Оценка показателей количественного содержания органических токсикантов в реках Сож, Днепр, Березина
Реферат
Курсовая работа: 47 страниц, 12 таблиц, 26
источников
Ключевые слова: фенол, формальдегид, хлорид
железа (ΙΙΙ),
гидроксид
меди (ΙΙ),
аммиачный
раствор оксида серебра, природные воды, р. Сож, р. Днепр, р. Березина.Объект
исследования: природные воды, отобранные из рек Сож, Березина и Днепр.
Методы исследования: тест-метод,
броматометрический метод, фотометрический метод с применением
4-аминоантипирина, фотометрический метод с применением хлорида фенилгидразина.
Цель работы: разработать тест-метод определения фенола и формальдегида в водных
растворах, оценка показателей количественного содержания органических
токсикантов в реках Сож, Днепр, Березина для установления возможности
проведения различных форм рекреационных мероприятий.
Результаты исследования: установлено, что
минимальная фиксируемая концентрация фенола в растворе составляет 0,05 моль/л,
а минимальная визуально фиксируемая концентрация формальдегида в растворе
составила 0,1 моль/л. Выявлены превышенные концентрации фенола в реках Сож,
Днепр, Березина. Концентрации формальдегида в данных реках на протяжении 2012
года находились в пределах ПДК.Практическая значимость: контроль за содержанием
органических токсикантов в природных водах, так как последние выступают в роли
рекреационных ресурсов, а повышенные их концентрации в природных водах могут
отрицательно сказываться на здоровье человека.
Содержание
Реферат
Введение
.
Литературный обзор
.1
Характеристика рек Гомельской области
.2
Токсическое действие фенола и формальдегида на живые организмы
.3
Качественное определение фенола и формальдегида
.4
Количественное определение фенола и формальдегида
.
Объект, программа и методика исследований
.1
Объект исследований
.2
Программа исследований
.3
Методика исследований
.
Результаты исследований и их обсуждение
.1
Разработка тест-метода для определения минимальных концентраций обнаружения
органических токсикантов в воде
.2
Количественное определение фенола в природных водах
.3
Количественное определение формальдегида в природных водах .
Заключение
Приложение
А
Введение
Две трети нашей планеты покрыты океанами,
морями, озёрами, реками. Много воды скрыто и в подземных глубинах. Многие
крупные учёные считают воду самым удивительным веществом, большинство тайн
которого всё ещё не разгадано. Вода это стихия, поражающая многообразием
физических, химических и биологических свойств. Но главное - в воде зародилась
жизнь и именно это объясняет тот факт, что все живые существа, включая
человека, па 70 - 75% по весу состоят из воды. Следовательно, жизнь без воды
невозможна и мы должны внимательно следить за количеством и качеством природных
вод.
Вода - один из лучших растворителей. Химический
состав природных вод представляет собой сложный комплекс растворенных газов,
различных минеральных солей и органических соединений. В природных водах
растворены почти все известные на земле химические элементы в виде простых и
сложных ионов, комплексных соединений минеральных и органических веществ, а
также растворенных или газообразных молекул, стабильных и радиоактивных изотопов.
Еще В. И. Вернадский указывал, что каждая капля воды является микокосмом, в ней
отражается состав космоса. В природных условиях вода не может сохранить
“химическую чистоту”, постоянно соприкасаясь со всевозможными веществами, она
фактически всегда представляет собой раствор различного, зачастую очень
сложного свойства. В пресной воде содержание растворенных веществ обычно
превышает 1 г/л.Следует отметить, что по мере развития хозяйственной
деятельности человека, в атмосферу, почву, природные воды (под которыми
подразумеваются реки, озёра, пруды, моря, океаны, а также подземные воды) стало
поступать всё больше и больше токсичных веществ. Они попадают в воду
преимущественно со сбросами в водоёмы всевозможных стоков, а также выпадают из
атмосферы и проникают из загрязнённых почв в подземные водные горизонты.
Соответственно, возникают проблемы и при подготовке питьевой воды.
В настоящее время в лабораториях промышленных
предприятий периодически проводится контроль качественного и количественного
состава сточных вод, так как содержание определённых веществ в сточных водах
строго лимитировано. Не допускается спуск в природные воды стоков, приводящих к
повышению содержания в них веществ, вызывающих изменение органолептических,
санитарно - гигиенических и токсикологических свойств.
В курсовой работе рассмотрены свойства фенола и
формальдегида, как органических токсикантов; разработан тест-метод для
определения минимальных концентраций фенола и формальдегида в природных водах,
проведены исследования по определению количественного содержания фенола и
формальдегида в природных водах.
Исследования проводили с целью оценки
показателей количественного содержания органических токсикантов в реках Сож,
Днепр, Березина для установления возможности проведения различных форм
рекреационных мероприятий.Данная тема является актуальной в связи с тем, что в
настоящее время необходимо контролировать содержание органических токсикантов в
природных водах, так как последние выступают в роли рекреационных ресурсов, а
повышенные их концентрации в природных водах могут отрицательно сказываться на
здоровье человека.
органический токсикант вода фенол
1. Литературный обзор
.1 Характеристика рек Гомельской области
Днепр - третья река в Европе по площади бассейна
и общей длине после Волги и Дуная. Он берет начало в небольшом болоте на
Валдайской возвышенности в России (Смоленская область) на высоте 236 м и несет
свои воды в Днепровский лиман Черного моря в Украине. Общая протяженность
Днепра - 2145 км, из них в Беларуси - 689 км. На территории Беларуси Днепр
образует самый большой по площади речной бассейн, который занимает почти 63,7
тысячи км2 (без бассейна реки Припять). Общая площадь водосбора Днепра
составляет 504 тысячи км2. Общее падение реки - 236 м, в пределах Беларуси - 54
м. Приходя на территорию Беларуси с востока, Днепр в пределах
Центрально-Оршанского горста почти под прямым углом поворачивает на юг в 9 км
выше Орши, прорезая гряду девонских известняков, образуя пороги длиной около
200 м. Правый берег реки обычно значительно выше левого. Примерно до Шклова
Днепр течет в узкой долине (0,5 - 1,5 км) с высокими крутыми берегами. Здесь
фиксируется максимальная глубина вреза речной долины, достигающая 70 - 80 м.
Ниже долина постепенно расширяется до 5 - 10 км, а русло становится извилистым,
с многочисленными излучинами, перекатами и мелями, особенно распространенными
на участке между устьями Друти и Сожа. В долине выражена двухуровневая пойма и
две надпойменные террасы: первая на высоте 7 - 15 м, вторая на высоте 18 - 35
м. Долина реки занята преимущественно луговой растительностью, изредка к руслу
реки подходят леса, поэтому в воде часто встречаются затопленные деревья.
[1]Ниже устья реки Друть берега Днепра начинают принимать полесский вид, а в
пойме увеличивается количество небольших озер-стариц. Местами русло реки
раздваивается, образуя обширные острова в пределах поймы. Ширина реки
увеличивается от 15 - 120 м в ее верхнем течении на территории Беларуси до 800
- 1500 м на границе с Украиной. Южнее Жлобина русло прорезает плотные отложения,
образуя пороги. Наблюдения за гидрологическим режимом Днепра проводятся с 1876
года. В настоящее время работает семь гидрологических постов, которые находятся
в городах Орша, Шилов, Могилев, Быхов, Жлобин, Речица и городском поселке Лоев.
Среднегодовой расход воды возле Орши 123 м3/с, в устье реки - 1670 м3/с.
Характерно смешанное питание Днепра с преобладанием снегового (около 50 %); на
долю грунтового приходится около 27 %, дождевого - около 23 %. Весенний сток
составляет от 68 %, в верховьях до 57 % в нижнем течении. С конца ноября по
конец марта река замерзает, и максимальная толщина льда достигает 60 - 80 см.
[2]В последние годы данный период существенно сократился. Весеннее половодье
обычно проходит одной волной, начинается во второй половине марта и длится 2 -
2,5 месяца. Во время половодья уровень воды поднимается на 4 - 6 м и более.
Наибольший уровень воды во время весеннего половодья фиксировался в Орше 23
апреля 1931 года и достигал 9 м 49 см.Разница между наибольшим и наименьшим
уровнями воды на Днепре за весь срок наблюдений составляет от 4,95 м в Жлобине
до 9,41 м в Орше. В Могилеве и городском поселке Лоев она достигает почти 8 м.
Самыми многоводными на Днепре являются 1931 и 1956 годы. Из-за малоснежных зим
в последние годы подъем уровня воды значительно снизился, однако в Могилеве в
1986, 1994 и 2004 годах он превышал 6,5 м (в 1986-м - 6,81 м), значительно
поднимался и на других гидропостах. [1]Средняя температура воды летом 19 -
22°С.
Продолжительность купального сезона 80 - 90 дней.
На живописных берегах размещены курорты "Рогачев" и "Белый
Берег", зоны отдыха "Днепровка", "Днепр",
"Любуж", "Сидоровичи", "Салтаново", санатории
"Дубровенка", "Родник", "Сосны", многочисленные
оздоровительные лагеря, санатории-профилактории, базы отдыха. Организовываются
туристические походы на байдарках и надувных лодках 1-й категории сложности,
теплоходные экскурсии от Орши до Речицы. По среднему показателю уровня
загрязнения поверхностных вод река практически на всем протяжении относится к
категории умеренно загрязненной (ИЗВ от 1 до 2,5), а отдельные участки в
среднем течении - к категории относительно чистой.[3]Второй по водности и
протяженности приток Днепра - Сож, который относится к семерке больших рек по
общей длине. Его общая длина составляет 648 км, из них 493 км - в пределах
Беларуси. По общей длине, из белорусских притоков Днепра, Сож уступает только
Припяти. Он берет начало на Смоленской возвышенности, в 12 км южнее Смоленска,
протекает по территории Смоленской области России, Могилевской и Гомельской
областей Беларуси и впадает в Днепр в городском поселке Лоев на границе с
Черниговской областью Украины.Сож образует довольно большой речной бассейн
площадью 42,1 тысячи км2, в том числе на территории Беларуси - 21,5 тысячи км2.
Общее падение реки в два раза меньше, чем у Днепра, и составляет 111,6 м (в
пределах Беларуси - только 41 м). Из-за неотектонических движений в верхнем
течении реки выделяются ступенеобразные участки с резким падением русла.
[1]Гидрографическая сеть Сожа имеет древовидную форму и включает 3410 рек и
ручьев общей протяженностью 16 220 км. Более 300 из них частично или полностью
канализированы. Густота речной сети уступает среднему по республике показателю
и составляет 380 м/км2. Крупнейшие правые притоки Сожа - Вихра и Проня, левые -
Остер, Беседь и Ипуть. Сож протекает по Горецко-Мстиславской возвышенности,
Оршанско-Могилевской равнине и Приднепровской низменности.
В соответствии с этим по гидрологическим
характеристикам и строению речной долины Сож делится на три участка: верхний до
устья реки Остер, средний - от Кричева до границы с Гомельской областью и
нижний - в пределах Гомельского Полесья. До устья реки Проня долина Сожа узкая
(1 - 3 км), хорошо выраженная и имеет трапециевидную форму. На среднем участке
ширина долины увеличивается до 5 - 7 км, а в нижнем течении достигает 20 км.
Склоны долины в верхнем течении умеренно крутые, густо пронизаны
овражно-балочной сетью и местами достигают в высоту до 40 м, чаще до 15 - 25 м.
В среднем и нижнем течениях склоны уменьшаются по высоте и становятся более
пологими. [2]Правый берег реки обычно открытый, левый - поросший лесом и
кустарником. Типичными представителями ихтиофауны Сожа являются щука, лещ,
окунь, плотва, линь, карась, голавль, густера, судак. Из редких видов, занесенных
в Красную книгу, в реке изредка встречается стерлядь, более широко - усач,
обыкновенный рыбец и подуст. В составе прибрежной и водной растительности в
пойме Сожа отмечены краснокнижные виды: водяной орех, наяда большая, касатик
сибирский и другие. Почти на всем протяжении долины четко прослеживаются низкая
(1,5 - 2,5 м) и высокая (3 - 4 м) пойма и две надпойменные террасы. Пойма
обычно двусторонняя и открытая, осложненная ложбинами, староречьями, старицами.
Чаще на левобережье выделяется первая надпойменная терраса высотой от 3 до 8 м
и шириной до 5 км, имеющая преимущественно аккумулятивное происхождение. Вторая
надпойменная терраса значительно шире - до 15 - 18км и занимает высоты от 12 до
22 м.Русло реки сильно извилистое, практически на всем протяжении, с большим
количеством стариц, рукавов. Берега до устья реки Проня крутые, высотой до 4 м,
ниже - более пологие, однако в отдельных местах обрывы достигают в высоту 12 -
15 м. На пологих берегах в нижнем течении нередки песчаные
пляжи.[1]Гидрологический режим Сожа изучается с 1896 года, когда был открыт
гидрологический пост в Славгороде, а спустя два года - в Гомеле. В настоящее
время на реке действуют четыре гидрологических поста: в Кричеве, Славгороде,
Гомеле и деревне Коськово. По гидрологическому режиму Сож относится к
восточно-европейскому типу со смешанным питанием и выраженным преобладанием в
нем снегового (более 50 %). Доля весеннего стока составляет 57 % от годового, а
на все остальные сезоны приходится не более 43 %.
Особенностью водного режима Сожа являются
большие колебания стока по годам. С начала декабря по конец марта река
замерзает, и максимальная толщина льда достигает 60 - 65 см. В последние годы
данный период существенно сократился. Весеннее половодье обычно начинается в
третьей декаде марта - начале апреля и длится 1,5 - 2,5 месяца. Во время
половодья уровень воды повышается на 4 - 5 м и более. Наибольший уровень воды
во время весеннего половодья зафиксирован в Гомеле 27 апреля 1931 года и
достигал 8 м 34 см.Характерной особенностью Сожа, в верхнем и среднем течении,
является повышенная мутность воды из-за широкого распространения лессовидных
отложений в бассейне реки. Средняя температура воды летом 19 - 21°С. Купальный
сезон обычно открывается в начале июня и продолжается до середины августа. На
живописных берегах Сожа расположены санатории, зоны и базы отдыха,
оздоровительные лагеря. Организовываются теплоходные экскурсии от Гомеля вверх
по течению. По среднему показателю уровня загрязнения поверхностных вод река
практически на всем протяжении относится к категории относительно чистой (И3В
менее 1) и только ниже Гомеля - к категории умеренно загрязненной с ИЗВ от 1 до
2,5. [3] Березина по длине занимает второе место в Беларуси (613 км), причем
она является самой длинной рекой страны, полностью расположенной на ее
территории от истока до устья.
Исток Березины находится в 1 км юго-западнее
города Докшицы Витебской области, а устье - юго-восточнее деревни Гореаль
Речицкого района Гомельской области, где река впадает в Днепр. Площадь ее водосбора
- почти 24,5 тысячи км2. Густота речной сети в бассейне Березины уступает
среднему по республике показателю и составляет 350 м/км2. Общее падение реки в
пределах Беларуси - 69 м, что значительно больше, чем на Днепре и Западной
Двине. По гидрологическим характеристикам и строению речной долины она делится
на три участка: верхний - до устья Гайны, средний - между устьями Гайны и
Свислочи и нижний - ниже устья Свислочи. В - верхнем течении долина реки не
выражена, пойма шириной 2 - 3 км заболочена и покрыта лесом. На среднем участке
долина реки приобретает трапециевидную форму шириной 2 - 3 км с узкой,
преимущественно левобережной поймой. В нижнем течении долина реки расширяется
до 5 - 8 км и включает заболоченную пойму шириной до 5 км. [1]Русло на всем
протяжении реки извилистое и разветвленное, с большим количеством излучин,
заливов, стариц, рукавов. Оно постепенно расширяется от 15 - 20 м в верхнем
течении до 80 - 130 м - в нижнем. Берега преимущественно пологие, но местами
обрывистые, высотой до 15 м. Большая часть речной долины покрыта лесом либо
заболочена.Гидрологический режим Березины изучается с 1676 года. В настоящее
время действуют гидрологические посты в городах Борисов, Березино, Бобруйск,
Светлогорск и деревне Броды. [2]Для Березины характерно смешанное питание с
преобладанием снегового, благодаря чему 46 % годового стока приходится на
весну. Особенностями водного режима реки являются высокие позднеосенние
паводки, повторяемость которых в последние годы значительно снизилась. Весеннее
половодье длится обычно 1 - 2 месяца, уровень воды повышается незначительно. Во
время половодья уровень воды поднимается на 3 - 5 м. Из-за малоснежных зим в
последние годы подъем уровня воды снизился, однако в Светлогорске в 1999 году
он превышал 7 м, а на остальных постах был значительно выше 3 м. В верховье
реки и на многочисленных притоках широко распространены бобры. Типичными
представителями ихтиофауны Березины являются щука, лещ, густера, окунь, плотва,
линь, карась, судак, сом. Из редких видов, занесенных в Красную книгу, в нижнем
течении Березины встречается стерлядь, в правых притоках верховьев реки -
ручьевая форель, а в нижнем течении - усач обыкновенный и подуст. В составе
прибрежной и водной растительности в пойме Березины отмечены краснокнижные виды:
кувшинка белая, альдрованда пузырчатая, водяной орех плавающий, каулиния малая,
наяда большая, касатик сибирский и другие.Следует отметить, что в бассейне
Березины находится самая загрязненная река Беларуси - Свислочь, поэтому по
качеству воды река в среднем и нижнем течении относится к категории умеренно
загрязненной (ИЗВ от 1 до 2,5). [1] Средняя температура воды летом 18 - 20°С.
Продолжительность купального сезона 80 дней. Вдоль Березины расположены такие
особо охраняемые природные территории, как Березинский биосферный заповедник,
ландшафтные заказники «Чернеецкий», «Выдрица» и «Смычок». На живописных берегах
размещены курорт «Бобруйск», зоны отдыха «Березино», «Осиповичи», «Приречье»,
«Дроздино», а также два одноименных санатория «Березина» (возле Борисова и
деревни Гута Березинского района), оздоровительные лагеря,
санатории-профилактории, базы отдыха. Организовываются туристические походы на
плотах и надувных лодках разной протяженности и длительности. [3]
.2 Токсическое действие фенола и формальдегида
на живые организмы
Фенол или карболовая кислота (оксибензол) -
бесцветное кристаллическое вещество с резким характерным запахом. Возможно
отравление парами фенола (особенно при его нагревании), мелкой пылью,
образующейся из конденсирующихся паров, а главное - при попадании на кожу.Пары
газовой смолы при концентрации в них фенола 3,2 мг/л не вызывают у белых мышей
отравления, при концентрации же более 3,7 мг/л все животные гибнут при
переходящих в судороги подергиваниях головы и передних лапок. Вдыхание паров
газовой смолы (содержание фенола в воздухе 0,02 - 2,58 мг/л) в течение 1 часа
на протяжении 23 дней не дало видимых признаков отравления. [4]При введении в
желудок фенола ЛД50 = 427 мг/кг на вскрытии было видно резко выраженное
полнокровие внутренних органов, воспалительная инфильтрация и небольшие участки
кровоизлияний вокруг сосудов и бронхов. У морских свинок вдыхание 0,1 - 0,2
мг/л (в течение 7 часов на протяжении 20 дней) вызвало истощение и параличи.
При вдыхании 0,05 - 0,157 мг/л (в течение 6 часа на протяжении 21 дня) в
большей мере поражались легкие, меньше - печень и почки, еще меньше - сердце и
селезенка. При введении в желудок белых крыс ЛД5о =512 мг/кг через 24 часа в
мозге несколько увеличилась концентрация аммиака при неизменном содержании
глутамина. [5]
Введение в желудок по 50 мг/кг в течение месяца
приводит к снижению содержания SH-группы, холинэстеразной активности крови,
пероксидазы лейкоцитов, к повышению их фагацитарной активности и количества
связанных фенолов в моче. Длительное введение в желудок 5 мг/кг вызывает
сходные изменения, а также отставание прироста массы тела, раздражение
слизистых оболочек желудочно-кишечного тракта, нарушение функций печени и
почек. Доза 0,5 мг/кг не оказывает действия. Многократное вдыхание паров газовой
смолы в указанных выше условиях вызвало появление у кроликов белка в моче и
такие же изменения, которые были у белых мышей. [6]Острое отравление у человека
происходит, главным образом, при попадании фенола на кожу. Тяжесть его зависит
от размеров и степени поражения кожи и скорости оказания первой помощи.
Попадание на кожу кристаллов фенола менее опасно, чем 70 - 80 % раствора. На
материале 50 отравлений на производстве отмечено, что поражение 0,25 - 0,5 %
поверхности тела смертельно; при поражении 0,17 - 0,25 % поверхности тела
происходит общее отравление с повышением температуры, нарушением функций
нервной системы, кровообращения и дыхания. Когда поражено 0,10 - 0,17 %
поверхности тела, наблюдается подострое отравление с головной болью,
гиперкинезией, кратковременным повышением температуры; при меньшей площади
поражения - только местные явления и головные боли. Отравление парами фенола
отмечено при концентрации его в воздухе 0,0088 - 0,0122 мг/л - при тушении
кокса водой с содержанием фенола от 0,3 г/л и выше. Концентрация паров фенола в
воздухе в дозе от 0,005 до 0,025 мг/л влечет за собой то, что в легких
задерживается до 70 - 80 % фенола. Абсорбция паров фенола в тех же
концентрациях через кожу несколько ниже, чем через легкие, и пропорциональна концентрации
в воздухе. [7]При хроническом отравлении наблюдается раздражение дыхательных
путей, расстройство пищеварения, тошнота, рвота по утрам, общая и мышечная
слабость, потливость, слюнотечение, кожный зуд, раздражительность, бессонница,
реже - почечные заболевания при концентрации фенола порядка сотых долей мг/л. В
производстве смол (концентрация фенола - сотые доли мг/л, аммиака - 0,01 - 0,04
мг/л) из 80 обследованных рабочих 30 жаловались на утомляемость,
раздражительность, головокружение, одышку, сердцебиение и боли в подложечной
области, иногда - анемию, у 20 человек были невралгические симптомы. У
незначительного процента работающих при тех же примерно концентрациях
наблюдались блефарит, конъюнктивит, понижение чувствительности роговицы, а
примерно у 1/3 - незначительное концентрическое сужение поля зрения на красный
цвет.Действие на кожу зависит не столько от концентрации раствора, сколько от
длительности воздействия и площади соприкосновения. Раздражение и омертвение
кожи может вызвать 2 - 3 % раствор и даже пары фенола. Раздражение вызывают
также искусственные смолы, полученные конденсацией фенола с формальдегидом и
подобными веществами. Вследствие сильного местного действия фенола число
«ожогов» в производстве довольно велико. В производстве смол формальдегид дает
около 20 % дерматитов. Не месте действия ощущается покалывание или онемение.
Кожа становится белой и морщинистой, а, спустя несколько дней, ее поверхностный
слой слущивается. Известен случай гангрены пальца после контакта с фенолом,
который вовремя не смыли. Фенол был причиной кожных заболеваний у столяров (он
был обнаружен в опилках после пропитки дерева минеральным маслом при 100°).
Дерматиты характеризовались покраснением, зудом, легким отеком предплечья и
плеча. [6]Поступление в организм, распределение, превращение и выделение. При
вдыхании паров фенола в легких задерживается 60 - 88 %. Повышенная концентрация
в крови быстро нормализуется в связи с переходом фенола в ткани, где он
обнаруживается в свободном и связанном состоянии. Метаболические реакции идут
по типу лабильного связывания, по-видимому, с белками, окисления ароматического
кольца и его разрушения до С02 (количество С02 составляет в среднем 10 %,
гидрохинона 10 %, пиротехина 1%). Незначительное количество фенола подвергается
метилированию.Фенол и продукты окисления быстро выделяются с мочой, главным
образом, в связанном состоянии с серной и глюкуроновой кислотами. При
увеличении дозы увеличивается масса выведения в виде глюкуранидов. Неотложная
терапия. При смачивании одежды фенолом необходимо немедленно отстранить
пострадавшего от работы даже при кажущемся хорошем состоянии, немедленно
сменить одежду, провести обтирание пораженных мест 10 -40 % этиловым спиртом
или растительными маслами, обмывание всего тела с мылом (теплый душ). В
зависимости от показаний - покой, согревание, ингаляции кислорода,
искусственное дыхание, кодеин, камфара, кордиамин, глюкоза внутривенно (40 % на
физиологическом растворе), 30 % раствор тиосульфата натрия (8 - 10 мл). В
случае раздражения слизистых оболочек верхних дыхательных путей - щелочные
ингаляции. При отравлении через рот - выпить несколько стаканов теплой воды или
взвеси жженной магнезии в воде (20 : 200), вызвать рвоту (можно ввести подкожно
0,5 - 0,8 мл 1 % раствора. При необходимости - промывание желудка теплой водой
с активированным углем, либо взвесью жженной магнезии, либо раствором
сернокислого натрия до исчезновения запаха фенола, затем - дать касторовое
масло, яичный белок, слизистые отвары или кусочки чистого льда. Предельно
допустимая концентрация - 0,3 мг/м. [7]Индивидуальная защита. При наличии паров
фенола используется промышленный фильтрующий противогаз марки «А» в присутствии
аэрозолей также противогаз с фильтром или респиратор «Лепесток-200», «Астра-2»
и др. Обязательная защита глаз и кожи предусматривает наличие спецодежды из
плащевой ткани или текстовинита, хлорсульфированного полиэтилена, резиновые или
другие непроницаемые перчатки, фартуки; обязательное переодевание при уходе с
работы (запрещается хранение в цехах раствора спирта для смывания фенола,
попавшего на кожу). Мерами предосторожности является механизация процессов для
исключения возможности контакта с жидким или твердым фенолом, общая и местная
вентиляция, специальный рацион питания для работающих на производстве фенола из
бензола и хлорбензола. Предельно допустимая концентрация фенола в природных
водах составляет 0,001 мг/л.[6]Формальдегид (муравьиный альдегид) - газ с
резким запахом, образуется при неполном сжигании жидкого топлива. Применяется в
производстве искусственных смол и пластиков.Общий характер действия на
организм. Раздражающий газ, вызывает дегенеративные процессы в паренхиматозных
органах, кожу. Практика показывает сильное действие формальдегида на нервную
систему, особенно на зрительные бугры. Однако такое действие связано не с
прямым воздействием формальдегида, а с наличием в техническом формалине примеси
метилового спирта и распадом формальдегида в организме на муравьиную кислоту и
метиловый спирт, избирательно поражающий зрительные бугру и сетчатку глаза.
Общее техническое действие формальдегида и параформальдегида сходно, однако
действие первого значительно сильнее. Триоксиметилен не раздражает слизистые
оболочки, по запаху напоминает хлороформ. [4] Свободный формальдегид
инактивирует ряд ферментов в органах и тканях, угнетает синтез нуклеиновых
кислот, нарушает обмен витамина С, обладает свойствами.Острое отравление.
Животные. У белых мышей при концентрации формальдегида 0,02 - 0,06 мг/л и выше
сразу возникает раздражение слизистых, а в последующие дни наблюдается
истощение и затруднительное дыхание. При его концентрации 0,4 мг/л погибло 88%
пораженных животных. У погибших животных наблюдались геморрагическая
бронхопневмония, диффузный бронхит; в сердце, головном мозге, печени, почках,
надпочечниках, гипофизе и желудочно-кишечном тракте очаги кровоизлияний и
некрозов. При однократном введении в желудок острое отравление у мышей
наступало при концентрации ЛД50 = 385 мг/кг, у крыс - 424 мг/кг. У кроликов
повторное вдыхание формальдегида вызвало малокровие и отек подслизистой
(гортани и трахеи) и воспаление легких. У кошей при концентрации формальдегида
0,02 - 0,06 мг/л наблюдалось слюнотечение, выделение жидкости из носа, учащение
дыхания, концентрация 0,14 - 0,2 мг/л к концу первой минуты вызывает обильное
слюноотделение, резкое беспокойство, через 3-5 минут наблюдается выделение
пенистой жидкости из носа, одышка, иногда рвота. В последующие дни острое
отравление формальдегидом вызывает серозные и гнойные, кашель, заметное
истощение. При вдыхании формальдегида концентрацией 0,4 мг/л после двухчасовой
экспозиции погибли все подопытные животные (в среднем на третьи сутки), при
вскрытии которых были ярко выражены трахеит и пневмония.На плодовой мухе
выявлена мутантная активность формальдегида. У крыс, которым в течение всей
беременности ежедневно вводили под кожу по 0,25 мл 6% раствора формальдегида,
обнаружено нарушение внутриутробного развития плода.При однократном введении в
желудок мышам параформальдегида ЛД50= 0,5 г/кг и полиформальдегида ЛДзо = 5,0
г/кг крысам оба соединения вызвали одинаковую картину отравления,
характеризовавшуюся общим возбуждением, затруднением дыхания, дрожью всего
тела; в печени и почках отмечены тяжелые циркуляторные и дистрофические
расстройства. [8]Человек. При остром отравлении формальдегидом характерны
раздражение слизистых оболочек глаз и верхних дыхательных путей, слезотечение,
резь в глазах, першение в горле, насморк, чихание и кашель, боль и чувство
давления в груди, одышка, удушье. Одновременно возрастает общая слабость, потливость,
головная боль, иногда возникает головокружение, чувство страха, шаткая походка,
судороги, гиперемия кожи лица, слизистых оболочек зева и носа, носовые
кровотечения; впоследствии развивается резкий отек и гиперемия надгортанника,
истинных и ложных голосовых связок. В ночное время усиливается кашель и одышка.
В первые сутки после отравления отмечается эозинопения. [6] Порогом восприятия
запаха, по разным данным, является концентрация 0,00007 - 0,00004 мг/л.
Концентрация 0,001 мг/л у наиболее чувствительных лиц вызывала раздражение
верхних дыхательных путей, слизистой оболочки глаз, нарушение дыхательного
ритма, сдвиги в состоянии вегетативной нервной системы. После приема внутрь 100
- 200 мл 5% раствора формалина наблюдалось несколько летальных исходов, чему
предшествовала картина повторной рвоты, резкая боль в горле, коматозное
состояние. Смерть наступала после профузного желудочного кровотечения спустя 5
- 6 часов или на четвертые сутки. При вскрытии были обнаружены фиксация
формалином пищевода, желудка, кишечника, поджелудочной железы, нижней части
печени и селезенки. [9]Хроническое отравление. Животные. У мышей, вдыхавших
формальдегид концентрацией 0,05 - 0,2 мг/л 3 раза в неделю в течение одного
часа на протяжении 35 недель, в эпителии трахеи и бронхов обнаружены
базальноклеточная гиперплазия и метаплазия. Морские свинки погибали при
хроническом воздействии формальдегида. При вскрытии наблюдались резкие
изменения слизистых оболочек дыхательных путей и дистрофия печени и почек.
Сенсибилизация морских свинок зарегистрирована при содержании формальдегида в
крови 3,3 - 4,4 мг % и концентрации формальдегида в воздухе - 0,005 мг/л.
[8]Человек. У людей, работавших с техническим формальдегидом, содержащим также
14 - 16% метилового спирта, наблюдались случаи отравления, что нашло выражение
в расстройствах пищеварения, возбуждении, дрожании, расстройстве зрения. В
одном случае при подобном отравлении наблюдался также паралич лицевого и
сводящего нервов, боли в области седалищного нерва, атаксия. Практика показывает,
что после 5,5 месяцев работы техническим формальдегидом в плохо проветриваемом
помещении может наблюдаться случаи потери зрения. На предприятия, где
концентрация формальдегида достигла 0,02 - 0,07 мг/л, у рабочих отмечалось
отсутствие аппетита, похудение, слабость, упорные головные боли, сердцебиения,
бессонница и т.д. Хроническое отравление формальдегидом может проявляться в
расстройствах чувственности к тактильным, болевым и температурным
раздражителям, гиперстезии и гиперальгезии, часто ограничивающихся одной
стороной тела или даже отдельными его участками, расстройстве потоотделения
(повышенная потливость одной, чаще правой, половины тела), в неодинаковости
температуры обеих половин тела и т.д. Астма при хроническом отравлении
формальдегидом - одна из частых и тяжелых форм профессиональной астмы - может
сохраняться у больных и после их перехода на другую работу. [7]Действие на кожу
и слизистые оболочки. Животные. При нанесении формалина на 2 часа на кожу
живота кролика возникает поверхностный некроз с длительным периодом заживления.
После погружения уха кролика в формалин на 30 минут было отмечено только
покраснение с последующим шелушением. Введение нескольких капель формалина в
глаз кошки дает резкое, но быстро проходящее слезо- и слюнотечение и обильное
выделение слизи из носа. [8]Человек. Формалин иногда вызывает заболевания
ногтей (размягчение, ломкость, болезненность ногтевого ложа), боль в концах
пальцев, пузырчатые высыпи на коже, крапивницу по всему телу, уменьшение
потоотделения на соприкасавшихся с ним участках кожи. Такие заболевания могут
вызывать даже сильно разведенные растворы формальдегида (0,0015 %), Обычно
процесс воздействия формалина на кожу носит симметричный характер, располагаясь
на тыльной поверхности кистей и предплечий. При этом отмечается зуд, легкая
гиперемия и инфильтрация, в дальнейшем - высыпание популо - везикулезных, а при
расчесах пораженных участков кожи - пустулезных элементов. Покраснение и
инфильтрация могут сопровождаться образованием нарывов с поверхностным некрозом
или приводить к образованию твердых узелковых утолщений и растрескиванию
затвердевших поверхностей, иногда может развиться экзема. У рабочих, занятых в
производстве или применении формальдегидных смол (в воздухе обычно содержится
формальдегид вместе с парами фенола и иногда аммиака), наблюдаются, особенно в
первые дни работы, тяжелые заболевания кожи аллергического характера с резким
отеком лица, кожи кистей, предплечий, век, которые сопровождаются зудом.
Подобными заболеваниями поражается большой процент работающих. Практике
известны случаи кожных заболеваний у работающих с клеем, содержавшим 0,25 - 1%
формальдегида. Результатом кожных поражений, вызванных действием формальдегида
и смол, является повышенная чувствительность. Заболевание может наступить и
после нескольких лет работы с формальдегидом. Не исключена возможность общего
отравляющего действия в результате всасывания формальдегида через кожу.
[9]Поступление в организм, превращение, выделение. Формальдегид быстро и легко
всасывается при любом пути поступления в организм. Через 12 часов после
попадания в желудок небольшое количество его было обнаружено в костном мозге.
Формальдегид окисляется в муравьиную кислоту, одновременно образуется СНзОН.
Эта реакция (дисмутация) происходит в печени. Формальдегид активно реагирует с
аминогруппами белков и аминокислот, с мобильными группами метионина. 40%
формальдегида усваивается почками в течение 12 часов. Значительное количество
формальдегида выдыхается в виде СО2. Предельно допустимая концентрация - 0,05 мг/л.
[8]
.3 Качественное определение фенола и
формальдегида
Реакции идентификации фенола обусловлены
кислотными свойствами этого вещества, его способностью взаимодействовать с
различными электрофильными реагентами (бромом, азотистой кислотой, солями диазония,
альдегидами, кетонами, ангидридами карбоновых кислот и др.), а также
восстановительными свойствами данного соединения. [10]С хлоридом железа (ІІІ)
образует внутрикомплексные окрашенные соединения. В результате данной реакции
образуется трифенолят железа фиолетовой окраски:
С бромной водой. При взаимодействии фенола с
бромом образуется белый осадок 2, 4, 6-трибромфенола:
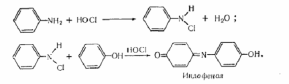
Индофеноловая реакция:
При выполнении индофеноловой реакции в качестве
окислителей могут быть использованы гипохлорит натрия, хлорная известь, хлорная
или бромная вода, пероксид водорода и др. Окислителем также может быть кислород
воздуха. Появление грязно-фиолетовой окраски указывает на наличие фенола в
пробе. После прибавления аммиака появляется устойчивая синяя окраска.
[11]Второй вариант реакции образования индофенолов (реакция Либермана)
предполагает использование нитрита натрия и серной кислоты. При взаимодействии
нитрита натрия и серной кислоты образуется азотистая кислота, которая с фенолом
образует п-нитрозофенол, при изомеризации которого образуется п-хиноидоксим:
При взаимодействии хиноидоксима с избытком
фенола идёт образование индофенола, имеющий синюю окраску:
Реакция с реактивом Миллона. При взаимодействии
фенола реактивом Миллона (смесь нитратов одно- и двухвалентной ртути,
содержащая азотистую кислоту) появляется красная или оранжевая окраска. При
малых количествах фенолов возникает желтая окраска. Нагревание ускоряет эту
реакцию. Вероятно, что при этой реакции вначале образуется 2-нитрозофенол,
который переходит в 1,2-хинонмоноксим:
,2-хинонмоноксим с ионами ртути образует
окрашенное внутрикомплексное соединение:
Реакции азосочетания. При взаимодействии фенола
с солями диазонислабощелочной среде (рН 7 - 10) образуются азокрасители:
Образование арилметановых красителей происходит
при конденсации фенола с альдегидами, кетонами или ангидридами кислот.
Например, при нагревании фенола с раствором формальдегида в концентрированной
серной кислоте (реактивом Марки) образуется соединение красного цвета
[12]Реакции идентификации формальдегида.
Окисление альдегидной группы формальдегида.
Специфическими окислительными реагентами, используемыми для идентификации
альдегидной группы, являются реактив Толленса (аммиачный раствор оксида
серебра), реактив Фелинга (щелочной раствор комплексного тартрата меди (ІІ)) и
реактив Несслера (щелочной раствор тетрайодмеркурата (ІІ) калия). [11]При
взаимодействии формальдегида с аммиачным раствором оксида сербра при лёгком
нагревании на внутренних стенках пробирки образуется тонкая плёнка металлического
серебра («серебряное зеркало)HCHO + 2[Ag(NH3)2]OH → HCOONH4 + 2Ag↓
+ 3NH3↑ + H2O С гидроксидом меди (ІІ). Продуктом реакции гидроксида меди
с формальдегидом является гидроксид меди (І),окрашенный в жёлтый цвет, который
при нагревании превращается в кирпично-красный оксид меди (І):НСООН + 2Сu(OH)2→
HCOOH + Cu2O + 2H2O [13] С реактивом Несслера.
При взаимодействии формальдегида со щелочным
раствором тетрайодмеркурата (ІΙ) калия
образуется осадок металлической ртути серого или чёрного цвета (реакция крайне
высокочувствительна):HCOOH + K2[HgI4] + 3KOH → HCOOK + Hg↓ +4KI +
2H2OРеакция с резорцином. Альдегиды реагируют с резорцином в его таутомерной
форме (кетоформе) с образованием окрашенного соединения. Наличие розовой или
малиновой окраски указывает на наличие формальдегида:
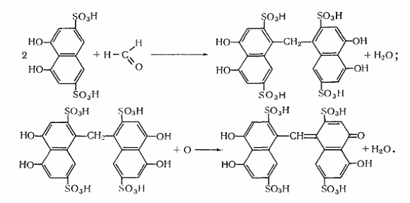
Реакция с хромотроповой кислотой. Хромотроповая
кислота (1,8-диоксинафталин-3,6-дисульфокислота) с формальдегидом в присутствии
серной кислоты дает фиолетовую окраску. Вначале серная кислота вызывает
конденсацию формальдегида с хромотроповой кислотой, а затем окисляет
образовавшийся продукт конденсации: [14]
1.4 Методы количественного определения фенола и
формальдегида
Бромометрическое определение фенола Сущность
метода. В анализируемый раствор вводят бромид-броматную смесь, которая в кислой
среде выделяет свободный бром:ВгО3¯ + 5Br¯ + 6Н+
↔ ЗВг2+ ЗН20Бромид-броматную смесь прибавляют в избытке. Обазующийся в
растворе бром реагирует с фенолом по уравнению:С6Н5ОН 4Вг2 ↔ 4Н+ + 4Вг¯
+ С6Н2Вг3ОВгКогда затем к раствору прибавляют иодид калия, непрореагировавший
бром вытесняет иод из иодида калия и, кроме того, 2 эквивалента йода выделяются
под действием одной молекулы С6Н2Вг3ОВг:С6НгВг3ОВг + Н+ +
2I¯ ↔ С6Н2Вг3ОН + I2 + Br¯
Таким образом, в результате этих двух реакций каждый эквиалент фенола связывает
6 эквивалентов брома.
Зная количество брома, введенного в раствор, и
определяя количество выделившегося иода, вычисляют, сколько брома вступило в
реакцию с фенолом, а отсюда и содержание фенола в пробе. Аналогично фенолу
С6Н5ОН ведут себя и другие перечисленные выше фенолы. Следовательно, в
результате анализа находят суммарное содержание фенолов, отогнанных с водяным
паром. [15]Реактивы: сульфат меди CuS0 ∙ 5H20 (10%-ный раствор), серная
кислота (разбавленный 1: 3 раствор), бромид-броматная смесь (растворяют 1,67 г
бромата калия и 6 г бромида калия в 1 л дистиллированной воды), иодид калия,
тиосульфат натрия (0,05 н. раствор), крахмал (0,5%-ный раствор).Ход определения.
Предварительная обработка сточной воды. К 100 мл анализируемой воды прибавляют
10 - 15 мл сульфата меди (для осаждения сульфидов), подкисляют серной кислотой,
вводя 3 - 5 мл ее избытка (если добавление сульфата меди вызвало образование
осадка гидроксида меди, последний при подкислении должен полностью
раствориться), и ведут перегонку в приборе до тех пор, пока в перегонной колбе
не останется очень небольшой объем (30 - 40 мл) жидкости. К остатку приливают
100 мл дистиллированной воды и продолжают перегонку, собирая дистиллят в тот же
приемник. Для проверки на полноту отгона рекомендуется набрать в пробирку
несколько капель выходящей из холодильника жидкости и испытать на присутствие в
ней фенолов, добавив 4-аминоантнпирин. Дистиллят переносят в мерную колбу
вместимостью 500 мл, разбавляют дистиллированной водой до метки и отбирают
аликвотную часть для бромирования. [16]Бромирование фенолов и иодиметрическое
титрование. Отобрав 25 - 50 мл полученного дистиллята, переносят его в
коническую колбу вместимостью 300 - 500 мл, снабженную притертой пробкой,
прибавляют 25 мл бромид-броматной смеси и 10 мл серной кислоты, закрывают колбу
пробкой и оставляют на 0,5 ч. Затем прибавляют 1 г сухого иодида калия, снова
закрывают колбу притертой пробкой и через 5 мин титруют выделившийся иод
раствором тиосульфата натрия, прибавляя к концу титрования раствор крахмала. В
другую такую же колбу наливают дистиллированную воду в таком же объеме, в каком
был взят дистиллят для титрования, прибавляют такие же количества бромид-броматной
смеси, серной кислоты и иодида калия и через 5 мин титруют
тиосульфатом.[17]Определение с применением 4-аминоантипнринаСущность метода.
Метод основан на образовании окрашенных соединений фенола, его производных и
гомологов с 4-аминоантипирином в присутствии гексацианоферрата(Ш) или
персульфата аммония при рН = 10,0 ± 0,2.Реакция фенола с 4-аминоантипирином
протекает по схеме:
Предлагается два варианта метода: с экстракцией
продукта реакции хлороформом, для определения очень малых концентраций фенолов,
и без экстракции продукта реакции, для определения относительно больших
концентраций фенолов.Минимальное количество фенолов, определяемое первым
вариантом метода, если экстракцию проводят 25 мл хлороформа и для измерения
оптической плотности применяют кюветы с толщиной слоя 5 см, равно 0,5 мкг; при
анализе 500 мл пробы это составляет I мкг/л. Минимальное количество фенолов,
определяемых вторым вариантом метода, 1 мг/л. Без предварительного разбавления
можно определять до 50 мг/л.Предварительную отгонку летучих фенолов в обоих
вариантах проводят одинаково. Реактивы. Сульфат меди, раствор. Растворяют 100 г
СuS04 ∙ 5Н20 в дистиллированной воде и разбавляют до 1 л. Фосфорная
кислота, концентрированную (85%-ную) фосфорную кислоту разбавляют в отношении 1
: 9. Стандартный раствор фенола. Основной раствор. В свежепрокипяченной и
охлажденной дистиллированной воде растворяют 1,00 г фенола чда и разбавляют
такой же водой до 1000 мл.
Рабочий раствор I. Разбавляют 10,0 мл основного
стандартного раствора до 1000 мл свежекипяченной дистиллированной водой; 1 мл
полученного раствора содержит 10,0 мкг фенола. Раствор надо приготовлять в день
выполнения анализа. Рабочий раствор II. Разбавляют 50,0 мл рабочего
стандартного раствора I до 500 мл свежепрокипяченной и охлажденной
дистиллированной водой; I мл полученного раствора содержит 1 мкг фенола. Этот
раствор надо приготовлять не ранее, чем за 2 ч до начала анализа.
Гексацианоферрат (III) калия, 8%-ный раствор. Растворяют 8 г Кз[Fе(СN)6] чда в
дистиллированной воде и разбавляют до 100 мл. Раствор пригоден только одну
неделю.
Персульфат аммония, 20%-ный раствор,
нейтрализованный концентрированным раствором аммиака по лакмусовой бумаге.
Буферный раствор, рН = 10,0. Растворяют 12,5 г хлорида аммония в 100 мл
25%-ного раствора аммиака. Хлороформ чда. 4-Аминоантипирин, 2%-ный водный
раствор.Ход определения. Определение малых концентраций (экстракция
хлороформом). Аликвотную часть дистиллята (или весь дистиллят, если содержание
в нем фенола не превышает 50 мкг) разбавляют до 500 мл и переносят в стакан
вместимостью 1 л. В другой стакан наливают 500 мл дистиллированной воды для
холостого опыта. Не следует брать аликвотной части менее 50 мл (отвечающей
максимальной концентрации 1 мг/л).В оба стакана приливают по 5 мл буферного
раствора. Смеси переносят в делительную воронку емкостью 1 л, прибавляют 3,00
мл раствора 4-аминоантипирина, перемешивают, добавляют 3 мл раствора
гексацианоферрата (III) калия или персульфата аммония, снова перемешивают и оставляют
на 3 мин, после чего сразу экстрагируют 25 мл хлороформа. Взбалтывают раз
десять, дают хлороформу отделиться, потом снова взбалтывают столько же раз и
дают хлороформу собраться внизу воронки. Хлороформный экстракт фильтруют через
бумажный фильтр или через воронку с фильтрующим стеклянным слоем, поместив в
нее 5 г обезвоженного сульфата натрия, собирая фильтрат в кювету с толщиной
слоя 5 см.Измеряют оптическую плотность по отношению к раствору холостого опыта
при λ
= 460 нм.
Содержание фенола находят по калибровочному
графику. [18]Фотометрическое определение с применением реактива Гиббса. К 300
мл пробы, содержащей не более 0,1 мг/л фенола, добавляют 15 мл боратного
буферного раствора, приводя этим рН к значению 9,4 ±0,2. К полученному раствору
добавляют 5 мл реактива Гиббса и оставляют на 6-24 часа, после чего
образовавшийся краситель извлекают, встряхивая раствор с 75 мл фенола и
измеряют остаточную плотность при 670 нм.Реактивы. Воротный буферный раствор.
Растворяют 3,1 г Н3ВОз и 3,5 г КС1 в 32 мл 0,1 н раствора NaOH и разбавляют
водой до 1 л., % мл полученного раствора разбавляют до 100 мл. Полученный
раствор имеет рН 9,4 ±0,2.Реактив Гиббса. Растворяют 0,2 г 2,6
-дибромхинон-4-хлорамида в 50 мл 95% этилового спирта. Раствор может
сохраняться в течение недели. Отбирают 4,5 мл этого раствора и разбавляют
дистиллированной водой до 100 мл. Такой разбавленный раствор сохраняется только
около 30 минут. [19]Колориметрическое определение с применением реактива
Фомина-ДенисаК 100 мл дистиллята, содержащего 0,1-2 мг/л фенола, добавляют 10
мл насыщенного на холоде раствора соды и 2 мл реактива Фомина-Дениса. Через 1
час синюю окраску раствора сравнивают с окраской одновременно приготовленного
искусственного эталонного раствора.Реактив Фомина-Дениса. К 100 г вольфромата
натрия, растворенного в 750 мл воды, добавляют раствор 50 мл 85% фосфорной
кислоты. Кипятят в течение 2 часов с обратным холодильником, добавляют раствор
50 мг ацетата уронила в 50 мл воды и все разбавляют до 1 л. Через 8 дней
раствор пригоден к употреблению. Сохранять его надо в склянках из коричневого
стекла. Данная реакция на фенол не специфична; ту же реакцию дают и
сульфитноцеллюлозные щелока.
Определение нитрированием К 100 мл пробы
добавляют 19 мл 65% азотной кислоты (S 1,14) и кипятят с обратным
холодильником. По охлаждении к раствору добавляют 20 мл 25% раствора аммиака и
измеряют оптическую плотность окрашенного в желтый цвет раствора при 420 нм.
[20]Определение дифференциальным спектрофотометрическим методом в УФ-спектреВ
УФ-спектре фенол и его гомологи обладают значительно большим светопоглощением в
щелочном растворе, чем кислом.Ход определения. К 900 мл пробы добавляют раствор
КОН до рН = 12, затем - 10 г NaCl и взбалтывают 30 минут с 10 мл CCl4.
Водно-щелочной слой отделяют, фильтруя его, если это необходимо, доводят его рН
до 5 добавлением НС1 и встряхивают с 10 мл трибутилфосфата в течение 30 минут.
Переносят 4 мл органического слоя в меньшую колбу вместимостью 5 мл и
подщелачивают добавлением 1 мл 0,1 н раствора гидроокиси тетрабутиламмония в
метаноле.
Измеряют светопоглощение при 301 нм в кварцевой
кювете с толщиной слоя 1 см. В качестве сравнительного раствора служит вторая
порция раствора трибутилфосфатного экстракта объемом 4 мл, к которой добавляют
1 мл метанола, но не добавляют щелочи. Если светопоглощение превышает значение
0,8, оба раствора разбавляют смесью 4 объемов трибутилфосфата и 1 объема 0, 1 н
четвертичного основания в метаноле, а кислый раствор - смесью трибутилфосфата с
метанолом в отношении 4:1.Поправку на светопоглощение кюветами и одними
реактивами получают измерением светопоглощения щелочной смеси (4:1)
относительно смеси трибутилфосфатметанол (4:1). Значение светопоглощения 0,015
соответствует содержанию фенола 10 мг/л, определенному с точностью 65%.
[21]Определение тонкослойной хромотографией. Разделение фенолов.После
экстрагирования и выпаривания эфирного раствора около 20 мкл выпаренного
фенольного раствора извлекают небольшим количеством фиксажа, и с помощью
микрошприца вместимостью 1 мкл переносят в микромерную колбу, и доводят в ней
объем до 100 мкл. Затем из нее переносят 50 мкл раствора на тонкослойную
пластинку, на стартовом плане добавлением смеси диоксана с ледяной уксусной
кислотой (4:1) выделяют фенолы в свободном состоянии.
В качестве проявляющего реактива применяют
сульфаниловую кислоту. [21]В работе используют обработанный с помощью Na 2СОз
силикогель в качестве подвижного растворителя - смесь толуола, этанола и
ацетона (120: 12: 1), а для индикации опрыскивают раствором п-нитроанилина в 1
н растворе НСl, который обесцвечивается под действием NaNO2. Площади пятен
измеряют с помощью соответствующей измерительной аппаратуры. Для определения
незначительных концентраций фенола в грунтовых и поверхностных водах фенол
сначала концентрируют в активном угле, затем экстрагируют эфиром и после
выпаривания эфира извлекают водой. В раствор вносят на кончике шпателя
краситель - прочный красный А1, а через 30 минут подкисляют 2н раствором НС1,
краситель встряхивают с хлороформом и выпаривают. Для разделения с помощью
тонкослойной хроматографии применяют пластинки со щелочным силикогелем,
обработанным К2СО3 (активируют при повышенной температуре в течение 2 часов), в
качестве растворителя служит смесь дихлорметана, уксусноэтилового эфира и
диэтиламина (92 : 5 : 3), или хлороформа, уксусноэтилового эфира и метанола (93
: 5 : 2) или бензол.Хлорфенолы разделяют с помощью тонкослойной хромографии на
пластинках с силикогелем , активированных в течение 2 часов при 100° С. В
качестве подвижного растворителя служит бензол, индикатором - диазотированная
сульфаниловая кислота.[20] Определение методами газовой
хромотографииОпределение при непосредственном введении пробы в хромотограф
стандартным методом ASTM 2580. В методе ASTM D 2580 подробно описано
газо-хромотографическое определение фенолов (фенол, крезолы, моно- и
дихлорфенолы) при непосредственном введении пробы воды в хромотограф без
предварительного разделения и концентрирования. Предельно обнаруживаемая
концентрация - 1 мг/л.Проба воды, непосредственно вводимая в газовый
хромотограф, не должна содержать нерастворенных частиц, чтобы они не закупорили
иглу шприца. Анализируемая вода не должна содержать мешающих компонентов
нефенольной природы с таким же, как у фенолов временем удерживания, в противном
случае необходима предварительная обработка пробы. Побочные изображения от
предыдущих определений лучше всего удаляются опрыскиванием 3 мкл воды при
работе в режиме самой высокой чувствительности самописца.
Аппаратура для газовой хроматографии. Рабочая
температура 2 ± 0,2°С, пламенно-ионизационный детектор; шприц вместимостью 10
мкл; самописец с диапазоном шкалы 1 мВ и временем движения каретки 1 с,
скорость движения бумаги 30 см/ч.Колонки из нержавеющей стали - внутренний
диаметр 3 мм - трех видов с различными наполнителями: колонка 1. хромосорб W,
60-80 мм, промытый кислотой и обработанный гексаметилдилазаном, с 20%
карбовакса 20 м в терефталевой кислоте; длина колонки 3 м;колонка 2. хромосорб
W, 70-80 мм, промытый кислотой с 5% свободной жирной кислоты; длина колонки 1,5
м; колонка 3. хромосорб Т, 60-80 мм, пропитанный 10% свободной жирной кислоты
(препарат - тефлон, Т пл. 327 ° С); длина колонки 3 м. Колонки для
стандартизации предварительно выдерживают при температуре 250°С в течение 24
часов. [21]Концентрирование и определение по Шальцу Подщелачивают 2,5 л пробы
добавлением 2,5 г КОН (рН = 12) и выпаривают в вакуме (при температуре не выше
20° С) до 30-50 мл, затем подкисляют соляной кислотой до рН = 1-3, добавляют
7,5 г NaCl и экстрагируют встряхиванием с 30-50 мл этилацетона. Экстракт
высушивают безводным Na2S04, добавляют к нему 250 мкл бензолового эфира
бензойной кислоты и выпаривают этилацетат в вакууме при давлении 15 мм
рт.ст.Условия определения. Объем пробы - 5 мкл концентрата; прибор -фрактометр
11.6 Е фирмы Перкинг Эльмер; температура печи 160° С; колонка длиной 1 м;
неподвижная фаза на цианите; газ-носитель - гелий, 50 мл/мин;
пламенно-ионизационный детектор.
Фенолы проявляются в течение 15 минут,
бензоловый эфир бензойной кислоты появляется только через 2 часа. Подобным
образом до появления пиков эфира можно проанализировать 4-6 проб. Затем эфир
при повышенной температуре удаляют.
Определение высоких концентраций Для определения
фенолов в высоких концентрациях (больше 25 мг/л) 100 мл пробы (Рн = 3-5)
экстрагируют, встряхивая точно 10 мл изобутилового эфира уксусной кислоты,
высушивают эфирный экстракт безводным Na2SО4 и 20 мкл полученного раствора
впрыскивают в фрактометр с термисторным детектором. Условия определения.
Колонка длиной 4 м, неподвижная фаза - 20% на цианите, температура печи 180° С,
газ - носитель - гелий (55 мл/мин), относительное время удерживания (время
удерживания фенола-10 мин - принято за 1): о-крезол - 1,53; м- и п-крезол -
1,63; диметилфенолы - 2,2 -3,1; триметилфенолы - 3,8-4.При определении фенолов
в более низких концентрациях извлечение можно проводить диэтиловым эфиром.
Эфирный экстракт упаривают до 0,5 мл.Определение Фенола после галогенирования
Повышение чувствительности газохромотографического определения фенолов можно
достичь путем перевода фенолов в галогенопроизводные и анализа последних в
хроматографе электронозахватным детектором.Проще всего провести бромирование
фенолов бромид-броматной смесью. Полученные бромфенолы извлекают изооктаном и
разделяют их в хромотографе с электронозахватным детектором. Эти способом можно
анализировать пробы, содержащие фенолы в концентрациях 5-15 мг/л при
стандартном отклонении полученных результатов ± 1 мкг/л. Содержащую фенолы
слабокислую фракцию хлороформного экстракта обрабатывают бромпентафтортолуолом.
Образующиеся пентафторбензиловые эфиры затем разделяют в хромотографе с
электронозахватным детектором.Было также предложено ацетилировать фенолы
хлоруксусным ангидридом и полученные производные разделить в хромотографе с
электронозахватным детектором. [17]
При окислении фенилгидразина последний
конденсируется с формальдегидом, образуя оранжевокрасное соединение,
интенсивность окраски которого пропорциональна концентрации присутствовавшего
формальдегида. Если эта реакция происходит в щелочной среде, то все вещества,
выделяющие формальдегид, не дают окраски. Без изменения объема пробы можно
определять от 1 до 25 мг формальдегида в 1 л воды. Мешающее влияние.
Определению не мешают значительное содержание фенола, метиловый спирт,
муравьиная и уксусная кислоты, ацетальдегид, ацетон и йод.Аппаратура:
перегонный аппарат состоит из колбы для перегонки емкостью 500 мл, насадки с
капельной воронкой и прямого холодильника; все соединения в приборах на шлифах,
калибровочный цилиндр или пробирка с плоским дном, с меткой 20 мл и с пробкой,
фотометр с зеленым светофильтром ( 570 нм), кюветы с толщиной слоя 3 см или
набор цилиндров Несслера емкостью 50 мл.
Реактивы: серная кислота, концентрированная;
изопропиловый спирт, фенилгидрозин солянокислый, 7,5 % водный раствор.Растворяют
3,75 г. солянокислого фенилгидрозина в 50 мл горячей дистиллированной воды.
После охлаждают раствор. Раствором можно пользоваться приблизительно неделю.
Коричневый осадок, который иногда образуется, необходимо отфильтровать перед
использованием раствора. Растворяют 5 г K3Fe(CN)6 в дистиллированной воде и
разбавляют до 100 мл; едкий натр, 10% раствор; формальдегид, стандартный
раствор. Используется основной стандартный раствор; 1 мл раствора содержит
0,020 мг НСНО.
Калибровочная кривая. В ряд мерных колб емкостью
100 мл помещают 0; 5,0; 10,0; 20,0; 40,0; 60,0; 80,0; 100 мл основного
стандартного раствора. После добавления дистиллированной воды до метки получают
стандартные растворы, содержащие 0; 1,0; 2,0 до 20 мг формальдегида в 1 л. В
ряд цилиндров или пробирок наливают по 0,50 мл этих растворов и обрабатывают
без отгонки. Измеряют оптическую плотность, вводят поправку на холостой опыт и
строят график в координатах оптическая плотность и концентрация формальдегида.
При визуальном сравнении необходимо приготавливать всегда новый ряд
сравнительных стандартных растворов.
Ход определения. В колбу для перегонки помещают
200 мл первоначальной или разбавленной пробы, содержащей 0,25 - 5 мг
формальдегида. Добавляют 10 мл концентрированной серной кислоты и отгоняют.
Дистиллят доливают водой до 250 мл и перемешивают. В цилиндры или пробирки
наливают 0,50 мл дистиллята, добавляют 0,5 мл изопропилового спирта, 0,5 мл
раствора солянокислого фенилгидразина, смесь перемешивают и дают ей постоять 10
минут. Затем добавляют 0,3 мл раствора гексацианоферрата (III) и точно через 5
минут добавляют 2 мл раствора едкого натра. Все это снова перемешивают. Точно
через 4 минуты смесь разбавляют дистиллированной водой до 10 мл. Через 10 минут
после разбавления измеряют оптическую плотность и вводят поправку на холостой
опыт с дистиллированной водой. По калибровочной кривой находят концентрацию
формальдегида При визуальном сравнении в цилиндрах Несслера окончательный объем
окрашенной пробы и стандартных сравнительных растворов доводятся до 50
мл.Необходимо строго соблюдать указанные промежутки времени между добавлением
реактивов. Окраска устойчива лишь около 15 минут после разбавления. [22]Реакция
с хромотроповой кислотой (метод Эгрива). При нагревании разбавленного водного
раствора формальдегида с хромотроповой кислотой
(1,8-дигидроксинафталин-3,6-дисульфокислотой), в присутствии концентрированной
серной кислоты, раствор приобретает фиолетовую окраску, по интенсивности
которой судят о количестве формальдегида.Ход анализа: градуировочной пипеткой
отбирают в пробирку 1 мл анализируемого раствора и 1 мл свежеприготовленного
0,5 %-го раствора натриевой соли хромотроповой кислоты в воде. [23] К смеси по
каплям прибавляют 8 мл 81 %-ой кислоты. После перемешивания кислый раствор
нагревают на водяной бане при 60°С в течение 20 минут и охлаждают в течение 45
- 60 минут. Оптическую плотность окрашенного раствора определяют с помощью
фотоколориметра или спектрофотометра при длине волны 570 нм. Содержание
формальдегида находят с помощью предварительно построенной калибровочной
кривой. Хромотроповый раствор не даёт окраски с уксусным, пропионовым,
масляным, изомасляным, изовалериановым и кротоновым альдегидами, с
хлоральгидратом, глиоксалем, бензойным, салициловым и фталевым альдегидами,
ацетоном, глицерином, глюкозой, муравьиной, гликолевой, галловой и левулиновой
кислотами. Метод может использоваться также и для качественной идентификации
формальдегида. [24]
2. Объект, программа и методика исследований
.1 Объект исследований
Объектом исследований явились природные воды,
отобранные из р. Сож, р. Днепр, р. Березина.
.2 Программа исследований
Составление литературного обзора по теме
исследования; 2 Разработка тест-метода для определения фенола и формальдегида;
3 Количественное определение фенола в пробах природных вод;4 Количественное
определение формальдегида в природных водах;5 Математическая обработка
результатов исследования.
.3 Методики исследований
Отбор проб природных вод осуществлялся в
соответствии со следующими правилами: места отбора проб природ вод были
максимально приближены к точке сброса; пробоотбор производился с помощью
бутылей из стекла. Отбор проб воды из р. Сож осуществлялся ежемесячно в трёх
повторностях на протяжении 2012 года. Причём было выбрано два места отбора
проб: выше г. Гомель - в районе д. Плёсы и ниже города - в районе санаторной
зоны п. Чёнки.Отбор проб воды из р. Днепр осуществлялся ежемесячно на
протяжении 2012 года. Было выбрано два места отбора проб: выше г. Речица - в
районе д. Озёрщина и ниже города - в районе д. Жмуровка.
Пробоотбор воды из р. Березина производился
также ежемесячно в 2012 году. Было выбрано два места отбора проб: выше г.
Светлогорск - в районе д. Чирковичи и ниже города - в районе д. Якимова
Слобода. Был разработан тест-метод показывающий значения минимальных
концентраций хромогенных веществ, при которых наблюдается окрашивание. Реакции
проводили в условиях в которых визуально фиксируется их результат. Этим
результатом являются: интенсивность окрашивания, цвет бумажной полоски. По этим
же показателям и судили о присутствии органических токсикантов.
Для проведения количественной идентификации
фенола использовали: фотометрический метод с применением 4-аминоантипирина и
броматометрический метод. Первый из вышеперечисленных методов проводили на спектрофотометре
Solar PV 1251C. При этом измеряли оптическую плотность по отношению к раствору
холостого опыта при λ = 460 нм.
Содержание фенола находили по калибровочному графику.Количественное содержание
формальдегида устанавливали фотометрическим методом с использованием
гидрохлорида фенилгидразина. Использовали зеленый светофильтр (λ
=570 нм),
кюветы с толщиной слоя 3 см.
3. Результаты исследований и их обсуждение
.1 Разработка тест-метода для определения
минимальных концентраций обнаружения органических токсикантов в воде
Для проведения тест-метода на фенол использовали
хлорид железа (ІІІ), так как он не является дорогостоящим и дефицитным. Были
приготовлены растворы фенола с различными концентрациями (0,05; 0,1; 0,75
моль/л) и раствор FeCl3 с концентрацией 0,1 моль/л. Отмечено, что раствор
фенола с концентрацией 0,05 моль/л, реагируя с FeCl3, окрашивается в
бледно-фиолетовый цвет (минимальная концентрация). Ниже представлена фотография
бумажных полосок интенсивность фиолетовой окраски которых увеличивается по мере
увеличения концентрации фенола.
Рисунок 1 - Бумажные полоски с различными
концентрациями реактивов
Для проведения тест-метода на формальдегид
использовали гидроксид меди (ΙІ),
который тоже не является дорогостоящим. Для этого приготовили раствор
формальдегида с концентрацией 0,1 моль/л и растворы Cu(OH)2 с различными
концентрациями (0,1; 0,5; 1,5 моль/л). В результате реакции наблюдалось
кирпично-красное окрашивание со всеми растворами гидроксида меди (ІІ), наиболее
слабое окрашивание при концентрации последнего 0,1 моль/л, а наиболее
интенсивное при 1,5 моль/л, что хорошо видно на фотографии ниже
Рисунок 2 - Бумажные полоски с различными
концентрациями реактивов
По результатам исследований можно сделать вывод,
что минимальной концентрацией фенола, которую можно определить в воде с помощью
хлорида железа (ІІІ) является 0,05моль/л. Минимальная концентрация
формальдегида, которую можно установить в воде, составляет 0,1 моль/л.
.2 Количественное определение фенола в природных
водах
После отбора проб воды, который осуществлялся
ежемесячно на протяжении 2012 года, из рек Сож, Днепр, Березина, был проведён
количественный анализ для определения содержания фенола. Для этого использовали
два метода количественного анализа: броматометрический и фотометрический с
применением 4-аминоантипирина. Последний из вышеназванных методов проводили на
спектрофотометре Solar PV 1251C. Результаты количественной идентификации фенола
в реке Сож приведены в таблице 1.
Таблица 1 - Количественное содержание фенола в
реке Сож
|
Месяц
|
Содержание
фенола (мг/л) выше г. Гомель
|
Содержание
фенола (мг/л) ниже г. Гомель
|
|
Январь
|
0,0007
0,0009 0,0008
|
0,0101
0,0100 0,0100
|
|
февраль
|
0,0006
0,0005 0,0006
|
0,0008
0,0008 0,0010
|
|
Март
|
0,0003
0,0003 0,0002
|
0,0005
0,0007 0,0005
|
|
Апрель
|
0,0004
0,0003 0,0006
|
0,0010
0,0012 0,0010
|
|
Май
|
0,0004
0,0003 0,0003
|
0,0007
0,0009 0,0007
|
|
Июнь
|
0,0005
0,0004 0,0005
|
0,0009
0,0007 0,0006
|
|
Июль
|
0,0010
0,0008 0,0010
|
0,0120
0,0130 0,0100
|
|
Август
|
0,0005
0,0007 0,0008
|
0,0009
0,0010 0,0007
|
|
сентябрь
|
0,0006
0,0006 0,0009
|
0,0008
0,0009 0.0009
|
|
октябрь
|
0,0007
0,0005 0,0006
|
0,0009
0,0007 0,0009
|
|
Ноябрь
|
0,0005
0,0005 0,0007
|
0,0010
0,0012 0,0011
|
|
декабрь
|
0,0006
0,0008 0,0006
|
0,0009
0,0010 0,0008
|
Как видно из таблицы, в пробах воды, отобранных
ниже г. Гомель, в январе и июле наблюдается превышение ПДК фенола, которая
составляет 0,001мг/л, что связано с выпадением обильных атмосферных
осадков.Также был проведён количественный анализ фенола в воде, отобранной в
реке Днепр. Результаты количественной идентификации фенола в реке Днепр
приведены в таблице 2.
Таблица 2 - Количественное содержание фенола в
реке Днепр
|
Месяц
|
Содержание
фенола (мг/л) выше г. Речица
|
Содержание
фенола (мг/л) ниже г. Речица
|
|
Январь
|
0,0010
0,0009 0,0008
|
0,0012
0.0010 0,0010
|
|
февраль
|
0,0008
0,0010 0,0008
|
0,0010
0,0011 0,0010
|
|
Март
|
0,0009
0,0007 0,0009
|
0,0011
0,0011 0,0009
|
|
Апрель
|
0,0010
0,0009 0,0010
|
0,0010
0,0009 0,0011
|
|
Май
|
0,0007
0,0007 0,0009
|
0,0009
0,0010 0,0008
|
|
Июнь
|
0,0009
0,0007 0,0009
|
0,0012
0,0012 0,0011
|
|
Июль
|
0,0006
0,0008 0,0008
|
0,0010
0,0010 0,0009
|
|
Август
|
0,0009
0,0007 0,0009
|
0,0011
0,0010 0,0012
|
|
сентябрь
|
0,0005
0,0006 0,0005
|
0,0012
0,0011 0,0010
|
|
октябрь
|
0,0009
0,0008 0,0009
|
0,0012
0,0010 0,0012
|
|
Ноябрь
|
0,0010
0,0010 0,0009
|
0,0014
0,0013 0,0014
|
|
декабрь
|
0,0008
0,0009 0,0008
|
0,0013
0,0014 0,0013
|
Как видно из таблицы 2, в пробах воды,
отобранных ниже г. Речица, наблюдаются незначительные превышения ПДК фенола,
что связано с выпадением обильных атмосферных осадков в районе города.Был
проведён количественный анализ фенола в воде, отобранной в реке Березина.
Результаты количественной идентификации фенола в реке Березина приведены в
таблице 3.
Таблица 3 - Количественное содержание фенола в
реке Березина
|
Месяц
|
Содержание
фенола (мг/л) выше г. Светлогорск
|
Содержание
фенола (мг/л) ниже г. Светлогорск
|
|
январь
|
0,0009
0,0008 0,0008
|
0,0015
0.0013 0,0015
|
|
февраль
|
0,0006
0,0006 0,0008
|
0,0010
0,0011 0,0010
|
|
Март
|
0,0008
0,0007 0,0007
|
0,0009
0,0010 0,0009
|
|
апрель
|
0,0008
0,0009 0,0009
|
0,0012
0,0012 0,0011
|
|
Май
|
0,0011
0,0010 0,0011
|
0,0011
0,0010 0,0010
|
|
Июнь
|
0,0005
0,0007 0,0005
|
0,0012
0,0012 0,0011
|
|
Июль
|
0,0006
0,0008 0,0008
|
0,0018
0,0017 0,0018
|
|
Август
|
0,0007
0,0007 0,0009
|
0,0009
0,0009 0,0008
|
|
сентябрь
|
0,0007
0,0006 0,0007
|
0,0010
0,0011 0,0010
|
|
октябрь
|
0,0010
0,0010 0,0009
|
0,0021
0,0019 0,0020
|
|
ноябрь
|
0,0009
0,0010 0,0009
|
0,0016
0,0016 0,0015
|
|
декабрь
|
0,0007
0,0007 0,0008
|
0,0010
0,0011 0,0010
|
Судя по данным представленным в таблице 3,
видно, что в воде ниже города концентрация фенола незначительно превышает ПДК,
что связано с деятельностью хозяйственных объектов.
.2 Количественное определение формальдегида в
природных водах
После отбора проб воды, который осуществлялся ежемесячно
на протяжении 2012 года, из рек Сож, Днепр, Березина, был проведён
количественный анализ для определения содержания формальдегида. Для этого
использовали фотометрический метод с применением хлорида фенилгидразина. Данный
метод проводили на спектрофотометре Solar PV 1251C. Результаты количественной
идентификации формальдегида в реке Сож приведены в таблице 4.
Таблица 4 - Количественное содержание
формальдегида в реке Сож
|
Месяц
|
Содержание
фенола (мг/л) выше г. Гомель
|
Содержание
фенола (мг/л) ниже г. Гомель
|
|
январь
|
0,0380
0,0390 0,0370
|
0,0430
0.0420 0,0430
|
|
февраль
|
0,0350
0,0340 0,0350
|
0,0370
0,0360 0,0350
|
|
Март
|
0,0410
0,0400 0,0430
|
0,0420
0,0400 0,0420
|
|
апрель
|
0,0310
0,0330 0,0350
|
0,0400
0,0410 0,0410
|
|
Май
|
0,0360
0,0340 0,0350
|
0,0370
0,0390 0,0390
|
|
Июнь
|
0,0300
0,0300 0,0310
|
0,0430
0,0410 0,0420
|
|
Июль
|
0,0390
0,0350 0,0360
|
0,0420
0,0420 0,0410
|
|
Август
|
0,0390
0,0380 0,0390
|
0,0450
0,0460 0,0440
|
|
сентябрь
|
0,0420
0,0440 0,0420
|
0,0450
0,0470 0,0470
|
|
октябрь
|
0,0360
0,0340 0,0360
|
0,0400
0,0400 0,0410
|
|
ноябрь
|
0,0350
0,0370 0,0350
|
0,0340
0,0330 0,0330
|
|
декабрь
|
0,0400
0,0410 0,0400
|
0,0390
0,0370 0,0380
|
Из таблицы 4 видно, что концентрация
формальдегида не превышает ПДК, которая составляет 0,05 мг/л.Результаты
количественной идентификации формальдегида в реке Днепр приведены в таблице 5.
Таблица 5 - Количественное содержание
формальдегида в реке Днепр
|
Месяц
|
Содержание
фенола (мг/л) выше г. Речица
|
Содержание
фенола (мг/л) ниже г. Речица
|
|
январь
|
0,0300
0,0320 0,0300
|
0,0460
0.0450 0,0460
|
|
февраль
|
0,0420
0,0410 0,0410
|
0,0500
0,0490 0,0490
|
|
Март
|
0,0450
0,0450 0,0430
|
0,0500
0,0500 0,0490
|
|
апрель
|
0,0370
0,0350 0,0370
|
0,0480
0,0480 0,0490
|
|
Май
|
0,0420
0,0430 0,0410
|
0,0470
0,0490 0,0470
|
|
Июнь
|
0,0400
0,0400 0,0420
|
0,0460
0,0460 0,0440
|
|
Июль
|
0,0400
0,0410 0,0400
|
0,0440
0,0450 0,0460
|
|
Август
|
0,0480
0,0480 0,0490
|
0,0470
0,0460 0,0480
|
|
сентябрь
|
0,0350
0,0370 0,0350
|
0,0400
0,0400 0,0420
|
|
октябрь
|
0,0490
0,0490 0,0480
|
0,0430
0,0440 0,0440
|
|
ноябрь
|
0,0430
0,0440 0,0440
|
0,0500
0,0500 0,0490
|
|
декабрь
|
0,0440
0,0430 0,0440
|
0,0450
0,0440 0,0460
|
Из таблицы 5 видно, что концентрация
формальдегида не превышает ПДК.Результаты количественной идентификации
формальдегида в реке Березина приведены в таблице 6.
Таблица 6 - Количественное содержание формальдегида
в реке Березина
|
Месяц
|
Содержание
фенола (мг/л) выше г. Речица
|
Содержание
фенола (мг/л) ниже г. Речица
|
|
январь
|
0,0210
0,0220 0,0220
|
0,0290
0.0290 0,0280
|
|
февраль
|
0,0320
0,0330 0,0320
|
0,0430
0,0440 0,0450
|
|
Март
|
0,0330
0,0350 0,0330
|
0,0500
0,0500 0,0490
|
|
апрель
|
0,0300
0,0300 0,0320
|
0,0470
0,0480 0,0470
|
|
Май
|
0,0320
0,0330 0,0310
|
0,0500
0,0490 0,0490
|
|
Июнь
|
0,0410
0,0400 0,0420
|
0,0440
0,0430 0,0440
|
|
Июль
|
0,0240
0,0230 0,0230
|
0,0330
0,0350 0,0330
|
|
Август
|
0,0260
0,0280 0,0260
|
0,0280
0,0290 0,0280
|
|
сентябрь
|
0,0330
0,0330 0,0350
|
0,0370
0,0390 0,0370
|
|
октябрь
|
0,0260
0,0260 0,0280
|
0,0310
0,0300 0,0300
|
|
ноябрь
|
0,0230
0,0240 0,0240
|
0,0280
0,0260 0,0270
|
|
декабрь
|
0,0300
0,0300 0,0320
|
0,0340
0,0340 0,0350
|
Из таблицы 6 видно, что концентрация
формальдегида не превышает ПДК.
Заключение
Приложение А
Математическая обработка количественных данных
Таблица А.1 - Результаты математической
обработки количественных данных по содержанию фенола в реке Сож
|
Месяц
|
Выше
течения
|
Ниже
течения
|
|
Х
ср
|
σ
|
±
∆
|
ε
%
|
Х
ср
|
σ
|
±
∆
|
ε
%
|
|
Январь
|
0,0008
|
0,00008
|
0,000047
|
5,89
|
0,0100
|
0,00004
|
0,00002
|
0,27
|
|
Февраль
|
0,0005
|
0,00004
|
0,00002
|
4,80
|
0,0008
|
0,00009
|
0,00005
|
6,28
|
|
Март
|
0,0002
|
0,00004
|
0,00002
|
10,21
|
0,0005
|
0,00009
|
0,00005
|
9,61
|
|
Апрель
|
0,0004
|
0,00012
|
0,00007
|
16,62
|
0,0010
|
0,00009
|
0,00005
|
5,10
|
|
Май
|
0,0003
|
0,00004
|
0,00002
|
8,17
|
0,0007
|
0,00009
|
0,00005
|
7,10
|
|
Июнь
|
0,0004
|
0,00004
|
0,00002
|
5,83
|
0,0007
|
0,00012
|
0,00007
|
9,82
|
|
Июль
|
0,0009
|
0,00004
|
0,00002
|
2,82
|
0,0116
|
0,00124
|
0,00072
|
6,17
|
|
Август
|
0,0006
|
0,00012
|
0,00007
|
10,80
|
0,0008
|
0,00012
|
0,00007
|
8,31
|
|
Сентябрь
|
0,0007
|
0,00014
|
0,00008
|
11,66
|
0,0008
|
0,00004
|
0,00002
|
3,14
|
|
Октябрь
|
0,0006
|
0,00008
|
0,00004
|
7,86
|
0,0008
|
0,00009
|
0,00005
|
6,53
|
|
Ноябрь
|
0,0005
|
0,00009
|
0,00005
|
9,61
|
0,0011
|
0,00008
|
0,00004
|
4,29
|
|
Декабрь
|
0,0006
|
0,00009
|
0,00005
|
8,17
|
0,0009
|
0,00008
|
0,00004
|
5,24
|
Таблица А.2 - Результаты математической
обработки количественных данных по содержанию фенола в реке Днепр
|
Месяц
|
Выше
течения
|
Ниже
течения
|
|
Х
ср
|
σ
|
±
∆
|
ε
%
|
Х
ср
|
σ
|
±
∆
|
ε
%
|
|
Январь
|
0,0009
|
0,00008
|
0,000047
|
5,24
|
0,0010
|
0,00009
|
0,00005
|
5,10
|
|
Февраль
|
0,0008
|
0,00009
|
0,000054
|
6,28
|
0,0010
|
0,00004
|
0,00002
|
2,63
|
|
Март
|
0,0008
|
0,00009
|
0,00005
|
6,53
|
0,0010
|
0,00009
|
0,00005
|
5,27
|
|
Апрель
|
0,0009
|
0,00004
|
0,00002
|
2,82
|
0,0010
|
0,00008
|
0,00004
|
4,71
|
|
Май
|
0,0007
|
0,00009
|
0,00005
|
7,10
|
0,0009
|
0,00008
|
0,00004
|
5,24
|
|
Июнь
|
0,0008
|
0,00009
|
0,00005
|
6,53
|
0,0011
|
0,00004
|
0,00002
|
2,33
|
|
Июль
|
0,0007
|
0,00009
|
0,00005
|
7,42
|
0,0009
|
0,00004
|
0,00002
|
2,82
|
|
Август
|
0,0008
|
0,00009
|
0,00005
|
6,53
|
0,0011
|
0,00008
|
0,00004
|
4,29
|
|
Сентябрь
|
0,0005
|
0,00004
|
0,00002
|
5,10
|
0,0011
|
0,00008
|
0,00004
|
4,29
|
|
Октябрь
|
0,0008
|
0,00004
|
0,00002
|
3,14
|
0,0011
|
0,00009
|
0,00005
|
4,80
|
|
Ноябрь
|
0,0009
|
0,00004
|
0,00002
|
2,82
|
0,0013
|
0,00004
|
0,00002
|
1,99
|
|
Декабрь
|
0,0008
|
0,00004
|
0,00002
|
3,27
|
0,0013
|
0,00004
|
0,00002
|
2,04
|
Таблица А.3 - Результаты математической
обработки количественных данных по содержанию фенола в реке Березина
|
Месяц
|
Выше
течения
|
Ниже
течения
|
|
Х
ср
|
σ
|
±
∆
|
ε
%
|
Х
ср
|
σ
|
±
∆
|
ε
%
|
|
Январь
|
0,0008
|
0,00004
|
0,00002
|
3,27
|
0,0014
|
0,00009
|
0,00005
|
3,80
|
|
Февраль
|
0,0006
|
0,00009
|
0,00005
|
8,17
|
0,0010
|
0,00004
|
0,00002
|
2,63
|
|
Март
|
0,0007
|
0,00004
|
0,00002
|
3,71
|
0,0009
|
0,00004
|
0,00002
|
2,92
|
|
Апрель
|
0,0008
|
0,00004
|
0,00002
|
3,14
|
0,0011
|
0,00004
|
0,00002
|
2,33
|
|
Май
|
0,0010
|
0,00004
|
0,00002
|
2,55
|
0,0010
|
0,00004
|
0,00002
|
2,63
|
|
Июнь
|
0,0005
|
0,00009
|
0,00005
|
9,61
|
0,0011
|
0,00004
|
0,00002
|
2,33
|
|
Июль
|
0,0007
|
0,00009
|
0,00005
|
7,42
|
0,0017
|
0,00004
|
0,00002
|
1,54
|
|
Август
|
0,0007
|
0,00009
|
0,00005
|
7,10
|
0,0008
|
0,00004
|
0,00002
|
3,14
|
|
Сентябрь
|
0,0006
|
0,00004
|
0,00002
|
4,08
|
0,0010
|
0,00004
|
0,00002
|
2,63
|
|
Октябрь
|
0,0009
|
0,00004
|
0,00002
|
2,82
|
0,0020
|
0,00008
|
0,00004
|
2,36
|
|
Ноябрь
|
0,0009
|
0,00004
|
0,00002
|
2,92
|
0,0015
|
0,00002
|
1,74
|
|
Декабрь
|
0,0007
|
0,00004
|
0,00002
|
3,71
|
0,0010
|
0,00004
|
0,00002
|
2,63
|
Таблица А.4 - Результаты математической
обработки количественных данных по содержанию формальдегида в реке Сож
|
Месяц
|
Выше
течения
|
Ниже
течения
|
|
Х
ср
|
σ
|
±
∆
|
ε
%
|
Х
ср
|
σ
|
±
∆
|
ε
%
|
|
Январь
|
0,0380
|
0,00081
|
0,00047
|
1,24
|
0,0426
|
0,00047
|
0,00027
|
0,64
|
|
Февраль
|
0,0346
|
0,00047
|
0,00027
|
0,79
|
0,0360
|
0,00081
|
0,00047
|
1,31
|
|
Март
|
0,0413
|
0,00124
|
0,00072
|
1,74
|
0,0413
|
0,00094
|
0,00054
|
1,32
|
|
Апрель
|
0,0330
|
0,00163
|
0,00094
|
2,86
|
0,0406
|
0,00047
|
0,00027
|
0,67
|
|
Май
|
0,0350
|
0,00081
|
0,00047
|
1,35
|
0,0383
|
0,00094
|
0,00054
|
1,42
|
|
Июнь
|
0,0303
|
0,00047
|
0,00027
|
0,90
|
0,0420
|
0,00081
|
0,00047
|
1,12
|
|
Июль
|
0,0366
|
0,00170
|
0,00098
|
2,68
|
0,0416
|
0,00047
|
0,00027
|
0,65
|
|
Август
|
0,0386
|
0,00047
|
0,00027
|
0,70
|
0,045
|
0,00081
|
0,00047
|
1,05
|
|
Сентябрь
|
0,0426
|
0,00094
|
0,00054
|
1,28
|
0,0463
|
0,00094
|
0,00054
|
1,17
|
|
Октябрь
|
0,0353
|
0,00094
|
0,00054
|
1,54
|
0,0403
|
0,00047
|
0,00027
|
0,67
|
|
Ноктябрь
|
0,0356
|
0,00094
|
0,00054
|
1,53
|
0,0333
|
0,00047
|
0,00027
|
0,82
|
|
Декабрь
|
0,0403
|
0,00047
|
0,00027
|
0,67
|
0,0380
|
0,00081
|
0,00047
|
1,24
|
Таблица А.5 - Результаты математической обработки
количественных данных по содержанию формальдегида в реке Днепр
|
Месяц
|
Выше
течения
|
Ниже
течения
|
|
Х
ср
|
σ
|
±
∆
|
ε
%
|
Х
ср
|
σ
|
±
∆
|
ε
%
|
|
Январь
|
0,0306
|
0,00094
|
0,00054
|
1,78
|
0,0456
|
0,00047
|
0,00027
|
0,60
|
|
Февраль
|
0,0413
|
0,00047
|
0,00027
|
0,66
|
0,0493
|
0,00047
|
0,00027
|
0,55
|
|
Март
|
0,0443
|
0,00094
|
0,00054
|
1,23
|
0,0496
|
0,00047
|
0,00027
|
0,55
|
|
Апрель
|
0,0363
|
0,00094
|
0,00054
|
1,50
|
0,0483
|
0,00047
|
0,00027
|
0,56
|
|
Май
|
0,0420
|
0,00081
|
0,00047
|
1,12
|
0,0476
|
0,00094
|
0,00054
|
1,14
|
|
Июнь
|
0,0406
|
0,00094
|
0,00054
|
1,34
|
0,0453
|
0,00094
|
0,00054
|
1,20
|
|
Июль
|
0,0403
|
0,00047
|
0,00027
|
0,67
|
0,0450
|
0,00081
|
0,00047
|
1,05
|
|
Август
|
0,0483
|
0,00047
|
0,00027
|
0,56
|
0,0470
|
0,00081
|
0,00047
|
1,00
|
|
Сентябрь
|
0,0356
|
0,00094
|
0,00054
|
1,53
|
0,0433
|
0,00094
|
0,00054
|
1,26
|
|
Октябрь
|
0,0486
|
0,00047
|
0,00027
|
0,56
|
0,0436
|
0,00047
|
0,00027
|
0,62
|
|
Ноябрь
|
0,0436
|
0,00047
|
0,00027
|
0,62
|
0,0496
|
0,00047
|
0,00027
|
0,55
|
|
Декабрь
|
0,0436
|
0,00047
|
0,00027
|
0,62
|
0,0450
|
0,00081
|
0,00047
|
1,05
|
Таблица А.6 - Результаты математической
обработки количественных данных по содержанию формальдегида в реке Березина
|
Месяц
|
Выше
течения
|
Ниже
течения
|
|
Х
ср
|
σ
|
±
∆
|
ε
%
|
Х
ср
|
σ
|
±
∆
|
ε
%
|
|
Январь
|
0,0216
|
0,00047
|
0,00027
|
1,26
|
0,0286
|
0,00047
|
0,00027
|
0,95
|
|
Февраль
|
0,0323
|
0,00047
|
0,00027
|
0,84
|
0,0440
|
0,00081
|
0,00047
|
1,07
|
|
Март
|
0,0336
|
0,00094
|
0,00054
|
1,62
|
0,0496
|
0,00047
|
0,00027
|
0,55
|
|
Апрель
|
0,0306
|
0,00094
|
0,00054
|
1,78
|
0,0473
|
0,00047
|
0,00027
|
0,58
|
|
Май
|
0,0320
|
0,00081
|
0,00047
|
1,47
|
0,0493
|
0,00047
|
0,00027
|
0,55
|
|
Июнь
|
0,0410
|
0,00081
|
0,00047
|
1,15
|
0,0410
|
0,00081
|
0,00047
|
1,15
|
|
Июль
|
0,0233
|
0,00047
|
0,00027
|
1,17
|
0,0336
|
0,00094
|
0,00054
|
1,62
|
|
Август
|
0,0266
|
0,00094
|
0,00054
|
2,04
|
0,0283
|
0,00047
|
0,00027
|
0,96
|
|
Сентябрь
|
0,0336
|
0,00094
|
0,00054
|
1,62
|
0,0376
|
0,00094
|
0,00054
|
1,45
|
|
Октябрь
|
0,0266
|
0,00094
|
0,00054
|
2,04
|
0,0303
|
0,00027
|
0,90
|
|
Ноябрь
|
0,0236
|
0,00047
|
0,00027
|
1,15
|
0,0270
|
0,00081
|
0,00047
|
1,75
|
|
Декабрь
|
0,0306
|
0,00094
|
0,00054
|
1,78
|
0,0343
|
0,00047
|
0,00027
|
0,79
|