Поиск резервов увеличения выпуска и реализации продукции на примере ООО 'Унитрон Пром'

  • Вид работы:
    Курсовая работа (т)
  • Предмет:
    Эктеория
  • Язык:
    Русский
    ,
    Формат файла:
    MS Word
    1,58 Мб
  • Опубликовано:
    2013-08-14
Вы можете узнать стоимость помощи в написании студенческой работы.
Помощь в написании работы, которую точно примут!

Поиск резервов увеличения выпуска и реализации продукции на примере ООО 'Унитрон Пром'

Содержание

 

Введение

1. Теоретические основы анализа резервов выпуска и реализации продукции

1.1 Задачи и информационное обеспечение анализа

1.2 Анализ динамики и выполнения плана производства и реализации продукции

1.3 Анализ ассортимента и структуры продукции

1.4 Анализ качества произведенной продукции

1.5 Анализ ритмичности работы предприятия

1.6. Анализ факторов и резервов увеличения выпуска и реализации продукции

2. Анализ резервов выпуска и реализации продукции ООО "Унитрон Пром"

2.1 Организационно-экономическая характеристика предприятия

2.2 Анализ программы выпуска продукции

2.3 Анализ ритмичности работы предприятия

2.4 Анализ качества реализуемой продукции

3. Разработка рекомендаций по оптимизации выпуска и реализации продукции

3.1 Выявление резервов повышения эффективности выпуска и реализации продукции

3.2 Использование возможностей АВС-анализа для оптимизации структуры выпуска

4. Расчет экономической эффективности мероприятий

Заключение

Глоссарий

Список использованных источников литературы

Приложение

Введение

Управление деятельностью предприятий, объединений, отраслей и национального хозяйства в целом предполагает научное обоснование разрабатываемых решений, плановых заданий, контроль за их выполнением, объективную оценку производственных затрат и достигнутых результатов деятельности методом обоснования хозяйственных решений и контроля их выполнения является экономический анализ.

Обеспечение эффективного функционирования предприятий требует экономически грамотного управления их деятельностью, которое во многом определяется умением ее анализировать. С помощью анализа изучаются тенденции развития, глубоко системно исследуются факторы изменения результатов деятельности, обосновываются планы и управленческие решения, осуществляется контроль за их выполнением, выявляются резервы повышения эффективности производства, оцениваются результаты деятельности предприятия, вырабатывается экономическая стратегия его развития.

Анализ хозяйственной деятельности является научной базой принятия управленческих решений в бизнесе. Для их обоснования необходимо выявлять и прогнозировать существующие и потенциальные проблемы, производственные и финансовые риски, определять воздействие принимаемых решений на уровень рисков и доходов субъекта хозяйствования. Анализ хозяйственной деятельности является той областью знаний, которая наилучшим образом объединяет все дисциплины. Он обеспечивает интегрированное, широкое понимание производственно-финансовой деятельности предприятия.

В новых рыночных условиях хозяйствования предприятия несут полную ответственность за результаты своей работы. Основная цель производства состоит в обеспечении потребителя необходимой ему продукцией в заданные сроки, заданного качества и комплектации, с минимальными затратами для производителя. При решении этой задачи в условиях рыночной конъюнктуры во главу угла ставится потребитель. Чтобы выжить, предприятие должно постоянно думать о качестве своей продукции и снижении затрат на ее производство. Это задача руководящих работников и специалистов предприятия, определяющих стратегию и тактику организации производства.

При разработке и реализации производственной политики, имеющей целью приспособление предприятия к требованиям рынка, руководителям и специалистам предприятия необходимо держать в поле зрения широкий круг вопросов, касающихся не только сферы производства. Им следует четко представлять, что производство - это только часть постоянно возобновляющегося процесса. Развивать его, увеличивать мощности, осуществлять финансирование и т.д. можно только на основе как можно более точного определения ожидаемых требований рынка.

Основной целью предприятия в большинстве случаев является получение максимально возможной прибыли от реализации продукции. В сегодняшних условиях жесткой конкуренции практически на всех рынках вопросы реализации стоят на первом месте, а задачи производства занимают подчиненное положение. Как заметил П. Дракер, известный американский экономист, "результатом бизнеса должен являться удовлетворенный клиент, внутри же предприятия существуют лишь затраты".

Целью курсовой работы является поиск резервов увеличения выпуска и реализации продукции на примере ООО "Унитрон Пром".

Для достижения поставленной цели необходимо решить следующий ряд взаимосвязанных задач:

) рассмотреть значение, задачи и информационное обеспечение анализа производства продукции;

) рассмотреть систему показателей производства продукции;

) провести анализ динамики и выполнения плана производства продукции ООО "Унитрон Пром";

) провести факторный анализ производства продукции ООО "Унитрон Пром";

) предложить резервы увеличения выпуска продукции ООО "Унитрон Пром".

Объектом исследования является ООО "Унитрон Пром".

Предметом исследования являются объемы производства и реализации продукции ООО "Унитрон Пром".

В процессе анализа были использованы экономико-статистические методы анализа: табличный, графический, аналогов, сравнений, относительных величин.

Курсовая работа базируется на теоретических исследованиях и периодических изданиях, в которых затронут предмет исследования.

Аналитическая часть курсовой работы опирается на информацию специализированных источников, бухгалтерские и статистические данные финансовой отчетности ООО "Унитрон Пром".

резерв реализуемая продукция качество

1. Теоретические основы анализа резервов выпуска и реализации продукции


1.1 Задачи и информационное обеспечение анализа


Объем производства и реализации продукции являются взаимозависимыми показателями. В условиях ограниченных производственных возможностей и неограниченном спросе на первое место выдвигается объем производства продукции. Но по мере насыщения рынка и усиления конкуренции не производство определяет объем продаж, а наоборот, возможный объем продаж является основой разработки производственной программы. Предприятие должно производить только те товары и в таком объеме, которые оно может реально реализовать [1, c.234].

Темпы роста объема производства и реализации продукции, повышение ее качества непосредственно влияют на величину издержек, прибыль и рентабельность предприятия.

Его основные задачи:

оценка степени выполнения плана и динамики производства и реализации продукции;

определение влияния факторов на изменение величины этих показателей;

выявление внутрихозяйственных резервов увеличения выпуска и реализации продукции;

разработка мероприятий по освоению выявленных резервов - рис.1.

Рис.1 - Объекты анализа резервов производства продукции [1, c.235]

Источниками информации для анализа производства и реализации продукции служат бизнес-план предприятия, оперативные планы-графики, отчетность ф. № 1-п (годовая)"Отчет по продукции", ф. № 1-п (квартальная)"Квартальная отчетность промышленного предприятия (объединения) о выпуске отдельных видов продукции в ассортименте", ф. № 1-п (месячная)"Срочная отчетность промышленного предприятия (объединения) по продукции", ф. № 2 "Отчет о прибылях и убытках", ведомость № 16 "Движение готовых изделий, их отгрузка и реализация" и др. [2, c. 197].

1.2 Анализ динамики и выполнения плана производства и реализации продукции


Объем производства и реализации промышленной продукции может выражаться в натуральных, условно-натуральных, трудовых и стоимостных измерителях. Обобщающие показатели объема производства продукции получают с помощью стоимостной оценки. Основными показателями объема производства служат товарная и валовая продукция [2, c. 198].

Валовая продукция - это стоимость всей произведенной продукции и выполненных работ, включая незавершенное производство. Выражается в сопоставимых и действующих ценах.

Товарная продукция отличается от валовой тем, что в нее не включают остатки незавершенного производства и внутрихозяйственный оборот. По своему составу на многих предприятиях валовая продукция совпадает с товарной, если нет внутрихозяйственного оборота и незавершенного производства [6, c.187].

Объем реализации продукции определяется или по отгрузке продукции покупателям, или по оплате (выручке). Может выражаться в сопоставимых, плановых и действующих ценах. В условиях рыночной экономики этот показатель приобретает первостепенное значение. Реализация продукции является связующим звеном между производством и потребителем. От того, как продается продукция, какой спрос на нее на рынке, зависит и объем ее производства.

Важное значение для оценки выполнения производственной программы имеют и натуральные показатели объемов производства и реализации продукции (штуки, метры, тонны и т.д.). Их используют при анализе объемов производства и реализации продукции по отдельным видам и группам однородной продукции [6, c.188].

Условно-натуральные показатели, как и стоимостные, применяются для обобщенной характеристики объемов производства продукции, например, на консервных заводах используется такой показатель, как тысячи условных банок, на ремонтных предприятиях - количество условных ремонтов, в обувной промышленности - условные пары обуви, исчисленные на основе коэффициентов их трудоемкости и т.д.

Нормативные трудозатраты используются также для обобщенной оценки объемов выпуска продукции в тех случаях, когда в условиях многономенклатурного производства не представляется возможным использовать натуральные или условно-натуральные измерители.

Анализ начинается с изучения динамики выпуска и реализации продукции, расчета базисных и цепных темпов роста и прироста [6, c.188].

Среднегодовой темп роста (прироста) выпуска и реализации продукции можно рассчитать по среднегеометрической или среднеарифметической взвешенной.

Оперативный анализ производства и отгрузки продукции осуществляется на основе расчета, в котором отражаются плановые и фактические сведения о выпуске и отгрузке продукции по объему, ассортименту, качеству за день, нарастающим итогом с начала месяца, а также отклонение от плана [10, c.223].

Анализ реализации продукции тесно связан с анализом выполнения договорных обязательств по поставкам продукции. Недовыполнение плана по договорам для предприятия оборачивается уменьшением выручки, прибыли, выплатой штрафных санкций. Кроме того, в условиях конкуренции предприятие может потерять рынки сбыта продукции, что повлечет за собой спад производства.

Особо важное значение для предприятия имеет выполнение контрактов на поставку товаров для государственных нужд. Это гарантирует предприятию сбыт продукции, своевременную ее оплату, льготы по налогам, кредитам и т.д.

В процессе анализа определяется выполнение плана поставок за месяц и с нарастающим итогом в целом по предприятию, в разрезе отдельных потребителей и видов продукции, выясняются причины недовыполнения плана и дается оценка деятельности по выполнению договорных обязательств.

Процент выполнения договорных обязательств рассчитывается делением разности между плановым объемом отгрузки по договорным обязательствам клиентам (ОПпл) и его недовыполнением (ОПн) на плановый объем (ОПпл) [10, c.224].

Недопоставка продукции отрицательно влияет не только на итоги деятельности данного предприятия, но и на работу торговых организаций, предприятий-смежников, транспортных организаций и т.д. При анализе реализации особое внимание следует обращать на выполнение обязательств по госзаказу, кооперированным поставкам и по экспорту продукции.

1.3 Анализ ассортимента и структуры продукции


Большое влияние на результаты хозяйственной деятельности оказывают ассортимент (номенклатура) и структура производства и реализации продукции [17, c.182].

При формировании ассортимента и структуры выпуска продукции предприятие должно учитывать, с одной стороны, спрос на данные виды продукции, а с другой - наиболее эффективное использование трудовых, сырьевых, технических, технологических, финансовых и других ресурсов, имеющихся в его распоряжении. Система формирования ассортимента включает в себя следующие основные моменты:

определение текущих и перспективных потребностей покупателей;

оценку уровня конкурентоспособности выпускаемой или планируемой к выпуску продукции;

изучение жизненного цикла изделий и принятия своевременных мер по внедрению новых, более совершенных видов продукции и изъятие из производственной программы морально устаревших и экономически неэффективных изделий;

оценку экономической эффективности и степени риска изменений в ассортименте продукции [15, c.211].

Оценка выполнения плана по ассортименту продукции обычно производится с помощью одноименного коэффициента, который рассчитывается путем деления общего фактического выпуска продукции, зачтенного в выполнение плана по ассортименту, на общий плановый выпуск продукции (продукция изготовленная сверх плана или не предусмотренная планом, не засчитывается в выполнение плана по ассортименту).

Причины недовыполнения плана по ассортименту могут быть как внешние, так и внутренние. К внешним относятся конъюнктура рынка, изменение спроса на отдельные виды продукции, состояние материально-технического обеспечения, несвоевременный ввод в действие производственных мощностей предприятия по независящим от него причинам. Внутренние причины - недостатки в организации производства, плохое техническое состояние оборудования, его простои, аварии, недостаток электроэнергии, низкая культура производства, недостатки в системе управления и материального стимулирования.

Увеличение объема производства (реализации) по одним видам и сокращение по другим видам продукции приводит к изменению ее структуры, т.е. соотношения отдельных изделий в общем их выпуске. Выполнить план по структуре - значит сохранить в фактическом выпуске продукции запланированные соотношения отдельных ее видов.

Изменение структуры производства оказывает большое влияние на все экономические показатели: объем выпуска в стоимостной оценке, материалоемкость, себестоимость товарной продукции, прибыль, рентабельность. Если увеличивается удельный вес более дорогой продукции, то объем ее выпуска в стоимостном выражении возрастает, и наоборот. То же происходит с размером прибыли при увеличении удельного веса высокорентабельной и соответственно при уменьшении доли низкорентабельной продукции [14, c.176].

Расчет влияния структуры производства на уровень перечисленных показателей можно произвести способом цепной подстановки, который позволяет абстрагироваться от всех факторов, кроме структуры продукции.

Такой же результат можно получить и более простым способом, а именно способом процентных разностей. Для этого разность между коэффициентами выполнения плана по производству продукции, рассчитанными на основании стоимостных (Кст) и условно-натуральных показателей (можно в нормо-часах) (Кн) умножим на запланированный выпуск валовой продукции в стоимостном выражении).

Для расчета влияния структурного фактора на объем производства продукции в стоимостном выражении можно использовать также способ абсолютных разниц. Сначала необходимо определить, как изменится средний уровень цены 1 тенге (Цстр) за счет структуры:


Затем, умножая полученный результат на общий фактический объем производства продукции в условно-натуральном выражении, узнаем изменение объема товарной продукции в стоимостном выражении.

Расчет влияния структурного фактора на изменение выпуска продукции в стоимостном выражении можно произвести и с помощью средневзвешенных цен (если продукция однородная). Для этого сначала определяется средневзвешенная цена при фактической структуре продукции, а затем при плановой и разность между ними умножается на фактический общий объем производства продукции в условно-натуральном выражении:

Аналогичным образом определяется влияние структуры реализованной продукции на сумму выручки [14, c.177].

Используя описанные выше приемы, можно определить влияние структуры продукции и на другие показатели деятельности предприятия: трудоемкость, материалоемкость, на общую сумму затрат, прибыль, рентабельность и другие экономические показатели, что позволит комплексно, всесторонне оценить эффективность ассортиментной и структурной политики предприятия.

1.4 Анализ качества произведенной продукции


Важным показателем деятельности промышленных предприятий является качество продукции. Его повышение - одна из форм конкурентной борьбы, завоевания и удержания позиций на рынке. Высокий уровень качества продукции способствует повышению спроса на продукцию и увеличению суммы прибыли не только за счет объема продаж, но и за счет более высоких цен [3, c. 202].

Качество продукции - понятие, которое характеризует параметрические, эксплуатационные, потребительские, технологические, дизайнерские свойства изделия, уровень его стандартизации и унификации, надежность и долговечность. Различают обобщающие, индивидуальные и косвенные показатели качества продукции.

Обобщающие показатели характеризуют качество всей произведенной продукции независимо от ее вида и назначения:

а) удельный вес новой продукции в общем ее выпуске;

б) удельный вес продукции высшей категории качества;

в) средневзвешенный балл продукции;

г) средний коэффициент сортности;

д) удельный вес аттестованной и неаттестованной продукции;

е) удельный вес сертифицированной продукции;

ж) удельный вес продукции, соответствующей мировым стандартам;

з) удельный вес экспортируемой продукции, в том числе в высокоразвитые промышленные страны [25, c.188].

Индивидуальные (единичные) показатели качества продукции характеризуют одно из ее свойств:

а) полезность (жирность молока, зольность угля, содержание железа в руде, содержание белка в продуктах питания);

б) надежность (долговечность, безотказность в работе);

в) технологичность, т.е. эффективность конструкторских и технологических решений (трудоемкость, энергоемкость);

г) эстетичность изделий.

Косвенные показатели - это штрафы за некачественную продукцию, объем и удельный вес забракованной продукции, удельный вес зарекламированной продукции, потери от брака и др.

Первая задача анализа - изучить динамику перечисленных показателей, выполнение плана по их уровню, причины их изменения и дать оценку выполнения плана по уровню качества продукции [20, c.211].

По продукции, качество которой характеризуется сортом или кондицией, рассчитываются доля продукции каждого сорта (кондиции) в общем объеме производства, средний коэффициент сортности, средневзвешенная цена изделия в сопоставимых условиях. При оценке выполнения плана по первому показателю фактическую долю каждого сорта в общем объеме продукции сравнивают с плановой, а для изучения динамики качества - с данными прошлых периодов.

Средний коэффициент сортности можно определить двумя способами: отношением количества продукции I сорта к общему количеству; отношением стоимости продукции всех сортов к возможной стоимости продукции I сорта:


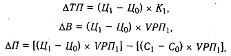
Вторая задача анализа - определение влияния качества продукции на стоимостные показатели работы предприятия: выпуск товарной продукции (ТП), выручку от реализации продукции (В) и прибыль (П). Расчет производится следующим образом:


где цо и Ц1 - соответственно цена изделия до и после изменения качества; Со и C1 - соответственно уровень себестоимости изделия до и после изменения качества; k1 - количество произведенной продукции повышенного качества; Vрп1 - объем реализации продукции повышенного качества [20, c.214].

Если предприятие выпускает продукцию по сортам и произошло изменение сортового состава, то вначале необходимо рассчитать, как изменились средневзвешенная цена и средневзвешенная себестоимость единицы продукции, а затем по приведенным выше алгоритмам определить влияние сортового состава на выпуск товарной продукции, выручку и прибыль от ее реализации.

Средневзвешенная цена рассчитывается следующим образом:


Расчет влияния сортового состава продукции на объем ее производства в стоимостном выражении можно произвести по всем четырем способам, описанным в предыдущем параграфе, которые применяются при анализе структуры производства продукции.

Косвенным показателем качества продукции является брак. Он делится на исправимый и неисправимый, внутренний (выявленный на предприятии) и внешний (выявленный потребителями). Выпуск брака ведет к повышению себестоимости продукции, уменьшению объема товарной и реализованной продукции, снижению прибыли и рентабельности.

В процессе анализа изучают динамику брака по абсолютной сумме и удельному весу в общем выпуске товарной продукции; определяют потери от брака [9, c.171].

Для определения потерь товарной продукции необходимо знать фактический уровень рентабельности. Затем изучаются причины понижения качества и допущенного брака продукции по местам их возникновения и центрам ответственности и разрабатываются мероприятия по их устранению. Основными причинами понижения качества продукции являются плохое качество сырья, низкий уровень технологии и организации производства, квалификации рабочих, аритмичность производства и др. [10, c.226].

1.5 Анализ ритмичности работы предприятия


При изучении деятельности предприятия важен анализ ритмичности производства и реализации продукции. Ритмичность - равномерный выпуск продукции в соответствии с графиком в объеме и ассортименте, предусмотренных планом.

Ритмичная работа является основным условием своевременного выпуска и реализации продукции. Неритмичность ухудшает все экономические показатели: снижается качество продукции; увеличиваются объем незавершенного производства и сверхплановые остатки готовой продукции на складах и, как следствие, замедляется оборачиваемость капитала; не выполняются поставки по договорам и предприятие платит штрафы за несвоевременную отгрузку продукции; несвоевременно поступает выручка; перерасходуется фонд заработной платы в связи с тем, что в начале месяца рабочим платят за простои, а в конце за сверхурочные работы. Все это приводит к повышению себестоимости продукции, уменьшению суммы прибыли, ухудшению финансового состояния предприятия [22, c.214].

Для оценки выполнения плана по ритмичности используются прямые и косвенные показатели. Прямые показатели - коэффициент ритмичности, коэффициент вариации, коэффициент аритмичности, удельный вес производства продукции за каждую декаду (сутки) к месячному выпуску, удельный вес произведенной продукции за каждый месяц к квартальному выпуску, удельный вес выпущенной продукции за каждый квартал к годовому объему производства, удельный вес продукции, выпущенной в первую декаду отчетного месяца, к третьей декаде предыдущего месяца.

Косвенные показатели ритмичности - наличие доплат за сверхурочные работы, оплата простоев по вине хозяйствующего субъекта, потери от брака, уплата штрафов за недопоставку и несвоевременную отгрузку продукции, наличие сверхнормативных остатков незавершенного производства и готовой продукции на складах.

Один из наиболее распространенных показателей - коэффициент ритмичности. Величина его определяется путем суммирования фактических удельных весов выпуска за каждый период, но не более планового их уровня.

Коэффициент вариации (Kв) определяется как отношение среднеквадратического отклонения от планового задания за сутки (декаду, месяц, квартал) к среднесуточному (среднедекадному, среднемесячному, среднеквартальному) плановому выпуску продукции.

Для оценки ритмичности производства на предприятии рассчитывается также показатель аритмичности как сумма положительных и отрицательных отклонений в выпуске продукции от плана за каждый день (неделю, декаду). Чем менее ритмично работает предприятие, тем выше показатель аритмичности [22, c.216].

Если известны причины недовыполнения (перевыполнения) плана выпуска продукции по декадам (суткам), можно рассчитать их влияние на показатель аритмичности. Для этого относительное изменение объема производства продукции по данной причине необходимо отнести к общему показателю аритмичности и умножить на 100.

Внутренние причины аритмичности - тяжелое финансовое состояние предприятия, низкий уровень организации, технологии и материально-технического обеспечения производства, а также планирования и контроля, внешние - несвоевременная поставка сырья и материалов поставщиками, недостаток энергоресурсов не по вине предприятия и др. [22, c.217].

В процессе анализа необходимо подсчитать упущенные возможности предприятия по выпуску продукции в связи с неритмичной работой. Это разность между фактическим и возможным выпуском продукции, исчисленном исходя из наибольшего среднесуточного (среднедекадного) объема производства.

Аналогичным образом анализируется ритмичность отгрузки и реализации продукции [7, c.188].

В заключение анализа разрабатывают конкретные мероприятия по устранению причин неритмичной работы.

продукция выпуск качество ассортимент

1.6. Анализ факторов и резервов увеличения выпуска и реализации продукции


Изучив динамику и выполнение плана по реализации продукции и выполнению договоров поставки, необходимо установить факторы изменения ее объема (рис. 2).

Рис. 2. - Основные факторы, влияющие на резервы выпуска и реализации [7, c.181]

Возможны два варианта методики анализа реализации продукции.

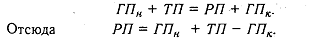
Если выручка на предприятии определяется по отгрузке товарной продукции, то баланс товарной продукции будет иметь вид:


Если выручка определяется после оплаты отгруженной продукции, то товарный баланс можно записать так:


где ГПн, ГПк - соответственно остатки готовой продукции на складах на начало и конец периода; ТП - стоимость выпуска товарной продукции; РП - объем реализации продукции за отчетный период; ОТн ОТк - остатки отгруженной продукции на начало и конец периода.

Расчет влияния данных факторов на объем реализации продукции производится сравнением фактических уровней факторных показателей с плановыми и вычислением абсолютных и относительных приростов каждого из них. Для изучения влияния этих факторов анализируется баланс товарной продукции [7, c.189].

Особое внимание уделяется изучению влияния факторов, определяющих объем производства продукции. Их можно объединить в три группы:

) обеспеченность предприятия трудовыми ресурсами и эффективность их использования;


) обеспеченность предприятия основными производственными фондами и эффективность их использования:


) обеспеченность производства сырьем и материалами и эффективность их использования:


где Дв - доля реализованной продукции (выручки) в общем объеме валовой продукции [11, c.231].

Расчет влияния данных факторов на объем валовой и реализованной продукции можно произвести одним из приемов детерминированного факторного анализа. Затем, зная причины изменения среднегодовой выработки персонала, фондоотдачи и материалоотдачи, следует установить их влияние на выпуск продукции путем умножения их прироста за счет i-го фактора соответственно на фактическую численность персонала, фактическую среднегодовую стоимость основных производственных фондов и фактическую сумму потребленных материальных ресурсов:


Основные источники резервов увеличения выпуска и реализации продукции показаны на рис.3.

Рис. 3 - Источники резервов увеличения объема и реализации продукции

Определение величины резервов по первой группе производится следующим образом:


где

РВПкр, РВПфрв, РВПчв - резерв роста валовой продукции соответственно за счет создания новых рабочих мест, увеличения фонда рабочего времени в связи с сокращением его потерь и повышения среднечасовой выработки; РКР - резерв увеличения количества рабочих мест; РФРВ - резерв увеличения фонда рабочего времени за счет сокращения его потерь по вине предприятия; РЧВ - резерв роста среднечасовой выработки за счет совершенствования техники, технологии, организации производства и рабочей силы; ФРВв - возможный фонд рабочего времени с учетом выявленных резервов его роста [11, c.232].

По второй группе резервы увеличения производства продукции за счет увеличения численности оборудования (РК) времени его работы (РТ) и выпуска продукции за один машино-час (PЧB) рассчитываются по формуле:


По третьей группе резервы увеличения выпуска продукции исчисляются следующим образом:

а) дополнительное количество j-го материала делится на норму его расхода на единицу i-го вида продукции и умножается на плановую цену единицы продукции. Затем результаты суммируются по всем видам продукции:


б) сверхплановые отходы материалов делятся на норму их расхода на единицу i-го вида продукции и умножаются на плановую цену единицы соответствующего вида продукции, после чего полученные результаты суммируются:


в) планируемое сокращение нормы расхода j-го ресурса на единицу i-го вида продукции умножается на планируемый к выпуску объем производства i-го вида продукции, полученный результат делится на плановую норму расхода и умножается на плановую цену данного изделия, после чего подсчитывается общая сумма резерва валовой продукции:


В заключение анализа обобщают выявленные резервы увеличения производства и реализации продукции.

Резервы увеличения выпуска продукции должны быть сбалансированы по всем трем группам ресурсов. Максимальный резерв, установленный по одной из групп, не может быть освоен до тех пор, пока не будут выявлены резервы в таком же размере и по другим группам ресурсов.

При определении резервов увеличения реализации продукции необходимо, кроме данных резервов, учесть сверхплановые остатки готовой продукции на складах предприятия и отгруженной покупателям. При этом следует учитывать спрос на тот или другой вид продукции и реальную возможность ее реализации.

Таким образом, к основным задачам анализа производства и реализации продукции относятся: оценка степени выполнения плана и динамики производства и реализации продукции; определение влияния факторов на изменение величины этих показателей; выявление внутрихозяйственных резервов увеличения выпуска и реализации продукции; разработка мероприятий по освоению выявленных резервов. Объем производства и реализации промышленной продукции может выражаться в натуральных, условно-натуральных, трудовых и стоимостных измерителях. Обобщающие показатели объема производства продукции получают с помощью стоимостной оценки. Основными показателями объема производства служат товарная и валовая продукция.

Валовая продукция - это стоимость всей произведенной, продукции и выполненных работ, включая незавершенное производство. Выражается в сопоставимых и действующих ценах. Товарная продукция отличается от валовой тем, что в нее не включают остатки незавершенного производства и внутрихозяйственный оборот. По своему составу на многих предприятиях валовая продукция совпадает с товарной, если нет внутрихозяйственного оборота и незавершенного производства. Объем реализации продукции определяется или по отгрузке продукции покупателям, или по оплате (выручке). Может выражаться в сопоставимых, плановых и действующих ценах. В условиях рыночной экономики этот показатель приобретает первостепенное значение. Реализация продукции является связующим звеном между производством и потребителем. От того, как продается продукция, какой спрос на нее на рынке, зависит и объем ее производства.

Важное значение для оценки выполнения производственной программы имеют и натуральные показатели объемов производства и реализации продукции (штуки, метры, тонны и т.д.). Их используют при анализе объемов производства и реализации продукции по отдельным видам и группам однородной продукции. Условно-натуральные показатели, как и стоимостные, применяются для обобщенной характеристики объемов производства продукции, например, на консервных заводах используется такой показатель, как тысячи условных банок, на ремонтных предприятиях - количество условных ремонтов, в обувной промышленности - условные пары обуви, исчисленные на основе коэффициентов их трудоемкости и т.д. Резервы увеличения выпуска продукции должны быть сбалансированы по всем трем группам ресурсов. Максимальный резерв, установленный по одной из групп, не может быть освоен до тех пор, пока не будут выявлены резервы в таком же размере и по другим группам ресурсов.

2. Анализ резервов выпуска и реализации продукции ООО "Унитрон Пром"


2.1 Организационно-экономическая характеристика предприятия


Группа компаний "Унитрон" успешно работает на российском рынке уже более 16 лет и является одним из ведущих поставщиков и производителей ингредиентов для предприятий пищевой промышленности, и крупнейшим в России производителем ореховых полуфабрикатов.

За время своей деятельности ООО компания "Унитрон Пром" приобрела опыт успешного сотрудничества с крупнейшими мировыми компаниями-производителями и готовы предложить Клиентам широкий выбор пищевого сырья и ингредиентов.

Также компания "Унитрон Пром" предлагает Клиентам высококачественную продукцию собственного производства:

Обжаренные целые, дробленые, резаные и тертые орехи, бобы и семена

Орехи, бобы и семена в сахаре

Ореховые топпинги и кондитерские полуфабрикаты на основе тертых орехов, семян и бобов.

В настоящий момент компания "Унитрон" является крупнейшим в России производителем жареного дробленого ореха.

В настоящее время компания производит:

арахис обжаренный целый и дробленый (все фракции), тертый, в сахаре (карамели), в гуммиарабике, в сахаре с корицей и какао; арахис резаный лепестками, столбиками;

фундук обжаренный целый и дробленый (все фракции), тертый, в сахаре, в гуммиарабике, в сахаре с корицей и какао; фундук резаный лепестками, столбиками, половинками;

миндаль обжаренный целый и дробленый (все фракции), тертый, в сахаре, в гуммиарабике, в сахаре с корицей и какао; миндаль резаный лепестками, столбиками, половинками;

грецкий орех обжаренный, половинки и дробленый (все фракции), тертый, в сахаре, с корицей и какао;

кешью обжаренный целый и дробленый (все фракции), тертый, в сахаре, с корицей и какао; кешью резаный пластинами (лепестками);

фисташка обжаренная целая и дробленая (все фракции), тертая, в сахаре, в гуммиарабике, с корицей и какао;

ядро абрикосовой косточки обжаренное целое и дробленое (все фракции), тертое, в сахаре, с корицей и какао; ядро резаное лепестками и столбиками;

пекан обжаренный целый и дробленый (все фракции), тертый, в сахаре, с корицей и какао;

орех макадамия обжаренный целый, тертый, в сахаре, с корицей и какао;

кедровый орех обжаренный, в сахаре, в гуммиарабике, в сахаре с какао;

бразильский орех обжаренный целый и дробленый, в сахаре, с корицей и какао; бразильский орех резаный лепестками и столбиками;

подсолнечник кондитерский очищенный обжаренный, тертый, в сахаре, в гуммиарабике, в сахаре с какао;

кунжут обжаренный, кунжут тертый, кунжут в сахаре, кунжут с какао;

кокос дробленый, тертый, в сахаре, с корицей и какао;

мак обжаренный целый, тертый, в сахаре, с како;

лен обжаренный целый и тертый, в сахаре, с корицей и какао;

какао-бобы обжаренные дробленые, тертые и в сахаре;

полуфабрикаты кондитерские на основе тертого ореха (шоколадно-ореховые, кофейно-ореховые, молочно-ореховые);

тертый орех с сахаром (топпинг);

орехи резаные, орехи с солью, орехи соленые, орехи в сахаре, орехи в карамели, орехи с какао;

В число приоритетных задач компании входит обеспечение высокого качества нашего продукта. Строгий контроль проходят все стадии переработки ореха.

В 2003 и 2004 годах контроль условий производства и качества нашей продукции осуществляли специалисты компании NESTLE. Сейчас наша компания находится в списке рекомендованных поставщиков для предприятий концерна NESTLE.

год - внедрение в производство современных систем управления качеством на основе европейских программ контроля качества продукции и обеспечения пищевой безопасности - НАССР.

год - контроль условий производства и качества выпускаемой продукции на новой производственной площадке осуществляли сразу три крупнейших компании: NESTLE, ООО "Хохланд Руссланд" и ООО "Рузская кондитерская фабрика". Результат аудита - продолжение успешного сотрудничества и значительное увеличение поставок на данные предприятия.

год - приобретена и настроена иностранными специалистами новейшая оптическая сортировочная машина для переборки орехов. Машина просматривает каждое ядро ореха с нескольких сторон видеокамерами и инфрокрасными камерами и отбраковывает ядра в скорлупе, прогорклые ядра и посторонние включения. Это позволяет нам выдерживать самые строгие спецификации заказчиков по качеству продукции.

В своем производстве компания "Унитрон Пром" использует сырье только лучшего качества: арахис из Аргентины, Бразилии и Китая, фундук из Турции, Грузии и Азербайджана, миндаль из США, грецкий орех из Украины, фисташку из Ирана, кокос из Индонезии, подсолнечник из Венгрии.

Основные принципы производства:

безопасность персонала;

применение европейских стандартов качества и современных технологий производства;

санитарно-гигиеническая безопасность продукции;

мы не производим типовую продукцию. Сотрудничая с технологами и отделами качества наших заказчиков, мы разрабатываем специальные режимы производства для каждого предприятия и производим продукцию с учетом индивидуальных требований к цвету, размеру, степени обжарки орехового полуфабриката;

внедрение инновационных разработок.

Комплексный подход к изучению интересов заказчиков позволяет компании значительно повысить эффективность производства и планирования поставок готовой продукции и минимизировать возможные издержки клиентов, связанные с ее доставкой.

Своим покупателям компания "Унитрон Пром" предлагает весь комплекс услуг по организации транспортировки продукции во все регионы России и страны СНГ, таможенное оформление груза.

Собственные складские помещения и постоянное наличие на складе всего ассортимента продукции позволяют осуществлять отгрузку и доставку товара в минимальные сроки.

Основной принцип кадровой политики компании - привлечение лучших специалистов отрасли. Рабочая обстановка в компании способствует раскрытию способностей каждого сотрудника, реализации его потенциала, опыта и знаний. В настоящее время персонал компаний, входящих в Группу, насчитывает более 200 человек. Все ключевые специалисты имеют опыт работы в предметной области не менее 5 лет.

Директор компании "Унитрон Пром" - Булаткин Николай Борисович - возглавляет компании с момента их основания.

Успешное руководство обусловлено во многом стремлением к повышению профессионального уровня и получению специальных знаний.

Стабильность положения группы компаний "Унитрон" на рынке пищевого сырья, высокое качество продукции неоднократно подтверждается наградами и дипломами:

год, Москва - диплом выставки " INTERSWEETS - 99";

год, Москва - диплом выставки "Мороженое и индустрия холода 2000";

год, Москва - диплом выставки "Мороженое и индустрия холода 2001";

год, Москва - диплом выставки "Мороженое, замороженные продукты индустрия холода 2002";

бронзовая медаль (за качество орехов: арахиса и фундука) в конкурсе сырья и ингредиентов на выставке "Мороженое и индустрия холода 2002";

год, Москва - серебряная медаль (за миндаль обжаренный дробленый) в конкурсе сырья и ингредиентов для мороженого на первой специализированной выставке "Мир мороженого и холода 2003";

год, Москва - серебряная медаль (за миндаль обжаренный) в конкурсе сырья и ингредиентов для мороженого на второй международной специализированной выставке "Мир мороженого и холода 2004";

поощрительный диплом (за фисташковую пасту) седьмой международной выставки "Пищевые ингредиенты, добавки и пряности 2004";

год, Москва - серебряная медаль (за фисташку обжаренную) в конкурсе сырья и ингредиентов для мороженого на третьей международной специализированной выставке "Мир мороженого и холода 2005";

год, Москва - золотая медаль (за грецкий орех в сахаре) в конкурсе сырья и ингредиентов для мороженого на четвертой международной специализированной выставке "Мир мороженого и холода 2006";

год, Москва - серебряная медаль в номинации "Инновационный продукт: разработка" (за фундук обжаренный дробленый в карамели) девятой международной выставки "Пищевые ингредиенты, добавки и пряности 2006";

год, Москва - золотая медаль в номинации "Инновационный продукт: разработка" (за орех в гуммиарабике) десятой международной выставки "Пищевые ингредиенты, добавки и пряности 2007";

год, Москва - серебряная медаль (за орех в гуммиарабике) в конкурсе "Лучший продукт 2008" в рамках 15-ой международной выставки "ПродЭкспо 2008".

Компания "Унитрон Пром" гордится, что среди наших клиентов есть известные производители с мировым именем:

Концерн SCHWARTAU - поставки арахиса, фундука, миндаля, кунжута для производства шоколадных паст, глазурей.

Компания MARS - поставки фундука, поставки подсолнечника обжаренного для шоколадного батончика "Сникерс с подсолнечником"

Компания NESTLE - поставки арахиса, фундука, миндаля для кондитерских изделий, поставки грецкого ореха для мороженого "Экстрим"

Кондитерское объединение "СладКо" - поставки арахиса, фундука, миндаля для шоколада и конфет.

ООО "Объединенные кондитеры" - поставки арахиса, фундука, миндаля, заменителя какао-масла, кокосового масла.

За время своей деятельности мы приобрели опыт успешного сотрудничества с крупнейшими мировыми компаниями-производителями и рады предложить Клиентам широкий выбор пищевого сырья и ингредиентов.

Основные показатели деятельности предприятия за 2006 - 2008 год представлены в таблице 1.

Таблица 1

Результаты финансовой деятельности ООО "Унитрон Пром", 2006 - 2008 гг., тыс. руб.

Показатель

2006 г.

2007 г.

2008 г.

2007/2006

2008/2007





Абс.

Отн.,

Абс.

Отн.,%






%



1

 2

 3

 4

 5

 6

 7

8

Выручка от продажи работ, услуг

243034

336857

336271

93823

138,60%

-586

99,83%

Валовая прибыль

4672

8868

13969

4196

189,81%

5101

157,52%

Прибыль (убыток)

4622

8850

13949

4228

191,48%

5099

157,62%

Прочие доходы

4061

2697

1541

-1364

66,41%

-1156

57,14%

Прибыль (убыток) до налогообложения

4340

7892

13021

3552

181,84%

5129

164,99%

Чистая прибыль отчетного периода

3373

5778

9472

2405

171,30%

3694

163,93%


Согласно данным финансовой отчетности и результатам расчета абсолютных и относительных отклонений предприятие имеет стабильную динамику выручки от реализации работ и услуг, значительные показатели роста по основным видам доходов.

Валовая выручка предприятия растет на 38,6% в относительном выражении в 2006 - 2007 гг., в течение 2007 - 2008 гг. незначительно сокращается (на 586 тыс. руб.) или 0,17% в относительном выражении. Чистая прибыль предприятия растет на 2405 тыс. руб., или 71,3% в течение 2006 - 2007 гг., в течение 2007 - 2008 гг. - на 3694 тыс. руб., или 63,93%. Таким образом, в течение периода анализа работы предприятия чистая прибыль предприятия растет на 38,36% в пересчете за три года анализа.

Рис. 1 - Динамика валовой выручки и чистой прибыли предприятия, 2006 - 2008 гг., тыс. руб.

Таким образом, предприятие обладает развитой структурой, системой управления и имеет положительные резервы роста, так как имеет развитую структуру и сеть филиалов и представляет на рынке услуг востребованный вид услуги.

2.2 Анализ программы выпуска продукции


В соответствии с данными о планировании продукции рассчитаем процент выполнения производства продукции в течение периода анализа.

Таблица 2

Анализ планового и фактического объема производства продукции, тыс. руб.

Показатель

2006

2007

2008


план

факт

К вып. плана

план

факт

К вып. плана

план

факт

К вып. плана

Объем производства в отпускных ценах

223456

243034

1,09

298765

336857

1,13

338760

336271

0,99













В соответствии с результатам сравнительного анализа планируемых и фактических объемов выпуска в течение периода анализа можно отметить, что коэффициент выполнения плана в течение 2006 - 2007 гг. больше единицы, что свидетельствует о перевыполнении плана, на 9 и 13% соответственно, коэффициент выполнения плана в 2008 году свидетельствует о недовыполнении плана на 1% по результатам года.

Далее рассмотрим особенности выпуска продукции по наименованиям ассортимента. Динамика выпуска продукции по основным группам ассортимента представлена в таблице 3.

Таблица 3

Объем выпускаемой продукции ООО "Унитрон Пром"

Наименование товарной группы

Объем продаж за год

Отклонение

Процент роста


 2007

2008

114563

115178

615

100,54%

Грецкий орех

81112

81302

190

100,23%

Фундук

60986

60977

-9

99,99%

Миндаль

38764

37264

-1500

96,13%

Фисташка

31098

30488

-610

98,04%

Кешью

11872

11062

-810

93,18%

Итого

336857

336271

-586

99,83%


Таким образом, в соответствии с данными таблицы понятно, что общее снижение объемов производства в стоимостном выражении составило 586 тыс. руб. При этом рост объемов продаж произошел по группам: арахис, грецкий орех, по остальным позициям ассортимента происходит снижение объемов выручки и реализации - рис. 2.

Рисунок 2 - Динамика объемов продаж по основным товарным группам, 2007-2008 гг.

Согласно представленным данным объем продаж по основным группам продукции происходит снижение выпуска на 586 тыс. руб., что, тем не менее, составляет менее 1% от объема выпуска в денежном выражении. Если рассматривать динамику выпуска по видам продукции, то в течение периода наблюдается рост выручки только по группам арахиса и грецкого ореха.

Для определения динамики объемов рассмотрим выпуск продукции в натуральном выражении - таблица 4.

Таблица 4

Динамика объемов выпуска продукции в натуральном выражении, 2007 - 2008 гг., тонн

Наименование продукции

2007

2008

Отклонение

Арахис

1332,13

1238,47

-93,65

Грецкий орех

306,08

284,27

-21,81

Фундук

290,41

278,43

-11,98

Миндаль

140,45

131,21

-9,24

Фисташка

105,42

102,31

-3,11

Кешью

39,57

34,57

-5,00

Итого

2214,06

2069,27

-144,79


Таким образом, в соответствии с данными таблицы в течение периода 2007 - 2008 гг. произошло снижение объемов производства по всем наименованиям продукции. В связи с этим можно сделать вывод о том, что основной факторы роста объемов выручки по двум названным товарным группам - рост цен реализации на продукцию.

Рисунок 3 - Динамика объемов производства продукции в натуральном выражении, 2007 - 2008 гг., тонн

В соответствии с этим для анализа величины факторов, оказавших влияние на формирование выручки по группам, по которым произошло увеличение выручки, составим таблицу - таблица 5.

Таблица 5. Данные для факторного анализа, 2007 - 2008 гг.


Цена базовая

Цена отчетная

Количество базовое, тонн

Количество отчетное, тонн

Выручка от реализации






 Базовый период

Отчетный период

Арахис

86

93

1332,13

1238,47

114563

115178

Грецкий орех

265

286

306,08

284,27

81112

81302


Для определения влияния фактора рассчитаем общее изменение выручки за период:

Арахис = 115 178 - 114 563 = 615 тыс. руб.

Грецкий орех = 81 302 - 81 112 = 190 тыс. руб.

Далее рассчитаем выручку исходя из объемов базового периода:

Арахис = 93 * 1332,13 = 123 888,09 тыс. руб.

Грецкий орех = 286 *306,08 = 87 538, 88 тыс. руб.

Таким образом, влияние снижения объемов производства на итоговую выручку негативное:

Арахис = 115 178 - 123 888,09 = - 8710,09 тыс. руб.

Грецкий орех = 81 302 - 87 538, 88 = - 6236,88 тыс. руб.

Далее рассмотрим влияние роста цен на объемы выручки:

Арахис = 86 * 1238,47 = 106 508,42 тыс. руб.

Грецкий орех = 265 *284,27 = 75 331,55 тыс. руб.

Влияние роста цен на объемы выручки положительное:

Арахис = 115 178 - 106 508,42 = + 8669,58 тыс. руб.

Грецкий орех = 81 302 - 75 331,55 = + 5970,45 тыс. руб.

Таким образом, в соответствии с данными факторного анализа выручки продукции, по которым в 2008 году наблюдается рост валовой выручки, понятно, что основным фактором увеличения выручки является рост цен на продукцию, а не увеличение объемов сбыта. Возможны два варианта методики анализа реализации продукции. Если выручка на предприятии определяется по отгрузке товарной продукции, то баланс товарной продукции будет иметь вид:

. Отсюда

Если выручка определяется после оплаты отгруженной продукции, то товарный баланс можно записать так:

Отсюда


где , - соответственно остатки готовой продукции на складах на начало и конец периода;

ТП - стоимость выпуска товарной продукции;

РП - объем реализации продукции за отчетный период;

,  - остатки отгруженной продукции на начало и конец периода.

Расчет влияния данных факторов на объем реализации продукции производится сравнением фактических уровней факторных показателей с плановыми и вычислением абсолютных и относительных приростов каждого из них.

Для изучения влияния этих факторов анализируется баланс товарной продукции. Составим его на примере одного из видов продукции - фундука (табл.6).

Таблица 6

Анализ факторов изменения объема реализации продукции "Фундук очищенный"

Показатель

Сумма в плановых ценах, тыс. руб.


план

факт

+, -

1. Остаток готовой продукции на начало года

2000

2000

-

2. Выпуск товарной продукции

96000

100800

+4800

3. Остаток готовой продукции на конец года

2200

3545

+1345

4. Отгрузка продукции за год (п.1+п.2-п. З)

95800

99255

+3455

5. Остаток товаров, отгруженных покупателям: 5.1 на начало года 5.2 на конец года

4450 5000

4500 7155

+50 +2155

6. Реализация продукции (п.4+п.5.1-п.5.2)

95250

96600

+1350


Из таблицы видно, что план реализации продукции перевыполнен за счет увеличения ее выпуска и сверхплановых остатков товаров, отгруженных покупателям на начало года. Отрицательное влияние на объем продаж оказали следующие факторы: увеличение остатков готовой продукции на складах предприятия, а также рост остатков отгруженных товаров на конец года, оплата за которые не поступила еще на расчетный счет предприятия. Поэтому в процессе анализа необходимо выяснить причины образования сверхплановых остатков на складах, несвоевременной оплаты продукции покупателями и разработать конкретные мероприятия по ускорению реализации продукции и получению выручки.

2.3 Анализ ритмичности работы предприятия


Далее важно рассчитать коэффициент ритмичного выпуска продукции (К), который определяется по формуле:

К = åV / åV (1)

где V - сумма фактического объема выпуска продукции за сутки в пределах плана;

V - сумма планируемых объемов выпуска продукции за те же сутки

Расчет этого показателя осуществляется по таблице 7.

Таблица 7

Расчет коэффициента ритмичности

Показатели работы 2008г.

Ед. изм.

Дни недели

Всего




1

2

3

4

5

за пятидневку

1

Выпуск продукции по плану

Тыс. руб.

200

210

190

210

200

1100

2

Фактический выпуск продукции

Тыс. руб.

220

200

180

190

210

1000

 3

 Коэффициент ритмичности

 

1,1

0,95

0,94

0,90

1,05

0,90


По коэффициенту ритмичности можно судить о том, что предприятие работает ритмично, т.к. коэффициент приближается к 1.

В соответствии с проведенным анализом сделаем вывод о том, что коэффициенты ритмичности и анализ соотношения динамики изготовленной продукции и продукции, которая планировалась к изготовлению, позволяет говорить о налаженной системе производственного планирования и выполнения программы производства.

2.4 Анализ качества реализуемой продукции


На следующем этапе важно оценить также качество реализуемой продукции как важный фактор, оказывающий влияние на объемы реализации.

Таблица 8

Анализ обобщающих показателей качества продукции

Показатель

2007 г.

2008 г.


план

факт

Средневзвешенный балл качества продукции Удельный вес, %: продукции высшей категории качества; экспортируемой продукции; забракованной продукции; зарекламированной продукции; Потери от брака, млн. руб.

 0,70  75 12,5 0,55 0,30 450

 0,75  76 15,6 0,40 0,25 350

 0,74  78 15,7 0,50 0, 20 420


По продукции, качество которой характеризуется сортом или кондицией, рассчитываются доля продукции каждого сорта (кондиции) в общем объеме производства, средний коэффициент сортности, средневзвешенная цена изделия в сопоставимых условиях. При оценке выполнения плана по первому показателю фактическую долю каждого сорта в общем объеме продукции сравнивают с плановой, а для изучения динамики качества - с данными прошлых периодов. Средний коэффициент сортности можно определить двумя способами: отношением количества продукции I сорта к общему количеству; отношением стоимости продукции всех сортов к возможной стоимости продукции 1 сорта (табл.9):


Таблица 9

Анализ качества продукции "Фундук очищенный"

Сорт продукции

Цена за 1 т, тыс. руб.

Выпуск продукции, тонн

Стоимость выпуска, тыс. руб.



план

факт

план

факт

по цене I сорта







План

факт

I II III

350 300 250

200 55 38

160 100 59,2

70000 16500 9500

56000 30000 14800

70000 19250 13300

56000 35000 20720

Итого

900

5760

5040

96000

100800

102250

111720


Отсюда коэффициент сортности: по плану - 0,939 (96 000/ /102 250), фактически - 0,902 (100 800/111720). Выполнение плана по качеству - 96 % (0,902/0,939). Средневзвешенная цена по плану - 330 тыс. руб., фактически - 350 тыс. руб., что по отношению к плану составляет 106 %. Таким образом, важным для предприятия направлением повышения эффективности работы и объемов сбыта является рост качества продукции.

Таким образом, согласно результатам анализа анализируемое предприятие обладает развитой структурой, системой управления и имеет положительные резервы роста, так как имеет развитую структуру и сеть филиалов и представляет на рынке услуг востребованный вид услуги. В соответствии с результатам сравнительного анализа планируемых и фактических объемов выпуска в течение периода анализа можно отметить, что коэффициент выполнения плана в течение 2006 - 2007 гг. больше единицы, что свидетельствует о перевыполнении плана, на 9 и 13% соответственно, коэффициент выполнения плана в 2008 году свидетельствует о недовыполнении плана на 1% по результатам года. Коэффициенты ритмичности и анализ соотношения динамики изготовленной продукции и продукции, которая планировалась к изготовлению, позволяет говорить о налаженной системе производственного планирования и выполнения программы производства. Согласно результатам анализа понятно, что план реализации продукции перевыполнен за счет увеличения ее выпуска и сверхплановых остатков товаров, отгруженных покупателям на начало года. Отрицательное влияние на объем продаж оказали следующие факторы: увеличение остатков готовой продукции на складах предприятия, а также рост остатков отгруженных товаров на конец года, оплата за которые не поступила еще на расчетный счет предприятия. Поэтому в процессе анализа необходимо выяснить причины образования сверхплановых остатков на складах, несвоевременной оплаты продукции покупателями и разработать конкретные мероприятия по ускорению реализации продукции и получению выручки.

В соответствии с результатами анализа понятно, что основными направлениями повышения эффективности работы предприятия являются: изменение состава и структуры ассортимента, выполнение планов на перспективу, повышение качества продукции.

3. Разработка рекомендаций по оптимизации выпуска и реализации продукции


3.1 Выявление резервов повышения эффективности выпуска и реализации продукции


В соответствии с результатами анализа выделяются две основные группы резервов повышения выпуска и реализации продукции - это, собственно, резервы выпуска продукции и резервы повышения эффективности реализации.

Согласно особенностям проведенного анализа можно выявить следующие резервы:

. Резервы повышения эффективности выпуска продукции:

.1 Повышение производительности оборудования

.2 Повышение эффективности использования фонда рабочего времени оборудования.

. Резервы сокращения нереализованной продукции.

.1 Выбор поставщиков сырья и сокращение транспортных издержек и стоимости сырья.

.2 Поиск новых рынков сбыта

Основными направлениями и резервами роста объемов выпуска и реализации в соответствии с названными направлениями являются:

повышение эффективности работы оборудования;

поиск новых рынков сбыта.

Проведем в соответствии с этим анализ эффективности использования оборудования.

Для исследования эффективности времени работы оборудования важно рассчитать коэффициент сменности по цехам.

Таблица 10

Расчет уровня целосменного использования оборудования

Название цеха

Коэффициент сменности, %


2007 г.

2008 г.

Приемно-аппаратный цех

50,0

56,0

Цех обработки

87,5

66,7

Цех дробления

33,0

46,0

Цех фасовки

75,0

87,5


Рисунок 4 - Динамика коэффициента сменности оборудования по цехам, 2007 - 2008 гг.

В соответствии с данными анализа видно, что в течение периода анализа практически по всем цехам, за исключением цеха обработки, коэффициенты сменности увеличились, что связано с вводом нового оборудования, соответственно, резервы мощности оборудования для повышения объемов выручки у предприятия имеются.

Для расчета коэффициентов загрузки оборудования рассчитаем основные коэффициенты загрузки. Данные для расчета и результативный показатель представлены в таблице 11.

Таблица 11

Расчет коэффициента интегральной загрузки ООО "Унитрон Пром"

Название цеха

Коэффициент использования планового фонда времени

Коэффициент интенсивной загрузки

Коэффициент интегральной загрузки


2007 г.

2008 г.

2007 г.

2008 г.

2007 г.

2008 г.

Приемно-аппаратный цех

99

99,3

95,2

97,3

94,2

96,6

Цех обработки

99,8

99,8

92,6

96,4

92,4

96,2

Цех дробления

98,7

99,2

90,0

100

88,3

99,2

Цех фасовки

99,6

99,7

96,0

96,6

95,6

96,3


Таким образом, в соответствии со значением коэффициента обобщающего показателя, комплексно характеризующего использование оборудования, увеличилось в 2008 году во всех производственных цехах.

В соответствии с результатами анализа 2008 году фактическое время, затраченное на производство продукции, стало более соответствовать плану, значения коэффициента достигло уровня 96,2% -99,2%, в прошлом году значения коэффициента соответствовали уровню 88,3% -95,6%.

Далее необходимо изучить более детально использование отдельных видов машин и оборудования. Для анализа работы оборудования используется система показателей, характеризующих использование его численности, времени работы и мощности.

В соответствии с этим был проведен анализ степени привлечения наличного оборудования в производство по каждому цеху. Исходная информация по количеству действующего оборудования, установленному и наличному, в стоимостном и количественном выражении представлена в таблице 12.

Таблица 12

Исходная информация для анализа использования технологического оборудования ООО "Унитрон Пром"

Группы оборудования (ед.)

2007 г.

2008 г.

Отклонение (ед.)

Стоимость оборудования, тыс. руб.





На 12.01 2007 г.

На 12.01 2008 г.

Наличное

223

252

29

39868

42508

Установленное

221

249

28

39153

41977

198

236

38

39069

42210


В 2008 году количество всех видов оборудования возросло по сравнению с 2007 годом. Наличное оборудование увеличилось на 29 единиц и составило 252 единицы. Увеличение количества оборудования объясняется покупкой новых машин и агрегатов, однако такое увеличение можно оценить неоднозначно. С одной стороны, привлечение нового оборудования - это безусловно положительный момент, но в данном случае отрицателен тот факт, что в 2008 году, как и в 2007 году было введено в эксплуатацию не все наличное оборудование. Такая ситуация объясняется тем, что старое оборудование находится на консервации, а новое - требующее монтажа не устанавливается.

Величина неустановленного оборудования из числа наличного незначительна: 2 и 3 единицы соответственно, но, учитывая, что из числа введенного в эксплуатацию в 2007 году, из 221 машины фактически функционирует 198, а в 2008 году из установленных 249 машин работали всего 236, то количество пригодного и неиспользуемого оборудования возрастает.

Уменьшение количества действующего оборудования из числа установленного объясняется, чаще всего, выходом из строя оборудования и длительным ремонтом.

В этом случае, необходимо усилить контрольную функцию управления за эксплуатацией и сохранностью производственного оборудования. Своевременное исправление неполадок, качественный ремонт позволит увеличить срок службы объекта и уменьшить риск бездействия оборудования.

Таким образом, согласно особенностям представленных данных понятно, что мощности предприятия, наличие оборудования и производственных площадей в полной мере позволяет повысить эффективность работы предприятия и объемы выработки.

3.2 Использование возможностей АВС-анализа для оптимизации структуры выпуска


Для определения приоритетных направлений повышения эффективности производства продукции необходимо выделить наиболее перспективные товарные группы. Компания рано или поздно оказывается перед дилеммой - стараться максимально угодить клиенту и держать широкий ассортимент и большой товарный запас или следить за рентабельностью вложений в ассортимент и в склад, с тем, что бы можно было дальше развиваться. Налицо противоречие между двумя задачами - максимально удовлетворить наибольшее число клиентов или сделать компанию максимально рентабельной.

Какой ассортимент необходим для удовлетворения потребностей покупателей? Какие формы работы с ассортиментом обеспечат максимальную отдачу вложенных средств? Эффективное управление запасами отвечает на эти вопросы и приводит компанию к тому, что ассортимент наиболее полно отвечает всем потребностям клиентов и оптимизирует ресурсы предприятия [26, c.23].

Оговоримся сразу, что существует достаточное количество методов, позволяющих анализировать ассортимент и товарные запасы. Мы выбрали те, которые кажутся нам не только эффективными, но и применимыми на практике.

Предложенные в этой части работы методы практичны, просты, информативны и очень активно применяются многими успешными компаниями. Однако мы уверены так же и в том, что нет пользы в сложной математической формуле, если нельзя переложить ее на простой язык элементарной таблицы Excel - далеко не все специалисты, работающие с ассортиментом, имеют высшее математическое образование. Именно отсутствие внятного и простого инструмента ограничивает широкое распространение подобных методов. Мы поставили своей целью на простых примерах показать методику применения наиболее популярных математических методов анализа ассортимента [11, c.24].

Для того, что бы любой анализ был эффективен необходимо, чтобы данные, лежащие в его основе, точны и доступны для структурирования. Ассортимент должен иметь понятную структуру, информационная база данных должна быть достаточно современна и конечно, наш персонал должен уметь обращаться с этой системой. Также многое зависит от того, правильно ли ведется учет движения товаров.

Приведя в порядок общую структуру, мы можем взяться за анализ ассортимента. Для этого мы рассмотрим подробно методику проведения АВС - и XYZ-анализа.

С помощью АВС-анализа можно анализировать вклад товара в результат работы магазина, а XYZ-анализ дает нам информацию о стабильности продаж товара.

Один из универсальных и распространенных методов анализа ассортимента является метод АВС-анализа. АВС-анализ ("а-бэ-цэ"-анализ) нельзя путать с бухгалтерским Abc-анализом (читается "эй-би-си"-анализ и переводится как "activity-based costing" - "расчет себестоимости на основе разнесения затрат по видам деятельности").

АВС-анализ основывается на так называемом принципе Парето, говорящем о том, что за 20% последствий отвечает 80% причин. На самом деле, основателем идеи явился доктор Джозеф Джуран, обнаруживший универсальный принцип, который он назвал "vital few and trivial many" (важного - мало, обычного - много). Правило 20/80 означает, что в любом процессе малое число причин (20%) жизненно важны, а 80% не оказывают существенного влияния на результат.

Управленцы и люди творческих профессий знают, что 20% результатов (первые и последние 10%) отнимают 80% времени и сил. Принцип Парето можно применить практически к любой сфере бизнеса:

% материальных благ приходятся на 20% населения (соответственно, остальные 80% людей довольствуются 1/5 частью материальных богатств, имеющихся у человечества).

за 20% рабочего времени делается 80% работы

% клиентов приносят компании 80% дохода

% товарных запасов поставляются 20% поставщиков,

% товарных запасов занимают 80% склада,

% дефектов вызывают 80% проблем.

% объема продаж обеспечивается 20% продавцов,

и так далее [11, c.24].

Важно, что данное правило является эмпирическим - конкретная пропорция может оказаться иной - не 80/20, а, например, 90/10 или 67,48/32,52. Правило Парето указывает именно на значительное отклонение от пропорции 50/50 в различных системах, а не конкретную величину отклонения. Но пропорция "20/80" все же является универсальным термином и мы примем ее для простоты формулировки.

Для нас ценность правила Парето заключается в том, что эта идея позволяет сосредоточиться на тех 20%, которые действительно важны. Из этих 20% проистекает 80% будущих результатов. И метод АВС-анализа позволяет определить наиболее приоритетные позиции, "звезды" в ассортименте компании или магазина, выделить аутсайдеров и показать, что является базовым ассортиментом.

По сути, АВС-анализ - это ранжирование ассортимента по разным параметрам. Мы далее будем говорить об ассортименте компании. Однако ранжировать таким образом можно и поставщиков, и складские запасы, и покупателей, и длительные периоды продаж - все, что имеет достаточное количество статистических данных.

В рамках общего рейтингового списка выделяют три группы объектов - А, В и С, которые отличаются по своей значимости и вкладу в оборот или прибыль магазина (в зависимости от выбранного результата. Под словом "результат" мы в дальнейшем будем подразумевать или прибыль, или оборот):

Товары А - самые важные товары, приносящие первые 50% результата.

Товары В - "средние" по важности, приносящие еще 30% результата.

Товары С - "проблемные" товары, приносящие остальные 20% результата [26, c.25].

Такое соотношение процентов как раз и обусловлено правилом Парето - мы выделяем главные 80% результата (у нас это выделено как 50 + 30, но можно использовать и другие пропорции, например, 70 + 10, или 65 + 15) и оставшиеся 20%.








Рисунок 5 - Данные АВС-анализа на графике

Порядок проведения АВС-анализа:

шаг. Выбираем объект анализа (что будем анализировать? Ассортимент? Поставщиков? Клиентов?) и параметр (по какому признаку будем анализировать? По обороту? По прибыли? По оборачиваемости?). Обычно объектами АВС-анализа являются товарные группы, товарные категории и товарные позиции. Каждый из этих объектов имеет разные параметры описания и измерения: объем продаж (в денежном или количественном выражении), доход (в денежном выражении), товарный запас, оборачиваемость и т.д.

шаг. Составляем рейтинговый список объектов по убыванию значения параметра (вверху располагаются товары с наибольшей долей в обороте, внизу списка - с наименьшей).

шаг. Выделяем группы А, В или С. Для этого необходимо:

         рассчитать долю параметра от общей суммы параметров с накопительным итогом.

-        присвоить значения групп выбранным объектам.

Доля с накопительным итогом высчитывается путем прибавления параметра к сумме предыдущих параметров [26, c.26].

В соответствии с этим проведем анализ особенностей ассортимента компании посредством АВС-анализа.

Таблица 13

АВС-анализ продаж компании

Наименование товарной группы

Объем продаж за год

Процент из общего оборота

Кумулятивный процент

Арахис

115178

34,00%

34,00%

Грецкий орех

81302

24,00%

58,00%

Фундук

60977

18,00%

76,00%

Миндаль

37264

11,00%

87,00%

Фисташка

30488

9,00%

96,00%

Кешью

13550

4,00%

100,00%

Итого

338760

100,00%

 


В соответствии с результатом анализа понятно, что в группу А входят арахис, грецкий орех и фундук. Данная группа приносит предприятию 76% объема прибыли. Второй по значимости группой является группа В, в которую входит миндаль и фисташка. Именно на эти группы и рост их продаж должна быть направлена стратегия реализации, рекламная стратегия и маркетинговые исследования, результаты которых могут стать основой повышения спроса на продукцию предприятия.

Рисунок 6 - Результаты АВС-анализа продукции предприятия

В соответствии с результатами исследования необходимо основные усилия по повышению продаж направить на товарную группу А и В. Это возможно посредством размещения рекламных и имиджевых материалов, определения основных преимуществ и пользы продукции. Пример подобного материала для потребителей представлен в Приложении к работе. Он может быть размещен на сайте компании, в рекламных буклетах и проспектах.

4. Расчет экономической эффективности мероприятий


Экономическая эффективность разработанных мероприятий может быть определена посредством использования трендового анализа. Предполагается, что в результате использования предлагаемых мероприятий выпуск продукции будет расти в 10% в год. Тогда объемы продаж составят - рис.7.

Рисунок 7 - Трендовый анализ выручки от продаж, 2006 - 2011 гг.

В соответствии со значением величины коэффициента аппроксимации более достоверной для прогноза является линия полиномиального тренда, в связи с этим прибыль на 2012 год рассчитывается следующим образом:

= - 2060,1x2 + 50605x + 210883

у = - 2060,1x72 + 50605*7 + 210883 = 464173,1 руб. -

таким образом, прибыль предприятия растет, в соответствии с чем можно сделать вывод о целесообразности использования разработанных мероприятий.

Заключение


Таким образом, проведенное исследование позволяет сделать следующие выводы.

Объем производства и реализации продукции являются взаимозависимыми показателями. В условиях ограниченных производственных возможностей и неограниченном спросе на первое место выдвигается объем производства продукции. Но по мере насыщения рынка и усиления конкуренции не производство определяет объем продаж, а наоборот, возможный объем продаж является основой разработки производственной программы. Предприятие должно производить только те товары и в таком объеме, которые оно может реально реализовать.

Темпы роста объема производства и реализации продукции, повышение ее качества непосредственно влияют на величину издержек, прибыль и рентабельность предприятия.

Его основные задачи:

оценка степени выполнения плана и динамики производства и реализации продукции;

определение влияния факторов на изменение величины этих показателей;

выявление внутрихозяйственных резервов увеличения выпуска и реализации продукции;

разработка мероприятий по освоению выявленных резервов.

Резервы увеличения выпуска продукции должны быть сбалансированы по всем трем группам ресурсов. Максимальный резерв, установленный по одной из групп, не может быть освоен до тех пор, пока не будут выявлены резервы в таком же размере и по другим группам ресурсов.

При определении резервов увеличения реализации продукции необходимо, кроме данных резервов, учесть сверхплановые остатки готовой продукции на складах предприятия и отгруженной покупателям. При этом следует учитывать спрос на тот или другой вид продукции и реальную возможность ее реализации.

Изучив динамику и выполнение плана по реализации продукции и выполнению договоров поставки, необходимо установить факторы изменения ее объема.

В соответствии с этим в аналитической части исследования проведен анализ резервов выпуска и реализации продукции общества с ограниченной ответственностью "Унитрон Пром".

Группа компаний "Унитрон" успешно работает на российском рынке уже более 16 лет и является одним из ведущих поставщиков и производителей ингредиентов для предприятий пищевой промышленности, и крупнейшим в России производителем ореховых полуфабрикатов.

За время своей деятельности ООО компания "Унитрон Пром" приобрела опыт успешного сотрудничества с крупнейшими мировыми компаниями-производителями и готовы предложить Клиентам широкий выбор пищевого сырья и ингредиентов.

В соответствии с результатом анализа понятно, что в группу А входят арахис, грецкий орех и фундук. Данная группа приносит предприятию 76% объема прибыли. Второй по значимости группой является группа В, в которую входит миндаль и фисташка. Именно на эти группы и рост их продаж должна быть направлена стратегия реализации, рекламная стратегия и маркетинговые исследования, результаты которых могут стать основой повышения спроса на продукцию предприятия.

В соответствии с результатами исследования необходимо основные усилия по повышению продаж направить на товарную группу А и В. Это возможно посредством размещения рекламных и имиджевых материалов, определения основных преимуществ и пользы продукции. Пример подобного материала для потребителей представлен в Приложении к работе. Он может быть размещен на сайте компании, в рекламных буклетах и проспектах.

Глоссарий


Валовая продукция - это стоимость всей произведенной продукции и выполненных работ, включая незавершенное производство. Выражается в сопоставимых и действующих ценах.

Качество продукции - понятие, которое характеризует параметрические, эксплуатационные, потребительские, технологические, дизайнерские свойства изделия, уровень его стандартизации и унификации, надежность и долговечность.

Коэффициент вариации (Kв) определяется как отношение среднеквадратического отклонения от планового задания за сутки (декаду, месяц, квартал) к среднесуточному (среднедекадному, среднемесячному, среднеквартальному) плановому выпуску продукции:

Оперативный анализ производства и отгрузки продукции осуществляется на основе расчета, в котором отражаются плановые и фактические сведения о выпуске и отгрузке продукции по объему, ассортименту, качеству за день, нарастающим итогом с начала месяца, а также отклонение от плана.

Среднегодовой темп роста (прироста) выпуска и реализации продукции можно рассчитать по среднегеометрической или среднеарифметической взвешенной.

Товарная продукция отличается от валовой тем, что в нее не включают остатки незавершенного производства и внутрихозяйственный оборот. По своему составу на многих предприятиях валовая продукция совпадает с товарной, если нет внутрихозяйственного оборота и незавершенного производства.

Список использованных источников литературы


1. Абрютина М.С. Анализ финансово-экономической деятельности предприятия. - Москва. "Филин", 2009. - 563с.

2. Анализ финансовой отчетности: Учебник. /Под ред. М.А. Вахрушиной, Н.С. Пласковой. - М.: Вузовский учебник, 2008. - 367с.

3. Артеменко В.Г. Финансовый анализ: учебное пособие. - 2-е издание/ Артеменко В.Г. Беллендир М.В., переработанное. - Москва-Новосибирск: Дело и Сервис, 2010. - 152с.

4. Астахов В.П. Бухгалтерский (финансовый) учет: Учеб. пособие. М.: ПРИОР, 2007. - 842с.

5. Баканов М.И., Шеремет А.Д. Теория экономического анализа. - М.: Финансы и статистика, 2009. - 562с.

6. Бернстайн Л.А. Анализ финансовой отчетности: Пер. с англ. - М.: Финансы и статистика, 2009. - 663с.

7. Быкадоров В.Л., Алексеев П.Д. Финансово-экономическое состояние предприятия. - М.: "ПРИОР", 2010. - 563с.

8. Вахрушина М.А., Антонова О.В., Друцкая М.В., Рощина Т.И., Сулимов М.И. и др. Комплексный экономический анализ хозяйственной деятельности. - М.: Бухгалтерский учет, 2009. - 784с.

9. Волков Н.Г. Чистая прибыль, резервы и фонды: формирование и использование, бухгалтерский учет, проводки и примеры. Издание второе. - "Филин", 2009. - 412с.

10.Грачёв А.В. Анализ и управление финансовой устойчивостью предприятия: Учебно-практическое пособие. - М.: Финпресс, 2009. - 512с.

11.Гришина А.Н. Товарный ассортимент промышленного предприятия: АВС - анализ. // Финансовый директор. - 2010. - №4. - С.23 - 25.

12.Донцова Л.В., Никифорова Н.А. Анализ бухгалтерской отчетности. - М.: Издательство "ДИС", 2010. - 605с.

13.Ефимова О.В. Финансовый анализ. - М.: Финансы и статистика, 2007. - 528с.

14.Калинина О.Н. Структура ассортимента и динамика прибыли предприятия. // Финансовый директор. - 2010. - №4. - С.11 - 13.

15.Ковалева А.М., Лапуста М.Г., Скамай Л.Г. Финансы фирмы. - М.: ИНФРА-М, 2008. - 554с.

16.Ковалев В.В. Финансовый анализ. - М.: Финансы и статистика, 2010. - 653с.

17.Комплексный экономический анализ хозяйственной деятельности: Учебное пособие. /Под ред. д. э. н., проф. М.А. Вахрушиной. - М.: Вузовский учебник, 2009. - 463с.

18.Комплексный экономический анализ хозяйственной деятельности: учеб. /Л.Т. Гиляровская [и др.]. - М.: ТК Велби, Изд-во Проспект, 2009. - 360с.

19.Любушин Н.П. Анализ финансово-экономической деятельности предприятия/ Любушин Н.П., Лещева В.Б., Дьякова В.Г. Анализ финансово-экономической деятельности предприятия - М: ЮНИТИ 2007. - 471с.

20.Палий В.Ф., Палий В.В. Финансовый учет: Учебное пособие. - 2-е изд., перераб. и доп. - М.: ИД ФБК-ПРЕСС, 2009. - 528с.

21.Савицкая Г.В. Анализ хозяйственной деятельности предприятия: Учебник. - 4-е изд., перераб. и доп. - М.: ИНФРА-М, 2007. - 512с.

22.Сугаипова И.В. Бухгалтерская (финансовая) отчетность. Учебное пособие. Серия "Высшее образование". - Ростов н/Д: Феникс, 2007. - 664с.

23.Теория экономического анализа: Учеб. пособие Р.П. Казаковой, С.В. Казакова. - М.: ИНФРА-М, 2009, - 239с.

24.Финансово-экономическое состояние предприятий строительства /Бакадоров В.Л., Алексеев П.Д. Практическое пособие. Москва. Изд-во "Приор", 2009. - 372с.

25.Шеремет А.Д., Сайфулин Р.С. Методика финансового анализа.М., Инфра-М, 2009. - 782с.

26. Яковлева И.Н. Методика исследования клиентов с помощью АВС-анализа. // Маркетинг в России и за рубежом. - 2009. - №4. - С.23 - 27.

Приложение

 

О пользе миндаля

О пользе миндаля известно давно. Он является богатым источником витаминов и минералов, нормализует обмен веществ, положительно действует на сердечно-сосудистую систему и улучшает зрение.

Плоды его также похожи на сливу. Только при созревании мякоть засыхает, образуя светло-коричневую мохнатую "шкурку". Миндаль бывает двух видов: сладкий и горький. В горьком содержится вещество, которое выделяет синильную кислоту, опасную для организма.

Миндальный орех уникален по своему составу. Он не только позволяет сохранить фигуру, но и улучшает общее состояние организма. В ходе тестов эксперты выяснили, что миндаль помогает снизить уровень вредного холестерина и риск развития сердечно-сосудистых заболеваний.

Ежедневное употребление миндаля повышает содержание витамина Е в плазме и эритроцитах крови. А потребление миндаля со свежей кожурой прекрасно очищает желудок.

Согласно результатам исследования, 28 граммов миндаля содержат такое же количество антиоксидантов, как и большая порция брокколи или чашка зеленого или черного чая. А горсть орехов (примерно 23 штуки) обеспечивает организм полезными жирами, витамином Е, калием, магнием и железом.

Миндаль содержит значительное количество ненасыщенных жирных кислот, предотвращающих дегенерацию эпителия кровеносных сосудов и развитие атеросклеротических изменений сосудистых стенок.

Миндаль способствует выработке полезных бактерий в желудочно-кишечном тракте, которые улучшают пищеварение. Причем этот эффект создается благодаря жирному миндальному маслу. Также миндальное масло оказывает хорошее слабительное действие.

Миндаль используется для приготовления деликатесов. Он обогащает вкус блюд и делает их полезными для здоровья.

Калорийность: 305 ккал в 50 граммах.

Эмульсию из сладкого миндаля (миндальное молочко) применяют как обволакивающее средство при заболеваниях желудка и кишечника. Для приготовления такого молочка 50 г ядер измельчите в ступке, залейте 100 г воды или молока, варите 10 минут и процедите. Такое молочко полезно и при заболеваниях почек, к тому же оно оказывает мочегонное действие.

Похожие работы на - Поиск резервов увеличения выпуска и реализации продукции на примере ООО 'Унитрон Пром'

 

Не нашли материал для своей работы?
Поможем написать уникальную работу
Без плагиата!
Без нейросетей!