|
r1, Ом
|
r2, Ом
|
r3, Ом
|
E, В
|
L, мГн
|
C, мкФ
|
|
25
|
25
|
25
|
100
|
125
|
100
|
Схема цепи:
Расчёт тока i1 (t) при замыкании первого
ключа:
При замыкании первого ключа образуется неразветвлённая цепь
.1 Общая формула для нахождения тока:
i1 (t) =iприн+iсвобь i1 (t) =iприн+A*ep*t
1.2 Нахождение коэффициента p:
Z (p) =p*L+r1+r3=0, откуда
p=-
=-0.4*103
τ=
=2.5*103
1.3 Нахождение принужденной силы тока:
По 2-ому закону Кирхгофа:
E= iприн*r1+ iприн*r3. Выразив iприн, получится:
iприн=
=2 A
1.4 В момент замыкания ключа:
i1 (0) =iприн+A*ep*t=0,
следовательно
i1 (0) =iприн+А. Из этого следует, что:
A=-iприн=2 A
Подстановка полученных данных в общую формулу:
i1 (t) =iприн+A*ep*t=iприн - iприн*
При t=τ:1 (τ) = iприн - iприн*
=1.245 A
несинусоидальное напряжение ток электрический
2.
Расчёт тока i1 (t) при замыкании первого и второго ключа (ключи
замыкаются последовательно)
2.1 При замыкании 2-го ключа образуется разветвлённая цепь:
.2 Для нахождения тока i1 применяется формула
i1 (t) =iприн+iсвоб (t),
где 1) по 2-му закону Кирхгофа iприн=
=2 A (в момент замыкания 2-го ключа ток на конденсаторе равен
0) 2) iсвоб (t) =A*e-α*t*sin (ω0*t+ψ)
2.3 Нахождение коэффициента p:
Определим входное сопротивление:
Z (p) =
Приравняв выражение к 0 и выразив р, получается
p2* (L*C+r3*C) +p
(C*r2+L+C*r1*r2+ C*r1*r3+
C*r3*r2) +r3+r1=0
Определение корней р этого уравнения:
p1,2=

= -10.5±56.772i
2.3 Применив формулу P=-α±i*ω0 определяются следующие величины: α=-10.5 рад. ω0=56.772 рад/с
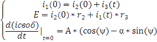
2.4 Составление производной формулы нахождения iсвоб (t):
iсвоб(t)=A*e-α*t*sin(ω0*t+ψ)
|t=0=A*(cos(ψ)-α*sin(ψ)
2.5 Составление системы для нахождения A и ψ:
при Uc=0 и i3 (0) =i1 (τ)
Решив данную систему уравнений, определяется свободный ток,
позволяющий найти искомый ток i1.
Заключение
В данной работе рассматривается методика расчёта и
особенности линейных электрических цепей при воздействии на них
несинусоидальных ЭДС и токов, а также переходные процессы, которые представляют
собой процессы перехода от докоммутационного состояния до послекоммутационного.
Список
использованной литературы
1. Бессонов
Л.А. Теоретические основы электротехники. Электрические цепи. М.: Гардарики,
2001 г - 638 с