Прибыль компании: планирование и распределение

  • Вид работы:
    Дипломная (ВКР)
  • Предмет:
    Финансы, деньги, кредит
  • Язык:
    Русский
    ,
    Формат файла:
    MS Word
    652,68 Кб
  • Опубликовано:
    2013-06-04
Вы можете узнать стоимость помощи в написании студенческой работы.
Помощь в написании работы, которую точно примут!

Прибыль компании: планирование и распределение

Федеральное государственное образовательное бюджетное учреждение
высшего профессионального образования

«ФИНАНСОВЫЙ УНИВЕРСИТЕТ ПРИ ПРАВИТЕЛЬСТВЕ РОССИЙСКОЙ ФЕДЕРАЦИИ»

Кафедра «Корпоративные финансы»





ВЫПУСКНАЯ КВАЛИФИКАЦИОННАЯ (ДИПЛОМНАЯ) РАБОТА

на тему

«Прибыль компании: планирование и распределение»

Выполнил

Студент группы ФМ4-1

очной формы обучения

Факультета Финансового менеджмента

Гаврилов Игорь Григорьевич

Научный руководитель:

Д.э.н. проф. Мингалиев Камиль Нарзаватович



Москва 2013г.

Содержание

 

Введение

Глава 1 Прибыль компании, как экономическая категория

.1 Экономическое содержание прибыли компании

.2 Порядок планирования прибыли компании

.3 Основные направления распределения и использования прибыли компании

Глава 2 Анализ действующей системы планирования и распределения прибыли ООО «СтройСнаб»     

.1 Особенности финансово-хозяйственной деятельности ООО «СтройСнаб»

.2 Анализ планирования прибыли 

.3 Анализ порядка распределения и использования прибыли

Глава 3 Основные направления повышения прибыльности компании

.1 Совершенствование системы планирования прибыли на предприятии

.2 Выявление резервов увеличения прибыли и пути повышения рентабельности компании

Заключение

Приложения

Введение


Функционирование предприятий на началах коммерческого расчета приводит к тому, что прибыль выступает не только в качестве главного результата финансово-хозяйственной деятельности, но и источника удовлетворения разнообразных потребностей, как самого предприятия, так и общества в целом. Прибыль - важный источник расширения производства и обеспечения других внутрихозяйственных потребностей; часть ее используется для материального стимулирования работающих и удовлетворения их социальных запросов; постоянно возрастает роль прибыли в формировании бюджетных и внебюджетных благотворительных фондов.

Прибыль, финансы и чистый доход общества - объективно и неразрывно связанные между собой категории, охватывающие разные уровни единого процесса распределения. Чистый доход общества служит основным источником финансовых ресурсов, образования централизованных фондов и доходов государства.

Несмотря на небольшой период функционирования российской экономики, уже сейчас назрела необходимость вносить дополнительные изменения и корректировки в существующую практику механизма формирования и распределения прибыли хозяйствующих субъектов. В этом направлении предстоит еще много сделать финансовой науке, важной областью которой является теория распределения прибыли.

Поэтому одной из актуальных задач современного этапа является овладения руководителями и финансовыми менеджерами современными методами эффективного управления формированием прибыли в процессе операционной, инвестиционной и финансовой деятельности предприятий.

Прибыль является самым крупным источником финансирования расширенного воспроизводства, важным критерием его эффективности, основным источником формирования фондов экономического стимулирования и одним из главных источников доходов государственного бюджета. Правильное понимание экономической природы прибыли является основой для улучшения механизма практического использования этой категории в современных российских условиях.

Тем не менее, изучение этой области экономической науки не исчерпало себя. Осталось множество не исследованных или спорных проблем, которые требуют своего решения. Необходимо дополнительное теоретическое осмысление сущности, функций, форм и внутренней структуры прибыли, а также всего механизма распределения прибыли для более правильной ориентации в существующей ситуации на предприятии с целью правильного принятия управленческого решения, опираясь на знания, накопленные мировой наукой и практикой с учетом их разумного применения к специфике российских условий.

Необходимо найти действенные пути их активизации в сложившихся современных условиях хозяйствования у нас в стране.

Грамотное, эффективное управление формированием прибыли предусматривает построение на предприятии соответствующих организационно-методических систем обеспечения этого управления, знание основных механизмов формирования прибыли, использование современных методов ее анализа и планирования.

Наряду с формированием прибыли на каждом предприятии должно быть обеспечено и эффективное управление ее распределением. Необходимо при этом иметь в виду, что каждый цикл распределения прибыли отчетного периода это одновременно и процесс обеспечения эффективных условий ее формирования на расширенной основе в предстоящем периоде, реализации целей стратегического развития предприятия. Главное требование сводится к тому, чтобы в системе распределения прибыли органически сочетались интересы субъектов хозяйствования, общества в целом и конкретных работников.

Реализация этого требования обуславливает основные принципы распределения прибыли, которые заключаются в следующем:

1) первоочередное выполнение обязательств перед обществом в целом (в лице государства);

2) максимальное обеспечение за счет прибыли потребностей расширенного воспроизводства;

3) использование прибыли на материальное стимулирование работников;

4) направление прибыли на социально-культурные нужды.

Полнота реализации этих принципов зависит от того:

1) какой именно финансовый результат имеет место в данном случае: прибыль или убыток. Если предприятие прибыли не имеет, то и говорить о реализации этих принципов вряд ли целесообразно;

2) насколько правильно платит налог на прибыль, если вообще платит:

3) как предприятие распределяет прибыль, оставшуюся в распоряжении предприятия.

Размер прибыли, полученной предприятием, зависит, прежде всего, от того, насколько его продукция пользуется спросом и в каких конкурентных условиях работает предприятие.

Вопросы формирования и распределения прибыли свое отражение нашли в научных трудах российских и зарубежных авторов. В работе использованы труды Весенина В.Р., Савицкой Г.В., Румянцевой З.П., Фатхутдинова Р.А. и др. Они и послужили методологической основой данной работы.

Целью дипломной работы является изучение управления прибылью ООО «СтройСнаб» для выявления резервов ее роста.

Объектом исследования служит организация ООО «СтройСнаб».

Для достижения поставленной цели необходимо решить следующие задачи:

1) определить сущность процесса управления прибылью предприятия;

2) рассмотреть особенности экономики, финансов и управления на ООО «СтройСнаб»;

3) определить особенности формирования и распределения финансовых результатов на примере ООО «Стройснаб»;

4) выявить пути повышения прибыли предприятия.

В связи с поставленными задачами данная работа имеет следующую структуру: введение, три главы, в которых раскрывается цель, поставленная во введении, заключение, список используемой литературы и приложения.

Информационную базу исследования составили: баланс предприятия (форма №1), отчет о прибылях и убытках (форма №2) за 2010-2012 годы.

Глава 1 Прибыль компании, как экономическая категория

 

.1 Экономическое содержание прибыли компании


Экономическое содержание прибыли проявляется в выполняемых ею функциях. Большинство авторов в учебниках и учебных пособиях выделяют практически одинаковые функции прибыли.

Чаще встречаются три основные функции прибыли:

Полимеризация мономеров в дисперсных системах нашла широкое применение в промышленности главным образом для проведения радикальной полимеризации и с полимеризации. При этом следует различать суспензионную и эмульсионную полимеризации. Так, суспензионная полимеризация ванильных соединений проводится в водной среде в присутствии инициаторов, которые растворимы в мономере. Полимеризация мономеров в дисперсных системах нашла широкое применение в промышленности главным образом для проведения радикальной полимеризации и с полимеризации. При этом следует различать суспензионную и эмульсионную полимеризации. Так, суспензионная полимеризация ванильных соединений проводится в водной среде в присутствии инициаторов, которые растворимы в мономере

Полимеризация мономеров в дисперсных системах нашла широкое применение в промышленности главным образом для проведения радикальной полимеризации и с полимеризации. При этом следует различать суспензионную и эмульсионную полимеризации. Так, суспензионная полимеризация ванильных соединений проводится в водной среде в присутствии инициаторов, которые растворимы в мономере. Полимеризация мономеров в дисперсных системах нашла широкое применение в промышленности главным образом для проведения радикальной полимеризации и с полимеризации. При этом следует различать суспензионную и эмульсионную полимеризации. Так, суспензионная полимеризация ванильных соединений проводится в водной среде в присутствии инициаторов, которые растворимы в мономере

.        Прибыль является критерием и показателем эффективности деятельности предприятия. В рыночной экономике вложение капитала в предприятие сопровождается определенной оценкой эффективности его функционирования. В противном случае вообще пропадает стимул этого экономического действия. Во все времена прибыль являлась признаком эффективного управления находившимися в распоряжении компании людскими, материальными, финансовыми и другими ресурсами. В конечном счете финансовые результаты деятельности являются основой валового внутреннего продукта государства и отражают эффективность функционирования экономики страны. По прибыли определяется рентабельность использования собственных и заемных средств, основных фондов, всего авансированного капитала и каждой акции и т. п.

.        Стимулирующая функция также выделяется всеми без исключения авторами. Выступая конечным финансово-хозяйственным результатом предприятий, прибыль приобретает ключевую роль в рыночном хозяйстве. За ней закрепляется статус цели, что предопределяет экономическое поведение хозяйствующих субъектов, благополучие которых зависит как от величины прибыли, так и от принятого в национальной экономике алгоритма ее распределения, включая налогообложение.

.        Полимеризация мономеров в дисперсных системах нашла широкое применение в промышленности главным образом для проведения радикальной полимеризации и с полимеризации. При этом следует различать суспензионную и эмульсионную полимеризации. Так, суспензионная полимеризация ванильных соединений проводится в водной среде в присутствии инициаторов, которые растворимы в мономере. Полимеризация мономеров в дисперсных системах нашла широкое применение в промышленности главным образом для проведения радикальной полимеризации и с полимеризации. При этом следует различать суспензионную и эмульсионную полимеризации. Так, суспензионная полимеризация ванильных соединений проводится в водной среде в присутствии инициаторов, которые растворимы в мономере

.        Полимеризация мономеров в дисперсных системах нашла широкое применение в промышленности главным образом для проведения радикальной полимеризации и с полимеризации. При этом следует различать суспензионную и эмульсионную полимеризации. Так, суспензионная полимеризация ванильных соединений проводится в водной среде в присутствии инициаторов, которые растворимы в мономере. Полимеризация мономеров в дисперсных системах нашла широкое применение в промышленности главным образом для проведения радикальной полимеризации и с полимеризации. При этом следует различать суспензионную и эмульсионную полимеризации. Так, суспензионная полимеризация ванильных соединений проводится в водной среде в присутствии инициаторов, которые растворимы в мономере

Прибыль выступает основным внутренним источником формирования финансовых ресурсов организации, обеспечивающих ее развитие, также источником выплаты дивидендов ее акционерам и владельцам и в этом смысле служит главной мотивацией развития их предпринимательской инициативы. При этом в отличие от других внутренних источников формирования финансовых ресурсов организации прибыль является постоянно воспроизводимым источником, и ее воспроизводство в успешных условиях хозяйствования осуществляется на расширенной основе.

.        Источник формирования доходов бюджетов. Прибыль поступает в бюджеты в виде налогов и наряду с другими доходными поступлениями используется для финансирования удовлетворения совместных общественных потребностей, обеспечения выполнения государством своих функций, государственных инвестиционных, производственных, научно-технических и социальных программ.

.        М.Г. Лапуста в своем учебнике не выделяет отдельной функцией прибыль как источник формирования доходов бюджета. Здесь третьей функцией прибыли называется общественно-социальная функция. Общественная ее часть по смыслу совпадает с функцией источника формирования доходов бюджетов. Социальная функция прибыли проявляется и в том, что она служит источником внешней благотворительной деятельности организации, направленной на финансирование социальной сферы, оказание материальной помощи отдельным категориям граждан. Кроме всего прочего, прибыль служит источником материального стимулирования работников предприятий, так как именно за счет прибыли предприятием может производиться:

.        Полимеризация мономеров в дисперсных системах нашла широкое применение в промышленности главным образом для проведения радикальной полимеризации и с полимеризации. При этом следует различать суспензионную и эмульсионную полимеризации. Так, суспензионная полимеризация ванильных соединений проводится в водной среде в присутствии инициаторов, которые растворимы в мономере. Полимеризация мономеров в дисперсных системах нашла широкое применение в промышленности главным образом для проведения радикальной полимеризации и с полимеризации. При этом следует различать суспензионную и эмульсионную полимеризации. Так, суспензионная полимеризация ванильных соединений проводится в водной среде в присутствии инициаторов, которые растворимы в мономере

• премирование персонала сверх размеров выплат, предусмотренных законодательством по системам текущего премирования;

• выплата материальной помощи;

• оплата дополнительных отпусков сверх норм, предусмотренных законодательством;

• выплата надбавок к пенсиям, единовременной помощи пенсионерам предприятия;

• предоставление бесплатного питания работникам или компенсация удорожания питания;

• оплата жилья, путевок на лечение и отдых работников и их детей и другие виды материальной помощи.

Вопросы классификации прибыли, как правило, не рассматриваются авторами очень глубоко. По большей части, виды прибыли выделяются только в зависимости от того, что включается в них в бухгалтерском учете. Однако классификационных признаков гораздо больше. Рассмотрим некоторые подробнее.

.        По характеру отражения в учете:

.        Полимеризация мономеров в дисперсных системах нашла широкое применение в промышленности главным образом для проведения радикальной полимеризации и с полимеризации. При этом следует различать суспензионную и эмульсионную полимеризации. Так, суспензионная полимеризация ванильных соединений проводится в водной среде в присутствии инициаторов, которые растворимы в мономере. Полимеризация мономеров в дисперсных системах нашла широкое применение в промышленности главным образом для проведения радикальной полимеризации и с полимеризации. При этом следует различать суспензионную и эмульсионную полимеризации. Так, суспензионная полимеризация ванильных соединений проводится в водной среде в присутствии инициаторов, которые растворимы в мономере

·  бухгалтерская прибыль представляет собой разность между доходами предприятия и внешними его текущими затратами (издержками), отражаемыми бухгалтерским учетом;

·        экономическая прибыль представляет собой разность между суммой доходов предприятия, с одной стороны, и суммой как внешних, так и внутренних его текущих затрат (издержек), с другой. Экономическая прибыль предприятия всегда меньше бухгалтерской на величину внутренних текущих затрат (издержек).

3. По характеру деятельности предприятия:

·  прибыль от обычной деятельности характеризует финансовый результат от всех традиционных для данного предприятия видов деятельности и хозяйственных операций, формируемый на регулярной основе;

·        прибыль от чрезвычайных событий характеризует необычный или очень редкий для данного предприятия источник ее формирования.

4. По основным видам хозяйственных операций:

·  прибыль от реализации продукции (товаров, работ, услуг) - является основным ее видом на предприятии, непосредственно связанным с отраслевой спецификой их деятельности. В обоих случаях под этой прибылью понимается результат хозяйствования по основной производственно-сбытовой деятельности предприятия;

·  Полимеризация мономеров в дисперсных системах нашла широкое применение в промышленности главным образом для проведения радикальной полимеризации и с полимеризации. При этом следует различать суспензионную и эмульсионную полимеризации. Так, суспензионная полимеризация ванильных соединений проводится в водной среде в присутствии инициаторов, которые растворимы в мономере. Полимеризация мономеров в дисперсных системах нашла широкое применение в промышленности главным образом для проведения радикальной полимеризации и с полимеризации. При этом следует различать суспензионную и эмульсионную полимеризации. Так, суспензионная полимеризация ванильных соединений проводится в водной среде в присутствии инициаторов, которые растворимы в мономере

·    Полимеризация мономеров в дисперсных системах нашла широкое применение в промышленности главным образом для проведения радикальной полимеризации и с полимеризации. При этом следует различать суспензионную и эмульсионную полимеризации. Так, суспензионная полимеризация ванильных соединений проводится в водной среде в присутствии инициаторов, которые растворимы в мономере. Полимеризация мономеров в дисперсных системах нашла широкое применение в промышленности главным образом для проведения радикальной полимеризации и с полимеризации. При этом следует различать суспензионную и эмульсионную полимеризации. Так, суспензионная полимеризация ванильных соединений проводится в водной среде в присутствии инициаторов, которые растворимы в мономер

·    прибыль от внереализационных операций - доходы от паевого участия данного предприятия в деятельности других совместных предприятий с отечественными и зарубежными партнерами; доходы от принадлежащих предприятию облигаций, акций и других ценных бумаг, выпущенных сторонними эмитентами; доходы по депозитным вкладам предприятия в банках; полученные штрафы, пени и неустойки и другие.

.     По основным видам деятельности:

·    прибыль от операционной деятельности представляет собой совокупный объем прибыли от реализации продукции и прибыли от других операций, не относящихся к инвестиционной или финансовой деятельности;

·        прибыль от инвестиционной деятельности характеризует итоговой финансовый результат от операций по приобретению (сооружению, изготовлению) и продаже амортизируемого имущества - основных фондов, нематериальных активов и других необоротных активов, а также краткосрочных финансовых инвестиций, которые не являются эквивалентами денежных средств;

·        прибыль от финансовой деятельности характеризует финансовый результат операций, который приводит к изменению размера и состава собственного капитала и ссуд предприятия (привлечения дополнительного акционерного или паевого капитала, эмиссии облигаций и других долговых ценных бумаг, привлечение кредита в различных его формах, погашение обязательств по основному долгу и т.п.).

·    Полимеризация мономеров в дисперсных системах нашла широкое применение в промышленности главным образом для проведения радикальной полимеризации и с полимеризации. При этом следует различать суспензионную и эмульсионную полимеризации. Так, суспензионная полимеризация ванильных соединений проводится в водной среде в присутствии инициаторов, которые растворимы в мономере. Полимеризация мономеров в дисперсных системах нашла широкое применение в промышленности главным образом для проведения радикальной полимеризации и с полимеризации. При этом следует различать суспензионную и эмульсионную полимеризации. Так, суспензионная полимеризация ванильных соединений проводится в водной среде в присутствии инициаторов, которые растворимы в мономере

·        Полимеризация мономеров в дисперсных системах нашла широкое применение в промышленности главным образом для проведения радикальной полимеризации и с полимеризации. При этом следует различать суспензионную и эмульсионную полимеризации. Так, суспензионная полимеризация ванильных соединений проводится в водной среде в присутствии инициаторов, которые растворимы в мономере. Полимеризация мономеров в дисперсных системах нашла широкое применение в промышленности главным образом для проведения радикальной полимеризации и с полимеризации. При этом следует различать суспензионную и эмульсионную полимеризации. Так, суспензионная полимеризация ванильных соединений проводится в водной среде в присутствии инициаторов, которые растворимы в мономере

6.   По составу элементов, формирующих прибыль:

·    маржинальная прибыль характеризует сумму чистого дохода от операционной деятельности (валового дохода предприятия от этой деятельности, уменьшенного на сумму налоговых платежей за счет него) за вычетом суммы переменных затрат;

·        валовая прибыль характеризует сумму чистого дохода от операционной деятельности за вычетом всех операционных расходов, как постоянных, так и переменных;

·        балансовая прибыль соответственно представляет собой разницу между всей суммой чистого дохода предприятия и всей суммой его текущих затрат;

·        чистая прибыль характеризует сумму балансовой (или валовой) прибыли, уменьшенную на сумму налоговых платежей за счет нее.

7.   По характеру налогообложения:

·    прибыль, не подлежащая налогообложению;

·        прибыль, облагаемая налогами.

8.   По характеру инфляционной "очистки". Реальная прибыль характеризует размер номинально полученной ее суммы, скорректированный на темп инфляции в соответствующем периоде.

9.       По достаточности уровня формирования. Нормальная прибыль характеризует такой уровень ее формирования, когда после покрытия внешних и внутренних текущих затрат (издержек), остается доход, равный минимальной ставке депозитного процента (по отношению к сумме используемого собственного капитала). Низкая и высокая прибыль характеризует уровень ее формирования, который соответственно ниже или выше уровня нормальной прибыли.

.        По рассматриваемому периоду формирования:

11. Полимеризация мономеров в дисперсных системах нашла широкое применение в промышленности главным образом для проведения радикальной полимеризации и с полимеризации. При этом следует различать суспензионную и эмульсионную полимеризации. Так, суспензионная полимеризация ванильных соединений проводится в водной среде в присутствии инициаторов, которые растворимы в мономере. Полимеризация мономеров в дисперсных системах нашла широкое применение в промышленности главным образом для проведения радикальной полимеризации и с полимеризации. При этом следует различать суспензионную и эмульсионную полимеризации. Так, суспензионная полимеризация ванильных соединений проводится в водной среде в присутствии инициаторов, которые растворимы в мономере

12.     Полимеризация мономеров в дисперсных системах нашла широкое применение в промышленности главным образом для проведения радикальной полимеризации и с полимеризации. При этом следует различать суспензионную и эмульсионную полимеризации. Так, суспензионная полимеризация ванильных соединений проводится в водной среде в присутствии инициаторов, которые растворимы в мономере. Полимеризация мономеров в дисперсных системах нашла широкое применение в промышленности главным образом для проведения радикальной полимеризации и с полимеризации. При этом следует различать суспензионную и эмульсионную полимеризации. Так, суспензионная полимеризация ванильных соединений проводится в водной среде в присутствии инициаторов, которые растворимы в мономере

·    прибыль предшествующего периода (т.е. периода, предшествующего отчетному);

·        прибыль отчетного периода;

·        прибыль планового периода (планируемая прибыль).

13. По характеру использования в составе прибыли, остающейся после уплаты налогов и других обязательных платежей (чистой прибыли), выделяют капитализируемую и потребляемую ее части. Капитализированная прибыль характеризует ту ее сумму, которая направлена на финансирование прироста активов предприятия, а потребленная прибыль - ту ее часть, которая израсходована на выплаты собственникам (акционерам), персоналу или на социальные программы предприятия.

14.     По степени использования:

.        Полимеризация мономеров в дисперсных системах нашла широкое применение в промышленности главным образом для проведения радикальной полимеризации и с полимеризации. При этом следует различать суспензионную и эмульсионную полимеризации. Так, суспензионная полимеризация ванильных соединений проводится в водной среде в присутствии инициаторов, которые растворимы в мономере. Полимеризация мономеров в дисперсных системах нашла широкое применение в промышленности главным образом для проведения радикальной полимеризации и с полимеризации. При этом следует различать суспензионную и эмульсионную полимеризации. Так, суспензионная полимеризация ванильных соединений проводится в водной среде в присутствии инициаторов, которые растворимы в мономере

.        Полимеризация мономеров в дисперсных системах нашла широкое применение в промышленности главным образом для проведения радикальной полимеризации и с полимеризации. При этом следует различать суспензионную и эмульсионную полимеризации. Так, суспензионная полимеризация ванильных соединений проводится в водной среде в присутствии инициаторов, которые растворимы в мономере. Полимеризация мономеров в дисперсных системах нашла широкое применение в промышленности главным образом для проведения радикальной полимеризации и с полимеризации. При этом следует различать суспензионную и эмульсионную полимеризации. Так, суспензионная полимеризация ванильных соединений проводится в водной среде в присутствии инициаторов, которые растворимы в мономере

·    нераспределённая прибыль - часть сформированной прибыли предприятия, которая еще не распределена (а соответственно и не использована) на конкретные хозяйственные нужды;

·        распределённая прибыль - часть сформированной прибыли, которая на рассматриваемую дату уже распределена и не использована в процессе хозяйственной деятельности.

17. По значению итогового результата хозяйствования:

·    положительная прибыль (или собственно прибыль);

·        отрицательная прибыль (убыток).

Основные виды прибыли, называемые в учебной литературе, выделены в Отчете о прибылях и убытках.

Валовая прибыль (брутто-прибыль) - это разность между нетто-выручкой от продажи товаров, продукции, работ, услуг (выручкой от реализации без учета налога на добавленную стоимость, акцизов и других косвенных налогов и сборов) и себестоимостью проданных товаров, работ и услуг. В себестоимость продукции при определении брутто-прибыли включаются прямые материальные затраты, прямые расходы на оплату труда и начисления, а также косвенные общепроизводственные расходы. Валовая прибыль является показателем эффективности собственно производства (строительства, торговли).

Полимеризация мономеров в дисперсных системах нашла широкое применение в промышленности главным образом для проведения радикальной полимеризации и с полимеризации. При этом следует различать суспензионную и эмульсионную полимеризации. Так, суспензионная полимеризация ванильных соединений проводится в водной среде в присутствии инициаторов, которые растворимы в мономере. Полимеризация мономеров в дисперсных системах нашла широкое применение в промышленности главным образом для проведения радикальной полимеризации и с полимеризации. При этом следует различать суспензионную и эмульсионную полимеризации. Так, суспензионная полимеризация ванильных соединений проводится в водной среде в присутствии инициаторов, которые растворимы в мономере

Полимеризация мономеров в дисперсных системах нашла широкое применение в промышленности главным образом для проведения радикальной полимеризации и с полимеризации. При этом следует различать суспензионную и эмульсионную полимеризации. Так, суспензионная полимеризация ванильных соединений проводится в водной среде в присутствии инициаторов, которые растворимы в мономере. Полимеризация мономеров в дисперсных системах нашла широкое применение в промышленности главным образом для проведения радикальной полимеризации и с полимеризации. При этом следует различать суспензионную и эмульсионную полимеризации. Так, суспензионная полимеризация ванильных соединений проводится в водной среде в присутствии инициаторов, которые растворимы в мономере

Прибыль (убыток) от продаж - это валовая прибыль, уменьшенная на сумму коммерческих и управленческих расходов. Тем самым прибыль от продаж есть показатель эффективности основной деятельности предприятия, т. е. деятельности, связанной с производством и реализацией продукции, выполнением работ, оказанием услуг.

Прибыль (убыток) до налогообложения (бухгалтерская прибыль) - это прибыль от продаж, увеличенная на суммы прочих доходов (проценты к получению, доходы от участия в других организациях, прочие операционные доходы и внереализационные доходы), за вычетом соответствующих расходов (проценты к уплате, прочие операционные расходы, внереализационные расходы).

Чистая прибыль (убыток) отчетного периода - это прибыль (убыток) до налогообложения, уменьшенная (увеличенная) на величину отложенных налоговых обязательств (ОНО), текущего налога на прибыль и увеличенная (уменьшенная) на сумму отложенных налоговых активов за отчетный период (ОНА).

Полимеризация мономеров в дисперсных системах нашла широкое применение в промышленности главным образом для проведения радикальной полимеризации и с полимеризации. При этом следует различать суспензионную и эмульсионную полимеризации. Так, суспензионная полимеризация ванильных соединений проводится в водной среде в присутствии инициаторов, которые растворимы в мономере. Полимеризация мономеров в дисперсных системах нашла широкое применение в промышленности главным образом для проведения радикальной полимеризации и с полимеризации. При этом следует различать суспензионную и эмульсионную полимеризации. Так, суспензионная полимеризация ванильных соединений проводится в водной среде в присутствии инициаторов, которые растворимы в мономере

Полимеризация мономеров в дисперсных системах нашла широкое применение в промышленности главным образом для проведения радикальной полимеризации и с полимеризации. При этом следует различать суспензионную и эмульсионную полимеризации. Так, суспензионная полимеризация ванильных соединений проводится в водной среде в присутствии инициаторов, которые растворимы в мономере. Полимеризация мономеров в дисперсных системах нашла широкое применение в промышленности главным образом для проведения радикальной полимеризации и с полимеризации. При этом следует различать суспензионную и эмульсионную полимеризации. Так, суспензионная полимеризация ванильных соединений проводится в водной среде в присутствии инициаторов, которые растворимы в мономере

В системе бухгалтерского учета понятие «чистая прибыль» и порядок ее определения установлены однозначно. В соответствии с п. 83 Положения по ведению бухгалтерского учета и бухгалтерской отчетности в РФ нераспределенная чистая прибыль - это конечный финансовый результат организации, выявленный за отчетный период, за минусом причитающихся за счет прибыли установленных в соответствии с законодательством налогов и иных аналогичных обязательств.

Если из величины чистой прибыли вычесть величину распределенной прибыли, то получим нераспределенную прибыль отчетного периода.

Таким образом, можно заметить, что виды прибыли, представленные в официальной бухгалтерской отчетности, составляют собой выборку из прибылей по разным классификационным признакам. Большая часть из них - это виды прибыли по составу элементов, их формирующих. Это и понятно, учитывая принцип формирования прибылей в Форме №2. Но прибыль от продаж по словесной формулировке - это вид прибыли по видам хозяйственных операций.

Полимеризация мономеров в дисперсных системах нашла широкое применение в промышленности главным образом для проведения радикальной полимеризации и с полимеризации. При этом следует различать суспензионную и эмульсионную полимеризации. Так, суспензионная полимеризация ванильных соединений проводится в водной среде в присутствии инициаторов, которые растворимы в мономере. Полимеризация мономеров в дисперсных системах нашла широкое применение в промышленности главным образом для проведения радикальной полимеризации и с полимеризации. При этом следует различать суспензионную и эмульсионную полимеризации. Так, суспензионная полимеризация ванильных соединений проводится в водной среде в присутствии инициаторов, которые растворимы в мономере

Полимеризация мономеров в дисперсных системах нашла широкое применение в промышленности главным образом для проведения радикальной полимеризации и с полимеризации. При этом следует различать суспензионную и эмульсионную полимеризации. Так, суспензионная полимеризация ванильных соединений проводится в водной среде в присутствии инициаторов, которые растворимы в мономере. Полимеризация мономеров в дисперсных системах нашла широкое применение в промышленности главным образом для проведения радикальной полимеризации и с полимеризации. При этом следует различать суспензионную и эмульсионную полимеризации. Так, суспензионная полимеризация ванильных соединений проводится в водной среде в присутствии инициаторов, которые растворимы в мономере

Необходимо отметить, что обособление тех или иных видов прибыли осуществляется исходя из интересов лиц, имеющих отношение к предприятию, организации. Это, прежде всего, собственники предприятия; его работники, представленные управленческим персоналом; государство в лице налоговых органов; прочие лица (действующие и потенциальные контрагенты, поставщики материальных и финансовых ресурсов, банки).

Так, для собственников основным показателем является чистая прибыль. Для физических и юридических лиц, ссужающих деньги предприятию на долгосрочной основе и получающих долю в виде процентов по ссудам и займам, наибольший интерес представляет прибыль до вычета процентов и налогов (операционная прибыль). С позиций интересов государства основной финансовый показатель - прибыль до вычета налогов и обязательных платежей (прибыль до налогообложения).

.2 Порядок планирования прибыли компании

Планирование прибыли производится раздельно по всем видам деятельности предприятия. В процессе планирования прибыли учитываются все факторы, которые могут оказывать влияние на финансовые результаты.

В условиях стабильных цен и возможности прогнозирования условий хозяйствования планы по прибыли, как правило, разрабатываются на год. Предприятия могут также составлять планы по прибыли на квартал.

Объектом планирования являются элементы балансовой прибыли. При этом особое значение имеет планирование прибыли от реализации продукции, выполнения работ, оказания услуг

Полимеризация мономеров в дисперсных системах нашла широкое применение в промышленности главным образом для проведения радикальной полимеризации и с полимеризации. При этом следует различать суспензионную и эмульсионную полимеризации. Так, суспензионная полимеризация ванильных соединений проводится в водной среде в присутствии инициаторов, которые растворимы в мономере. Полимеризация мономеров в дисперсных системах нашла широкое применение в промышленности главным образом для проведения радикальной полимеризации и с полимеризации. При этом следует различать суспензионную и эмульсионную полимеризации. Так, суспензионная полимеризация ванильных соединений проводится в водной среде в присутствии инициаторов, которые растворимы в мономере

Полимеризация мономеров в дисперсных системах нашла широкое применение в промышленности главным образом для проведения радикальной полимеризации и с полимеризации. При этом следует различать суспензионную и эмульсионную полимеризации. Так, суспензионная полимеризация ванильных соединений проводится в водной среде в присутствии инициаторов, которые растворимы в мономере. Полимеризация мономеров в дисперсных системах нашла широкое применение в промышленности главным образом для проведения радикальной полимеризации и с полимеризации. При этом следует различать суспензионную и эмульсионную полимеризации. Так, суспензионная полимеризация ванильных соединений проводится в водной среде в присутствии инициаторов, которые растворимы в мономере

Методы планирования прибыли

На практике применяются различные методы планирования прибыли. Наиболее распространенным является метод прямого счета.

При прямом счете планируемая прибыль на продукцию, подлежащую реализации в предстоящем периоде, определяется как разница между планируемой выручкой от реализации продукции в действующих ценах (без налога на добавленную стоимость, акцизов, торговых и сбытовых скидок) и полной себестоимостью продукции, реализуемой в предстоящем периоде. Этот метод расчета наиболее эффективен при выпуске небольшого ассортимента продукции.

Метод прямого счета используется при обосновании создания нового или расширения действующего предприятия либо при осуществлении какого-либо проекта. Разновидностью метода прямого счета является метод по ассортиментного планирования прибыли (т.е. определения прибыли по каждой ассортиментной группе).

Полимеризация мономеров в дисперсных системах нашла широкое применение в промышленности главным образом для проведения радикальной полимеризации и с полимеризации. При этом следует различать суспензионную и эмульсионную полимеризации. Так, суспензионная полимеризация ванильных соединений проводится в водной среде в присутствии инициаторов, которые растворимы в мономере. Полимеризация мономеров в дисперсных системах нашла широкое применение в промышленности главным образом для проведения радикальной полимеризации и с полимеризации. При этом следует различать суспензионную и эмульсионную полимеризации. Так, суспензионная полимеризация ванильных соединений проводится в водной среде в присутствии инициаторов, которые растворимы в мономере

Полимеризация мономеров в дисперсных системах нашла широкое применение в промышленности главным образом для проведения радикальной полимеризации и с полимеризации. При этом следует различать суспензионную и эмульсионную полимеризации. Так, суспензионная полимеризация ванильных соединений проводится в водной среде в присутствии инициаторов, которые растворимы в мономере. Полимеризация мономеров в дисперсных системах нашла широкое применение в промышленности главным образом для проведения радикальной полимеризации и с полимеризации. При этом следует различать суспензионную и эмульсионную полимеризации. Так, суспензионная полимеризация ванильных соединений проводится в водной среде в присутствии инициаторов, которые растворимы в мономере

Достоинством метода прямого счета является его простота. Однако его целесообразно использовать при планировании прибыли на краткосрочный период.

Для составления плана прибыли используются и другие методы, например, анализ лимита рентабельности, прогноз рентабельности, анализ перекрытия ликвидности, а также другие аналитические методы.

                          (1)

Анализ лимита рентабельности позволяет оценить взаимосвязь плановой прибыли и эластичности предприятия по отношению к колебаниям величины расходов при обороте капитала. Обычно строится система графиков, показывающих эту зависимость. Расчеты производятся по следующим формулам:

Или

                     (2)

Важное значение имеет разрыв, существующий между минимальным оборотом, необходимым для покрытия расходов, и запланированным оборотом. Именно эта разность характеризует степень свободы предприятия в планировании оборота капитала

                           (3)

Прогноз рентабельности вложенного капитала основан на анализе соотношений следующих величин:

                      (4)

          (5)

Анализ перекрытия ликвидности основан на соотношении издержек предприятия, являющихся денежными расходами, и амортизацией. В этом случае определяется минимальная величина оборота капитала, необходимая для сохранения ликвидности предприятия (рис. 1):

Полимеризация мономеров в дисперсных системах нашла широкое применение в промышленности главным образом для проведения радикальной полимеризации и с полимеризации. При этом следует различать суспензионную и эмульсионную полимеризации. Так, суспензионная полимеризация ванильных соединений проводится в водной среде в присутствии инициаторов, которые растворимы в мономере. Полимеризация мономеров в дисперсных системах нашла широкое применение в промышленности главным образом для проведения радикальной полимеризации и с полимеризации. При этом следует различать суспензионную и эмульсионную полимеризации. Так, суспензионная полимеризация ванильных соединений проводится в водной среде в присутствии инициаторов, которые растворимы в мономере

Полимеризация мономеров в дисперсных системах нашла широкое применение в промышленности главным образом для проведения радикальной полимеризации и с полимеризации. При этом следует различать суспензионную и эмульсионную полимеризации. Так, суспензионная полимеризация ванильных соединений проводится в водной среде в присутствии инициаторов, которые растворимы в мономере. Полимеризация мономеров в дисперсных системах нашла широкое применение в промышленности главным образом для проведения радикальной полимеризации и с полимеризации. При этом следует различать суспензионную и эмульсионную полимеризации. Так, суспензионная полимеризация ванильных соединений проводится в водной среде в присутствии инициаторов, которые растворимы в мономере

Аналитический метод планирования прибыли основан на построении многофакторных моделей. Он учитывает влияние различных факторов на результаты деятельности предприятия.

Рисунок 1. Определение точки ликвидности

Нормативный метод планирования прибыли основывается на расчетах плановой прибыли с помощью нормативов. В качестве таких нормативов обычно используется норма прибыли на:

Полимеризация мономеров в дисперсных системах нашла широкое применение в промышленности главным образом для проведения радикальной полимеризации и с полимеризации. При этом следует различать суспензионную и эмульсионную полимеризации. Так, суспензионная полимеризация ванильных соединений проводится в водной среде в присутствии инициаторов, которые растворимы в мономере. Полимеризация мономеров в дисперсных системах нашла широкое применение в промышленности главным образом для проведения радикальной полимеризации и с полимеризации. При этом следует различать суспензионную и эмульсионную полимеризации. Так, суспензионная полимеризация ванильных соединений проводится в водной среде в присутствии инициаторов, которые растворимы в мономере

Полимеризация мономеров в дисперсных системах нашла широкое применение в промышленности главным образом для проведения радикальной полимеризации и с полимеризации. При этом следует различать суспензионную и эмульсионную полимеризации. Так, суспензионная полимеризация ванильных соединений проводится в водной среде в присутствии инициаторов, которые растворимы в мономере. Полимеризация мономеров в дисперсных системах нашла широкое применение в промышленности главным образом для проведения радикальной полимеризации и с полимеризации. При этом следует различать суспензионную и эмульсионную полимеризации. Так, суспензионная полимеризация ванильных соединений проводится в водной среде в присутствии инициаторов, которые растворимы в мономере

§  собственный капитал;

§   активы предприятия;

§   единицу реализуемой продукции;

§   инвестируемый капитал.

Сложность данного метода заключается в разработке соответствующих нормативов, их обосновании и количественном исчислении.

Метод экстраполяции предполагает анализ динамики за ряд лет, выявление тенденции развития и прогнозирование прибыли на плановый период. Этот метод можно использовать на стадии технико-экономического обоснования проекта, а также при планировании на краткосрочный период.

Аналитический метод планирования прибыли основан на построении многофакторных моделей. Он учитывает влияние различных факторов на результаты деятельности предприятия.

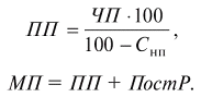
Анализ взаимосвязи «затраты, объем реализации, прибыль». Определяется точка безубыточности реализации продукции в плановом периоде

                                                                                 (6)

§  ОРтб - объем реализованной продукции, обеспечивающий достижение точки безубыточности в плановом периоде;

§   ПостР - планируемая величина постоянных расходов, %;

§   ПУчд - планируемый уровень прибыли в общем доходе от реализации продукции, %;

§   ПУпр - планируемый уровень переменных затрат в общем объеме реализации продукции, %.

Затем определяется плановая величина прибыли:

                                            (7)

§ ПП - плановая сумма прибыли от продаж;

§   ОРп - плановый объем реализации;

§   ОРт6- объем реализации в точке безубыточности;

§   ПУчд - планируемый уровень прибыли в общем доходе от реализации продукции, %;

§   ПУпр - планируемый уровень переменных затрат в общем объеме реализации продукции, %.

Плановая сумма маржинальной прибыли равна:

или                                                             (8)


где МП - маржинальная прибыль.

Чистая прибыль определяется

                                                                                    (10)

§ ЧП - чистая прибыль;

§   Снп- средняя ставка налоговых платежей за счет прибыли.

Данный метод позволяет провести многовариантные расчеты прибыли в зависимости от изменений в объеме реализации продукции в натуральном выражении, планируемых ценах, в затратах. В результате можно рассмотреть разные варианты деятельности предприятия - от крайне пессимистического до крайне оптимистического. Данный метод позволяет использовать возможности имитационного моделирования.

Целевой метод формирования прибыли позволяет провести увязку плановых показателей со стратегическими целями управления прибылью в предстоящем периоде. Основой метода является предварительное определение потребности в собственных финансовых ресурсах, формируемых за счет прибыли. Расчет ведется по каждому элементу потребности. Суммарная потребность в финансовых ресурсах, формируемых за счет чистой прибыли, представляет собой целевую ее сумму. На основе целевой суммы чистой прибыли определяется целевая величина прибыли от продаж и маржинальная прибыль:

Полимеризация мономеров в дисперсных системах нашла широкое применение в промышленности главным образом для проведения радикальной полимеризации и с полимеризации. При этом следует различать суспензионную и эмульсионную полимеризации. Так, суспензионная полимеризация ванильных соединений проводится в водной среде в присутствии инициаторов, которые растворимы в мономере. Полимеризация мономеров в дисперсных системах нашла широкое применение в промышленности главным образом для проведения радикальной полимеризации и с полимеризации. При этом следует различать суспензионную и эмульсионную полимеризации. Так, суспензионная полимеризация ванильных соединений проводится в водной среде в присутствии инициаторов, которые растворимы в мономере

Полимеризация мономеров в дисперсных системах нашла широкое применение в промышленности главным образом для проведения радикальной полимеризации и с полимеризации. При этом следует различать суспензионную и эмульсионную полимеризации. Так, суспензионная полимеризация ванильных соединений проводится в водной среде в присутствии инициаторов, которые растворимы в мономере. Полимеризация мономеров в дисперсных системах нашла широкое применение в промышленности главным образом для проведения радикальной полимеризации и с полимеризации. При этом следует различать суспензионную и эмульсионную полимеризации. Так, суспензионная полимеризация ванильных соединений проводится в водной среде в присутствии инициаторов, которые растворимы в мономере

                                                                                    (11)

Полученные показатели рассматриваются как важнейшие целевые ориентиры развития деятельности предприятия, служат базовыми элементами для расчета других плановых показателей.

Прогнозирование денежного потока основывается на плане поступлений и расходования денежных средств в процессе осуществления деятельности предприятия. Он отражает процесс формирования прибыли как собственных ресурсов предприятия с учетом схем, сроков и величины предстоящих платежей, уровня дебиторской и кредиторской задолженности, остатков готовой продукции на складе и других факторов, влияющих на процесс поступления денежных средств на расчетный счет предприятия и их выбытия с расчетного счета.

.3 Основные направления распределения и использования прибыли компании

Прибыль распределяется между государством, собственниками предприятия и самим предприятием. Пропорции этого распределения в значительной мере воздействуют на эффективность деятельности предприятия как позитивно, так и негативно.

Взаимоотношения предприятий и государства по поводу прибыли строятся на основе налогообложения прибыли.

Полимеризация мономеров в дисперсных системах нашла широкое применение в промышленности главным образом для проведения радикальной полимеризации и с полимеризации. При этом следует различать суспензионную и эмульсионную полимеризации. Так, суспензионная полимеризация ванильных соединений проводится в водной среде в присутствии инициаторов, которые растворимы в мономере. Полимеризация мономеров в дисперсных системах нашла широкое применение в промышленности главным образом для проведения радикальной полимеризации и с полимеризации. При этом следует различать суспензионную и эмульсионную полимеризации. Так, суспензионная полимеризация ванильных соединений проводится в водной среде в присутствии инициаторов, которые растворимы в мономере

Полимеризация мономеров в дисперсных системах нашла широкое применение в промышленности главным образом для проведения радикальной полимеризации и с полимеризации. При этом следует различать суспензионную и эмульсионную полимеризации. Так, суспензионная полимеризация ванильных соединений проводится в водной среде в присутствии инициаторов, которые растворимы в мономере. Полимеризация мономеров в дисперсных системах нашла широкое применение в промышленности главным образом для проведения радикальной полимеризации и с полимеризации. При этом следует различать суспензионную и эмульсионную полимеризации. Так, суспензионная полимеризация ванильных соединений проводится в водной среде в присутствии инициаторов, которые растворимы в мономере

Для налогообложения балансовая прибыль корректируется в соответствии с налоговым стандартами (Положением о составе затрат, включаемых в себестоимость продукции, и другими.). Надо отметить, что понятие чистой прибыли в России не соответствует понятию чистой прибыли по международным стандартам, «наша» чистая прибыль по ситу не является чистой, а включает в себя значительные расходы (фонды потребления, социальной сферы и т.д.), что недопустимо по западным стандартам.

Полимеризация мономеров в дисперсных системах нашла широкое применение в промышленности главным образом для проведения радикальной полимеризации и с полимеризации. При этом следует различать суспензионную и эмульсионную полимеризации. Так, суспензионная полимеризация ванильных соединений проводится в водной среде в присутствии инициаторов, которые растворимы в мономере. Полимеризация мономеров в дисперсных системах нашла широкое применение в промышленности главным образом для проведения радикальной полимеризации и с полимеризации. При этом следует различать суспензионную и эмульсионную полимеризации. Так, суспензионная полимеризация ванильных соединений проводится в водной среде в присутствии инициаторов, которые растворимы в мономере

Полимеризация мономеров в дисперсных системах нашла широкое применение в промышленности главным образом для проведения радикальной полимеризации и с полимеризации. При этом следует различать суспензионную и эмульсионную полимеризации. Так, суспензионная полимеризация ванильных соединений проводится в водной среде в присутствии инициаторов, которые растворимы в мономере. Полимеризация мономеров в дисперсных системах нашла широкое применение в промышленности главным образом для проведения радикальной полимеризации и с полимеризации. При этом следует различать суспензионную и эмульсионную полимеризации. Так, суспензионная полимеризация ванильных соединений проводится в водной среде в присутствии инициаторов, которые растворимы в мономере

Из прибыли, остающейся в распоряжении предприятия (чистой прибыли) в соответствии с законодательством и учредительными документами предприятие может создавать фонд накопления, фонд потребления, резервный фонд и другие специальные фонды и резервы. Эта прибыль направляется на капитальные вложения и прирост основного и оборотного капитала; на покрытие убытков прошлых лет, на отчисления в резервный капитал, на расходы социального характера; а также на выплату дивидендов и доходов.

При этом под фондом накопления понимаются средства, направленные на производственное развитие предприятия, техническое перевооружение, реконструкцию, расширение, освоение производства новой продукции, на строительство и обновление основных производственных фондов, освоение новой техники и технологий в действующих организациях и иные аналогичные цели, предусмотренные учредительными документами предприятия (на создание нового имущества предприятия).

Полимеризация мономеров в дисперсных системах нашла широкое применение в промышленности главным образом для проведения радикальной полимеризации и с полимеризации. При этом следует различать суспензионную и эмульсионную полимеризации. Так, суспензионная полимеризация ванильных соединений проводится в водной среде в присутствии инициаторов, которые растворимы в мономере. Полимеризация мономеров в дисперсных системах нашла широкое применение в промышленности главным образом для проведения радикальной полимеризации и с полимеризации. При этом следует различать суспензионную и эмульсионную полимеризации. Так, суспензионная полимеризация ванильных соединений проводится в водной среде в присутствии инициаторов, которые растворимы в мономере

Полимеризация мономеров в дисперсных системах нашла широкое применение в промышленности главным образом для проведения радикальной полимеризации и с полимеризации. При этом следует различать суспензионную и эмульсионную полимеризации. Так, суспензионная полимеризация ванильных соединений проводится в водной среде в присутствии инициаторов, которые растворимы в мономере. Полимеризация мономеров в дисперсных системах нашла широкое применение в промышленности главным образом для проведения радикальной полимеризации и с полимеризации. При этом следует различать суспензионную и эмульсионную полимеризации. Так, суспензионная полимеризация ванильных соединений проводится в водной среде в присутствии инициаторов, которые растворимы в мономере

За счет средств фондов накопления финансируются главным образом капитальные вложения на производственное развитие. При этом осуществление капитальных вложений за счет собственной прибыли не уменьшает величину фонда накопления. Происходит преобразование финансовых средств в имущественные ценности. Фонд накопления уменьшается только при использовании его средств на погашение убытков отчетного года, а также в результате списания за счет накопительных фондов расходов, не включенных в первоначальную стоимость вводимых в эксплуатацию объектов основных средств.

Полимеризация мономеров в дисперсных системах нашла широкое применение в промышленности главным образом для проведения радикальной полимеризации и с полимеризации. При этом следует различать суспензионную и эмульсионную полимеризации. Так, суспензионная полимеризация ванильных соединений проводится в водной среде в присутствии инициаторов, которые растворимы в мономере. Полимеризация мономеров в дисперсных системах нашла широкое применение в промышленности главным образом для проведения радикальной полимеризации и с полимеризации. При этом следует различать суспензионную и эмульсионную полимеризации. Так, суспензионная полимеризация ванильных соединений проводится в водной среде в присутствии инициаторов, которые растворимы в мономере

Полимеризация мономеров в дисперсных системах нашла широкое применение в промышленности главным образом для проведения радикальной полимеризации и с полимеризации. При этом следует различать суспензионную и эмульсионную полимеризации. Так, суспензионная полимеризация ванильных соединений проводится в водной среде в присутствии инициаторов, которые растворимы в мономере. Полимеризация мономеров в дисперсных системах нашла широкое применение в промышленности главным образом для проведения радикальной полимеризации и с полимеризации. При этом следует различать суспензионную и эмульсионную полимеризации. Так, суспензионная полимеризация ванильных соединений проводится в водной среде в присутствии инициаторов, которые растворимы в мономере

Под фондами потребления понимаются средства направляемые на осуществление мероприятий по социальному развитию (кроме капитальных вложений), материальному поощрению коллектива предприятия, приобретение проездных билетов, путевок в санатории, единовременном премировании и иных аналогичных мероприятий и работ, не приводящих к образованию нового имущества предприятия.

Фонд потребления складывается из двух частей: фонд оплаты труда и выплаты из фонда социального развития. Фонд оплаты труда является источником оплаты по труду, любых видов вознаграждения и стимулирования работников предприятия. Выплаты из фонда социального развития расходуются на проведение оздоровительных мероприятий, частичное погашение кредитов за кооператив, индивидуальное жилищное строительство, беспроцентные ссуды молодым семьям и другие цели, предусмотренные мероприятиями по социальному развитию трудовых коллективов.

Резервный фонд предназначен для обеспечения финансовой устойчивости в период временного ухудшения производственно - финансовых показателей. Он также служит для компенсации ряда денежных затрат, возникающих в процессе производства и потребления продукции.

Для повышения эффективности производства очень важно, чтобы при распределении прибыли была достигнута оптимальность в сумме отчислений.

Полимеризация мономеров в дисперсных системах нашла широкое применение в промышленности главным образом для проведения радикальной полимеризации и с полимеризации. При этом следует различать суспензионную и эмульсионную полимеризации. Так, суспензионная полимеризация ванильных соединений проводится в водной среде в присутствии инициаторов, которые растворимы в мономере. Полимеризация мономеров в дисперсных системах нашла широкое применение в промышленности главным образом для проведения радикальной полимеризации и с полимеризации. При этом следует различать суспензионную и эмульсионную полимеризации. Так, суспензионная полимеризация ванильных соединений проводится в водной среде в присутствии инициаторов, которые растворимы в мономере

Полимеризация мономеров в дисперсных системах нашла широкое применение в промышленности главным образом для проведения радикальной полимеризации и с полимеризации. При этом следует различать суспензионную и эмульсионную полимеризации. Так, суспензионная полимеризация ванильных соединений проводится в водной среде в присутствии инициаторов, которые растворимы в мономере. Полимеризация мономеров в дисперсных системах нашла широкое применение в промышленности главным образом для проведения радикальной полимеризации и с полимеризации. При этом следует различать суспензионную и эмульсионную полимеризации. Так, суспензионная полимеризация ванильных соединений проводится в водной среде в присутствии инициаторов, которые растворимы в мономере

Нормативы отчислений от прибыли в фонды специального назначения устанавливается самим предприятием по согласованию с учредителем. Отчисления от прибыли в специальные фонды производятся ежеквартально. На сумму произведенных отчислений от прибыли происходит перераспределение прибыли внутри предприятия: уменьшается сумма нераспределенной прибыли и увеличиваются образуемые из нее фонды и резервы. Эта прибыль направляется на капитальные вложения и прирост основного и оборотного капитала; на покрытие убытков прошлых лет, на отчисления в резервный капитал, на расходы социального характера; а также на выплату дивидендов и доходов.

Прибыль, остающаяся в распоряжении предприятия, используется им самостоятельно и направляется на дальнейшее развитие предпринимательской деятельности. Никакие органы, в том числе государство, не имеют права вмешиваться в процесс использования чистой прибыли предприятия. В соответствии с этим по мере поступления чистая прибыль предприятий направляется:

на финансирование НИОКР, а также работ по созданию, освоению и внедрению навой техники;

на совершенствование технологии и организации производства;

на модернизацию оборудования;

улучшение качества продукции;

техническое перевооружение;

реконструкцию действующего производства.

Чистая прибыль является источником пополнения собственных оборотных средств. Кроме того, она направляется на уплате процентов по кредитам, полученным на восполнение недостатка собственных оборотных средств, на приобретение основных средств, а также уплату процентов по просроченным и отсроченным кредитам. За счет чистой прибыли уплачиваются некоторые виды сборов и налогов, например, налог на перепродажу автомобилей, вычислительной техники и персональных компьютеров, сбор со сделок по купле-продаже валюты на биржах, сбор за право торговли и др.

Полимеризация мономеров в дисперсных системах нашла широкое применение в промышленности главным образом для проведения радикальной полимеризации и с полимеризации. При этом следует различать суспензионную и эмульсионную полимеризации. Так, суспензионная полимеризация ванильных соединений проводится в водной среде в присутствии инициаторов, которые растворимы в мономере. Полимеризация мономеров в дисперсных системах нашла широкое применение в промышленности главным образом для проведения радикальной полимеризации и с полимеризации. При этом следует различать суспензионную и эмульсионную полимеризации. Так, суспензионная полимеризация ванильных соединений проводится в водной среде в присутствии инициаторов, которые растворимы в мономере

Полимеризация мономеров в дисперсных системах нашла широкое применение в промышленности главным образом для проведения радикальной полимеризации и с полимеризации. При этом следует различать суспензионную и эмульсионную полимеризации. Так, суспензионная полимеризация ванильных соединений проводится в водной среде в присутствии инициаторов, которые растворимы в мономере. Полимеризация мономеров в дисперсных системах нашла широкое применение в промышленности главным образом для проведения радикальной полимеризации и с полимеризации. При этом следует различать суспензионную и эмульсионную полимеризации. Так, суспензионная полимеризация ванильных соединений проводится в водной среде в присутствии инициаторов, которые растворимы в мономере

Обеспечивая производственные, материальные и социальные потребности за счет чистой прибыли, предприятие должно стремиться к установлению оптимального соотношения между фондом накопления и потребления с тем, чтобы учитывать условия рыночной конъюнктуры и вместе с тем стимулировать и поощрять результаты труда работников предприятия. Прибыль, остающаяся в распоряжении предприятия, служит не только источником финансирования производственного и социального развития, а также материального поощрения, но и используется в случаях нарушения предприятием действующего законодательства для уплаты различных штрафов и санкций. Так, из чистой прибыли уплачиваются штрафы при несоблюдении требований по охране окружающей среды от загрязнения, санитарных норм и правил. При завышении регулируемых цен на продукцию (работы, услуги) из чистой прибыли взыскивается незаконно полученная предприятием прибыль.

В случаях утаивания прибыли от налогообложения или взносов во внебюджетные фонды также взыскиваются штрафные санкции, источником уплаты которых является чистая прибыль. Хозяйствующий субъект самостоятельно определяет направления использования прибыли, если иное не предусмотрено Уставом.

Главное требование, которое предъявляется сегодня к системе распределения прибыли, остающейся на предприятии, заключается в том, что она должна обеспечить финансовыми ресурсами потребности расширенного воспроизводства на основе установления оптимального соотношения между средствами, направляемыми на потребление и накопление.

Полимеризация мономеров в дисперсных системах нашла широкое применение в промышленности главным образом для проведения радикальной полимеризации и с полимеризации. При этом следует различать суспензионную и эмульсионную полимеризации. Так, суспензионная полимеризация ванильных соединений проводится в водной среде в присутствии инициаторов, которые растворимы в мономере. Полимеризация мономеров в дисперсных системах нашла широкое применение в промышленности главным образом для проведения радикальной полимеризации и с полимеризации. При этом следует различать суспензионную и эмульсионную полимеризации. Так, суспензионная полимеризация ванильных соединений проводится в водной среде в присутствии инициаторов, которые растворимы в мономере

Полимеризация мономеров в дисперсных системах нашла широкое применение в промышленности главным образом для проведения радикальной полимеризации и с полимеризации. При этом следует различать суспензионную и эмульсионную полимеризации. Так, суспензионная полимеризация ванильных соединений проводится в водной среде в присутствии инициаторов, которые растворимы в мономере. Полимеризация мономеров в дисперсных системах нашла широкое применение в промышленности главным образом для проведения радикальной полимеризации и с полимеризации. При этом следует различать суспензионную и эмульсионную полимеризации. Так, суспензионная полимеризация ванильных соединений проводится в водной среде в присутствии инициаторов, которые растворимы в мономере

При распределении прибыли, определении основных направлений ее использования прежде всего учитывается состояние конкурентной среды, которая может диктовать необходимость существенного расширения и обновления производственного потенциала предприятия. В соответствии с этим определяются масштабы отчислений от прибыли в фонды производственного развития, ресурсы которых предназначаются для финансирования капитальных вложений, увеличения оборотных средств, обеспечения научно-исследовательской деятельности, внедрения новых технологий, перехода на прогрессивные методы труда и т.п. Общая схема распределения прибыли предприятия приведена на рис. 2.

Полимеризация мономеров в дисперсных системах нашла широкое применение в промышленности главным образом для проведения радикальной полимеризации и с полимеризации. При этом следует различать суспензионную и эмульсионную полимеризации. Так, суспензионная полимеризация ванильных соединений проводится в водной среде в присутствии инициаторов, которые растворимы в мономере. Полимеризация мономеров в дисперсных системах нашла широкое применение в промышленности главным образом для проведения радикальной полимеризации и с полимеризации. При этом следует различать суспензионную и эмульсионную полимеризации. Так, суспензионная полимеризация ванильных соединений проводится в водной среде в присутствии инициаторов, которые растворимы в мономере

Полимеризация мономеров в дисперсных системах нашла широкое применение в промышленности главным образом для проведения радикальной полимеризации и с полимеризации. При этом следует различать суспензионную и эмульсионную полимеризации. Так, суспензионная полимеризация ванильных соединений проводится в водной среде в присутствии инициаторов, которые растворимы в мономере. Полимеризация мономеров в дисперсных системах нашла широкое применение в промышленности главным образом для проведения радикальной полимеризации и с полимеризации. При этом следует различать суспензионную и эмульсионную полимеризации. Так, суспензионная полимеризация ванильных соединений проводится в водной среде в присутствии инициаторов, которые растворимы в мономере

Полимеризация мономеров в дисперсных системах нашла широкое применение в промышленности главным образом для проведения радикальной полимеризации и с полимеризации. При этом следует различать суспензионную и эмульсионную полимеризации. Так, суспензионная полимеризация ванильных соединений проводится в водной среде в присутствии инициаторов, которые растворимы в мономере. Полимеризация мономеров в дисперсных системах нашла широкое применение в промышленности главным образом для проведения радикальной полимеризации и с полимеризации. При этом следует различать суспензионную и эмульсионную полимеризации. Так, суспензионная полимеризация ванильных соединений проводится в водной среде в присутствии инициаторов, которые растворимы в мономере

Полимеризация мономеров в дисперсных системах нашла широкое применение в промышленности главным образом для проведения радикальной полимеризации и с полимеризации. При этом следует различать суспензионную и эмульсионную полимеризации. Так, суспензионная полимеризация ванильных соединений проводится в водной среде в присутствии инициаторов, которые растворимы в мономере. Полимеризация мономеров в дисперсных системах нашла широкое применение в промышленности главным образом для проведения радикальной полимеризации и с полимеризации. При этом следует различать суспензионную и эмульсионную полимеризации. Так, суспензионная полимеризация ванильных соединений проводится в водной среде в присутствии инициаторов, которые растворимы в мономере

Полимеризация мономеров в дисперсных системах нашла широкое применение в промышленности главным образом для проведения радикальной полимеризации и с полимеризации. При этом следует различать суспензионную и эмульсионную полимеризации. Так, суспензионная полимеризация ванильных соединений проводится в водной среде в присутствии инициаторов, которые растворимы в мономере. Полимеризация мономеров в дисперсных системах нашла широкое применение в промышленности главным образом для проведения радикальной полимеризации и с полимеризации. При этом следует различать суспензионную и эмульсионную полимеризации. Так, суспензионная полимеризация ванильных соединений проводится в водной среде в присутствии инициаторов, которые растворимы в мономере

Полимеризация мономеров в дисперсных системах нашла широкое применение в промышленности главным образом для проведения радикальной полимеризации и с полимеризации. При этом следует различать суспензионную и эмульсионную полимеризации. Так, суспензионная полимеризация ванильных соединений проводится в водной среде в присутствии инициаторов, которые растворимы в мономере. Полимеризация мономеров в дисперсных системах нашла широкое применение в промышленности главным образом для проведения радикальной полимеризации и с полимеризации. При этом следует различать суспензионную и эмульсионную полимеризации. Так, суспензионная полимеризация ванильных соединений проводится в водной среде в присутствии инициаторов, которые растворимы в мономере

Полимеризация мономеров в дисперсных системах нашла широкое применение в промышленности главным образом для проведения радикальной полимеризации и с полимеризации. При этом следует различать суспензионную и эмульсионную полимеризации. Так, суспензионная полимеризация ванильных соединений проводится в водной среде в присутствии инициаторов, которые растворимы в мономере. Полимеризация мономеров в дисперсных системах нашла широкое применение в промышленности главным образом для проведения радикальной полимеризации и с полимеризации. При этом следует различать суспензионную и эмульсионную полимеризации. Так, суспензионная полимеризация ванильных соединений проводится в водной среде в присутствии инициаторов, которые растворимы в мономере

Полимеризация мономеров в дисперсных системах нашла широкое применение в промышленности главным образом для проведения радикальной полимеризации и с полимеризации. При этом следует различать суспензионную и эмульсионную полимеризации. Так, суспензионная полимеризация ванильных соединений проводится в водной среде в присутствии инициаторов, которые растворимы в мономере. Полимеризация мономеров в дисперсных системах нашла широкое применение в промышленности главным образом для проведения радикальной полимеризации и с полимеризации. При этом следует различать суспензионную и эмульсионную полимеризации. Так, суспензионная полимеризация ванильных соединений проводится в водной среде в присутствии инициаторов, которые растворимы в мономере

Полимеризация мономеров в дисперсных системах нашла широкое применение в промышленности главным образом для проведения радикальной полимеризации и с полимеризации. При этом следует различать суспензионную и эмульсионную полимеризации. Так, суспензионная полимеризация ванильных соединений проводится в водной среде в присутствии инициаторов, которые растворимы в мономере. Полимеризация мономеров в дисперсных системах нашла широкое применение в промышленности главным образом для проведения радикальной полимеризации и с полимеризации. При этом следует различать суспензионную и эмульсионную полимеризации. Так, суспензионная полимеризация ванильных соединений проводится в водной среде в присутствии инициаторов, которые растворимы в мономере

Рисунок 2. Основные направления распределения прибыли

Важным аспектом распределения прибыли является определение пропорции деления прибыли на капитализируемую и потребляемую части, которая устанавливается в соответствии с учредительными документами, интересами учредителей, а также определяется в зависимости от стратегии развития бизнеса.

Полимеризация мономеров в дисперсных системах нашла широкое применение в промышленности главным образом для проведения радикальной полимеризации и с полимеризации. При этом следует различать суспензионную и эмульсионную полимеризации. Так, суспензионная полимеризация ванильных соединений проводится в водной среде в присутствии инициаторов, которые растворимы в мономере. Полимеризация мономеров в дисперсных системах нашла широкое применение в промышленности главным образом для проведения радикальной полимеризации и с полимеризации. При этом следует различать суспензионную и эмульсионную полимеризации. Так, суспензионная полимеризация ванильных соединений проводится в водной среде в присутствии инициаторов, которые растворимы в мономере

Полимеризация мономеров в дисперсных системах нашла широкое применение в промышленности главным образом для проведения радикальной полимеризации и с полимеризации. При этом следует различать суспензионную и эмульсионную полимеризации. Так, суспензионная полимеризация ванильных соединений проводится в водной среде в присутствии инициаторов, которые растворимы в мономере. Полимеризация мономеров в дисперсных системах нашла широкое применение в промышленности главным образом для проведения радикальной полимеризации и с полимеризации. При этом следует различать суспензионную и эмульсионную полимеризации. Так, суспензионная полимеризация ванильных соединений проводится в водной среде в присутствии инициаторов, которые растворимы в мономере

Для каждой организационно-правовой формы предприятия законодательно установлен соответствующий механизм распределения прибыли, остающейся в распоряжении предприятия, основанный на особенностях внутреннего устройства и регулирования деятельности предприятий соответствующих форм собственности.

На любом предприятии объектом распределения является балансовая прибыль предприятия. Под се распределением понимается направление прибыли в бюджет и по статьям использования на предприятии. Законодательно распределение прибыли регулируется в той ее части, которая поступает в бюджеты различных уровней в виде налогов и других обязательных платежей. Определение же направлений расходования прибыли, остающейся в распоряжении предприятия, структуры формируемых фондов, процесс их использования находятся в компетенции самого предприятия.

Государство не устанавливает каких-либо нормативов распределения прибыли, но через порядок предоставления налоговых льгот стимулирует направление прибыли на инновации, капитальные вложения производственного и непроизводственного характера, на благотворительные цели, финансирование природоохранных мероприятий, расходов по содержанию объектов и учреждений непроизводственной сферы и т.п. Законодательство ограничивает размер резервного фонда предприятия, регулирует порядок формирования резерва по сомнительным долгам.

Порядок распределения и использования прибыли предприятия фиксируется в его учредительных документах и определяется положением, которое разрабатывается соответствующими подразделениями экономических и финансовых служб и утверждается руководящим органом предприятия.

Полимеризация мономеров в дисперсных системах нашла широкое применение в промышленности главным образом для проведения радикальной полимеризации и с полимеризации. При этом следует различать суспензионную и эмульсионную полимеризации. Так, суспензионная полимеризация ванильных соединений проводится в водной среде в присутствии инициаторов, которые растворимы в мономере. Полимеризация мономеров в дисперсных системах нашла широкое применение в промышленности главным образом для проведения радикальной полимеризации и с полимеризации. При этом следует различать суспензионную и эмульсионную полимеризации. Так, суспензионная полимеризация ванильных соединений проводится в водной среде в присутствии инициаторов, которые растворимы в мономере

Полимеризация мономеров в дисперсных системах нашла широкое применение в промышленности главным образом для проведения радикальной полимеризации и с полимеризации. При этом следует различать суспензионную и эмульсионную полимеризации. Так, суспензионная полимеризация ванильных соединений проводится в водной среде в присутствии инициаторов, которые растворимы в мономере. Полимеризация мономеров в дисперсных системах нашла широкое применение в промышленности главным образом для проведения радикальной полимеризации и с полимеризации. При этом следует различать суспензионную и эмульсионную полимеризации. Так, суспензионная полимеризация ванильных соединений проводится в водной среде в присутствии инициаторов, которые растворимы в мономере

Подраспределением прибыли понимается порядок и направления ее использования, определяемый законодательством, целями и задачами предприятия, интересами учредителей - собственников предприятия. Распределение прибыли основывается на следующих принципах:

§  выполнение обязательств перед государством;

§   обеспечение материальной заинтересованности работников в достижении наивысших результатов при наименьших затратах;

§   накопление собственного капитала, обеспечивающего процесс непрерывного развития бизнеса;

§   выполнение обязательств перед учредителями, инвесторами, кредиторами и др.

Основные направления распределения прибыли представлены на рис.2.

Прибыль полного товарищества распределяется между участниками в соответствии с учредительным договором, в котором определяются доли его участников.

Порядок распределения прибыли зависит от того, на какой срок создано товарищество. Если товарищество создано на конкретный срок, в целях реализации определенного проекта, то чистая прибыль распределяется между участниками в соответствии с их долями в складочном капитале.

В том случае, когда товарищество создано на длительный или неопределенный срок, из прибыли могут формироваться различные фонды (рис. 3).

Полимеризация мономеров в дисперсных системах нашла широкое применение в промышленности главным образом для проведения радикальной полимеризации и с полимеризации. При этом следует различать суспензионную и эмульсионную полимеризации. Так, суспензионная полимеризация ванильных соединений проводится в водной среде в присутствии инициаторов, которые растворимы в мономере. Полимеризация мономеров в дисперсных системах нашла широкое применение в промышленности главным образом для проведения радикальной полимеризации и с полимеризации. При этом следует различать суспензионную и эмульсионную полимеризации. Так, суспензионная полимеризация ванильных соединений проводится в водной среде в присутствии инициаторов, которые растворимы в мономере

Полимеризация мономеров в дисперсных системах нашла широкое применение в промышленности главным образом для проведения радикальной полимеризации и с полимеризации. При этом следует различать суспензионную и эмульсионную полимеризации. Так, суспензионная полимеризация ванильных соединений проводится в водной среде в присутствии инициаторов, которые растворимы в мономере. Полимеризация мономеров в дисперсных системах нашла широкое применение в промышленности главным образом для проведения радикальной полимеризации и с полимеризации. При этом следует различать суспензионную и эмульсионную полимеризации. Так, суспензионная полимеризация ванильных соединений проводится в водной среде в присутствии инициаторов, которые растворимы в мономере

Рисунок 3. Распределение прибыли товарищества

В коммандитном товариществе из балансовой прибыли в первую очередь вносятся в бюджет различные сборы и налог на прибыль, исчисленный в соответствии с порядком, установленным для юридических лиц. Затем из чистой прибыли выплачивается доход для вкладчиков (коммандитистов), так как они внесли свои вклады в складочный капитал, но в текущей деятельности товарищества не участвуют и не несут полную ответственность за результаты. Затем формируются необходимые для развития предприятия фонды. Прибыль, идущая на выплаты участникам товарищества, делится в соответствии с их долевым участием в складочном капитале. Остаток прибыли распределяется между действительными членами (полными товарищами).

Если прибыль не получена или получена в меньшем объеме, нежели предполагалось, то возможны следующие варианты:

Полимеризация мономеров в дисперсных системах нашла широкое применение в промышленности главным образом для проведения радикальной полимеризации и с полимеризации. При этом следует различать суспензионную и эмульсионную полимеризации. Так, суспензионная полимеризация ванильных соединений проводится в водной среде в присутствии инициаторов, которые растворимы в мономере. Полимеризация мономеров в дисперсных системах нашла широкое применение в промышленности главным образом для проведения радикальной полимеризации и с полимеризации. При этом следует различать суспензионную и эмульсионную полимеризации. Так, суспензионная полимеризация ванильных соединений проводится в водной среде в присутствии инициаторов, которые растворимы в мономере

Полимеризация мономеров в дисперсных системах нашла широкое применение в промышленности главным образом для проведения радикальной полимеризации и с полимеризации. При этом следует различать суспензионную и эмульсионную полимеризации. Так, суспензионная полимеризация ванильных соединений проводится в водной среде в присутствии инициаторов, которые растворимы в мономере. Полимеризация мономеров в дисперсных системах нашла широкое применение в промышленности главным образом для проведения радикальной полимеризации и с полимеризации. При этом следует различать суспензионную и эмульсионную полимеризации. Так, суспензионная полимеризация ванильных соединений проводится в водной среде в присутствии инициаторов, которые растворимы в мономере

§  при отрицательных финансовых результатах действительные члены обязаны отдать вкладчикам их долю прибыли, продав имущество товарищества;

§   при недостаточности средств может быть принято решение о невыплате пайщикам прибыли.

Прибыль общества с ограниченной ответственностью облагается налогом и распределяется в общем порядке, установленном для юридических лиц. Чистая прибыль может распределяться на резервный фонд, который в соответствии с законом об обществах с ограниченной ответственностью рекомендуется формировать для своевременного выполнения обязательств перед учредителями, выходящими из их состава, а также делиться на две части - фонд накопления и фонд потребления. Фонд накопления включает те фонды, которые по решению учредителей идут на развитие предприятия, инвестиционные проекты. Фонд потребления может состоять из фонда социального развития, материального поощрения и той части, которая идет на выплату учредителям (она распределяется пропорционально их долям в уставном капитале).

Наиболее сложным является порядок распределения прибыли акционерных обществ. Общие механизмы распределения прибыли и порядок выплаты дивидендов фиксируются в уставе общества.

Для определения ставки дивидендов необходимо рассчитать потенциальный размер прибыли, которая может быть выплачена акционерам без ущерба для деятельности АО.

Полимеризация мономеров в дисперсных системах нашла широкое применение в промышленности главным образом для проведения радикальной полимеризации и с полимеризации. При этом следует различать суспензионную и эмульсионную полимеризации. Так, суспензионная полимеризация ванильных соединений проводится в водной среде в присутствии инициаторов, которые растворимы в мономере. Полимеризация мономеров в дисперсных системах нашла широкое применение в промышленности главным образом для проведения радикальной полимеризации и с полимеризации. При этом следует различать суспензионную и эмульсионную полимеризации. Так, суспензионная полимеризация ванильных соединений проводится в водной среде в присутствии инициаторов, которые растворимы в мономере

Полимеризация мономеров в дисперсных системах нашла широкое применение в промышленности главным образом для проведения радикальной полимеризации и с полимеризации. При этом следует различать суспензионную и эмульсионную полимеризации. Так, суспензионная полимеризация ванильных соединений проводится в водной среде в присутствии инициаторов, которые растворимы в мономере. Полимеризация мономеров в дисперсных системах нашла широкое применение в промышленности главным образом для проведения радикальной полимеризации и с полимеризации. При этом следует различать суспензионную и эмульсионную полимеризации. Так, суспензионная полимеризация ванильных соединений проводится в водной среде в присутствии инициаторов, которые растворимы в мономере

Общий порядок распределения прибыли АО представлен на рис. 3.

Политика АО в области распределения прибыли обычно вырабатывается советом директоров и подлежит утверждению на общем собрании акционеров.

При планировании распределения чистой прибыли АО необходимо учитывать виды выпущенных акций. Так, по привилегированным акциям предусматривается обязательная выплата дивидендов по утвержденным ставкам. Вопрос о выплате дивидендов по обыкновенным акциям решается в зависимости от финансовых результатов деятельности общества и с учетом перспектив его развития. В целях развития предприятия при недостаточности прибыли может быть принято решение о реинвестировании дивидендов по обыкновенным акциям и невыплате доходов их владельцам в текущем году. Распределение прибыли на капитализируемую часть и дивиденды является важнейшим моментом финансового планирования, гак как от этого зависит развитие АО и его возможности выплачивать дивиденды в будущем. Слишком высокие дивиденды могут привести к «проеданию» капитала, затормозить развитие бизнеса. В то же время невыплата дивидендов снижает рыночный курс акций общества и создает сложности при размещении очередного выпуска акций, ущемляет интересы собственников-акционеров.

Рисунок 4. Распределение прибыли акционерного общества

Государственные предприятия, функционирующие на территории Российской Федерации, могут осуществлять свою деятельность как унитарные предприятия на праве хозяйственного ведения или на праве оперативного управления (федеральное казенное предприятие). Распределение прибыли этих субъектов экономической деятельности имеет свою специфику.

Унитарное предприятие (УП) - государственное или муниципальное предприятие, не наделенное правом собственности на закрепленное за ним собственником имущество (имущество неделимо и не может быть распределено по вкладам).

Полимеризация мономеров в дисперсных системах нашла широкое применение в промышленности главным образом для проведения радикальной полимеризации и с полимеризации. При этом следует различать суспензионную и эмульсионную полимеризации. Так, суспензионная полимеризация ванильных соединений проводится в водной среде в присутствии инициаторов, которые растворимы в мономере. Полимеризация мономеров в дисперсных системах нашла широкое применение в промышленности главным образом для проведения радикальной полимеризации и с полимеризации. При этом следует различать суспензионную и эмульсионную полимеризации. Так, суспензионная полимеризация ванильных соединений проводится в водной среде в присутствии инициаторов, которые растворимы в мономере

Полимеризация мономеров в дисперсных системах нашла широкое применение в промышленности главным образом для проведения радикальной полимеризации и с полимеризации. При этом следует различать суспензионную и эмульсионную полимеризации. Так, суспензионная полимеризация ванильных соединений проводится в водной среде в присутствии инициаторов, которые растворимы в мономере. Полимеризация мономеров в дисперсных системах нашла широкое применение в промышленности главным образом для проведения радикальной полимеризации и с полимеризации. При этом следует различать суспензионную и эмульсионную полимеризации. Так, суспензионная полимеризация ванильных соединений проводится в водной среде в присутствии инициаторов, которые растворимы в мономере

УП на праве хозяйственного ведения создаются по решению уполномоченного государственного (муниципального) органа. Оно владеет, пользуется и распоряжается имуществом. Собственник решает вопросы создания, реорганизации и ликвидации предприятия; определения предмета и целей деятельности; контроля над использованием и сохранностью имущества. Собственник имеет право на получение части прибыли. Он не отвечает по обязательствам предприятия.

УП на праве оперативного управления (федеральное казенное предприятие) владеет и пользуется имуществом в соответствии с целями своей деятельности. Оно может распоряжаться имуществом лишь с согласия собственника. Собственник (Российская Федерация) несет субсидиарную ответственность по обязательствам казенного предприятия.

Порядок распределения прибыли на казенных предприятиях регулируется Типовым уставом казенною завода (фабрики, хозяйства) и Порядком планирования и финансирования деятельности казенных заводов, утвержденными Правительством РФ.

В соответствии с этими документами прибыль от реализации продукции (работ, услуг), произведенной в соответствии с планом-заказом и в результате разрешенной ему самостоятельной хозяйственной деятельности, направляется на финансирование мероприятий, обеспечивающих выполнение плана-заказа, плана развития завода и на другие производственные цели, а также на социальное развитие по нормативам, ежегодно устанавливаемым уполномоченным органом. Порядок установления таких нормативов утверждается Министерством финансов РФ. Свободный остаток прибыли, остающийся после ее направления на указанные цели, подлежит изъятию в доход федерального бюджета.

 

Глава 2. Анализ действующей системы планирования и распределения прибыли ООО «СтройСнаб»


2.1 Особенности финансово-хозяйственной деятельности ООО «СтройСнаб»


ООО «СтройСнаб» является юридическим лицом и имеет в собственности имущество, учитываемое на балансе предприятия, может от своего имени приобретать и осуществлять имущественные и личные неимущественные права, нести обязанности, быть истцом и ответчиком в суде. Общество имеет гражданские права и несет гражданские обязанности, необходимые для осуществления любых видов деятельности, не запрещенные федеральными законами.

Организационно-правовая форма - Общество с ограниченной ответственностью. Согласно устава общества с ограниченной ответственностью «СтройСнаб» место нахождения: 129226, Россия, г. Москва, ул. Сельскохозяйственная, д. 4, корп. 16.

Основным видом деятельности ООО «СтройСнаб» являются проектно-изыскательные, строительные работы по промышленному, гражданскому и жилищному строительству.

Организационно-правовая форма ООО «СтройСнаб» соответствует действующему гражданскому законодательству. Наличие государственной лицензии дает право заниматься строительной деятельностью и оптовой торговлей материалами. Для выполнения отдельных видов работ привлекаются субподрядные строительно-монтажные организации, у них также имеется лицензия на право заниматься строительной деятельностью.

ООО «СтройСнаб» имеет расчетные счета в учреждениях банков.

Управление организацией осуществляется на основе сочетания принципов единоначалия и самоуправления трудового коллектива. Единоначалие основывается на том, что организацией руководит директор, который назначается его учредителем. С директором заключается контракт, в котором определяются его права, обязанности и ответственность, а также условия материального обеспечения. Директор организации утверждает штат и определяет численность работников, устанавливает систему, размеры оплаты труда и другие виды доходов работников. Он самостоятельно решает все вопросы деятельности организации, распоряжается его имуществом и средствами, заключает договора, открывает расчетные счета в банках, принимает меры по материальному снабжению и решению других вопросов для обеспечения деятельности организации.

Главный инженер отвечает за проведение технической политики и правильную организацию строительного производства, за внедрение достижений научно-технического прогресса.

Отделы организации, реализуя соответствующие функции управления, организуют работу по созданию условий для выполнения заданий строительного производства.

Графическая схема организационной структуры ООО «СтройСнаб» представлена на рисунке 5.










Рисунок 5. Структура управления ООО «СтройСнаб»

Рассмотрим основных конкурентов ООО «СтройСнаб» (табл. 1).

Таблица 1 - Основные конкуренты ООО «СтройСнаб»

Организации

Вид деятельности

ООО Строй Альянс»

Оптовая торговля строительно - монтажными инструментами

ООО «Элта»

Оптовой и мелко - оптовой торговлей строительным инвентарем и крепежными изделиями

ОАО «Вудсток»

Информационно-консультативные рекламные услуги, проведение аукционов, ярмарок и выставок

ЗАО «Золотой гвоздик»

Мелко-оптовая и розничная торговля всеми видами крепежей

ОАО «Строй - Центр»

Производство строительных материалов, оказание транспортных, экспедиционных и складских услуг

ООО «Сантал»

Строительно-монтажные и ремонтные работы


Далее рассмотрим основные экономические показатели предприятия за 2010- 2012 гг., представленные в табл. 2.

Таблица 2 - Основные показатели деятельности ООО «СтройСнаб»

Показатели

 2010г.

 2011г.

 2012г.

Темпы прироста, %





2011г. к 2010г

2012г. к 2011г

Стоимость имущества, тыс.руб.

11584

19841

67542

71,27

240,40

Численность персонала, чел.

20

25

30

25

20

Выручка от продаж, тыс.руб.

59600

64954

144376

8,98

122,27

Себестоимость продукции, тыс.руб.

52107

56339

131779

8,12

133,90

Валовая прибыль, тыс.руб.

7493

8615

12597

5,83

42,75

273

560

2363

105,13

321,96

Чистая прибыль, тыс.руб.

224

479

1981

113,84

313,57

Фондоотдача

5,14

3,27

2,13

-36,38

-34,86

Фондоемкость

0,19

0,31

0,47

63,16

51,61

Производительность труда

2980

2598

4813

-12,82

85,26

Чистая рентабельность продаж,%

0,37

0,73

1,37

97,29

87,67


Из данных табл. 2 можно сделать вывод, что предприятие развивается и имеет хорошие экономические показатели. Стоимость имущества в 2011 году составляет 19841 тыс. руб., что на 71,27% больше чем в предыдущем году. В 2012 году стоимость имущества увеличилась на 47701 тыс. руб. или на 240,40%.

Численность работников увеличилась на 5 человек, к 2011 году и на 5 человек к 2012 году. Темп прироста соответственно составил 25% и 20%.

Выручка от реализации продукции, оказанных услуг и работ увеличилась на 5354 тыс. руб. в 2011 году, а в 2012 году на 79422 тыс. руб. Темп прироста выручки от продажи продукции увеличился в 2011 году на 8,98 %, а в 2012 году на 122,27%.

Рост себестоимости на 4322 тыс. руб. в 2011 году объясняется ежегодным ростом цен на закупаемые товары. В 2012 году себестоимость увеличилась на 75440 тыс. руб. Темп прироста данного показателя в 2011 году составил 8,12% а к 2012 году 133,90%.

Валовая прибыль в 2011 году увеличилась на 437 тыс. руб. или 5,83%. В 2012 году она возросла на 3390 тыс. руб. или на 42,75%.

Прибыль до налогообложения к 2011 году увеличилась на 287 тыс. руб. или на 105,13%, а в 2012 году на 1803 тыс. руб. или 321,96%.

Рост чистой прибыли в 2011 году составил 255 тыс. руб. или 113,84%, а к 2012 году 1502 тыс. руб. или 321,96%.

Показатели фондоотдачи и фондоемкости мы рассчитали с помощью следующих формул:

Фо=В/С                                                                                          (2.1)

В - выручка от продаж,

С - среднегодовая стоимость имущества.

Фе=С/В                                                                                           (2.2)

С - среднегодовая стоимость имущества.

В - выручка от продаж,

Снижение фондоотдачи в 2011 году на 1,87 тыс. руб., а в 2012 году на 1,14 тыс. руб. свидетельствует о неэффективном использовании основных фондов предприятия.

Увеличение стоимости основных средств привело к увеличению фондоемкости продаж в 2012 году на 51,61%, а в 2011 году этот показатель был выше и составлял 63,16%.

Производительность труда сократилась на 382 тыс. руб. или на 12,82%, что связано с увеличением численности персонала. К 2012 году показатель возрос на 2215 тыс. руб. или на 25,26%.

Рентабельность продаж показывает, что в 2010 году 0,37руб. чистой прибыли приходится на 1 руб. выручки от реализации продукции, в 2011 году рентабельность увеличилась на 97,29% и составила 0,73 руб., а к 2012 году рентабельность продаж составила 1,37 руб.прибыли на 1 руб. выручки. В целом предприятие развивается, но не эффективно использует основные фонды.

ООО «СтройСнаб» намерено увеличить ассортимент предлагаемых товаров. Тем самым предприятие планирует завоевать как можно большую долю потребителей на рынке.

2.2 Анализ планирования прибыли


Планирование прибыли рассмотрим на основе анализа финансового состояния предприятия.

Основной формой при оценки финансового состояния является баланс предприятия. Баланс даёт ориентировочную оценку суммы средств, находящихся в распоряжении предприятия. Исследовать структуру и динамику финансового состояния предприятия удобно при помощи сравнительного аналитического баланса.

Бухгалтерский баланс, а также отчет о прибылях и убытках ООО «СтройСнаб» за 2010-2012 гг. представлен в прил. 1,2.

Из данных отчетности предприятия необходимо сделать следующие выводы. Активы баланса увеличились в 2011 году на 8257 тыс. руб. В 2012 году увеличение составило 47701 тыс. руб.

Внеоборотные активы увеличились в 2011 году на 1380 тыс. руб., в 2012 году увеличение произошло на 1885 тыс.руб. В структуре внеоборотных активов основное увеличение произошло за счет основных средств.

Долгосрочные финансовые вложения на протяжении всего анализируемого периода не изменены 300 тыс. руб.

В структуре оборотных активов увеличение произошло за счет запасов в 2011 на 6421 тыс. руб. В 2012 году увеличение составило 26774 тыс. руб.. Дебиторская задолженность в 2011 году составила 359 тыс. руб., а в 2012 году увеличилась на 13134 тыс. руб., денежные средства в 2011 году увеличились на 258 тыс. руб., в 2012 году произошло снижение на 747 тыс. руб.. В целом оборотные активы увеличились в 2011 году на 6877 тыс. руб., а в 2012 году на 45816 тыс. руб.

Капитал и резервы увеличились в 2011 году на 255 тыс. руб., а в 2012 году на 1502 тыс. руб.. В структуре капитала и резервов увеличение произошло за счет нераспределенной прибыли.

Долгосрочные обязательства на протяжении 2010-2011 гг. отсутствуют. А в 2012 году предприятие взяло кредит в сумме 11917 тыс. руб.

В целом краткосрочные обязательства увеличились в 2011 году на 8002 тыс. руб., а в 2012 году увеличение составило 34282 тыс. руб.. В структуре краткосрочных обязательств увеличение произошло за счет кредиторской задолженности в 2011 - 2012 гг. на 8002 тыс. руб., а в 2012 году на 35157 тыс. руб. Краткосрочные займы и кредиты в 2010 году составили 350 тыс. руб., в 2011 году увеличились на 525 тыс. руб., а в 2012 году они отсутствуют.

Анализ ликвидности предприятия осуществляется путем сравнения активов, сгруппированных и расположенных в порядке убывания ликвидности, с обязательствами по пассиву, сгруппированными и расположенными в порядке возрастания сроков погашения. По существу, ликвидность предприятия означает ликвидность его баланса, показывающего степень покрытия долговых обязательств организации ее активами, срок превращения которых в денежную наличность соответствуют сроку погашения платежных обязательств.

Ликвидность активов и срочность обязательств могут быть определены по бухгалтерскому балансу лишь в общих чертах в ходе внешнего анализа. Уточнение ликвидности баланса происходит в рамках внутреннего анализа на базе данных бухгалтерского учета.

В зависимости от степени ликвидности активы предприятия разделяются на следующие группы:

А1 - наиболее ликвидные активы - денежные средства предприятия и краткосрочные финансовые вложения;

А2 - быстро реализуемые активы - дебиторская задолженность и прочие активы;

А3 - медленно реализуемые активы - запасы (без строки 217 и расходов будущих периодов), а также статьи из раздела I актива баланса «Долгосрочные финансовые вложения» (уменьшенные на величину вложения в уставные фонды других предприятий);

А4 - труднореализуемые активы - итог раздела I актива баланса, за исключением статей этого раздела, включенных в предыдущую группу.

Пассивы баланса группируются по степени срочности их оплаты:

П1 - наиболее срочные обязательства - кредиторская задолженность, прочие пассивы, а также ссуды, не погашенные в срок;

П2 - краткосрочные пассивы - краткосрочные кредиты и заемные средства;

П3 - долгосрочные пассивы - долгосрочные кредиты и заемные средства;

П4 - постоянные пассивы - итог раздела V пассива баланса.

Анализ ликвидности баланса приведен в табл. 3.

Таблица 3 - Показатели ликвидности баланса ООО «СтройСнаб»

Группа активов

Сумма, тыс. руб.

Группа пассивов

Сумма, тыс. руб.

Соотношение активов и пассивов

Платежный излишек или недостаток

2010 год

А1

1431

П1

10810

A1 < П1

-9379

А2

1922

П2

350

A2 > П2

1572

А3

3823

П3

-

A3 > П3

3823

А4

4408

П4

424

A4 > П4

3984

2011 год

А1

1689

П1

18287

A1 < П1

-16598

А2

2281

П2

875

A2 > П2

1406

А3

10083

П3

-

A3 > П3

10083

А4

5788

П4

679

A4 > П4

5109

2012 год

А1

942

П1

53444

A1 < П1

-52502

А2

15415

П2

-

A2 > П2

15415

А3

43512

П3

11917

A3 > П3

31595

А4

7673

П4

2181

A4 > П4

5492


Полученные данные табл. 3 свидетельствуют о том, что баланс организации не является абсолютно ликвидным. В частности, ООО «СтройСнаб» располагает платежными излишками на протяжении анализируемого периода по второй и третьей группе активов и пассивов, что говорит о возможности погасить в полном объеме краткосрочные и долгосрочные кредиты и займы. Вместе с тем у организации наблюдается недостаток наиболее ликвидных активов, о чем свидетельствует отрицательная разница между первой группой активов и пассивов. Однако, учитывая, что в эту группу пассивов включена вся кредиторская задолженность и прочие краткосрочные обязательства, которые, как правило, не предъявляются кредиторами к оплате одновременно, сложившаяся ситуация не может свидетельствовать о кризисе неплатежей.

Сравнение четвертой группы активов и пассивов позволяет установить нехватку у ООО «СтройСнаб» собственного оборотного капитала, являющегося необходимым условием финансовой устойчивости организации.

Следует отметить, что за анализируемый период значения соотношений между отдельными группами активов и пассивов организации улучшается. В частности, увеличивается платежный излишек по второй и третьей группе, но одновременно возрастает и платежный недостаток по первой группе, а также уменьшается значение собственного оборотного капитала организации. Таким образом, наблюдается снижение ликвидности баланса и платежеспособности организации.

Для анализа платежеспособности и ликвидности организации рассчитываем относительные показатели (табл. 4).

Таблица 4 - Показатели платежеспособности и ликвидности ООО «СтройСнаб»

Показатели

Нормативное значение

2010г.

2011г.

2012г.

Темп прироста, %






2011 г. к 2010г.

2012г. к 2011г.

Коэффициент абсолютной ликвидности

0,2 - 0,25

0,128

0,088

0,018

-31,25

-79,55

Коэффициент быстрой ликвидности

0,6 - 0,7

0,300

0,207

0,306

-31,00

47,83

Коэффициент текущей ликвидности

1,0 - 2,0

0,643

0,733

1,120

13,99

52,79

Коэффициент общей ликвидности

2,0 - 3,0

1,038

1,035

1,264

-0,29

22,13


Для расчета данных коэффициентов использовались следующие формулы:

Кал=ДС/КП                                                                                    (2.3)

Где, ДС - Денежные средства, КП - краткосрочные пассивы

Кал=(ОА-З)/КП                                                                              (2.4)

Где, ОА - Оборотные активы, З - запасы, КП - краткосрочные пассивы

Ктл=ОбА/КДО                                                                               (2.5)

где ОбА - оборотные активы, принимаемые в расчет при оценке структуры баланса - это итог второго раздела баланса формы № 1 (строка 290) за вычетом строки 230 (дебиторская задолженность, платежи по которой ожидаются более чем через 12 месяцев после отчетной даты).

КДО - краткосрочные долговые обязательства - это итог четвертого раздела баланса (строка 690) за вычетом строк 640 (доходы будущих периодов) и 650 (резервы предстоящих расходов и платежей).

ол = (А1 + А2 + А3)/ (П1 + П2)                                                      (2.6)

Где А1 - наиболее ликвидные активы; А2 - быстрореализуемые активы; А3 - медленнореализуемые активы; П1 - наиболее срочные обязательства; П2 краткосрочные пасиивы

Анализ показателей табл. 4 показал, что коэффициент абсолютной ликвидности значительно ниже нормативного значения (0,2-0,25). Этот коэффициент прогрессивно снижается, в 2006 году составил 0,128, в 2011 0,088, а в 2012-0,018. Это говорит, о том, что организация не имеет возможности немедленного (быстрого) погашения своих обязательств перед кредиторами.

Нормативное значение коэффициент срочной ликвидности составляет от 0,6 до 0,7. По нашей организации этот показатель составляет в 2010 году 0,300, в 2011 году - 0,207, а в 2012 году равен 0,306, как видно эти значения значительно ниже нормативных.

Таким образом можно сказать, что организация не обладает платежными возможностями, даже при условии своевременного востребования средств с фирм дебиторов.

Коэффициент текущей ликвидности в течении двух лет (2010-2011гг) составил 0,643 и 0,733 соответственно, что значительно ниже нормативного значения (1,0-2,0). Но в 2012 году этот коэффициент возрос в 2 раза и составил 1,120. Это говорит о том, что организация сможет ответить по своим обязательствам.

Коэффициент общей ликвидности по всем трем анализируемым годам значительно меньше нормативного значения (2,0-3,0). Так в 2010 году он составил 1,038, в 2011 году -1,035, а в 2012 году темп прироста составил 22,13% и коэффициент составил 1,264. Это говорит о том, что организация не способна покрыть обязательства всеми своими активами, что может в дальнейшем плохо сказаться на деятельности организации.

Под финансовой устойчивостью понимается такое экономическое состояние предприятия, при котором платежеспособность постоянна во времени, а соотношение собственного и заемного капитала обеспечивает эту платежеспособность. Расчеты абсолютных показателей финансовой устойчивости представлены в табл. 5.

Анализ показал что, запасы предприятия ежегодно увеличиваются, в 2010 году составляли 3823 тыс. руб., в 2011 году возросли на 6260 тыс. руб., а к 2012 году значительно увеличились и стали равны 43512 тыс. руб. В связи с этим наблюдается недостаток собственных оборотных средств в 2010 году в сумме 7807 тыс. руб., в 2011 году недостаток увеличился на 7385 тыс. руб., а к 2012 году недостаток составил 49004 тыс. руб.

Таблица 5 - Анализ финансовой устойчивости ООО «СтройСнаб»

Показатели

2010г.

2011г.

2012г.

Изменения (+,-)





2011г. к 2010г.

2012г. к 2011г.

1. Капитал и резервы

424

679

2181

255

1502

2. Внеоборотные активы

4408

5788

7673

1380

1885

3. Долгосрочные кредиты

-

-

11917

-

11917

4. Наличие собственных и заемных источников формирования запасов и затрат

-3984

-5109

6425

-1125

11534

5. Краткосрочные кредиты и займы

11160

19162

53444

8002

34282

6. Общая величина основных источников формирования запасов и затрат

7176

14053

59869

6877

45816

7. Запасы

3823

10083

43512

6260

33429

8. Излишек (+) или недостаток (-) собственных оборотных средств

-7807

-15192

-49004

-7385

-33812

9. Излишек (+) или недостаток (-) собственных и долгосрочных заемных источников формирования запасов и затрат

-7807

-15192

-37087

-7385

-21895

10. Излишек (+) или недостаток (-) общей величины основных источников формирования запасов и затрат

3353

3970

16357

617

12387

Тип финансовой устойчивости

Неустойчивый

Неустойчивый

Неустойчивый

-

-


Наблюдается недостаток собственных и долгосрочных заемных источников формирования запасов и затрат в 2010 году в размере 7807 тыс. руб., в 2011 году происходит увеличение недостатка на сумму 15192 тыс. руб., а к 2012 году нехватка средств составляет 37087 тыс. руб.

Излишек общей величины основных источников формирования запасов и затрат в 2010 году составил 3353 тыс. руб., в 2011 излишек увеличился на 617 тыс. руб., а в 2012 году общая величина основных средств увеличилась на 12387 тыс. руб. по отношению к 2011 году и излишек составил 16357 тыс. руб.

В целом можно сделать вывод о том, что за весь анализируемый период предприятие находилось в неустойчивом финансовой состоянии, для стабилизации которого необходимо увеличить долю собственного капитала в оборотных активах.

Задачей анализа финансовой устойчивости является оценка степени независимости от заемных источников формирования. Показатели, которые характеризуют независимость по каждому элементу активов и по имуществу в целом приведены в табл. 6.

Таблица 6 - Показатели финансовой устойчивости предприятия ООО «СтройСнаб»

Показатели

 2010г.

 2011г.

 2012г.

Изменения (+,-)





2011г. к 2010г.

2012 к 2011г.

1

2

3

4

5

6

Коэффициент автономии

0,037

0,034

0,032

-0,003

-0,002

Коэффициент финансовой зависимости

0,963

0,966

0,968

0,003

0,002

Коэффициент финансирования

0,038

0,035

0,033

-0,003

-0,002

Финансовый леверидж (рычаг)

26,321

28,221

29,968

1,900

1,747

Коэффициент инвестирования

0,096

0,117

0,284

0,021

0,167

Индекс постоянного актива

10,396

8,524

3,518

-1,872

-5,006

Коэффициент маневренности

-9,396

-7,524

-2,518

1,872

Коэффициент обеспеченности оборотных активов собственными средствами

-0,555

-0,364

0,092

0,191

0,272

Коэффициент соотношения мобильных и иммобилизованных средств

1,628

2,428

7,803

0,800

5,375

Коэффициент соотношения активов с собственным капиталом

27,321

29,221

30,968

1,900

1,747


По данным анализа показателей финансовой устойчивости наблюдаем, что коэффициент автономии в 2011 году снизился на 0,3%, а в 2012 году - 0,2%. Его фактическое значение в 2012 году составило 0,032, что в 15 раз меньше порогового уровня (0,5) - все это говорит о высокой финансовой зависимости предприятия.

Коэффициент финансовой зависимости показывает, что предприятие в 2010 году зависимо на 96,3%, а к 2012 году эта зависимость увеличилась на 0,5% и составила 96,8%. Это очень большой процент зависимости, может негативно сказаться на дальнейшей деятельности предприятия.

Коэффициент финансирования показывает, что вся деятельность предприятия финансируется за счет заемных средств на протяжении всего анализируемого периода.

В 2011 году коэффициент капитализации увеличился на 1,900 за счет увеличения величины заемного капитала на 8002 тыс. руб., в 2012 году коэффициент увеличился на 1,747 за счет значительного увеличения заемного капитала на 34282 тыс. руб.

Коэффициент инвестирования показывает удельный вес собственного капитала в общей сумме внеоборотных активов. В 2011 увеличился на 0,021 и составил 0,117, в 2012 году увеличение составило 0,167.

Индекс постоянного актива показывает удельный вес внеоборотных активов в общей сумме собственного капитала. В 2011 году снизился на 1,872 и стал равен 8,524, в 2012 году коэффициент постоянного актива снизился на 5,006 и составил 3,518.

Коэффициент маневренности показывает величину собственных оборотных средств в общей сумме собственного капитала. В 2011 году наблюдается нехватка собственных оборотных средств 7,525, в 2012 году недостаток уменьшился на 5,006 и составил 2,518.

Коэффициент обеспеченности оборотных активов собственными оборотными средствами показывает удельный вес собственных оборотных средств в общей сумме оборотных активов. В 2011 году нехватка оборотных средств составляла 0,364, в 2012 году недостаток уменьшился на 0,272 и составил 0,092.

Коэффициент соотношения мобильных и иммобилизованных средств показывает удельный вес оборотных активов в общей сумме внеоборотных активов. В 2011 году коэффициент увеличился на 0,800 и составил 2,428, в 2012 году произошло значительное увеличение коэффициента и он составил 7,803.

Коэффициент соотношения активов с собственным капиталом показывает удельный вес стоимости имущества предприятия в общей величине собственного капитала. В 2011 году коэффициент увеличился на 1,9 и составил 29,221, в 2012 году увеличился на 1,747 и стал равен 30,968.

Показатели рентабельности являются относительными характеристиками финансовых результатов и эффективности деятельности предприятия. Они характеризуют относительную доходность предприятия, измеряемую в процентах к затратам средств или капитала с различных позиций. Показатели рентабельности приведены в табл. 7.

Таблица 7 - Показатели рентабельности деятельности ООО «СтройСнаб»

Показатели

2010г.

2011г.

2012г.

Изменения (+,-)





2011г. К 2010г.

2012г. к 2011г.

Рентабельность продукции

0,42

0,85

1,50

0,42

0,65

Рентабельность продаж

-

1,05

0,88

1,05

-0,17

Рентабельность всего капитала

1,93

2,41

2,93

0,48

0,51

Рентабельность собственного Капитала

52,83

70,54

90,83

17,71

20,28

Рентабельность внеоборотных активов

5,08

8,27

25,81

3,19

17,54

Чистая рентабельность продаж

0,37

0,73

1,37

0,36

0,63


Данные показатели рассчитывались следующим образом:

Основные обозначения различных коэффициентов рентабельности:

·   ROM Рентабельность продукции

·        ROS Рентабельность продаж (Return on sales или Margin on sales)

·        ROE Рентабельность собственного капитала (Return on equity)

·        ROFA Рентабельность основных средств

·        ROIC Рентабельность инвестированного, перманентного капитала (Return on invested capital)

·        ROL Рентабельность персонала (Return on labour)

·        BEP Коэффициент базовой прибыльности активов (Basic earning power)

·        ROA Рентабельность активов (Return on Assets)

Некоторые формулы расчета коэффициентов рентабельности:

= чистая прибыль/себестоимость х 100%                                     (2.7)= прибыль от продаж/выручка х 100%                                    (2.8)= чистая прибыль/основные средства х 100%                    (2.9)= операционная прибыль/активы х 100%                               (2.10)= чистая прибыль/численность штата х 100%                     (2.11)= EBIT/активы х 100%                                                             (2.12)= чистая прибыль/собственный капитал х 100%                      (2.13)

Из полученных данных табл. 7 следует, что рентабельность продукции увеличивается с каждым годом. Так в 2010 году она равна 0,42%, а к 2012 году она увеличилась на 1,07% и составила 1,50%.

Рентабельность продаж показывает, что в 2011 году 1,05 руб. прибыли приходится на 1 руб. выручки от реализации продукции, а в 2012 году рентабельность уменьшилась на 0,17% и составила 0,88%.

Рентабельность всего капитала в 2010 году равна 1,93%, в 2011 году-2,41%, а в 2012 году составила 2,93%. Это говорит об эффективном использовании собственного и привлеченного капитала.

Рентабельность собственного капитала с каждым годом увеличивается, в 2010 году она равна 52,83% и к 2012 году увеличилась на 38% и составила 90,83%.

Рентабельность внеоборотных активов в 2010 году составила 5,08%, в 2011 году увеличилась на 3,194% и составила 8,27%, а в 2012 году этот показатель увеличился в 3 раза и составил 25,81%. Чистая рентабельность продаж показала, что в 2010 году 0,37 руб. чистой прибыли приходится на 1 руб. выручки от реализации продукции, в 2011 году 0,73 руб., а в 2012 году 1,37 руб., т.е. за анализируемый период произошло увеличение уровня чистой рентабельности на 0,99%.

2.3 Анализ порядка распределения и использования прибыли


Функционирование предприятия любой организационно-правовой формы определяется его способностью создавать прибыль. Показатели финансовых результатов (прибыли) характеризуют абсолютную эффективность хозяйствования предприятия по всем направлениям его деятельности: производственной, сбытовой, снабженческой, финансовой и инвестиционной. Они составляют основу экономического развития и укрепления его финансовых отношений со всеми участниками коммерческого дела. Чтобы управлять прибылью, необходимо провести объективный систематизированный анализ факторов формирования чистой прибыли (табл. 8).

Данные табл. 8 позволяют видеть, что выручка от реализации продукции, товаров, работ, услуг в 2010 году составляет 59600 тыс. руб., а к 2012 году она увеличилась почти в 2 раза и стала равна 144376 тыс. руб.

Рост себестоимости объясняется ежегодным ростом цен на закупаемые товары. Данный показатель в 2011 году составляет 56339 тыс. руб., что на 4232 тыс. руб. больше по отношению к предыдущему году, а уже в 2012 году себестоимость составила 131779 тыс. руб.

Таблица 8 - Динамика факторов формирования чистой прибыли ООО «СтройСнаб»

Показатель

2010г.

2011г.

2012г.

Изменения (+,-)





2011г. к 2010г.

2012г. К 2011г.

1.Выручка от продажи товаров, продукции, работ, услуг

59600

64954

144376

5354

79422

2. Себестоимость проданных товаров, продукции, работ, услуг

52107

56339

131779

4232

75440

3.Валовая прибыль от продажи

7493

8615

12597

1122

3982

4.Коммерческие расходы

8268

7930

11320

-338

3390

5.Прибыль (убыток) от продаж

-775

685

1277

1460

592

6.Прочие доходы

1048

525

1086

-523

561

7.Прочие расходы

-

650

-

650

-

8.Сальдо прочих доходов и расходов

1048

-125

1086

-1173

1211

9.Прибыль (убыток) до налогообложения

273

560

2363

287

1083

10.Текущий налог на прибыль

49

81

382

32

301

11.Чистая прибыль

224

479

1981

255

1502


Коммерческие расходы в 2010 году составляли 8268 тыс. руб., а в 2011 году были уменьшены на 338 тыс. руб., но в 2012 году они значительно увеличились и стали составлять 11320 тыс. руб. Прибыль от продаж в 2011 году увеличилась на 1460 тыс. руб., а в 2012 году произошло увеличение прибыли от продаж на 592 тыс. руб. Прибыль до налогообложения в 2011 году составила 560 тыс. руб., что на 287 тыс. руб. больше чем в предыдущем году, а уже в 2012 году прибыль увеличилась на 1083 тыс. руб. и составила 2363 тыс. руб. Чистая прибыль за анализируемый период ежегодно увеличивается, в 2010 году равна 224 тыс. руб., в 2011 году увеличилась на 255 тыс. руб., а к 2012 году составила 1981 тыс. руб. Таким образом, факторами, влияющими на величину чистой прибыли являются увеличение коммерческих расходов, снижение прочих доходов и наличие прочих расходов, а так же текущий налог на прибыль. Следует заметить, что поскольку источником формирования чистой прибыли является прибыль до налогообложения, представляющая собой суммарный финансовый результат всех операций и видов деятельности организации, нередко в ходе анализа структуры финансовых результатов за 100% принимают последний показатель, т.е. находят удельный вес отдельных элементов формирования чистой прибыли в общей сумме прибыли до налогообложения. Динамика структуры прибыли до налогообложения приведена в табл. 9.

Таблица 9 - Динамика структуры прибыли до налогообложения ООО «СтройСнаб»

Показатель

2010г.

2011г.

2012г.


тыс. руб

в % к итогу

тыс. руб.

в % к итогу

тыс. руб.

в % к итогу

1.Прибыль от продаж

-775

-283,9

685

122,3

1277

54,0

2.Прочие доходы

1048

383,9

525

93,8

1086

46,0

3.Прочие расходы

-

-

650

-116,1

-

-

4.Сальдо прочих доходов и расходов

1048

383,9

-125

-22,3

1086

46,0

5.Прибыль до налогообложения

273

100

560

100

2363

100

6.Текущий налог на прибыль

49

17,9

81

14,5

382

16,2

7.Чистая прибыль

224

82,1

479

85,5

1981

83,8

Анализ структуры финансовых результатов показал, что главным источником формирования прибыли до налогообложения и чистой прибыли в 2010 году является прочие доходы, которые составляют 383,9% от прибыли до налогообложения, прибыль от продаж в этом году была отрицательны, показатель составил - 283,9% от прибыли до налогообложения.

В 2011 и 2012 годах основным источником формирования прибыли до налогообложения стала прибыль от продаж, в 2011 году показатель составил 122,3% от прибыли до налогообложения, а в 2012 году - 54%. Одновременно усиливается влияние прочих доходов и расходов, в 2011 году расходы превышают доходы на 22,3% от прибыли до налогообложения. В 2012 году прочие расходы отсутствуют, а доходы приносят 46% прибыли.

Обращает на себя внимание тот факт, что в 2012 году сократилась доля чистой прибыли до налогообложения. Так, если в 2011 году конечный финансовый результат составлял 85,5% от прибыли до налогообложения, то в 2012 году - только 83,8%. Данное обстоятельство вызвано увеличением влияния налогового фактора на прибыль, поэтому организации следует подойти более взвешенно к проводимой ею налоговой политике.

Важнейшей составляющей прибыли до налогообложения является прибыль от продаж. При анализе прибыли от продаж определяют не только динамику изменения показателей, но и влияние факторов. Рассмотрим анализ прибыли от продаж в табл. 10 на примере данных бухгалтерской (финансовой) отчетности.

Таблица 10 - Анализ прибыли от продаж ООО «СтройСнаб»

Показатель

2011г.

2012г.

Изменения




тыс. руб.

в %

1. Выручка от продажи товаров, продукции, работ, услуг

64954

144376

79422

122,2

2. Себестоимость проданных товаров, продукции, работ, услуг

56339

131779

75440

133,9

3. Коммерческие расходы

7930

11320

3390

42,7

4. Прибыль (убыток) от продаж

685

1277

592

86,4


Данные табл. 10 свидетельствуют, что рост прибыли от продажи продукции по сравнению с предыдущим годом увеличился на 592 тыс. руб. или на 86,4%. Это обусловлено ростом выручки от продаж на 79422 тыс. руб. или на 122,2%. Вместе с тем увеличились и все виды затрат: себестоимость продаж увеличилась на 133,9%, коммерческие расходы увеличились на 11320 тыс. руб. или на 42,7%. Увеличение затрат может быть обусловлено ростом объёма продаж, т.е. это увеличение объективно.

Дальнейшее исследование прибыли от продаж состоит в расчёте факторов, влияющих на её объём. Основными факторами являются:

·   объем продаж (чем больше организация продает рентабельной продукции, тем больше она получает прибыли);

·        структура продаж (отдельные виды продаваемой продукции, работ, услуг имеют различную рентабельность. Некоторые из них могут оказаться убыточными для предприятия. Поэтому от того, каков ассортимент продаваемой продукции, во многом завит величина прибыли организации);

·        цены на продаваемые продукцию, работы и услуги (их повышение позволяет предприятию получить дополнительную прибыль. Однако изменение этого фактора имеет ограничения в условиях высокой конкуренции, так как продавцы строят свою ценовую политику исходя не столько из уровня приемлемой для себя рентабельности, сколько из среднего уровня цен на аналогичные товары, работы, услуги);

·        уровень затрат, включенных в себестоимость продукции (их рост приводит к уменьшению прибыли в том же размере).

Для оценки влияния этих факторов помимо информации отчета о прибылях и убытках используются данные специального расчета, в результате которого натуральные объемы продаж отчетного периода пересчитываются в средние цены и затраты предыдущего. Расчеты представлены в табл. 11.

Методика факторного анализа прибыли от продаж включает следующие расчеты:

Таблица 11 - Исходные данные для анализа прибыли от продаж продукции ООО «СтройСнаб»

Показатель

2011 год

По базису на фактический объем продаж отчетного года

2012 год

1. Выручка от продажи товаров, продукции, работ, услуг

64954

68280

144376

2. Себестоимость проданных товаров, продукции, работ, услуг

56339

59224

131779

3. Коммерческие расходы

7930

8336

11320

4. Полная себестоимость продаваемых товаров, продукции, работ, услуг

64869

67560

143099

5. Прибыль (убыток) от продаж

685

720

1277


Расчет общего изменения прибыли от продаж (∆Р):

∆Р=Р1-Р0                                                                                       (2.14)

где P1 - прибыль отчетного года, тыс. руб.;- прибыль предыдущего года, тыс. руб.;

Расчет влияния на прибыль изменений объема продаж (∆Pi):

∆Рi=(P0*∆N%)/100                                                                         (2.15)

где ∆N% - прирост объема продаж в процентах;

Расчет влияния на прибыль изменения отпускных цен на продаваемую продукцию ∆N%:

∆N%=N1,0/N0*100-100                                                                   (2.16)

где N1 - выручка от продаж отчетного периода, тыс. руб.;.0 - выручка от продаж отчетного периода в ценах предыдущего, тыс. руб.;- объем продукции i вида в натуральном выражении;- цена на продукцию i вида;- количество видов продаваемой продукции;

Расчет влияния на прибыль изменения себестоимости продукции:

∆P3=S1,0-S1                                                                                   (2.17)

где S1.0 - полная себестоимость проданной продукции отчетного периода в ценах и условиях предыдущего, тыс. руб.;- полная себестоимость проданной продукции отчетного периода, тыс. руб.;- полная себестоимость проданной продукции i вида, руб.;

Расчет влияния на прибыль изменения в структуре продаж. Для этого из общего изменения прибыли вычитывают влияния трех предыдущих факторов:

∆P=∆P-∆P1-∆P2-∆P3                                                                     (2.18)

Расчет совокупного влияния факторов, равного общему изменению прибыли от продаж:

∆P=P1-P0=∆P+∆P1+∆P2+∆P3+∆P4                                                        (2.19)

По данным табл.10 получаем следующие результаты:

Оценим общее изменение прибыли от продаж:

- 685 = 592 тыс. руб.;

Оценим влияние на прибыль изменений объема продаж:

: 64954 х 100 - 100 = 5,12%

х (5,12) : 100 = 35 тыс. руб.;

Оценим влияние на прибыль изменения отпускных цен на продаваемую продукцию:

- 68280 = 76096 тыс. руб.;

Оценим влияния на прибыль изменения себестоимости продукции:

- 143099 = - 75539 тыс. руб.

Полученный результат охватывает совокупное влияние производственных и коммерческих расходов. Для более глубокого анализа следует провести оценку влияния на прибыль от продаж каждого вида расходов в отдельности:

Оценим влияние на прибыль изменения производственных расходов, отраженных в показателе «Себестоимость проданных товаров, продукции, работ, услуг»:

- 131779 = - 72555 тыс. руб.;

Оценим влияние на прибыль изменения коммерческих расходов:

- 11320 = - 2984 тыс. руб.

Оценим влияние на прибыль изменения в структуре продаж:

- 685 - 35 = 0;

Оценим совокупное влияние факторов, равного общему изменению прибыли от продаж:

+ 76096 - 75539 + 0 = 592 тыс. руб.

Результаты факторного анализа позволяют увидеть, что в отчетном году по сравнению с предыдущим прибыль от продаж увеличилась на 592 тыс. руб. Этому способствовало, прежде всего увеличение объемов продаж на 35 тыс. руб. Однако решающим фактором роста финансового результата от обычной деятельности стало повышение в отчетном году цены на продаваемую продукцию, за счет чего прибыль возросла на 76096 тыс. руб. Вместе с тем у организации есть резервы увеличения прибыли за счет снижения всех видов расходов (производственных и коммерческих).

Оценивая уровень эффективности продаж необходимо рассчитать порог рентабельности и запас финансовой прочности организации (табл. 12).

Таблица 12 - Расчет показателей качественного уровня финансовых результатов от продажи продукции ООО «СтройСнаб»

Показатель

Сумма, тыс. руб.

Изменения (+,-)


2011 год

2012 год


1. Объем продаж

64954

144376

79422

2.Себестоимость (производственная)продаж переменные затраты

56339

131779

75440

3. Маржинальный доход

8615

12597

3982

4.Доля маржинального дохода в объеме продаж

0,133

0,087

5. Постоянные затраты

7930

11320

3390

6. Критическая точка объема продаж

59624

130115

70491

7.Запас финансовой прочности

5330

14261

8931

8.Тоже в % к объему продаж

8,2

9,8

1,6

9.Прибыль от продаж

685

1277

592


Данные табл. 12 свидетельствуют о том, что в 2012 году по сравнению с предыдущим увеличился порог рентабельности (критическая точка объема продаж) ООО «СтройСнаб» на 70491 тыс. руб. Одновременно возрос и запас финансовой прочности - на 8931 тыс. руб. Положительным моментом является то, что его доля в выручке увеличилась с 8,2 до 9,8%, что свидетельствует о повышении эффективности обычной деятельности. Вместе с тем у организации есть возможность снижения порога рентабельности и повышения запаса финансовой прочности за счет снижения постоянных расходов, которые в отчетном году по сравнению с предыдущим выросли на 3390 тыс. руб. Полученные выводы найдут свое подтверждение при анализе рентабельности обычных видов деятельности.

Далее проанализируем динамику показателей рентабельности обычных видов деятельности предприятия. Расчеты представлены в табл. 13.

рентабельность прибыль оборотный средство

Таблица 13 - Динамика показателей рентабельности обычных видов деятельности ООО «СтройСнаб»

Показатель

2011 год

2012 год

Изменения (+,-)

Исходные данные для анализа

1.Выручка от продажи товаров, продукции, работ, услуг

64954

144376

79422

2. Себестоимость проданных товаров, продукции, работ, услуг

56339

131779

75440

3.Коммерческие расходы

7930

11320

3390

4.Полная себестоимость продаваемых товаров, продукции, работ, услуг

64269

143099

78830

5.Прибыль (убыток) от продаж

685

1277

592

Показатели рентабельности обычной деятельности

6.Рентабельность продаж

1,05

0,88

-0,17

7.Рентабельность расходов по обычным видам деятельности

1,06

0,89

-0,17

8.Рентабельнсоть производственных расходов

1,21

0,97

-0,24

9.Рентабельность коммерческих расходов

8,64

11,28

2,64


Полученные результаты позволяют увидеть, что в 2012 году произошло снижение рентабельности обычной деятельности. В частности, рентабельность продаж понизилась с 1,05 до 0,88%, рентабельность затрат на производство и продажу продукции - с 1,06 до 0,89%. Аналогичная тенденция сложилась в отношении рентабельности производственных расходов, они уменьшились с 1,21 до 0,97%, а рентабельность коммерческих расходов возросла с 8,64 до 11,28%. В целом снижение рентабельности продаж способствовало уменьшению рентабельности капитала анализируемой организации.

Глава 3 Основные направления повышения прибыльности компании

 

.1 Совершенствование системы планирования прибыли на предприятии


Исходя из результатов, полученных после оценки финансового состояния ООО «СтройСнаб», можно сказать, что при наличии определенного запаса финансовой прочности, сохраняется удовлетворительная структура баланса, наблюдается неустойчивое финансовое состояние предприятия, оно обладает высокой неплатежеспособностью. В связи со сложившейся ситуацией предприятию необходимо искать новые резервы увеличения прибыли. Значительные резервы повышения эффективности использования прибыли заложены непосредственно в самом предприятии.

Прибыль отражает результаты всех видов деятельности предприятия -производственной, непроизводственной и финансовой. Это значит, что на размерах прибыли отражаются все стороны деятельности предприятия. Так, рост производительности труда означает снижение его затрат на единицу продукции, соответственно при нормальных условиях работы должны относительно снижаться расходы на оплату труда в расчете на единицу продукции. Улучшение использования основных производственных фондов означает, что относительно сокращаются затраты на их содержание и эксплуатацию, уменьшаются амортизационные отчисления в себестоимости отдельных изделий. Это, как и экономия материальных затрат, увеличивает прибыль и эффективность ее использование.

ООО «СтройСнаб» проводит регулярные исследования в области маркетинга и менеджмента своей организации. На основе оценки финансового состояния предприятия деятельности организации необходимо разработать мероприятия по увеличению прибыли организации.

Увеличение прибыли на предприятии ООО «СтройСнаб» возможно двумя способами:

·  увеличить выручку от реализации продукции;

·        уменьшить расходы предприятия.

Доход предприятия складывается из произведения оборота продукции и торговой наценки. А оборот, в свою очередь, равен проходимости магазина умноженной на среднюю покупку в этом магазине. С помощью воздействия на эти факторы можно увеличить прибыль предприятия.

Анализируя расходы предприятия ООО «СтройСнаб» нельзя не заметить, что приблизительно 50% всех затрат приходится на статью «Затраты на оплату труда». Затраты возможно снизить при сокращении рабочего времени (на предприятии введена почасовая оплата рабочего времени). При его уменьшении, уменьшается и фонд оплаты труда. Но можно ввести и дифференцированный график, то есть разные часы работы магазина в различные дни недели.

Для эффективного управления прибылью предприятию необходимо соблюдать ряд требований характеризующих этот процесс:

·   интегрировать управление прибылью с общей системой управления предприятием, потому что в какой бы сфере деятельности предприятия не принималось управленческое решение, оно прямо или косвенно оказывает влияние на прибыль;

·        необходимо проводить комплексный характер формирования управленческих решений, так как все управленческие решения в области формирования и использования прибыли теснейшим образом взаимосвязаны и оказывают прямое или косвенное воздействие на конечные результаты управления прибылью. Правда в некоторых случаях это воздействие может оказывать негативные последствия.

Так, например, осуществление высоко прибыльных финансовых вложений может вызвать дефицит финансовых ресурсов, обеспечивающих производственную деятельность, и как следствие - существенно уменьшить размер операционной прибыли. Поэтому управление прибылью необходимо рассматривать как комплексную систему действий, обеспечивающих разработку взаимозависимых управленческих решений, каждое из которых вносило бы свой вклад в результативность формирования и использования прибыли по предприятию в целом.

·   присутствие высокого динамизма управления. Это обусловлено тем, что даже наиболее эффективные управленческие решения в области формирования и использования прибыли, разработанные и реализованные на предприятии в предшествующем периоде, не всегда могут быть повторно использованы на последующих этапах его деятельности. Прежде всего, это связано с высокой динамикой изменения конъюнктуры товарного и финансового рынков. Кроме того, меняются во времени и внутренние условия функционирования предприятия, особенно на этапах перехода к последующим стадиям его жизненного цикла. Поэтому в системе управления прибылью должен присутствовать высокий динамизм, который бы учитывал изменение факторов внешней среды, ресурсного потенциала, форм организации и управления производством, финансового состояния и других параметров функционирования предприятия;

·        соблюдать многовариантности подходов к разработке отдельных управленческих решений в сфере формирования, распределения и использования прибыли, что позволяет учитывать альтернативные возможности действий. При наличии альтернативных проектов управленческих решений их выбор для реализации должен быть основан на системе критериев, определяющих политику управления прибылью предприятия. Систему таких критериев необходимо устанавливать самому предприятию;

·        ориентироваться на стратегические цели развития предприятия. Это связано с тем, что какими бы прибыльными не казались те или иные проекты управленческих решений в текущем периоде, они должны быть отклонены, если они вступают в противоречие с главной целью деятельности предприятия, стратегическими направлениями его развития и подрывают экономическую базу формирования высоких размеров прибыли в предстоящем периоде.

Основные направления совершенствования механизма распределения финансовых результатов включают:

·   оптимизацию системы налогообложения прибыли; разработку такой системы ставок и льгот налога на прибыль, которая будет стимулировать использование чистой прибыли, прежде всего, на развитие и совершенствование собственной производственной базы;

·        изжитие непроизводительных затрат и потерь; разработку и реализацию мероприятий, направленных на преодоление кризиса неплатежей в целях постепенного снижения сумм пени и штрафов, уплачиваемых в бюджет и внебюджетным фондам;

·        оптимизацию распределения чистой прибыли, остающейся в распоряжении предприятия, на фонды потребления и фонды накопления;

·        комплекс мероприятий, обеспечивающих целесообразное и эффективное использование средств фондов потребления и накопления.

Стоит отметить, что в современной действительности надо уметь четко рассчитывать свои действия, то есть планировать, анализировать, выявлять тенденции и закономерности деятельности для более эффективного функционирования предприятия. Для этого каждый предприниматель малого бизнеса стремиться привлечь к работе квалифицированные кадры. Предприятии ООО «СтройСнаб» как раз работает над этой проблемой, но для ее решения необходимы колоссальные денежные вложения в обучение персонала, в разработку системы мотивации работников, проведения различных исследований и тестов.

3.2 Выявление резервов увеличения прибыли и пути повышения рентабельности компании


Сущность резервов прибыли состоит в получении большего количества высококачественной продукции при наименьших затратах живого и овеществленного труда на единицу продукции, рациональном использовании ресурсов, разработке эффективной ценовой и ассортиментной политики.

Основными задачами комплексного управления прибылью для общества с ограниченной ответственностью «СтройСнаб»должны стать:

) расчет объемов и факторов, определяющих ее величину в текущем и прогнозном периодах;

) определение плановой потребности в прибыли;

) нахождение политики комплексного оперативного управления кредиторской и дебиторской задолженностью;

) изыскание путей ускорения оборачиваемости оборотных активов (запасов) в производственном цикле;

) финансовый контроль за эффективным использованием прибыли.

Основными принципами подсчета резервов являются:

·   их комплексное и системное изучение, выявление и внедрение;

·        выделение «ведущих звеньев» (вопросов требующих максимального внимания»;

·        предотвращение повторного счета. Зачастую при подсчете резервов снижения себестоимости продукции допускается их повторный счет, когда отдельно определяются резервы за счет увеличения объемов производства и за счет недопущения перерасхода средств по каждой статье, т.е. без учета воздействия первого фактора на второй. Известно, что с увеличением объема производства продукции пропорционально увеличиваются только суммы условно-переменных затрат, величина же условно-постоянных затрат не меняется. Поэтому величина отдельных статей затрат на единицу продукции может уменьшаться. Если данный факт не учитывать, то величина резервов снижения себестоимости продукции будет завышена;

·        обеспеченность резервов необходимыми ресурсами (материальными, финансовыми, трудовыми);

·        затраты на внедрение выявленных резервов должны окупаться.

Резервы роста прибыли формируются за счет факторов, воздействующих на ее величину (объема проданной продукции, цены реализации, себестоимости продукции, качества и ассортимента товара, рынков сбыта и т.д.).

На предприятии ООО «СтройСнаб» наблюдается рост себестоимость реализуемых товаров и как следствие, уменьшение прибыли. Необходимо принимать меры по увеличению прибыли за счет снижения себестоимости товаров.

Спланируем прибыль на основе учета переменных и постоянных затрат предприятия. Так как ООО «СтройСнаб» может увеличить объем продаж продукции при заданном уровне постоянных затрат, то прибыль организации будет увеличиваться.

Выручка от реализации в 2012 году по данным формы №2 составила -144376 тыс. руб., себестоимость - 143099 тыс. руб., в том числе постоянные затраты в размере 11320 тыс. руб. (прил. 2).

Оценим изменение прибыли от продаж, если организация планирует увеличить объем продаж на 25% при том же уровне постоянных затрат.

. Определим прибыль от продаж в 2012 году:

- 143099 = 1277 тыс. руб.

. Определим переменные затраты в 2012 году:

- 11320 = 131799 тыс. руб.

. Определим прогнозируемую выручку от продажи продукции на 25% больше:

х 1,25 = 180470 тыс. руб.

. Определим переменные затраты по прогнозу, учитывая, что они изменятся пропорционально объему продаж:

х 1,25 = 164723,75 тыс. руб.

. Определим общие прогнозируемые затраты организации:

,75 + 11320 = 176043,75 тыс. руб.

. Определим прогнозируемую прибыль:

- 176043,75 = 4426,25 тыс. руб.

. Определим изменение прибыли от продаж:

абсолютное: 4426,25 - 1277 = 3149,25 тыс. руб.;

относительное: 3149,25 : 1277 х100% = 246,6%.

. Определим рентабельность прибыли от продаж в 2012 году и по прогнозу:

: 144376 = 0,0088 или 0,88%;

По прогнозу = 4426,25 : 180470 = 0,0245 или 2,45%.

Таким образом, с увеличением объема продаж на 25% при том же уровне постоянных затрат приведет к увеличению прибыли на 246,6%, а прирост рентабельности составит 178,4%.

Далее можно предложить увеличить прибыль за счет роста цен на реализуемую продукцию при том же объеме продаж.

Оценим изменение прибыли от продаж если у организации имеются возможности увеличить цены на продукцию на 15% при условии, что переменные и постоянные затраты на единицу продукции остаются неизменными.

. Определим прогнозируемую выручку от продажи, учитывая что цены увеличатся на 15%, а объем продаж остается без изменения:

х 1,15 = 166032,4 тыс. руб.

.Определим прибыль о продаж в 2012 году и по прогнозу:

- 143099 = 1277 тыс. руб.;

По прогнозу = 166032,4 - 143099 = 22933,4 тыс. руб.

. Определим изменение прибыли:

абсолютное: 22933,4 - 1277 = 21656,4 тыс. руб.;

относительное: 1277 : 22933,4 х 100% = 5,57%.

Результаты расчетов наглядно показали, что при увеличении цены на 15% при тех же затратах прибыль увеличивается на 5,57%, следовательно при такой возможности повышать цены значительно увеличится финансовый результат деятельности организации.

Структура оборотных средств ООО «СтройСнаб» характеризуется высокой долей товарных запасов, на конец 2012г. их доля составляет 68,82% или 35579 тыс. руб. (см. прил. 1).

Оценим увеличение прибыли за счет ускорения оборачиваемости оборотных активов.

За период 2010-2012гг. средний темп роста выручки от продаж составляет 154,23%, а средний темп роста себестоимости проданных товаров составил 150,16%. Поэтому можно предположить увеличение выручки от продаж на 5%, а себестоимости на 2%. Отпускные цены планируется поднять на 3%.

Рассчитаем какой необходимо иметь остаток запасов на конец планируемого периода при следующих условиях:

) показатели оборачиваемости запасов по себестоимости на уровне 2012г.

) эффективность использования запасов повысить на 10%.

Расчет возможных вариантов представлен в табл. 14.

Таблица 14 - Расчет планируемых остатков запасов ООО «СтройСнаб»

Показатели

2011 г.

Прогноз

1.Себестоимость реализованной продукции, тыс.руб.

131779

141135,3

2. Запасы, тыс.руб.

35579

34651,4

3.Коэффициент использования запасов по себестоимости (п1: п2)

3,703

4,073

4.Выручка от реализации, тыс. руб.

144376

156142,6

5.Коэффициент оборачиваемости запасов, оборотов

6,20

6,44


Себестоимость прогнозного года составит: 131779 х 1,05 х 1,02 = 141135,3 тыс. руб.

Если уровень эффективности использования запасов увеличить на 10%, то прогнозируемый коэффициент использования запасов составит:

,703 х 1,1 = 4,073

Прогнозируемый остаток запасов составит:

,3 : 4,073 = 34651,4 тыс. руб.

Выручка прогнозного периода составит:

х 1,05 х 1,03 = 156142,6 тыс. руб.

Коэффициент оборачиваемости запасов составит:

,6 : ((35579 + 34651,40:2) = 6,44 оборотов.

В результате проведенного мероприятия оборачиваемость готовой продукции увеличится на 0,24 оборота, что приведет к сокращению запасов на 927,6 тыс. руб., а следовательно и на увеличение прибыли.

 

Заключение


Написав данную работу можно сделать следующие выводы.

Конечной целью и движущим мотивом предпринимательской деятельности является прибыль. В общем виде под прибылью понимается разница между доходами и издержками производства. Прибыль как важнейшая категория рыночных отношении выполняет определенные функции. Во-первых, характеризует экономический эффект, полученный в результате деятельности предприятия. Во-вторых, прибыль обладает стимулирующей функцией. В-третьих, прибыль является одним из источников формирования бюджетов разных уровней. Механизм распределения прибыли должен быть построен таким образом, чтобы всемерно способствовать повышению эффективности производства, стимулировать развитие новых форм хозяйствования. Одной из важнейших проблем распределения прибыли является оптимальное соотношение доли прибыли, аккумулируемой в доходах бюджета и остающейся в распоряжении хозяйствующих субъектов экономически обоснованная система распределения прибыли должна гарантировать выполнение финансовых обязательств перед государством и максимально обеспечить производственные, материальные и социальные нужды предприятия

Главной целью управления прибылью является обеспечение максимизации благосостояния собственников предприятия в текущем и перспективном периоде. Эта главная цель призвана обеспечивать одновременно гармонизацию интересов собственников с интересами государства и персонала предприятия. Процесс управления прибылью предполагает проведение анализа, который характеризуется многообразием своих форм. На выбор формы анализа влияет множество факторов: отрасль в которой осуществляет свою деятельность организация, специализация и вид деятельности предприятия объем товарооборота и его скорость и другие. Поэтому менеджерам организации необходимо грамотно оценить сложившуюся ситуацию на предприятии и выбрать именно ту форму анализа, которая даст наиболее исчерпывающую информацию для разработки мер по управлению прибыли с целью ее увеличения. В современной научной литературе выделяют множество методов анализа прибыли, но наибольшую практическую значимость имеет факторный анализ. Его проведение дает наиболее объективную оценку факторов формирования прибыли на предприятии. После выявления всех факторов, влияющих на прибыль и оценив ее показатели необходимо приступить к планированию прибыли организации. Это очень важный процесс, который требует высокой степени подготовки специалистов, занимающихся этими вопросами. Именно тактическое является наиболее используемым планированием на практике, так как является связующим звеном между стратегическим и оперативным планированием. При этом следует подчеркнуть, что решения принимаемые при тактическом планировании менее субъективны, потому что базируются на полной и объективной информации, а его реализация связана с меньшим риском.

Таким образом, в данной дипломной работе были изучены теоретические основы управления прибылью. На основании экономической литературы были рассмотрены цели, задачи, механизмы и процессы управления прибылью. Был проведен анализ прибыли, рассмотрена организационно-экономическая характеристика, а так же проведена оценка финансового состояния ООО «СтройСнаб».

Анализ финансовой деятельности ООО «СтройСнаб» выявил ряд проблем предприятия, связанных с недостатком финансовых средств для обеспечения текущей деятельности. В частности, несмотря на увеличение стоимости имущества предприятия в 2010 году, его финансовая устойчивость ухудшилась по ряду показателей.

ООО «СтройСнаб» не является абсолютно ликвидным предприятием. В частности на протяжении анализируемого периода наблюдается возможность погашения в полном объеме краткосрочных и долгосрочных займов и кредитов, но наблюдается недостаток наиболее ликвидных активов.

Имея на балансе значительную по величине стоимость оборотных активов, предприятие нуждается в большей величине оборотных средств, несмотря на значительный удельный вес в составе имущества. Все показатели, характеризующие платежеспособность находятся на уровне ниже нормы, что объясняется, в основном, наличием у предприятия значительной суммы кредиторской задолженность к концу 2012 года, а так же из-за замораживания значительной части оборотных средств в виде дебиторской задолженности.

Общая стоимость имущества предприятия выросла в 2012 году на 47701 тыс. руб. За анализируемый период рост стоимости имущества обеспечивается стабильным ростом запасов, а это в свою очередь неизбежно ведет к дополнительному оттоку денежных средств.

Величина собственного капитала увеличилась за анализируемый период на 1757 тыс. руб., что делает предприятие менее зависимым от внешних кредиторов.

Управление прибылью подразумевает проведение анализа факторов формирования чистой прибыли, в результате чего было выявлено, что выручка от реализации продукции, товаров, работ, услуг в 2012 году увеличилась почти в 2 раза и составила 144376 тыс. руб. Рост себестоимости объясняется ежегодным ростом цен на закупаемые товары. Данный показатель в 2012 году составила 131779 тыс. руб. Коммерческие расходы в 2012 году стали составлять 11320 тыс. руб. Прибыль от продаж в 2012 году составляет 1277 тыс.руб. Прибыль до налогообложения в 2012 году выросла до 2363 тыс. руб. Чистая прибыль за анализируемый период ежегодно увеличивается, в 2010 году равна 224 тыс. руб., в 2011 году увеличилась на 255 тыс. руб., а к 2012 году составила 1981 тыс. руб.

По результатам факторного анализа видно, что в отчетном году по сравнению с предыдущим прибыль от продаж увеличилась на 592 тыс. руб. Этому способствовало, прежде всего, увеличение объемов продаж на 35 тыс. руб. Однако решающим фактором роста финансового результата от обычной деятельности стало повышение в отчетном году цены на продаваемую продукцию, за счет чего прибыль возросла на 76096 тыс. руб. Вместе с тем у организации есть резервы увеличения прибыли за счет снижения всех видов расходов (производственных и коммерческих).

К числу проблем, требующих решение следует отнести разработку мероприятий по совершенствованию управления прибылью предприятия. В данной дипломной работе были выявлены резервы увеличения прибыли предприятия. Так при увеличении объемов продаж на 25% прибыль увеличится на 3149,25 тыс. руб., а при увеличении цены на 15% сумма прибыли составит 21656,4 тыс. руб.

ООО «СтройСнаб» необходимо продолжать активную работу по расширению деятельности предприятия и ассортимента товаров, а также рынков сбыта. Специализация торговли прибыльна только при хорошо отлаженных экономических связях, постоянном повышенном спросе на товары и стабильной экономической ситуации. Поэтому необходимо пересмотреть маркетинговую политику предприятия и сферу деятельности и проводить более агрессивную финансовую политику.

Таким образом, написав данную дипломную можно увидеть, как с помощью механизма управления прибылью можно повысить эффективность хозяйственной деятельности предприятия.

Список литературы

Нормативно-правовые акты

1.     "Конституция Российской Федерации" (принята всенародным голосованием 12.12.1993) (с учетом поправок, внесенных Законами РФ о поправках к Конституции РФ от 30.12.2008 N 6-ФКЗ, от 30.12.2008 N 7-ФКЗ)

2.       Гражданский кодекс Российской Федерации (часть 1,2)" от 26.01.1996 N 14-ФЗ (ред. от 30.11.2011) (с изм. и доп., вступающими в силу с 01.01.2012)

3.     Федеральный закон от 24.07.2007 N 209-ФЗ (ред. от 06.12.2011) "О развитии малого и среднего предпринимательства в Российской Федерации"

Учебники, монографии, брошюры

4.     Артеменко В.Г., Белендир М.В. Финансовый анализ. - М.: «ДИС», 2012. 66 с.

5.       Блинов А.О., Шапкин И.Н. Малое предпринимательство: Теория и практика. - М.: «Дашков и К0», 2009. - 519 с.

6. Бочаров В.В. Финансовый анализ. Краткий курс. 2-е изд. - СПб.: Питер, 2009. - 240 с.

7.  Веснин В.Р. Основы финансового анализа. Учебник для вузов. - М.: Триада, Лтд, 2007. - 288 с.

8.       Добросердова И. И., Самонова И. Н., Попова Р. Г. Финансы предприятий. СПб.: Питер, 2009. - 159 с.

9.     Донцова Л.В., Никифорова Н.А. Анализ бухгалтерской отчетности: Учебник. - М.: Перспектива, 2009. - 146 с.

.       Ермолович Л.Л. Анализ финансово-хозяйственной деятельности предприятия. - Мн.: БГЭУ, 2008. - 348 с.

11.     Ибадова Л.Т. Финансирование и кредитование малого бизнеса в России: правовые аспекты. - М.: Волтерс Клувер, 2008. - 258 с.

12.   Ковалев В.В. Введение в финансовый менеджмент. - М.: Финансы и статистика, 2009. - 713 с.

13.     Крейнина М.Н. Финансовое состояние предприятия. Методы оценки. - М.: Дис, 2009. - 549 с.

14.   Николайчук Н. Е. Маркетинг и менеджмент услуг. Деловой сервис. - СПб.: "Питер", 2010. - 608 с.

15.   Любушин Н.П., Лещев В.Б., Дьякова В.Г. Анализ финансово-экономической деятельности предприятия: под ред. проф. Любушина Н.П. - М.:ЮНИТИ, 2008. - 397 с.

16.     Любушкин Н.П. Экономический анализ: Учебник для ВУЗов. - М.: Юнити-Дана, 2012. - 642 с.

.        Орехов В.И., Балдин К.В. Антикризисное управление: М.: Инфра-Иженерия, 2008. - 496 с.

18.   Пястолов С.М. Анализ финансово-хозяйственной деятельности предприятия. Учебник/С.М. Пястолов. - М.: Академия, 2008. - 336 с.

19.   Ронова Г.Н. Финансовый менеджмент: Учебно-методический комплекс. М.: Изд. центр ЕАОИ., 2008. - 170 с.

20.   Савицкая Г.В. Анализ хозяйственной деятельности предприятия: 5-е изд., испр. и доп. - М.: ИНФРА-М, 2012. - 953 с.

21.     Савицкая Г.В. Экономический анализ: 14-е издание. - М.: Новое знание, 2012. - 422 с.

22.   Сергеев, П.В. Менеджмент: Вопросы и ответы/П.В. Сергеев. - М., 2009. - 151 с.

23.     Терентьев, В.К. Истины управления: взгляд на основы менеджмента/В.К. Терентьев. - М.: Сентябрь, 2008. - 110 с.

24.   Управление организаций: под ред .А.Г. Поршева, З.П. Румянцевой, Н.А. Саломатина. - 5-е изд., перераб. и доп. - М.: ИНФРА - М, 2012. - 661 с.

25.   Фатхутдинов, Р.А. Стратегический маркетинг: Учебник. - М.: ЗАО "Бизнес-школа "Интел-Синтез", 2009. - 270 с.

26.   Финансовый менеджмент: под ред. акад. Г.Б. Поляка. - 4-е изд., доп. - М.:ЮНИТИ - ДАНА, 2012. - 632 с.

27.   Финансы организаций (предприятий): Учебник для вузов/ Н.В. Колчина, Г.Б. Поляк, Л.М. Бурмистрова и др.; Под ред. Проф. Н.В. Колчиной. - 3-е изд., перераб. и доп. - М.: ЮНИТИ-ДАНА, 2009. - 368 с.

28.   Финансы предприятий: Н.В. Колчина, Г.Б. Поляк, Л.П. Павлова и др.; Под ред. проф. Н.В. Колчиной. - М.: ЮНИТИ, 2009. - 479 с.

29.   Хелферт Э.Я. Техника финансового анализа. - М.: ЮНИТИ, 2007 412 с.

30.     Шеремет В.В., Сайфулин Р.С. Методика финансового анализа: Учебник. М.: Инфра-М, 2009. - 286 с.

31.   Экономика организации (предприятия): под ред. Н.А. Сафронова. - 4-е изд., перераб. и доп. - М.: Экономистъ, 2012. -449 с.

Периодические издания

32. Горьков, Г. На пути к рыночному ценообразованию // Российский экономический журнал. - М.: Спутник +. - 2001. - № 1-3. - С. 3-10.

32.   Кошелева Т.Н. Финансирование деятельности малого предпринимательства в процессе его стратегического развития // Сборник научных статей института бизнеса и права г. С.-Петербург. - вып. 9. - 2010. - С. 32-36.

33.     Литвинова Ю. Малый бизнес: финансовая адаптация к кризису (интервью с директором российского микрофинансового центра Мамута М.) Банковское кредитование. - 2010. - № 7. - С. 21-25.

34.   Ржаницына С.В. Как правильно составить отчет о прибылях и убытках// Бухгалтерский учет.- № 23.-2008. - 541 с.

Приложения


Приложение А

Приложение № 1

к Приказу Министерства финансов

Российской Федерации

от 02.07.2010 № 66н

(в ред. Приказа Минфина РФ от 05.10.2011 № 124н)

Бухгалтерский баланс

на


20

12

г.

Коды

Форма по ОКУД

0710001

Дата (число, месяц, год)




Организация

ООО «СтройСнаб»

по ОКПО


Идентификационный номер налогоплательщика

ИНН


Вид экономической деятельности

Оптовая торговля прочими строительными материалами

По ОКВЭД

51.53.24

Организационно-правовая форма/форма собственности

ООО





по ОКОПФ/ОКФС



Единица измерения: тыс. руб. (млн. руб.)

по ОКЕИ




На

31 декабря


На 31 декабря

На 31 декабря

Пояснения 1

Наименование показателя 2

20

12

г.3

20

11

г.4

20

10

г.5













АКТИВ





I. ВНЕОБОРОТНЫЕ АКТИВЫ





Нематериальные активы





Результаты исследований и разработок





Основные средства

7673

5788

4408


Доходные вложения в материальные ценности





Отложенные налоговые активы





Прочие внеоборотные активы





Итого по разделу I

7673

5788

4408


II. ОБОРОТНЫЕ АКТИВЫ





Запасы

43512

10083

3823


Налог на добавленную стоимость по приобретенным ценностям





Дебиторская задолженность

-

359

13493


Финансовые вложения (за исключением денежных эквивалентов)

300

300

300


Денежные средства и денежные эквиваленты

1431

1689

942


Прочие оборотные активы

1922

1922

1922


Итого по разделу II

47165

14353

20480


БАЛАНС

54838

20141

24888


Форма 0710001 с. 2



На

31 декабря


На 31 декабря

На 31 декабря

Пояснения 1

Наименование показателя 2

20

12

г.3

20

11

г.4

20

10

г.5













ПАССИВ





III. КАПИТАЛ И РЕЗЕРВЫ 6





Уставный капитал (складочный капитал, уставный фонд, вклады товарищей)

10

10

10


Собственные акции, выкупленные у акционеров











Переоценка внеоборотных активов





Добавочный капитал (без переоценки)





Резервный капитал

669

414

414


Нераспределенная прибыль (непокрытый убыток)

1502

255

-


Итого по разделу III

2181

679


IV. ДОЛГОСРОЧНЫЕ ОБЯЗАТЕЛЬСТВА





Заемные средства

11917

-

-


Отложенные налоговые обязательства





Оценочные обязательства





Прочие обязательства





Итого по разделу IV

11917

-

-


V. КРАТКОСРОЧНЫЕ ОБЯЗАТЕЛЬСТВА





Заемные средства


875

350


Кредиторская задолженность

53444

18287

10810


Доходы будущих периодов





Оценочные обязательства





Прочие обязательства





Итого по разделу V

53444

19162

11160


БАЛАНС

67542

19841

11584

Примечания

. Указывается номер соответствующего пояснения к бухгалтерскому балансу и отчету о прибылях и убытках.

. В соответствии с Положением по бухгалтерскому учету "Бухгалтерская отчетность организации" ПБУ 4/99, утвержденным Приказом Министерства финансов Российской Федерации от 6 июля 1999 г. № 43н (по заключению Министерства юстиции Российской Федерации № 6417-ПК от 6 августа 1999 г. указанным Приказ в государственной регистрации не нуждается), показатели об отдельных активах, обязательствах могут приводиться общей суммой с раскрытием в пояснениях к бухгалтерскому балансу, если каждый из этих показателей в отдельности несущественен для оценки заинтересованными пользователями финансового положения организации или финансовых результатов ее деятельности.

. Указывается отчетная дата отчетного периода.

. Указывается предыдущий год.

. Указывается год, предшествующий предыдущему.

. Некоммерческая организация именует указанный раздел "Целевое финансирование". Вместо показателей "Уставный капитал (складочный капитал, уставный фонд, вклады товарищей)", "Собственные акции, выкупленные у акционеров", "Добавочный капитал", "Резервный капитал" и "Нераспределенная прибыль (непокрытый убыток)" некоммерческая организация включает показатели "Паевой фонд", "Целевой капитал", "Целевые средства", "Фонд недвижимого и особо ценного движимого имущества", "Резервный и иные целевые фонды" (в зависимости от формы некоммерческой организации и источников формирования имущества).

. Здесь и в других формах отчетов вычитаемый или отрицательный показатель показывается в круглых скобках.

Приложение Б

Отчет о прибылях и убытках

за


20

12

г.

Коды

Форма по ОКУД

0710002

Дата (число, месяц, год)




Организация

ООО «СтройСнаб»

по ОКПО


Идентификационный номер налогоплательщика

ИНН


Вид экономической деятельности

Оптовая торговля прочими строительными материалами

По ОКВЭД

51.53.24

Организационно-правовая форма/форма собственности

ООО





по ОКОПФ/ОКФС



Единица измерения: тыс. руб. (млн. руб.)

по ОКЕИ




За _________

За



За


Пояснения 1

Наименование показателя 2

2010 г.

20

11

г.3

20

12

г.4











Выручка 5

59600

64954

144376


Себестоимость продаж

52107


56339



131779


Валовая прибыль (убыток)

7493

8615

12597


Коммерческие расходы

8268


7930



11320


Управленческие расходы








Прибыль (убыток) от продаж

(775)

685

1277


Доходы от участия в других организациях





Проценты к получению





Проценты к уплате








Прочие доходы

1048

525

1086


Прочие расходы

-


650



-


Прибыль (убыток) до налогообложения

273

560

2363


Текущий налог на прибыль

49


81



382


в т.ч. постоянные налоговые обязательства (активы)





Изменение отложенных налоговых обязательств





Изменение отложенных налоговых активов





Прочее





Чистая прибыль (убыток)

224

479

1981


Форма 0710002 с. 2



За _________

За



За



Пояснения 1

Наименование показателя 2

2010 г.

20

11

г.3

20

12

г.4











СПРАВОЧНО





Результат от переоценки внеоборотных активов, не включаемый в чистую прибыль (убыток) периода





Результат от прочих операций, не включаемый в чистую прибыль (убыток) периода





Совокупный финансовый результат периода 6





Базовая прибыль (убыток) на акцию





Разводненная прибыль (убыток) на акцию




Примечания

. Указывается номер соответствующего пояснения к бухгалтерскому балансу и отчету о прибылях и убытках.

. В соответствии с Положением по бухгалтерскому учету "Бухгалтерская отчетность организации" ПБУ 4/99, утвержденным Приказом Министерства финансов Российской Федерации от 6 июля 1999 г. № 43н (по заключению Министерства юстиции Российской Федерации № 6417-ПК от 6 августа 1999 г. указанный Приказ в государственной регистрации не нуждается), показатели об отдельных доходах и расходах могут приводиться в отчете о прибылях и убытках общей суммой с раскрытием в пояснениях к отчету о прибылях и убытках, если каждый из этих показателей в отдельности несущественен для оценки заинтересованными пользователями финансового положения организации или финансовых результатов ее деятельности.

. Указывается отчетный период.

. Указывается период предыдущего года, аналогичный отчетному периоду.

. Выручка отражается за минусом налога на добавленную стоимость, акцизов.

. Совокупный финансовый результат периода определяется как сумма строк "Чистая прибыль (убыток)", "Результат от переоценки внеоборотных активов, не включаемый в чистую прибыль (убыток) периода" и "Результат от прочих операций, не включаемый в чистую прибыль (убыток) отчетного периода".

Руководитель ______ ФИО Главный бухгалтер __________ ФИО

Похожие работы на - Прибыль компании: планирование и распределение

 

Не нашли материал для своей работы?
Поможем написать уникальную работу
Без плагиата!
Без нейросетей!