Определение показателей эффективности долгосрочных инвестиций

  • Вид работы:
    Курсовая работа (т)
  • Предмет:
    Финансы, деньги, кредит
  • Язык:
    Русский
    ,
    Формат файла:
    MS Word
    463,03 Кб
  • Опубликовано:
    2013-07-05
Вы можете узнать стоимость помощи в написании студенческой работы.
Помощь в написании работы, которую точно примут!

Определение показателей эффективности долгосрочных инвестиций

Федеральное агентство железнодорожного транспорта

Федеральное государственное бюджетное образовательное учреждение высшего профессионального образования

Сибирский государственный университет путей сообщения

Кафедра «Менеджмент на транспорте»






 

 

Курсовой проект

 

по дисциплине: Инновационный менеджмент

тема: Определение показателей эффективности долгосрочных инвестиций










Исходные данные для решения задач (вариант - 1, задача 6 - К)

Таблица 1.1 - Поступление денежных средств по годам срока жизни инвестиционного проекта «А» млн.р.

Годы срока жизни проекта

Сумма поступающих денежных средств, млн.р.

1

320

2

400

3

560

4

700


Таблица 1.2 - Показатели инвестиционных проектов «А» и «Б»

Показатели проекта

Сумма

Первоначальные инвестиции по проекту «А», млн.р.

860

Стоимость переналадки оборудования, млн.р.

340

Первоначальные инвестиции по проекту «Б», млн.р.

1210

Ставка дисконтирования, %

16


Таблица 1.3 - Показатели инвестиционных проектов участвующих в инвестиционном конкурсе, млн.р.

Годы срока жизни проекта

Сумма

«В» - общая сумма инвестиций, в т.ч.:

1900

первоначальные вложения

800

1-й год

200

2-й год

150

3-й год

400

4-й год

300

«Г» - общая сумма инвестиций, в т.ч.:

1900

первоначальные вложения

800

1-й год

300

2-й год

400

3-й год

150

4-й год

200

«Д» - общая сумма инвестиций, в т.ч.:

2400

первоначальные вложения

600

1-й год

90

2-й год

180

3-й год

230


Определение эффективности инвестиций является из важнейших задач управления инвестициями. Любой инвестиционный проект в течении срока своей жизни проходит через несколько стадий - от выдвижения идеи до его ликвидации. В ходе проектного анализа возможны разные уровни проработки инвестиционных предложений: обоснование заявки на инвестиционный кредит; подготовка технико - экономического обоснования требуемых инвестиций; разработка бизнес - плана инвестиционного проекта.

Для каждого из уровней должна применяться принятая в мировом сообществе единообразная методика оценки эффективности инвестиционных проектов и их отбора для финансирования. Основное место в этой методике занимает финансово - экономическая оценка инвестиционного проекта.

Глава 1. Субъекты и объекты инвестиционной деятельности

Любое имущество (в том числе и деньги), а также имущественные права становятся инвестициями, тогда, когда владелец или пользователь этого имущества (имущественных прав) вкладывает их в какой-либо объект с целью получения прибыли и достижения полезного эффекта, то есть осуществляет инвестиционную деятельность. Под последней понимают вложение инвестиций и осуществление практических действий в целях получения прибыли и (или) достижения иного полезного эффекта.

Решающими факторами активизации инвестиционной деятельности являются: кардинальное улучшение инвестиционного климата, стабильность и предсказуемость условий хозяйствования инвесторов, восстановление их доверия и мотивации к вложению средств в реальный сектор экономики.

Объектами инвестиций могут быть:

• производство новых изделий (услуг) на имеющихся производственных площадях в рамках действующих производств и организаций;

• строящиеся или реконструируемые предприятия, здания, сооружения (основные фонды), предназначенные для производства новых товаров и услуг;

• комплексы строящихся или реконструируемых производств, ориентированных на выполнение некоторой программы (задачи). В этом случае объектом инвестирования могут быть программы федерального, регионального или иного уровня;

• ценные бумаги;

• экономика регионов, городов и др.

Естественно, что все эти объекты различаются по масштабам, эффективности использования вкладываемых средств, социальной значимости, степени участия государства, направленности проектов.

Специфика объектов во многом определяет и формы инвестиций:

• денежные средства и их эквиваленты (целевые вклады, оборотные средства, паи и доли в уставных капиталах предприятий, ценные бумаги - акции или облигации; кредиты, займы, залоги и т. п.);

• земля;

• здания, сооружения, машины и оборудование, измерительные и испытательные средства, оснастка и инструмент, любое другое имущество, используемое в производстве или обладающее ликвидностью;

• имущественные права, оцениваемые, как правило, денежным эквивалентом (секреты производства, лицензии на передачу прав промышленной собственности, патенты на изобретения, свидетельства на полезные модели и промышленные образцы, товарные знаки и фирменные наименования, сертификаты на продукцию и технологию производства);

• права землепользования и др.

Как уже отмечалось, инвестиции, предполагающие затраты на новое строительство, реконструкцию, расширение и техническое перевооружение действующих промышленных, сельскохозяйственных, транспортных и других предприятий, приобретение оборудования, машин, инструментов, оплату проектных и изыскательских работ, расходы на жилищное, коммунальное и культурно-бытовое строительство, относятся к капитальным вложениям. В них обычно включают расходы на:

• землю;

• проектно-конструкторские работы;

• подготовку строительной площадки;

• строительство зданий и инженерных коммуникаций;

• строительство вспомогательных сооружений;

• приобретение машин и оборудования;

• монтажные и пусконаладочные работы;

• сертификацию оборудования, рабочих мест, продукции;

• прирост оборотного капитала и др.

Естественно, что каждая статья затрат при инвестировании объекта характеризуется:

• величиной инвестиционных вложений (в денежных единицах);

• датой начала и окончания (год, полугодие, квартал) инвестирования;

• периодом амортизации (количество лет, в течение которых амортизируется данная статья затрат);

• способом амортизации инвестированных средств и др. Именно эти параметры играют определяющую роль при выборе источников инвестиций, которыми могут быть:

• ресурсы бюджетов всех уровней;

• собственные средства предприятий;

• активы коллективных инвесторов (паевых инвестиционных фондов, страховых компаний, негосударственных пенсионных фондов);

• иностранные инвестиции, прямые (в реальные активы) и портфельные (спекулятивные);

• кредиты;

• сбережения населения и др.

В сложившейся экономической ситуации в России ожидать крупных инвестиций из бюджета не приходится. Поэтому на практике в качестве инвестиционных ресурсов чаще всего используются:

• собственные финансовые средства предприятий (прибыль, накопления, амортизационные отчисления, суммы, выплачиваемые страховыми органами в виде возмещения за ущерб, и т. п.);

• иные виды активов хозяйствующих субъектов (основные фонды, земельные участки, промышленная собственность и т. п.);

• привлеченные средства (средства от продажи акций, благотворительные и иные взносы, средства, выделяемые вышестоящими холдинговыми и акционерными компаниями, промышленно-финансовыми группами);

• ассигнования из федерального, региональных и местных бюджетов, фондов поддержки предпринимательства, предоставляемые на безвозмездной основе;

• иностранные инвестиции, предоставляемые в форме финансового или иного участия в уставном капитале совместных предприятий;

• прямые вложения (в денежной форме) международных организаций и финансовых институтов, государств, предприятий и организаций различных форм собственности и частных лиц;

• различные формы заемных средств:

• кредиты, предоставляемые государством на возвратной основе;

• кредиты иностранных инвесторов;

• кредиты национальных инвесторов;

• облигационные займы;

• кредиты банков и других институциональных инвесторов (инвестиционных фондов и компаний, страховых обществ, пенсионных фондов);

• векселя и другие средства.

Основным источником финансирования инвестиций в России являются собственные средства предприятий и организаций, среди которых значительное место занимают компании с иностранным капиталом.

Субъектами деятельности (инвесторов) могут быть как отдельные предприниматели, так и организации (предприятия) и их объединения, государственные органы, инвестиционные фонды и другие организации, которые планируют получить прибыль (или другой положительный эффект) от вложения средств в конкретный объект.

Субъектами инвестиционной деятельности в общем случае могут выступать все участники реализации инвестиционных проектов - заказчики, исполнители работ, пользователи объектов инвестиционной деятельности, поставщики, банковские, страховые и посреднические организации, инвестиционные фонды, биржи и др.

Инвесторы вкладывают собственные, заемные и привлеченные средства в форме инвестиций и обеспечивают их целевое использование.

Инвесторами могут быть также:

• Правительство Российской Федерации и правительства субъектов Российской Федерации в лице органов, уполномоченных управлять государственным имуществом или наделенных имущественными правами;

• органы местного самоуправления, муниципалитеты в лице органов и служб, уполномоченных в законодательном порядке;

• отечественные предприятия, а также предпринимательские объединения, организации и другие юридические лица, наделенные их уставами необходимыми в том правами;

• совместные российско-зарубежные предприятия, организации и другие юридические лица;

• национальные и зарубежные кредитные организации;

• зарубежные юридические лица;

• иностранные государства в лице органов, уполномоченных их правительствами;

• международные организации.

Инвесторы берут на себя прежде всего роль прямых вкладчиков финансовых средств и других капиталов и, соответственно, роль покупателей и пользователей продукции инвестирования (построенных заводов, фабрик, транспортных сооружений, линий и объектов связи и др.). Инвесторы вкладывают средства в акции вновь создаваемых или существующих предприятий, которые на средства от продажи акций осуществляют модернизацию или диверсификацию своего производства.

Чтобы реализовать различные инвестиционные проекты, необходимы разработка бизнес-планов, проведение инженерных изысканий, подготовка проектной документации на строительство и возведение зданий и сооружений, проведение работ и реконструкции, заключение договоров с подрядными строительно-монтажными организациями на осуществление строительно-монтажных, пусконаладочных работ и т. д. Эти функции заказчика инвесторы могут осуществить либо сами через свои соответствующие службы, либо уполномочивают на это посреднические юридические или физические лица, наделяемые со стороны инвестора необходимыми правами распоряжения инвестициями в рамках, определяемых инвестором.

Исполнителями работ при реализации инвестиционных проектов являются проектно-изыскательские и строительные фирмы, пусконаладочные организации, производственные фирмы и т. п.

Указанные организации и фирмы осуществляют исполнение работ по инженерным, инженерно-геологическим изысканиям, проектированию зданий и сооружений, их возведению, освоению созданных производственных мощностей и т. д.

Осуществление производственных инвестиционных проектов связано с использованием большого объема строительных материалов, конструкций, изделий технологического оборудования, в том числе нестандартного, электроизделий, кабельной продукции, труб, проката и т. д. Поэтому важными участниками инвестиционных проектов должны быть поставщики названной продукции. Большую группу субъектов инвестиционной деятельности составляют так называемые институциональные инвесторы: администрации регионов и городов, страховые компании, инвестиционные компании и фонды, негосударственные пенсионные фонды и др. Функциональное назначение указанных организаций - привлечение свободных средств населения и различных хозяйствующих субъектов и направление их на цели инвестирования.

Глава 2. Определение показателей эффективности долгосрочных инвестиций

Задача 1. Определение чистой приведенной ценности инвестиционного проекта

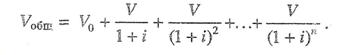
Локомотивное депо предполагает заменить часть оборудования цеха текущего ремонта тепловозов в целях повышения его производительности (инвестиционный проект «А»). Срок работы нового оборудования (срок жизни проекта) составляет 4 года, в течение которых предполагается дополнительное поступление денежных средств. Первоначальные инвестиции включают стоимость покупки и установки нового оборудования. Кроме того, через два года предполагается провести переналадку оборудования, что также потребует дополнительных вложений. Определим чистую приведенную ценность (ЧПЦ) проекта с учетом ставки дисконтирования, используя исходные данные табл. 1.1 и 1.2.

Для начала определим доходность инвестиций без учета дисконтирования. Если получаемые денежные поступления не реинвестируются, то доходность инвестиций iЭ определяется по формуле эффективной ставки сложных процентов:

 (1)

где S - сумма, полученная в результате инвестирования средств Р в течении срока n лет;

iЭ = [4320+400+560+700 - 1] 100% = [41980 - 1] 100% = [1,13-1] 100% = 860+340 1200= 13,3%

Если получаемые денежные поступления будут реинвестироваться по ставке сложных процентов, равной 20%, сумма денежных поступлений за срок жизни проекта составит:

 (2)

где t - номер конечного года срока жизни проекта;

S = 320(1+0,2)3 +400(1+0,2)2 +560(1+0,2)+700 = 552,96 + 576,0+ 672,0 + + 700,0 = 2500,96 млн.р.

Доходность инвестиций по эффективной ставке сложных процентов в этом случае будет равна:

iЭ = [42500,96 - 1] 100% = [1,20-1] 100% = 20%.

Если для инвестиций используются свободные средства локомотивного депо (отделения дороги), доход без реинвестирования W составит:

 (3)

Подставляя исходные данные получаем:

W = 1980 - 1200 =780 млн.р.,

А с реинвестированием

Wр = 2500,96 - 1200 = 1300,96 млн.р.

Если для инвестиций был использован заемный капитал, за который надо было платить, доходность инвестиционного проекта уменьшится. Средства для инвестирования были получены за счет кредита под 20% годовых. В этом случае погашаемая сумма с процентами в конце срока жизни проекта составит:

S = 860(1+0,2)4 + 340(1+0,2)2 = 1783,3+489,6 = 2272,9 млн.р.,

а доход от инвестиционного проекта при реинвестировании получаемых денежных поступлений равняется:

Wp = 2500,96 - 2272,9 = 228,06 млн.р.

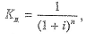
Проведем теперь расчеты чистой приведенной ценности рассматриваемого инвестиционного проекта. Для этого определяется разность дисконтированных на момент начала срока жизни проекта ожидаемых денежных поступлений (выгод) и ожидаемых издержек (начальных инвестиций и последующих планируемых затрат). Величина приведенного значения суммы S, поступление или расход которой ожидается через n лет, определяется с помощью дисконтирования по ставке сложных процентов i по формуле:

 (4)

 (5)

где PД - величина дисконтированного значения будущей суммы S с процентами; KД - коэффициент дисконтирования (приведения).

При использовании для дисконтирования ставки процентов i = 16% получим, что текущая стоимость будущих денежных поступлений равна:

РДД = 320 + 400 + 560 + 700 = 275,86+297,27+358,771+0,16 (1+0,16)2 (1+0,16)3 (1+0,16)4 +386,6 = 1318,5 млн.р.

Текущая стоимость расходов составит:

РДР = 860 + 340 = 860 + 252,67 = 1112,68 млн. р.

(1+0,16)2           

 (6)

ЧПЦ = 1318,5 - 1112,68 = 205,82 млн.р.

При использовании ставки процентов i = 26% текущие значения денежных поступлений и расходов и чистая приведенная ценность будут равны: РДД = 1063,59 млн. р., РДР = 1074,16 млн.р. ЧПЦ = -10,57 млн.р.

Следовательно, при таком значении ставки процентов, используемой для дисконтирования, сумма текущих значений расходов будет превышать сумму текущих значений будущих денежных поступлений, т.е. инвестиции будут убыточными.

Задача 2. Определение внутренней ставки дохода инвестиционного проекта

Для определения ВСД необходимо провести соответствующие численные расчеты или приближенно подобрать такое значение ставки, при котором ЧПЦ будет достаточно близка к нулю.

Определим ЧПЦ для следующих ставок сравнения:

i%

16

20

23

24

25

25,2

25,5

26

ЧПЦ

205,82

109,99

57,15

26,88

7,84

4,11

-1,44

-10,57


Следовательно, значение ВСД будет находиться между 25% и 26%, и, поскольку величина -1,44 ближе к нулю, чем 7,84, с точностью до 0,1% можно принять ВСД = 25,5%.

Для определения внутренней ставки дохода может быть использована интерполяция:

 (7)

где r1 и r2 - ставки процентов, ограничивающие интервал (r1,r2), на котором ЧПЦ меняет знак на противоположный.

Для данного примера получим:

ВСД= 25 + (25,5 - 25) 7,84/[7,84 - (-1,44)] = 25 + 3,92/9,28 = 25,4.

Для понимания сущности ВСД и целесообразности ее использования проведем следующие расчеты.

Если полученные денежные поступления будут реинвестироваться по ставке, равной ВСД, то для данного инвестиционного проекта общая сумма на момент окончания срока его жизни составит:

SДД = 320(1+0,254)3 +400(1+0,254)2 +560(1+0,254)+700 = 2662,27 млн.р.

Допустим также, что инвестиции предполагается осуществлять за счет кредита, взятого по ставке процентов, равной ВСД, погашение кредита и выплата процентов будут проведены в конце срока жизни проекта.

Из рассматриваемого проекта сумма погашения кредита с процентами составит:

SДР = 860(1+0,254)4 + 340(1+0,254)2 = 2661,27 млн.р.

инвестиционный ставка рентабельность доходность

Задача 3. Определение срока окупаемости инвестиционного проекта

Определим срок окупаемости инвестиционного проекта, рассмотренного в задачах 1 и 2.

Если при расчете окупаемости рассматривать только сумму начальных вложений, равную 860 млн.р., то равная ей сумма денежных поступлений будет получена через 2,5 года, т.к недостающие 140 млн.р. будут получены в первой половине 3-го года.

S = 320+400+560 = 1280 млн.р.

Если при расчете окупаемости учитывать также и предполагаемые дополнительные затраты, то период окупаемости составит 3 года, т.к. недостающие 200 млн.р. поступят во второй половине 3 - го года.

Задача 4. Определение коэффициента рентабельности инвестиционного проекта

Определим коэффициент рентабельности (соотношение выгод и издержек) инвестиционного проекта, рассмотренного в задачах 1 - 3.

Коэффициент рентабельности (соотношение выгод и издержек) КВ/И представляет собой отношение текущей стоимости предполагаемых денежных поступлений РДД к расходам на инвестиционный проект РДР, то есть:

 (8)

Если расходами на капиталовложения считать начальные инвестиции, то:

КВ/И = 1318,5/860 = 1,533≈ 1,53.

Если расходами по инвестиционному проекту считать все планируемые инвестиции, то при определении КВ/И следует учитывать сумму их текущих значений:

КВ/И = 1318,5/1112,68 = 1,185 ≈ 1,19.

Соотношение между ЧПЦ и КВ/И имеет следующий вид:

 (9)

Таким образом, если КВ/И > 1, то ЧПЦ > 0 и инвестиции прибыльны.

,19 > 1, следовательно, инвестиции являются прибыльными.

Задача 5. Сравнение показателей доходности инвестиционных проектов

Рассмотренные показатели используются и при сравнительной оценке различных вариантов инвестиционных проектов и инвестирования. Предположим, что альтернативным вариантом инвестиционного проекта «А», рассмотренного в задачах 1 - 4, является проект «Б», предусматривающий покупку и установку более дорогого оборудования стоимостью 1210 млн. р., которое может проработать все 4 года без переналадки. При этом поступление денежных средств (в млн. р.) предполагается обратным по отношению к поступлению средств в пунктах 2.1 - 2.4: 1-й год - 700; 2-ой год - 560; 3-й год - 400; 4-й год 320.

Определим показатели эффективности проекта «Б» и сравним их с аналогичными показателями проекта «А».

Доходность проекта «Б» без учета дисконтирования и без реинвестирования получаемых денежных поступлений будет равна:

iЭ = [4700+560+400+320 - 1] 100% = [1,131-1] 100% = 13,1%

С учетом реинвестирования по сложной ставке 20% сумма денежных поступлений составит:

S = 700(1+0,2)3 +560(1+0,2)2 +400(1+0,2)+320 = 2816,0 млн.р.

Доходность инвестиций по эффективной ставке сложных процентов в этом случае будет равна:

iЭ = [42816,0 - 1] 100% = 23,5%.

При инвестировании собственных средств доход инвестора без учета реинвестирования составит:

W = 1980 - 1210 = 770 млн.р.,

а с реинвестированием:

WР = 2816,0 - 1210 = 1606,0 млн.р.

Таким образом, если денежные поступления не реинвестируются, то по рассматриваемым показателям при инвестировании собственных средств выгоднее проект «А». С учетом реинвестирования предпочтительнее проект «Б».

Если средства для инвестиций будут получены за счет кредита по ставке 20% годовых, погашаемая сумма с процентами в конце срока жизни проекта составит:

S = 1210(1+0,2)4 = 2509,1 млн.р.

Доход от инвестиционного проекта «Б» тогда будет равен:

WР = 2816,0 - 2509,1 = 306,9 млн.р.,

т.е. проект «Б» выгоднее.

Текущая стоимость будущих поступлений для проекта «Б» при ставке сравнения i = 16% достигнет:

РДД = 700 + 560 + 400 + 320 = 603,45+388,89+

1+0,16 (1+0,16)2 (1+0,16)3 (1+0,16)4

231,48+154,3 = 1452,62 млн.р.

Следовательно, чистая приведенная ценность инвестиций по проекту «Б» составит:

ЧПЦ = 1378,14 - 1210 = 242,6 млн.р.

Определим ЧПЦ для следующих ставок сравнения:

i %

16

26

27

27,1

27,3

27,4

27,5

28

ЧПЦ

168,14

25,21

6,67

4,84

1,2

-0,61

-2,42

-11,38


Внутренняя ставка дохода проекта «Б» будет равна 27,4%. Таким образом, по показателям ЧПЦ и ВСД проект «Б» предпочтительнее.

Срок окупаемости инвестиций по проекту «Б» составит 2 года, т.к. недостающие 230 млн.р. будут получены во 2-ой половине 2-го года:

S = 700+560 = 1260 млн.р.

Определим коэффициент рентабельности по проекту «Б»:

КВ/Н = 1452,62/1210 = 1,2

Коэффициент рентабельности лучше по проекту «Б».

Сравнение показателей инвестиционных проектов приведено в таблице 1 и 2.

Таблица 1

Проект «А»

Проект «Б»

Годы

1

2

3

4

1

2

3

4

Доходы, млн.р.

320

400

560

700

700

560

400

320

Расходы, млн.р.

860

340

-

-

1210

-

-

-


Таблица 2

Показатели

Проект «А»

Проект «Б»

Без дисконтирования:



Доходность инвестиций без реинвестирования, %

13,3

13,1

То же, с реинвестированием, %

20

23,5

Доход от проекта без реинвестирования, млн.р.

780

770

То же, с реинвестированием, млн.р.

1300,96

1606,0

Доход от проекта после погашения кредита, млн.р.

228,06

306,9

Срок окупаемости, лет

3

2

С дисконтированием:



ЧПЦ, млн.р.

205,82

242,6

ВСД, %

25,5

27,4

КВ/Н

1,19

1,2


Как видно из таблиц 1 и 2, несмотря на то, что при равной общей сумме денежных поступлений проект «Б» требует больших затрат и по большинству показателей более выгоден.

Задача 6. Выбор схем инвестирования проектов

Рассмотрим еще одну ситуацию, связанную с расчетом текущей стоимости инвестиций.

На инвестиционном конкурсе рассматриваются три варианта инвестиций в течение 4-х лет со следующими схемами реинвестирования (табл. 3):

Таблица 3

Варианты

Общая сумма инвестиций

Вложения по годам, млн.р.

1

2

3

4

«В»

1,9 млрд.р.

800

200

150

400

300

«Г»

1,9 млрд.р.

800

300

400

150

200

«Д»

2,4 млрд.р.

600

90

180

230

1300


Определить ЧПЦ инвестиций для всех вариантов при ставке сравнения i = 20% и i = 210%.

 (10)

При ставке сравнения i = 20% ЧПЦ инвестиций составит:

«В»: 800 + 200 + 150 + 400 + 300 = 800+166,67+

1+0,2 (1+0,2)2 (1+0,2)3 (1+0,2)4

+104,17+231,48+144,68 = 1446991 тыс.р.

«Г»: 800 + 300 + 400 + 150 + 200 = 800+250+277,78+

1+0,2 (1+0,2)2 (1+0,2)3 (1+0,2)4

+86,81+96,45 = 1511033 тыс.р.

«Д»: 600 + 90 + 180 + 230 + 1300 = 600+75+125+

1+0,2 (1+0,2)2 (1+0,2)3 (1+0,2)4

133,1+626,93 = 1560031 тыс.р.

При ставке сравнения i = 210% ЧПЦ инвестиций составит:

«В»: 800 + 200 + 150 + 400 + 300 = 800+64,52+15,61+

1+2,1 (1+2,1)2 (1+2,1)3 (1+2,1)4

+13,43+3,25= 896800 тыс.р.

«Г»: 800 + 300 + 400 + 150 + 200 = 800+96,77+41,62+

1+2,1 (1+2,1)2 (1+2,1)3 (1+2,1)4

+5,04+2,17 = 945598 тыс.р.

«Д»: 600 + 90 + 180 + 230 + 1300 = 600+29,03+

1+2,1 (1+2,1)2 (1+2,1)3 (1+2,1)4

+18,73+7,72+14,1 = 669560 тыс.р.

Сравнение вариантов инвестиций приведено в таблицах 4 и 5.

Таблица 4

Варианты

Вложения по годам, млн.р.


0

1

2

3

4

«В»

800

200

150

400

300

«Г»

800

300

400

150

200

«Д»

600

180

230

1300


Таблица 5

Показатели сравнения

Проекты


«В»

«Г»

«Д»

Общий объем инвестиций, млрд.р.

1,9

1,9

2,4

ЧПЦ при i = 20 %, тыс.р.

1446991

1511033

1560031

 при i = 210 %, тыс.р

896800

945598

669560


Из таблиц 4 и 5 следует, что ЧПЦ инвестиций по проекту «Г» в обоих случаях будет больше, чем по проекту «В», поскольку при их равном объеме без учета дисконтирования по проекту «Г» более крупные суммы будут вкладываться в более ранние сроки, т.е. проект «Г» с этой точки зрения предпочтительнее чем «В».

Сравнивая проекты «Г» и «Д» можно сказать, что объем инвестиций без учета дисконтирования по проекту «Д» больше, однако сравнивая соотношение текущей стоимости инвестиций по «Г» и «Д» можно заметить, что при i = 20% ЧПЦ по «Д» будет больше, а при i = 210% меньше.

Сравнивая инвестиционный проекты «В» и «Д» можно отметить, что объем инвестиций без учета дисконтирования по проекту «Д» больше, однако соотношение текущей стоимости инвестиций по «В» и «Д» зависит от ставки сравнения. При i = 20 % ЧПЦ по «Д» больше, а при i = 210 % - по «Д» меньше.

Заключение

Объектами инвестиционной деятельности являются вновь создаваемые и модернизируемые основные фонды и оборотные средства во всех отраслях и сферах народного хозяйства, ценные бумаги, целевые денежные вклады <http://click02.begun.ru/click.jsp?url=k9Gt-EpDQkN7uMK5907dhQ5iRkBXTTObAGoV6xpDALs8c4zWzn3loyKVMHyyQS20zVFihnxL2QkAR5OhaHaQWFOP5nmDGBAQ1tO19F22aIsrGWwHLuLoSK6M9wz3r6w-wtHxGzjLC84KjjAtASxy2UGsDStiUq7Y1a2Orw9JkwHch1fp5yyTmrwlvrRjCQ25cuCFh*Svoz3dqtijd4iag7ihPrI8G8X1Rb6fahreLrcHU**v43QzdCUovGHKlK29Cu*bZnglHIltBRQh313GKvZcmY3E8BcL1Cu3lhTsK78vABgpgSeqL*efG6skyyZcJicqKp7nkd*sqQxOwmnYowUmBWv2cuYWJYbQSMuaicTH-RdP50vX5z-Z8BhH4x0vpslMxg&eurl%5B%5D=k9Gt-EBBQEG4Ju7ZOCZbXbBOWFBAX-DzL*1INKx4Zokaw2ri>, научно-техническая продукция, другие объекты собственности, а также имущественные права и права на интеллектуальную собственность.

Все эти объекты различаются по масштабам, эффективности использования вкладываемых средств, социальной значимости, степени участия государства, направленности проектов.

Специфика объектов во многом определяет и формы инвестиций.

Субъектами деятельности (инвесторов) могут быть как отдельные предприниматели, так и организации (предприятия) и их объединения, государственные органы, инвестиционные фонды и другие организации, которые планируют получить прибыль (или другой положительный эффект) от вложения средств в конкретный объект.

При определении чистой приведенной ценности инвестиционного проекта «А» мы получили следующие результаты:

доходность инвестиций без учета дисконтирования, если получаемые денежные поступления не реинвестируются составит 13,3%;

если получаемые денежные поступления будут реинвестироваться по ставке сложных процентов, равной 20%, сумма денежных поступлений за срок жизни проекта составит 2500,96 млн.р., а доходность инвестиций по эффективной ставке сложных процентов в этом случае будет равна 20%;

если для инвестиций используются свободные средства локомотивного депо (отделения дороги), доход без реинвестирования составит 780 млн.р., а с реинвестированием 1300,96 млн.р.;

если для инвестиций был использован заемный капитал, за который надо было платить, доходность инвестиционного проекта уменьшится. Средства для инвестирования были получены за счет кредита под 20% годовых. В этом случае погашаемая сумма с процентами в конце срока жизни проекта составит 2272,9 млн.р., а доход от инвестиционного проекта при реинвестировании получаемых денежных поступлений - 228,06 млн.р.

при использовании для дисконтирования ставки процентов i = 16% текущая стоимость будущих денежных поступлений составит1318,5млн.р., при этом текущая стоимость расходов составит 1112,68 млн. р., а чистая приведенная ценность - 205,82 млн.р.;

при использовании ставки процентов i = 26% текущие значения денежных поступлений и расходов и чистая приведенная ценность будут равны: РДД = 1063,59 млн. р., РДР = 1074,16 млн.р. ЧПЦ = -10,57 млн.р.

Следовательно, при таком значении ставки процентов, используемой для дисконтирования, сумма текущих значений расходов превышает сумму текущих значений будущих денежных поступлений, т.е. инвестиции будут убыточными.

Внутренняя ставка дохода инвестиционного проекта составит 25,5%.

Если полученные денежные поступления будут реинвестироваться по ставке, равной ВСД, то для данного инвестиционного проекта общая сумма на момент окончания срока его жизни составит 2662,27 млн.р.

Если инвестиции предполагается осуществлять за счет кредита, взятого по ставке процентов, равной ВСД, погашение кредита и выплата процентов будут проведены в конце срока жизни проекта. Сумма погашения кредита с процентами составит 2661,27 млн.р.

Если при расчете окупаемости учитывать сумму начальных вложений и предполагаемые дополнительные затраты, то период окупаемости составит 3 года, т.к. недостающие 200 млн.р. поступят во второй половине 3 - го года.

Если расходами по инвестиционному проекту считать все планируемые инвестиции коэффициент рентабельности будет равен - 1,19, что говорит о том, что инвестиции являются прибыльными.

Сравнивая инвестиционный проект «А» с аналогичным проектом «Б», можно сказать что несмотря на то, что при равной общей сумме денежных поступлений проект «Б» требует больших затрат и по большинству показателей более выгоден.

Рассматривая три варианта инвестиций представленных на инвестиционном конкурсе можно сказать, что ЧПЦ инвестиций по проекту «Г» в обоих случаях будет больше, чем по проекту «В», поскольку при их равном объеме без учета дисконтирования по проекту «Г» более крупные суммы будут вкладываться в более ранние сроки, т.е. проект «Г» с этой точки зрения предпочтительнее чем «В».

Сравнивая проекты «Г» и «Д» можно сказать, что объем инвестиций без учета дисконтирования по проекту «Д» больше, однако сравнивая соотношение текущей стоимости инвестиций по «Г» и «Д» можно заметить, что при i = 20% ЧПЦ по «Д» будет больше, а при i = 210% меньше.

Сравнивая инвестиционный проекты «В» и «Д» можно отметить, что объем инвестиций без учета дисконтирования по проекту «Д» больше, однако соотношение текущей стоимости инвестиций по «В» и «Д» зависит от ставки сравнения. При i = 20 % ЧПЦ по «Д» больше, а при i = 210 % - по «Д» меньше.

Список литературы

1. Аксенов В.Н. Определение показателей эффективности долгосрочных инвестиций / В.Н. Аксенов. - Новосибирск.,1996. - 19 с.

2.      Аксенов В.Н. Финансово - экономическая оценка инвестиционных проектов / В.Н. Аксенов. - Новосибирск.,1996. - 56 с.

.        Гущин В. В. Инвестиционное право/ В.В. Гущин. - М., 2009. - 624 с.

.        Методические рекомендации по оценке эффективности инвестиционных проектов и отбору для финансирования. - М., 1994.- 80 с.

Похожие работы на - Определение показателей эффективности долгосрочных инвестиций

 

Не нашли материал для своей работы?
Поможем написать уникальную работу
Без плагиата!
Без нейросетей!