Расчет распространения волн напряжений и токов в системе с распределенными и сосредоточенными параметрами
Отчет
о лабораторной работе по теме:
Расчет
распространения волн напряжений и токов в системе с распределенными и
сосредоточенными параметрами
Санкт-Петербург
Дана схема:
Рис. 1
Заданы параметры:
=100 кВ, Z0=200 Ом, Z1=400 Ом, Z2=200 Ом, l1=25
м, l2=50 м.
Рассчитать напряжения и токи в узлах в
зависимости от времени.
Построить графики напряжений и токов в узлах, а
также приходящих и уходящих волн.
Метод расчета - метод бегущих волн, метод
эквивалентной волны (и линии), метод эквивалентного генератора, приближенный
метод расчета напряжений и токов в контурах первого порядка.
Задаем шаг расчета по длине
, кратный
длинам линий. Определяем шаг расчета по времени -
, проверяем,
удовлетворяет ли он соотношениям, полученным в задании 1. Определяем число
шагов по длине для каждой из линий (
). Эти величины определяют активную
часть массивов, в которые будем записывать прямые и обратные волны,
сформированных предварительно (
).
Все расчеты напряжений в узлах будем
вести независимо для схем, построенных с помощью метода эквивалентных волн и
метода эквивалентного генератора.
Организуем цикл по времени “ do
t=dt,tk,dt ” (tk - время окончания расчета, задается предварительно)
Извлекаем волны, которые приходят к
каждому из узлов, из массивов прямых и обратных волн: “ u12p=U12(n1) ” - волна
(прямая), которая приходит к узлу 2, “ u21p=U21(n1) ” - волна которая приходит
к узлу 1, “ u23p=U23(n2) ” - волна (прямая), которая приходит к узлу 3, “
u32p=U32(n2) ” - волна (обратная), которая приходит к узлу 2.
Определяем внешнее воздействие -
волну u01 для текущего момента времени t. При заданных параметрах используем
условный оператор “ if … ”.
Вычисляем напряжение в узле 1.
Предварительное преобразование схемы расчета напряжения в узле 1
проиллюстрировано на рисунке:
Рис. 2
ток узел волна массив
.
Затем переходим к схеме (в), где
, а активное
сопротивление равно эквивалентному волновому. Напряжение в узле 1 этой схемы и
волны, уходящие от узла влево и вправо равны:
.
В соответствии с принятыми в
программе обозначениями приходящие волны: u01 и u21p, а уходящие: u10 и u12v .
Вычисляем напряжение в узле 2.
Отличие состоит в том, что вместо активного сопротивления здесь включена
емкость С. Приближенно напряжение можно вычислить по формуле:
.
Здесь
. Эта величина и, соответственно,
экспонента (при расчете с постоянным шагом по времени) могут быть вычислены до
цикла по времени. Приходящие волны: u12p и u32p. Соответствующая строка
программы имеет вид: “u2=(1-exp(-a*dt))*ue2+ exp(-a*dt)*u2”. Отраженные волны
u21v и u23v вычисляются аналогично предыдущему.
Напряжение в узле 3 вычисляется
аналогично п.4.3, стой разницей, что нет необходимости выполнять
эквивалентирование линий, т.к. здесь всего одна приходящая линия. Приходящая
волна: u23p, уходящая: u32v.
Выполняем вывод результатов расчетов
в предварительно открытый файл. Последовательно записываем значения времени,
внешнего воздействия, напряжений в узлах, уходящих волн, так, чтобы затем можно
было построить графики.
Перемещаем волны в массивах
.
Это делается в циклах (n1-1) и
(n2-1) раз. Поскольку волны “двигаются” от меньших номеров узлов к большим и
извлечение волн осуществляется из конечных элементов активной части массивов,
перемещение следует начинать с конца. Соответствующий фрагмент программы имеет
вид:
“ do i=n1,2,-1
U12(i)= U12(i-1) и т.д.
end do”
Записываем полученные на этом шаге отраженные
волны в первые ячейки соответствующих массивов: “U12(1) = u12v; U21(1) = u21v;
…”.
Конец цикла по времени: “end do”.
Реализуем данную задачу в Matlab:
% test 1 29.03.12
% задание исходных данных
Em=100;=2;=80;
l2=100; dl=5;=400;=200;=200;=fopen('idrez.txt', 'wt');(fid,'\n Em=%g
tf=%g\n',Em,tf);(fid,'\n l1=%g l2=%g\n',l1,l2);(fid,'\n z0=%g z1=%g z2=%g
\n',z0,z1,z2);
v=300;
dt=dl/v;=400; R=400;(fid,'\n L=%g R=%g
\n',L,R);=z2/L;=exp(-dt*aL);=1-aL1;e=z0*z1/(z0+z1);
z2e=z1*z2/(z1+z2);=15;=round(tk/dt)+1;
% число шагов по времени
% объявление и обнуление
массивов=zeros(n1,1); U21=U12;
U23=zeros(n2,1);
U32=U23;=zeros(k,1); U2=U1; U3=U1; t=U1;=U1; i3=zeros(n2,1);
% начальные значения напряжений и
токов(1)=0;
% цикл по времениi=2:1:k
% извлечение волн из массивов
u12p=U12(n1); u21p=U21(n1); u23p=U23(n2); u32p=U32(n2);
t(i)=dt*(i-1);
% времяt(i)<tf(i)=Em/tf*t(i);(i)=Em;=Et(i);
% uzel
1=Et(i)/z0*z1e+u21p/z1*z1e;(i)=2*ue1*R/(z1e+R); u1=U1(i);u=U1(i)-u21p;
% uzel
2=u12p/z1*z2e+u32p/z2*z2e;(i)=2*ue2; u2=U2(i);u=U2(i)-u12p; u23u=U2(i)-u32p;
% uzel
3(i)=aL2*2*u23p/z2+i3(i-1)*aL1;(i)=2*u23p-i3(i)*z2;u=U3(i)-u23p;
% перемещение и запись волн в
массивы
for j=n1:-1:2(j)=U12(j-1);(j)=U21(j-1);j=n2:-1:2(j)=U23(j-1);(j)=U32(j-1);(1)=u12u;
U21(1)=u21u;
U23(1)=u23u; U32(1)=u32u;
% максимумы напряжений
U1m=max(U1);m=max(U2);m=max(U3);(fid,'\n
U1m=%g U2m=%g U3m=%g \n',U1m,U2m,U3m);(t,Et,t,U1,t,U2,t,U3);('t mks');
ylabel('U kV');('Em','U1','U2','U3');(fid);
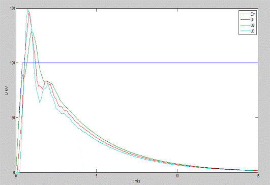
Исходные данные:
=100 кВ,
tf=0.4 мкс,
l1=25 м,
l2=50 м,
z0=200 Ом,
z1=400 Ом,
z2=200 Ом, L=400 мкГн, R=400 Ом.
m=128.713 кВ,m=147.138 кВ,m=149.034
кВ.
Рис. 3 - Зависимость напряжений от времени при
tf=0.4 мкс
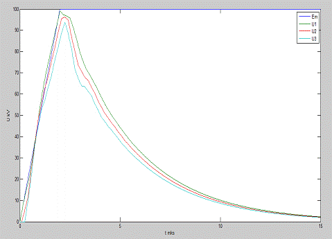
Исходные данные:
=100 кВ, tf=2 мкс, l1=25 м, l2=50 м, z0=200 Ом,
z1=400 Ом,=200 Ом, L=400 мкГн, R=400 Ом.
Значение максимальных напряжений в узлах:
m=99.0556 кВ,m=96.2029 кВ,m=93.7945 кВ.
Рис. 4 - Зависимость напряжений от времени при
tf=2 мкс
Исходные данные:
=100 кВ, tf=2 мкс, l1=80 м, l2=100 м, z0=200 Ом,
z1=400 Ом,=200 Ом, L=400 мкГн, R=400 Ом.
Значение максимальных напряжений в узлах:
m=101.526 кВ,m=99.9213 кВ,m=92.7778 кВ.
Рис. 5 - Зависимость напряжений от времени при
tf=2 мкс, l1=80 м, l2=100 м
Проектирование схемы в ATP
Рис. 6
Результаты:

Рис. 8 - Зависимость напряжений от времени при
tf=2 мкс
Рис. 9 - Зависимость напряжений от времени при
tf=2 мкс, l1=80 м, l2=100 м
Вывод: Сравнивая результаты, полученные путем
моделирования данной задачи в Matlab и ATP, видно, что они полностью совпадают.
Это говорит о том, что расчет произведен верно. При увеличении фронта
воздействия максимальные значения напряжений уменьшаются: tf=0.4 мкс,
m=128.713 кВ, U2m=147.138 кВ, U3m=149.034 кВ;
tf=2 мкс,m=99.0556 кВ, U2m=96.2029 кВ, U3m=93.7945 кВ.
При увеличении длины линий процесс становится
более колебательным.