|
№
|
Цена акции,
долл. США
|
Доходность
капитала, %
|
Уровень
дивидендов, %
|
№
|
Цена акции, долл.
США
|
Доходность
капитала, %
|
Уровень
дивидендов, %
|
|
1
|
32
|
20
|
2,2
|
12
|
33
|
29
|
2,4
|
|
2
|
27
|
16
|
1,7
|
13
|
33
|
22
|
2,3
|
|
3
|
22
|
13
|
1,1
|
14
|
27
|
16
|
1,5
|
|
4
|
41
|
31
|
2,7
|
15
|
27
|
18
|
1,5
|
|
5
|
27
|
18
|
2,1
|
16
|
20
|
10
|
1,2
|
|
6
|
40
|
30
|
2,7
|
17
|
28
|
14
|
2,0
|
|
7
|
35
|
30
|
2,5
|
18
|
38
|
28
|
1,8
|
|
8
|
37
|
29
|
2,4
|
19
|
36
|
30
|
2,2
|
|
9
|
30
|
17
|
2,0
|
20
|
34
|
25
|
2,9
|
|
10
|
31
|
23
|
2,0
|
21
|
39
|
30
|
3,1
|
|
11
|
32
|
25
|
2,2
|
22
|
37
|
22
|
2,6
|
Требуется:
. Построить корреляционное поле между ценой акции и
доходностью капитала. Выдвинуть гипотезу о тесноте и виде зависимости между
доходностью и ценой.
. Оценить тесноту линейной связи между ценой акции и
доходностью капитала с надежностью 0,9.
. Рассчитать коэффициенты линейного уравнения регрессии для
зависимости цены акции от доходности капитала.
. Проверить статистическую значимость параметров уравнения
регрессии с надежностью 0,9 и построить для них доверительные интервалы.
. Рассчитать коэффициент детерминации. С помощью F-критерия Фишера оценить
статистическую значимость уравнения регрессии с надежностью 0,9.
. Дать точечный и интервальный прогноз с надежностью 0,9 цены
акции, если доходность капитала составляет 33%.
. Рассчитать коэффициенты линейного уравнения множественной
регрессии и пояснить экономический смысл его параметров.
. Проанализировать статистическую значимость коэффициентов
множественного уравнения с надежностью 0,9 и построить для них доверительные
интервалы.
. Найти коэффициенты парной и частной корреляции.
Проанализировать их.
. Найти скорректированный коэффициент множественной
детерминации. Сравнить его с нескорректированным (общим) коэффициентом
детерминации.
. С помощью F-критерия Фишера оценить адекватность уравнения регрессии с
надежностью 0,9.
. Дать точечный и интервальный прогноз с надежностью 0,9
величины цены акции компании с доходностью капитала 33% и уровнем дивидендов
3%.
. Проверить построенное уравнение на наличие
мультиколлинеарности по: критерию Стьюдента.
Решение
. Строим корреляционное поле для отражения зависимости цены
акции от доходности капитала:
Из рисунка видно, что между факторным и результирующим
показателей существует связь: чем больше доходность, тем выше цена акции. Можно
также предположить, что форма связи между факторным и результирующим
показателем линейная, а связь может быть сильнее, чем средняя.
Для расчета требуемых в задании показателей заполняем
таблицу:
|
№
|
|
|
|
|
|
|
1
|
20
|
32
|
640
|
400
|
1024
|
|
2
|
16
|
27
|
432
|
256
|
729
|
|
3
|
13
|
22
|
286
|
169
|
484
|
|
4
|
31
|
41
|
1271
|
961
|
1681
|
|
5
|
18
|
27
|
486
|
324
|
729
|
|
6
|
30
|
40
|
1200
|
900
|
1600
|
|
7
|
30
|
35
|
1050
|
900
|
1225
|
|
8
|
29
|
37
|
1073
|
841
|
1369
|
|
9
|
17
|
30
|
510
|
289
|
900
|
|
10
|
23
|
31
|
713
|
529
|
961
|
|
11
|
25
|
32
|
800
|
625
|
1024
|
|
12
|
29
|
33
|
957
|
841
|
1089
|
|
13
|
22
|
33
|
726
|
484
|
1089
|
|
14
|
16
|
27
|
432
|
256
|
729
|
|
15
|
18
|
27
|
486
|
324
|
729
|
|
16
|
10
|
20
|
200
|
100
|
400
|
|
17
|
14
|
28
|
392
|
196
|
784
|
|
18
|
28
|
38
|
1064
|
784
|
1444
|
|
19
|
30
|
36
|
1080
|
900
|
1296
|
|
20
|
25
|
34
|
850
|
625
|
1156
|
|
21
|
30
|
39
|
1170
|
900
|
1521
|
|
22
|
22
|
37
|
814
|
484
|
1369
|
|
Итого
|
496
|
706
|
16632
|
12088
|
23332
|
|
Среднее значение
|
22,5
|
32,1
|
756,0
|
549,5
|
1060,5
|
|
|
43,1
|
32,2
|
|
|
|
|
|
6,6
|
5,7
|
|
|
|
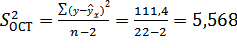
. Оцениваем тесноту линейной связи между ценой акции и
доходностью капитала с надежностью 0,9.
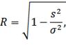
Тесноту линейной связи оцениваем с помощью коэффициент
корреляции:
Коэффициент корреляции принимает значения от -1 до +1.
Положительное его значение свидетельствует о наличии прямой связи,
отрицательное - об обратной. Итак, в данном случае имеет место прямая связь,
т.е. чем
Абсолютная величина R, лежащая между 0 и 1, служит мерой
тесноты связи. В зависимости от величины R можно сделать следующие заключения о
степени тесноты связи:
<=R<0,2 - практически нет связи;
,2<=R<0,5 - слабая (не тесная) связь;
,5<=R<0,75 - средняя связь;
,75<=R<0,95 - сильная (тесная) связь;
,95<=R<1,00 - практически функциональная связь.
Если R по абсолютной величине равен 1, это свидетельствует о
том, что связь между признаками является функциональной, т.е. факторный признак
полностью определяет результативный.
Полученное значение коэффициента R=0,914 свидетельствует о
наличии сильной связи между факторным и результирующим показателем.
3. Рассчитываем коэффициенты линейного уравнения регрессии для
зависимости цены акции (
) от доходности капитала (
):
Записываем уравнение регрессии:
Параметр регрессии позволяет сделать вывод, что с увеличением
доходности капитала на 1% цена акции возрастает в среднем на 0,79 долл.
. Проверяем статистическую значимость параметров уравнения
регрессии с надежностью 0,9 и строим для них доверительные интервалы.
Для проведения расчетов заполняем таблицу:
|
№
|
|
|
|
|
|
|
1
|
20
|
32
|
30,1
|
1,9
|
3,7
|
|
2
|
16
|
27
|
26,9
|
0,1
|
0,0
|
|
3
|
13
|
22
|
24,6
|
-2,6
|
6,5
|
|
4
|
31
|
41
|
38,8
|
2,2
|
5,0
|
|
5
|
18
|
27
|
28,5
|
-1,5
|
2,3
|
|
6
|
30
|
40
|
38,0
|
2,0
|
4,1
|
|
7
|
30
|
35
|
38,0
|
-3,0
|
8,9
|
|
8
|
29
|
37
|
37,2
|
-0,2
|
0,0
|
|
9
|
17
|
27,7
|
2,3
|
5,2
|
|
10
|
23
|
31
|
32,4
|
-1,4
|
2,1
|
|
11
|
25
|
32
|
34,0
|
-2,0
|
4,1
|
|
12
|
29
|
33
|
37,2
|
-4,2
|
17,5
|
|
13
|
22
|
33
|
31,7
|
1,3
|
1,8
|
|
14
|
16
|
27
|
26,9
|
0,1
|
0,0
|
|
15
|
18
|
27
|
28,5
|
-1,5
|
2,3
|
|
16
|
10
|
20
|
22,2
|
-2,2
|
4,8
|
|
17
|
14
|
28
|
25,3
|
2,7
|
7,1
|
|
18
|
28
|
38
|
36,4
|
1,6
|
2,6
|
|
19
|
30
|
36
|
38,0
|
-2,0
|
3,9
|
|
20
|
25
|
34
|
34,0
|
0,0
|
0,0
|
|
21
|
30
|
39
|
38,0
|
1,0
|
1,0
|
|
22
|
22
|
37
|
31,7
|
5,3
|
28,5
|
|
Итого
|
496
|
706
|
706,0
|
-
|
111,4
|
Определяем стандартные ошибки 
, 
, 
(остаточная дисперсия на одну степень свободы

):
Тогда:
Табличное значение t-критерия для
числа степеней свободы 
и надежности 
составляет 
.
Фактические значения t-статистики
превосходят табличное значение:
поэтому параметры 
, 
и 
не случайно отличаются от нуля, а статистически значимы.
Рассчитаем доверительные интервалы для параметров регрессии 
и 
. Для этого определяем предельную ошибку для каждого показателя:
Доверительные интервалы:
Анализ верхней и нижней границ доверительных интервалов приводит к
выводу о том, что с надежностью 0,90 параметры 
и 
, находясь в указанных границах, не принимают нулевых значений,
т.е. являются статистически значимыми и существенно отличны от нуля.
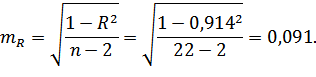
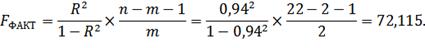
. Рассчитать коэффициент детерминации. С помощью F-критерия Фишера оценить статистическую значимость
уравнения регрессии с надежностью 0,9.
Коэффициент детерминации представляет собой квадрат коэффициента
корреляции:
Это означает, что 83,5% вариации цены акции (
) объясняется вариацией фактора 
- доходностью капитала.
Оценку статистической значимости уравнения регрессии в целом
проведем с помощью - критерия Фишера. Фактическое значение - критерия
составляет:
Табличное значение критерия при десятипроцентном уровне значимости
и степенях свободы 
и 
составляет 
. Так как 
, то уравнение регрессии признается статистически значимым.
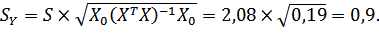
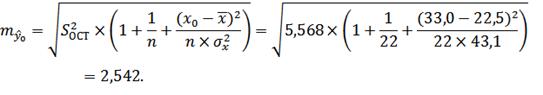
. Даем точечный и интервальный прогноз с надежностью 0,9 цены
акции, если доходность капитала составляет 33%:
Ошибка прогноза составляет:
Предельная ошибка прогноза, которая в 90%
случаев не будет превышена, составит:
Доверительный интервал прогноза:
Прогноз цены акции является надежным (с вероятностью 0,90) и
находится в пределах от 35,976 до 44,744 долл.
7. Определяем параметры линейного уравнения множественной
регрессии:
Определим вектор оценок коэффициентов регрессии. Согласно методу
наименьших квадратов, вектор s получается из выражения:
Матрица X
|
20
|
2.2
|
|
16
|
1.7
|
|
13
|
1.1
|
|
31
|
2.7
|
|
18
|
2.1
|
|
30
|
2.7
|
|
30
|
2.5
|
|
29
|
2.4
|
|
17
|
2
|
|
23
|
2
|
|
25
|
2.2
|
|
29
|
2.4
|
|
22
|
2.3
|
|
16
|
1.5
|
|
18
|
1.5
|
|
10
|
1.2
|
|
14
|
2
|
|
28
|
1.8
|
|
30
|
2.2
|
|
25
|
2.9
|
|
30
|
3.1
|
|
22
|
2.6
|
Матрица Y
|
32
|
|
27
|
|
22
|
|
41
|
|
27
|
|
40
|
|
35
|
|
37
|
|
30
|
|
31
|
|
32
|
|
33
|
|
33
|
|
27
|
|
27
|
|
20
|
|
28
|
|
38
|
|
36
|
|
34
|
|
39
|
|
22
|
Матрица XT
|
20
|
16
|
13
|
31
|
18
|
30
|
30
|
29
|
17
|
23
|
25
|
29
|
22
|
16
|
18
|
10
|
14
|
28
|
30
|
|
2.2
|
1.7
|
1.1
|
2.7
|
2.1
|
2.7
|
2.5
|
2.4
|
2
|
2
|
2.2
|
2.4
|
2.3
|
1.5
|
1.5
|
1.2
|
2
|
1.8
|
2.2
|
Умножаем матрицы:
Умножаем матрицы, (XTY):
Находим обратную матрицу 
:
Вектор оценок коэффициентов регрессии равен:
Уравнение регрессии (оценка уравнения регрессии):
где 
- цена акции, долл.,

- доходность капитала, %,

- уровень дивидендов, %.
При увеличении доходности капитала на 1%, цена акции увеличивается
на 0,57 долл., а при увеличении уровня дивидендов на 1%, цена акции
увеличивается на 3,56 долл.статистика
табл (n-m-1;α) = (19; 0.05) = 1.729
Находим стандартную ошибку коэффициента регрессии b0:
Статистическая значимость коэффициента регрессии b0
подтверждается.
Находим стандартную ошибку коэффициента регрессии b1:
Статистическая значимость коэффициента регрессии b1
подтверждается.
Находим стандартную ошибку коэффициента регрессии b2:
Статистическая значимость коэффициента регрессии b2
подтверждается.
Доверительный интервал для коэффициентов уравнения регрессии.
Определим доверительные интервалы коэффициентов регрессии, которые
с надежность 90% будут следующими:
(bi - ti Sbi;
bi + ti Sbi)
b0: (11.63 - 1.729 • 1.33;
11.63 + 1.729 • 1.33) = (9.34; 13.92)1: (0.57 - 1.729 • 0.0755; 0.57
+ 1.729 • 0.0755) = (0.44; 0.7)2: (3.56 - 1.729 • 0.94; 3.56 + 1.729
• 0.94) = (1.93; 5.2)
8. Анализируем статистическую значимость коэффициентов
множественного уравнения с надежностью 0,9.
Тесноту совместного влияния факторов на результат оценивает индекс
множественной корреляции. В отличии от парного коэффициента корреляции, который
может принимать отрицательные значения, он принимает значения от 0 до 1.
Поэтому R не может быть использован для интерпретации направления связи. Чем
плотнее фактические значения 
располагаются относительно линии регрессии, тем меньше остаточная
дисперсия и, следовательно, больше величина индекса множественной корреляции.
Проверим статистическую значимость параметров уравнения
множественной регрессии с надежностью 0.9. Вычислим коэффициент множественной
корреляции:
где 
- остаточная дисперсия для уравнения множественной регрессии;

- дисперсия эмпирических значений результативного признака.
|
№
|
    
|
|
|
|
|
|
|
1
|
10
|
3,5
|
6,0
|
6,2
|
15,1
|
16,8
|
|
2
|
12
|
3,6
|
6,0
|
6,3
|
14,1
|
16,8
|
|
3
|
15
|
3,9
|
7,0
|
6,8
|
11,1
|
9,6
|
|
4
|
17
|
4,1
|
7,0
|
7,0
|
9,3
|
9,6
|
|
5
|
18
|
4,2
|
7,0
|
7,2
|
8,5
|
9,6
|
|
6
|
19
|
4,5
|
8,0
|
7,6
|
6,2
|
4,4
|
|
7
|
19
|
5,3
|
8,0
|
8,7
|
1,9
|
4,4
|
|
8
|
20
|
5,3
|
9,0
|
8,7
|
1,9
|
1,2
|
|
9
|
20
|
5,6
|
9,0
|
9,1
|
0,9
|
1,2
|
|
10
|
21
|
6,0
|
10,0
|
9,7
|
0,2
|
0,0
|
|
11
|
21
|
6,3
|
10,0
|
10,1
|
0,0
|
0,0
|
|
12
|
6,4
|
11,0
|
10,3
|
0,0
|
0,8
|
|
13
|
23
|
7,0
|
11,0
|
11,1
|
1,0
|
0,8
|
|
14
|
25
|
7,5
|
12,0
|
11,8
|
2,8
|
3,6
|
|
15
|
28
|
7,9
|
12,0
|
12,3
|
5,0
|
3,6
|
|
16
|
30
|
8,2
|
13,0
|
12,8
|
7,1
|
8,4
|
|
17
|
31
|
8,4
|
13,0
|
13,0
|
8,7
|
8,4
|
|
18
|
31
|
8,6
|
14,0
|
13,3
|
10,4
|
15,2
|
|
19
|
35
|
9,5
|
14,0
|
14,6
|
20,0
|
15,2
|
|
20
|
36
|
10,0
|
15,0
|
15,3
|
26,8
|
24,0
|
|
|
Сумма
|
202,0
|
202,0
|
81,8
|
675,82
|
|
|
Среднее
|
10,1
|
10,1
|
|
|
В данном случае сила связи между факторными признаками и
результирующим показателем является сильной.
Значимость коэффициента корреляции:
По таблице Стьюдента находим:
Поскольку 
, то отклоняем гипотезу о равенстве нулю коэффициента корреляции.
Другими словами, коэффициент корреляции статистически значим.
. Определяем коэффициенты парной и частной корреляции.
Коэффициент, определяющий тесноту связи между 
и 
рассчитан выше (
). Аналогично определяем остальные коэффициенты корреляции:
|
y
|
x1
|
x2
|
|
y
|
1
|
|
|
|
x1
|
0,914
|
1
|
|
|
x2
|
0,839
|
0,773
|
1
|
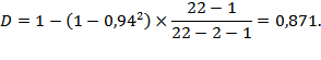
10. С помощью множественного коэффициента (по мере приближения 
к 1) делается вывод о тесноте взаимосвязи, но не о ее
направлении. Величина 
, называемая множественным коэффициентом детерминации, показывает,
какую долю вариации исследуемой переменной (y) объясняет вариация остальных
учтенных переменных (
,
):
т.е. в 87,9% случаев изменения х приводят к изменению y. Другими
словами - точность подбора уравнения регрессии - высокая.
Скорректированный индекс множественной детерминации содержит
поправку на число степеней свободы и рассчитывается по формуле:
где 
- число наблюдений;

- число факторов.
11. Проверка значимости модели регрессии проводится с
использованием F-критерия Фишера, расчетное значение которого находится как
отношение дисперсии исходного ряда наблюдений изучаемого показателя и
несмещенной оценки дисперсии остаточной последовательности для данной модели.
Далее определяют фактическое значение F-критерия:
Если расчетное значение с k1=(m) и k2=(n-m-1) степенями
свободы больше табличного при заданном уровне значимости, то модель считается
значимой.
Табличное значение при уровне значимости
составляет 
.

, следовательно, параметры модели являются значимыми.
. Дать точечный и интервальный прогноз с надежностью 0,9 величины
цены акции компании с доходностью капитала 33% и уровнем дивидендов 3%.
Точечный прогноз:
Доверительные интервалы с вероятностью 0,9 для среднего значения
результативного признака:
вероятностью 0.9 среднее значение результирующего показателя
находится в пределах:
т.е. 
или 
.
. Проверяем построенное уравнение на наличие мультиколлинеарности.
Наличие мультиколлинеарности факторов может означать, что
некоторые факторы будут всегда действовать в унисон. В результате вариация в
исходных данных перестает быть полностью независимой и нельзя оценить
воздействие каждого фактора в отдельности. Чем сильнее мультиколлинеарность
факторов, тем менее надежна оценка распределения суммы объясненной вариации по
отдельным факторам с помощью метода наименьших квадратов.
Выше мы определили, что коэффициент корреляции между x1 и x2 составляет
0,773. Значимость данного коэффициента корреляции составляет:
По таблице Стьюдента находим:
Поскольку 
, следовательно, факторы неколлинеарны и их можно включить в
модель.
Библиографический
список
1.
Айвазян С.А. Прикладная статистика. Основы эконометрики: учебник для вузов: В 2
т. / Айвазян С.А., Мхитарян В.С.; С.А. Айвазян, В.С. Мхитарян. - 2-е изд.,
испр. - М.: ЮНИТИ, 2001. - Т. 1: Теория вероятностей и прикладная статистика. -
656 с.
.
Джонстон, Дж. Эконометрические методы / Дж. Джонстон. - М.: Статистика, 2010. -
350 с.
.
Доугерти, К. Введение в эконометрику / К. Доугерти. - М.: ИНФРА-М, 2009. - 402
с.
.
Елисеева, И.И. Эконометрика: учебное пособие / И.И. Елисеева, С.В. Курышева,
Д.М. Гордиенко и др. - М.: Финансы и статистика, 2001.
.
Кремер, Н.Ш. Эконометрика / Н.Ш. Кремер, Б.А. Путко. - М.: ЮНИТИ, 2011. - 311
с.
.
Магнус, Я.Р. Эконометрика. Начальный курс / Я.Р. Магнус, П.К. Катышев, А.А.
Пересецкий. - М.: Дело, 2007. - 247 с.
.
Практикум по эконометрике: учебное пособие / под ред. И.И. Елисеевой. - М.:
Финансы и статистика, 2011. - 191 с.