Электрическое равновесие
Задача
На рис. 1, а приведена схема цепи. Значения ее
элементов: Е=13 В, IГ =3 А, R1=30 Ом, R2=80 Ом, R3=70 Ом, R4=60 Ом, R5=50 Ом,
R6=40 Ом, Rх=R1.
Рис. 1
Внутреннее сопротивление источника
тока RГ =100 кОм много больше остальных сопротивлений схемы, поэтому оно
практически не будет влиять на распределение токов в цепи и им можно
пренебречь. Тогда предложенная схема может быть заменена эквивалентной (рис. 1,
б) более удобной для расчетов.
Решение.
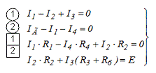
Составление уравнений электрического
равновесия цепи на основе законов Кирхгофа.
Указываем направление токов в схеме
на рис. 1, б.
Считаем количество узлов пу=3 и
количество ветвей пв=5, в том числе количество ветвей с источниками тока пт=1.
Определяем количество уравнений,
которое необходимо составить по законам Кирхгофа для токов и для напряжений:
по ЗТК nу - 1=3-1=2 ур. и
по ЗНК N= nв - (nу -1)- nт
=5-(3-1)-1=2 ур. соответственно.
Выбираем N=2 контура в схеме на рис. 1, б и
направления их обхода для составления уравнений. Учитываем, что в контур нельзя
включать ветвь с источником тока, если неизвестно напряжение на его зажимах.
Выбираем контура 1-2-3-1и 1-3-1.
Составляем систему уравнений;
Рис. 2
Расчет токов методом узловых напряжений.
Заземляем узел 3 в схеме (рис. 1, б), т. к. к
нему подходит 4 ветви.
Составляем nу -1=3-1=2 уравнения для неизвестных
напряжений в узлах 2 и 3. В канонической форме они имеют вид.
С учетом элементов цепи система
уравнений (1, а) будет иметь вид:
где
означает, что в ветви с
сопротивлением R5 включен источник тока с внутренним сопротивлением RГ=
(рис. 2,
б).
После числовых подстановок в систему
(1, б) и ее решения, получим: U3=0B, U1=-64,772B, U2=-103,181B.
Находим токи в схеме, используя одну
из форм закона Ома.
Через сопротивление R5 протекает ток
IГ =3 А.
Расчет тока в Rх=R1 методом
наложения.
Принимаем за основу токи, указанные
на рис.1, б, следовательно, рассчитываем ток I1.
Рис. 3
Составляем первую частичную схему с
источником E (рис. 2, a). Вместо источника тока показан разрыв.
На частичной схеме указываем
частичные токи и, используя формулу «разброса токов», записываем выражение для
тока

После числовых подстановок получаем
ток
Составляем вторую частичную схему,
схему с источником тока IГ (рис. 2, б). Вместо источника Е показано короткое
замыкание. На частичной схеме указываем токи и по аналогии с (2) записываем
ток:
Находим ток, проходящий через
Сравнение значений тока
в п.п. 3.4
и 2.3 позволяет говорить о правильности расчетов в разделах 2 и 3.
Определить данную величину удобно с
помощью метода эквивалентного генератора. Если всю часть схемы относительно
точек подключения сопротивления Rx=R1 (рис. 2, б) заменить эквивалентным
генератором напряжения, то получим схему, показанную на рис. 3.3. В этой схеме
максимальная мощность в сопротивлении R1 будет выделяться тогда, когда его
значение будет равно RГ - внутреннему сопротивлению эквивалентного генератора
напряжения, имеющему ЭДС ЕГ. Следовательно, решение задачи будет сводиться к
расчету ЕГ и RГ.
Рис. 4
чет ЭДС ЕГ.
Согласно теореме об эквивалентном
генераторе ЕГ=Uxx, где Uxx находится по схеме (рис.4,а).
Рис. 5
На схеме холостого хода указываются
токи и направление напряжения Uxx. Обычно направление Uxx совпадает с
направлением тока I1 в схеме на рис. 1, б. Для расчета Uxx удобно зaписать
уравнение по закону Кирхгофа: Uхх=I4R4-I2R2, а токи I2 и I4 найти любым
известным методом.
I5= IГ;+
IГ=
I4;(R2+ R3+R6)=Е;
Решив систему уравнений находим
Uхх=3,0684·60-0,0684·80=178,63 В
Расчет внутреннего сопротивления RГ.
Для этого составляется схема
пассивного двухполюсника (рис. 4, б) относительно точек подключения
сопротивления R1 и находится Rвх - входное сопротивление этого двухполюсника.
Тогда RГ = Rвх.
Очевидно, что
Расчет максимальной мощности в R1.
Максимальная мощность в R1 схеме
(рис. 1, б) будет выделяться тогда, когда R1=RГ будет равно 106,32 Ом.
Величина этой мощности может быть определена из соотношения, составленного для
схемы, изображенной на рис. 3:
Проверка баланса мощностей
При составлении баланса мощностей
учитываем, что мощности, потребляемые резистивными элементами цепи, всегда
положительны, а мощности, отдаваемые источниками энергии, определяются
алгебраическими суммами. Если направление напряжения на зажимах источника и
направление тока через источник противоположны, то мощность источника
положительна, если направления напряжения и тока совпадают, то - отрицательна.

где UГ - напряжение на зажимах источника тока.
После числовых подстановок в (4) получим, что UГ
=253,2 В.
ток уравнение напряжение генератор
Используя значения токов,
рассчитанных в разделе 2 настоящей задачи, в уравнении баланса (3.3), запишем:
,57 Вт =765, 7 Вт.
Допускается 3% несовпадения баланса.