Расчет оптической системы
Введение
Целью задания является овладение навыками
энергетического расчета и расчета основных элементов системы ОЭП, в котором в
качестве источника излучения применяют лазер.
Схема обобщенной приемопередающей оптической
системы представлена на рисунке 1.
Данная система работает следующим образом:
излучение источника - лазера 1, пройдя согласующие линзы 2 и
и
модулятор 3 компонентами 4 и 5 передающей оптической системы формируется в
пучок с заданным углом расходимости и направляется на отражатель 6. Отраженный
пучок собирается компонентом 7 приемной оптической системой и пройдя компонент
8, полупрозрачную пластинку 9 и светофильтр 10 фокусируется с помощью
компонента 11 на чувствительный площадке приемника лучистой энергии 12.
С целью осуществления гетеродинного способа
приема в приемной системе имеется лазер гетеродин 14, излучение которого
формируется компонентом 13 и после отражения от пластинки 9 также фокусируется
на чувствительной площадке приемника 12. Лазер 1 работает в одномодовом режиме.
Модулятор 3 предназначен для модуляции излучения лазера и представляет собой
кристалл, обладающий электро-оптическимим свойствами. Согласующая линза 2
служит для формирования пучка лазера таким образом, чтобы на торцах кристалла
пучок имел минимальные поперечные размеры. Линза 2 аналогична
,
они устанавливаются симметрично относительно модулятора. Благодаря этому можно
получить на выходе линзы
пучок с такими же
параметрами как и выходной пучоклазера, что позволяет в случае необходимости
производить юстировку системы без модулятора.
Компонент 4 представляет собой положительную или
отрицательную линзу с коротким фокусным расстоянием, а компонент 5 - объектив,
который в зависимости от степени компенсации аберраций может состоять из
нескольких линз.
Для получения на выходе из передающей оптической
системы пучка с изменяющейся диаграммой направленности линза 4 может
перемещаться вдоль оптической оси. Отражатель 6 представляет собой плоскую
диффузную поверхность. Компоненты 7 и 8 приемной оптической системы образуют
телескопическую систему благодаря чему разделительная пластинка 9 и
интерференционный светофильтр 10 работают в параллельном пучке лучей. Линза 13
совместно с фокусирующим компонентом 11 образуют в плоскости чувствительной
площадки приемника 12 изображение перетяжки выходного пучка лазера гетеродина
14 с определенными размерами.
ОЭП работает в наземных условиях при фоновой
засветке, создаваемой рассеянным солнечным излучением. В задании требуется
выбрать приемник лучистой энергии, рассчитать передающую и приемную оптические
системы, произвести энергетический расчет и расчет эффективности применения
светофильтра.
Рисунок 1.
1. Данные варианта
Вариант Е111
Длина волны излучения лазера излучателя 1 и
лазера гетеродина 4 - λ = 0,48 мкм;
Минимальный угол расходимости пучка на выходе
передающей оптической системы -
= 26угл.сек;
Эквивалентный конфокальный параметр пучка лазера
1 -
=
1700 мм;
Увеличение телескопической приемной системы -
=
;
Эквивалентный конфокальный параметр пучка лазера
гетеродина 14 -
= 600 мм;
Диаметр входного зрачка объектива 7 приемной
оптической системы и отражателя 6 -
=
300мм.
Кроме того для расчета необходимо принять
следующие данные:
Ширина полосы пропускания светофильтра - ∆λ
= 5нм;
Длина кристалла модулятора - b
= 150мм;
Показатель преломления материала модулятора - n
= 4;
Максимальный угол расходимости пучка на выходе
из передающей оптической системы -
=
2
,
где
-
угол расходимости пучка лазера 1;
Поток излучения на выходе лазера 1 Ф = 1Вт ( для
аргоновых лазеров);
Коэффициент пропускания пластинки 9 -
=
0,9;
Коэффициент пропускания светофильтра -
=
0,8;
Полоса пропускания электронного канала - ∆f
= 4*
Гц;
Коэффициент диффузного отражения объекта -
=
0,5.
2. Выбор приемника лучистой
энергии
Основными критериями выбора приемника в данной
схеме является: квантовая эффективность и постоянная времени.
Отношение сигнал/шум на выходе приемника
пропорционально квантовой эффективности, поэтому следует выбирать приемник с
высокой квантовой эффективностью. Постоянная времени определяет полосу частот и
верхнюю граничную частоту модуляции сигнала. Исходя из этого требуются
приемники с малой постоянной времени.
В качестве приемниках в гетеродинных системах
используют малоинерционные фотоумножители и фотодиоды, специальные СВЧ
приемники и некоторые другие.
Квантовая чувствительность приемника к
монохроматическому потоку равна
= 1,24*
/λ,
где
-
спектральная чувствительность (А/Вт).
Таким образом необходимо выбирать приемники с
высокой спектральной чувствительностью к излучению с длиной волны лазера.
Пользуясь кривыми спектральной чувствительностей
выбираем 2 приемника, для которых длина волны излучения лазера попадают в
полосу спектральной характеристики чувствительности.
Спектральная чувствительность приемника ФЭУ-27
представлена на рисунке 2.
Спектральная чувствительность приемника ФЭУ-38
представлена на рисунке 3.
Если приемник калибровался по излучению черного
тела, то для расчета спектральной чувствительности используем формулу:
,
где
-
интегральная чувствительность,
- относительная
спектральная чувствительность на длине волны лазера, k-
коэффициент использования приемником излучения черного тела.
Рассчитаем спектральные чувствительности для
каждого приемника:
Для приемника
ФЭУ-27
=
0,95
= 16,6 А/Вт, k= 0,0473.
= 333,4 А/Вт.
Для приемника
ФЭУ-38
=
0,91,
=
16600 А/Вт, k= 0,0418.
= 361387,56 А/Вт
Выбираем приемник с наибольшей спектральной
чувствительностью. В данном случае - это приемник ФЭУ -38.
Параметры приемника ФЭУ- 38:
Коэффициент использования приемником излучения
черного тела - k =0,0418;
Спектральная чувствительность -
=
2177 А/Вт;
Интегральная чувствительность -
=
16600А/Лм;
Напряжение питания -
=
1800 В;
Размер чувствительной площадки = Ø34.
3. Расчет передающей оптической
системы
Расчет передающей оптической системы
складывается из расчета согласующих линз 2 и 2’, колимирующей
системы 4, 5 для получения минимального угла расходимости и
расчета подвижки линзы 4 для получения заданного угла расходимости θmax.
3.1 Расчет согласующих линз
Определяем необходимую величину эквивалентного
конфокального параметра пучка за линзой 2, с целью получения минимально
поперечных размеров пучка на торцах модулятора:
где b=150 [мм] - длина кристалла
модулятора;
n=4
- показатель преломления кристалла модулятора.
3.1.б.
Находим фокусное расстояние линзы 2 из выражения:
т.к. d2=
-f2,
то:
Rэ
- эквивалентный конфокальный параметр пучка лазера 1;
Rэ2’
- эквивалентный конфокальный параметр пучка лазера 1 за линзой 2;
f'2-
фокальное расстояние линзы 2.
Очевидно, что следует взять положительное
значение фокусного расстояния, оно определяет положение линзы 2 относительно
лазера.
Отсюда следует, что f’2=d2=126.2438[мм];
Определяем диаметр пучка в плоскости линзы2:
гдеW0
- размер пятна основной моды лазера в плоскости перетяжки;
d2
- расстояние от главных плоскостей линзы до плоскости перетяжки пучка лазера;
Rэ
- эквивалентный конфокальный параметр пучка лазера 1.
Размер пятна основной моды находим по формуле:
где λ[мм]
-
длина волны излучения лазера 1;
Rэ
- эквивалентный конфокальный параметр пучка лазера 1.
Определяем световой диаметр линзы2(в
дальнейшем во избежание потерь на виньетировании примем световой диаметр линзы
в два раза больше величины перетяжки в плоскости линзы):
где D2
- размер пятна основной моды лазера в плоскости линзы 2;
D2св-
световой диаметр линзы 2.
Принимаем D2св
равным 4 мм, из конструктивных соображений.
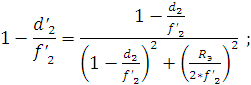
Определяем положение кристалла модулятора
относительно линзы 2:
Для этого ищем положение плоскости перетяжки
пучка за линзой, в отсутствии модулятора (в воздухе). Величина d’2
находится из формулы:
где d2
- расстояние от главных плоскостей линзы до плоскости перетяжки пучка лазера.
Считаем, что перетяжка пучка лазера находится в плоскости его выходного торца;
f’2
-фокальное расстояние линзы 2;
Rэ
- эквивалентный конфокальный параметр пучка лазера 1.
Так как d2
= -f’2,
то получаем -d’2
= f’2,
очевидно,
что модулятор должен быть установлен таким образом, чтобы перетяжка
располагалась в его середине, однако в кристаллеперетяжка сдвигается по ходу
лучей на величину:
где b=150 [мм] - длина кристалла
модулятора;
n=4-
показатель преломления кристалла модулятора.
Таким образом, расстояние от линзы 2 до
входного торца модулятора можно найти:
где b=150 [мм] - длина кристалла
модулятора;
n=4
-
показатель преломления кристалла модулятора;
f’2-фокальное
расстояние линзы 2.
Определяем поперечные размеры (диаметр кристалла
модулятора), по формуле:
где W0
- размер перетяжки за линзой 2;
Sмод-
расстояние от линзы 2 до входного торца модулятора;
Rэ2
- эквивалентный конфокальный параметр пучка лазера 1 за линзой 2.
Диаметр кристалла принимаем равным 4 мм,
из конструктивных соображений.
4. Расчет колимирующей системы
Если не ставится задача оптимизации параметров
системы, то ее можно рассматривать, как телескопическую. При этом перетяжку
исходного пучка следует располагать в передней фокальной плоскости первого
(короткофокусного компонента) в этом случае на выходе системы для заданного
увеличения получается минимальный угол расходимости пучка. Так как первый
элемент короткофокусный, то лучи за ним очень близки к прямолинейным и можно не
учитывать «кривизну» лазерных лучей. Расчет такой системы заключается в выборе
увеличения фокусных расстояний и световых диаметров компонентов(абберационный
расчет в задании не рассматривается).
Определяем увеличение телескопической передающей
системы:
где θmin-угол
расходимости пучка лазера, равный углу расходимости на выходе 2’;
θлаз
- минимальный угол расходимости пучка на выходе передающей оптической системы;
Rэ
- эквивалентный конфокальный параметр пучка лазера 1.

Определяем диаметр пучка в плоскости первого
компонента, считая его в первом приближении равным диаметру перетяжки пучка за
линзой 2’ т. е:
а затем световой диаметр компонента:
Принимаем световой диаметр четвертого компонента
равным 4 мм, из конструктивных соображений.
Задавшись относительным отверстием первого
компонента ¼и считая его
положительным, находим фокусное расстояние компонента 4.
где D4св-световой
диаметр компонента 4;
Уточняем световой диаметр компонента 4,
рассчитав его по формуле:
где Rэ
- эквивалентный конфокальный параметр пучка лазера 1;
D4св
-световой диаметр компонента 4;
f'4
- фокальное расстояние компонента 4.
а затем относительное отверстие:
Определяем фокусное расстояние компонента 5:
Находим световой диаметр компонента 5:
4.1 Расчет
подвижки компонента 4
Для получения большего угла расходимости на
выходе передающей оптической системы, целесообразно сдвигать компонент 4
вдоль оптической оси по направлению к компоненту 5, так как в этом
случае пучок не будет виньетироваться на последнем компоненте.
Исходя из заданного максимального угла расходимости,
найдем размер перетяжки пучка, на выходе передающей оптической системы:
где λ-
длина волны излучения лазера 1;
θmax=2*θлаз-
максимальный угол расходимости пучка на выходе из передающей оптической
системы.
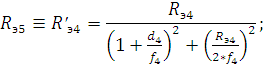
Определяем расстояние от компонента 5 до
перетяжки исходного пучка из формулы:
где W’5
- размер перетяжки пучка на выходе передающей оптической системы;
λ - длина
волны излучения лазера 1.
Определяем расстояние d
от компонента 5 до перетяжки исходного пучка из формулы:
где f’5
- фокальное расстояние компонента 5;
R’э5
- эквивалентный конфокальный параметр пучка на выходе передающей оптической
системы;
Rэ5
- эквивалентный конфокальный параметр пучка между компонентами 4 и 5,
который можно определить при первоначальном положении компонента 4 по
формуле:
где d4
= -f4,
Rэ4=
Rэ.
Тогда:
Отсюда:
Считая, что при смещении компонента 4,
перетяжка пучка за ним будет по прежнему находится в его задней фокальной
плоскости, найдем необходимое смещение:
5. Расчет приемной
оптической системы
Расчет приемной оптической системы заключается,
в расчете телескопической системы 7,8. В выборе фокусирующего компонента
11, расчете линзы 13 и точности установки пластин 9.
5.1 Расчет телескопической приемной
системы
где Гпр. -
увеличение телескопической приемной системы;
Dвх.зр.
- диаметр входного зрачка объектива 7 приемной оптической системы.
Находим фокусноерасстониеf’7и
f’8,
задавшись относительным отверстием компонентов D7св.
/ f
и D8св.
/ f,
1/4:
Тогда:
5.2 Выбор
фокусирующего компонента 11
Определяем световой диаметр компонента:
где S-расстояние
между компонентами 8 и 11которое принимаем равным 100 [мм];
D8
- световой диаметр компонента 8;
λ - длина
волны излучения лазера.
Находим фокусное расстояние f’11,
задавшись относительным отверстием 1/4:
5.3 Расчет
линзы 13
Задачей линзы является передача плоскости
перетяжки пучка лазера гетеродина в плоскость чувствительной площадки
приемника. Эта задача решается, если совместить плоскость перетяжки лазера (на
выходном торце лазера), с передней фокальной плоскостью линзы, а заднюю
фокальную плоскость линзы совместить с передней фокальной плоскостью компонента
11. При этом необходимо, что бы размер перетяжки лазера в плоскости чувствительного
слоя приемника был больше размера сфокусированного пятна сигнального
пучка.Значение f’13выбираем из конструктивных соображений,
учитывая необходимость совмещения фокальных плоскостей, компонентов 13 и
11и установки пластинки 9 и светофильтра 10 между ними.
После выбора рассчитаем размер пятна от лазера
гетеродина в плоскости приемника и сравним его с размером пятна полезного
излучения.
где Rэг
- эквивалентный конфокальный параметр пучка лазера 14;
λ - длина
волны излучения лазера гетеродина 14.
Значение f’13выбираем равным 50
мм.
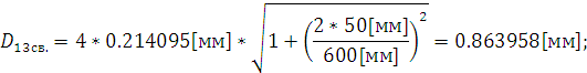
Найдем световой диаметр линзы 13:
где Wгет
- размер перетяжки основной моды лазера гетеродина;
Rэг
- эквивалентный конфокальный параметр пучка лазера 14;
f'13
- фокусное расстояние линзы 13.
Из конструктивных соображений принимаем его
равным 4 мм.
Рассчитаем и сравним размеры пятен лазера
гетеродина и полезного сигнала в плоскости приемника:
5.4 Расчет точности установки
пластинки 9
Пластинка 9 должна обеспечивать
парралельность волновых фронтов сигнального и опорного пучков, с точностью
необходимой для осуществления гетеродинного приема. С этой точностью должен
работать юстировочный механизм пластинки 9.
где Wпол.12
- диаметр пятна на чувствительной площадке
приемника;
λ - длина
волны излучения лазера.
6. Энергетический
расчет приемопередающей оптической системы
Основным соотношением для расчета является
«сигнал-шум»:
где Ф- поток на входе приемника;
Фп
- пороговая чувствительность приемника;
m
- требуемое отношение «сигнал-шум» (принимаем равным 5).
При работе прибора, по схеме с обратным
отражением и гауссовским распределением интенсивности в поперечном сечении
пучка, формула для расчета дальности действия ОЭП принимает вид (формула
справедлива при условии, что телесный угол пучка выходящего из передающей
оптической системы, больше телесного угла под которым виден объект):
где Флаз - поток излучения
на выходе лазера;
Sоб
и Sвх.зр.-
соответственно площадь объекта и площадь входного зрачка приемной оптической
системы;
τпер
и τпр
- соответственно коэффициенты пропускания передающей и приемной оптической
системы;
τс-
коэффициент пропускания среды;
ρоб
- коэффициент диффузного отражения объекта;
Θпер
и wпер
- соответственно плоский и телесный углы расходимости пучка на выходе из
передающей оптической системы;
r
- расстояние от оси пучка до центра объекта;
β - угол
между нормалью плоскости объекта и осью пучка.
Рассчитать коэффициент пропускания:
Величина складывается из потерь энергии на
поглощение в кристалле модулятора и на отражении и преломлении, а так же потерь
в пластинке и светофильтре из-за виньетирования (потерями на виньетирование
пренебрегаем, так как световые диаметры линз выбирали заведомо увеличенными).
;
где K
= 0,01 - показатель поглощения оптического материала
«кристалл»;
b =150
[мм] - длина кристалла модулятора.
где N
- число поверхностей раздела среда - воздух, а
где n
- коэффициент преломления оптического материала.
Для линз принимаем его равным1,5163(К8),
для кристалла он известен и равен 4.
Для расчета отражения, количество поверхностей
раздела:
6 для передающей N=8;
7 для приемной N=8;
поверхности кристалла N=2;
отражение 9 пластинки задано и
равно 0,5.
Таким образом, вычислим общее пропускание обоих
оптических систем:
Таким образом получаем:
где τпл=
0,9 -коэффициент
пропускания пластинки 9 (поглощение);
τотр.пл.=
0,5
- коэффициент пропускания пластинки 9 (отражение);
τсв.=0,8
- коэффициент пропускания светофильтра;
Τотр.-
коэффициент пропускания оптических систем (отражение);
τпогл.кр.-
коэффициент пропускания кристалла (поглощение);
τотр.кр.-
коэффициент пропускания кристалла (отражение).
Тогда:
Вычисляем порог чувствительности приемника:
где h
- постоянная Планка h=6,6*10-34
[Дж*с];
ν - частота
излучения;
Δf
- полоса пропускания электронного канала;
qλ
- квантовая чувствительность.
Квантовую чувствительность находим по формуле:
где Sλ
- спектральная чувствительность приемника;
λ - длина
волны излучения лазера.
Тогда:
;
Величины площади объекта и входного зрачка
вычисляются по известной формуле:
;
А телесный угол w0:
Рассчитаем дальность действия ОЭП по формуле при
угле расходимости Θмин
, расчет вести методом последовательного приближения. В качестве первого
приближения найти величину L1
при τc=1
(величины β и r
принять равными 0, а m=5):
Затем задаться некоторым меньшим значением L2
и определить:
где αп
и αр
- соответственно показатели поглощения и рассеяния излучения в среде, принять αп=0,
а
где Lм-
расстояние до объекта.
Подставляя в формулу 3 найти новое
значение L3
и повторить расчет, задавшись другим значением L4
, расчет продолжать до тех пор пока Li+1
будет отличаться от Li
не более чем на 25%, убедиться в том, что объект находится в дальней
зоне передатчика.
В ходе расчета было найдено значение L=7638
[м]
Следовательно, объект находится в дальней зоне
передатчика.
7. Расчет эффективности светофильтра
При применении узкополосного фильтра с
некоторыми допущениями:
оптический лазер излучение энергия
где S(λ)
- кривая спектральной характеристики чувствительности приемника;
Sλc
- относительная величина спектральной чувствительности приемника на длине волны
излучения лазера;
φфλс
- относительная плотность излучения фона на длине волны излучения лазера;
Δλ0
- половина ширины пропускания светофильтра;
λ1 и
λ2
- границы определяемые границами чувствительности приемника.
Определить величину η,
считая,
что фоновая засветка создается рассеянным солнечным излучением. При вычислении
интеграла заменить его суммой и вычислить при:
|
λ
|
отн.ед.
|
|
0,207
|
0,00001191
|
|
0,414
|
0,07364
|
|
0,621
|
0,5171
|
|
0,828
|
0,9141
|
|
1,035
|
0,9979
|
|
1,242
|
0,902
|
|
1,449
|
0,7177
|
|
1,656
|
0,6039
|
|
1,863
|
0,4815
|
Интеграл вычислить графически:
|
λ
|
отн.ед
|
|
0,0621
|
0,000001191
|
|
0,14904
|
0,0456568
|
|
0,2484
|
0,41368
|
|
0,39744
|
0,9141
|
|
0,5175
|
0,89811
|
|
0,7452
|
0,451
|
|
1,0143
|
0,21531
|
|
1,3248
|
0,030195
|
|
1,58355
|
0
|
Заключение
В ходе задания, мы овладели навыками
энергетического расчета и расчета основных элементов оптической системы ОЭП в
котором в качестве источника излучения применяется лазер.
Список использованных источников
1. Аксененко М.Д., Бараночников
М.Л. «Приемники оптического излучения», Москва «Радио и Связь» 1987
. Иванов В.И., Аксенов А.И.,
Юшин А.М. «Полупроводниковые оптоэлектронные приборы», Москва «Энергоатомиздат»
1988г.
. Климков Ю.М. «Основы расчета
оптико-электронных приборов с лазерами», Москва «Советское радио» 1978г.
. Криксунов Л.З. «Справочник по
основам инфракрасной техники», Москва «Советское радио» 1978г.
Приложение
ФЭУ-27
ФЭУ-38