услуг, в т.ч. госзаказов, на рынке
страхования, то есть ситуации, в которых большую роль играет распределение
риска. Поэтому очень важно сделать предположение о том, насколько агент предпочитает
избавляться от риска.
В большинстве подобных моделей предполагается, что агент больше боится
риска, чем принципал. Как правило, принципал максимизирует ожидаемый доход (то
есть нейтрален к риску), а функция полезности агента вогнута U’’<0 (данное
предположение следует из неравенства Йенсена) [1].
Таким образом, можно рассмотреть некоторую классификацию подвидов модели
ненаблюдаемых действий:
простейшая модель: два уровня усилий агента - низкий 0 и высокий e, и два уровня выручки фирмы (в общем
случае - наблюдаемых действий) - πS и πF, принципал нейтрален к риску;
специальный случай простейшей модели: агент, так же, как и принципал,
нейтрален к риску;
обобщенная модель: два уровня усилий агента - низкий 0 и высокий e, выручка фирмы непрерывна и определяется
функцией распределения;
универсальная (еще более обобщенная) модель: и усилия агента, и выручка
фирмы задаются непрерывными функциями;
многопериодная модель: агент выбирает уровень усилий в промежуточные
моменты времени, зная реализацию случайных факторов к данному моменту.
1.3 Простейший случай модели
Возможны два уровня усилий: e = 0, e = 1. Низкий уровень усилий не
требует от работника никаких затрат, а высокий уровень усилий требует издержек,
равных 1. Результатом работы является один из двух возможных исходов: x = F
(провал), x = S (успех). Если e = 0,
вероятность успеха p0, если e = 1, вероятность успеха p1, при этом ясно, что
вероятность успеха при низком уровне усилий меньше, чем при высоком, поэтому 0
< p0 < p1 < 1
В
контракт может быть записан только x. Поэтому контракт имеет следующий вид:
. Если проект провалился, доход от реализации проекта
равен нулю. Если проект удался, доход равен π > 0 (можно предположить, что в случае успеха принципал
получает πS, а в
случае провала - πF , но для
стимулов имеет значение только относительный выигрыш π = πS − πF).
Принципал нейтрален к риску. Если агент откажется участвовать в проекте, его
полезность будет равна
. Вероятности успеха и провала нетривиальны, так что,
наблюдая x, принципал не может с точностью утверждать, какие именно усилия
приложил агент. Таким образом, выигрыши участников имеют следующий вид:
Π = pe(π −
wS) + (1 − pe)(0 − wF),
U = peu(wS) + (1 − pe)u(wF
) − e.
Задачу
можно переформулировать и следующим образом. Агент выбирает распределение
вероятности (pe, 1 − pe).
Замечание:
Напомним, что распределение вероятностей - это закон, описывающий область
значений случайной величины и вероятности их принятия.
Если
бы принципал и агент не вступали бы в контрактные отношения (то есть wS
= wF = 0), то интересы принципала и агента не совпадали бы.
Агент предпочитает распределение (p0, 1 − p0),
а принципал предпочитает (p1, 1 − p1), π
> 0, p1
> p0. Если бы интересы принципала и агента совпадали бы (то есть,
например, π < 0 или p1 < p0), то контракт был бы
не нужен. Задача, которую преследует принципал при заключении контракта, -
предоставить агенту стимулы для выбора того распределения, которое более
выгодно принципалу.
2. Некоторые специальные случаи и
обобщения модели
2.1 Случай нейтральности агента к
риску
Рассмотрим ситуацию, когда агент, так же, как и принципал, нейтрален к
риску.
Источник неэффективности оптимального контракта заключался до сих пор в
конфликте стимулирования усилий и страховки. Стимулирование усилий агента
предполагает компенсацию, напрямую зависящую от результата, тогда как страховка
предполагает, наоборот, выравнивание доходов агента при разных реализациях
случайной величины. Если же агент нейтрален к риску, то он не нуждается в
страховке, и конфликт, таким образом, исчерпывается; из общих соображений
следует ожидать, что в этой ситуации удастся достичь социального оптимума.
Действительно,
его можно достичь, если принципал предложит агенту контракт вида w(x) = x −
p, где p - некоторая величина, не зависящая от x (выбираемая с таким расчетом,
чтобы конфисковать у агента всю ренту, то есть так, чтобы ограничение p0u(wS)
+ (1 − p0)u(wF) ≥
выполнялось как равенство).
Социального
оптимума, однако, не удаётся достичь, если нейтральный к риску агент имеет
ограниченную ответственность (работник не может получать отрицательную
зарплату). Этот случай схож со случаем отрицательного отношения к риску, так
как в обоих случаях функция полезности вогнута. При этом в оптимуме агент
получает (по крайней мере, если его альтернативная зарплата равна нулю)
положительную ренту: его зарплата никогда не меньше нуля, а с положительной вероятностью
(то есть, при высоком результате) строго положительна.
К
отклонению от оптимума может также приводить несовершенство финансовых рынков
(проценты по кредиту выше процентов по депозиту, то есть отрицательная зарплата
ведет к дополнительным трансакционным издержкам для рабочего и т.д.).
Опишем
теперь свойства социально оптимального (при совершенной информации, то есть,
при наблюдаемых усилиях агента) и наилучшего в условиях ненаблюдаемых действий
контракта (для избегающего риска агента) в зависимости от параметра π = πS − πF , то
есть, от добавочного дохода при высоком результате (по сравнению с низким
результатом). При этом мы считаем издержки приложения усилий c(a) постоянными.
Если
π
близко к нулю, то социально оптимальным
будет низкий уровень усилий агента, и его несложно достичь (положив зарплату
постоянной) в условиях асимметричной информации. Если π растет, то достигается точка π∗, в которой безразлично (с социальной точки зрения),
прикладывает ли агент высокие или низкие усилия. Сразу за ней высокий уровень
усилий становится оптимальным, но он не будет реализован принципалом при
составлении контракта из-за проблем со страховкой (ведь переход к контракту,
стимулирующему высокий уровень усилий агента чреват дискретным ростом издержек
неполной страховки, сопровождаемым лишь малым, в окрестности π∗, ростом непосредственного дохода принципала); при
этом сохраняется полная (то есть, оптимальная) страховка, но выбор уровня
усилий уже не оптимален. Наконец, при дальнейшем росте π доход принципала от высокого уровня усилий агента
превышает расходы на страховку и, соответственно, принципал выбирает контракт,
стимулирующий высокий уровень усилий.
На
этом последнем участке выбор усилий агента оптимален, но из-за неполной
страховки возникают потери по сравнению с ситуацией полной информации.
2.2 Модель ненаблюдаемых действий с
непрерывной функцией распределения выручки
Случай непрерывной функции распределения дохода фирмы подробно рассмотрен
в «A Primer on Moral-Hazard Models», E. S. Prescott [7].
Предположим, возможны только два уровня усилий a = 0 или a = 1, однако
наблюдаемая переменная x может принимать произвольно большое количество
значений. Издержки усилий равны c(a) = a. Если уровень усилий низкий a = 0, то
результат x распределён в соответствии с функцией распределения F0(x).При
высоком уровне усилий a = 1 функция распределения дохода фирмы равна F1(x).
Условное распределение выигрыша принципала имеет вид:
выигрыш
агента равен:
Если
принципал хочет реализовать а=0, то он решает задачу:
(IR)
(IC)
Решение
имеет ту же структуру, что и в дискретном случае: агенту будет предоставлена
полная страховка w(x) = w. При любом результате зарплата будет постоянна
и определяется уравнением u(w) = U. Ограничение IR
(individual rationality) выполняется как равенство, а IC (incentive
compatibility) можно отбросить, так как на решения задачи оно не повлияет (в
данном случае IC - неактивное ограничение).
Если
надо реализовать а=1, то задача примет вид:
Выпишем
Лагранжиан задачи:
Здесь
- множитель к ограничению (IC), а μ - множитель к ограничению (IR). Для каждого x найдём
оптимальное w(x):
Выпишем условие первого порядка:
,
или:
.
Отношение
представляет собой отношение правдоподобия
(likelihood ratio). Если результат работы фирмы равен x, отношение
правдоподобия показывает насколько вероятно, что агент приложил много усилий.
Левая часть уравнения возрастает по w, отсюда легко видеть, что w(x) возрастает
по x тогда и только тогда, когда отношение правдоподобия возрастает по x.
Зарплата монотонна по x тогда и только тогда, когда отношение правдоподобия монотонно
(то есть имеет место MLRP - monotone likelihood ratio - свойство монотонности
отношения правдоподобия). Класс распределений с монотонным отношением
правдоподобия содержит большое количество функций и глубоко изучен в
математической статистике. Отметим, впрочем, что взяв произвольные функции f0(x),
f1(x), мы вряд ли получим MLRP. Поэтому монотонность зарплаты по x
не всегда имеет место. Впрочем, после некоторого размышления можно понять, что
это вполне логично. Например, рассмотрим технологию x = a+ξ, причем ξ принимает значения -1 и 1 с равной вероятностью. Тогда принципал будет
точно знать, что агент приложил низкий уровень усилий (a = 0) тогда и только
тогда, когда x = −1 или x = 1, но будет полагать, что уровень усилий был
высоким, если x = 0 или x = 2. Если принципал хочет, чтобы агент выбрал высокий
уровень усилий, необходимо наказывать агента в случаях x = −1 и x = 1 и
поощрять в случаях x = 0 и x = 2. Получается, что w(1) < w(0).
Почему
эта проблема не возникает в простейшей постановке? Дело в том, что для
случайной величины с двумя возможными значениями MLRP эквивалентно FOSD
(условию стохастического доминирования первого порядка, F1(x) ≤
F0(x) для всех x), и оба записываются достаточно просто: p1
> p0, где pa - вероятность высокой прибыли принципала
при выборе усилий a. В случае же, когда возможных исходов хотя бы три, из MLRP
следует FOSD, но не наоборот. Поэтому FOSD (достаточно естественное
предположение, выполняющееся, например, для x = g(ε, a), где ε - случайная величина, g возрастает по a) в общем случае недостаточно
для монотонности w(x) (как показано выше). Заметим, что зарплата определяется
только отношением правдоподобия, то есть в данном случае отношение
правдоподобия является достаточной статистикой для x. Это один из главных
результатов теории контрактов. Он показывает, какие именно переменные должны
быть записаны в контракт. Если принципал хочет стимулировать тот или иной
уровень усилий, вознаграждение при заданном исходе x должно зависеть только от
условной вероятности того, что был выбран именно желаемый уровень при условии,
что имеет место x, то есть от отношения правдоподобия [7].
2.3 Модель ненаблюдаемых действий с
непрерывными функциями распределения выручки и усилий
Будем теперь предполагать, что и усилия a непрерывны. Агент выбирает
уровень a ≥ 0 и несет издержки c(a). Функция c(a) дважды дифференцируема,
строго возрастает и выпукла. Функция распределения дохода имеет вид F(x, a),
функция плотности f(x,a) = ∂f(x,a)/∂x. Условие совместимости по
стимулам принимает вид:
Условие
IR имеет вид:
Лагранжиан:
Решение
этой задачи похоже на полученное ранее:
Отношение
является дифференциальным аналогом отношения
правдоподобия. В отличие от предыдущей постановки задачи, агент выбирает усилия
из континуума; при заданном исходе x принципал оценивает, насколько вероятен
выбор агентом равновесного уровня усилий a или небольшое отклонение a + da.
Отметим, что найти нетривиальную функцию с монотонным отношением
несколько сложнее, чем в случае дискретного набора
уровней усилий. Одним из способов построить такую функцию является следующее
семейство функций распределения
(x,
a) = af1(x) + (1 − a)f0(x),
где
распределение f1(x) доминирует f0(x) по MLRP [6].
2.4 Расширение модели ненаблюдаемых
действий
Как правило, в реальности используются линейные или кусочно-линейные
зависимости. Типичный пример: поведение менеджера-собственника фирмы,
находящейся на грани банкротства. До того как долговое бремя стало чрезмерным,
стимулы собственника были фактически линейными: каждый дополнительный доллар
прибыли доставался ему (выплаты по долгу, по определению, фиксированы). Однако,
как только менеджер начинает понимать, что вероятность банкротства становится
существенной, его «контракт» становится выпуклым: если банкротства не
произойдет (прибыли превысят необходимые долговые выплаты), то он по-прежнему
получает каждый дополнительный доллар, если же прибыль ниже необходимых выплат
по долгу, он получает ноль, и каждый дополнительный доллар достается
кредиторам. Естественно, искаженные (нелинейные) стимулы приводят к тому, что
менеджер предпринимает очень рискованные (и не обязательно прибыльные) проекты:
он получает выигрыш в случае положительного исхода, но не заботится о проигрыше
в случае отрицательного исхода.
Для того, чтобы смоделировать такого рода соображения, Holmstrom и
Milgrom предложили следующую модификацию изложенной выше модели [5]. Доход
принципала по-прежнему зависит от усилий агента и внешних (случайных
воздействий), однако вместо одномоментного соотношения x = a+ε
рассмотрим динамику
выбора усилий и случайных факторов в течение данного периода t ∈ [0, 1]. Предположим, что доход
накапливается со временем по закону dx = adt + σdW, где a(t) - уровень усилий в момент
времени t, а W - винеровский случайный процесс (иначе говоря, единичное
броуновское случайное блуждание). За время dt приращение винеровского процесса
dW - это нормально распределенная случайная величина со средним 0 и дисперсией
dt (среднеквадратичное отклонение равно √dt). Таким образом, в конце
периода
, где ε ∈ N(0, σ2).
Положим
x(0) = 0 и введем обозначение для среднего уровня усилий:
.
Тогда
в конце периода доход принципала равен среднему уровню усилий плюс нормально
распределенная случайная величина: x(1) =
+ ε. Следующее предположение заключается в том, что
принципал наблюдает x только в конце периода (например, получает годовой отчет,
но не может следить за ежедневными результатами деятельности агента) [5].
Отличи
от стандартной постановки: в данном случае агент выбирает уровень усилий в
промежуточные моменты времени, зная реализацию случайных факторов к данному
моменту. Поэтому, выбор a(t) существенно зависит от наблюдаемой им (но не
принципалом) величины x(t): если агент знает, что в предыдущие момент времени
ему повезло, то его шансы добиться более высоких результатов в конце периода
выше (даже при том же уровне усилий). Поэтому агент будет ориентироваться на ту
часть контракта w(x(1)), которая оговаривает зарплату в случае высоких
результатов. Если же агенту не повезло и величина x(t) не так велика, то более
вероятны низкие значения x(1), и он будет скорее рассматривать ту часть
контракта w(x(1)), которая определяет платежи в случае плохих результатов.
Как
и в предыдущей модели, агент получает нулевую ренту, поэтому максимизация
выигрыша принципала соответствует задаче максимизации общего благосостояния. С
этой же точки зрения, гибкость - это плохо. Действительно, агент боится риска,
поэтому, если его усилия будут меняться в зависимости от промежуточных
реализаций случайных величин, принципалу придется повысить его среднюю зарплату
в качестве компенсации за риск. Следовательно, принципал заинтересован в том,
чтобы агент выбирал один и тот же уровень усилия. Этого можно добиться тогда и
только тогда, когда предельные стимулы, предоставляемые контрактом, не будут
зависеть от реализации случайных величин. Другими словами, у линейного
контракта w(x(1)) = αx(1) + β есть
серьезные преимущества.и Milgrom доказывают оптимальность линейных контрактов
для следующего примера. Принципал нейтрален к риску, а агент обладает
постоянной абсолютной несклонностью к риску r, то есть его функция полезности
CARA (constant absolute risk aversion): u(w) = 1 − e−r(w−c(a)).
Для простоты предположим, что функция издержек от усилий c(a) = a2/2.
Даже
для этой постановки доказательство оказывается достаточно сложным, поэтому мы
не будем его обсуждать, но рассмотрим оптимальный контракт.
В
равновесии агент получает линейный контракт w(x(1)) = αx(1) + β и выбирает один и тот же уровень усилий a(t) = a в каждый момент
времени. Чтобы вычислить оптимальные параметры α, β, необходимо вернуться к исходной (статической
постановке) и решить задачу об оптимальном контракте при ограничении линейности
контракта. Другими словами, необходимо искать не оптимальный контракт в общем
виде, а всего лишь максимизировать по α, β. Ограничения индивидуальной рациональности и
совместимости по стимулам имеют следующий вид:
Здесь u - доход, который агент получит (с вероятностью 1),
отказавшись от заключения контракта.
Вследствие
нормальности
, поэтому ожидаемую полезность агента можно записать в
виде:
Для
того, чтобы побудить агента к выбору заданного уровня усилий a, принципал
выбирает α,
β. Из условия IC непосредственно
следует α
= a,, а из IR определяется
.
Затем
принципал решает, какой именно уровень усилий a максимизирует его полезность
.
Из
FOC:
.
Налицо
конфликт между стимулами и страховкой: с одной стороны, нейтральному к риску
принципалу следует застраховать избегающего риска агента, то есть, выбрать α поменьше (ведь дисперсия вознаграждения агента
пропорциональна α2). С
другой стороны - агенту следует создать стимулы прикладывать усилия, то есть
выбрать α побольше (ведь α = a). Полученная выше формула для оптимального a описывает компромисс
между этими двумя факторами. Заметим, что с ростом r (чувствительности
подчиненного к риску) или σ2 (неопределенности результата) мотивация страхования
усиливается, так что оптимальное значение a уменьшается. Отметим еще, что a
<1: если чуть-чуть отступить вниз от a = 1 (безусловного оптимума), то
потери в выпуске будут второго порядка малости, а выигрыш в страховке - первого
[5].
3. Интерпретация модели в условиях
найма на рынке труда
Рассмотрим следующую задачу со следующими предположениями:
1) функция
полезности агента вогнута и имеет вид
[4];
) агент
может выбрать нулевой уровень усилий, либо уровень усилий e;
)
- альтернативный уровень полезности агента внутри
рынка (то есть уровень полезности, который агент может получить, выбрав другого
работодателя);
) вероятности
получения высокого или низкого уровня выпуска фирмы при различном уровне усилий
агента описаны в таблице 1.
Таблица 1 - Вероятность получения различного уровня выпуска фирмы в
зависимости от усилий работника
|
Усилия
|
Выпуск фирмы
|
|
RL
|
RH
|
|
0
|
p1
|
1-p1
|
|
e
|
p2
|
1-p2
|
Замечание: логично предположить, что p1>1- p1, так как ясно, что при нулевых
усилиях гораздо вероятнее получение низкого уровня прибыли, чем высокого.
Аналогично, для высокого уровня усилий p2>1- p2.
Таким образом,
получим, что

Решение
1. Случай наблюдаемости усилий
В случае, когда усилия наблюдаемы, работодатель может явно оценить усилия
агента. Таким образом, в этом случае доход компании зависит от усилий агента в
явной форме:
Работодатель пытается подобрать контракт, стимулирующий высокий уровень
усилий. Условие участия тогда будет выглядеть так:
Тогда ожидаемый доход равен
Ожидаемая
чистая прибыль:
В
условиях наблюдаемости усилий можно рассмотреть следующие случаи:
1) Случай, когда количество агентов ограничено (много принципалов -
один агент);
(1)
Очевидно, что в случае конкуренции принципалов, каждый из них получит
нулевую чистую прибыль (условие совершенной конкуренции). В данной ситуации это
будет объясняться тем, что каждый работодатель готов платить агенту максимально
возможную зарплату, чтобы единственный на рынке агент не желал поменять место
работы.
В
этом случае получим:
. Тогда полезность агента будет равна:
.
Таким
образом, если выполнено второе неравенство системы (1), то заработная плата,
стимулирующая высокий уровень усилий, равна
. Но
всегда ли выполнено неравенство (1)? Проверим это, выразив вероятность p2:
.
Ясно,
что
. Тогда, если
, то
неравенство всегда верно (так как вероятность всегда больше отрицательного
числа), однако, в силу ограничения неотрицательности на чистую прибыль, такого
быть не может.
Если
же числитель больше знаменателя,
, то
система не имеет решения (вероятность не может быть больше единицы), и агент
предпочтет уйти к другому работодателю.
б)
Случай, когда принципалу выгоден нулевой уровень усилий агента, приводит к
следующей задаче с ограничениями:
Тогда,
проводя рассуждения, аналогичные случаю а), получим:
То
есть заработная плата стимулирующего контракта равна
, если
. В
противном случае, агент предпочтет выбрать другого работодателя.
Таким
образом, принципал может проверить, какой уровень усилий агента ему выгоден:
если выполнено неравенство
,
или,
что то же самое,
,(2)
то чистая прибыль принципала при высоких усилиях агента и соответствующей
его зарплате wH больше, чем чистая прибыль при
нулевых усилиях с заработной платой wL .
Замечание: в уравнении (2) левая часть больше нуля, так как высокая
выручка больше низкой и вероятность низкой выручки при низком уровне усилий p1 больше вероятности низкой выручки при высоком уровне
усилий p2.
В свою очередь, необходимо рассмотреть условия, при которых агенту будет
выгодно упорно трудиться. Для этого сравним полученные контракты с точки зрения
полезности агента. Предположительно, полезность агента в случае высоких усилий
должна быть выше полезности при низком:
.
Возведя
в квадрат и приводя подобные слагаемые, получим
условие,
при котором работник предпочтет «высокий» контракт «низкому».
2) Случай, когда количество принципалов ограничено (много агентов -
один принципал)
Так
как альтернативная полезность
по
условию задачи достигается при переходе к другому работодателю, то в данном
случае, в связи с тем, что принципал всего один, альтернативная полезность
=0. При этом условие «низкого» контракта можно отсечь:
для того, чтобы получить рабочее место, все рациональные агенты будут
предлагать только высокий уровень усилий. Тогда условие задачи перепишется в
виде:
Агента
в данном случае соглашаются на минимальный уровень зарплаты e2.
Таким
образом, исходную постановку задачи можно переписать в виде:
Таким
образом, если
, то
. Иначе
агент предпочтет не работать вообще.
Теперь рассмотрим случай, когда усилия ненаблюдаемы (информация
ассиметрична).
В данном случае принципал не может в явном виде отслеживать усилия
агента. Таким образом, он назначает зарплату в зависимости от выпуска компании:
Очевидно,
необходимо разработать контракт, стимулирующий высокий уровень усилий агента,
то есть решить задачу:
(3)
Таким
образом, необходимо максимизировать чистую прибыль при условии выполнения
ограничений (3).
Выпишем
Лагранжиан задачи:
Решив
эту задачу, получаем две точки:
.
Так
как по условию задачи
то необходимо проверить граничные случаи:
1) Если p1=0, то wL>wH, что интуитивно понятно: если
принципал рационален, то не имеет смысла мотивировать высокий уровень усилий,
ведь если p1=0, то фирма имеет высокий выпуск с вероятностью 100%,
даже если агент не прилагает никаких усилий.
) Если p1=1, то
,
то
есть wL<wH.
Это
связано с тем, что вероятность достижения высокого уровня выпуска фирмы при
нулевых усилия работника равна нулю, что делает мотивацию высокого уровня
усилий агента необходимой.
3) Если p2=0, то
,
где
wL<wH.
Это
объясняется тем, что, раз вероятность получения высокого выпуска при высоком
уровне усилий равна единице, то есть принципал избегает некоторой
«неопределенности» при заключении такого контракта с агентом.
4) Если p2=1, то
,
то
есть wL>wH.
Это
объясняется тем, что, если упорный труд работника приводит к низкому выпуску
фирмы, работодателю нет смысла мотивировать его высокой заработной платой wH.
4. Применение модели к реальному
трудовому контракту
Рассмотрим практическое применение модели на примере компании “SBT” в г. Владивосток. Компания
занимается продажей и доставкой подержанных автомобилей с аукционов Республики
Корея, США и Японии. Трудовой контракт менеджера по продажам в данной компании
имеет следующие характеристики:
· В обязанности менеджера входит: связь с клиентами по
телефону, поиск интересующих клиента автомобилей в базе данных, предоставление
клиенту списка удовлетворяющих требованиям клиента автомобилей, заключение
договора с клиентом в случае, если он соглашается на покупку одной или
нескольких предложенных машин.
· Минимальная фиксированная заработная плата работника - 18
тысяч рублей в месяц.
· При продаже от одного до тридцати автомобилей работник
получает по 300 руб. за каждую проданную машину, независимо от ее стоимости.
· При продаже более 30 автомобилей в течение двух месяцев
работник в конце второго месяца получает единовременную премию в размере 30
тыс.руб. Однако, в данной работе будет рассмотрена только 1ая часть контракта.
Это связано, во-первых, с тем, что модель ненаблюдаемых усилий рассматривает
только один временной период, и, во-вторых, с тем, что на практике менеджеры
продают более 30 автомобилей несколько месяцев подряд достаточно редко, в
основном лишь в случаях больших заказов клиентов-оптовиков.
Таким образом, агент в данном случае может приложить усилия для
увеличения количества продаваемых автомобилей, такие как, например,
индивидуальный подход к каждому клиенту, самостоятельное изучение современного
рынка автомобилей для улучшения профессиональных навыков, увеличение затрат
времени на поиск наиболее подходящих клиенту автомобилей, и т.д. Однако в
некоторых случаях клиенту не подходит ни один из найденных автомобилей, или он
оказывается неплатежеспособным. В других же случаях клиент может сам позвонить
агенту и заказать ему конкретный автомобиль, то есть агенту не приходится
прикладывать почти никаких усилий, чтобы продать машину. Таким образом, исходя
из реальных данных, можно сделать предположение, что матрица вероятностей имеет
вид, представленный в таблице 2.
Таблица 2 - Матрица вероятностей получения различного уровня прибыли при
различных усилиях агента
|
RL
|
RH
|
|
Усилия 0
|
0.9
|
0.1
|
|
Усилия e
|
0.2
|
Будем считать, что работник всегда может перейти к другому работодателю.
Поскольку работа в “SBT” не требует от
работника никаких начальных навыков, можно считать, что его альтернативная
заработная плата равна средней заработной плате по Приморскому краю, а
альтернативный уровень усилий равен некоторому минимальному (равному
минимальным усилиям менеджера компании “SBT”). Без потери общности будем считать этот минимальный
уровень усилий равным 0. По данным Примстата на февраль 2012 года, средняя
зарплата по Приморскому краю составляет 24,4 тысячи рублей [3].
Таким образом, исходя из модели, можно найти альтернативную полезность
менеджера:
.
Кроме
того, заработная плата для «низкого» контракта в данном случае будет равна
=18 тыс.руб., а заработная плата «высокого» контракта
будет рассчитываться по формуле:
,
где
x - количество проданных автомобилей.
Из
результирующих соотношений модели
можно
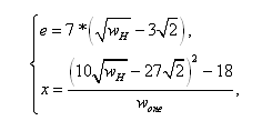
составить систему уравнений относительно неизвестных e и x:
Решив данную систему, получим:
Таким
образом, следуя контракту, работник должен продавать 359 автомобилей в месяц.
Однако, реальные данные показывают, что максимальное зафиксированное месячное
количество проданных одним менеджером автомобилей равно 60, что почти в 6 раз
меньше. Таким образом, менеджер заведомо не может достигнуть оптимального
уровня усилий, предполагаемого контрактом.
Рассмотрим
теперь зависимость оптимального объема продаж от экзогенного параметра -
средней заработной платы по Приморскому краю. Для этого выразим усилия агента объем
продаж в явном виде:
Изменение
оптимального объема продаж за последние несколько лет представлено в таблице 3.
Аналогичным
образом можно проанализировать зависимость между платой за один проданный
автомобиль и объемом продаж одного менеджера:
где
wone -доход
менеджера от продажи одного автомобиля.
Таблица
3 - Зависимость между средней заработной платой по Приморью и объемом продаж
|
Год
|
Средняя заработная плата по
Приморью (тыс. руб.)
|
Объем продаж (авт.)
|
Уровень усилий (ед.)
|
|
2007
|
11,84
|
0
|
0
|
|
2008
|
16,53
|
0
|
0
|
|
2009
|
18,15
|
5
|
0,12
|
|
2010
|
21,26
|
149
|
2,58
|
|
2011
|
23,10
|
265
|
3,94
|
|
2012
|
24,40
|
359
|
4,88
|
Таблица 4 - Зависимость между доходом от продажи автомобиля и объемом
продаж
|
Доход от продажи одного
автомобиля (руб.)
|
Месячный объем продаж
(авт.)
|
|
300
|
359
|
|
400
|
269
|
|
500
|
215
|
|
600
|
180
|
|
700
|
154
|
|
800
|
135
|
|
900
|
120
|
|
1000
|
108
|
|
Доход от продажи одного
автомобиля (руб.)
|
Месячный объем продаж(авт.)
|
98
|
|
1200
|
90
|
|
1300
|
83
|
|
1400
|
77
|
|
1500
|
72
|
|
1600
|
67
|
|
1700
|
63
|
|
1800
|
60
|
|
1900
|
57
|
|
2000
|
54
|
Из таблицы 4 видно, что, исходя из условия оптимального контракта
используемой модели, для обеспечения практически максимально возможных усилий,
необходимо увеличить доход менеджера от каждой проданной машины, как минимум,
до 1800, то есть в 6 раз.
Теперь представим, что мы не знаем оптимальный мотивирующий уровень
заработной платы «высокого» и «низкого» контракта, и попытаемся найти их исходя
из известного альтернативного уровня полезности, мотивируемого уровня усилий (среднего
целого по таблице 3) и желаемого месячного объема продаж одного менеджера. В
этом случае нам предстоит решить систему уравнений с неизвестными «низкой»
заработной платой и платой на продажу одного автомобиля:
(4)
Система (4) позволяет составить оптимальный контракт
для разных мотивируемых уровней продаж менеджера. Ясно, что зарплата «низкого»
контракта не зависит от мотивируемого объема продаж, и для любого х она будет
равна 21,77 тыс.руб. в месяц. Таким образом, работодатель может мотивировать
желаемый уровень продаж, назначая различную заработную плату wone .
Таблица 5 - Примеры трудовых контрактов для мотивации разного уровня
продаж
|
Объем продаж (авт.)
|
Доход с продажи одного
автомобиля (тыс.руб.)
|
Фиксир (тыс.руб.)
|
|
5
|
6,62
|
21,77
|
|
10
|
3,31
|
21,77
|
|
15
|
2,21
|
21,77
|
|
20
|
1,66
|
21,77
|
|
25
|
1,32
|
21,77
|
|
30
|
1,10
|
21,77
|
|
35
|
0,95
|
21,77
|
|
40
|
0,83
|
21,77
|
|
45
|
0,74
|
21,77
|
|
50
|
0,66
|
21,77
|
Заключение
Теория контрактов - один из новейших разделов экономической
теории. Первые статьи по теории контрактов были опубликованы лишь в 1970х
годах, что объясняет небольшое количество математических моделей, а так же то,
что эти модели до сих пор не используются на практике и нуждаются в доработке.
Модель ненаблюдаемых действий, или Moral Hazard, привлекала
внимание исследователей с момента ее публикации. Это связано с тем, что данная
модель может быть использована в различных секторах экономики и на различных
рынках, адаптирована для разных начальных данных.
В
результате данной работы модель ненаблюдаемых действий была адаптирована для
использования на рынке труда в условиях дискриминации второго рода. В ходе
анализа полученной адаптированной модели оказалось, что данная модификация не
способна в полной мере решать задачу нахождения оптимального мотивирующего
контракта на практике. Это связано, во-первых, с тем, что усилия агента на
практике нельзя оценить количественно: например, усилия менеджера по продажам
не могут быть выражены в количестве проданных автомобилей и в рабочих часах.
Во-вторых, каждый экономический агент обладает индивидуальной функцией
полезности, и предположение о том, что функция полезности менеджера имеет вид
, в большинстве случаев не выполняется. В-третьих, не
совсем точно определять альтернативный уровень усилий
через среднюю заработную плату по Приморскому краю,
так как альтернативная заработная плата агента напрямую зависит от должности,
на которую тот претендует.
Список литературы
1. Гуриев С.Г., Гузин А.С. Конспект
лекций по теории контрактов. URL: http://pages.nes.ru/sguriev/teaching/lec_contracts.pdf.
2. Уильямсон О. Поведенческие
предпосылки современного экономического анализа. // THESIS, 1993, вып.3.
. Электронный ресурс
http://www.primstat.ru.
. Юдкевич М.М., Подколзина Е.А.,
Рябинина А.Ю. Основы теории контрактов: модели и задачи. // Москва: Изд. дом ГУ
- ВШЭ, 2002. 352
с.
. Board S. A Note on Holmstrom and
Milgrom. // Eco2102, Autumn 2005, 254pp.
. Bolton P., Dewatripont M. Contract
Theory. // Cambridge, Mass. & London, England: MIT Press, 2005,740 pp.
. Prescott E. A Primer on
Moral-Hazard Models.// Federal Reserve Bank of Richmond Economic Quarterly,
vol. 85(1) (Winter 1999), 270 pp. URL: http://www.richmondfed.org/publications/research/economic_quarterly/1999/winter/pdf/prescott.pdf.