Алканы, алкены, спирты
1.
Предмет органической химии
Углерод выделяется среди всех элементов тем, что
его атомы могут связываться друг с другом в длинные цепи или циклы.
Органическая химия - это химия соединений углерода. Согласно другому широко
используемому определению, органическая химия - это химия углеводородов и их
производных.
Доказано, что энергия связи (прочность связи)
С-С сопоставима с прочностью связей С-О. Связь Si-O намного прочнее связи
Si-Si. Углерод обладает возможностью проявлять не одну, а целых три разновидности
гибридизации орбиталей: в случае sp3-гибридизации образуются четыре гибридных
орбитали, имеющие тетраэдрическую ориентацию; с их помощью образуются простые
ковалентные связи: в случае sp2-гибридизации образуются три гибридные орбитали,
ориентированные в одной плоскости, и в комбинации с негибридной орбиталью они
образуют двойные кратные связи; наконец, с помощью sp-гибридных орбиталей,
имеющих линейную ориентацию, и негибридных орбиталей между атомами углерода
возникают тройные кратные связи. Сейчас хорошо известно, что атомы углерода
способны образовывать простые, двойные и тройные связи не только друг с другом,
но также и с другими элементами. Таким образом, современная теория строения
молекул объясняет и огромное число органических соединений, и зависимость
свойств этих соединений от их химического строения. Она же полностью
подтверждает основные принципы теории химического строения, разработанные
выдающимся русским ученым А.М.Бутлеровым и изложенные им в докладе "О
теории химического строения" на международном съезде естествоиспытателей в
1861 г.
Основные положения теории
(иногда ее называют структурной) сводятся к следующему:
) атомы в молекулах соединены между собой в
определенном порядке химическими связями согласно их валентности; углерод во
всех органических соединениях четырехвалентен;
) свойства вещества определяются не только
качественным составом, но и его строением, взаимным влиянием атомов, как
связанных между собой химическими связями, так и непосредственно не связанных;
) строение молекул может быть установлено на
основе из учения их химических свойств.
Важным следствием теории строения был вывод о
том, что каждое органическое соединение должно иметь одну химическую формулу,
отражающую его строение. Такой вывод теоретически обосновывал хорошо известное
уже тогда явление изомерии, открытое в 1830 г., - существование веществ с
одинаковым молекулярным составом, но обладающих различными свойствами.
Существование изомеров потребовало использования
не только простых молекулярных формул, но и структурных формул, отражающих
порядок связи атомов в молекуле каждого изомера.
Структурная формула - изображение химических
связей между атомами в молекуле с учетом их валентности.
Значение органических соединений огромно уже
потому, что вся жизнь на Земле связана с их возникновением и превращениями. В
природе эти соединения находятся чаще всего в виде сложных сочетаний и лишь
изредка появляются в чистом виде (например, хлопок - это весьма чистая
целлюлоза, а камни в желчном пузыре представляют собой иногда почти чистый
холестерин). Органические соединения служат животным и людям пищей (например,
зерно, мясо) и издавна используются как сырье при производстве тканей (шерсть,
хлопок, лен и т.д.). В современном мире очень важную роль играют синтетические
высокомолекулярные соединения, производство которых достигает многих миллионов
тонн в год и которые используются в самых разных отраслях промышленности как
конструкционные материалы, синтетические волокна, клеи и т.д. Органические
соединения являются основными компонентами ряда препаратов, используемых в
повседневной жизни, например лекарственных препаратов, моющих средств.
Ковалентная связь.
Осуществляется за счет электронной пары, принадлежащей обоим атомам. Различают
обменный и донорно-акцепторный механизм образования ковалентной связи.
) Обменный механизм. Каждый атом дает по одному
неспаренному электрону в общую электронную пару:
• + •H ® H : H 
) Донорно-акцепторный механизм. Один атом (донор)
предоставляет электронную пару, а другой атом (акцептор) предоставляет для этой
пары свободную орбиталь;
Два атома могут обобществлять неcколько пар
электронов. В этом случае говорят о кратных связях:
(или
NºN)
- тройная
связь
Если электронная плотность расположена
симметрично между атомами, ковалентная связь называется неполярной.
Если электронная плотность смещена в сторону
одного из атомов, то ковалентная связь называется полярной.
Полярность связи тем больше, чем больше разность
электроотрицательностей атомов.
Электроотрицательность - это способность атома
притягивать электронную плотность от других атомов. Самый электроотрицательный
элемент - фтор, самый электроположительный - франций.
Водородная связь
- это связь между положительно заряженным атомом водорода одной молекулы и
отрицательно заряженным атомом другой молекулы. Водородная связь имеет частично
электростатический, частично донорно-акцепторный характер.
Водородная связь изображена точками
Наличие водородных связей объясняет высокие
температуры кипения воды, спиртов, карбоновых кислот.
Ковалентная связь - наиболее общий вид
химической связи, возникающий за счет обобществления электронной пары
посредством обменного механизма, когда каждый из взаимодействующих атомов
поставляет по одному электрону, или по донорно-акцепторному механизму,
если электронная пара передается в общее пользование одним атомом (донором)
другому атому (акцептору) (рис. 3.2).
2.
Понятие о химических реакциях
Химические свойства веществ выявляются в
разнообразных химических реакциях.
В переводе с латыни «реакция» означает
«противодействие, отпор, ответное действие». Следовательно термин химическая
реакция можно понимать как ответное действие вещества на воздействие извне
других веществ и физических факторов - тепла, давления, излучения. Химическая реакция
- это такое изменение веществ, при котором разрываются старые и образуются
новые химические связи между частицами (атомами, ионами), из которых построены
вещества.
Химические реакции всегда сопровождаются
физическими эффектами - поглощением или выделением теплоты, изменениями
агрегатного состояния и окраски веществ; по наличию этих эффектов часто судят о
протекании реакций (рис.1).
Химические реакции следует отличать от
физических процессов, изменяющих только внешнюю форму или агрегатное состояние
вещества (но не его состав). Условия, которые должны выполняться, чтобы
произошла химическая реакция:
. Необходимо, чтобы реагирующие вещества
соприкоснулись и чем больше площадь их соприкосновения, тем быстрее произойдет
химическая реакция.
. Некоторые реакции идут без нагревания, для
некоторых реакций оно необходимо.
. Некоторые реакции протекают под действием
электрического тока и света
Химические реакции записываются посредством
химических уравнений , содержащих формулы исходных веществ и продуктов реакции,
например:
+ Cl2 = 2HCl
исходные вещества продукт реакции
В левой части уравнения пишутся формулы исходных
веществ (реагентов), в правой части - веществ, получаемых в результате
протекания химической реакции (продуктов реакции, конечных веществ). Знак
равенства, связывающий левую и правую часть, указывает, что общее количество
атомов веществ, участвующих в реакции, остается постоянным. Это достигается
расстановкой перед формулами целочисленных стехиометрических коэффициентов,
показывающих количественные соотношения между реагентами и продуктами реакции.
Химические реакции весьма разнообразны,
вследствие этого возникает необходимость в их классификации, что мы и
рассмотрим в следующей главе.
В зависимости от способа разрыва ковалентной
связи в реагирующей молекуле органические реакции подразделяются на
радикальные и ионные реакции. Ионные реакции в свою очередь делятся по
характеру реагента, действующего на молекулу, на электрофильные и
нуклеофильные.
Разрыв ковалентной связи может происходить двумя
способами, обратными механизмам ее образования. Разрыв связи, при котором
каждый атом получает по одному электрону из общей пары, называется
гомолитическим: В результате гомолитического разрыва образуются сходные по электронному
строению частицы, каждая из которых имеет неспаренный электрон. Такие частицы
называются свободными радикалами.
Если при разрыве связи общая электронная пара
остается у одного атома, то такой разрыв называется гетеролитическим: В
результате образуются разноименно заряженные ионы - катион и анион.
Гомолитический разрыв более характерен для
неполярных и слабополярных связей, а гетеролитический - для полярных.
Функциональная группа
- структурный фрагмент органической молекулы (некоторая группа атомов),
определяющий её химические свойства. Старшая функциональная группа соединения
является критерием его отнесения к тому или иному классу органических
соединений[1].
Функциональные группы, входящие в состав
различных молекул, обычно ведут себя одинаково в одной и той же химической
реакции, хотя их химическая активность может быть различной.
гидроксильная -ОН,
карбонильная >С=O
карбоксильная -COOH
аминогруппа -NH2
нитрогруппа -NO2
нитрозогруппа -NO
Гомологический ряд
- ряд химических соединений одного структурного типа (например, алканы или
алифатические спирты - спирты жирного ряда), отличающихся друг от друга по
составу на определенное число повторяющихся структурных единиц - так называемую
«гомологическую разность». Чаще всего это метиленовые звенья: …-СН2-…
Простейший пример гомологического ряда - низшие гомологи алканов (общая формула
СnH2n+2): метан CH4, этан C2H6, пропан С3H8 и т. д.
В основе понятия гомологии в органической химии
лежит фундаментальное положение о том, что химические и физические свойства
вещества определяются структурой его молекул: эти свойства определяются как
функциональными группами соединения (гидроксил спиртов, карбоксильная группа
карбоновых кислот, арильная группа ароматических соединений и т. п.), так и его
углеродным скелетом.
Сам комплекс химических свойств и,
соответственно, принадлежность соединения к определённому классу, определяется
именно функциональными группами (так, наличие карбоксильной группы определяет
проявление соединением кислотных свойств и его принадлежность к классу
карбоновых кислот), но на степень проявления химических свойств (например,
реакционная способность и константа диссоциации) или физические свойства
(температуры кипения и плавления, показатель преломления и т. п.) влияет и
углеродный скелет молекулы
Номенклатура органических соединений
Основу названия соединения составляет корень
слова, обозначающий предельный углеводород с тем же числом атомов, что и
главная цепь (например, мет-, эт-. пpoп-, бут-, пент-, гекс- и т.д.). Затем
следует суффикс, характеризующий степень насыщенности, -ан, если в молекуле нет
кратных связей, -ен при наличии двойных связей и -ни для тройных связей,
например, пентан, пентен. Если кратных связей в молекуле несколько, то в
суффиксе указывается число таких связей, например: -диен, -триен, а после
суффикса обязательно арабскими цифрами указывается положение кратной связи
(например, бутен-1, бутен-2, бутадиен-1,3):
СН3-СН2-СН=СН2 СН3-СН=СН-СН3 СН2=СН-СН=СН2
бутен-1 бутен-2 бутадиен-1,3
Далее в суффикс выносится название самой старшей
характеристической группы в молекуле с указанием ее положения цифрой. Прочие
заместители обозначаются с помощью приставок. При этом они перечисляются не в
порядке старшинства, а по алфавиту. Положение заместителя указывается цифрой
перед приставкой, например: 3-метил; 2-хлор и т.п. Если в молекуле имеется
несколько одинаковых заместителей, то перед названием соответствующей группы
словом указывается их количество (например, диметил-, трихлор- и т.д.). Все
цифры в названиях молекул отделяются от слов дефисом, а друг от друга запятыми.
Углеводородные радикалы имеют свои названия.
Предельные углеводородные радикалы:
Метил этил пропил изопропил
Бутил втор-бутил
изобутил трет-бутил
Непредельные углеводородные радикалы:
винил этинил аллил
Ароматические углеводородные радикалы:
фенил бензол
Тривиальная номенклатура представляет собой
совокупность несистематических исторически сложившихся Названий органических
соединений (например: ацетон, уксусная кислота, формальдегид и т.д.). Важнейшие
тривиальные названия вводятся в тексте при рассмотрении соответствующих классов
соединений.
Рациональная номенклатура позволяет строить
название вещества на основании его структуры с более простым соединением,
выбранным в качестве прототипа. Способ такого построения иллюстрируют следующие
примеры:
триметилметан ацетилацетон фенилуксусная кислота
Основной принцип при создании научной
номенклатуры - однозначное соответствие названия структуре соединения. Система
принципов и правил такой номенклатуры носит название «систематическая
номенклатура». В номенклатуре ИЮПАК подчёркивается, что правила систематической
номенклатуры не обязательно дают уникальное название для каждого соединения (то
есть могут существовать разные названия одного вещества, не противоречащие
правилам ИЮПАК), но эти названия всегда будут однозначными (одному названию
будет соответствовать только одно вещество). Противоположностью систематических
названий являются традиционные, полусистематические или тривиальные названия,
которые широко используются для распространённых соединений (например, «уксусная
кислота», «глицин» и т. п.).
Правила, предложенные комиссией ИЮПАК, допускают
некоторые разночтения, так как они сформулированы исходя из звучания названий
на английском языке. Поэтому каждой стране было предоставлено право менять и
приспосабливать правила к особенностям своего языка. Отчасти это сделано и в
России. Поэтому при чтении научной литературы могут встречаться несколько
различающиеся по форме названия одного и того же вещества, например при
пользовании алфавитным признаком, который существенно отличает русский текст от
английского, или при расстановке цифр.
3.
Изомерия
Способность атомов углерода к образованию
четырех ковалентных связей, в том числе и с другими атомами углерода, открывает
возможность существования нескольких соединений одного элементного состава -
изомеров.
Все изомеры делят на два больших класса -
структурные изомеры и пространственные изомеры. Структурными называют изомеры,
отвечающие различным структурным формулам органических соединений (с разным
порядком соединения атомов). Пространственные изомеры имеют одинаковые
заместители у каждого атома углерода и отличаются лишь их взаимным
расположением в пространстве. Структурные изомеры. В соответствии с приведенной
выше классификацией органических соединений по типам среди структурных изомеров
выделяют три группы:
1) соединения, содержащие различные
функциональные группы и относящиеся к различным классам органических
соединений, например:
CH3-CH2-NO2 HOOC-CH2-NH2
нитроэтан амииоуксусная кислота (глицин)
) соединения, отличающиеся углеродными
скелетами:
бутан 2-метнлпропан (изобутан)
) соединения, отличающиеся положением
заместителя или кратной связи в молекуле:
СН3-СН=СН-СН3 СН3-СН2-СН=СН2
бутен-2 бутен-1
пропанол-2 пропанол-1
Пространственные изомеры (стереоизомеры).
Стереоизомеры можно разделить на два типа: геометрические изомеры оптические
изомеры.
Геометрическая изомерия характерна для
соединений, содержащих двойную связь или цикл. В таких молекулах часто возможно
провести условную плоскость таким образом, что заместители у различных атомов
углерода могут оказаться по одну сторону (цис-) или по разные стороны (транс-)
от этой плоскости.
Если изменение ориентации этих заместителей
относительно плоскости возможно только за счет разрыва одной из химических
связей, то говорят о наличии геометрических изомеров. Геометрические изомеры
отличаются своими физическими и химическими свойствами.
транс -1,2- цис-1,2- цис-бутен-2 транс-6утен-2
диметил- диметил-
циклопентан циклопентан
Оптическими изомерами называют молекулы,
зеркальные изображения которых не совместимы друг с другом.
Таким свойством обладают молекулы, имеющие
асимметрический центр - атом углерода, связанный с четырьмя различными
заместителями. Например, в виде двух оптических изомеров существует молекула
молочной кислоты СН 3-СН(ОН)- СООН, содержащая один асимметрический центр:
4.
Алканы. Общая характеристика
Углеводороды - простейшие органические
соединения, состоящие из двух элементов: углерода и водорода. Предельными
углеводородами, или алканами (международное название), называются соединения,
состав которых выражается общей формулой С n Н2n+2, где n - число атомов
углерода. В молекулах предельных углеводородов атомы углерода связаны между
собой простой (одинарной) связью, а все остальные валентности насыщены атомами
водорода. Алканы называют также насыщенными углеводородами или парафинами
(Термин «парафины» означает «имеющие малое сродство»).
Первым членом гомологического ряда алканов
является метан СН4. Окончание -ан является характерным для названий предельных
углеводородов. Далее следует этан С2Н6, пропан С3Н8, бутан С4Н10. Начиная с пятого
углеводорода, название образуется из греческого числительного, указывающего
число углеродных атомов в молекуле, и окончания -ан. Это пентан С5Н12 гексан
С6Н14, гептан С7Н16, октан С8Н18, нонан С9Н20, декан С10Н22 и т. д.
В гомологическом ряду наблюдается постепенное
изменение физических свойств углеводородов: повышаются температуры кипения и
плавления, возрастает плотность. При обычных условиях (температура ~ 22°С)
первые четыре члена ряда (метан, этан, пропан, бутан) - газы, с С5Н12 до С16Н34
- жидкости, а с С17Н36 - твердые вещества.
Алканы, начиная с четвертого члена ряда
(бутана), имеют изомеры .
Все алканы насыщены водородом до предела
(максимально). Их атомы углерода находятся в состоянии sp 3 -гибридизации, а
значит, имеют простые (одинарные) связи.
Номенклатура:
Названия первых десяти членов ряда предельных
углеводородов уже даны. Чтобы подчеркнуть, что алкан имеет неразветвленную
углеродную цепь, часто к названию добавляют слово нормальный (н-), например:
СН3-СН2-СН2-СН3 СН3-СН2-СН2-СН2-СН2-СH 2 -СН3
н-бутан н-гептан
(нормальный бутан) (нормальный гептан)
При отрыве атома водорода от молекулы алкана
образуются одновалетные частицы, называемые углеводородными радикалами
(сокращенно обозначаются буквой R). Названия одновалентных радикалов производятся
от названий соответствующих углеводородов с заменой окончания -ан на -ил. Вот
соответствующие примеры:
Углеводороды
Метан CH 4
Гексан C 6 H 14
Этан C 2 H 6
Гептан C 7 H 16
Пропан C 3 H 8
Октан C 8 H 18
Бутан C 4 H 10
Нонан C 9 H 20
Пентан C 5 H 12
Декан C 10 H 22
Одновалентные радикалы
Метил CH 3 -
Гексил C 6 H 13 -
Этил C 2 H 5 -
Гептил C 7 H 15 -
Пропил C 3 H 7 -
Октил C 8 H 17 -
Бутил C 4 H 9 -
Нонил C 9 H 19 -
Пентил (амил) C 5 H 11 -
Децил C 10 H 21 -
Радикалы образуются не только органическими, но
и неорганическими соединениями. Так, если от азотной кислоты отнять
гидроксильную группу ОН, то получится одновалентный радикал - NO2 , называемый
нитрогруппой, и т. д.
При отнятии от молекулы углеводорода двух атомов
водорода получаются двухвалентные радикалы. Их названия также производятся от
названий соответствующих предельных углеводородов с заменой окончания -ан на
-илиден (если атомы водорода оторваны от одного атома углерода) или -илен (если
атомы водорода оторваны от двух соседних атомов углерода). Радикал СН2= имеет
название метилен.
Для названия изомеров широко применяют две
номенклатуры: старую - рациональную и современную - заместительную, которую
также называют систематической или международной (предложена Международным
союзом теоретической и прикладной химии ИЮПАК).
По рациональной номенклатуре углеводороды
рассматриваются как производные метана, у которого один или несколько атомов
водорода замещены на радикалы. Если в формуле одинаковые радикалы повторяются
несколько раз, то их указывают греческими числительными: ди - два, три - три,
тетра - четыре, пента - пять, гекса - шесть и т. д. Например:
Рациональная номенклатура удобна для не очень
сложных соединений.
По заместительной номенклатуре основой для
названия служит одна углеродная цепь, а все другие фрагменты молекулы
рассматриваются как заместители. В этом случае выбирают наиболее длинную цепь
углеродных атомов и атомы цепи нумеруют с того конца, к которому ближе стоит
углеводородный радикал. Затем называют: 1) номер углеродного атома, с которым
связан радикал (начиная с простейшего радикала); 2) углеводород, которому
соответствует длинная цепь. Если в формуле содержится несколько одинаковых
радикалов, то перед их названием указывают число прописью (ди-, три-, тетра- и
т. д.), а номера радикалов разделяют запятыми. Вот как по этой номенклатуре
следует назвать изомеры гексана:
Как заместительная, так и рациональная
номенклатура применяются не только для углеводородов, но и для других классов
органических соединений. Для некоторых органических соединений используются
исторически сложившиеся (эмпирические) или так называемые тривиальные названия
(муравьиная кислота, серный эфир, мочевина и др.).
При написании формул изомеров легко заметить,
что атомы углерода занимают в них неодинаковое положение. Атом углерода, который
связан только с одним атомом углерода в цепи, называется первичным, с двумя -
вторичным, с тремя - третичным, с четырьмя - четвертичным. Так, например, в
последнем примере атомы углерода 1 и 7 - первичные, 4 и 6 - вторичные, 2 и 3 -
третичные, 5 - четвертичный. Свойства атомов водорода, других атомов и
функциональных групп зависят от того, с каким углеродным атомом они связаны: с
первичным, вторичным или третичным. Это всегда надо учитывать.
Строение метана
Как заместительная, так и рациональная номенклатура
применяются не только для углеводородов, но и для других классов органических
соединений. Для некоторых органических соединений используются исторически
сложившиеся (эмпирические) или так называемые тривиальные названия (муравьиная
кислота, серный эфир, мочевина и др.).
При написании формул изомеров легко заметить,
что атомы углерода занимают в них неодинаковое положение. Атом углерода,
который связан только с одним атомом углерода в цепи, называется первичным, с
двумя - вторичным, с тремя - третичным, с четырьмя - четвертичным. Так,
например, в последнем примере атомы углерода 1 и 7 - первичные, 4 и 6 -
вторичные, 2 и 3 - третичные, 5 - четвертичный. Свойства атомов водорода,
других атомов и функциональных групп зависят от того, с каким углеродным атомом
они связаны: с первичным, вторичным или третичным. Это всегда надо учитывать.
Когда в органической химии стало развиваться
учение о пространственном строении молекул, было выяснено, что молекула метана
в действительности имеет тетраэдрическую форму, а не плоскую, как мы изображаем
на бумаге.
Выясним, почему же молекула метана представляет
собой тетраэдр. Мы должны исходить, очевидно, из строения атома углерода. Но
здесь мы сталкиваемся с противоречием. У атомов углерода четыре валентных
электрона, два из них являются спаренными s-электронами, они не могут
образовывать химических связей с атомами водорода. Химические связи могут
установиться только за счет двух неспаренных p-электронов. Но тогда молекула
метана должна иметь формулу не CH4, а CH2, что не соответствует
действительности. Такое противоречие устраняется следующей трактовкой
образования химических связей.
Когда атом углерода вступает во взаимодействие с
атомами водорода, s-электроны наружного слоя в нем распариваются, один из них
занимает вакантное место третьего p-электрона и образует при своем движении
облако в виде объемной восьмерки, перпендикулярное по отношению к облакам двух
других p-электронов. Атом при этом переходит, как говорят, в возбужденное
состояние. Теперь все четыре валентных электрона стали неспаренными, они могут
образовать четыре химические связи. Но возникает новое противоречие. Три
p-электрона должны образовать три химические связи с атомами водорода во
взаимно перпендикулярных направлениях, т.е. под углом 90°, а четвертый атом
водорода мог бы присоединяться в произвольном направлении, так как облако
s-электрона имеет сферическую форму и эти связи, очевидно, отличались бы по
свойствам. Между тем известно, что все связи C-H в молекуле метана одинаковы и
расположены под углом 109°28'. Разрешить это противоречие помогает
представление о гибридизации электронных облаков.
В процессе образования химических связей облака
всех валентных электронов атома углерода (одного s - и трех p-электронов)
выравниваются, становятся одинаковыми. При этом они принимают форму
несимметричных, вытянутых в направлении к вершинам тетраэдра объемных восьмерок
(несимметричное распределение электронной плотности означает, что вероятность
нахождения электрона по одну сторону от ядра больше, чем по другую).
Угол между осями гибридных электронных облаков
оказывается равным 109°28', что позволяет им, как одноименно заряженным,
максимально удалиться друг от друга. Будучи вытянутыми к вершинам тетраэдра,
такие облака могут значительно перекрываться с электронными облаками водородных
атомов, что ведет к большему выделению энергии и образованию прочных,
одинаковых по свойствам химических связей (рис.1А).
Гибридизация может распространяться на разное
число электронных облаков. В данном случае, когда атом углерода образует
ковалентные связи с четырьмя атомами водорода, в гибридизации участвуют облака
всех четырех наружных электронов возбужденного атома - одного s-электрона и
трех p-электронов. Такой вид ее называется sp3-гибридизацией.
Рис.1 Ковалентные химические связи в молекуле
метана: А - перекрывание электронных облаков атома углерода с атомами водорода;
Б - образование общих электронных облаков связей C-H.
Тетраэдрическая форма молекулы метана
обусловливается, следовательно, тетраэдрическим направлением четырех гибридных
электронных облаков атома углерода в химическом соединении.
Поскольку электроны при образовании ковалентных
связей образуют общие для связываемых атомов облака, охватывающие оба ядра,
электронное строение молекулы метана можно еще изобразить так, как показано на
рис.1 Б1.
Разные пространственные формы одной молекулы,
образующиеся при вращении групп атомов вокруг -связей, называют
конформациями (рис. 31).
Конформации различают по энергии, но это
различие невелико (12-15 кДж/моль). Более устойчивы такие конформации алканов,
в которых атомы расположены возможно дальше друг от друга (отталкивание
электронных оболочек). Переход от одной конформации к другой осуществляется за
счет энергии теплового движения. Для изображения конформации используют
специальные пространственные формулы (формулы Ньюмена).
Способы получения алканов
Из синтетических методов получения алканов можно
выделить следующие:
. Получение из ненасыщенных углеводородов.
Взаимодействие алкенов или алкинов с водородом ("гидрирование")
происходит в присутствии металлических катализаторов (Ni, Pd) при нагревании:
tº. Ni
СН3-СН=СН2 + Н2 → СН3-СН2-СН3,
СНз-C≡СН + 2Н2 → СН3-СН2-СН3.
. Получение из галогенпротводных. При нагревании
моногалогензамещенных алканов с металлическим натрием получают алканы с
удвоенным числом атомов углерода (реакция Вюрца):
С2Н5Br + 2Na + Br-C2H5 → C2H5-C2H5 +
2NaBr.
Подобную реакцию не проводят с двумя разными
галогензамещенными алканами, поскольку при этом получается смесь трех различных
алканов
. Получение из солей карбоновых кислот. При
сплавлении безводных солей карбоновых кислот с щелочами получаются алканы,
содержащие на один атом углерода меньше по сравнению с углеродной цепью
исходных карбоновых кислот:
CH3COONa
+ NaOH → СН4↑
+ Na2CO3.
.Получение метана. В электрической дуге, горящей
в атмосфере водорода, образуется значительное количество метана: С + 2Н2 →
СН4.
Такая же реакция идет при нагревании углерода в
атмосфере водорода до 400-500 °С при повышенном давлении в присутствии
катализатора.
В лабораторных условиях метан часто получают из
карбида алюминия:
Аl4С3 + 12Н2О = ЗСН4↑ + 4Аl(ОН)3.
Получение из галогенпротводных. При нагревании
моногалогензамещенных алканов с металлическим натрием получают алканы с
удвоенным числом атомов углерода (реакция Вюрца):
С2Н5Br + 2Na + Br-C2H5 → C2H5-C2H5 +
2NaBr.
Подобную реакцию не проводят с двумя разными
галогензамещенными алканами, поскольку при этом получается смесь трех различных
алканов
Химические свойства
Химические свойства. В обычных условиях алканы
химически инертны. Они устойчивы к действию многих реагентов: не
взаимодействуют с концентрированными серной и азотной кислотами, с
концентрированными и расплавленными щелочами, не окисляются сильными
окислителями - перманганатом калия KMnО4 и т.п.
Химическая устойчивость алканов объясняется
высокой прочностью s-связей С-С и С-Н, а также их неполярностью. Неполярные
связи С-С и С-Н в алканах не склонны к ионному разрыву, но способны
расщепляться гомолитически под действием активных свободных радикалов. Поэтому
для алканов характерны радикальные реакции, в результате которых получаются
соединения, где атомы водорода замещены на другие атомы или группы атомов.
Следовательно, алканы вступают в реакции, протекающие по механизму радикального
замещения, обозначаемого символом SR (от англ, substitution radicalic). По
этому механизму легче всего замещаются атомы водорода у третичных, затем у
вторичных и первичных атомов углерода.
. Галогенирование. При взаимодействии алканов с
галогенами (хлором и бромом) под действием УФ-излучения или высокой температуры
образуется смесь продуктов от моно- до полигалогензамещенных алканов. Общая
схема этой реакции показана на примере метана:
<> <> Сl2 Сl2 Сl2
Сl2
СН4→СН3Сl → СН2Сl2 →
СНСl3 → ССl4(*)
HCl -HCl -НСl -HCl
Реакция образования хлорметана протекает по
цепному механизму, который характеризуется следующими стадиями:
а) инициирование цепи: hv
Сl2 → 2Сl·
б) Рост цепи. Радикал хлора отнимает у молекулы
алкана атом водорода:
·+ СН4→НСl + СН3·
При этом образуется алкильный радикал, который
отнимает атом хлора у молекулы хлора:
СН3· + Сl2→СН3Сl + Сl·
Эти реакции повторяются до тех пор, пока не
произойдет обрыв цепи по одной из реакций:
· + Cl· → Сl2, СН3· + СН3· → С2Н6,
СН3· + Cl· → СН3Сl·
Суммарное уравнение реакции:
hv
СН4 + Сl2 → СН3Сl + НСl.
Образующийся хлорметан может подвергаться
дальнейшему хлорированию, давая смесь продуктов CH2Cl2, CHCl3, ССl4 по схеме
(*).
Развитие теории цепных свободнорадикальных реакций
тесно связано с именем выдающегося русского ученого, лауреата Нобелевской
премии Н.И. Семенова (1896-1986).
. Нитрование (реакция Коновалова). При действии
разбавленной азотной кислоты на алканы при 140°С и небольшом давлении протекает
радикальная реакция:
t
° -CH3 + HNO3 → CH3-CH2-NO2 + H2O.
При радикальных реакциях (галогенирование,
нитрование) в первую очередь замешаются атомы водорода у третичных, затем у
вторичных и первичных атомов углерода. Это объясняется тем, что легче всего
разрывается гомолитически связь третичного атома углерода с водородом (энергия
связи 376 кДж/моль), затем - вторичного (390 кДж/моль) и только потом -
первичного (415 кДж/моль).
. Изомеризация. Нормальные алканы при
определенных условиях могут превращаться в алканы с разветвленной цепью:
. Крекинг - это гемолитический разрыв связей
С-С, который протекает при нагревании и под действием катализаторов.
При крекинге высших алканов образуются алкены и
низшие алканы, при крекинге метана и этана образуются ацетилен:
Эти реакции имеют большое промышленное значение.
Таким путем высококипящие фракции нефти (мазут) превращают в бензин, керосин и
другие ценные продукты.
. Окисление. При мягком окислении метана
кислородом воздуха в присутствии различных катализаторов могут быть получены
метиловый спирт, формальдегид, муравьиная кислота:
Мягкое каталитическое окисление бутана
кислородом воздуха - один из промышленных способов получения уксусной кислоты:
C4H 10 + 5O2 → 4CH3COOH + 2Н2О .
кат
На воздухе алканы сгорают до СО2 и Н2О:
СnН2n+2 + (Зn+1)/2О2 = nСО2 + (n+1)Н2О.
5.
Общая характеристика галогеналканов
К гомологическому ряду галогеналканов
принадлежат соединения группы C-Х, где X=F, Cl, Br или I. Ниже перечислены некоторые
члены этого ряда:
Существуют три типа галогеналканов - первичные,
вторичные и третичные.
Физические свойства
. Летучесть. Молекулы фтор-, хлоралканов
полярны, т.к. электроотрицательность галогенов и углерода:
Связи С-F и С-Сl сильно полярны, что приводит к
притяжению между диполями соседних молекул:
. Температуры кипения фтор- и хлоралканов близки
к температурам кипения углеводородов с такой же молекулярной массой. Молекулы
бром- и иодалканов малополярны. Атом брома имеет такую же массу, как шесть
групп -СН2-, но размеры молекулы бромалкана гораздо меньше, чем молекулы алкана
равной массы. Меньший размер молекул приводит к уменьшению взаимодействия между
ними и к более низкой температуре кипения.
Температура кипения бром- и иодалканов
значительно ниже температуры кипения алканов с той же молекулярной массой.
. Растворимость. Галогенопроизводные плохо
растворимы в воде.
. Запах. Галогеналканы имеют сладковатый запах
(немного тошнотворный).
. Плотность. Хлоралканы легче воды, а бром- и
иодалканы - тяжелее.
Получение галогеналканов
В промышленности наибольшее значение имеют
хлоралканы, так как хлор легко доступен (его получают электролизом раствора
NaCl). Хлоралканы получают в промышленности из алканов и хлора. Хлорирование
алканов приводит к смеси монохлор- и полихлоралканов, компоненты которой могут
быть выделены перегонкой. Чистые монохлориды могут быть получены присоединением
хлороводорода к алкенам, которые являются продуктами переработки нефти:
Можно получить хлоралканы из спиртов и
хлороводорода:
Тетрахлорметан получают, пропуская хлор в
сероуглерод CS2 в присутствии катализатора АlСl3:
(ж)+3Cl2(г)АlСl3CCl4+S2Cl(ж)
Фторирование алканов не находит практического
применения. Это слишком сложный процесс. Однако полифторхлоралканы (фреоны)
широко применяют в качестве хладагентов. Наиболее распространенный фреон
получают:
+2HFSbF52HCl+CF2Cl2
Применение галогеналканов
Галогеналканы используются:
) как растворители для жиров и масел;
) в качестве хладагентов (например, дихлорметан
CCl2H2);
) при тушении пожаров (например, CBr2ClF -
дибромфторхлорметан).
Химические свойства галогеналканов
1. Галогеналканы легко вступают в реакции
замещения. Это связано с тем, что связь С-Г полярна и на атоме углерода имеется
частичный положительный заряд (+). Поэтому атом углерода легко
атакуется нуклеофилами, такими, как анионы ОН- и CN-, или соединениями с
неподеленными электронными парами: NH3 и Н2О:. Галогенид-ион является, как
говорят, «хорошей уходящей группой», поэтому реакции замещения идут достаточно
легко:
Примерами таких реакций служит превращение
галогеналканов в спирты и амины:
Условия, необходимые для протекания таких
реакции, сильно зависят от строения галогеналкана и природы нуклеофила. В
некоторых случаях достаточно простого смешения реагентов, в других - требуется
длительное нагревание.
Легкость замещения атома галогена в значительной
степени зависит и от природы галогена. Энергия связи ОТ увеличивается в ряду
С-I<С-Br<С-Сl<С-F. В этом же ряду уменьшается реакционная способность
галогеналканов. Связь С-F настолько прочна, что фторалканы практически не
вступают в реакции нуклеофильного замещения. Активность остальных
галогеналканов по отношению к нуклеофилам падает в ряду RI>RBr>RCl.
. Галогеналканы также легко вступают в реакции
отщепления. При этом образуются галогеноводород и алкен. Эти реакции протекают
при действии основания на галогеналкан. Таким образом, при действии сильных
оснований на Галогеналканы отщепляются молекулы НГ и образуются алкены:
СН2СН2Г+ОН-RCH2CH2OH+Г- - замещение
RСН2СН2Г+ОН-RCH=CH2+Н2O+Г- - отщепление (СН3)3ССl+ОН-(СН3)2C-СН2+Н2O+Сl-
Скорости замещения и отщепления зависят также от
структуры углеводородного радикала. Роль реакции замещения возрастает в
следующем ряду галогеналканов:
Первичные < Вторичные < Третичные
Третичные Галогеналканы вступают в реакцию замещения
особенно легко (в отсутствие сильного основания):
(СН3)3ССl+Н2Oводный этанол ,25°
(СН3)3СОН+НСl
В целом в присутствии водного раствора основания
для первичных галогеналканов характерны в основном реакции отщепления,
вторичные Галогеналканы дают, как правило, смесь продуктов отщепления и
замещения, а третичные образуют главным образом продукты замещения.
Галогеналканы вступают в SN-реакции с различными
нуклеофилами, такими, как цианид-анион CN-, ацетат-анион СН3СОO-, аммиак :NH3,
амины RN..H2 и многие другие.
. При добавлении раствора галогеналкана в
диэтиловом эфире СН3СН2ОСН2СН3 к магниевой стружке происходит экзотермическая
реакция: магний переходит в раствор и образуется реактив Гриньяра формулы
R-Mg-Г, где R - алкильная или арильная группа, а Г - галоген.
Г+Mgэфир R-Mg-Г
Реактивы Гриньяра вступают в реакции со многими
соединениями, что позволяет использовать их в синтезе самых различных веществ.
6.
Алкены
Простейшими непредельными (ненасыщенными)
соединениями являются углеводороды, содержащие одну или несколько двойных
связей. Алкены, содержащие две двойные связи, называются диенами, содержащие
три двойные связи - триенами и т.д. Соединения с несколькими двойными связями
имеют общее название полиены.
Алкенами называются непредельные углеводороды,
молекулы которых содержат одну двойную связь. Первый представитель этого класса
- этилен СН2 = СН2, в связи с чем алкены также называют этиленовыми
углеводородами. Ближайшие гомологи этилена:
СН3-СН=СН2 СН3-СН2-СН=СН2 СН3-СН=СН-СН3
пропилен бутен-1 бутен-2
Простейший алкен с разветвленным углеродным
скелетом:
-метил промен
Общая формула гомологического ряда алкенов
СnН2n. Она совпадает с общей формулой циклоалкана, поэтому алкены и циклоалканы
являются межклассовыми изомерами. При отщеплении атома водорода от молекул
алкенов образуются непредельные радикалы обшей формулы CnH2n-1, простейшие из
которых - винил (этенил) и аллил (пропенил):
СН2=СН- СН2=СН-СН2-
винил аллил
Атомы углерода при двойной связи находятся в
состоянии sp2-гибридизации. Три s-связи, образованные гибридными орбиталями,
располагаются в одной плоскости под углом 120° друг к другу; p-связь образована
при перекрывании негибридных 2р-орбиталей соседних атомов углерода. При этом
атомные р-орбитали перекрываются не в межъядерном пространстве, а вне его.
Поэтому такое "боковое" перекрывание менее эффективно, чем осевое, и,
следовательно, p-связь является менее прочной, чем s-связь. Дополнительное
p-связывание двух атомов углерода приводит к тому, что уменьшается расстояние
между ядрами, поскольку двойная связь является сочетанием s- и p-связей. Длина
двойной связи С=С составляет 0.133 нм, что существенно меньше длины одинарной
связи (0,154 нм). Энергия двойной связи (606 кДж/моль) меньше удвоенного
значения энергии одинарной связи (347-2 = 694 кДж/моль); это обусловлено
меньшей энергией p-связи.
Структурная изомерия алкенов обусловлена
изомерией углеродного скелета (например, бутен-1 и 2-метилпропен) и изомерией
положения двойной связи. Пространственная, или цис-транс-изомерия обусловлена
различным положением заместителей относительно плоскости двойной связи.
Если каждый из атомов углерода при связи С=С
связан с двумя разными заместителями, то эти заместители могут располагаться по
одну сторону от плоскости двойной связи (цис-изомер) или по разные стороны
(транс-изомер), например:
цис-бутен-2 транс-бутен-2
Эти два изомера нельзя перевести друг в друга
без вращения вокруг двойной связи С=С, а это вращение требует разрыва p-связи и
затраты большого количества энергии. Поэтому цис- и транс-изомеры представляют
собой разные индивидуальные вещества, которые отличаются друг от друга
физическими и химическими свойствами. Алкены, у которых хотя бы один из атомов
углерода при связи С=С имеет два одинаковых заместителя, не имеют цис-транс-изомеров.
метилпентен -2
Физические свойства алкенов похожи на свойства
алканов, хотя все они имеют несколько более низкие температуры плавления и
кипения, чем соответствующие алканы. алкан метан галогеналкан алкен
Например, пентан имеет температуру кипения 36
°С, а пентен-1 - 30 °С. При обычных условиях алкены С2 - С4 - газы. С5 - С15 -
жидкости, начиная с C16 - твердые вещества. Алкены не растворимы в воде, хорошо
растворимы в органических растворителях.
В природе алкены встречаются редко. Поскольку
алкены являются ценным сырьем для промышленного органического синтеза,
разработаны многие способы их получения.
. Основным промышленным источником алкенов
служит крекинг алканов, входящих в состав нефти:
t
С8Н18 → С4Н10 + С4Н8
Крекинг протекает по свободнорадикальному
механизму при высоких температурах (400-700 °С).
. Другой промышленный способ получения алкенов -
дегидрирование алканов:
, Cr2O3
СН3-СН2-СН3 → СН3-СН=СН2 + Н2
. В лабораторных условиях алкены получают по
реакциям отщепления (элиминирования), при которых от соседних атомов углерода
отщепляются два атома или две группы атомов, и образуется дополнительная
p-связь. К таким реакциям относятся следующие.
) Дегидратация спиртов происходит при их
нагревании с водоотнимающими средствами, например с серной кислотой при
температуре выше 150 °С:
SO СН3-СН2-ОН → СН2=СН2
+ Н2О
) Отщепление галогеноводородов проводят при
действии спиртовых растворов щелочей на моноалкилгалогениды:
С2Н6ОН
СН3-СН2-СНВr-СН3 + КОН → СН3-СН=СН-СН3
+ КВr + Н2О
При отщеплении Н2O от спиртов, НВr и HCl от
алкилгалогенидов атом водорода преимущественно отщепляется от того из соседних
атомов углерода, который связан с наименьшим числом атомов водорода (от
наименее гидрогенизированного атома углерода). Эта закономерность носит
название правила Зайцева.
) Дегалогенирование происходит при нагревании
дигалогенидов, имеющих атомы галогена у соседних атомов углерода, с активными
металлами:
Br-CHBr-CH3 + Mg → СН2=СН-СН3 + MgВr2.
Химические свойства алкенов определяются
наличием в их молекулах двойной связи. Электронная плотность p-связи достаточно
подвижна и легко вступает в реакции с электрофильными частицами. Поэтому многие
реакции алкенов протекают по механизму электрофильного присоединения,
обозначаемому символом AE(от англ, addition electrophilic). Реакции
злектрофильного присоединения это ионные процессы, протекающие в несколько
стадий.
На первой стадии электрофильная частица (чаще
всего это бывает протон H+) взаимодействует с p-электронами двойной связи и
образует p-комплекс, который затем превращается в карбокатион путем образования
ковалентной s-связи между электрофильной частицей и одним из атомов углерода:
алкен p-комплекс карбокатион
На второй стадии карбокатион реагирует с анионом
X-, образуя вторую s-связь за счет электронной пары аниона:
Ион водорода в реакциях электрофильного
присоединения присоединяется к тому из атомов углерода при двойной связи, на
котором больше отрицательный заряд.
Распределение зарядов определяется смещением
p-электронной плотности под влиянием заместителей: .
Электронодонорные заместители, проявляющие +I
-эффект, смещают p-электронную плотность к более гидрогенизированному атому
углерода и создают на нем частичный отрицательный заряд. Этим объясняется
правило Марковникова: при присоединении полярных молекул типа НХ(X= Hal, ОН, CN
и т.п.) к несимметричным алкенам водород преимущественно присоединяется к более
гидрогенизированному атому углерода при двойной связи.
Рассмотрим конкретные примеры реакций
присоединения.
) Гидрогалогенирование. При взаимодействии
алкенов с галогеноводородами (HCl, НВr) образуются алкилгалогениды:
СН3-СН=СН2 + НВr ® СН3-СНВr-СН3.
Продукты реакции определяются правилом
Марковникова.
Следует, однако, подчеркнуть, что в присутствии
какого-либо органического пероксида полярные молекулы НХ реагируют с алкенами
не по правилу Марковникова:
O-O-R
СН3-СН=СН2 + НВr → СН3-СН2-СН2Вr
Это связано с тем, что присутствие перекиси
обусловливает радикальный, а не ионный механизм реакции.
) Гидратация. При взаимодействии алкенов с водой
в присутствии минеральных кислот (серной, фосфорной) образуются спирты.
Минеральные кислоты выполняют роль катализаторов и являются источниками
протонов. Присоединение воды также идет по правилу Марковникова:
СН3-СН=СН2 + НОН ® СН3-СН(ОН)-СН3.
) Галогенирование. Алкены обесцвечивают бромную
воду:
СН2=СН2 + Вr2 ® ВrСН2-СН2Вr.
Эта реакция является качественной на двойную
связь.
) Гидрирование. Присоединение водорода
происходит под действием металлических катализаторов:
t, Ni
СН3-СН=СН2 + Н2 → СН3-СН2-СН3
) Полимеризация алкенов и их производных в
присутствии кислот протекает по механизму АE:
Н* =CHR → (-CH2-CHR-)n
где R = Н, СН3, Cl, С6Н5 и т.д. Молекула CH2=CHR
называется мономером, полученное соединение - полимером , число n-степень
полимеризации.
Полимеризация различных производных алкенов дает
ценные промышленные продукты: полиэтилен, полипропилен, поливинилхлорид и другие.
Кроме присоединения, для алкенов характерны
также реакции окисления. При мягком окислении алкенов водным раствором
перманганата калия (реакция Вагнера) образуются двухатомные спирты:
ЗСН2=СН2 + 2КМnО4 + 4Н2О ® ЗНОСН2-СН2ОН + 2MnO2↓
+ 2KOH.
В результате протекания этой реакции фиолетовый
раствор перманганата калия быстро обесцвечивается и выпадает коричневый осадок
оксида марганца (IV). Эта реакция, как и реакция обесцвечивания бромной воды,
является качественной на двойную связь. При жестком окислении алкенов кипящим
раствором перманганата калия в кислой среде происходит полный разрыв двойной
связи с образованием кетонов, карбоновых кислот или СО2, например:
[О]
СН3-СН=СН-СН3 → 2СН3-СООН
По продуктам окисления можно установить
положение двойной связи в исходном алкене.
Как и все другие углеводороды, алкены горят, и
при обильном доступе воздуха образуют диоксид углерода и воду:
СnН2n + Зn/2О2 ® nСО2↑ + nН2О.
При ограниченном доступе воздуха горение алкенов
может приводить к образованию монооксида углерода и воды:
СnН2n + nО2 ® nCO↑ + nH2O.
Если смешать алкен с кислородом и пропустить эту
смесь над нагретым до 200°С серебряным катализатором, то образуется оксид
алкена (эпоксиалкан), например:
При любых температурах алкены окисляются озоном
(озон более сильный окислитель, чем кислород). Если газообразный озон
пропускают через раствор какого-либо алкена в тетрахлор-метане при температурах
ниже комнатной, то происходит реакция присоединения, и образуются соответствующие
озониды (циклические перекиси). Озониды очень неустойчивы и могут легко
взрываться. Поэтому обычно их не выделяют, а сразу после получения разлагают
водой - при этом образуются карбонильные соединения (альдегиды или кетоны),
строение которых указывает на строение подвергавшегося озонированию алкена.
Низшие алкены - важные исходные вещества для
промышленного органического синтеза. Из этилена получают этиловый спирт,
полиэтилен, полистирол. Пропен используют для синтеза полипропилена, фенола,
ацетона, глицерина.
7.
Алкины
Алкинами называются непредельные углеводороды,
молекулы которых содержат одну тройную связь. Первый представитель этого класса
- ацетилен НС ≡ СН, в связи с чем алкины также называют ацетиленовыми
углеводородами. Ближайшие гомологи ацетилена:
СН3-С ≡ СН СН3-СН2-C ≡ СН СН3-С
≡ С-СН3
Пропин бутин-1 бутин-2
Простейший алкин с разветвленным углеродным
скелетом:
Общая формула гомологического ряда алкинов
СnН2n-2. Она совпадает с общей формулой алкадиенов, поэтому алкины и алкадиены
являются межклассовыми изомерами.
Строение. Атомы углерода при тройной связи
находятся в состоянии sp-гибридизации. Две s-связи, образованные гибридными
орбиталями, располагаются по одной линии под углом 180° друг к другу; две
p-связи образованы при перекрывании двух пар негибридных 2p-орбиталей соседних
атомов углерода. Дополнительное связывание двух атомов углерода приводит к
тому, что расстояние между ядрами уменьшается, поскольку тройная связь является
сочетанием одной s- и двух p-связей. Длина тройной связи С ≡ С составляет
0,120 нм, что меньше длины как одинарной, так и двойной связи. Энергия тройной
связи составляет 828 кДж/моль.
Структурная изомерия алкинов обусловлена
изомерией углеродного скелета (например, 3-метилбутин-1 и пентин-1) и изомерией
положения тройной связи (бутин-1 и бутин-2). Пространственная изомерия для
алкинов не характерна.
Номенклатура. В алкинах с неразветвленной
углеродной цепью нумерацию начинают с того конца, ближе к которому находится
тройная связь. В названии соответствующего алкана окончание -ан заменяется на
-ин. В разветвленных алкинах выбирают главную цепь так, чтобы она содержала
тройную связь, даже если она при этом и не будет самой длинной. Перед названием
главной цепи указывают номер атома углерода, при котором находится заместитель,
и название этого заместителя. Номер после названия главной цепи указывает
положение тройной связи, например:
4-метилпентин-2
Физические свойства алкинов похожи на свойства
алканов и алкенов. При обычных условиях (С2 - С4) - газы, (C5 - C16) -
жидкости, начиная с C17 - твердые вещества. Температуры кипения алкинов выше,
чем у соответствующих алкенов.
Так, этилен имеет tкип = -103 °С, ацетилен кипит
при -83,6 °С; пропен и пропин соответственно при -47 °С и -23 °С.
Растворимость низших алкинов в воде несколько
выше, чем алкенов и алканов, однако она все же очень мала. Алкины хорошо
растворимы в неполярных органических растворителях.
Получение. 1. Общий способ получения алкинов -
отщепление двух молекул галогеноводорода от дигалогеналканов, которые содержат
два атома галогена либо у соседних, либо у одного атома углерода, под действием
спиртового раствора щелочи.
С2Н5ОН
СН2Вr - СН2Вr + 2КОН → НС ≡
СН + 2КВr + 2Н2О,
С2Н5ОН
СН3 - СВr2 - СН3 + 2КОН → СН3-С ≡
СН + 2КВr + 2Н2О,
. Гомологи ацетилена можно также получать,
действуя галогеналканами на соли ацетиленовых углеводородов (ацетилениды):
CH3 - C ≡ CNa + I-R →
CHg - C ≡ C-R + NaI.
Эта реакция представляет собой пример
нуклеофильного замещения, а нуклеофилом в ней является ацетиленидный карбанион
. Ацетилен получают в промышленности путем
высокотемпературного крекинга метана:
1500°С
СН4 → CH ≡ NCH + ЗН2
или его ближайших гомологов - этана и пропана,
причем в этом случае ацетилен образуется при более низких температурах:
°С 1200°С Hg → C2Hg
+ 2Н2, 2С3Н8 → ЗС2Н2 + 5Н2
Сырьем в этих способах служит природный газ или
нефть.
В лабораторных условиях ацетилен получают
гидролизом карбида кальция:
СаС2 + 2Н2О = Са(ОН)2 + С2Н2 ↑
Химические свойства алкинов обусловлены наличием
в их молекулах тройной связи. Типичными реакциями для ацетилена и его гомологов
являются реакции электрофильного присоединения АE. Отличие алкинов от алкенов
заключается в том, что реакции присоединения могут протекать в две стадии. На первой
стадии идет присоединение к тройной связи с образованием двойной связи, а на
второй стадии - присоединение к двойной связи. Реакции присоединения для
алкинов протекают медленнее, чем для алкенов. Это объясняется тем, что
p-электронная плотность тройной связи расположена более компактно, чем в
алкенах, и поэтому менее доступна для взаимодействия с различными реагентами
. Галогенирование. Галогены присоединяются к
алкинам в две стадии. Например, присоединение брома к ацетилену приводит к
образованию дибромэтена, который, в свою очередь, реагирует с избытком брома с
образованием тетрабромэтана:
Вr2 Вr2
СН ≡ СН → СНВr = СНВr →
СНВr 2- СНВr2
Алкины, так же, как и алкены, обесцвечивают
бромную виду.
. Гидрогалогенирование. Галогеноводороды
присоединяются к тройной связи труднее, чем к двойной. Для активации
галогеноводорода используют АlСl3 - сильную кислоту Льюиса. Из ацетилена при
этом можно получить винилхлорид (хлорэтен), который используется для получения
важного полимера поливинилхлорида.
АlСl3
СН ≡ СН + HCI → СН2 = СНСl
В случае избытка галогеноводорода происходит
полное гидрогалогенирование, причем для несимметричных алкинов на каждой стадии
присоединение идет по правилу Марковникова, например:
<> Аl Вr3
СН3 - С ≡ СН + 2НВr → СН3 - СВr2
- СН3 .
. Гидратация. Присоединение воды к алкинам
катализируется солями ртути (II)'
Hg2+. H+ ≡ СН
+ Н2О → [СН2 = СН - ОН] ≡СН3 - СН
= О
На первой стадии реакции образуется непредельный
спирт, в котором гидроксильная группа находится непосредственно у атома
углерода при двойной связи.
Такие спирты принято называть виниловыми или
енолами.
Отличительной чертой енолов является их
неустойчивость. В момент образования они изомеризуются в более стабильные
карбонильные соединения (альдегиды или кетоны) за счет переноса протона от
гидроксильной группы к соседнему атому углерода при двойной связи. При этом
p-связь между атомами углерода разрывается, и образуется p-связь между атомом
углерода и атомом кислорода. Причиной изомеризации является большая прочность
двойной связи С = О по сравнению с двойной связью С = С.
В результате реакции гидратации только ацетилен
превращается в альдегид; гидратация гомологов ацетилена протекает по правилу
Марковникова;, и образующиеся енолы изомеризуются в кетоны. Так, например,
пропин превращается в ацетон:
Hg2+
СН3 - СН ≡ СН + Н2О → [СН3 - С(ОН) =
СН2] → СН3 - СО - СН3.
Реакция гидратации алкинов была открыта М.Г.
Кучеровым (1881 г.) и носит название реакции Кучерова.
. Кислотные свойства. Особенностью алкинов,
имеющих концевую тройную связь, является их способность отщеплять протон под
действием сильных оснований, т.е. проявлять слабые кислотные свойства.
Возможность отщепления протона обусловлена
сильной поляризацией s-связи: ≡ С← Н. Причиной поляризации является
высокая электроотрицательность атома углерода в sp-гибридном состоянии. Поэтому
алкины, в отличие от алкенов и алканов, способны образовывать соли, называемые
ацетиленидами:
- C ≡ C-H + NaH → R-C ≡ C - Na
+ Н2
Ацетилениды серебра и меди (I) легко образуются
и выпадают в осадок при пропускании ацетилена через аммиачный раствор оксида
серебра или хлорида меди (I). Эти реакции служат для обнаружения алкинов с
тройной связью на конце цепи.
НС ≡ СН + 2[Ag(NH3)2]OH → Ag-C ≡
C-Ag ↓ + 2NH3 + Н2O
белый осадок C ≡
CH + [Cu(NH3)2]Cl → R-C ≡ C- Cu ↓ + NH4Cl + NH3.
красный осадок
Ацетилениды серебра и меди как соли очень слабых
кислот легко разлагаются при действии хлороводородной кислоты с выделением
исходного алкина:
R-C = C-Cu + HCl → R-C = CH +
CuCl.
Таким образом, используя реакции образования и
разложения ацетиленидов, можно выделять алкины из смесей с другими
углеводородами.
. Полимеризация. В присутствии катализаторов
алкины могут реагировать друг с другом, причем в зависимости от условий
образуются различные продукты. Так, под действием водного раствора CuCl и NH4Cl
ацетилен димеризуется, давая винилацетилен:
НС = СН + НОСH → СН2 = СН-ОСН.
Винилацетилен обладает большой реакционной
способностью; присоединяя хлороводород, он образует хлоропрен, используемый для
получения искусственного каучука:
СН2 = СН-С = СН + HCl → СН2 = СН - ССl =
СН2.
При пропускании ацетилена над активированным
углем при 600 °С происходит тримеризация ацетилена с образованием бензола:
. Реакции окисления и восстановления. Алкины
легко окисляются различными окислителями, в частности перманганатом калия. При
этом раствор перманганата калия обесцвечивается, что служит указанием на
наличие тройной связи.
При окислении обычно происходит расщепление
тройной связи, и образуются карбоновые кислоты:
- C ≡ C-R' + 3[О] + Н2О → R - COOH +
R' - COOH.
В присутствии металлических катализаторов алкины
восстанавливаются путем последовательного присоединения молекул водорода,
превращаясь сначала в алкены, а затем в алканы:
Н2 Н2
СН3 - С ≡ СН → СН3 - СН -
СН2 → СН3 - СН2 - СН3.
Применение. На основе ацетилена развились многие
отрасли промышленности органического синтеза. Выше уже отмечена возможность
получения уксусного альдегида из ацетилена и различных кетонов из гомологов
ацетилена по реакции Кучерова. в свою очередь, большой интерес представляют
реакции алкинов с кетонами. Например, реакцией ацетилена с ацетоном можно
получить изопрен - исходный продукт для получения синтетического каучука.
Хлоропрен также получают из винилаиетилена. Ацетилен используется для сварки
(кислородноацетиленовая сварка) металлов, поскольку при его горении развивается
высокая температура.
8.
Спирты
Первичные:
СН3-ОН СН3-СН2-ОН СН3-СН2-СН2-ОН
метанол этанол пропанол-1
Вторичные Третичный
пропанол-2 буганол-2 2-метилпропанол-2
Изомерия одноатомных спиртов связана со
строением углеродного скелета (например, бутанол-2 и 2-метилпропанол-2) и с
положением группы ОН (пропанол-1 и пропанол-2).
Номенклатура.
Названия спиртов образуют, добавляя окончание
-ол к названию углеводорода с самой длинной углеродной цепью, включающей
гидроксильную группу. Нумерацию цепи начинают с того края, ближе к которому
расположена гидроксильная группа. Кроме того, широко распространена
заместительная номенклатура, по которой название спирта производится от
соответствующего углеводородного радикала с добавлением, слова
"спирт", например: C2H5OH - этиловый спирт.
Физические свойства. Низшие спирты (до C15) -
жидкости, высшие - твердые вещества. Метанол и этанол смешиваются с водой в
любых соотношениях. С ростом молекулярной массы растворимость спиртов в воде
падает. По сравнению с соответствующими углеводородами, спирты имеют высокие
температуры плавления и кипения, что объясняется сильной ассоциацией молекул
спирта в жидком состоянии за счет образования водородных связей .
Получение.
. Самый общий способ получения спиртов, имеющий
промышленное значение, - гидратация алкенов. Реакция идет при пропускании
алкена с парами воды над фосфорнокислым катализатором:
PO4
СН2=СН2 + Н2О → СН3-СН2-ОН.
Из этилена получается этиловый спирт, из пропена
- изопропиловый. Присоединение воды идет по правилу Марковникова, поэтому из
первичных спиртов по данной реакции можно получить только этиловый спирт.
. Другой общий способ получения спиртов -
гидролиз алкилгалогенидов под действием водных растворов щелочей:
R-Br + NaOH → R-OH + NaBr.
По этой реакции можно получать первичные,
вторичные и третичные спирты.
. Восстановление карбонильных соединений. При
восстановлении альдегидов образуются первичный спирты, при восстановлении
кетонов - вторичные:
R-CH=O + Н2
→ R-CH2-OH, (1)CO-R' + Н2
→ R-CH(OH) -R'. (2)
Реакцию проводят, пропуская смесь паров
альдегида или кетона и водорода над никелевым катализатором.
. Действие реактивов Гриньяра на карбонильные
соединения .
. Этанол получают при спиртовом брожении
глюкозы:
С6Н12О6 → 2С2Н5ОН + 2СО2↑.
Химические свойства спиртов определяются
присутствием в их молекулах гидроксильной группы ОН. Связи С-О и О-Н сильно
полярны и способны к разрыву. Различают два основных типа реакций спиртов с
участием функциональной группы -ОН:
) Реакции с разрывом связи О-Н: а)
взаимодействие спиртов с щелочными и щелочноземельными металлами с образованием
алкоголятов; б) реакции спиртов с органическими и минеральными кислотами с
образованием сложных эфиров; в) окисление спиртов под действием дихромата или
перманганата калия до карбонильных соединений. Скорость реакций, при которых
разрывается связь О-Н, уменьшается в ряду: первичные спирты > вторичные >
третичные.
) Реакции сопровождающиеся разрывом связи С-О:
а) каталитическая дегидратация с образованием алкенов (внутримолекулярная
дегидратация) или простых эфиров (межмолекулярная дегидратация): б) замещение
группы -ОН галогеном, например при действии галогеноводородов с образованием
алкилгалогенидов. Скорость реакций, при которых разрывается связь С-О,
уменьшается в ряду: третичные спирты > вторичные > первичные.
Спирты являются амфотерными соединениями.
Реакции с разрывом связи О-Н.
. Кислотные свойства спиртов выражены очень
слабо. Низшие спирты бурно реагируют со щелочными металлами:
С2Н5-ОН + 2K→ 2С2Н5-ОK + Н2↑, (3)
но не реагируют с щелочами. С увеличением длины
углеводородного радикала скорость этой реакции замедляется.
В присутствии следов влаги соли спиртов
(алкоголяты) разлагаются до исходных спиртов:
С2Н5ОK + Н2О → С2Н5ОН + KОН.
Это доказывает, что спирты - более слабые
кислоты, чем вода.
. При действии на спирты минеральных и
органических кислот образуются сложные эфиры. Образование сложных эфиров
протекает по механизму нуклеофильного присоединения-отщепления :
Н+ С2Н5ОН + СН3СООН СН3СООС2Н5 + Н2О
ЭтилацетатH5OH + HONO2 C2H5ONO2 + Н2O
Этилнитрат
Отличительной особенностью первой из этих
реакций является то, что атом водорода отщепляется от спирта, а группа ОН - от
кислоты. (Установлено экспериментально методом "меченых атомов" ).
. Спирты окисляются под действием дихромата или
перманганата калия до карбонильных соединений. Первичные спирты окисляются в
альдегиды, которые, в свою очередь, могут окисляться в карбоновые кислоты:
[O] [О]CH2-OH
→ R-CH=O → R-COOH.
Вторичные спирты окисляются в кетоны:
Третичные спирты могут окисляться только с
разрывом С-С связей.
Реакции с разрывом связи С-О.
) Реакции дегидратации протекают при нагревании
спиртов с водоотнимающими веществами. При сильном нагревании происходит
внутримолекулярная дегидратация с образованием алкенов:
SO4 ,t >150°С
СН3-СН2-СН2-ОН → СН3-СН=СН2 + Н2О.
При более слабом нагревании происходит
межмолекулярная дегидратация с образованием простых эфиров:
H2SO4,t< 150°С
CH3-CH2-OH → C2H5-O-C2H5 +
H2O.
2) Спирты обратимо реагируют с
галогеноводородными кислотами (здесь проявляются слабые основные свойства
спиртов):
+ HCl RCl + Н2О
Третичные спирты реагируют быстро, вторичные и
первичные - медленно.
Применение. Спирты главным образом используют в
промышленности органического синтеза. Этанол - важное сырье пищевой
промышленности.
Получение двух и трехатомных спиртов:
Получение.
. Гидролиз алкилгалогенидов (аналогично
одноатомным спиртам):
-CH2Cl + 2NaOH → НОСН2-СН2ОН + 2NaCl.
. Этиленгликоль образуется при окислении этилена
водным раствором перманганата калия:
СН2=СН2 + [О] + Н2О → НOСН2-СН2ОН.
. Глицерин получают гидролизом жиров.
Химические свойства. Для двух- и трехатомных
спиртов характерны основные реакции одноатомных спиртов. В реакциях могут
участвовать одна или две гидроксильные группы. Взаимное влияние гидроксильных
групп проявляется в том, что многоатомные спирты - более сильные кислоты, чем
одноатомные спирты. Поэтому многоатомные спирты, в отличие от одноатомных,
реагируют со щелочами, образуя соли. По аналогии с алкоголятями соли
двухатомных спиртов называют гликолятами, а трехатомных - глицератами.
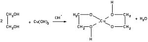
Качественной реакцией на многоатомные спирты,
содержащие группы ОН при соседних атомах углерода, является ярко, синее
окрашивание при действии свежеосажденного гидроксида меди (II). Цвет раствора
обусловлен образованием комплексного гликолята меди:
Для многоатомных спиртов характерно образование
сложных эфиров. В частности, при реакции глицерина с азотной кислотой в
присутствии каталитических количеств серной кислоты образуется тринитрат
глицерина, известный под названием нитроглицерин (последнее название неверно с
химической точки зрения, поскольку в нитросоединениях группа -NO2
непосредственно связана с атомом углерода):