Термодинамика простых моделей

  • Вид работы:
    Практическое задание
  • Предмет:
    Физика
  • Язык:
    Русский
    ,
    Формат файла:
    MS Word
    67,82 Кб
  • Опубликовано:
    2013-05-30
Вы можете узнать стоимость помощи в написании студенческой работы.
Помощь в написании работы, которую точно примут!

Термодинамика простых моделей

Министерство образования Российской Федерации

Санкт-Петербургский государственный политехнический университет

Инженерно-строительный институт

кафедра гидравлики







ПРАКТИЧЕСКИЕ ЗАДАЧИ

Теплогазоснабжение и вентиляция

выполнил:                                                Абрамов Р.А,

гр.3013/2,

проверил:                                                 д.т.н., профессор,

Петриченко М.Р.






Санкт-Петербург

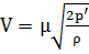
Задача 1

Дано: , .

Найти: .

 

 

 

 

 

 

Задача 2

Дано: , .

Найти:

 

 

 

 

 

 

 

 

Задача 3

Дано: .

Найти: m

Н

Задача 4

Дано: .

Построить пьезометрическую линию (рисунок 1).

 

Исходные данные:

λ=

0,02

Vo=

40

To=

300

Po

1000000

2000000

3000000




ρo

11,614

23,229

34,843

 

ε

0,019

0,019

0,019

 

π кр

0,120

0,120

0,120

 

π

x

π

x

1

0

0,5

1041,701

128,4535

0,45

1113,215

0,9

251,8328

0,4

1177,804

0,85

370,0393

0,35

1235,023

0,8

482,9646

0,3

1284,279

0,75

590,4888

0,25

1324,741

0,7

692,4778

0,2

1355,137

0,65

788,7805

0,15

1373,299

0,6

879,2243

0,12

1376,663

0,55

963,6094




Рисунок 1 - График пьезометрической линии

Задача 5

Дано: .

Найти:

 

 

 

Задача 6

Дано: , , , , ,

Найти: p.

 

 

 

 

Задача 7

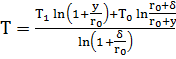
Дано: , , .

Найти: T(r).

Если стенка - цилиндрическая, то N=2.

 

 

 

 

 

 

 

 

 

термодинамика потенциал среда энергия

Задача 8

Дано: .

Найти: T(r).

Если стенка - цилиндрическая, то N=2.

 

 

 

 

 

 

Задача 9

Дано: .

Определить на какую высоту ударит фонтан воды.

 

 

 

 

Задача 10

Вывод первого начала термодинамики через энергию:

 

 

 

 

 

 

 

 

 

Похожие работы на - Термодинамика простых моделей

 

Не нашли материал для своей работы?
Поможем написать уникальную работу
Без плагиата!
Без нейросетей!