Неокейнсіанство та його особливості

  • Вид работы:
    Реферат
  • Предмет:
    Эктеория
  • Язык:
    Украинский
    ,
    Формат файла:
    MS Word
    37,3 Кб
  • Опубликовано:
    2013-11-24
Вы можете узнать стоимость помощи в написании студенческой работы.
Помощь в написании работы, которую точно примут!

Неокейнсіанство та його особливості

МІНІСТЕРСТВО ОСВІТИ І НАУКИ, МОЛОДІ ТА СПОРТУ УКРАЇНИ

Державний вищий навчальний заклад

«КИЇВСЬКИЙ НАЦІОНАЛЬНИЙ ЕКОНОМІЧНИЙ УНІВЕРСИТЕТ ІМЕНІ ВАДИМА ГЕТЬМАНА»









РЕФЕРАТ

З дисципліни: «Економічна теорія»

На тему : «Неокейнсіанство та його особливості»


Виконала: студентка

Осадча В.С.

-ї групи, 3-го курсу

Спеціальності 6501

Перевірив: Котенок А.Г.


Київ-2013

План

Вступ

. Причини та основні напрямки еволюції кейнсіанства

2. Неокейнсіанська теорія економічної динаміки та зростання

3. Неокейнсіанська теорія економічного циклу

Висновки

Список використаних джерел

Вступ

Дж. М. Кейнс і його численні прихильники утворили цілий напрямок - кейнсіанство, об'єднане ідеєю відносної нестабільності ринкової економіки й необхідності її державного регулювання. Однак варто враховувати, що кейнсіанська теорія державного регулювання насамперед пов'язана з аналізом співвідношення інвестицій і заощаджень, з дослідженням такої макроекономічної категорії, як ефективний попит - центральної категорії кейнсіанства.

Кейнсіанська теорія в розвинених країнах ринкового господарства стала основою формування механізму регулювання економічних процесів, тобто оптимального співвідношення ринкової конкуренції, впливу великих корпорацій і централізованого державного механізму впливу на економічне життя країни. Цим багато в чому визначалася роль економічної політики як інструменту виходу із кризи при вирішенні господарських проблем.

Теорії Дж. М. Кейнса та його послідовників стали базою для розробки різних варіантів відновлення економіки провідних країн Заходу й після Другої світової війни. Національні економічні програми відродження при всій своїй розмаїтості мали й загальні риси, забезпечуючи високі стійкі темпи розвитку. Проблеми економічної динаміки - довгострокового економічного зростання й умов його забезпечення вийшли на перше місце. Вирішення питань економічної динаміки стало викликом часу й прийняло кейнсіанський напрямок, перетерпівши істотні зміни. Воно перетворилося в неокейнсіанстео. Виникли нові концепції, що розвивають спадщину Дж. М. Кейнса. До таких новацій відносяться насамперед теорії економічного зростання й циклічного розвитку.

економічний теорія попит кейнс

1. Причини виникнення та основні напрямки еволюції кейнсіанства

В період після ІІ світової війни кейнсіанське економічне вчення набуло досить значного поширення, особливо в англомовних країнах (США, Великобританія, Канада, Австралія) та Японії. Тут воно служило теоретичним підґрунтям здійснення державної політики з регулювання економічних процесів. Проте, кейнсіанські методи державного регулювання були призначені в основному для подолання депресивного стану економіки. І тому, коли в повоєнні роки на перше місце висунулися проблеми економічного зростання та антициклічного регулювання, постало завдання подальшого розвитку і вдосконалення кейнсіанського економічного вчення. Саме це дало поштовх до виникнення неокейнсіанства.

Неокейнсіанство представлено відповідними напрямками і зазнало певної еволюції. Перший етап (50 - 70 рр. ХХ ст.) був пов’язаний з формуванням і розвитком неокейнсіанства. В цей період відбувається подолання певних обмежень, притаманних безпосередньо кейнсіанському вченню. Це забезпечило перетворення його в домінуючий напрямок світової економічної теорії. На цьому етапі відбувається формування основних течій неокейнсіанства : кейнсіанської ортодоксії (теорія економічної динаміки та економічного зростання, теорія економічного циклу); теоретичної універсалізації кейнсіанства (кейнсіансько-неокласичний синтез); неоортодоксального кейнсіанства (ліве кейнсіанство). Другий етап (середина 70-х - початок 80-х рр. ХХ ст.) означав кризу теорії та практики кейнсіанства. Кейнсіанство поступово втрачає своє теоретичне лідерство і переходить в опозицію до сучасної неокласичної теорії. Третій етап (80-ті рр. ХХ ст. - сучасність). На цьому етапі має місце подальша диференціація основних течій неокейнсіанства та виникнення новітніх - посткейнсіанства.

2. Неокейнсіанська теорія економічної динаміки та зростання

Велику роль у формуванні неокейнсіанства та у створенні теорій макроекономічної динаміки і зростання відіграли англійський вчений Рой Форбс Харрод (1990 - 1978) та американець польського походження Овсій Девід Домар (1914 - 1997). Вони незалежно один від одного створили моделі економічної динаміки і зростання, які в силу своєї методологічної спорідненості і однакових висновків прийнято об’єднувати в єдину модель - модель Харрода-Домара.

У своїх працях („Торговий цикл” (1936), „Нариси теорії динаміки” (1939), „До теорії економічної динаміки” (1948) ) Р.Харрод та („Нарощування капіталу, норма зростання, і зайнятість” (1946), „Нагромадження капіталу і кінець процвітання” (1947), „Нариси з теорії економічного зростання” (1957) ) О.Домар в першу чергу подолали такі обмеження кейнсіанської теорії як її статичність, розгляд економічних процесів лише стосовного короткого періоду і фази депресії, негативне ставлення до заощаджень. Методологія Р. Харрода і О. Домара була близькою до методології Дж. М. Кейнса. Вона передбачала: дослідження агрегованих макроекономічних показників (сукупний попит, сукупний доход, сукупні заощадження, сукупні інвестиції); розуміння пріоритетності проблеми забезпечення ефективного сукупного попиту; визнання нездатності зрілої ринкової економіки до саморегулювання та обґрунтування необхідності державного регулювання. Та послідовники Кейнса пішли далі свого учителя і поставили собі за мету дослідити чинники, що забезпечують динамічну рівновагу ринкової економіки та економічне зростання.

Модель Р. Харрода доводить, що темпи економічного зростання залежать від частки нагромадження (заощадження) в національному доході і відповідно - величини капіталовкладень (інвестицій). Для щоб в економіці постійно мала місце динамічна рівновага, повне використання наявних ресурсів і поступальний, без різких коливань розвиток, необхідно підтримувати відповідні темпи економічного зростання. Необхідною умовою останнього є постійне і систематичне державне регулювання економіки.

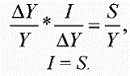
Модель Р. Харрода виходить із рівності інвестицій і заощаджень (приватних і корпоративних), а також з наявності ефекту акселератора (прискорювача). Дія останнього полягає в тому, що зростання доходу породжує значно більші обсяги інвестицій. Акселератор можна зобразити наступним чином:


де а акселератор; It - нові інвестиції за даний період; Yt - дохід за даний період; Yt-1 - дохід за попередній період.

Впровадження в практику економічних досліджень поряд із мультиплікатором принципу акселератора стало суттєвим розвитком кейнсіанства. Принцип акселерації був висунутий в 1913 р. А. Альтафоном і Дж. М. Кларком в 1919 р. Вперше ідею взаємодії мультиплікатора і акселератора запропонував в 1939 р. П. Самуельсон.

Також Р. Харрод поділив всю економіку на два сектори: сектор, де виробляються споживчі блага і сектор, де виробляються інвестиційні блага.

В цілому модель Харрода включає в себе систему з трьох рівнянь:


де g - фактичний темп економічного зростання (grows - зростання), gw - гарантований темп економічного зростання (warranted -гарантований), gn -природній темп економічного зростання (natural - природній), c - капітальний коефіцієнт, або коефіцієнт капіталомісткості (відображає „інвестиційну ціну” приросту доходу), cr - необхідний коефіцієнт капіталомісткості, s - частка заощаджень в національному доході, або схильність до заощадження.

Фактичний темп економічного зростання (g) - відображає реальний стан справ. Наведені в рівнянні коефіцієнти можна розписати наступним чином:


Підставивши їх значення у рівняння фактичних темпів економічного зростання, можна отримати базову кейнсіанську тотожність:


Але, якщо у Дж. Кейнса ця тотожність є статичною, то у Р. Харрода - динамічною: ліва частина рівняння (g*c) становить собою накопичувану частину приросту продукції, що йде на виробничі цілі. Ця частина повинна забезпечуватися відповідною часткою заощаджень (s).

Гарантований темп зростання (gw) - це той темп зростання, що становить собою прогнозовану лінію розвитку, на яку налаштовуються підприємці. Її особливістю є те, що вона робить ймовірний розмір нагромадження капіталу рівним величині заощаджень. Гарантований темп зростання передбачає повне використання наявного капіталу, технічних вдосконалень і виражає рівновагу безперервного поступального розвитку. Саме тому він є лінією динамічної рівноваги.

Якщо ліва частина рівняння (s) відноситься до минулого періоду, топрава (gw*cr) - до майбутнього. cr - виражає потребу в новому капіталі, поділену на приріст випуску продукції і тому називається необхідним коефіцієнтом капіталомісткості.

Оскільки схильність до заощадження є відносно сталою за певний період часу величиною, то Р. Харрод робить висновок, що гарантований темп економічного зростання має також відповідний сталий рівень. Сталу величину має, на думку Р. Харрода, і необхідний коефіцієнт капіталомісткості. При цьому він виходив з нейтрального характеру науково-технічного прогресу. Р. Харрод стверджував що капіталозберігаючий ефект науково-технічного прогресу в інвестиційному секторі виробництва компенсується працезберігаючим в секторі, де виробляються споживчі блага. Але, якщо дві величини рівняння є сталими, то сталою є і третя.

Якщо б фактичний рівень економічного зростання співпадав би з гарантованим, то розвинута ринкова економіка демонструвала б стійке безперервне зростання. Та на жаль на практиці стійкість відсутня, причому не лише в короткостроковому (статичному) але і в довгостроковому (динамічному) періоді. Р. Харрод стверджує, що фактичний рівень темпу економічного зростання співпадає з гарантованим лише в дуже рідких випадках. При цьому неспівпадіння в бік перевищення (g > gw), або ж в протилежний бік - (g < gw) призводить лише до посилення відхилення фактичної лінії розвитку від бажаної. Це відхилення відбувається або в бік економічного буму, що супроводжується значною інфляцією, або в бік економічного спаду і неминучої депресії та масового безробіття. Така поведінка економіки є результатом поєднання ефекту мультиплікатора і акселератора.

Ринкова економіка постійно «балансує на вістрі ножа», їй внутрішньо притаманна динамічна нестабільність, всередині неї постійно працюють відцентрові сили.

Відхилення фактичного темпу економічного зростання від гарантованого пояснює в основному короткострокові циклічні коливання. Природу довгострокових коливань допомагає зрозуміти природній темп економічного зростання. Якщо гарантований темп за умови повної завантаженості наявного капіталу все ж таки передбачає наявність вимушеного безробіття, то природній темп економічного зростання не допускає його. Природній темп економічного зростання. є максимально можливим темпом економічного зростання в довгостроковому періоді за умови повного використання усіх ресурсів і досягнень науково-технічного прогресу. В цілому ж природній темп економічного зростання визначається темпом приросту населення і темпом науково-технічного прогресу. Для забезпечення такого темпу економічного зростання наявних заощаджень в суспільстві може і не вистачити. Тому в рівнянні природного темпу економічного зростання передбачається відсутність рівності між лівою і правою частинами.

Неспівпадіння фактичних, гарантованих і природних темпів економічного зростання породжує довгострокові циклічні коливання. На думку Р. Харрода ринкова економіка не має внутрішніх механізмів подолання економічної нестабільності. Це під силу зробити лише цілеспрямованому державному регулюванню, яке покликане забезпечити умови сталого економічного зростання, довготривалої динамічної рівноваги.

Програма практичних заходів державної політики з підтримки стійкого економічного зростання у Р. Харрода включала дві групи:

) державне короткострокове антициклічне регулювання - приведення у відповідність фактичного і гарантованого темпів економічного зростання;

) політика довгострокового стимулювання економічного розвитку - наближення гарантованих темпів економічного зростання до природних і попередження масового безробіття.

До першої групи заходів відносилися такі традиційні для кейнсіанської теорії, як організація суспільних робіт, регулювання ставки позичкового процента, а також нововведення - створення „буферних запасів” сировини, матеріалів і продуктів харчування, які б поповнювалися в період економічного спаду і розпродавалися в періоди економічного піднесення. Друга група заходів включала максимальне зниження позичкового процента, аж до нульової позначки.

Модель Р. Харрода відображає принципову відмінність між неокласичними та кейнсіанськими поглядами на місце і роль заощаджень в економіці. При чому, якщо Кейнс відносився до заощаджень в цілому негативно, вбачаючи в них один із чинників депресії, то позиція Р. Харрода є більш виваженою. Заощадження є дуже бажаними до тих пір поки gw < gn, але коли gw > gnвони починають відігравати вже руйнівну роль, і тому є не бажаними.

Позиція Р. Харрода відрізняється від позиції Дж. Кейнса іще і тим, що він звертає увагу на небезпеку інфляційного буму, в той час коли Кейнс в умовах депресивної економіки фактично ігнорував наявність даної проблеми.

На відміну від моделі Р. Харрода, що виходила із рівності заощаджень і інвестицій та базувалася на застосовуванні принципу акселератора, модель О. Домара будується на принципі мультиплікатора і визначає норму приросту інвестицій, яка забезпечує необхідний приріст національного доходу.

О. Домар доповнив погляди Дж. Кейнса на роль інвестицій тим, що висунув ідею про подвійну функцію інвестицій. Інвестиції є не лише є фактором зростання доходу, вони також пов’язані із створенням додаткових виробничих потужностей. Тому для підтримки стійких темпів економічного зростання необхідно щоб темпи приросту доходу (тобто попиту) відповідали темпам приросту виробничих потужностей (пропозиції). Динамічна збалансованість сукупного попиту і сукупної пропозиції, на думку О. Домара, визначається динамікою інвестицій, які утворюють нові потужності і нові доходи. Відповідно, завдання - визначити обсяги і динаміку інвестицій.

Модель О. Домара складається з системи трьох рівнянь.

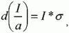
Рівняння пропозиції:


де dX - приріст виробництва; I - обсяг інвестицій; σ- середня продуктивність інвестицій.

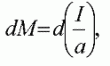
Рівняння попиту:


де dM - приріст попиту; I - обсяг інвестицій; а - середня схильність до заощаджень, обернена величина якої визначає величину мультиплікатора.

Звідси випливає загальне рівняння макроекономічної рівноваги:


тобто рівність між приростом доходу і приростом виробництва. Виходячи з даного рівняння можна отримати необхідну норму приросту інвестицій.


В цілому ж річний приріст інвестицій, що забезпечує певний приріст пропозиції товарів, повинен відповідати тому обсягу інвестицій, які в змозі забезпечити приріст попиту для покриття даного приросту пропозиції. Відповідно існує рівноважний темп приросту, за якого гарантовано повне використання існуючих в кожному періоді виробничих потужностей. Рівноважний темп приросту тим вищий, чим більшою є норма заощаджень і чим нижча капіталомісткість продукції.

О. Домар в своїй моделі динамічної рівноваги, на відміну від Р. Харрода, прагне врахувати постійні зміни ємності ринку. Але так само як і Р. Харрод підкреслює, що динамічна рівновага є нестійкою і тому необхідним є державне регулювання економічного зростання.

. Неокейнсіанська теорія економічного циклу

Вже в творчості Р. Харрода були закладені основи теорії економічного циклу. Вона отримала свій подальший розвиток в працях відомого американського економіста Елвіна Х. Хансена (1887 - 1975), зокрема в його роботі „Економічні цикли і національний дохід” (1951). Е. Хансен виділяє чотири типи циклічних коливань:

„малі цикли” (2 - 3 роки), що спричинені нерівномірністю відтворення оборотного капіталу;

„великі цикли” (6 - 13 років), причиною яких виступає нерівномірність інвестицій в основний капітал;

„будівельні цикли” (17 - 18 років), пов’язані з особливостями капітального будівництва, наявністю лагів між виникненням потреби в нових будовах, спорудах та моментом її задоволення;

„вікові цикли” (50 років і більше), викликані фундаментальними переворотами в науці і техніці, крупними зрушеннями в виробництві і суспільстві в цілому (ця ідея подібна до „довгих хвиль кон’юнктури М. Кондрат’єва на роботи якого посилається Е. Хансен). За своїм характером теорія циклів Е. Хансена є інвестиційною, оскільки, на його думку, циклічні коливання породжуються нерівномірністю капіталовкладень в товарно-матеріальні запаси, основний капітал, його пасивну частину основного капіталу (будівлі, споруди) і т.д. Усі інвестиції Е. Хансен поділяє на автономні та індуційовані. Автономні інвестиції тому і автономні, що не залежать від поточної господарської кон’юнктури. Їх головною причиною є науково-технічний прогрес, демографічні чинники, відкриття нових родовищ корисних копалин і т.д.

Автономні інвестиції „запускають” в дію механізм мультиплікації і викликають приріст національного доходу. А національний дохід, в свою чергу, через механізм дії акселератора (прискорювача) породжує індуційовані, стимульовані інвестиції. Поєднання, взаємодію мультиплікатора і акселератора Е. Хансен називає надкумулятивним процесом, системою „надмультиплікатора”, дія якого в сукупності викликає економічне зростання та економічний бум. Проте рано чи пізно відбувається поворот від піднесення до спаду. Він може бути пов’язаний або з вичерпанням автономних інвестицій, причиною цього може бути зниження граничної ефективності капіталовкладень, зростання в фазі буму позичкового процента, або ж із скороченням граничної схильності до споживання, пов’язаної із збільшенням доходів.

Нове піднесення починається лише тоді, коли на стадії спаду поступово накопичуються імпульси для нових автономних інвестицій, перш за все, з’являються нові технічні вдосконалення.

На основі своєї теорії економічного циклу Е. Хансен запропонував ряд заходів державної політики антициклічного регулювання. Вона складалася з трьох груп: 1) вбудовані, вмонтовані механізми гнучкості (стабілізатори); 2) автоматично діючі компенсуючи контрзаходи; 3) керовані програми компенсації. Перший вид антициклічних заходів (вмонтовані стабілізатори) включав в себе прогресивний податок на доход, систему страхування із безробіття, систему підтримки цін на фермерську продукцію, пільгові кредити, систему суспільних робіт і т.д. Їх призначення полягало в тому, щоб гасити циклічні коливання, вилучаючи з ринку під час економічного буму частину сукупного попиту і збільшувати його на стадії спаду. Ці заходи мають автоматичну дію, оскільки не потребують попереднього узгодження з парламентом. Проте, вони не в змозі забезпечити перехід до загального зростання і зайнятості. Ця функція лягала на другу групу заходів антициклічної політики: зниження норми позичкового процента за допомогою зниження облікової ставки, норми обов’язкового резервування, операцій з облігаціямидержавного запозичення; збільшення розміру позик, що надаються урядом, урядові гарантії по позикам і т.д. Ці дії також не потребували попереднього узгодження і повинні включатися автоматично, після досягнення економікою певного рівня параметрів (наприклад, рівня безробіття понад 7%). Третій тип заходів - керована програма компенсації циклу визначалася угодою між урядом і парламентом і зводилася до бюджетного регулювання. В періоди піднесення зростання приватних інвестицій і споживання повинно було обмежуватися. Це досягалося за допомогою збільшення надходжень до бюджету і утворення бюджетного надлишку. І навпаки, в період спаду скорочення ділової активності повинно було бути компенсоване за допомогою зростання витрат з державного бюджету, навіть за умови утворення і зростання дефіциту державного бюджету.

На поєднанні ефекту мультиплікатора і акселератора була побудована і теорія циклічного розвитку відомого англійського вченого Джона Ричарда Хікса (1904 - 1989). Його перу належали такі праці, як „Цінність і капітал” (1939), „Містер Кейнс і класики” (1937), „До теорії економічного циклу”(1950), „Перегляд теорії попиту” (1956), „Капітал і економічне зростання”(1965) та ін. Модель Дж. Хікса має наступний вигляд:


де Y - національний доход; A - автономні інвестиції; s - гранична схильність до заощаджень; v - акселератор. В залежності від співвідношення мультиплікатора (або коефіцієнта граничної схильності до споживання) і акселератора динаміка національного доходу або його приросту може набути рівномірного або ж циклічного характеру. На думку Хікса циклічні коливання виникають при співвідношенні [(1-s)+v]2<4v. А за умови [(1-s)+v]2 >4v економіка перебуває в стані динамічної рівноваги. Отже, робиться висновок - нециклічна динаміка можлива лише за високого коефіцієнта споживання.

Висновки

Неокейнсианство - школа макроекономічної думки, що склалася в післявоєнний період на основі праць Дж. М. Кейнса. Група економістів (особливо великий внесок внесли Франко Модільяні, Джон Хікс і Пол Самуельсон) зробила спробу інтерпретувати і формалізувати вчення Кейнса і синтезувати його з неокласичними моделями економіки. Їх робота стала відома як «неокласичний синтез», на її основі були створені моделі, які сформували центральні ідеї неокейнсіанства. Розквіт неокейнсіанства припав на 1950-ті, 60-ті і 70-ті роки.

Неокейнсианство, теорія державно-монополістичного регулювання капіталістичної економіки і є модифікацією кейнсіанства стосовно до історичної обстановці, що склалася після 2-ої світової війни 1939-45 р.р. Видні прихильники неокейнсіанства - Р. Харрод, Н. Калдор, Дж. Робінсон, Е. Домар, А. Хансен.

Неокейнсианство склалося в 1-ій половині 50-х рр.. під впливом поглиблення загальної кризи капіталізму і пов'язаного з ним процесу переходу від монополістичного до державно-монополістичного капіталізму, науково-технічної революції, економічному змагання двох світових систем і краху колоніальної системи імперіалізму. У нових історичних умовах, коли проблема темпів економічного зростання стала розглядатися як питання життя і смерті капіталізму, неокейнсіанство вже не могло на зразок теорії Дж. М. Кейнса обмежитися розглядом переважно так званих проблем антикризової економічної політики. Тому неокейнсіанство акцентує увагу на кількісних залежностях розширеного капіталістичного відтворення або, на проблемах економічної динаміки та економічного зростання, виступаючи в якості найважливішої теоретичної основи економічної політики державно-монополістичного капіталізму.

Список використаних джерел

. Харрод Р. Ф., К теории экономической динамики, пер. с англ., М., 1959;

2. Хансен Э., Экономические циклы и национальный доход, пер. с англ., М., 1959;

3. Тинберген Я., Бос Х., Математические модели экономического роста, пер. с англ., М., 1967;

4. Осадчая И. М., Современное кейнсианство, М., 1971;

5. Буржуазные экономические теории и экономическая политика империалистических стран, отв. ред. А. Г. Милейковский, М., 1971.

6. Історія економіки та економічної думки - Шевченко О.О. <http://pidruchniki.ws/12980108/politekonomiya/neokeynsianstvo_postkeynsianstv>

. Корнійчук Л.Я., Татаренко Н.О., Поручник А.М. Історія економічних учень Навчальний посібник / К.: КНЕУ, 1999.- 562 c

.Базилевич В.Д., Гражевська Н.І., Гайдай Т.В., Леоненко П. М., Нестеренко А. П. Історія економічних учень Навчальний посібник / К.: Знання, 2004.- 1300 c

Похожие работы на - Неокейнсіанство та його особливості

 

Не нашли материал для своей работы?
Поможем написать уникальную работу
Без плагиата!
Без нейросетей!