Алкидные краски

  • Вид работы:
    Курсовая работа (т)
  • Предмет:
    Химия
  • Язык:
    Русский
    ,
    Формат файла:
    MS Word
    520,95 Кб
  • Опубликовано:
    2013-11-18
Вы можете узнать стоимость помощи в написании студенческой работы.
Помощь в написании работы, которую точно примут!

Алкидные краски

Оглавление

Введение

.Краткий исторический обзор

. Состав и классификация лакокрасочных материалов

.1 Пленкообразователи

.2 Растворители

.3 Пигменты

.4 Наполнители

.5 Пластификаторы

.6 Классификация ЛКМ

. Связующие на основе поликонденсационных смол - алкиды

.1 Классификация алкидных олигомеров

.2 Получение алкидов

.2.1 Алкоголизный метод

.2.2 Жирнокислотный метод

.2.3 Моноглицеридный метод

.2.4 Ацидолиз

.3 Свойства и применение алкидных ЛКМ

.4 Модифицированные алкидные олигомеры

.4.1 Алкидно-меламиновые пленкообразователи

.4.2 Алкидно-карбамидные пленкообразователи

.4.3 Алкидные олигомеры модифицированные непредельными соединениями

.4.3.1 Алкидно-стирольные пленкообразователи

.4.3.2 Алкидно-стирольные пленкообразователи

.4.3.3 Модификация алкидов виниловыми мономерами

.4.4 Модификация полиорганосилоксанов алкидными олигомерами

.4.5 Уралкиды

.4.6 Модификация полиамидными смолами

.4.7 Модификация силиконами

.4.8 Модификация фенолформальдегидным смолами

Заключение

Литература

алкидная краска олигомер пленкообразователь

Введение

Актуальность

Современная мировая экономика переходит в стадию постиндустриального развития. На стадии индустриального развития большое внимание уделяется развитию тяжелых отраслей промышленности, в том числе и химической. В ней же одно из важных мест занимало и занимает производство лакокрасочных материалов. На постиндустриальной стадии развития химической промышленности большое значение приобретает внедрение современных технологий, но они не могут не использовать предшествующий опыт производства лакокрасочных материалов.

Среди лакокрасочных материалов наиболее распространенными и часто используемыми являются алкидные краски.

Тема: Алкидные краски

Цели: Анализ имеющихся литературных источников посвященных алкидным краскам.

Задачи:

Проанализировать имеющуюся литературу, посвященную лакокрасочным материалам (в том числе алкидным краскам).

Рассмотреть историю лакокрасочных материалов.

Рассмотреть состав и классификацию лакокрасочных материалов.

Дать общее описание алкидов.

Рассмотреть классификацию алкидов.

Рассмотреть некоторые способы производства алкидов.

Рассмотреть свойства и области применения алкидных красок.

Дать общее представления о некоторых видах модифицированных алкидах.

Объект: ЛКМ

Предмет: Алкидные краски

Практическая значимость курсовой работы.

Курсовая может быть положена в основу спецкурса для учащихся школы профильных классов и студентов среднеспециальных и высших учебных заведений химических специальностей.

1. Краткий исторический обзор

Предполагают, что первобытные люди изготовляли первые краски около 25000 лет тому назад. [7; 9-15] Они были охотниками и жителями пещер и, очевидно, под влиянием вдохновения на каменных стенах своих пещер делали наброски животных, на которых охотились, и раскрашивали их. Создавая эти образы, люди, вероятно, думали, что их власть над добычей возрастет.

Химический анализ окрашенных материалов, обнаруженных в Аль-тамире (Испания) и Ласкауксе (Франция), показывает, что основными пигментами, которые использовали художники времен палеолита, были оксиды железа и марганца. Они обеспечивали получение трех основных цветов, найденных в большинстве пещерных картин, а именно: черного, красного и желтого, наряду с промежуточными оттенками. Использовались также уголь после сжигания древесины, желтый карбонат железа и мел. Странно, что в Ласкауксе, где естественная окраска камня использовалась как бледный фон, нет и следов применения белого пигмента, который в наше время является наиболее широко используемым. Однако белые пигменты встречаются в некоторых доисторических картинах в Африке.

Эти земляные пигменты измельчали в тонкий порошок. Считают, что в качестве ступок использовали природные камни с углублениями, а кости служили пестиками, о чем свидетельствовали находки таких предметов, окрашенных пигментами. Порошкообразные пигменты, по-видимому, смешивали с водой, костным мозгом, животными жирами, яичным белком или с растительными сахарами и получали краски. Их наносили «тыканием» пальца или с помощью примитивных тампонов или кистей из волос, меха животных или мха. Пещерные рисунки сохранились потому, что они располагались глубоко внутри пещер, входы в которые впоследствии оказались плотно закрыты. Эти краски обладают очень плохой долговечностью, а связующие служили просто для того, чтобы приклеить пигменты к стенам пещер. [7; 9-15]

В период, приблизительно, между 3000 и 600 гг. до н. э. египтяне значительно развили искусство приготовления красок. Они разработали более широкую цветовую гамму пигментов, которые включали синие цвета, голубой лазурит (смешанные кристаллы силиката натрия и сульфида натрия) и сине-зеленый азурит (химически аналогичный малахиту). В этот период начали применять красную и желтую охры (оксид железа), желтый трисульфид мышьяка, зеленый малахит (основной карбонат меди), ламповую сажу и белый пигментный - гипс (сульфат кальция). Первый синтетический пигмент, известный сегодня как Египетский голубой, был получен почти 5000 лет назад.[7; 9-15] Его приготовили путем прокаливания извести, карбоната натрия, малахита и кремнезема при температуре свыше 830°С. Египтянам же принадлежит разработка первых красочных лаков. Их готовили путем осаждения растворимых органических красителей на неорганическую (минеральную) основу и «фиксирования» их химическим путем с образованием нерастворимого соединения. Вначале для этих целей был использован красный краситель, полученный из корней растения Марены (красильной). В настоящее время из-за низкой светостойкости он нигде больше не используется за исключением художественных красок («розовый крапп»). Однако и сегодня природные красители представляют важную группу пигментов. Древние египтяне начали использовать свинцовый сурик в защитных красках для древесины, однако более широкое применение он получил у римлян. В качестве пленкообразователей почти исключительно использовали природные смолы, расплавы восков, поскольку необходимые растворители были неизвестны. Льняные и другие высыхающие масла были известны, однако нет никаких доказательств, подтверждающих их применение в красках.[7; 9-15]

Греки и римляне в период между 600 г. до н. э. и 400 г. н. э. почти наверняка знали, что лакокрасочные покрытия могут выполнять как защитные, так и декоративные функции при окраске сооружений. В это время начали использовать лаки на основе высыхающих масел. Однако только в XIII в. хорошие защитные свойства высыхающих масел начали признавать в Европе. В средневековье многие картины, особенно на дереве, защищали лакированием. Лаки приготовляли растворением соответствующих смол в горячем льняном, конопляном или ореховом маслах, которые со временем склонны к потемнению.

К концу XVIII в. спрос на краски всех типов возрос до такой степени, что стало экономически выгодно организовывать производство лаков и красок для продажи. В 1833 г. Дж. В. Нейл рекомендовал производителям в целях безопасности при производстве лаков и красок всегда иметь при себе помощника: «Никогда не делай ничего в спешке или небрежно... Нервные или робкие люди не годятся ни в производители, ни в помощники; наибольшее число несчастных случаев происходит вследствие спешки, страха или опьянения». Это предостережение является свидетельством увеличения масштабов производства и опасностей использования открытых реакторов для производства лаков.

Промышленная революция XIX в. оказала большое влияние на развитие лакокрасочной промышленности. Возрастающее применение железа и стали в строительстве и технике, обусловило потребность в противокоррозионных грунтовках, которые бы замедляли или предотвращали ржавление и коррозию. В связи с этим были разработаны свинец- и цинксодержащие краски. Интересно отметить, что одна из простейших красок на основе свинцового сурика, диспергированного в льняном масле, является по-прежнему, вероятно, одной из лучших противокоррозионных грунтовок для конструкционной стали. Свинецсодержащие краски постепенно вытесняются не потому, что были разработаны лучшие, а из-за их токсичности.

Ускорение научно-технического прогресса, начиная с XVIII в. до настоящего времени, оказало растущее влияние на производство лаков и красок. Берлинская лазурь - первый искусственный пигмент, химизм получения которого был понят - открыт в 1704 г. Использование скипидара в качестве растворителя красок впервые описано в 1740 г. Металлические сиккативы для ускорения высыхания растительных масел начали применять в 1840 г.

Основа химии формальдегидных смол заложена в период между 1850 и 1890 гг., хотя они не применялись в красках вплоть до двадцатого века. Подобно этому в 1877 г. было открыто, что нитроцеллюлозу можно сделать безопасной для применения в качестве пластиков или пленок путем пластификации ее камфорой, однако только после первой мировой войны ее начали использовать в значительных количествах в производстве красок. Настоятельная необходимость их применения была вызвана массовым производством автомобилей. Огромные количества нитроцеллюлозы производили для взрывчатых веществ во время войны. В конце войны с уменьшением потребности во взрывчатых веществах для нитроцеллюлозы необходимо было найти другое применение; массовое производство автомобилей и необходимости их окраски обеспечило необходимый рынок нитроцеллюлозным связующим. Война ускорила использование открытий химии и рост химической промышленности. Появились новые цветные синтетические пигменты и красители, а в 1918 г. начали использовать новый белый пигмент - диоксид титана, который должен был полностью заменить свинцовые белила. Диоксид титана при первоначальном применении в красках повысил белизну и укрывистость, или кроющую способность красок, однако он же вызывал более быстрое разрушение лакокрасочных покрытий вследствие его фотоактивности. Последующие исследования позволили преодолеть эту проблему и разработать современные пигментные формы диоксида титана, которые можно применять в любых лакокрасочных композициях без опасения ухудшить эксплуатационные свойства покрытий.[7; 9-15]

2. Состав и классификация лакокрасочных материалов

Лакокрасочные материалы - это смеси сложного состава. Каждый компонент смеси имеет свою функцию для придания покрытию того или иного свойства.[7; 15]

Таблица№1 Компоненты красок и их функции

Компоненты красок

Типичная функция

Раствор связующего (гомогенная фаза)

Полимер или смола (связующее)

Обеспечивает создание сплошной пленки, изолирование или защиту покрываемой поверхности. Варьируется по химическому составу в зависимости от области использования покрытия.

Обеспечивает возможность нанесения краски. Отсутствует в некоторых композициях, таких как порошковые краски и 100% полимеризующиеся системы.

Пигмент (дисперсная фаза)

Добавки (могут относиться как к гомогенной, так и дисперсной фазам)

Компоненты, присутствующие в незначительных количествах, различные по природе и эффектам, например, катализаторы, сиккативы, добавки улучшающие розлив.


Основной пигмент (только дисперсные частицы, неорганические и органические)

Обеспечивает укрывистость, цвет и другие, оптические или визуальные эффекты. Наиболее часто используют для эстетических целей. В грунтовках пигмент может обеспечивать противокоррозионные свойства.


Наполнитель (грубодисперсные частицы неорганической природы)

Имеет многочисленные функции, включая укрывистость, облегчает шлифовку.


.1 Пленкообразующие вещества (пленкообразователь)

высокомолекулярные синтетические или природные вещества, а также их смеси, способные вместе с другими компонентами ЛКМ при нанесении тонким слоем из раствора, дисперсии или расплава формировать покрытие в результате физико-химическим или химическим превращением на подложке. [10; 12] Пленкообразователи можно классифицировать в соответствии с их молекулярной массой.

Таблица№2 Примеры пленкообразователей

Низкомолекулярные

Высокомолекулярные

Маслосмоляные связующие, алкиды, полиуретаны, уретановые масла, аминосмолы, фенольные смолы, эпоксидные смолы, ненасыщенные полиэтилены, хлорированный каучук.

Нитроцеллюлоза, виниловые полимеры, акриловые полимеры, неводные дисперсные полимеры, латексы: акриоловые, поливинилацетатные (ПВА), стирол-бутадиеновые.


.2 Растворители

Растворители используются для двух целей: для приготовления краски и для обеспечения возможности её нанесения на различные поверхности. В качестве растворителей используют ряд органических жидкостей, причем тип растворителя выбирают в зависимости о природы пленкообразователя.[7; 24-25]. Критерием качества растворителя является его термодинамические характеристики по отношению к полимеру (пленкообразователю). «Хорошим» растворителем называют растворитель способный образовывать истинный раствор (гомогенную систему пленкообразователь - растворитель) в рабочем интервале концентраций и температур. [3; 14]

«Плохим» называют такой растворитель, который способен образовывать истинные растворы только в определенных областях концентраций и температур, за пределами которых происходит расслоение системы на две фазы.

Растворители должны иметь хорошую растворяющую способность, оптимальную температуру кипения, минимальную токсичность. Растворители с высокой растворяющей способностью по отношению к большинству пленкообразователей называются активными. К ним относятся ацетон и ацетаты. Температура кипения растворителя не должна быть слишком низкой (из-за летучести) и не слишком высокой (из-за трудности его регенерации). В таблице 3 приведены некоторые свойства растворителей широко используемых для приготовления лакокрасочных материалов.

Часто один растворитель не может удовлетворить всех предъявляемых к нему требований, поэтому на практике используют эмпирически подобранные смеси. В смесь растворителей, как правило, входят разбавители-растворители, не растворяющие данный пленкообразователь, но способствующие его растворению и снижающие вязкость раствора. Но при избыточном разбавлении может произойти высаживание пленкообразователя.

Один и тот же растворитель для одного пленкообразователя может быть «хорошим», для второго - «плохим», а для третьего просто разбавителем.

Таблица№3Свойства некоторых органических растворителей

ТВС,оС

- 18

25

28-35

61

33

13

24

-8

-

42

30

-

5

63

Не горит

40

-3

22

Пределы Тк,оС

55-56

115-150

114-118

163-182

165-200

79-97

127-159

53-60

115-168

118-126

153-160

120-200

109-111

150-158

75-78

130-137

70-80

110-145

Молекулярная масса

58,087

130,182

74,120

118

-

98,966

106

74,078

72,104

-

-

-

94,14

-

-

-

116,156

Химическая формула

СН3СОСН3

СН3СООС5Н11

С4Н9ОН

С4Н9ОСН2СН2ОН

Смесь предельных углеводородов С6-С8

СН2ClСН2Cl

С6Н4(СН3)2

СН3СООСН3

СН3СОС2Н5

СН3ОСН2СН2ОН

Смесь терпенов

Смесь ароматических углеводородов

С6Н5СН3

С6Н10О

СCl4

C2Н5ОСН2СН2ОН

СН3СООС2Н5

СН3СООС4Н9

Наименование

Ацетон

Амилацетат

Бутанол

Бутилцеллозольв

Уайт-спирит

Дихлорэтан

п-Ксилол

Метилацетат

Метиэтилкетон

Метилцеллозольв

Скипидар

Сольвент-нафта

Толуол

Циклогексанон

Тетрахлорид углерода

Этилцеллозольв

Этилацетат

Бутилацетат


.3 Пигменты

Для получения наполненных полимерных покрытий в лакокрасочные композиции вводят неорганические и органические пигменты. В цветных покрытиях помимо цвета пигмент обеспечивает твердость атмосферостойкость, стойкость к коррозии снижает набухание пленки в воде, отражает или поглощает свет. Для приготовлении лакокрасочных материалов используют главным образом неорганические пигменты: природные или искусственно получаемые оксиды или соли металлов, металлические порошки (алюминиевая пудра, цинковая пыль), а также технический углерод - сажа. Но число неорганических пигментов ограничено, поэтому очень много пигментов получают из органических красителей. Для этого их сначала переводят в нерастворимое состояние, а затем измельчают до нужного размера частиц. Использование органических пигментов позволяет значительно расширить цветовую гамму покрытий, особенно красных зеленых и синих тонов. Введение органических пигментов в лакокрасочную композицию придает покрытию яркий и насыщенный цвет. Ниже приведен перечень наиболее распространенных пигментов органической и неорганической природы.[3, с.19]

Таблица№4 Примеры пигментов

Цвет

Неорганические пигменты

Органические пигменты

Черный

Сажа, СuСО3, МnО2

Ализариновый черный, анилин.

Жёлтый

PbCrO4, ZnCrO4+BaCrO4, CdSO4

Азобензол, азофенетол, бензидин

Синий, фиолетовый

Ультрамарин, Fe3[Fe(CN)6]

Фталоциановый голубой, антрахинон

Зелёный

Cr2O3

Фталоциановый зелёный

Красный

Красные кроны, сурик свинцовый.

Толуидиновый красный

Белый

TiO2, ZnO, SbO, Pb(OCO3)2



Ализарин


Антрахинон


Азопигмент


Толуидиновый красный


Бензидин


Анилин


Фталлоциан


Азобензол


Азофенетол


2.4 Наполнители

Для улучшения механических свойств и коррозионной стойкости полимерных покрытий, а также для частичной замены дорогих и дефицитных пигментов в лакокрасочные композиции вводят наполнители. В качестве наполнителей используют природные (мел, слюда, тальк, каолин) и синтетические (оксид алюминия, сульфат бария) соединения. Содержание наполнителей может составлять до 25% от количества вводимых пигментов.

Таблица№5Примеры вспомогательных пигментов (наполнителей)[7; 23-24]

Химическая природа

Тип

ВаSО4

Бариты, бланфикс

СаСО3

Мел, известняк

СаSО4

Гипс, ангидрид, осажденный гипс

Силикаты

SiO2(кремнезем), диатолит, глина, тальк, слюда.


.5 Пластификаторы

Для улучшения механических свойств полимерных покрытий, главным образом эластичности, в лакокрасочную композицию вводят низколетучие растворители, так называемые пластификаторы.

Пластификаторы изменяя вязкость системы, увеличивая гибкость макромолекул полимера и подвижность структурных элементов, позволяют получать покрытия с высокими показателями прочности при изгибе и ударе.[3; 18]

Таблица №7 Вклад основных компонентов краски в ее свойства

Свойство

Пленкообразователь

Пигмент

Растворитель

Способность к нанесению

Основной

Незначительный

Основной

Скорость отверждения

Основной

  -

Значительный

Механические свойства

Основной

Незначительный

-

Долговечность

Основной

Основной

-

Цвет

Незначительный

Основной

-

2.6 Классификация лакокрасочных материалов

Все лакокрасочные материалы можно классифицировать следующим образом. [10;с.13]

Рисунок№1 Классификация ЛКМ


Пигменты - твердые порошкообразные тонкодисперсные органические или неорганические вещества, синтетические и природные, придающие покрытию непрозрачный цвет и влияющие на другие свойства покрытия.

Олифы - продукты термической или химической переработки растительных масел.

Лаки - растворы пленкообразующих веществ в органических растворителях или в воде. При высыхании или отверждении они образуют прозрачное однородное покрытие.

Краски - лакокрасочные материалы, представляющие собой однородные суспензии пигментов в пленкообразующих веществах. Можно выделить три основных группы красок:

) масляные - на основе высыхающих масел и олиф;

) водные

а) клеевые на основе растительных и животных клеев;

б) силикатные на основе жидкого стекла;

в)эмульсионные - на основе водных эмульсий, высыхающих масел или синтетических полимеров;

Эмали - суспензии пигментов в лаках. Их наносят последним слоем на многослойное покрытие. Эмали придают покрытиям декоративность и обеспечивают высокую свето- и атмосферостойкость.

Грунтовки - суспензии пигментов в лаках, олифах или эмульсии пленкообразователя. Они предназначены для нанесения первого слоя на окрашиваемую поверхность и обеспечивают надежное сцепление покрытия с поверхностью и ровное распределение последующих покрытий на окрашиваемой поверхности.

Водоразбавляемые грунтовки и эмали - лакокрасочные материалы на основе синтетических полимеров, образующих достаточно стабильные растворы в воде.

Шпатлевки - дисперсии в связующих пигментов и наполнителей. Их берут в количествах, обеспечивающих ровное распределение последующих покрытий на окрашиваемой поверхности. получение вязкой массы в смеси с возможно меньшим количеством летучих веществ и, следовательно, возможно меньшей усадкой при сушке или отвердевании. Шпатлевки служат для заделывания различных дефектов на окрашиваемой поверхности.[10; с.14]

3. Алкиды

Наиболее распространенными лакокрасочными материалами, с широким спектром применения, универсальностью, относительно низкой стоимостью и доступностью являются связующие на основе поликонденсационных смол, к которым в первую очередь относятся алкиды.

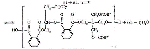
Алкидами называются полиэфиры разветвленного строения, представляющие собой продукты неполной полиэтерификации многоатомных спиртов, многоосновных кислот и одноосновных жирных кислот.

Строение алкидного олигомера можно схематично представить следующим образом:


где R-остаток жирной кислоты.[3, 65]

Алкиды были одними из первых синтетических полимеров, использованных в технологии покрытий. Оказалось очень полезным химически связать масла или жирные кислоты масел в структуру сложного полиэфира и тем самым существенно улучшить механические свойства, скорость высыхания и долговечность этих связующих по сравнению с маслами и масляносмоляными связующими. И хотя в настоящее время для более жестких условий эксплуатации имеются более сложные полимеры с улучшенными свойствами, алкиды по-прежнему занимают большую долю в общем объеме производства пленкообразователей. Это объясняется использованием хотя бы частично для их производства возобновляемого природного сырья и, главным образом, благодаря возможности изготовления огромного разнообразия композиций.[7;35]

.1 Классификация алкидных олигомеров

Алкидные олигомеры классифицируют по химическому строению многоосновных спиртов и растительных масел или жирных кислот, входящих в их состав.

В зависимости от используемых спиртов алкидные олигомеры классифицируют на глифталевые, пентафталевые, этрифталевые, ксифталевые.

Глифталевые алкиды - продукты поликонденсации трехатомного спирта - глицерина, фталевого ангидрида и растительных масел (триглицеридов жирных кислот); в пентафталевых алкидах глицерин заменен на четырехатомный спирт-пентаэритрит; в этрифталевых-на пятиатомный спирт-этриол; в ксифталевых - на шестиатомный спирт - ксилит.

В зависимости от типа растительного масла или жирной кислоты, входящих в состав алкидных олигомеров, последние подразделяются на высыхающие и невысыхающие.

Высыхающие алкиды, содержащие высыхающие масла (льняное, тунговое, ойтисиковое и др.) образуют покрытия сетчатого строения значительно быстрее по сравнению с алкидами на основе полувысыхающих масел (подсолнечное, соевое, хлопковое и другие).

Преимуществам высыхающих алкидов, содержащих полувысыхающие масла, является высокая эластичность покрытий на их основе, их устойчивость к пожелтению, потере блеска в процессе свето- и термостарения. При выборе пленкообразователя для лакокрасочного материала необходимо учитывать приведенные выше свойства высыхающих алкидов.

К невысыхающим продуктам относятся алкиды, не способные отверждаться, а следовательно, и образовывать пленку. К таким алкидам относятся продукты на основе касторового масла, называемые резилами, общей формулы:


Невысыхающие алкиды широко применяются в промышленности в качестве пластификаторов для хлорсодержащих полимеров, нитроцеллюлозных лаков и др.

Если провести дегидратацию касторового масла, в результате которой образуются продукты, содержащие сопряженные или несопряженные двойные связи:


то алкиды, получаемые на основе дегидратированного касторового масла, относятся к классу высыхающих. На основе таких алкидов получают светлые лаки и эмали, покрытия из которых не желтеют в процессе эксплуатации в атмосферных условиях. Свойство алкидных покрытий не изменять своего цвета при свето- и термостарении является важной характеристикой этого класса материалов.

Доля модификатора алкидных олигомеров оценивается критерием «жирность». Под жирностью понимают массовую долю одноосновных кислот модификаторов в составе алкидного олигомера.

В зависимости от содержания модификатора алкидные олигомеры классифицируют на сверхтощие (до 34%), тощие (35-45%), средней жирности (46-55%) и жирные (50-70%). С уменьшением жирности растворимость алкидных олигомеров ухудшается, что особенно заметно при их растворении в алифатических и нафтеновых углеводородах; с увеличением жирности улучшается смачивающая способность лакокрасочных материалов, что способствует повышению розлива, а также эластичности покрытий.

Покрытия на основе лакокрасочных материалов, получаемых на сверх тощих и тощих алкидах, обладают следующими преимуществами по сравнению с жирными алкидами: большой твердостью, высокими влагостойкостью и атмосферостойкостью.

С целью экономии пищевых растительных масел и удешевления продукции в настоящее время алкидные олигомеры получают с частичной или полной заменой растительных масел синтетическими жирными кислотами (СЖК)- продуктами окисления парафинов фракции С10-С16; жирными кислотами таллового масла- побочного продукта производства целлюлозы. В последние годы в лакокрасочной промышленности используются жирные кислоты соапстока хлопкового масла. Соапстоки - отходы образующиеся при рафинации масел.

Наиболее высококачественные алкидные олигомеры получают модификацией синтетическими разветвленными кислотами С10-С16, так называемыми высшими изомерными карбоновыми кислотами (ВИКК) следующего строения:


ВИКК по сравнению с жирными кислотами нормального строения имеют меньшее кислотное число, что обеспечивает сложным эфирам этих кислот гидролитическую стойкость. Поэтому покрытия на основе алкидных олигомеров, модифицированных ВИКК, имеют высокую атмосферостойкость, а также стойкость к воздействию щелочей и воды. Алкидные олигомеры, модифицированные ВИКК, при взаимодействии с меламиноформальдегидными олигомерами образуют покрытия сетчатого строения с достаточно полным использованием функциональных групп. Алкидномеламиновые материалы на основе алкидных олигомеров, модифицированных ВИКК, находят применение в автомобильной промышленности.

Промышленностью выпускаются главным образом глифталевые и пентафталевые алкиды. Пентафталевые алкиды имеют ряд преимуществ перед глифталевыми, в частности, большую степень разветвленности олигомера вследствие большей функциональности пентаэритрита по сравнению с глицерином, что обеспечивает более быстрое отверждение пентафталевых покрытий. Молекулярная масса пентафталевых алкидов выше, чем глифталевых.

Пентафталевые покрытия превосходят глифталевые по твердости, механическим характеристикам, водостойкости и атмосферостойкости.

Глифталевые олигомеры, модифицированные смесью льняного и тунгового масла жирностью около 50% (масс), используются при изготовлении грунтовок (например, грунтовок ГФ-021, ГФ-0119). Алкиды такого типа обеспечивают покрытию высокие противокоррозионные свойства, что особенно важно для грунтовочных материалов, наносимых непосредственно на металлическую поверхность и обеспечивающих коррозионную защиту всего комплексного покрытия.

Глифталевые олигомеры (например, ГФ-085 и ГФ-024) на хлопковом масле с жирностью 46% используются в качестве модификатора при получении кремнийорганических лакокрасочных материалов: грунтовки КО-075 и эмали КО-815.

Глифталевые олигомеры ГФ-091 и ГФ-095 на льняном масле или на смеси подсолнечного и тунгового масел с жирностью 50-55% применяются для получения алкидно-стирольных сополимеров, широко используемых в промышленности для получения эмалей, наносимых по металлу и древесине (эмали МП-233, АС-127, МЛ-17, УР-234 и др.).

Из пентафталевых олигомеров для грунтовок применяется алкидный олигомер, модифицированный подсолнечным маслом или СЖК жирностью 69% (масс). Пентафталевый олигомер на основе жирных кислот подсолнечного или таллового масел со средней жирностью используется для получения эмали ПФ-231, широко применяемой для отделки паркетных плит.

Высоким качеством обладают пентафталевые алкиды на льняном масле жирностью 60-65% (масс), используемые для приготовления наиболее распространенного типа эмалей марки ПФ-115, предназначаемых для покрытий, эксплуатируемых в атмосферных условиях и широко применяемых в различных отраслях промышленности (городской и железнодорожный транспорт, сельхозтехника и др.), строительстве и быту.

Этрифталевые олигомеры на синтетических жирных кислотах фракции С10-С16 или C10-С13 с добавкой 0,2% (масс.) малеинового ангидрида (олигомер ЭФ-СИН-30), а также олигомер ЭФ-СИН-40 на глицидиловом эфире синтетических жирных кислот разветвленного строения) нашли использование в алкидно-меламиновых эмалях для отделки автомобилей (эмаль МЛ-12), сельхозтехники (эмаль МЛ-158), в качестве модификаторов нитроцеллюлозных эмалей и эмалей на основе хлорированных полимеров (эмали 507 и 517, ХС-1117 и др.). Существуют алкидные олигомеры, при синтезе которых фталевый ангидрид на 10-12% заменен на малеиновый ангидрид. Этим достигается повышение молекулярной массы и разветвленности олигомера, что обеспечивает покрытию на основе таких олигомеров большую скорость отверждения, высокую твердость и водостойкость по сравнению с теми же характеристиками АО, в которые в качестве компонента многоосновных кислот входит только фталевая кислота.[3; 68-69]

.2 Получение алкидов

Алкидные олигомеры получают главным образом методом алкоголиза и значительно реже - жирнокислотным методом. Основной реакцией во всех случаях является полиэтерификация, проводимая с избыточным количеством многоатомного спирта.

.2.1 Алкоголизный метод

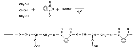
включает три стадии: первая стадия - алкоголиз (переэтерификация) растительного масла многоатомным спиртом (например, глицерином) в присутствии щелочного катализатора (КОН, NaOH, Na2CО3) при 240- 260 °С. На этой стадии образуется смесь неполных эфиров глицерина - моно- и диглицеридов.

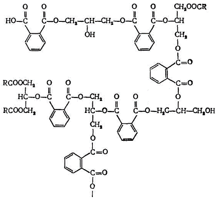
На второй стадии происходит этерификация неполных эфиров (глицеридов) фталевым ангидридом яри 200-240 °С с образованием неполных кислых эфиров 1 и 2, которые затем подвергаются поликонденсации:


неполный кислый эфир (II)


Аналогичным методам получают пентафталевые и этрифталевые олигомеры. Процесс контролируют по вязкости и кислотному числу.

.2.2 Жирнокислотный метод

заключается в образовании неполных эфиров жирных кислот и многоатомных спиртов на стадии этерификации с последующей полиэтэрификацией по схеме[3; 65-66]:


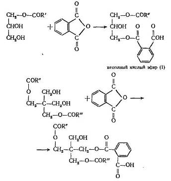
3.2.3 Разработан и широко применяется так называемый моноглицеридный метод, в котором на первой стадии осуществляется модификация масла. В этом методе глицерин (или другой полиол) и масло в молярном > соотношении 2:1 взаимодействуют при температуре, примерно, 240 °С в присутствии основного катализатора (гидроксида натрия, свинцового глета и др.), образуя «моноглицерид», моноэфир жирной кислоты и глицерина:


На практике реакция не доходит до завершения и в продукте присутствует равновесная смесь веществ, включающая масло, полиол, моно- и диглицериды. Если в реакции используют другой полиол вместо глицерина, например пентаэритрит для жирных алкидов, аналогично проводят стадию получения «моноглицерида» с таким количеством полиола, чтобы на этой стадии получить основной продукт с двумя гидроксильными группами.

3.2.4 Возможны и другие методы, например, ацидолиз, когда масло реагирует сначала с полиосновной кислотой до взаимодействия с полиолом; этот метод не получил широкого распространения. Если необходимо в структуру алкида включить тунговое масло, применение моноглицеридного метода опасно из-за возможности чрезмерного повышения вязкости; возможным вариантом является использование смеси жирной кислоты с маслом. Например, реакцию смеси тунгового масла со значительным количеством жирной кислоты, полиола и двухосновной кислоты проводят в одну стадию.


Если концентрация масла невысока, при такой переработке происходит переэтерификация масла в степени, достаточной для обеспечения его взаимодействия с полиэфиром и образования прозрачного конечного продукта. Предложен также метод производства алкидов, заключающийся в ступенчатом добавлении ингредиентов, что обеспечивает достижение более предпочтительного молекулярного веса, распределения реакционноспособных групп и улучшение некоторых свойств. Считается, что он особенно эффективен при синтезе алкидных смол на талловом масле.[7; 37-38]

.3 Свойства и применение алкидных лакокрасочных материалов

Свойства товарных алкидных лаков и эмалей и образуемых ими покрытий в значительной мере зависят от типа входящих в их состав глифталевых и пентафталевых смол и полуфабрикатных лаков. Высыхающие алкиды холодной и горячей сушки служат » качестве самостоятельных пленкообразователей для алкидной продукции, а также в качестве компонентов в смесях с различными смолами - для производства фенольных, карбамидных, перхлорвиниловых и других лакокрасочных материалов. Невысыхающие алкидные смолы применяют в основном в смесях с карбамидными смолами и нитратами целлюлозы для повышения адгезии и эластичности покрытий.

От жирности алкидных смол зависят вязкость растворов, наносимость лаков и эмалей, совместимость их с маслами, высыхание, твердость, блеск, стойкость к действию различных реагентов, а также атмосферостойкость и другие свойства покрытий. Смолы с жирностью менее 50% хорошо растворяются в ароматических углеводородах, кетонах и сложных эфирах. С повышением жирности смол снижается вязкость их растворов, улучшается растворимость в уайт-спирите и других алифатических углеводородах, совместимость алкидов с маслами, облегчается наносимость лаков и эмалей кистью и диспергирование пигментов, повышается эластичность и атмосферостойкость покрытий; одновременно замедляется высыхание, снижается твердость и стойкость покрытий к действию минеральных масел.

Наибольшей скоростью высыхания характеризуются лакокрасочные материалы на основе алкидных смол, модифицированных льняным маслом или смесью льняного и тунгового масла. Содержание последнего в смеси не должно превышать 15% от массы масел.

Вводимые для модификации алкидов полувысыхающие масла уменьшают твердость и износостойкость покрытии, но способствуют замедлению их старения.

Пентафталевые лаки и эмали по сравнению с глифталевыми (аналогичными по степени жирности и типу масла-модификатора) отверждаются при холодной сушке быстрее с образованием более водостойких покрытий.

Пентафталевые смолы, модифицированные высыхающими маслами, должны иметь жирность не менее 64%, а модифицированные полувысыхающими маслами- не менее 58% во избежание роста их вязкости вплоть до желатинизации. В состав тощих пентафталевых смол вводят для снижения вязкости канифоль или другие одноосновные кислоты.

Модифицированные алкидные лакокрасочные материалы образуют покрытия с хорошими декоративными и защитными свойствами, высокой твердостью, атмосферостойкостью и др. Их можно длительно эксплуатировать в атмосферных условиях и внутри помещений. Поэтому они получили широкое распространение в промышленности, на транспорте и для бытовых целей. Ассортимент алкидных материалов включает около 15 марок лаков, 50 марок эмалей, 20 марок грунтовок и несколько марок шпатлевок. Эмали в большинстве случаев выпускаются различных цветов, например, эмаль ГФ-230 общего назначения - более 25 цветов, эмали ПФ-115, ПФ-223 и ПФ-133 - 20 цветов каждая и т. д. [8; 43-44]

Алкидные материалы на основе высыхающих и полувысыхающих масел образуют покрытия в результате аутоокислительной полимеризации. Реакции такого типа отличаются возможностью соединения с кислородом воздуха, с образованием пероксидов и инициирования свободных радикалов, которые генерируются на промежуточных стадиях окисления масел.

Способность к окислению масел содержащих ненасыщенные жирные кислоты и их эфиры, определяется не только числом двойных π-связей, но и их расположением в молекулах(сопряженные или изолированные), наличием заместителей, а так же расположением последних относительно π-связей (цис- и транс- конфигурация).

Механизм аутоокислительной полимеризации при пленкообразовании состоит в следующем: на первой стадии образуются непредельные гидропероксиды по а-метиленовым группам с изомеризацией двойных связей, на второй стадии образуется полимер по реакции сополимеризации непредельных гидропероксидов с кислородом (формирование сетчатой структуры в продукте). На этом процесс пленкообразования не заканчивается, так как окислительная полимеризация продолжает протекать и в отверждающейся пленке, и это оказывает существенное влияние на последующие структурные превращения в системе. В процессе формирования алкидных покрытий в них образуется глобулярная надмолекулярная структура; форма и размер глобул обусловлены химическим строением алкидного олигомера и условиями пленкообразования.

Алкидные олигомеры на основе масел с достаточно высокой ненасыщенностью способны отверждаться и образовывать пленки при комнатной температуре. Такие алкиды используются для приготовления лакокрасочных материалов в качестве самостоятельных пленкообразующих веществ. Процесс отверждения пленок из такого типа алкидов продолжается до пяти суток. Для ускорения этого процесса в алкиды вводят сиккативы. [3;67]

Пленкообразующие свойства алкидных олигомеров определяются природой мономеров, образующих полиэфирную цепь, а также природой и количеством модификатора, способствующего получению алкида разветвленного строения. В качестве модификаторов используют свободные монокарбоновые кислоты или их производные. Наибольшее распространение получили такие модификаторы, как растительные масла или их жирные кислоты, синтетические жирные кислоты, ароматические монокарбоновые кислоты и др. Модификация непредельными жирно-кислотными остатками придает алкидным олигомерам способность отверждаться за счет протеканий химических реакций, растворяться в различных растворителях и совмещаться, С другими плёнкообразователями с образованием продуктов, называемых модифицированными алкидами.[3; 67]


С целью получения покрытий сетчатого строения, обеспечивающих хорошие эксплуатационные свойства, алкидные олигомеры модифицируют другими олигомерами, большинство из которых являются сшивающими агентами для алкидных систем. Отверждение покрытий в этом случае идет за счет взаимодействия гидроксильных групп алкидного олигомера с метилольными и алкоксильными группами (второго компонента). К перспективным материалам такого типа относятся, в первую очередь, алкидномеламиновые системы.

.4.1 Алкидномеламиновые пленкообразователи

В процессе отверждения покрытий на основе алкидных олигомеров, содержащих свободные гидроксильные и карбоксильные группы, а также имеющих в радикалах жирных кислот двойные связи с меламиноформальдегидным олигомером, содержащим метилольные группы, протекают две реакции: полимеризация алкидного олигомера по месту двойных связей с образованием циклических структур и реакция между метоксильными группами меламиноформальдегидного пленкообразователя с гидроксильными или карбоксильными группами алкидного олигомера.

Алкидномеламиновые эмали МЛ-12, МЛ-197, МЛ-1110 и др. в настоящее время являются основным ассортиментом эмалей, применяемых для защиты легковых автомобилей различных марок.

Различают два типа алкидно-меламиновых эмалей: эмали, отверждаемые при повышенной температуре (100 и 130°С), и эмали, отверждаемые на воздухе с помощью катализаторов. Последние используются для ремонтных работ.

Промышленностью выпускаются алкидномеламиновые эмали разнообразных расцветок: например цветовая гамма эмали МЛ-197 -29, а эмали МЛ-1110 -27 расцветок.

Покрытия этими эмалями отличаются высокими декоративными, физико-механическими и защитными характеристиками.

3.4.2 Алкиднокарбамидные пленкообразователи

Смеси алкидных и мочевиноформальдегидных олигомеров в присутствии катализаторов способны после нанесения на поверхность изделия образовывать пленки в результате реакции поликонденсации, протекающей между гидроксильными и метилольными группами олигомеров:


Из алкидных олигомеров для создания пленкообразователей такого типа применение получил глифталевый олигомер на дегидратированном касторовом масле, содержащий свободные гидроксильные группы.

Карбамидоформальдегидные олигомеры для лучшей совместимости с алкидами частично этерифицируют бутанолом; при этом бутанолизацию проводят таким образом, чтобы в олигомере осталось достаточное количество реакционноспособных метилольных групп.

Лаки, (полученные при взаимодействии алкидных и карбамидоформальдегидных олигомеров в присутствии таких катализаторов, получили название лаков кислотного отверждения. Эти лаки выпускаются в виде двух компонентов: основы - раствора олигомеров в смеси бутанола и уайт-спирита и кислотного отвердителя, представляющего собой 3,5-7%-ный раствор кислот (соляной, серной или азотной) в бутаноле.

Жизнеспособность лака после смешения компонентов ограничена вследствие того, что реакция поликонденсации между алкидным и карбамидоформальдегидным олигомерами в присутствии кислых катализаторов может протекать не только в процессе формирования покрытия, но и при хранении лака, что приводит к повышению вязкости лака, вплоть до образования нерастворимого геля. Наибольшее применение из алкиднокарбамидных лаков кислотного отверждения получили: лак МЧ-52 для отделки лыж и решетчатой мебели; лак МЧ-22 и МЧ-26 - для паркетных плит.

Существует группа лаков кислотного отверждения на основе алкиднокарбамидных олигомеров в сочетании с нитратом целлюлозы. Введение нитрата целлюлозы позволяет заменить сильную кислоту на слабую фосфорную и тем самым значительно повысить жизнеспособность системы. Нитроалкиднокарбамидные лаки /представляют собой однокомпонентные системы. К ним относятся лаки НЦ-241, НЦ-243, широко используемые для отделки мебели.

.4.3 Алкидные олигомеры, модифицированные непредельными соединениями

Наличие в алкидном олигомере жирных кислот с сопряженными двойными связями способствует их взаимодействию с различными непредельными соединениями: стиролом, простыми эфирами аллиловых кислот и др.

Жирные кислоты с сопряженными двойными связями содержатся в тунговом масле. По строению входящих в состав масла жирных кислот (три двойные связи в сопряженном положении) и свойствам наиболее близко к тунговому ойтисиковое масло.

Алкиды на основе дегидратированного касторового масла в смеси с полувысыхающими (в основном, подсолнечным маслом) по свойствам аналогичны алкидам на тунговом масле.

Первым мономером из непредельных соединений, используемым для модификации алкидных олигомеров /путем сополимеризации, был стирол.

.4.3.1 Алкидно-стирольные пленкообразователи

В основе получения алкидно-стирольных сополимеров лежит реакция сополимеризации стирола с двойными связями жирнокислотных остатков растительных масел - в основном, тунгового и дегидратированного касторового масел. Реакция идет по следующей схеме:


Общее количество содержания стирола в сополимере не превышает 40%. В зависимости от содержания в продукте стирола алкидно-стирольные олигомеры делятся на три ,группы.

Первая группа включает олигомеры, содержащие 30-40% стирола. Основным преимуществом лакокрасочных материалов на основе этих олигомеров является их быстрое (в течение 0,5-1 ч) отверждение на воздухе. Образующаяся при этом пленка обладает высокими твердостью, водостойкостью и солестойкостью, а также стойкостью (к воздействию минеральных масел, бензину и щелочам. Покрытия из алкидно-стирольных материалов отличаются от алкидных покрытий не только более высокой скоростью отверждения пленок, но также повышенными водостойкостью и износостойкостью. Материалы на основе алкидно-стирольных олигомеров конкурируют по своим характеристикам с нитроцеллюлозными материалами. При этом алкидно-стирольные лакокрасочные системы выгодно отличаются от нитроцеллюлозных высоким содержанием пленкообразователя, а также возможностью использования дешевых и недефицитных растворителей. Алкидно-стирольные материалы применяются для защиты станков, приборов и отдельных деталей автомобилей (например, эмаль МС-17 попользуется для защиты шасси автомобилей).

Ко второй группе относятся олигомеры, содержащие ,15- 25% стирола. Сополимеры такого типа используются для получения грунтовок (например, МС-067), лаков (МС-25 для защиты древесины) и эмалей (МС-226-А, МС-226), применяемых для окраски стиральных машин и др. Покрытия, отверждаемые без термообработки, имеют высокую твердость, стойки к действию воды, щелочей и моющих средств.

Третья группа включает олигомеры с содержанием стирола 10%. Покрытия на основе алкидно-стирольных сополимеров этой группы применяются на неответственных изделиях и, в основном, внутри помещения. Единственным преимуществом лакокрасочных материалов на сополимере, содержащем 10% стирола, является гидрофобность системы, что позволяет наносить их при низких температурах воздуха.

Атмосферостойкость покрытий на основе алкидно-стирольных сополимеров ниже, чем атмосферостойкость алкидных покрытий, поэтому их не рекомендуют для защиты изделий, эксплуатируемых на открытом воздухе.

.4.3.2 Алкидно-акриловые пленкообразователи

Алкидно-акриловые сополимеры получают аналогично алкидно-стирольным сополимерам путем радикальной сополимеризации маслосодержащего алкидного олигомера, где в качестве второго компонента используют акриловые мономеры: метилметакрилат СН2=С(СН3)СООСН3, этилметакрилат СН2==С(СН3)СООС2Н5или бутилметакрилат СН2=С(СН3) СООС4Н9.

Свойства алкидно-акриловых пленкообразователей могут изменяться в широких пределах, в зависимости от природы модифицирующего мономера. Из эфиров метакриловой кислоты наибольшее применение нашел наиболее дешевый метилметакрилат, обеспечивающий быстрое отверждение покрытий при комнатной температуре с высокой твердостью.

Алкидные олигомеры, модифицированные эфирами высших спиртов метакриловой кислоты, в частности бутилметакрилатом, значительно лучше растворяются в алифатических углеводородах по сравнению с алкидными олигомерами, модифицированными метилметакрилатом. Покрытия на основе алкидно-акрилового пленкообразователя, содержащего в качестве модификатора бутилметакрилат, обладают сильным блеском и высокой эластичностью.

Алкидно-акриловые пленкообразователи применяют при изготовлении эмалей, на основе которых получают декоративно-защитные покрытия. В .процессе эксплуатации в различных климатических условиях такие покрытия длительное время сохраняют исходный цвет и блеск. В основном эти материалы используют в автомобильной промышленности и сельхозмашиностроении (например, эмали АС-150, АС-72, АС-182 и др.).

Большое распространение в качестве модификаторов для полиорганосилоксанов получили алкидные олигомеры. Например, алкидносилоксановые пленкообразователи, которые получают как химическим модифицированием, так и простым смешением компонентов. Химическое модифицирование осуществляется при 150 °С, при этом между этоксилированным полиорганосилоксаном и алкидным олигомером протекает реакция с образованием привитого полиэфира - силалалкида. Соотношение алкидного компонента в системе может колебаться от 25 до 75% в зависимости от способа получения и назначения пленкообразователя.

.4.3.3 Модификация алкидов виниловыми мономерами

Используется для повышения скорости высыхания, увеличения твердости, улучшения цвета, водо- и щелочестойкости. Однако при этом понижаемся способность к сохранению блеска и устойчивость к растворителям, причем последнее существенно затрудняет приготовление составов, пригодных для быстрого нанесения повторных слоев. Винилированные алкиды обычно используются для покрытий по металлам. В качестве модификаторов обычно используют стирол или винилтолуол и реже - метилметакрилат. Модификация включает свободнорадикальную цепную полимеризацию мономера в присутствии алкида в условиях, способствующих прививке к ненасыщенным жирнокислотным остаткам алкида. Обычно в рецептуру вводят, по крайней мере некоторое количество дегидратированного касторового масла, поскольку наличие остатков кислот с сопряженными двойными связями способствует необходимой прививке; применение пероксидных инициаторов, таких как дитретбутилпероксид, также облегчает прививку за счет отрыва атома водорода.

Возможны разные способы получения винилированных алкидов; наиболее распространенный из них заключается в винилировании алкида путем введения мономера и инициатора в раствор смолы при 150-160 °С. Менее распространены способы, когда винилируют масло до получения алкида или же винилируют моноглицерид перед поликонденсацией с двухосновной кислотой. Последние способы позволяют использовать для разбавления низкокипящие или хлорированные растворители, в которых реакция винилирования была бы невозможна. В тех случаях, когда возникают затруднения в достижении необходимой степени прививки, что приводит к образованию мутных растворов смол, в структуру алкида можно включать малеиновый ангидрид или метакриловую кислоту и тем самым обеспечить введение дополнительных центров прививки.

.4.4 Модифицирование полиорганосилоксанов алкидными олигомерами приводит к получению покрытий, имеющих более высокие по сравнению с алкидными пленкообразователями показатель стойкости цвета и блеска, а по сравнению с покрытиями из немодифицированных полиорганосилоксанов-более высокие механические характеристики и адгезию к металлическим подложкам.

Алкидносилоксановые лакокрасочные материалы применяются для защиты строительных конструкции; покрытия отличаются высокими водо-, атмосферо- и морозостойкостью. Эти материалы используют также для, защиты изделий, которые должны - иметь высокие декоративные характеристики. [3; 70-73]

.4.5 Уралкиды

При замене части двухосновной кислоты в рецептуре алкида на диизоцианат, например толуилендиизоцианат (ТДИ), можно приготовить уралкиды аналогично обычным алкидам. Жирные уралкиды используют в составах для декоративных покрытий для придания повышенной прочности и скорости высыхания. Хотя возможна полная замена двухосновной кислоты (с получением уретанового масла), но обычно такие алкиды получают с уменьшенным содержанием двухосновной кислоты, проводя синтез до низкого значения кислотного числа, но высокого содержания остаточных гидроксильных групп, с последующей обработкой разбавленной смолы диизоцианатом. Изоцианатные группы взаимодействуют с гидроксильными с образованием уретановых связей, но, в отличие от кислот, участвующих в образовании сложноэфирных связей, реакция протекает экзотермически при более низких температурах и без выделения побочного продукта. Небольшие остаточные количества изоцианата можно удалить путем добавления низкомолекулярного спирта. Для приготовления уралкидов необходимо выбрать такой катализатор алкоголиза при получении моноглицерида, который не способствовал бы нежелательным побочным реакциям изоцианата, например образованию аллофаната. Такими катализаторами являются оксид кальция или растворимое кальциевое мыло.

.4.6 Модификация полиамидными смолами

Другим видом модификации жирных алкидов является модификация полиамидными смолами, используемая для придания тиксотропности готовым растворам смол. Для этих целей обычно используют полиамидные смолы, получаемые из димеров жирных кислот и диаминов. Физические свойства таких алкидов можно очень тонко регулировать, а такие характеристики, как прочность геля, скорость восстановления геля, способность к нестеканию полученных красок сильно зависят как от состава, так и от технологии получения алкида, а также от количества и типа полиамида и степени завершенности реакции. При приготовлении алкидов этого типа или составлении содержащих их рецептур необходимо избегать применения или попадания в композицию полярных, например, спиртовых разбавителей. Последние разрушают реологическую структуру, в которую водородные связи почти наверняка вносят значительный вклад. Обычно вводят около 50% полиамида, а в процессе синтеза останавливают реакцию на ее последней стадии в такой момент, чтобы достигнуть прозрачности и оптимальных свойств геля.

.4.7 Модификация силиконами жирных алкидов

придает весьма высокую способность сохранения блеска при их использовании в ремонтных составах (красках для текущего ремонта). Используются те же самые силиконовые смолы с гидроксильными или метоксильными функциональными группами, которые применяют для модификации полиэфиров. В общем, степень улучшения свойств пропорциональна количеству этого дорогого модификатора. Поэтому следует тщательно взвесить соотношение стоимости с одной стороны, и достигаемое увеличение долговечности с другой.

.4.8 Модификации фенолформальдегидными смолами

Для модификации алкидов можно использовать как реакционноспособные, так и нереакционноспособные маслорастворимые фенолоформальдегидные смолы. Они повышают твердость пленки и улучшают водо- и хим. стойкость, но вызывают пожелтение. Подобные модифицированные алкиды полезно использовать в грунтовках вместо эпоксидных смол, как более дешевые, но менее химически стойкие.

Лакокрасочные материалы на основе алкидных олигомеров и продуктов их модификации в настоящее время составляют более 50% от всей продукции, выпускаемой лакокрасочной промышленностью. Эти материалы используются практически во всех отраслях народного хозяйства.[3; 73]

Заключение

Ускорение научно-технического прогресса, начиная с XVIII в. до настоящего времени, оказало растущее влияние на производство лаков и красок.

Лакокрасочные материалы - это смеси сложного состава. Каждый компонент смеси имеет свою функцию для придания покрытию того или иного свойства.

Алкидами называются полиэфиры разветвленного строения, представляющие собой продукты неполной полиэтерификации многоатомных спиртов, многоосновных кислот и одноосновных жирных кислот.

Алкиды были одними из первых синтетических полимеров, использованных в технологии покрытий. Оказалось очень полезным химически связать масла или жирные кислоты масел в структуру сложного полиэфира и тем самым существенно улучшить механические свойства, скорость высыхания и долговечность этих связующих по сравнению с маслами и масляносмоляными связующими. И хотя в настоящее время для более жестких условий эксплуатации имеются более сложные полимеры с улучшенными свойствами, алкиды по-прежнему занимают большую долю в общем объеме производства пленкообразователей.

В зависимости от используемых многоатомных спиртов алкидные олигомеры классифицируют на глифталевые, пентафталевые, этрифталевые, ксифталевые.

В зависимости от типа растительного масла или жирной кислоты, входящих в состав алкидных олигомеров, последние подразделяются на высыхающие и невысыхающие.

В зависимости от содержания модификатора алкидные олигомеры классифицируют на сверхтощие (до 34%), тощие (35-45%), средней жирности (46-55%) и жирные (50-70%).

Алкидные олигомеры получают главным образом методом алкоголиза и значительно реже - жирнокислотным методом. Основной реакцией во всех случаях является полиэтерификация, проводимая с избыточным количеством многоатомного спирта.

Свойства товарных алкидных лаков и эмалей и образуемых ими покрытий в значительной мере зависят от типа входящих в их состав глифталевых и пентафталевых смол и полуфабрикатных лаков.

Пленкообразующие свойства алкидных олигомеров определяются природой мономеров, образующих полиэфирную цепь, а также природой и количеством модификатора, способствующего получению алкида разветвленного строения. В качестве модификаторов используют свободные монокарбоновые кислоты или их производные. Наибольшее распространение получили такие модификаторы, как растительные масла или их жирные кислоты, синтетические жирные кислоты, ароматические монокарбоновые кислоты и др. Модификация непредельными жирно-кислотными остатками придает алкидным олигомерам способность отверждаться за счет протеканий химических реакций, растворяться в различных растворителях и совмещаться, С другими плёнкообразователями с образованием продуктов, называемых модифицированными алкидами.

Лакокрасочные материалы на основе алкидных олигомеров и продуктов их модификации в настоящее время составляют более 50% от всей продукции, выпускаемой лакокрасочной промышленностью. Эти материалы используются практически во всех отраслях народного хозяйства.

Литература

1.Ермилов П.И., Индейкин Е.А., Толмачев И.А. Пигменты и пигментированные лакокрасочные материалы. - Л.: Химия, 1987. - 199 с.

.Карякина М.И. Лакокрасочные материалы: технические требования и контроль качества./справочное пособие. - М.: Химия,1985. - 272с.

.Карякина М.И., Попцов В.Е. Технология полимерных покрытий: Учебное пособие для техникумов. - М.: Химия,1983. - 465с.

. Лаки и краски: Назначение и, эксплуатационные характеристики, режимы отверждения, рецептуры. - М.: Химия, 1995. - 59с.

. Лаки и краски в вашем доме/ В.Б. Манеров и др. - М.: Химия, 1989 - 209с.

. Лакокрасочные материала для народного потребления различного назначения: Каталог. - Черкассы: НИИТЭХИМ, 1989. - 24с.

. Лакокрасочные материалы и покрытия. Теория и практика./ Р. Ламбурн, Дж. Бентли, Дж. Ролинсон и др.; под ред. Р. Ламбурна. - СПб.: Химия, 1991. - 619с.

. Лившиц М.Л., Пишляковский Б.И. Лакокрасочные материалы: Справочное пособие. - М.: Химия, 1989. - 547с.

. Лившиц Р.М., Семина Р.А. Лакокрасочные материалы с пониженным содержанием органических растворителей. - М.: Химия, 1989. - 76с.

. Чеботаревский В.В. Лаки и краски - что это такое? - М.: Химия, 1983 - 187с.

. Яковлев А.Д. Химия и технология лакокрасочных покрытий: Учебное пособие для вузов. - Л.: Химия, 1981 - 352с.

Похожие работы на - Алкидные краски

 

Не нашли материал для своей работы?
Поможем написать уникальную работу
Без плагиата!
Без нейросетей!