Оптимизация структуры капитала предприятия (на примере ОАО 'Сильвенит')
ВВЕДЕНИЕ
Одна из актуальных проблем финансового менеджмента - формирование
рациональной структуры источников средств предприятия в целях финансирования
необходимых объемов затрат и обеспечения желательного уровня доходов.
Оптимальная структура капитала подразумевает сочетание собственного и заемного
капитала, которое обеспечивает максимум рыночной оценки всего капитала. Поиск
такого соотношения - проблема, решаемая теорией структуры капитала.
Теория структуры капитала базируется на сравнении затрат на привлечение
собственного и заемного капитала и анализе влияния различных комбинированных
вариантов финансирования на рыночную оценку.
Основной проблемой, возникающей при определении оптимальной структуры
капитала, является необходимость учета большого числа факторов, которые могут
воздействовать на оптимальность (эффективность) такой структуры.
В современных условиях структура капитала является тем фактором, который
оказывает непосредственное влияние на финансовое состояние предприятия - его
платежеспособность и ликвидность, величину дохода, рентабельность деятельности.
Внутренний анализ структуры капитала связан с оценкой альтернативных вариантов
финансирования деятельности предприятия. При этом основными критериями выбора
являются условия привлечения заемных средств, их "цена", степень
риска и возможные направления использования.
В формировании рациональной структуры источников средств исходят обычно
из самой общей целевой установки: найти такое соотношение между заемными и
собственными средствами, при котором стоимость акции предприятия будет
наивысшей. Уровень задолженности служит для инвестора чутким рыночным
индикатором благополучия предприятия. Чрезвычайно высокий удельный вес заемных
средств в пассивах свидетельствует о повышенном риске банкротства. Если же
предприятие предпочитает обходиться собственными средствами, то риск
банкротства ограничивается, но инвесторы, получая относительно скромные
дивиденды, считают, что предприятие не преследует цели максимизации прибыли, и
начинают сбрасывать акции, снижая рыночную стоимость предприятия.
Актуальность проблемы поиска оптимального соотношения собственного и
заемного капитала во многом и определила выбор этой темы для исследования.
Целью курсовой работы: изучить методические и практические основы
оптимизации структуры капитала на примре ОАО "Сильвенит".
В соответствии с намеченной целью были поставлены задачи:
- изучить сущность и функции капитала предприятия;
- определить виды капитала предприятия и дать их классификацию;
- изучить содержание теорий управления структурой капитала
предприятия;
- раскрыть методы оптимизации структуры капитала: 1) на основе
критерия максимизации рентабельности собственного капитала и 2) на основе
анализа зависимости «EBIT-EPS» («EBIT-ROE»);
- провести оптимизацию структуры капитала ОАО
"Сильвенит".
Объектом изучения является ОАО "Сильвенит".
Открытое акционерное общество «Сильвинит» - крупнейший российский
горно-промышленный комплекс по добыче и производству калийных удобрений и
различных видов солей.Предприятие разрабатывает единственное в России (второе в
мире) Верхнекамское месторождение калийно-магниевых солей, промышленные запасы
которого составляют 3,8 млрд. тонн руды (в пересчете на 100% К2О).
ОАО «Сильвинит» является правопреемником Соликамского калийного комбината
(1934 г.), являющегося родоначальником калийной отрасли России.
ОАО «Сильвенит» выпускает два основных вида продукции: стандартный
хлористый калий и гранулированный хлористый калий (гранулят):
•Стандартный хлористый калий белого и розового цвета.
•Гранулят является продуктом более высокой степени переработки, который
используется главным образом в странах, применяющих наиболее передовые методы
удобрения почвы. Грануляция замедляет впитывание удобряющих питательных
элементов в почву, что, в свою очередь, продлевает действие удобрений.
Предмет изучения в курсовой работе ˗ совокупность методов
оптимизации структуры капитала предприятий реального сектора экономики.
В процессе написания данной курсовой работы использованы учебные пособия
по финансовому менеджменту, статьи в финансовых изданиях, открытые публикации с
различных Интернет - сайтов, а также использовались «Бухгалтерский баланс» и
«Отчет о прибылях и убытках» ОАО "Сильвенит" за 2009 г.
1.
ТЕОРЕТИЧЕСКИЕ ОСНОВЫ УПРАВЛЕНИЯ СТРУКТУРОЙ КАПИТАЛА ПРЕДПРИЯТИЯ
1.1 Сущность и функции капитала предприятия
Некоторые исследователи склонны рассматривать капитал с позиции обобщения
всех источников предприятия (организации), т.е. капитал сводится к финансовым
ресурсам. Финансовые ресурсы - денежные доходы, поступления и накопления,
находящиеся в распоряжении организаций и государства, предназначенные для
осуществления затрат по простому и расширенному воспроизводству, выполнения
обязательств перед финансово-кредитной системой.
По мнению ряда современных ученых понятия "капитал" и
"финансовые ресурсы" требуют разграничения с точки зрения управления
финансами предприятий. Капитал (собственные средства, чистые активы) - это
свободное от обязательств имущество организации, тот стратегический резерв,
который создает условия для ее развития, при необходимости адсорбирует убытки и
является одним из важнейших ценообразующих факторов, когда речь идет о цене
самой организации. Капитал - это наивысшая форма мобилизации финансовых
ресурсов.
По мнению И.А. Бланка, под капиталом могут также пониматься долгосрочные
пассивы, поскольку в западной практике учета долгосрочные заемные средства по
своему назначению и функциям приравниваются к собственным.
Е.Ф. Сысоева выделяет следующую совокупность различных функций капитала,
которые представлены на рис. 1.1.
Рис. 1.1. Совокупность функций капитала
) Капитал - производственный ресурс (фактор производства).
Накопленные экономические блага могут быть задействованы, прежде всего, в
производственном процессе. Используемый в процессе производства товаров и услуг
капитал является фактором производства, т.е. является ресурсом, оказывающим
определяющее воздействие на результаты производства.
Как фактор производства капитал характеризуется определенной
производительностью. Производительность капитала или капиталоотдача
определяется как отношение объема произведенного продукта к сумме
использованного капитала.
) Капитал - объект собственности и распоряжения. Как объект
предпринимательской деятельности капитал является носителем прав собственности
и распоряжения. Если на первоначальном этапе эволюции, связанной с
формированием и использованием капитала, титул собственности и права
распоряжения им были связаны с одним и тем же субъектом, то по мере дальнейшего
экономического развития происходит постепенное их разделение. Первоначально это
разделение произошло в сфере функционирования денежного капитала (по мере
возникновения и развития кредитных отношений), а затем и капитала реального. В
современных условиях предприниматель, использующий капитал в экономическом
процессе, может обладать правами распоряжения без права собственности на него.
В этом случае права собственности и распоряжения капиталом являются
разделенными между отдельными субъектами экономики. Примером такого разделения
прав является функционирование капитала в системе финансово-кредитных
институтов, акционерных обществ и т.п., когда собственники капитала передают
права распоряжения им другим лицам.
Как объект собственности и распоряжения, капитал формирует также определенные
пропорции его использования отдельными субъектами хозяйствования, отражаемые
соотношением собственного и заемного капитала. Это соотношение характеризуется
в экономической теории категорией "структура капитала". Оно влияет на
многие аспекты эффективности хозяйственной деятельности организации и в
значительной степени определяет уровень ее рыночной стоимости.
) Капитал - часть финансовых ресурсов. С этой точки зрения достаточная
величина капитала означает не только возможность выплаты компенсации кредиторам
в случае ликвидации хозяйствующего субъекта, но и поддержание его
платежеспособности путем создания резерва на случай убытков. В процессе
выполнения своей функции как финансового ресурса капитал обеспечивает средства,
необходимые для создания, организации и функционирования хозяйствующего
субъекта, для организационного роста и разработки новых видов продукции, услуг
до привлечения заемных средств. В период роста организация нуждается в
дополнительном капитале для поддержки и защиты от риска, связанного с
предоставлением новых услуг и строительством новых мощностей.
Наконец, в качестве финансового ресурса капитал служит регулятором роста
организации, приводящим в соответствие ее рост и жизнеспособность в
долгосрочной перспективе. Финансовые рынки требуют, чтобы рисковые активы
организации росли приблизительно тем же темпом, что и капитал, количество
"денег на черный день" для компенсации потерь возрастает с
увеличением риска вложений.
С позиций управления капиталом, как важнейшей составной частью финансовых
ресурсов, необходимо:
˗ определение оптимального состава и структуры финансовых
ресурсов;
˗ установление потребности организации в финансовых ресурсах;
˗ выбор и при необходимости конструирование инструментов
финансирования, обращающихся на финансовом рынке;
˗ целевое использование финансовых ресурсов в соответствии с
их назначением;
˗ сохранность финансовых ресурсов.
) Капитал - источник дохода. Куда бы ни был направлен капитал как
экономический ресурс - в сферу реальной экономики или в финансовую сферу - он
всегда потенциально способен приносить доход его владельцу при условии
эффективного его применения. Как источник дохода капитал является одним из
важнейших средств формирования будущего благосостояния его владельцев.
Доход на капитал выступает обычно в форме процентного дохода, получаемого
его владельцами. Размер дохода на капитал составляет основу формирования затрат
по его привлечению и использованию в экономическом процессе, который
характеризуется категорией "цена капитала".
Как источник дохода капитал представляет собой постоянно возрастающую
экономическую ценность. Вместе с тем, потенциальная способность капитала
приносить доход не реализуется автоматически, а обеспечивается лишь в условиях
эффективного его использования. Формирование таких условий предопределяет одну
из важных задач управления капиталом.
) Капитал - объект временного предпочтения. Процесс функционирования
капитала непосредственно связан с фактором времени. При этом экономическая
ценность сегодняшних и будущих благ, связанных с функционированием капитала,
для его владельцев неравнозначна. Экономическая теория утверждает, что
сегодняшние блага всегда оцениваются индивидуумом выше благ будущих. Для того
чтобы побудить собственника капитала отказаться от его использования на цели
текущего потребления, необходимо обеспечить за такой отказ достаточно весомое
для него вознаграждение.
Альтернативные формы временного предпочтения возникают на всех стадиях
функционирования капитала. Соответственно на каждой из этих стадий перед
собственниками капитала стоит дилемма выбора, связанная с его использованием во
времени. На стадии накопления капитала альтернатива временного предпочтения
определяет необходимость выбора между текущим потреблением дохода и его
сбережением. На стадии использования капитала, как инвестиционного ресурса,
временное предпочтение связано с альтернативным выбором форм инвестирования,
дифференцированного во времени. Между инвестированием капитала и получением
инвестиционного дохода временной лаг может характеризоваться большим или
меньшим интервалом. Соответственно перед собственником капитала всегда стоит
альтернатива временного предпочтения - избрать для инвестиционной деятельности
кратко - или долгосрочные объекты инвестирования. На стадии использования
капитала как фактора производства альтернатива временного предпочтения
заключается в выборе возможностей реализации производственных целей во времени.
В данном случае временное предпочтение связано с альтернативным выбором сферы
приложения капитала в технологически сложных и простых производствах, а также в
производствах с различными сезонными составляющими.
) Капитал - объект купли-продажи (объект рыночного обращения). Как объект
купли-продажи капитал формирует особый вид рынка - рынок капитала, который
характеризуется спросом, предложением и ценой, а также определенными субъектами
рыночных отношений.
Спрос на капитал порождает стремление к его приобретению, прежде всего,
как инвестиционного ресурса и фактора производства. Соответственно субъектами
спроса на капитал выступают предприниматели, вовлекающие его в экономический
процесс.
Предложение капитала порождает стремление к его реализации в
экономическом процессе как накопленной ценности. Нереализованность накопленного
капитала порождает так называемые издержки упущенных возможностей,
характеризующие размер упущенной выгоды при альтернативных возможностях его
применения.
Цена на капитал в системе рыночных отношений формируется под воздействием
спроса и предложения. Эта цена отражает экономические интересы продавцов и
покупателей капитала в различных его формах. Количественным выражением этой
цены выступает обычно уровень среднегодовой ставки доходности капитала.
) Капитал - носитель фактора риска. Риск является важнейшей
характеристикой капитала, связанной со всеми формами конкретного его
использования. Носителем фактора риска капитал выступает как источник дохода в
процессе его использования в предпринимательской деятельности. Применяя капитал
как инвестиционный ресурс или фактор производства в целях получения дохода, предприниматель
всегда должен осознанно идти на экономический риск, связанный с возможным
снижением суммы ожидаемого дохода, а также возможной потерей (частичной или
полной) вложенного капитала. Следовательно, понятия "риск" и
"доходность" капитала в процессе его использования в
предпринимательской деятельности тесно взаимосвязаны.
Уровень риска использования капитала находится в прямой зависимости от
уровня ожидаемой его доходности. Чем выше ожидаемый предпринимателем уровень
доходности капитала при его использовании, тем выше будет сопутствующий ему
уровень риска, и наоборот. Иными словами, связь между уровнями доходности и
риска использования капитала носит прямо пропорциональный характер.
) Капитал - носитель фактора ликвидности. Используемый в предпринимательской
деятельности капитал в процессе своего постоянного движения характеризуется
определенной ликвидностью, под которой понимается его способность быть
реализованным по своей реальной рыночной стоимости. Эта характеристика капитала
обеспечивает постоянную возможность его реинвестирования при наступлении
неблагоприятных экономических и других условий его использования в определенной
сфере предпринимательской деятельности и (или) в определенном регионе.
Различные формы и виды капитала, задействованного в экономическом
процессе, обладают различной степенью ликвидности. Эти различия определяются
степенью мобильности капитала, как инвестиционного ресурса и фактора
производства, инвестиционными качествами различных финансовых инструментов
инвестирования, уровнем развития рынка капитала и характером его
государственного регулирования, сложившейся конъюнктурой рынка капитала и
отдельных его сегментов.
1.2 Виды и классификация капитала предприятия
Существуют различные критерии классификации капитала, представленные в
табл. 1.1.
Таблица 1.1
Классификация капитала
|
Критерий классификации
|
Виды капитала
|
|
1
|
2
|
|
1. По времени создания и
назначения
|
первоначальный текущий
|
|
2. По принадлежности
организации (предприятию)
|
собственный заемный
|
|
3. По целям использования в
составе предприятия
|
производительный ссудный
спекулятивный
|
|
4. По формам инвестирования
|
в денежной форме в
материальной форме в нематериальной форме
|
|
5. По объекту
инвестирования
|
основной капитал оборотный
капитал
|
|
6. В зависимости от стадий
кругооборота
|
в денежной форме в
производственной форме в товарной форме
|
|
7. По формам собственности
|
частный государственный
|
|
8. По
организационно-правовым формам деятельности
|
акционерный паевой
индивидуальный
|
|
9. По характеру использования в хозяйственном процессе
|
работающий неработающий
|
|
Продолжение табл. 1.1
|
|
1
|
2
|
|
10. По характеру
использования собственниками
|
потребляемый накапливаемый
|
|
11. По источникам
привлечения
|
национальный иностранный
|
В зависимости от времени создания и назначения различают первоначальный и
текущий капитал.
Первоначальный капитал - средства, необходимые хозяйствующему субъекту
для начала своей хозяйственной деятельности. Он выступает как решающее условие
создания и начала деятельности предприятия, поскольку обеспечивает формирование
обязательных элементов производства: основные фонды, оборотные средства,
рабочая сила.
Текущий капитал - результат функционирования финансовых ресурсов на
действующем предприятии. Если первоначальный капитал является условием
функционирования предприятия, то текущий капитал - следствием его
функционирования. От объема, структуры, умелого маневрирования этими ресурсами,
их эффективного использования зависит непрерывность функционирования
хозяйствующего субъекта и конечные результаты его деятельности. В связи с этим
текущий капитал является одним из важнейших объектов управления финансовой
деятельности каждого хозяйствующего субъекта.
По принадлежности предприятию различают собственный и заемный капитал.
Собственный капитал - общая стоимость средств предприятия, принадлежащая ему
на праве собственности, и использованная им для формирования определенной части
активов. Активы, сформированные за счет инвестированного в них собственного
капитала, выступают в форме чистых активов предприятия.
Заемный капитал - денежные средства или иные имущественные ценности,
привлекаемые для нужд развития предприятия на возвратной и платной основе.
По целям использования в составе предприятия могут быть выделены
следующие виды капитала: производительный, ссудный и спекулятивный.
Производительный капитал - средства предприятия, инвестированные в его
операционные активы для осуществления производственно-сбытовой деятельности.
Ссудный капитал представляет ту часть общего объема капитала, которая
используется в процессе инвестирования в денежные инструменты (краткосрочные и
долгосрочные депозитные вклады в коммерческих банках), а также в долговые
фондовые инструменты (облигации, депозитные сертификаты, векселя и т. п.).
Спекулятивный капитал характеризует ту его часть, которая используется в
процессе осуществления спекулятивных (основанных на разнице в ценах) финансовых
операций.
По формам инвестирования различают капитал в денежной, материальной и
нематериальной формах, используемых для формирования уставного фонда
предприятия. Инвестирование капитала в этих формах разрешено законодательством
при создании новых предприятий, увеличении объема их уставных фондов.
По объекту инвестирования выделяют основной и оборотный капитал
предприятия.
Основной капитал - это средства, инвестированные во все виды его внеоборотных
активов, а не только в основные средства.
Оборотный капитал - это средства, инвестированные предприятием в
оборотные активы.
В зависимости от стадий кругооборота различают капитал предприятия в
денежной, производственной и товарной формах.
По формам собственности выделяют частный и государственный капитал,
инвестированный в предприятие в процессе формирования его уставного фонда.
По организационно-правовым формам деятельности капитал делится на
акционерный капитал (капитал предприятий, созданный в форме акционерных
обществ), паевой капитал (капитал партнерских предприятий - обществ с
ограниченной ответственностью) и индивидуальный капитал (капитал индивидуальных
предприятий, семейных и т. п.).
По характеру использования в хозяйственном процессе выделяют работающий и
неработающий виды капитала. Работающий - это капитал, принимающий
непосредственное участие в формировании доходов и обеспечении операционной,
инвестиционной и финансовой деятельности предприятия.
Неработающий (или «мертвый») капитал - средства, инвестированные в
активы, не принимающие участия в осуществлении различных видов хозяйственной
деятельности предприятия и формирования его доходов.
По характеру использования собственниками выделяют потребляемый
(«проедаемый») и накапливаемый (реинвестируемый) капитал.
Потребляемый капитал после его распределения на цели потребления теряет
функции капитала. Он представляет собой дезинвестиции предприятия,
осуществляемые в целях потребления (изъятие части капитала из внеоборотных
активов в целях выплаты дивидендов, процентов, удовлетворение социальных
потребностей персонала и т. п.).
Накапливаемый капитал характеризует различные формы его прироста в
процессе капитализации прибыли, дивидендных выплат и т. п.
По источникам привлечения различают национальный (отечественный) и
иностранный капитал, инвестированный в предприятия.
В процессе кругооборота капитал проходит три стадии.
На первой стадии капитал в денежной форме инвестируется в операционные
активы (оборотные и внеоборотные), преобразуясь тем самым в производительную
форму.
На второй стадии производительный капитал в процессе изготовления
продукции преобразуется в товарную форму.
На третьей стадии товарного капитала по мере реализации произведенных
товаров и услуг превращается в денежный капитал.
Средняя продолжительность оборота капитала предприятия характеризуется
периодом его оборота в днях (месяцах, годах). Этот показатель может быть
выражен и числом оборотов на протяжении рассматриваемого периода.
Классификация и особенности функционирования капитала предприятия
позволяют более целенаправленно управлять эффективностью его формирования и
использования.
Итак, капитал существует в различных формах. Капитал предприятия
представляет общую стоимость средств в денежной форме, материальной и
нематериальной формах, инвестированных в формирование его активов.
Так же рассмотрим схематичное представление структуры финансовых ресурсов
предприятия, которая представлена на рис. 1.2.
Как видно из схемы, финансирование может быть внешним и внутренним. Дело
в том, что источником инвестиций для хозяйствующих субъектов являются
сбережения предприятий, правительства, населения. Собственные сбережения
(внутренние источники) превращаются в инвестиции прямо и непосредственно, не
проходя при этом через финансовый рынок. Это, прежде всего амортизационный фонд
и нераспределенная прибыль. Для того чтобы превратиться в инвестиции, чужие
сбережения (внешние источники) должны пройти через структуры финансового рынка.
Рис. 1.2. Состав финансовых ресурсов организации
Здесь они образуют два потока. Один из них попадает к конечным заемщикам,
минуя финансовых посредников. Это происходит, например, тогда, когда банк или
предприятие эмитирует акции или облигации без участия инвестиционных дилеров.
Необходимо отметить, что такая практика нетипична для стран с развитыми
фондовыми рынками, но является преобладающей в России. Второй поток чужих
сбережений сначала аккумулируется финансовыми посредниками (банками,
инвестиционными компаниями и фондами), а затем передается конечным заемщикам
(предприятиям, организациям).
Этот процесс может происходить как на условиях возвратности и срочности,
если речь идет о банковских и коммерческих кредитах, размещенных облигациях,
выданных векселях и других долговых обязательствах, так и на условиях
безвозвратного финансирования в случае приобретения акций и паев.
Источники финансовых ресурсов делятся также на собственные и заемные. Они
отличаются друг от друга степенью подчиненности и взаимозависимости, сферой
возникновения, условиями привлечения и использования. В состав собственного
капитала входят такие элементы, как уставный капитал, добавочный капитал,
резервный фонд, фонды специального назначения, нераспределенная прибыль.
Традиционно элементы заемного капитала делятся в зависимости от срока
погашения возникающей задолженности на краткосрочные (до одного года) и
долгосрочные (свыше одного года). Долгосрочный заемный капитал чрезвычайно
важен как источник долгосрочного инвестирования, являющегося финансовой базой
для реконструкции и модернизации действующих предприятий.
Принципы использования предприятиями финансовых ресурсов различаются в
зависимости от типа этих ресурсов. Заемные используются на принципах
возвратности, срочности и, как правило, платности; собственные - на принципе
платности. Таким образом, принцип платности является общим при использовании
всех видов финансовых ресурсов. Правда, российские организации часто нарушают
данный принцип, что ведет к серьезным последствиям, особенно для акционерных
обществ. Дело в том, что сама форма акции, как ценной бумаги, делает
акционерное общество весьма уязвимым для конкурентов. Если акционеры не
получают регулярных дивидендов, они при первой возможности начинают
"сбрасывать" свои акции. Наращивание "бесплатной" кредиторской
задолженности, с одной стороны, приводит к снижению платежеспособности
предприятия и даже к банкротству, а во-вторых, - к массовым неплатежам и
бартеру.
Таким образом, от того, каким капиталом располагает организация,
насколько оптимальна его структура и насколько целесообразно он
трансформируется в основные и оборотные фонды, зависят ее финансовое
благополучие, а следовательно, и благополучие лиц, заинтересованных в получение
экономических выгод.
Для выработки грамотной управленческой финансовой организации, связанной
с вопросами формирования и использования капитала, возникает необходимость в
применении различных методик и приемов, позволяющих провести комплексное
системное исследование формирования, размещения и эффективности использования
собственного и заемного капитала и их элементов.
1.3 Теоретические основы управления структурой капитала
В генезисе теорий структуры капитала, которые начали формироваться с
середины XX века, выделяются четыре основных этапа. Эти этапы связаны с
формированием следующих обобщающих теоретических концепций:
˗ традиционалистской концепцией структуры капитала;
˗ концепцией индифферентности структуры капитала;
˗ компромиссной концепцией структуры капитала;
˗ концепцией противоречия интересов формирования структуры
капитала.
В основе этих концепций лежат противоречивые подходы к возможности
оптимизации структуры капитала предприятия и выделение приоритетных факторов,
определяющих механизм такой оптимизации.
Основу традиционалистской концепции структуры капитала составляет положение
о возможной оптимизации структуры капитала путем учета разной цены отдельных
его составных частей. Исходной теоретической посылкой этой концепции является
утверждение, что цена собственного капитала предприятия всегда выше цены
заемного капитала.
Более низкая цена заемного капитала, в сравнении с собственным,
объясняется сторонниками традиционалистской концепции различиями в уровне риска
их использования. Так, уровень доходности заемного капитала во всех его формах
носит детерминированный характер в связи с тем, что ставка процента по нему
определена сторонами заранее в фиксированном размере, в то время как уровень
доходности собственного капитала формируется в условиях неопределенности
(зависит от финансовых результатов предстоящей хозяйственной деятельности
предприятия). Кроме того, использование заемного капитала носит, как правило,
финансово обеспеченный характер - в качестве такого обеспечения выступают
обычно гарантии третьих лиц, залог или заклад имущества. И, наконец, в случае
банкротства предприятия законодательством большинства стран предусмотрено
преимущественное право удовлетворения претензий кредиторов в сравнении с правом
удовлетворения претензий собственников (акционеров, пайщиков и т.п.).
Исходя из предпосылки о более низком уровне цены заемного капитала в
сравнении с собственным при любом сочетании их использования, содержание
традиционалистской концепции механизма оптимизации структуры капитала
предприятия сводится к следующему: рост удельного веса использования заемного
капитала во всех случаях приводит к снижению показателя средневзвешенной цены
капитала организации, а соответственно и к росту ее рыночной стоимости.
Графически содержание этой концепции может быть проиллюстрировано
следующим образом.
Рис. 1.3. Традиционалистская концепция структуры капитала
Из приведенного графика видно, что с ростом удельного веса заемного
капитала, используемого организацией в процессе своей хозяйственной
деятельности, уровень средневзвешенной цены капитала имеет тенденцию к
снижению, достигая своего минимального значения при 100% использовании заемного
капитала. Учитывая, что между средневзвешенной ценой капитала и рыночной
стоимостью организации существует обратная зависимость, исходя из графика,
характеризующего традиционалистскую концепцию, можно сделать вывод, что
рыночная стоимость организации максимизируется при 100%-ом использовании
заемного капитала.
Практическое использование этой концепции побуждает организацию к
максимизации использования заемного капитала в своей хозяйственной
деятельности, что в определенных условиях может привести к утрате ею финансовой
устойчивости и даже к банкротству. Поэтому такая модель формирования структуры
и средневзвешенной цены капитала организации, составляющая основу традиционалистской
концепции, критиковалась многими экономистами как чрезмерно упрощенная, а
условие оптимизации (100%-ое использование заемного капитала) как нереальное.
Основу концепции индифферентности структуры капитала составляет положение
о невозможности оптимизации структуры капитала ни по критерию минимизации
средневзвешенной его цены, ни по критерию максимизации рыночной стоимости
организации, так как она не оказывает влияние на формирование этих показателей.
Эта концепция была впервые выдвинута в 1958 году американскими экономистами Ф.
Модильяни и М. Миллером. Она рассматривает механизм формирования структуры
капитала и рыночной стоимости организации в тесной увязке с механизмом
функционирования рынка капитала в целом. При этом в процессе обоснования данной
концепции функционирование рынка капитала ограничено рядом следующих условий:
рынок на всех этапах своего функционирования является
"совершенным", что подразумевает полную его конкурентность, широкую
доступность информации о его конъюнктуре для всех участников, а также
рациональный характер их поведения,
на рынке действует в рассматриваемом периоде времени единая для
всех инвесторов и кредиторов безрисковая ставка процента на вкладываемый или
передаваемый в ссуду капитал,
все организации, функционирующие на рынке, могут быть
классифицированы по уровню риска своей хозяйственной деятельности только на
основе показателей размера ожидаемого дохода на сформированные совокупные
активы и степени вероятности его получения. Риски, связанные с составом элементов
используемого капитала и создающие потенциальную угрозу потери части активов в
процессе его банкротства и ликвидации, в расчет при этом не принимаются;
цена любого элемента используемого капитала не связана с
действующей системой налогообложения прибыли организации;
в расчет цены отдельных элементов капитала не включаются
расходы, связанные с его покупкой-продажей ("транзакционные расходы"
или "операционные расходы по формированию капитала").
Исходя из этих базовых условий, Ф. Модильяни и М. Миллер математически
доказали, что рыночная стоимость организации зависит только от суммарной цены
ее активов вне зависимости от состава элементов капитала, авансированного в эти
активы. Исходным положением этого доказательства является утверждение, что в
процессе хозяйственной деятельности организации ее доходность генерируют не
отдельные элементы капитала, а сформированные им активы.
Рост удельного веса заемного капитала в общей его сумме не приводит к
соответствующему снижению уровня средневзвешенной цены капитала, несмотря на
то, что уровень цены заемного капитала намного ниже уровня цены собственного
капитала. Данная концепция по своим выводам полностью противопоставляется
традиционалистской концепции структуры капитала. Будучи принципиально
правильной в условиях выдвинутых авторами ограничений, эта теория несовместима
с реальной практикой. Поэтому данная концепция рассматривается лишь как
принципиальный механизм оценки рыночной стоимости организации в условиях
функционирования совершенного рынка при нереальных практических ограничениях.
Рис. 1.4. Концепция индифферентности структуры капитала
(Модильяни-Миллера)
В дальнейших своих исследованиях, сняв ряд выдвинутых ограничений, авторы
данной концепции вынуждены были признать, что механизм формирования рыночной
стоимости организации находится в определенной связи со структурой его
капитала.
На этой основе возникла компромиссная концепция структуры капитала, суть
которой состоит в том, что структура капитала формируется под воздействием ряда
противоречивых условий, определяющих соотношение уровня доходности и риска
использования капитала организации. Эта концепция основана на исследованиях М.
Миллера, X. Де Анжело, Р. Масюлиса, Дж. Уорнера и включает в механизм
формирования структуры капитала ряд реальных условий функционирования экономики
и рынка, которые не учитывались в предшествующих концепциях:
реально функционирующая экономика не может не учитывать фактор
налогообложения прибыли, что существенным образом влияет на формирование цены
отдельных элементов капитала, а, следовательно, и на его структуру. Так, в
практике большинства стран расходы по обслуживанию долга подлежат полностью или
частично вычету из базы налогообложения прибыли. В связи с этим цена заемного
капитала за счет "налогового щита" всегда является более низкой при
прочих равных условиях, чем цена собственного капитала. Соответственно рост
использования заемного капитала до определенных пределов (не генерирующих риск
возрастания угрозы банкротства организации) вызывает снижение уровня
средневзвешенной цены капитала;
в процессе оценки цены отдельных элементов капитала должен
обязательно учитываться риск банкротства организации, связанный с несовершенной
структурой формируемого капитала. С повышением удельного веса заемного капитала
во всех его формах вероятность банкротства организации усиливается.
Экономическое поведение кредиторов в этом случае связано с двумя альтернативами
- или снизить объем кредитов, предоставляемых организации на тех же условиях,
или потребовать от организации более высокий уровень дохода на предоставляемый
в кредит капитал, что также приведет к росту средневзвешенной его цены и
снижению рыночной стоимости организации. Таким образом, существует
экономическая граница привлечения заемного капитала по возрастающей его цене,
при которой эта цена возрастает до такой степени, что поглощает эффект,
достигаемый налоговым преимуществом его использования. В этом случае цена
заемного капитала организации и его средневзвешенная цена сравняется с ценой собственного
капитала. Преступив этот уровень цены заемного капитала, организация теряет
экономические стимулы к его привлечению;
цена отдельных элементов капитала, формируемого из внешних
источников, включает не только расходы по его обслуживанию в процессе использования,
но и первоначальные затраты по его привлечению. Эти операционные расходы также
должны учитываться при формировании структуры капитала.
С учетом рассмотренных условий содержание компромиссной концепции
структуры капитала сводится к тому, что в реально функционирующих экономике и
на рынке капитала этот показатель складывается под влиянием многих факторов,
имеющих противоположную направленность воздействия на рыночную стоимость
организации. Эти факторы по своему суммарному воздействию формируют определенное
соотношение уровня доходности и риска использования капитала организации в ее
структуре. Уровень доходности используемого капитала формирует показатель
средневзвешенной его цены, учитывающий расходы по привлечению капитала.
Графически сущность компромиссной концепции формирования структуры
капитала выглядит следующим образом.
Как видно из приведенного графика средневзвешенная цена капитала
организации меняет свои тенденции на отдельных стадиях, связанных с ростом
удельного веса используемого заемного капитала.
Пока удельный вес заемного капитала находится в безрисковой зоне, его
рост вызывает ощутимое снижение средневзвешенной цены капитала (на графике - на
отрезке АБ).
На второй стадии, при относительно невысокой угрозе банкротства,
вызывающей невысокий рост цены заемного капитала, повышение его удельного веса,
сопровождается относительной стабилизацией средневзвешенной цены капитала (на
графике - на отрезке БВ).
На третьей стадии, при существенном возрастании угрозы банкротства и
соответствующем росте цены заемного капитала, возрастание удельного веса его
использования вызывает еще более высокое возрастание средневзвешенной цены
капитала (на графике - на отрезке ВГ).
Рис. 1.5. Компромиссная концепция структуры капитала
Точка компромисса, представленная на графике точкой О, определяет
оптимальную структуру капитала организации в положении, соответствующем
минимальному значению показателя средневзвешенной цены капитала. Современная
теория структуры капитала определяет возможность формирования точки компромисса
на любом отрезке кривой средневзвешенной цены капитала в зависимости от
отношения собственников к допустимому уровню риска. При консервативном
экономическом поведении точка компромисса может быть избрана гораздо левее
представленной на графике, и, наоборот, - при агрессивном поведении такая точка
может быть избрана гораздо правее.
Основу концепции противоречия интересов формирования структуры капитала
составляет положение о различии интересов и уровня информированности
собственников, инвесторов, кредиторов и менеджеров в процессе управления
эффективностью его использования, выравнивание которых вызывает увеличение
стоимости отдельных его элементов. Авторы отдельных теоретических положений
этой концепции - М. Гордон. М. Дженсен, У. Меклинг, Д. Галей, Р. Мазулис, С.
Майерс - не изменяя принципиально сущности компромиссной концепции, позволили
существенно расширить область ее практического использования за счет
исследования отдельных факторов.
Теория асимметричной информации основывается на том, что рынок капитала
не может быть полностью совершенным во всех своих аспектах и в течение всего
периода своего предстоящего функционирования даже в наиболее экономически
развитых странах. Реально функционирующий рынок формирует в силу своего
несовершенства неадекватную ("асимметричную") информацию для
отдельных его участников о перспективах развития организации. Это, в свою
очередь, порождает неравнозначную оценку предстоящего уровня доходности и риска
ее деятельности, а соответственно и условия оптимизации структуры капитала.
Асимметричность информации проявляется в том, что менеджеры организации
получают более полную информацию по рассматриваемому аспекту, чем его инвесторы
и кредиторы. Если бы последние располагали такой же полной информацией, что и
менеджеры организации, они имели бы возможность более правильно оптимизировать
структуру капитала в соответствии с реальным финансовым состоянием организации
и перспективами ее развития.
Теория сигнализирования ("сигнальная теория"), являясь
логическим развитием теории асимметричной информации, основывается на том, что
рынок капитала посылает инвесторам и кредиторам соответствующие сигналы о
перспективах развития организации на основе поведения менеджеров на этом рынке.
При благоприятных перспективах развития менеджеры будут стараться удовлетворять
дополнительную потребность в капитале за счет привлечения заемных финансовых
средств (в этом случае ожидаемый дополнительный доход будет принадлежать
исключительно прежним собственникам и создаст условия для существенного роста
рыночной стоимости организации). При неблагоприятных перспективах развития
менеджеры будут стараться удовлетворить дополнительную потребность в финансовых
ресурсах за счет привлечения собственного капитала из внешних источников, т. е.
за счет расширения круга инвесторов, что позволит разделить с ними сумму
предстоящих убытков. Теория сигнализирования в условиях асимметричной
информации позволяет инвесторам и кредиторам лучше обосновывать свои решения о
предоставлении капитала организации (хотя и с определенным "лагом
запаздывания"), что отражается соответствующим образом на формировании его
структуры.
Теория мониторинговых затрат ("теория затрат на осуществление
контроля") базируется на различии интересов и уровня информированности
собственников и кредиторов организации. Кредиторы, предоставляя ей капитал, в
условиях асимметричной информации требуют реализации возможности осуществления
собственного контроля за эффективностью его использования и обеспечением возврата.
Затраты по осуществлению такого контроля кредиторы стараются переложить на
собственников организации путем их включения в ставку процента за кредит. Чем
выше удельный вес заемного капитала, тем выше уровень таких мониторинговых
затрат. Иными словами, мониторинговые затраты (как и издержки банкротства)
имеют тенденцию к увеличению с ростом удельного веса заемного капитала, что
приводит к росту средневзвешенной цены капитала, а соответственно и снижению
рыночной стоимости организации. Следовательно, наличие мониторинговых затрат
ограничивает эффективность использования заемного капитала и должно обязательно
учитываться в процессе оптимизации его структуры.
2. СОДЕРЖАНИЕ
И ПРИМЕНЕНИЕ МЕТОДА ОПТИМИЗАЦИИ СТРУКТУРЫ КАПИТАЛА ПРЕДПРИЯТИЯ НА ОСНОВЕ
КРИТЕРИЯ МАКСИМИЗАЦИИ РЕНТАБЕЛЬНОСТИ СОБСТВЕННОГО КАПИТАЛА
2.1 Содержание метода оптимизации структуры капитала на основе
критерия максимизации рентабельности собственного капитала
Оптимизация структуры капитала является одной из наиболее важных и
сложных задач, решаемых в процессе управления его формированием при создании
предприятия. Процесс оптимизации структуры капитала предприятия осуществляется
по следующим этапам.
. Анализ капитала предприятия. Основной целью этого анализа является
выявление тенденций динамики объема и состава капитала в предплановом периоде и
их влияния на финансовую устойчивость, и эффективность использования капитала.
На второй стадии анализа рассматривается система коэффициентов финансовой
устойчивости предприятия, определяемая структурой его капитала.
Анализ финансовой устойчивости предприятия позволяет оценить степень
стабильности его финансового развития и уровень финансовых рисков, генерирующих
угрозу его банкротства.
На третьей стадии анализа оценивается эффективность использования капитала
в целом и отдельных его элементов.
. Существует ряд объективных и субъективных факторов, учет которых
позволяет целенаправленно формировать структуру капитала, обеспечивая условия
наиболее эффективного его использования на каждом конкретном предприятии.
Основными из этих факторов являются:
отраслевые особенности операционной деятельности предприятия.
стадия жизненного цикла предприятия.
конъюнктура товарного рынка.
конъюнктура финансового рынка.
уровень рентабельности операционной деятельности.
коэффициент операционного левериджа.
отношение кредиторов к предприятию.
уровень налогообложения прибыли.
финансовый менталитет собственников и менеджеров предприятия.
уровень концентрации собственного капитала.
. Оптимизация структуры капитала по критерию максимизации уровня
рентабельности собственного капитала. Для проведения таких оптимизационных
расчетов используется механизм финансового левериджа.
. Оптимизация структуры капитала по критерию минимизации его стоимости.
Процесс этой оптимизации основан на предварительной оценке стоимости
собственного и заемного капитала при разных условиях его привлечения и
осуществлении многовариантных расчетов средневзвешенной стоимости капитала.
. Оптимизация структуры капитала по критерию минимизации уровня
финансовых рисков. Учет фактора риска в процессе управления капитала
предприятия сопровождает подготовку практически всех управленческих решений.
Концепция учета фактора риска состоит в объективной оценке его уровня с целью
обеспечения формирования необходимого уровня доходности финансовых операций,
связанных с использованием капитала, и разработки системы мероприятий,
минимизирующих его негативные финансовые последствия для хозяйственной
деятельности предприятия.
. Формирование показателя целевой структуры капитала. Процесс оптимизации
предполагает установление целевой структуры капитала. Под целевой структурой
капитала понимается соотношение собственных и заемных финансовых средств
предприятия, которое позволяет в полной мере обеспечить достижение избранного
критерия ее оптимизации. Конкретная целевая структура капитала обеспечивает
заданный уровень доходности и риска в деятельности предприятия, минимизирует
средневзвешенную его стоимость или максимизирует рыночную стоимость
предприятия. Показатель целевой структуры капитала предприятия отражает
финансовую идеологию его собственников или менеджеров и входит в систему
стратегических целевых нормативов его развития.
Одна из главных задач формирования капитала - оптимизация его структуры с
учетом заданного уровня его доходности и риска - реализуется разными методами.
Одним из основных механизмов реализации этой задачи является финансовый
левериджа.
Финансовый леверидж характеризует использование предприятием заемных
средств, которое влияет на изменение коэффициента рентабельности собственного
капитала. Иными словами, финансовый леверидж представляет собой объективный
фактор, возникающий с появлением заемных средств в объеме используемого
предприятием капитала, позволяющий ему получить дополнительную прибыль на
собственный капитал.
Показатель, отражающий уровень дополнительно генерируемой прибыли на
собственный капитал при различной доле использования заемных средств,
называется эффектом финансового левериджа. Он рассчитывается по следующей
формуле:
EFL =
(1-T)×(ROE-Rt)×D/E,
где EFL - эффект финансового левериджа, заключающийся в приросте
коэффициента рентабельности собственного капитала, %;- ставка налога на
прибыль;- рентабельность собственного капитала (отношение чистой прибыли к
величине собственного капитала), %;- средняя расчётная ставка процента по
ссудам и займам, %;-заемный капитал предприятия, д.е.;-собственный капитал
предприятия, д.е.
В данной формуле можно выделить три основные составляющие:
. Налоговый корректор финансового левериджа (1 - T), который показывает в
какой степени проявляется эффект финансового левериджа в связи с различным
уровнем налогообложения прибыли.
. Дифференциал финансового левериджа (ROE-Rt), который характеризует
разницу между коэффициентом валовой рентабельности активов и средним размером
процента за кредит.
. Коэффициент финансового левериджа (D/E), который характеризует сумму
заемного капитала, используемого предприятием, в расчете на единицу
собственного капитала.
Выделение этих составляющих позволяет целенаправленно управлять эффектом
финансового левериджа в процессе финансовой деятельности предприятия.
Налоговый корректор финансового левериджа практически не зависит от
деятельности предприятия, так как ставка налога на прибыль устанавливается
законодательно. Вместе с тем, в процессе управления финансовым левериджем
дифференцированный налоговый корректор может быть использован в следующих
случаях:
а) если по различным видам деятельности предприятия установлены
дифференцированные ставки налогообложения прибыли;
б) если по отдельным видам деятельности предприятие использует налоговые
льготы по прибыли;
в) если отдельные дочерние фирмы предприятия осуществляют свою
деятельность в свободных экономических зонах своей страны, где действует
льготный режим налогообложения прибыли;
г) если отдельные дочерние фирмы предприятия осуществляют свою
деятельность в государствах с более низким уровнем налогообложения прибыли.
В этих случаях, воздействуя на отраслевую или региональную структуру
производства (а соответственно и на состав прибыли по уровню ее налогообложения),
можно снизив среднюю ставку налогообложения прибыли повысить воздействие
налогового корректора финансового левериджа на его эффект (при прочих равных
условиях).
Дифференциал финансового левериджа является главным условием, формирующим
положительный эффект финансового левериджа. Этот эффект проявляется только в
том случае, если уровень валовой прибыли, генерируемой активами предприятия,
превышает средний размер процента за используемый кредит (включающий не только
его прямую ставку, но и другие удельные расходы по его привлечению, страхованию
и обслуживанию), т.е. если дифференциал финансового левериджа является
положительной величиной. Чем выше положительное значение дифференциала
финансового левериджа, тем выше при прочих равных условиях будет его эффект.
В связи с высокой динамичностью этого показателя он требует постоянного
мониторинга в процесс управления эффектом финансового левериджа. Этот динамизм
обусловлен действием ряда факторов. Прежде всего, в период ухудшения
конъюнктуры финансового рынка (в первую очередь, сокращения объема предложения
на нем свободного капитала) стоимость заемных средств может резко возрасти,
превысив уровень валовой прибыли, генерируемой активами предприятия. Кроме
того, снижение финансовой устойчивости предприятия в процессе повышения доли
используемого заемного капитала приводит к увеличению риска его банкротства,
что вынуждает кредиторов увеличивать уровень ставки процента за кредит с учетом
включения в нее премии за дополнительный финансовый риск. При определенном
уровне этого риска (а соответственно и уровне общей ставки процента за кредит)
дифференциал финансового левериджа может быть сведен к нулю (при котором
использование заемного капитала не даст прироста рентабельности собственного
капитала) и даже иметь отрицательную величину (при которой рентабельность
собственного капитала снизится, так как часть чистой прибыли, генерируемой
собственным капиталом, будет уходить на обслуживание используемого заемного
капитала по высоким ставкам процента).
Наконец, в период ухудшения конъюнктуры товарного рынка сокращается объем
реализации продукции, а соответственно и размер валовой прибыли предприятия от
операционной деятельности. В этих условиях отрицательная величина дифференциала
финансового левериджа может формироваться даже при неизменных ставках процента
за кредит за счет снижения коэффициента валовой рентабельности активов.
Формирование отрицательного значения дифференциала финансового левериджа
по любой из вышеперечисленных причин всегда приводит к снижению коэффициента
рентабельности собственного капитала. В этом случае использование предприятием
заемного капитала дает отрицательный эффект.
Коэффициент финансового левериджа является тем рычагом, который
мультиплицирует (пропорционально мультипликатору или коэффициенту изменяет)
положительный или отрицательный эффект, получаемый за счет соответствующего
значения его дифференциала. При положительном значении дифференциала любой
прирост коэффициента финансового левериджа будет вызывать еще больший прирост
коэффициента рентабельности собственного капитала, а при отрицательном значении
дифференциала прирост коэффициента финансового левериджа будет приводить к еще
большему темпу снижения коэффициента рентабельности собственного капитала.
Иными словами, прирост коэффициента финансового левериджа мультиплицирует еще
больший прирост его эффекта (положительного или отрицательного в зависимости от
положительной или отрицательной величины дифференциала финансового левериджа).
Аналогично снижение коэффициента финансового левериджа будет приводить к
обратному результату, снижая в еще большей степени его положительный или
отрицательный эффект.
Таким образом, при неизменном дифференциале коэффициент финансового
левериджа является главным генератором как возрастания суммы и уровня прибыли
на собственный капитал, так и финансового риска потери этой прибыли.
Аналогичным образом, при неизменном коэффициенте финансового левериджа
положительная или отрицательная динамика его дифференциала генерирует как
возрастание суммы и уровня прибыли на собственный капитал, так и финансовый
риск ее потери.
Знание механизма воздействия финансового левериджа на уровень
прибыльности собственного капитала и уровень финансового риска позволяет
целенаправленно управлять как стоимостью, так и структурой капитала
предприятия.
Теперь мы можем сформулировать некоторые правила, связанные с эффектом
финансового рычага.
. Дифференциал ЭФР должен быть положительным. Предприниматель имеет
определенные рычаги воздействия на дифференциал, однако такое влияние
ограничено возможностями наращивания эффективности производства.
. Дифференциал финансового рычага - это важный информационный импульс не
только для предпринимателя, но и для банкира, так как он позволяет определить
уровень (меру) риска предоставления новых займов предпринимателю. Чем больше
дифференциал, тем меньше риск для банкира, и наоборот.
. Плечо финансового рычага несет принципиальную информацию как для
предпринимателя, так и для банкира. Большое плечо означает значительный риск
для обоих участников экономического процесса.
Таким образом, мы можем утверждать, что эффект финансового рычага
позволяет определять и возможности привлечения заемных средств для повышения
рентабельности собственных средств, и связанный с этим финансовый риск.
Сформулированные выше правила позволяют фирме конкретно решать проблему
определения величины возможного привлечения кредитов и займов.
2.2 Практика применения метода оптимизации структуры капитала на
основе критерия максимизации рентабельности собственного капитала в российских
условиях на примере ОАО «Сильвенит»
Для оценки и определения оптимальной структуры капитала предприятия
следует определить фактическое соотношение собственного и заёмного капитала,
определить среднюю расчётную ставку процента за пользование заёмным капиталом
предложить возможные варианты структуры и ставки процента. Результаты приведены
в табл. 2.1.
Очевидно, что данный эффект возникает из расхождения между рентабельность
активов и «ценой» заемного капитала, т.е. средней банковской ставкой. Другими
словами, предприятие должно предусмотреть такую рентабельность активов, чтобы
денежных средств было достаточно на уплату процентов за кредит и уплату налога
на прибыль.
Следует иметь ввиду, что средняя расчетная ставка процента не совпадает с
процентной ставкой, принимаемой по условиям кредитного договора.
Среднюю расчетную ставку за кредит устанавливают по формуле:
Rt = (In/D)×100
где Rt - средняя расчетная ставка за кредит;- фактические финансовые
издержки по всем полученным кредитам за расчетный период (сумма уплаченных
процентов);
Таблица 2.1
Исходные данные для анализа структуры капитала ОАО «Сильвенит» методом
максимизации ROE.
|
Показатель
|
Доля заёмного капитала
|
|
20%
|
30% (факт по балансу)
|
50%
|
70%
|
|
1
|
2
|
3
|
4
|
5
|
|
1.Собственный капитал (ф.
№1, с. 490), тыс. руб.
|
41806008,8
|
37595829
|
26128755,5
|
15677253,3
|
|
2.Заёмный капитал, тыс.
руб.
|
10451502,2
|
14561682
|
26128755,5
|
36580257,7
|
|
3.Общая сумма капитала,
тыс. руб.
|
52257511
|
|
4.Расходы за пользование
заёмным капиталом
|
|
|
4.1.Средняя расчётная
ставка процента, %
|
4
|
6,12
|
10
|
20
|
|
4.2.Сумма (стр. 2 × стр. 4.1 : 100%), тыс. руб.
|
418060
|
891955
|
2612875,55
|
7316051,54
|
|
5.Коэффициент задолженности
|
0,25
|
0,39
|
1
|
2,33
|
Финансовый леверидж характеризует использование предприятием заемных
средств, которое влияет на изменение рентабельности собственного капитала.
Таблица 2.2
Анализ эффекта финансового левериджа ОАО «Сильвенит»
|
Показатель
|
Изменение рентабельности
собственного капитала в зависимости от различной структуры капитала
|
|
-10%
|
20%
|
+10%
|
-10%
|
30%
|
+10%
|
-10%
|
50%
|
+10%
|
-10%
|
70%
|
+10%
|
|
1
|
2
|
3
|
4
|
5
|
6
|
7
|
8
|
9
|
10
|
11
|
12
|
13
|
|
Прибыль до выплаты
процентов и налогов (EBIT), тыс. руб.
|
11865941,1
|
13184379
|
14502816,9
|
11865941,1
|
13184379
|
14502816,9
|
11865941,1
|
13184379
|
14502816,9
|
11865941,1
|
13184379
|
14502816,9
|
|
Уплаченные проценты, тыс.
руб.
|
418060
|
418060
|
418060
|
891955
|
891955
|
891955
|
2612875,5
|
2612875,5
|
2612875,5
|
7316051,54
|
7316051,54
|
7316051,54
|
|
Налогооблагаемая прибыль,
тыс. руб.
|
11447881,1
|
12766319
|
14084756,9
|
10973986,1
|
12292424
|
13610861,9
|
9253065,6
|
10571503,5
|
11889941,4
|
4549889,56
|
5868327,46
|
7186765,36
|
|
Налог на прибыль, тыс. руб.
(20%)
|
2289576,22
|
2553263,8
|
2816951,38
|
2194797,22
|
2458484,8
|
2722172,38
|
1850613,12
|
2114300,7
|
2377988,28
|
909977,9
|
1173665,3
|
1437353,07
|
|
Чистая прибыль (NP),
тыс. руб.
|
9158364,88
|
10213055,2
|
11267805,52
|
9833939,2
|
10888689,52
|
7402452,48
|
8457202,8
|
9511953,12
|
3639911,66
|
4694662,16
|
5749412,29
|
|
Рентабельность собственного
капитала (ROE), %
|
21,91
|
24,42
|
26,95
|
23,35
|
26,16
|
28,96
|
28,33
|
32,36
|
36,4
|
23,22
|
29,35
|
36,67
|
|
Уровень финансового рычага,
коэфф.
|
|
1,03
|
|
|
1,07
|
|
|
1,25
|
|
|
2,25
|
|
|
Изменение EBIT,
%
|
-10
|
|
+10
|
-10
|
|
+10
|
-10
|
|
+10
|
-10
|
|
+10
|
|
Изменение NP,
%
|
-10,33
|
|
+10,33
|
-10,72
|
|
+10,72
|
-12,47
|
|
+12,47
|
-22,47
|
|
+22,47
|
|
Размах ROE
|
|
5,04
|
|
|
5,61
|
|
|
8,07
|
|
|
13,45
|
|
|
EFL, %
|
|
4,08
|
|
|
6,25
|
|
|
17,89
|
|
|
18,58
|
|
Иными словами, финансовый леверидж представляет собой объективный фактор,
возникающий с появлением заемных средств в объеме используемого предприятием
капитала, позволяющий ему получить дополнительную прибыль на собственный
капитал.
Для анализа эффекта финансового левериджа ОАО «Сильвенит» необходимо
поэтапно рассчитать налогооблагаемую прибыль, налог на прибыль, чистую прибыль,
рентабельность собственного капитала для каждого варианта структуры капитала, а
так же оценить уровень финансового риска.
Расчёт значения ЭФЛ будет проводится по формуле (1). Результаты анализа
приведены в табл. 2.2.
В результате анализа данных табл. 2.2. получили, что из всех вариантов
структуры максимальное значение рентабельности собственного капитала
достигается в третьем случае, т.е. при доле заёмного капитала пятьдесят
процентов. Рентабельность собственного капитала составит 32,36%. Данный вариант
финансирования можно охарактеризовать ещё по нескольким показателям:
- чистая прибыль меньше на 1376736,4 тыс. руб. чем при исходной
структуре капитала;
- прирост рентабельности составил 6,2%;
- прирост уровня финансового рычага составил 0,18;
Можно сделать вывод, что третий вариант финансирования при EBIT = 13184379 тыс. руб. является
оптимальным. Это утверждение следует из того, что:
- обеспечивает максимальное значение ROE = 32,36%;
- уровень финансового риска и объем чистой прибыли сопоставимы
с соответствующими значениями при меньшей доле заёмного капитала.
3. СОДЕРЖАНИЕ
И ПРИМЕНЕНИЕ МЕТОДА ОПТИМИЗАЦИИ СТРУКТУРЫ КАПИТАЛА ПРЕДПРИЯТИЯ НА ОСНОВЕ
АНАЛИЗА ЗАВИСИМОСТИ «EBIT-EPS» («EBIT-ROE»)
.1 Содержание метода оптимизации структуры капитала на основе
анализа зависимости «EBIT-EPS» («EBIT-ROE»)
Даже в условиях ограниченных возможностей российского финансового рынка у
финансового менеджера есть определенные альтернативы в поиске источников
финансирования для своей организации. Принимая решения по структуре капитала,
финансовый менеджер руководствуется двумя критериями; минимизация
средневзвешенной цены капитала и максимизация дохода, приходящегося на одну
акцию. Доход на акцию (EPS) рассчитывается по формуле:

где
EBIT - прибыль до выплаты процентов и налогов, д.е.;
In - проценты по
заемным средствам, относимые на затраты, д.е.;
Т
- ставка налогообложения прибыли, коэфф.;
Dp - дивиденды,
выплачиваемые по привилегированным акциям, д.е.;
n - количество
размещенных обыкновенных акций.
Рассмотрим
график зависимости средневзвешенной цены капитала от структуры источников
средств
Как
видно из графика, цена заемных и собственных средств растет с увеличением доли
заемных средств в пассивах. Средневзвешенная цена сначала падает, а затем
начинает расти. Следовательно, существует самая «низкая» точка на графике WACC,
опустив перпендикуляр из которой на ось X, мы получим оптимальную структуру
капитала.
Рис. 3.1. График зависимости средневзвешенной цены капитала от структуры
источников средств
Кривая WACC имеет форму, похожую на чашу, без четко очерченной точки
минимума. Таким образом, относительно небольшое отклонение от оптимальной
структуры капитала не будет оказывать значительного влияния на величину WACC.
Следовательно, финансовые менеджеры имеют свободу «маневра» в управлении
структурой капитала, которая необходима в условиях меняющейся конъюнктуры
финансового рынка.
Кроме графического метода, можно использовать метод EBIT- EPS, который
позволяет менеджерам оценивать альтернативные финансовые проекты. Этот метод
основан на определении точек равновесия, т.е. таких значений EBIT, при которых
EPS будет иметь одну и ту же величину, независимо от выбранной схемы
финансирования.
Суть модели EBIT-EPS заключается в выборе такого источника ресурсов,
который обеспечит максимальную величину дохода на одну акцию (EPS) при
неизменной величине прибыли от операционной деятельности (EBIT).
Для этого первым делом определяется сумма необходимых предприятию
ресурсов, устанавливаются проценты, которые предприятие готово уплатить за
долговые обязательства.
После чего рассматривается движение денежных потоков от операционной
прибыли до выплаты дивидендов по каждому варианту и затем по ним рассчитывается
показатель EPS.
На следующем этапе строится график, на котором по оси Х откладываются
значения EBIT, а по оси У - значения EPS. На данном графике обозначаются
значения полученных вычислений по каждому из возможных источников привлечения
ресурсов.
Точка равновесия между любыми двумя способами финансирования может быть
определена нахождением значения EBIT из следующего уравнения:

где
EBIT - прибыль до выплаты процентов и налогов, д.е.;
In - проценты по
заемным средствам, относимые на затраты, д.е.;
Т
- ставка налогообложения прибыли, коэфф.;
Dp - дивиденды,
выплачиваемые по привилегированным акциям, д.е.;
Е1
- величина собственного капитала при первом способе финансирования;
Е2
- количество обыкновенных акций при втором способе финансирования.
Метод «EBIT-ROE» является частным случаем метода «EBIT-EPS». Для анализа в данном методе вместо
прибыли на одну акцию (EPS)
используется рентабельность собственного капитала (ROE).
Логика построения данной модели основана на том, что рентабельность
собственного капитала определяется не только собственным капиталом, но и
заемным. Таким образом, для выявления степени влияния заемного капитала на
показатель рентабельности собственного капитала необходимо разделить
рентабельность собственного капитала на две части: нарабатываемую им самим и
нарабатываемую заемным капиталом. При этом вторая составляющая может быть
отрицательной. Тогда использование заемного капитала для компании невыгодно -
полученная прибыль не покрывает финансовых затрат на обслуживание долга.
Построение данной зависимости с математической точки зрения связано с
преобразованием формулы рентабельности собственного капитала с учетом
использования заемных средств.

Графическая
интерпретация зависимости рентабельности собственного капитала и прибыли до
уплаты процентов и налога на прибыль представлена на рис. 3.3.
Первая
ситуация ˗ использование заемного капитала наряду с собственным дает
увеличение чистой прибыли в расчете на одну обыкновенную акцию и приращение
рентабельности собственного капитала.
Вторая
ситуация - использование заемного капитала не изменяет финансового результата,
т.е. компании безразлично, что использовать - заемный или собственный капитал.
Рис. 3.3. График зависимости рентабельности собственного капитала и прибыли
до уплаты процентов и налога на прибыль
Третья ситуация - использование заемного капитала приводит к снижению
чистой прибыли в расчете на одну обыкновенную акцию и рентабельности
собственного капитала.
Четвертая ситуация ˗ использование заемного капитала обходится
компании так дорого, что полученная прибыль не покрывает процентов и она терпит
убытки.
Графически определение оптимальной финансовой структуры капитала
представлено на рис. 3.4.
Анализ оптимальной структуры капитала основан на расчете двух показателей:
точки безразличия и финансовой критической точки. Точка безразличия
характеризует такую прибыль, при которой рентабельность собственного капитала и
чистая прибыль на акцию не изменяются при использовании заемного капитала. Это
возможно, когда ЭФР равен нулю, то есть экономическая рентабельность равна
средней расчетной ставке процента.
Рис. 3.4. Определение оптимальной структуры капитала
Для определения точки безразличия и финансовой критической точки рассматриваются
два варианта финансирования: смешанная схема финансирования и финансирование
только за счет собственного капитала (рис. 3.4.).
Точка безразличия (ТБ) характеризует такую величину прибыли до уплаты
процентов и налогов (Пр), при которой в заданных условиях рентабельность
собственного капитала одинакова как при смешанной схеме финансирования, так и
при использовании только собственного капитала. Финансовая критическая точка
(ФКТ) характеризует ситуацию, при которой прибыль до уплаты процентов и налогов
(Пр) у компании есть, а рентабельность собственного капитала равна нулю. Это
возможно в случае, если нарабатываемой компанией прибыли хватает только на
покрытие процентов (финансовых издержек).
Рассмотрим четыре возможные ситуации определения оптимальной структуры
капитала.
Первая ситуация (1) на графике соответствует лучу, идущему вправо от
точки безразличия, т.е., если компания нарабатывает прибыль до уплаты процентов
и налогов больше, чем в точке безразличия, у нее ЭФР' положителен и ей выгоднее
использовать заемный капитал для повышения рентабельности собственных средств.
Вторая ситуация (2) соответствует точке безразличия.
Третья (3) - характеризуется отрезком от точки безразличия до финансовой
критической точки. Здесь нарабатываемой прибыли хватает на покрытие процентов,
уплаты налогов и формирование чистой прибыли. Однако при использовании
смешанной схемы финансирования происходит снижение рентабельности собственного
капитала по сравнению с финансированием за счет собственных средств и
5ФР'отрицательный.
Четвертая ситуация (4) соответствует отрезку от финансовой критической
точки до начала координат. Нарабатываемой прибыли здесь не хватает даже на
покрытие финансовых издержек, и компания терпит чистые убытки, имея
положительную прибыль до уплаты процентов и налогов.
3.2 Практика применения метода оптимизации структуры капитала на
основе анализа зависимости «EBIT-EPS» («EBIT-ROE») в
российских условиях на примере ОАО «Сильвенит»
Метод EBIT- ROE позволяет
оценивать альтернативные финансовые проекты. Этот метод основан на определении
точек равновесия, т.е. таких значений прибыли от операционной деятельности
(EBIT), при которых рентабельности собственного капитала (ROE) будет иметь одну
и ту же величину, независимо от выбранной схемы финансирования.
Суть модели EBIT - ROE заключается в выборе такого источника ресурсов,
который обеспечит максимальную величину рентабельности собственного капитала
при неизменной величине прибыли от операционной деятельности.
В табл. 3.1 приведены данные, используемые в данном методе анализа.
Таблица 3.1
Исходные данные для анализа структуры капитала ОАО «Сильвенит» методом
анализа зависимости «EBIT-ROE»
|
Показатель
|
Доля заёмного
капитала
|
|
20%
|
30%
|
50%
|
70%
|
|
1
|
2
|
3
|
4
|
5
|
|
1.Прибыль до выплаты
процентов и налогов (EBIT), ты с. руб.
|
13184379
|
13184379
|
13184379
|
13184379
|
|
2.Уплаченные проценты, тыс.
руб.
|
418060
|
891955
|
2612875,5
|
7316051,54
|
|
3.Налогооблагаемая прибыль,
тыс. руб.
|
12766319
|
12292424
|
10571503,5
|
5868327,46
|
|
4.Налог на прибыль, тыс.
руб. (20%)
|
2553263,8
|
2458484,8
|
2114300,7
|
1173665,3
|
|
5.Чистая прибыль (NP), тыс.
руб
|
10213055,2
|
9833939,2
|
8457202,8
|
4694662,16
|
|
6.Собственный капитал (ф.
№1, с. 490), тыс. руб
|
41806008,8
|
37595829
|
26128755,5
|
15677253,3
|
|
7.Рентабельность
собственного капитала (ROE), %
|
24,42
|
26,16
|
32,36
|
29,35
|
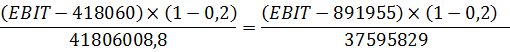
Рассчитаем точки равновесия для различных вариантов структуры капитала по
данным табл.
3.1. Для расчётов будет использована формула (3)
1) Первая точка равновесия между вариантами I-II
Получаем EBIT = 5123716,168
тыс. руб.
2) Вторая точка равновесия между вариантами I-III
Получаем EBIT = 6270901,467
тыс. руб.
3) Третья точка равновесия между вариантами I-IV
Получаем EBIT = 11454846,46 тыс. руб.
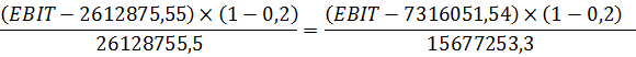
4) Четвёртая точка равновесия между вариантами II-III
Получаем EBIT = 6534147,38 тыс. руб.
5) Пятая точка равновесия между вариантами II-IV
Получаем EBIT = 11910884,25 тыс. руб.
6) Шестая точка равновесия между вариантами III-IV
Получаем EBIT = 14370815,53 тыс. руб.
Полученные данные представим в графическом выражении на рис. 3.5.
Рис. 3.5. Зависимость рентабельности собственного капитала и операционной
прибыли
Выводы: 1) При уровне EBIT выше 5123716,168 тыс. руб.. 2-й вариант
финансирования с долей заемного капитала 30% лучше, чем 1-й вариант
финансирования с долей заемного капитала 20%. Если EBIT ниже 5123716,168 тыс.
руб., то будет действовать обратная зависимость.
) При уровне EBIT выше 6270901,467 тыс. руб. 3-й вариант
финансирования с долей заемного капитала 50% лучше, чем 1-й вариант
финансирования с долей заемного капитала 20%. Если EBIT ниже 6270901,467 тыс.
руб., то будет действовать обратная зависимость.
) При уровне EBIT выше 11454846,46 тыс. руб. 4-й вариант
финансирования с долей заемного капитала 70% лучше, чем 1-й вариант
финансирования с долей заемного капитала 20%. Ниже этой точки равновесия будет
действовать обратная зависимость.
) При уровне EBIT выше 6534147,38 тыс. руб.. 3-й вариант
финансирования с долей заемного капитала 50% лучше, чем 2-й вариант
финансирования с долей заемного капитала 30%. Ниже этой точки равновесия будет
действовать обратная зависимость.
) При уровне EBIT выше 11910884,25 тыс. руб. 4-й вариант
финансирования с долей заемного капитала 70% лучше, чем 2-й вариант
финансирования с долей заемного капитала 30%. Ниже этой точки равновесия будет
действовать обратная зависимость.
) При уровне EBIT выше 14370815,53 тыс. руб. 4-й вариант
финансирования с долей заемного капитала 70% лучше, чем 3-й вариант
финансирования с долей заемного капитала 50%. Ниже этой точки равновесия будет
действовать обратная зависимость.
) При фактическом уровне EBIT = 13184379 тыс. руб. исходя из
графика видно, что 3-й вариант финансирования с долей заемного капитала 50%
лучше, чем остальные три варианта финансирования, т.к. 3-й вариант обеспечивает
максимальную рентабельность собственного капитала (32,36%). На втором месте
находится 4-й вариант финансирования (ROE = 29,35%). Однако, необходимо учесть
факт, что при небольших различиях в полученном значении ROE между 4-ым и 2-ым вариантами
финансирования (3%), четвёртый вариант является значительно более рисковый.
Поэтому с учётом всех показателей на второе место можно отнести второй вариант
финансирования.
ЗАКЛЮЧЕНИЕ
Капитал - это свободное от обязательств имущество организации, тот
стратегический резерв, который создает условия для ее развития, при
необходимости адсорбирует убытки и является одним из важнейших ценообразующих
факторов, когда речь идет о цене самой организации, под капиталом могут также
пониматься долгосрочные пассивы.
Капитал всякого предприятия может быть представлен двумя составляющими:
собственными и заемными средствами.
Функции капитала
) Капитал - производственный ресурс
2) Капитал - объект собственности и распоряжения.
3) Капитал - часть финансовых ресурсов
4) Капитал - источник дохода
5) Капитал - объект временного предпочтения
6) Капитал - объект купли-продажи
7) Капитал - носитель фактора риска
8) Капитал - носитель фактора ликвидности
Формирование оптимальной структуры капитала неразрывно связано с учетом
особенностей каждой из его составных частей. Собственный капитал
характеризуется следующими основными положительными особенностями: простотой
привлечения; более высокой способностью генерирования прибыли во всех сферах
деятельности; обеспечением финансовой устойчивости развития предприятия, его
платежеспособности в долгосрочном периоде, а соответственно, и снижением рынка
банкротства. Вместе с тем, ему присущи следующие недостатки: ограниченность
привлечения; высокая стоимость в сравнении с альтернативными заемными
источниками формирования капитала; неиспользуемая возможность прироста коэффициента
рентабельности собственного капитала за счет привлечения заемных финансовых
средств.
Заемный капитал характеризуется следующими положительными особенностями:
достаточно широкими возможностями привлечения; обеспечением роста финансового
потенциала предприятия при необходимости существенного расширения его активов и
возрастания темпов роста объема его хозяйственной деятельности; более низкой
стоимостью в сравнении с собственным капиталом за счет обеспечения эффекта
”налогового счета”; способностью генерировать прирост финансовой рентабельности
(коэффициента рентабельности собственного капитала). В то же время
использование заемного капитала имеет следующие недостатки: возрастает риск
неплатежеспособности; активы, сформированные за счет заемного капитала, формируют
меньшую (при прочих равных условиях) норму прибыли, которая снижается на сумму
выплачиваемого ссудного процента во всех его формах; высокая зависимость
стоимости заемного капитала от колебаний конъюнктуры финансового рынка;
сложность процедуры его привлечения.
При формировании структуры капитала одной из важнейших проблем является
проблема оптимального соотношения собственных и заемных средств.
Теории структуры капитала:
˗ традиционалистской концепцией структуры капитала;
˗ концепцией индифферентности структуры капитала;
˗ компромиссной концепцией структуры капитала;
˗ концепцией противоречия интересов формирования структуры
капитала.
Одна из главных задач формирования капитала - оптимизация его структуры с
учетом заданного уровня его доходности и риска - реализуется разными методами.
Одним из основных механизмов реализации этой задачи является финансовый
левериджа.
Финансовый леверидж характеризует использование предприятием заемных
средств, которое влияет на изменение коэффициента рентабельности собственного
капитала. Иными словами, финансовый леверидж представляет собой объективный
фактор, возникающий с появлением заемных средств в объеме используемого
предприятием капитала, позволяющий ему получить дополнительную прибыль на
собственный капитал.
Показатель, отражающий уровень дополнительно генерируемой прибыли на
собственный капитал при различной доле использования заемных средств,
называется эффектом финансового левериджа.
Суть модели EBIT-ROE
заключается в выборе такого источника ресурсов, который обеспечит максимальную
величину рентабельности собственного капитала (ROE) при неизменной величине прибыли от операционной
деятельности (EBIT).
По состоянию на 31.12.2009 объём собственного капитал составил 37595829
тыс. руб. (70%), объем заёмного капитала составил 14561682 тыс. руб. (30%).
На основании анализа методом максимизации рентабельности собственного
капитала можно сделать вывод, что третий вариант финансирования при EBIT = 13184379 тыс. руб. является
оптимальным. Это утверждение следует из того, что:
- обеспечивает максимальное значение ROE = 32,36%;
- уровень финансового риска и объем чистой прибыли сопоставимы
с соответствующими значениями при меньшей доле заёмного капитала.
На основании анализа зависимости «EBIT-ROE»
можно сделать вывод:
При фактическом уровне EBIT = 13184379 тыс. руб. исходя из графика видно,
что 3-й вариант финансирования с долей заемного капитала 50% лучше, чем
остальные три варианта финансирования, т.к. 3-й вариант обеспечивает
максимальную рентабельность собственного капитала (32,36%). На втором месте
находится 4-й вариант финансирования (ROE = 29,95%). Однако, необходимо учесть
факт, что при небольших различиях в полученном значении ROE между 4-ым и 2-ым вариантами
финансирования (3%), четвёртый вариант является значительно более рисковый.
Поэтому с учётом всех показателей на второе место можно отнести второй вариант
финансирования.
На основании анализа структуры капитала двумя методами можно сделать
вывод, что оптимальным будет
капитал оптимизация
структура
СПИСОК
ИСПОЛЬЗОВАННЫХ ИСТОЧНИКОВ
1. Гаврилова
А.Н. Финансы организаций (предприятий) : учебное пособие / А.Н. Гаврилова, А.А.
Попов .- 4-е изд. - М. : КноРус, 2008 .- 597 с.
2. Ткачук
М.И. Основы финансового менеджмента: учеб. пособие / М.И. Ткачук, Е.Ф.Киреева.
- 2-е изд. - М. : Книжный дом, 2005. - 416 с.
3. Бланк
И. А. Финансовый менеджмент / И. А. Бланк. - К. : «Ника-Центр», 2002. - 528 с.
4. Грачев
А.В. Рост собственного капитала, финансовый рычаг и платежеспособность
предприятия / А.В. Грачев // Финансовый менеджмент. А.В. - 2002. - №2. -
с.21-34
. Финансовый
менеджмент : учеб. пособие / А. Н. Гаврилова [и др.]. - 5-е изд. - М. : КНОРУС,
2010. - 432 с.
6. Шеремет
А.Д. Финансы предприятий: менеджмент и анализ: Учеб. пособие / А.Д. Шеремет,
А.Ф. Ионова. - М. : ИНФРА-М, 2009. - 344 с.
. Ковалев
В.В. Финансы организаций (предприятий): учеб. / В.В. Ковалев, Вит.В. Ковалев. -
М. : Проспект, 2005. - 352 с.
8. Ли
Ч.Ф., Финнерти Дж. Финансы корпораций: теория, методы и практика / Ли Ч.Ф.,
Финнерти Дж. - М. : Инфра-М, 2000. - 685 с.
9. Ковалев
В.В. Финансовый менеджмент: теория и практика / В.В. Ковалев. - М. : Проспект,
2009. - 1024 с.
10. Финансовый
менеджмент: теория и практика / Е.С. Стояновой [и др.]. - М. : Перспектива,
2003. - 656 с.
11. Ружанская
Н.В. Особенности расчета финансового рычага в Российской практике финансового
менеджмента / Н.В. Ружанская // Финансовый менеджмент. - 2005. -№6. - С. 25-31.
12. Теплова
Т.В. Финансовый менеджмент: управление капиталом и инвестициями / Т.В. Теплова.
- М. : ГУ ВШЭ, 2001. - 504 с.
13. Финансовый
менеджмент: учебник [под ред. Г.Б. Поляка]. - 2-е изд., перераб. и доп. - М. :
ЮНИТИ, 2006 - 527 с.
. Тихомиров
Е.Ф. Финансовый менеджмент / Е.Ф.
Тихомиров .- 2-е изд., - М. : Академия, 2008 .- 382 с.
15. Рудык
Н. Б. Структура капитала корпораций.
Теория и практика / Н.Б. Рудык. - М. : Дело, 2004 .- 271 с.
16. Грачев
А. В. Финансовая устойчивость
предприятия: анализ, оценка и управление / А.В. Грачев. - М. : Дело и Сервис,
2004. - 190 с.
17. Лисицина
Е.В. Оценка финансовой структуры капитала на финансовый результат деятельности
компании / Е.В. Лисицина // Финансы и кредит. - 2004. -№2. - С. 15-20.
18. Официальный
сайт ОАО «Сильвенит», финансовая отчётность
ttp://www.uralkali.com/eng/investors/financial_performance/?year=2009
Данная работа
скачена с сайта Банк рефератов #"659436.files/image019.gif">
Продолжение приложения 1

Приложение 2
Отчёт о прибылях и убытках
Продолжение приложения 2