Расчет оптической системы монокуляра
ЗАДАНИЕ
Исходные данные:
𝝍=7 секунд
2ω=5 град=382,86 мм
Тип призмы: Порро I
1. ИДЕАЛЬНАЯ ОПТИЧЕСКАЯ СИСТЕМА
Телескопическая система состоит из объектива и
окуляра
𝝍- разрешающая
способность монокуляра
2ω- полное поле зрения
монокуляра в пространстве предметоврасстояние между объективом и окуляром в
бесконечно тонкой системе
Рисунок 1 - Модель идеальной оптической системы
;
, где
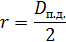
Удаление выходного зрачка
Определяем диаметр полевой диафрагмы
2. РАСЧЕТ ПРИЗМЫ
Рис. 2
Призма представлена в виде плоско параллельной
пластинки
П.д.
Рис. 3
Если пучок расходящийся
коэффициент призмы, который зависит от типа
призмы
Где r- рисунок полевой диафрагмы
[2]
- пучок сходящийся
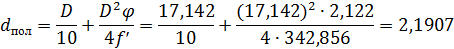
Толщина пластинки:
=4
Рис. 4 - Схема идеальной оптической системы
плоско параллельной пластинки
Осесимметричная система-система в которой центры
всех поверхностей на оптической оси. (Заменяем бесконечно тонкий объектив и
окуляр реальными)
3. ВЫБОР ОКУЛЯРА
Определяем окуляр по полному полю зрения
монокуляр в пространстве предметов [1];
Тип окуляра - Кельнера.
Окулярное поле зрения
.
Обозначение 1K-F40.
Вершинные фокусные расстояния
.
Диаметр диафрагмы поля зрения
.
Перемещение окуляра на 1дптр=1,6.
Световой диаметр D=39,
.
Расстояние между линзами
.
Рис. 5
Диафрагма поля зрения
D=39,0 стекло К8
=9,0
D=39,0 стекло 6К5
=8,0
D=22,5
стекло Ф3
=2,0
+III. d=10,0
,
,
,
БК6
Ф13
Параксиальные
характеристики:
Параксиальные
характеристики для обратного хода:
до выходного зрачка
Результаты расчета окуляра в обраном ходе:
Элементарные функции(мм)= - 0,039475850 -
сферическая’= 12,2417749 - хроматизм для линии С’=12,12071387 - хроматизм для
линии F’=-14,456592 - главный луч’=-14,4013481 - верхний луч’=-14,5112017 -
нижний луч
Вычисление комы:
0,121061060
хроматизм положения
,00321234 - продольная сферическая аберрация
Расчет системы окуляр+призма. Расстояние между
призмой и окуляром
+S=|-12,19436|+16=-28,19436
4. РАСЧЕТ ОБЪЕКТИВА
Рассчитывается таким образом чтобы
компенсировать аберрации системы окуляр+призма
Дано:
Используя теорию Слюсарева, определяем параметры
P,C,W [4];
Из формул
Находим Р:
Находим С:
Определяем W при
Если W<0,8 то крон впереди
Используя диаграмму (
пару
марок стекол [2] номер клетки 17→К8ТФ1 далее по таблице №5 [2] находим:
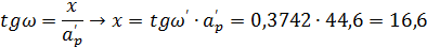
Находим углы первого параксиального луча
,

Находим толщины положительной и отрицательной
линз
Делаем проверку по программе НЕОС.
Рассчитываем аберрации полученного
объектива.сферическая аберрация 0,0211757.
Хроматизм -0,0803490.
Кома 0,00317091.
Вычислям аберрации высших порядков:
(Разность между расчетными и данными
значениями).
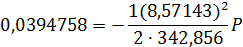
Сферическая
аб.=0,0211757-(-0,0394758)=0,0606515.
Хроматизм= - 0,0803490 - 0,121061060= -
0,20141006.
Кома=0,00317091-0,00321234=-0,000041.
Проводим оптимизацию с помощью программы НЕОС.
Задаем фиксированное значение; фокусное
расстояние; выходим на таблицу оптимизированных функций, задаём:заданные
значения аберраций которые использовались перед началом объектива, значения
аберраций и допуски (10я часть номинальных значений), толщина по краю-минимальное
значение.
В результате получаем меридианальные радиусы.
,38351
,768563
,469228
Приводим их в соответствии с ГОСТ с помощью
программы НЕОС (вид работ перестройка).
,54
,89
Осевые расстояния 2,2; 1,7
Окончательный вариант аберраций.
,043919-сферическая аберрация.
,1064114-хроматизм.
,0034229-кома.
Параксиальные характеристики.
F’=342,89506 D=17,1428 SF=-342,3469
D’=17,170244’=340,96069 L=344,86069
5. ОСЕСИММЕТРИЧНАЯ ОПТИЧЕСКАЯ
СИСТЕМА
Берем реальный окуляр и плоскопараллельную
пластинку (призму) и реальный объектив
Рис. 6
,51829-показатель преломления призмы К8
,96070+16+12,19436=353,15506’+|SF|=340,96+12,19436=353,15436
6. ПРОСТРАНСТВЕННАЯ ОПТИЧЕСКАЯ СИСТЕМА
Призма ПорроI
Рис. 7
основной конструктивный параметр
/2=30,07/2=15,035
Определяем орты нормалей поверхностей призмы
Расчет аберраций оптической системы
объектив+призма
Кома:
Поперечная сферическая: -0,00144791
Поперечная сферическая:
0,4368354-(-0,090335)=0,5271704
Суммирование аберраций (из объектив+призма
сферич. аб. вычесть сфер. аб. окуляра в обратном ходе)
,00144791-(-0,00098706)=-0,0004609
хроматиз. об-в+призма сложить с хроматизмом
обр.хода окуляра
,5271704+(-0,1210603)=0,40610937
кома
,005259-0,0002875=-0,0055465
Расчет аберраций монокуляра.
Вводим показатели преломления.
Рис. 8
С помощью программы НЕОС получаем параксиальные
характеристики
Рис. 9
Рис. 10
оптика окуляр призма аберрация
Рис. 11
Контрольные характеристики Триорта пространства
изображений
Результаты расчета:
Суммирование аберраций объектив+призма и окуляр
приводим в угловую меру.
,0004609:40=-0,0000115225 (рад)-сферичес.
,0055765:40=-0,0001386625 (рад) - кома
ВЫПУСК ЧЕРТЕЖА СЕТКИ
Расстояние между штрихами
Цена деления 0-0,5 дистанции
-0,1=3,6’
-0,5=18’
Световой диаметр сетки
Число штрихов
|
суммирование
аберраций
|
сквозной
расчет
|
|
|
|
k
|
|
|
|
k
|
|
-0,00046
|
0,406109
|
-0,00554
|
|
-0,0000115
|
|
-0,000138
|
СПИСОК ЛИТЕРАТУРЫ
1. Окуляры
телескопических систем Н., 1989
2. Шульженко
П.Ф. Справочник конструктора оптико-механических приборов / В.А. Панов, М.Я.
Кругер Л., 1980 г.
. Бегунов
Б.Н., Заказнов Н.П. М., 1981 г.