Оцінка та управління вартістю підприємства 'Гірничо-збагачувальна фабрика'
КОНТРОЛЬНА РОБОТА
Оцінка та управління вартістю
підприємства «Гірничо-збагачувальна фабрика»
Зміст
1. Вихідні дані
. Таблиця А. Бюджет доходів, витрат і поточної
заборгованості
. Таблиця В. Бюджет інвестицій
. Таблиця С. Бюджет амортизації
. Таблиця D. Бюджет кредиту
. Таблиця Е. Бюджет прибутку
. Таблиця F. Баланс
. Таблиця G. Акціонерна вартість
. Таблиця Н. Основні фондові показники
. Таблиця І. Основні інвестиційні показники
Висновки
Список використаних джерел
заборгованість прибуток інвестиції
акціонерна вартість
1. Вихідні дані
Таблиця 1. Вихідні дані по підприємству
«Гірничо-збагачувальна фабрика»
|
Показник
|
Одиниці
виміру
|
Значення
|
|
|
1.
Квартальний операційний дохід
|
млн.грн.
|
170,00
|
|
|
2.
Квартальні операційні витрати
|
млн.грн.
|
130,00
|
|
|
3.
Процент поточної заборгованості (залишок кредиторської заборгованості на
кінець кварталу) у витратах кварталу
|
%
|
20,00
|
|
|
4.
Ставка податку на прибуток
|
|
|
|
|
- 1
розрахунковий рік (2012)
|
%
|
21,00
|
|
|
- 2
розрахунковий рік (2013)
|
%
|
19,00
|
|
|
- 3
розрахунковий рік (2014)
|
%
|
16,00
|
|
|
5.
Оборотні активи підприємства (власні оборотні активи + оборотні активи,
придбані за рахунок кредиторської заборгованості постачальникам)
|
млн.грн.
|
61,00
|
|
|
6.
Власні оборотні активи підприємства
|
млн.грн.
|
35,00
|
|
|
7.
Необоротні активи підприємства
|
млн.грн.
|
305,00
|
|
|
8.
Власні необоротні активи підприємства
|
млн.грн.
|
250,00
|
|
|
9.
Необоротні активи підприємства, придбані за рахунок кредиту
|
млн.грн.
|
55,00
|
|
|
10.
Структура необоротних активів:
|
|
|
|
|
-
усього необоротних активів
|
млн.грн.
|
305,00
|
|
|
- питома
частка в необоротних активах
|
%
|
100,00
|
|
|
10.1.
3-тя група (будівлі і т.д.)
|
|
|
|
|
10.1.1.
Вартість 3 групи НА
|
млн.грн.
|
70,15
|
|
|
10.1.2.
Питома вага 3 групи НА в загальній вартості НА
|
%
|
23,00
|
|
|
10.1.3.
Строк корисної експлуатації 3 групи
|
років
|
20,00
|
|
|
10.2.
4-тя група (машини та обладнання)
|
|
|
|
|
10.2.1.
Вартість 4 групи НА
|
млн.грн.
|
173,85
|
|
|
10.2.2.
Питома вага 4 групи НА в загальній вартості НА
|
%
|
57,00
|
|
|
10.2.3.
Строк корисної експлуатації 4 групи
|
років
|
5,00
|
|
|
10.3.
5-та група (транспортні засоби)
|
|
|
|
|
10.3.1.
Вартість 5 групи НА
|
млн.грн.
|
48,80
|
|
|
10.3.2.
Питома вага 5 групи НА в загальній вартості НА
|
%
|
16,00
|
|
|
10.3.3.
Строк корисної експлуатації 5 групи
|
років
|
5,00
|
|
|
10.4.
6-та група (інструмент, прилади, інвентар)
|
|
|
|
|
10.4.1.
Вартість 6 групи НА
|
млн.грн.
|
12,20
|
|
|
Показник
|
Одиниці
виміру
|
Значення
|
|
10.4.2.
Питома вага 6 групи НА в загальній вартості НА
|
%
|
4,00
|
|
10.4.3.
Строк корисної експлуатації 6 групи
|
років
|
4,00
|
|
11.
Умови банківського кредиту
|
|
|
|
11.1.
Сума кредиту
|
млн.грн.
|
55,00
|
|
11.2.
Річна процентна ставка оплати за залишок кредиту
|
%
|
16,00
|
|
11.3.
Строк кредиту
|
років
|
3,00
|
|
11.4.
Графік рівномірних часток повернення кредиту (разів на рік)
|
Поквар-тально
|
4
|
|
11.5.
Графік сплати відсотків за користуванням кредиту (разів на рік)
|
Поквар-тально
|
4
|
|
12.
Умови оплати акціонерного капіталу
|
|
|
|
12.1.
Кількість акцій
|
штук
|
10000
|
|
12.2.
Обсяг статутного капіталу
|
млн.грн.
|
285,00
|
|
12.3.
Процентна ставка дивідендів на акції статутного капіталу
|
%
|
7,00
|
|
12.4.
Графік сплати дивідендів (разів на рік)
|
Поквар-тально
|
4
|
|
|
|
|
|
Розв’язок
Оцінимо вартість компанії за умов, що її операційний,
інвестиційний та фінансовий плани реалізуються. На основі даних компанії
визначаємо як формується та розподіляється прибуток, змінюється власний
капітал.
В розрахунках бізнес-плана прогноза діяльності підприємства
умовно прийнято, що на протязі 3 -років вартість квартального доходу та
квартальних витрат від виробництва та продажу продукції є постійною величиною,
а інфляційна зміна цін не враховується.
Алгоритм таблиць розрахунків виконаний відповідно зразку
методичних вказівок КНЕУ до контрольної роботи.
Таблиця А. Бюджет доходів, витрат і поточної заборгованості,
млн. грн.
|
Інтервал часу
|
Операційний дохід
|
Операційні поточні
витрати
|
Поточна
кредиторська заборгованість
|
|
Початок січня 1
розрахунко-вого року
|
0,00
|
0,00
|
26,00
|
|
1 квартал
|
170,00
|
-130,00
|
26,00
|
|
2 квартал
|
170,00
|
-130,00
|
26,00
|
|
3 квартал
|
170,00
|
-130,00
|
26,00
|
|
4 квартал
|
170,00
|
-130,00
|
26,00
|
|
Разом 1 розрах. рік
(2012)
|
680,00
|
-520,00
|
26,00
|
|
5 квартал
|
170,00
|
-130,00
|
26,00
|
|
6 квартал
|
170,00
|
-130,00
|
26,00
|
|
7 квартал
|
170,00
|
-130,00
|
26,00
|
|
8 квартал
|
170,00
|
-130,00
|
26,00
|
|
Разом 2 розрах. рік
(2013)
|
680,00
|
-520,00
|
26,00
|
|
9 квартал
|
170,00
|
-130,00
|
26,00
|
|
10 квартал
|
170,00
|
-130,00
|
26,00
|
|
11 квартал
|
170,00
|
-130,00
|
26,00
|
|
12 квартал
|
170,00
|
-130,00
|
26,00
|
|
Разом 3 розрах.рік
(2014)
|
680,00
|
-520,00
|
26,00
|
На основі даних про операційні доходи і витрати в бюджеті
прибутку формується EBITD. Бюджет інвестицій дозволяє побачити первісну
капіталізацію (власними і позиковими капіталами) та подальші реінвестиції
компанії, що впливають на величини власного капіталу і довгострокової
заборгованості в прогнозному балансі.
Таблиця В. Бюджет інвестицій, млн. грн.
|
Інтервал часу
|
Продаж активів
|
Купівля необоротних
автивів
|
Купівля оборотних
активів
|
Разом придбання
активів
|
|
|
Акціонерним
капіталом (власні необо-ротні активи)
|
Реінвесто-ваним
прибутком
|
Реінвесто-ваною
амортизацією
|
Кредитом
|
|
|
|
Початок січня 1
розрах. року
|
0
|
-250,00
|
0
|
0
|
-55,00
|
-61,00
|
-366,00
|
|
1 квартал
|
0
|
0
|
0
|
0
|
0
|
0
|
0
|
|
2 квартал
|
0
|
0
|
0
|
0
|
0
|
0
|
0
|
|
3 квартал
|
0
|
0
|
0
|
0
|
0
|
0
|
0
|
|
4 квартал
|
0
|
0
|
0
|
0
|
0
|
0
|
0
|
|
Разом 1 роз-рах.
рік (2012)
|
0
|
0
|
0
|
0
|
0
|
0
|
0
|
|
5 квартал
|
0
|
0
|
0
|
0
|
0
|
0
|
0
|
|
6 квартал
|
0
|
0
|
0
|
0
|
0
|
0
|
0
|
|
7 квартал
|
0
|
0
|
0
|
0
|
0
|
0
|
0
|
|
8 квартал
|
0
|
0
|
0
|
0
|
0
|
0
|
0
|
|
Разом 2 роз-рах.
рік (2013)
|
0
|
0
|
0
|
0
|
0
|
0
|
0
|
|
9 квартал
|
0
|
0
|
0
|
0
|
0
|
0
|
0
|
|
10 квартал
|
0
|
0
|
0
|
0
|
0
|
0
|
0
|
|
11 квартал
|
0
|
0
|
0
|
0
|
0
|
0
|
0
|
|
12 квартал
|
0
|
0
|
0
|
0
|
0
|
0
|
|
Разом 3 роз-рах.рік
(2014)
|
0
|
0
|
0
|
0
|
0
|
0
|
0
|
Дані бюджету амортизації використовуються для розрахунку EBIT
та залишкової вартості необоротних активів та вартості оборотних активів. Амортизація
нараховується прямолінійним методом, виходячи із строку корисного використання
активів
Таблиця С. Бюджет амортизації, млн. грн.
За допомогою бюджету кредиту з'ясовуються: проценти за
кредитом ( необхідні для оцінки бази оподаткування); величина повернення
кредиту ( потрібна для визначення прибутку в розпорядженні фірми та зміни
довгострокової заборгованості); приріст власного капіталу при погашенні
кредиту.
Таблиця D. Бюджет кредиту, млн. грн.
|
Інтервал часу
|
Надходження кредиту
|
Ставка проценту, %
|
Проценти
за кредитом (interest)
|
Повернення
кредиту (repayment of the credit)
|
Залишки кредиту
|
Приріст
власного капіталу при погашенні кредиту наростаючим підсумком
|
|
Початок січня 1
розрах. року
|
55,00
|
|
|
|
|
|
|
1 квартал
|
|
4,00
|
2,200
|
-4,583
|
50,417
|
4,583
|
|
2 квартал
|
|
4,00
|
2,017
|
-4,583
|
45,833
|
9,167
|
|
3 квартал
|
|
4,00
|
1,833
|
-4,583
|
41,250
|
13,750
|
|
4 квартал
|
|
4,00
|
1,650
|
-4,583
|
36,667
|
18,333
|
|
Разом 1 роз-рах.
рік (2012)
|
|
16,00
|
7,700
|
-18,333
|
36,667
|
18,333
|
|
5 квартал
|
|
4,00
|
1,467
|
-4,583
|
32,083
|
22,917
|
|
6 квартал
|
|
4,00
|
1,283
|
-4,583
|
27,500
|
27,500
|
|
7 квартал
|
|
4,00
|
1,100
|
-4,583
|
22,917
|
32,083
|
|
8 квартал
|
|
4,00
|
0,917
|
-4,583
|
18,333
|
36,667
|
|
Разом 2 роз-рах.
рік (2013)
|
|
16,00
|
4,767
|
-18,333
|
18,333
|
36,667
|
|
9 квартал
|
|
4,00
|
0,733
|
-4,583
|
13,750
|
41,250
|
|
10 квартал
|
|
4,00
|
0,550
|
-4,583
|
9,167
|
45,833
|
|
11 квартал
|
|
4,00
|
0,367
|
-4,583
|
4,583
|
50,417
|
|
12 квартал
|
|
4,00
|
0,183
|
-4,583
|
0,000
|
55,000
|
|
Разом 3 роз-рах.рік
(2014)
|
|
16,00
|
1,833
|
-18,333
|
0,000
|
55,000
|
Таблиця Е. Бюджет прибутку, млн. грн.
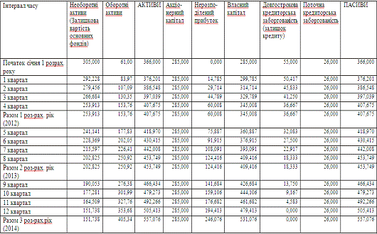
Таблиця F. Баланс, млн. грн.
Оборотні активи = Залишок на початок +
Амортизація наростаючим підсумком + Капіталізований прибуток наростаючим
підсумком;
Нерозподілений прибуток = Капіталізований
прибуток наростаючим підсумком + Приріст власного капіталу при погашенні
кредиту наростаючим підсумком;
Власний капітал = Акціонерний капітал + Нерозподілений
прибуток.
Таблиця G. Акціонерна вартість, млн. грн.
|
Показники
|
Початок січня 1
розрах. року
|
Кінець 1
розрах.року
|
Кінець 2
розрах.року
|
Кінець 3
розрах.року
|
|
1.
Дивіденди
|
0,000
|
19,950
|
19,950
|
19,950
|
|
2.
Власний капітал
|
285,000
|
345,008
|
409,416
|
531,076
|
|
3. Ціна
акціонерного капіталу, %
|
7,00
|
7,00
|
7,00
|
7,00
|
|
4.
Дисконтна вартість PV грошової одиниці (пренуменрандо)
|
1,0000
|
0,9346
|
0,8734
|
0,8163
|
|
5. PV
дивідендів
|
0,000
|
18,645
|
17,425
|
16,285
|
|
6. PV
власного капіталу
|
285,000
|
322,437
|
357,600
|
433,516
|
|
7. SVA
= дивіденди + власний капітал - первісна інвестиція
|
0,000
|
56,082
|
108,670
|
200,871
|
|
8. SHV
= SVA + власний капітал
|
285,000
|
378,519
|
466,270
|
634,387
|
|
9. TSR
= SVA/первісна інвестиція, %
|
0,000
|
19,678
|
38,130
|
70,481
|
Отже, розрахунки показують, що за умови реалізації за 3 роки
у повному обсязі бізнес-плану компанії приріст дисконтованої «пренуменрандо»
вартості відносно первісної інвестиції акціонерів (285 млн.грн.) складе 200,9
млн. грн., а дисконтована акціонерна вартість складе 634,4 млн. грн. Тобто
емісія доцільна і на це вказують прийнятні значення фондових характеристик
акцій.
Таблиця Н. Основні фондові показники
|
Показники
|
Початок січня 1
розрах. року
|
Кінець 1
розрах.року
|
Кінець 2
розрах.року
|
Кінець 3
розрах.року
|
|
1.
Власний капітал, млн. грн.
|
285,000
|
345,008
|
409,416
|
531,076
|
|
2. SVA,
млн. грн.
|
0,000
|
56,082
|
108,670
|
200,871
|
|
3. TSR
|
0,000
|
19,678
|
38,130
|
70,481
|
|
4.
Прибуток в розпорядженні фірми, млн. грн.
|
0,000
|
61,625
|
66,025
|
71,613
|
|
5.
Дивіденди, млн. грн.
|
0,000
|
19,950
|
19,950
|
19,950
|
|
6.
Кількість акцій, шт.
|
10 000
|
10 000
|
10 000
|
10 000
|
|
7. DPS
(ΣДивіденди/
кількість акцій), тис. грн./1 акцію
|
|
1,995
|
1,995
|
1,995
|
|
8. EPS
( Σ
Прибуток/ кількість акцій), тис. грн./ 1 акцію
|
|
6,162
|
6,602
|
7,161
|
|
9. PR
(DPS/EPS) (коефіцієнт виплат) , %
|
|
32,373%
|
30,216%
|
27,858%
|
|
10.
Номінал 1 акції, тис.грн.
|
28,5
|
28,5
|
28,5
|
28,5
|
|
11.
Доходність 1 акції, %
|
|
7,00%
|
7,00%
|
7,00%
|
Таблиця І. Основні інвестиційні показники, млн. грн.
|
Показники
|
Початок січня 1
розрах. року
|
Кінець 1
розрах.року
|
Кінець 2
розрах.року
|
Кінець 3
розрах.року
|
|
1.
Операційний дохід
|
0,000
|
680,000
|
680,000
|
680,000
|
|
2.
Операційні поточні витрати
|
0,000
|
-520,000
|
-520,000
|
-520,000
|
|
3.
Податок на операційний прибуток
|
0,000
|
-21,255
|
-19,788
|
-17,133
|
|
4.
Операційний CF
|
0,000
|
138,745
|
140,212
|
142,867
|
|
5.
Придбання активів за рахунок сумарної інвестиції акціонерів, банківського
кредиту та кредиту постачальників
|
-366,000
|
0,000
|
0,000
|
0,000
|
|
6.
Продаж активів
|
0,000
|
0,000
|
0,000
|
0,000
|
|
7.
Інвестиційний CF
|
-366,000
|
0,000
|
0,000
|
0,000
|
|
8.
Ставка дисконту (ціна АК) , %
|
|
7,00
|
7,00
|
7,00
|
|
9.
Поточна вартість грошової одиниці (коефіцієнт дисконтування)
|
1,0000
|
0,9346
|
0,8734
|
0,8163
|
|
10.
Дисконтований потік PV операційного CF
|
0,000
|
129,669
|
122,467
|
116,622
|
|
11.
Дисконтований потік PV інвестиційного CF
|
-366,000
|
0,000
|
0,000
|
0,000
|
|
12.
Дисконтований чистий прибуток NPV сумарної інвестиції в виробництво
|
2,758
|
|
13.
Дисконтована окупність сумарної інвестиції PI, років
|
2,98
|
|
Розрахунок
податку на операційний прибуток
|
|
14.
EBITD
|
0,000
|
160,000
|
160,000
|
160,000
|
|
15.
Амортизація
|
0,000
|
-51,088
|
-51,088
|
-51,088
|
|
16.
EBIT
|
0,000
|
108,913
|
108,913
|
108,913
|
|
17.
Податок на операційний прибуток
|
0,000
|
-21,255
|
-19,788
|
-17,133
|
Висновки
Згідно умовним вихідні даним бізнес-проекта введення нового
вироб-ництва по підприємству «Гірничо-збагачувальна фабрика»:
. В проект інвестується акціонерний капітал у обсязі 285
млн.грн. при щорічній нормі доходності акцій 7,5% від номіналу;
2. Одночасно в проект залучається банківський кредит у
обсязі 55 млн.грн. на 3 роки під ставку 16,0%, а також комерційний кредит
постачальників у обсязі 26 млн.грн. у вигляді відстрочки оплати за поставлену
сировину. Розрахункова ставка дисконтування «пренумерандо» грошових потоків в
проекті дорівнює 7,5% річним.
В результаті проведення розрахунків з використанням
програмно-пов’язаних таблиць Excel-2007 отримані наступні показники проекту:
. За рахунок грошового потоку доходів від виробництва та
реалізації продукції підприємства за 3 роки проекту:
а) Повернутий банківський кредит 55 млн.грн. та сплачені 14,3
млн.грн. процентів за його використання;
б) Виплачено акціонерам по ставці 7,5% річних від номіналу
акцій 59,85 млн.грн. дивідендів;
в) Сплачено 58,17 млн.грн. податку на прибуток;
г) Отримано 139,4 млн.грн. капіталізованого в власний капітал
підприємства прибутку після розподілу.
. З врахуванням норми річного дисконту 7,5% зміни вартості
грошей , отримані наступні дисконтовані «пренумерандо» показники проекту:
а) приріст дисконтованої «пренуменрандо» вартості відносно
первісної інвестиції акціонерів (285 млн.грн.) складе 200,9 млн. грн., а
дисконтована акціонерна вартість складе 634,4 млн. грн.
б) чистий дисконтований інвестиційний прибуток проекту
складе 2,76 млн.грн. при строку окупності сумарних інвестицій в проект 2,98
року
Список використаних джерел
1. Положення (стандарт)
бухгалтерського обліку 2 "Баланс" // Наказ Мі-ністерства фінансів
України від 31 березня 1999 р. N 87 (Із змінами і допов-неннями, внесеними
наказами Міністерства фінансів березня 2011 372)
. Положення (стандарт)
бухгалтерського обліку 3 "Звіт про фінансові результати" // Наказ
Міністерства фінансів України від 31 березня 1999 р. N 87 ( Із змінами і
доповненнями, внесеними наказами Міністерства фінансів Укра-їни станом від 18
березня 2011 року N 372)
3. Економіка підприємства : підручник /
М. Г. Грещак, В. М. Колот, О. Г. Мендрул, О. І. Олексюк [та ін] ; за заг. та
наук. ред. Г. О. Швиданенко ; М-во освіти і науки України, ДВНЗ "Київський
нац. екон. ун-т ім. В. Гетьмана". - Вид. 4-те, переробл. і доповн. - К. :
КНЕУ, 2009. - 816 с.
4. Економіка підприємства : підручник / [Г. О.
Швиданенко, В. Г. Ва-сильков, Н. П. Гончарова, А. І. Дмитренко та ін.] ; за
заг. та наук. ред. Г. О. Швиданенко ; М-во освіти і науки України, ДВНЗ
"Київський нац. екон. ун-т ім. В. Гетьмана". - К. : КНЕУ, 2009. - 598
с.
5. Кукоба В.П. Інвестиційний менеджмент
: навч. посібник / В. П. Кукоба ; М-во освіти і науки України, ДВНЗ "Київський
нац. екон. ун-т ім. В. Гетьмана". - К. : КНЕУ, 2008. - 384 с.
6. Фінансовий аналіз : навч. посібник / М. Д. Білик,
О. В. Павловська, Н. М. Притуляк, Н. Ю. Невмержицька ; М-во освіти і науки
України, ДВНЗ "Київський нац. екон. ун-т ім. В. Гетьмана". - Вид.
2-ге, без змін. - К. : КНЕУ, 2009. - 588 с.
. Фінансовий менеджмент : підручник / [А. М.
Поддєрьогін, М. Д. Білик, Л. Д. Буряк та ін.] ; кер. кол. авт. і наук. ред. А.
М. Поддєрьогін ; М-во освіти і науки України, ДВНЗ "Київський нац. екон.
ун-т ім. В. Гетьмана". - Вид. 2-ге, без змін. - К. : КНЕУ, 2008. - 535 с.