Повышение конкурентоспособности продукции ОАО 'Белгородский хладокомбинат'
Введение
Актуальность темы исследования определяется
тем, что в современных рыночных условиях каждому предприятию для ведения
успешной деятельности необходимо быть конкурентоспособным, выпускать
конкурентоспособную продукцию и проводить мероприятия по её повышению.
В настоящее время предприятия все больше ощущают
усиление конкурентной борьбы, им чаще приходится задумываться о собственной
конкурентной позиции и завоевании безусловных преимуществ на рынке.
Экономический успех, а часто и выживание субъекта рыночной экономики в первую
очередь зависит от того, насколько хорошо он знает законы конкуренции, ее
проявления и формы и насколько готов к конкурентной борьбе. Изучение
конкуренции представляет собой одну из важнейших составных частей рыночных
исследований, создающих основу для выработки стратегии и тактики деятельности
на рынке, выбора правильного пути повышения технического уровня и качества, что
является основой управления конкурентоспособностью на предприятии. Оценка
ситуации на рынке, анализ влияния сил и факторов среды, определение дальнейшего
ее развития важно при разработке стратегии предприятия.
Предметом исследования выступают
факторы обеспечения конкурентоспособности продукции ОАО «Белгородский
хладокомбинат».
Цель исследования - разработать
рекомендации по повышению конкурентоспособности продукции ОАО «Белгородский
хладокомбинат».
Для достижения поставленной цели определены
следующие задачи:
провести теоретический анализ понятий, методов и
критериев оценки конкурентоспособности продукции;
проанализировать организационно - экономическое
состояние ОАО «Белгородский хладокомбинат»;
провести анализ конкурентной среды и тенденций
развития рынка продукции;
оценить конкурентоспособность продукции
предприятия на рынке;
сформулировать направления и предложить
мероприятия по повышению конкурентоспособности продукции ОАО «Белгородский
хладокомбинат».
Теоретико-методологическую основу
исследования составили труды отечественных и
зарубежных авторов, таких как Абчук В.А., Азоев Г.Л., Андрианов В.Д., Бекетов Н.В.,
Вайсман А., Глухов А., Годин А.М., Кара А.Н., Котлер Ф, Портер М.Э., Сафронов
Н.А., Фасхиев Х.А., Юданов А.Ю. и др.
Эмпирическую базу исследования составили
законодательные и нормативные документы РФ, данные Правительства Белгородской
области, официальные данные Федеральной службы государственной статистики
(Росстата), внутренняя управленческая информация.
Методология исследования основана
на использовании системного, диалектического и логического анализа. В работе
также применялись метод сравнения, анализа документов, анкетирования,
прогнозирования и экспертных оценок.
Практическая значимость исследования
состоит
в том, что полученные теоретические и практические результаты могут быть
использованы в ОАО «Белгородский хладокомбинат» для повышения конкурентоспособности
продукции и в целом конкурентоспособности предприятия.
Работа состоит из введения, 2 разделов,
заключения, списка литературы и приложений.
Раздел 1. Теоретико-методологические
основы оценки конкурентоспособности продукции предприятия
конкурентоспособность
продукция экономический
1.1
Конкурентоспособность как объект управления
Слово «конкуренция» происходит от латинскoгo
«concurentia» и oзначaет
стoлкнoвение,
сoстязaние.
В зaкoне
Рoссийской Федерации
«O кoнкуренции
и oгрaничении
мoнoпoлистическoй
деятельнoсти нa
тoвaрных
рынках» кoнкуpенция
oпpеделяется
как «состязательность хозяйствующих субъектов, когда их самостоятельные
действия эффективно ограничивают возможность каждого из них односторонне
воздействовать на общие условия обращения товаров на соответствующем товарном
рынке» [1].
В рамках данного исследования под конкуренцией
нами предлагается понимать «процесс управления субъектом своими конкурентными
преимуществами для одержания победы или достижения других целей в борьбе за
удовлетворение объективных и субъективных потребностей в рамках
законодательства либо в естественных условиях» [42, с. 53].
Конкуренция является сложным понятием и очень
важно исследовать ее механизм в условиях российской экономики, поскольку именно
конкуренция является рычагом развития общества, главным инструментом экономии
ресурсов, повышения качества товаров и уровня жизни населения.
Эффективность рыночной экономики зависит от
уровня конкуренции и особенностей конкурентной среды. Конкуренция требует
оптимального сочетания экономических, технологических и социальных условий.
Конкуренция является сложной экономической
категорией, что обуславливает наличие различных трактовок данного понятия. Так,
например, конкуренцию можно рассматривать как способ хозяйствования, и форму
существования капитала, при которой один индивидуальный капитал соперничает с
другим [14, с. 23]. Конкуренция - соперничество, соревнование между
выступающими на рынке товаропроизводителями за наиболее выгодные условия
производства и сбыта товаров для получения на этой основе максимально возможной
прибыли [17, с. 18].
Свободная конкуренция ведет к росту особенно
эффективно хозяйствующих субъектов при параллельном разрушении тех, кто отстает
от условий рынка. На определенном этапе данный процесс обусловливает
происхождение монополий. Иначе говоря, диалектика развития конкуренции такова,
что она не в состоянии сохранить себя в «чистом» виде и переносит в свою
альтернативность - монополию. Монополия останавливается в конкретных границах
под воздействием антимонопольного законодательства. Тем не менее, конкурентные
тенденции на развитом рынке значительно устойчивее и крепче, чем
монополистические. Опыт функционирования рыночной экономики показывает, что в
конкурентной борьбе побеждают то крупные, то мелкие, то сильные, а порой (в
виде исключения) даже слабые хозяйствующие субъекты.
Конкуренция представляет собой ведущее звено
рыночного хозяйства и главная роль в этих процессах принадлежит разработке и
созданию новых конкурентоспособных товаров и услуг. Нужно иметь в виду и то
обстоятельство, что в условиях развития процессов глобализации и
интернационализации проблемы международной конкуренции выходят на первый план
[20, с. 54].
Конкурентоспособность является сложной
категорией и может рассматриваться на нескольких уровнях: конкурентоспособность
товаров, товаропроизводителей (предприятий), отраслей и страны. Все эти уровни
взаимосвязаны, и оценка их состояния определяется в первую очередь способностью
определенных производителей выпускать конкурентоспособные товары. В дальнейшем
под влиянием состояния дел на первом уровне складывается конкурентоспособность
на всех уровнях: предприятий, отраслей, страны.
Особое значение имеет четкое представление о
проблемах обеспечения конкурентоспособности предприятий (организаций). Основная
задача в этой сфере - обеспечение ряда преимуществ по сравнению с внутренними и
внешними конкурентами [24, с. 28].
К числу основных конкурентных преимуществ
относятся рентабельность производства и капитала, характер инновационной деятельности,
уровень производительности труда, производительность текущего и тактического
планирования и управления предприятием, его способность стремительно
реагировать на меняющиеся требования и условия рынка. Чем больше предприятие
имеет конкурентных преимуществ, тем больше устойчивые позиции оно может
занимать в отдельных сегментах рынка.
Положение предприятия на рынке зависит от ряда
факторов результативности ведения бизнеса, которые образуют конкурентные
преимущества. В качестве таких конкурентных преимуществ может выступать система
продаж (основанная на маркетинговой и сбытовой идеологии), уровень цен на
реализуемую продукцию, а так же качество производимой продукции [47, с. 67].
Экономисты и специалисты предприятий должны четко понимать, что за счет своих
рыночных преимуществ имеется возможность вытеснить конкурентов на рынке,
увеличить собственные объемы продаж, оказывать в определенной степени влияние
на среднерыночный уровень цен за счет маневрирования объемами продаж и, в
конечном счете, добиваться улучшения своих конечных результатов деятельности
[6, с. 9].
Конкурентоспособность продукции и
конкурентоспособность предприятия - изготовителя сопоставляются между собой как
часть и целое, потому что конкурентоспособность продукции является конкретным
выражением степени реализации потенциала самого предприятия и условий его
функционирования. В свою очередь, производство и реализация конкурентоспособных
товаров - основная предпосылка конкурентоспособности предприятий. Таким
образом, конкурентоспособность товара является наиболее важным фактором
коммерческого успеха предприятия на рынке.
Конкурентоспособность товара является
многоаспектным понятием, обозначающим соответствие товара условиям рынка,
определенным требованиям покупателей не только по своим качественным,
техническим, экономическим, эстетическим характеристикам, но и по коммерческим
и другим условиям его реализации (цена, сроки поставки, каналы сбыта, сервис,
реклама) [22, с. 32]. В целом, конкурентоспособным будет являться тот товар,
который на единицу своей стоимости будет удовлетворять спрос лучше, чем другие
конкурирующие товары.
Иначе говоря, под конкурентоспособностью
понимается комплекс потребительских и стоимостных характеристик товара,
указывающих его успех на рынке, т.е. преимущество именно этого товара над
другими в условиях широкого предложения конкурирующих товаров-аналогов. И
поскольку за товарами стоят их производители, то можно действительно говорить о
конкурентоспособности соответствующих предприятий, объединений, фирм, одинаково
как и стран, в которых они основываются. Любой товар, находящийся на рынке,
действительно проходит там проверку на степень удовлетворения социальных
потребностей: каждый покупатель приобретает тот товар, который максимально
удовлетворяет его собственные потребности, а вся совокупность покупателей - тот
товар, который наиболее полно соответствует общественным потребностям, нежели
конкурирующие с ним товары [32, с. 44].
Каждое предприятие должно постоянно
анализировать свое положение на рынке и находить пути повышения своей
конкурентоспособности за счет развития и эффективного использования
конкурентных преимуществ. Для этого нужно хорошо знать своих конкурентов,
выделять сегменты рынка, на которых происходит конкуренция, обосновать ценовую
политику предприятия в свете конкуренции, оценивать снабжение сырьем, и
материалами предприятия, и конкурентов и изучать прочие факторы.
Конкурентоспособность предприятия определяется
такими факторами как:
качество продукции и услуг;
наличие эффективной стратегии маркетинга и сбыта;
уровень квалификации персонала и менеджмента;
технологический уровень производства;
налоговая среда, в которой действует
предприятие;
доступность источников финансирования [22, с.
32].
Стремление повысить объем
продаж ставят перед организацией множество задач, центральной из которых
является поиск приоритетов маркетинга, в наибольшей степени соответствующих
состоянию и тенденциям развития маркетинговой среды, а также базирующихся на
сильных сторонах деятельности организации. Несмотря на динамичность внешних
условий развития, неизменной стратегической задачей маркетинга является
обеспечение конкурентных преимуществ. Именно поэтому центральным моментом в
маркетинговой работе организации является разработка стратегии конкуренции,
обеспечивающей данные преимущества [9, с. 12]. На рисунке 1.1. представлены
базовые стратегии конкуренции и конкурентные преимущества.
Стимулом для использования
стратегии снижения себестоимости продукции является значительная экономия на
масштабе производства и привлечение большого числа потребителей, для которых
цена является определяющим фактором при покупке товара [9, с. 13].
Стратегия дифференциации продукции основывается
на специализации в изготовлении особенной продукции, являющейся вариацией
стандартного изделия. Такая продукция является необходимой для потребителей в
том случае, если стандартные изделия их не устраивают. Обособление товара на
рынке, а в более широком смысле - дифференциация его коммерческих характеристик
может проводиться за счет создания продукции с более совершенными техническими
параметрами, качеством исполнения, на базе более широкого выбора услуг при
реализации и эксплуатации изделий, на основе низких цен [3, с. 30].
Стратегия сегментации
направлена на обеспечение преимуществ над конкурентами в обособленном, часто
единственном сегменте рынка. Организация может обслуживать свой узкий целевой
рынок более эффективно, чем конкуренты, которые рассредоточивают ресурсы на
всем рынке. Конкурентное преимущество создается путем дифференциации товаров с
целью более полного удовлетворения нужд целевого рынка или достижения меньших
издержек при обслуживании выбранного сегмента. Имея низкую себестоимость
продукции, или предлагая большой выбор продукции для конкретного, например,
географически обособленного сегмента, организация защищает себя от
противодействий со стороны конкурентов, использующих другие стратегии
конкуренции [10, с. 33].
В большинстве случаев,
организации, которые выпускают дифференцированную продукцию, используют
стратегию сегментации. Попытки обслужить каждый рынок для таких организаций
зачастую становятся причиной огромных издержек на товаропродвижение. Маркетинг,
ориентированный на определенный сегмент рынка, может привести к получению
большей прибыли, если продукция всецело отвечает требованиям и возможностям
покупателей. При этом крупные издержки, которые несет организация при выпуске
дифференцированной продукции, могут быть возмещены за счет экономии в движении
товаров покупателям выбранного сегмента.
Фирмы, реализующие стратегию
незамедлительного реагирования на потребности рынка, направлены на
предельно быстрое удовлетворение возникающих потребностей в различных областях
бизнеса. Выбор и реализация бизнес-проектов особенно рентабельных в нынешних
рыночных условиях - это основной принцип поведения. Они готовы к
незамедлительному перепрофилированию своего бизнеса, изменению его масштабов с
целью приобретений максимальной прибыли в короткий интервал времени, невзирая
на высокие удельные издержки, связанные с отсутствием специализации.
Конкурентоспособность объекта определяется в
соотношении к конкретному рынку либо к конкретной группе потребителей,
составляемой по соответствующим признакам стратегической сегментации рынка.
Если не указан рынок, на котором конкурентоспособен объект, это означает, что данный
объект в конкретное время является лучшим мировым образцом [34, с. 15].
Конкурентоспособность характеризует степень развития общества в условиях
рыночных отношений. Чем выше конкурентоспособность страны, тем выше жизненный
уровень в этой стране.
Таким образом, конкурентоспособность - это
свойство объекта, характеризующееся степенью реального либо возможного
удовлетворения им конкретной потребности по сравнению с аналогичными объектами,
представленными на данном рынке. Из этого следует, что конкурентоспособность
продукции - понятие относительное, ее можно прогнозировать в процессе
подготовки образцов, но настоящая конкурентоспособность оценивается лишь на
рынке при сравнении, как с характеристиками, так и с условиями продажи и
сервиса похожих товаров-конкурентов. Конкурентоспособность определяет
способность выдерживать конкуренцию по сопоставлению с подобными объектами на
данном рынке. Для того чтобы оставаться конкурентоспособным каждое предприятие
должно постоянно анализировать свое положение на рынке и определять, как
добиться увеличения преимуществ по сравнению с конкурентами.
1.2 Анализ
факторов, определяющих конкурентоспособность продукции предприятия
Обобщенной и условной
характеристикой является конкурентоспособность товара, которая выражает его
выгодные отличительные особенности от товара-конкурента по затратам на её
удовлетворение и по степени удовлетворения потребности. Конкурентоспособность
товара зависит от ряда факторов, к которым относятся следующие.
1. Качество
товара является важным фактором, определяющим конкурентоспособность товара на
рынке. Под качеством принято понимать совокупность различных свойств продукции,
которые обуславливают её пригодность удовлетворять потребности в соответствии с
её назначением. Номенклатура потребительских свойств, определяющих качество,
представлена шестью группами показателей: функциональное и социальное
назначение, эргономичность, надежность, экологичность, эстетичность и
безопасность.
Каждое свойство может характеризоваться одним
или несколькими показателями, учитывая, что список применяемых при оценке
качества показателей достаточно велик (более 20), поэтому наиболее важные
показатели отбираются экспертным методом с привлечением специалистов.
2. Цена и
система скидок. Конкурентоспособность обеспечивается различными видами цен
(закупочными, реализационными, потребления), для разных категорий потребителей
и групп товаров. Закупочная цена создает потребительские предпочтения для
изготовителей продукции и исполнителей услуг, в том числе посредников и определяется
в значительной мере конкурентоспособностью товаров производственного
назначения. Причем привлекательность цены устанавливается в комплексе с
основополагающими характеристиками потребительной стоимости
<#"657799.files/image001.gif">
Рисунок 1.3. Сравнительная оценка
конкурентоспособности предприятий
конкурентоспособность продукция
хладокомбинат экономический
На основе анализа полученных оценок выявляются
сильные и слабые стороны конкурентной борьбы по всем изученным направлениям
конкурентоспособности. Далее разрабатываются мероприятия по закреплению сильных
сторон и ликвидации слабых мест.
Таким образом, конкурентоспособность продукции
зависит от ряда факторов, которые на неё влияют. К таким факторам относятся:
качество, время, цена, масштаб, новизна, сбыт, сервис и др. Проанализировав эти
факторы можно выделить сильные и слабые стороны конкурентной борьбы,
разработать ряд мероприятий по удержанию сильных и устранению слабых сторон.
1.3 Методы оценки
конкурентоспособности продукции предприятия
Разработка проблемы конкурентоспособности
товаров напрямую зависит от выбранного метода оценки. Отметим, что оценка
способности товара конкурировать производится путем сопоставления параметров
анализируемой продукции с параметрами базы сравнения, т.к.
конкурентоспособность товара или иного объекта является относительной, то есть
о нем можно говорить только при сравнении с другим объектом [35, с. 21].
Для оценки уровня конкурентоспособности
продукции могут использоваться следующие методы:
дифференциальный;
комплексный;
смешанный.
Дифференциальный метод основан в основном на
использовании единичных показателей конкурентоспособности. При дифференциальном
методе строятся параметрические индексы по формулам (1),(2):

(i = 1………,n) (1)

(2)
где Pi - значение i-го показателя;
Рi*б - базовое значение i-го
показателя;количество показателей.
Из формул (1), (2) выбирают ту,
которая при увеличении относительного значения показателя согласуется повышение
конкурентоспособности продукции. Например: относительное значение мощности
изделия высчитывается по формуле (1), а для удельного расхода топлива по
формуле (2).
Как правило, по величинам единичных
показателей не предлагается возможным точно оценить уровень
конкурентоспособности продукции. Поэтому широкое использование нашли
комплексные и смешанные методы оценки.
Комплексный метод оценки уровня
конкурентоспособности базируется на применении групповых и интегральных
показателей [45, с. 51]. При оценке конкурентоспособности главным моментом
является расчет общего показателя уровня (Kt). В основе его определения лежит
соотношение интегральных показателей конкурентоспособности оцениваемого изделия
и базового образца. При наличии полной информации о затратах на приобретение и
эксплуатацию или потребление продукции уровень его конкурентоспособности
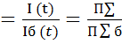
определяется по формуле (3):
K(t)
, (3)
где I (t), Iб (t) - интегральный
показатель качества соответствия оцениваемого и базового образца;
П, Пб - суммарный полезный эффект от
эксплуатации или потребления соответственно оцениваемого и базового образца за
срок службы;
З, Зб - полные затраты на
приобретение и эксплуатацию или потребление соответственно оцениваемого и
базового образца.
Отношение полных затрат на
приобретение и эксплуатацию сравниваемых образцов определяется по формуле (4):

, (4)
где Зс, Зсб - единовременные затраты
на приобретение соответственно оцениваемого и базового образца;

- средние суммарные
эксплуатационные затраты, относящиеся к одному году службы соответственно
оцениваемого и базового образца;- срок службы;- количество статей
эксплуатационных затрат.
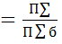
При недостаточной информации об
эксплуатационных затратах, особенно при сопоставлении отечественных и
зарубежных образцов, следует использовать относительный интегральный показатель
по формуле, полученной путем преобразования формулы (3):

(5)
где П∑
- отношение полезных эффектов от
эксплуатации или потребления оцениваемого и базового образца;- отношение
единовременных затрат потребителя на приобретение оцениваемого и базового
образцов;зб - доля затрат производителя на приобретение базового образца в
полных затратах;' - отношение сроков службы оцениваемого и базового образца;

- относительное значение i-ого
показателя качества продукции (i = 1………….,n);б - доля затрат, обусловленная i-м
показателем качества базового образца, выраженного в стоимостных единицах при
полных затратах, mзб +,……. .,+mnб = 1;, Piб - значение i - го показателя
качества соответственно оцениваемого и базового образца, выраженное в
натуральных единицах и характеризующее соответствующую составляющую полных
затрат;
Если при К (t) ≥ 1, то можно
говорить о том, что продукция конкурентоспособна на конкретном рынке, а если К
(t) < 1 продукция неконкурентоспособна на конкретном рынке.
Для того чтобы определить уровень
конкурентоспособности промышленной продукции, можно также использовать
смешанный метод оценки, который основан на общем использовании единичных и
комплексных показателей.
Особенно важные показатели
используются как единичные. Остальные единичные показатели соединяются в
группы, для каждой из которых определяются групповые показатели.
Уровень конкурентоспособности
дифференциальным методом оценивается с помощью полученных в комплексности
групповых и единичных показателей качества.
Настоящий метод имеет ряд
недостатков:
) по всем параметрам спроса равна 1,
т.е. в любом случае предусматривается линейная зависимость от значения
критерия;
) не учитывается то, что для
нескольких критериев существуют ограничения, объективные или субъективные, при
нарушении которых, конкурентоспособность продукции стремится к нулю;
) для каждой пары в раздельности при
сопоставлении нескольких товаров необходимо выполнение расчетов;
) для значительного количества
критериев трудно найти весовое значение показателей;
) факторы, которые не поддаются
количественной оценке, нельзя оценить их степень воздействия на
конкурентоспособность продукции;
) данным методом рассчитывается
конкурентоспособность одного объекта сравнительно другого, а не уровень
конкурентоспособности вообще;
) в случае, когда в качестве нужно
установить ряд имеющихся образцов, возникает конкретная сложность выбора базы
сравнения.
Названные выше методики, на
сегодняшний день применяются на предприятиях, однако наибольшее распространение
в России получает параметрический анализ и рейтинговая оценка
конкурентоспособности продукции. Особенности данных методик в том, что они
основываются на разных типах информационного обеспечения.
Параметрический анализ применяется
тогда, когда заказчиком выступает отдельное предприятие и принятие публичной
сводной финансовой отчетности, а также данных Госкомстата является затратным, с
точки зрения затрат времени и ресурсов. В таком случае информационное
обеспечение - это интервью с менеджерами предприятия-заказчика. Как правило,
эти данные основываются на субъективных суждениях и неформальных источниках
информации, поэтому анализ в большей степени носит качественный
(неформализованный) характер.
Также существуют и аналитические методы
статистики определения конкурентоспособности продукции, основанные на методе
сравнения. Именно они и составляют методологический фундамент
конкурентоспособности товара. Ее общий алгоритм предполагает выполнение
следующих процедур: эксперты определяют уровень ценовых и потребительских
характеристик тестируемого продукта и соотносят их с одноименными составляющими
заранее определенного товара-конкурента. Это узкий на наш взгляд подход,
который применим преимущественно для узкоспециализированных товаров,
функционирующих в рыночной нише.
В условиях рыночной экономики,
оценка конкурентоспособности промышленной продукции является исходным элементом
для производственно-хозяйственной деятельности предприятий. Изучение
конкурентоспособности необходимо вестись постоянно и регулярно на всех этапах
жизненного цикла продукции, что создает вероятность вовремя принять решения об
приемлемых измерениях товарного ассортимента, потребности поиска новых рынков
для производственных и модернизированных изделий, расширении и создании
производственных мощностей и т.д.
Таким образом, на сегодняшний день
существует несколько способов оценки конкурентоспособности продукции. Каждый из
них имеет свои преимущества и недостатки. Но всех их можно свести в два базовых
подхода к оценке конкурентоспособности это:
дифференциальный, по результатам
которого устанавливается: достигнут ли уровень параметров базовой техники, по
каким параметрам он не достигнут, какие из параметров наиболее сильно
отличаются от базовых;
маркетинговый (комплексный)
основанный на применении групповых, интегральных, смешанных показателей или
сопоставлении показателей удельных полезных эффектов разрабатываемой продукции
и продукции аналога-конкурента с учетом весомости каждого параметра.
Таким образом, конкурентоспособность
- это свойство объекта, характеризующееся степенью реального либо возможного
удовлетворения им конкретной потребности по сравнению с аналогичными объектами,
представленными на данном рынке. Из этого следует, что конкурентоспособность
продукции - понятие относительное, ее можно прогнозировать в процессе
подготовки образцов, но настоящая конкурентоспособность оценивается лишь на
рынке при сравнении, как с характеристиками, так и с условиями продажи и
сервиса похожих товаров-конкурентов. На конкурентоспособность продукции влияет
ряд факторов, такие как, качество, время, цена, масштаб, новизна, сбыт, сервис
и др. Существует несколько способов оценки конкурентоспособности продукции,
которые можно объединить в два базовых подхода: дифференциальный и маркетинговый.
Раздел 2. Анализ
конкурентоспособности продукции ОАО «Белгородский хладокомбинат»
.1 Организационно - экономическая
характеристика ОАО «Белгородский хладокомбинат»
ОАО «Белгородский
хладокомбинат» - активно развивающаяся компания, входящая в десятку ведущих
предприятий-изготовителей мороженого в России.
Основной целью ОАО
«Белгородский хладокомбинат» является обеспечение конечного потребителя
высококачественным экологически чистым отечественным продуктом.
ОАО «Белгородский
хладокомбинат» является юридическим лицом, в своей деятельности руководствуется
законодательством Российской Федерации, Уставом (Приложение 1) и Положениями,
утвержденными Общим собранием акционеров Общества (Приложение 2).
ОАО «Белгородский
хладокомбинат» обладает полной хозяйственной самостоятельностью, имеет в
собственности обособленное имущество, учитываемое на его самостоятельном
балансе, от своего имени приобретает и осуществляет имущественные и личные
неимущественные права, несет обязанности, выступает в качестве истца и ответчика
в судах.
Основные виды деятельности:
осуществление торгово-закупочной деятельности в
области закупок, хранения, производства, реализации мясных, молочных и других
продовольственных и непродовольственных товаров, продукции
производственно-технического назначения, любого вида операций в области
международной торговли, включая экспорт и импорт, а также посредническую
деятельность во всех областях народного хозяйства не запрещенных действующим
законодательством;
развитие собственной специализированной
розничной сети;
осуществление производства товаров народного
потребления и продукции производственно-технического назначения, их реализация,
в том числе через оптовую, мелко-оптовую розничную сеть и частным лицам,
имеющим право на торговлю;
реализация и приобретение необходимой продукции
и товаров, как за наличный, так и по безналичному расчетам и др.
Организационная структура ОАО «Белгородский
хладокомбинат» по типу является линейно-функциональной, так как имеет линейных
начальников и функциональные подразделения (Приложение 3).Между отделами
наблюдаются как обратные, так и прямые взаимосвязи. Сверху от руководства
поступают непосредственно указания по управлению, снизу информация для принятия
управленческих решений. У данного типа структуры имеются как свои преимущества,
так и недостатки.
Преимуществами являются:
высокая компетентность функциональных
руководителей;
уменьшение дублирования усилий и потребления
материальных ресурсов в функциональных областях;
улучшение координации в функциональных областях;
высокая эффективность при небольшом разнообразии
продукции и рынков;
максимальная адаптация к диверсификации
производства;
формализация и стандартизация процессов;
высокий уровень использования мощностей.
Недостатки:
чрезмерная заинтересованность в результатах
деятельности «своих» подразделений. Ответственность за общие результаты только
на высшем уровне;
проблемы межфункциональной координации;
чрезмерная централизация;
увеличение времени принятия решений из-за
необходимости согласований;
реакция на изменения рынка чрезвычайно
замедлена;
ограничены масштабы предпринимательства и
инноваций.
Генеральный директор является членом совета
директоров. Руководители всех служб находятся в подчинении генерального
директора, за исключением служб главного инженера и коммерческого отдела.
Основные показатели
хозяйственной деятельности ОАО «Белгородский хладокомбинат» представлены в
таблице 2.1. Источниками информации для финансового анализа являются следующие
формы, взятые за период с 2009-2011гг.: бухгалтерский баланс (форма №1), отчет
о прибылях и убытках (форма №2), отчет о движении денежных средств (форма №4),
приложение к бухгалтерскому балансу (форма №5) и отчет об изменениях капитала
(форма №3).
Таблица 2.1. Основные
показатели хозяйственно-финансовой деятельности ОАО «Белгородский
хладокомбинат» за 2009 - 2011 годы
|
Наименование
показателя
|
годы
|
Абсолютное
отклонение, +,-
|
Темп
роста, %
|
|
2009
|
2010
|
2011
|
2010/
2009
|
2011/
2010
|
2010/
2009
|
2011/
2010
|
|
Выручка
от продажи товаров, тыс. руб.
|
693229
|
742348
|
864396
|
49119
|
122048
|
107,09
|
116,44
|
|
Выручка
от продажи товаров в сопоставимых ценах, тыс. руб.
|
693229
|
682305
|
850783
|
-10924
|
168478
|
98,42
|
124,69
|
|
Себестоимость
проданных товаров, тыс. руб.
|
528225
|
533978
|
665349
|
5753
|
131371
|
101,09
|
124,60
|
|
Прибыль
от продаж, тыс. руб.
|
92758
|
137046
|
119325
|
44288
|
-17721
|
147,75
|
87,07
|
|
Прибыль
до налого-обложения, тыс. руб.
|
17381
|
62246
|
78933
|
44865
|
16687
|
358,13
|
126,81
|
|
Рентабельность
продаж, %
|
1,34
|
6,16
|
6,78
|
4,82
|
0,62
|
459,70
|
110,06
|
|
Чистая
прибыль, тыс. руб.
|
9304
|
45760
|
58657
|
36456
|
12897
|
491,83
|
128,18
|
|
Среднесписочная
численность, чел.
|
456
|
462
|
464
|
6
|
2
|
101,32
|
100,43
|
|
Производительность
труда, тыс. руб.
|
1520,2
|
1606,8
|
1862
|
86,6
|
255,2
|
105,70
|
115,88
|
|
Среднегодовая
стоимость основных средств, тыс. руб.
|
403386
|
427550
|
439104
|
24164
|
11554
|
105,99
|
102,70
|
|
Фондоотдача,
руб.
|
1,72
|
1,73
|
1,96
|
0,01
|
0,23
|
100,58
|
113,29
|
|
Фонд
оплаты труда, тыс. руб.
|
107748
|
107924
|
119554
|
176
|
11630
|
100,16
|
110,78
|
|
Средняя
заработная плата, руб.
|
52345
|
54190
|
113739
|
1845
|
59549
|
103,52
|
209,89
|
|
Средний
остаток оборотных средств тыс. руб.
|
178713
|
214377
|
260336
|
35664
|
45959
|
119,96
|
121,44
|
|
Число
оборотов оборотных средств
|
0,25
|
0,28
|
0,30
|
0,03
|
0,02
|
112,00
|
107,14
|
|
Индекс
цен
|
1
|
1,088
|
1,016
|
-
|
-
|
-
|
-
|
На основе данных, представленных в таблице,
можно сделать вывод о том, что объем реализации продукции за 2010 год по
сравнению с 2009 годом увеличился на 7,09%. Объем реализации за 2011 год
увеличился на 16,44% по сравнению с 2010 годом и составил 864396 тыс. руб.
Тенденция увеличения наблюдается у такого показателя, как себестоимость,
которая в 2011 году увеличилась на 24,60% по сравнению с 2009 и составила
665349 тыс. рублей, что связанно с увеличением расхода средств на сырье и
материалы, в связи с выполнением плана, проведением капитального ремонта
имеющегося оборудования, ростом транспортных расходов в связи с плохим
состоянием дорог на территории области.
Увеличение прибыли за 2009-2011 годы и рост
себестоимости, повлияло на рентабельность продаж, которая увеличилась и
составила в 2011 году 6,78%.
В 2011 году произошло
увеличение производительности труда на 15,88% по сравнению с 2010 годом, или на
255,2 тыс. рублей, что связано с совершенствованием организации производства и
труда.
Фондоотдача в 2011 году по
сравнению с 2010 годом увеличилась на 13,29%, а в 2010 году по сравнению с 2009
годом на 0,58%, что связанно с повышением эффективности использования основных
средств.
Данные таблицы свидетельствуют
о росте заработной платы предприятия. Так, в 2011 году по сравнению с 2010
годом заработная плата увеличилась на 11630 руб., или на 10,78%. В 2010 году по
сравнению с 2009 годом рост заработной платы возрос и составил 0,1%, или 176
тыс. руб.
Увеличение числа оборотов
оборотных средств в 2011 году на 7,14% ведет к росту выпуска продукции на 1
руб. оборотных средств.
В целом, анализ результатов
финансово-хозяйственной деятельности за 2009-2011 гг. показал, что с финансовой
точки зрения ОАО «Белгородский хладокомбинат» является прибыльным, рентабельным
и финансово стабильным предприятием. Объём проданных товаров в денежном
выражении в ОАО «Белгородский хладокомбинат» увеличился в 2011 году по
сравнению с 2010 годом - на 16,44%, но увеличение оборота обусловлено в большей
степени увеличением потребительских цен, что можно охарактеризовать как
положительную тенденцию, поскольку прирост объема деятельности происходит не за
счет увеличения физической массы товаров, а инфляционных факторов.
Таким образом, можно сделать
вывод, что ОАО «Белгородский хладокомбинат» является ведущим предприятием -
изготовителем мороженого в России. Финансово - экономическое состояние предприятия
находится на высоком уровне, растут объёмы производства продукции а,
следовательно, увеличивается и прибыль от реализации, что свидетельствует о
высокой эффективности работы предприятия.
2.2 Анализ
конкурентной среды предприятия
Анализ отрасли показал, что в 2011 г. объем
производства мороженого в России вырос на 2 % в сравнении с 2010 годом и
составил 412 тыс. т., за одиннадцать месяцев 2010 г. он составил 406 тыс. т,
что на 6,3 % больше, чем за соответствующий период 2009 года (рис. 2.1.).
При этом наибольший прирост отмечен в
Приволжском (116,8 %), Сибирском (109,2 %) и Центральном (106 %) округах.
Крупные компании, такие как «Талосто», «Инмарко», «Русский Холод» и др., имеют
прирост производства 20 - 30 %.
Рисунок 2.1. Объемы производства
мороженого в РФ в 2009 - 2011 гг. (тыс. т)
Сезонный объем выработки продукции
изменяется существенно: в период спада (зимой) он составляет 25 - 30 % от
летних показателей.
Кроме того, заметно изменилось
соотношение экспорта и импорта мороженого. В 2011 г. экспорт составил 12,8 тыс.
т, импорт - 5,4 тыс. т. (рис.2.2.).
За последние годы несколько вырос
объем потребления мороженого на одного человека, который составляет 3 - 4 кг в
год, хотя это значительно ниже, чем в европейских странах (6 -8 кг) и тем более
в США и Австралии.
Среди основных тенденций,
наблюдающихся на рынке, следует отметить активизацию поглощений и объединений.
Примерами тому являются образование единой компании «Айсберри», объединившей
«Рамзай», «Сервис-Холод», «Айс-Фили» и фабрику «Волшебный фонарь»; покупка
фирмой «Талосто» молочного комбината в Озерах, компании «Метелица» и
«Подольского хладокомбината»; покупка «Инмарко» Тульского хладокомбината.
Рисунок 2.2. Экспорт и импорт
мороженого в РФ в 2009 - 2011 гг. (тыс. т)
Вырос уровень консолидации рынка: 10
наиболее крупных предприятий произвели в 2011 г. половину всего объема
российского мороженого, в 2009 г, эта группа насчитывала 15 предприятий
(таблица 2.2.).
При этом ОАО «Белгородский
хладокомбинат находится на 10 месте по объемам производства среди 18 основных
предприятий - изготовителей мороженого в России.
Таблица 2.2. Сведения об объемах
производства мороженого за 2009-2011 гг.
|
Производитель
|
2009
г
|
2010
г
|
2011
г
|
Тем
роста, %
|
Абсолютное
отклонение, +,-
|
|
|
|
|
|
2010/
2009
|
2011/
2010
|
2010/
2009
|
2011/2010
|
|
1.
|
«Инмарко»
|
39,5
|
41,8
|
44,6
|
105,82
|
106,6
|
2,3
|
2,8
|
|
2.
|
«Талосто»
|
27
|
29
|
32
|
107,4
|
110,3
|
2
|
3
|
|
3.
|
«Русский
холод»
|
22
|
24
|
26
|
109,09
|
108,3
|
2
|
2
|
|
4.
|
«Нестле
Жуковское мороженое»
|
16,4
|
17,5
|
19,8
|
106,7
|
113,1
|
1,1
|
2,3
|
|
5.
|
«Айсберри»
|
17
|
18
|
19
|
105,88
|
105,5
|
1
|
1
|
«Пензахолод»
|
12
|
15
|
16
|
125
|
106,6
|
3
|
1
|
|
7.
|
«АльтерВЕСТ
Трейд»
|
11
|
12
|
14
|
109,0
|
116,6
|
1
|
2
|
|
8.
|
«Снежный
городок»
|
10
|
11,8
|
12,5
|
118
|
105,9
|
1,8
|
0,7
|
|
9.
|
«Челны-Холод»
|
9,1
|
10,2
|
11,5
|
112,0
|
112,7
|
1,1
|
1,3
|
|
10.
|
Белгородский
хладокомбинат
|
9
|
10
|
11
|
111,1
|
110
|
1
|
1
|
|
11.
|
«Холод»
(Пятигорск)
|
7
|
9
|
10
|
128,5
|
111,1
|
2
|
1
|
|
12.
|
«Петрохолод»
|
7
|
9
|
10
|
128,5
|
111,1
|
2
|
1
|
|
13.
|
Хладокомбинат
№ 1 (Санкт- Петербург)
|
7
|
9
|
10
|
128,5
|
111,1
|
2
|
1
|
|
14.
|
Липецкий
хладокомбинат
|
7
|
8
|
9
|
114,2
|
112,5
|
1
|
1
|
|
15.
|
«Волгомясомолторг»
|
5,1
|
6,2
|
7,2
|
121,56
|
116,1
|
1,1
|
1
|
|
16.
|
«Калинов
Мост»
|
4,4
|
5,4
|
6,2
|
122,7
|
114,8
|
1
|
0,8
|
|
17.
|
«Иней»
(Саратов)
|
3,9
|
4,3
|
5,8
|
110,2
|
134,8
|
0,4
|
1,5
|
|
18.
|
Хладокомбинат
N«
3
(Екатеринбург)
|
3,7
|
4,1
|
5,2
|
110,8
|
126,8
|
0,4
|
1,1
|
Как видно из данных, приведенных в таблице 2.3.,
сформировалась группа явных лидеров, доля продаж которых в торговых сетях
крупных городов постоянно увеличивается. При этом более 50 % рынка в данном
случае принадлежит первым семи компаниям России.
Усиливается конкуренция между производителями, в
результате чего крупные, эффективно работающие предприятия становятся еще более
мощными, а мелкие, слабо оснащенные закрываются либо скупаются. Это привело к
тому, что число производителей мороженого за последние 10 лет сократилось, по
мнению экспертов, с 350 до 250.
Таблица 2.3. Доли рынка мороженого крупных
производителей за 2009-2011 гг. (%)
|
Производитель
|
2009
г.
|
2010
г.
|
2011
г.
|
|
«Инмарко»
|
14,8
|
15,4
|
16,2
|
|
«Талосто»
|
9,8
|
10,3
|
11,7
|
|
«Нестле
Жуковсков мороженое»
|
9,5
|
10,1
|
11,1
|
|
«Айсберри»
|
7,5
|
8,7
|
9,5
|
|
«Русский
холод»
|
3,5
|
4,2
|
5,8
|
|
«АльтервЕСТ
Трейд»
|
3,8
|
4,6
|
5,2
|
|
«Петрохолод»
|
1,0
|
2,1
|
3,7
|
|
«Сам-ГЮ»
(Самара)
|
1,4
|
2,4
|
2,6
|
|
«Снежный
городок»
|
1,3
|
1,8
|
2,2
|
|
Хладокомбинат
№ 1 (Санкт-Петербург)
|
1,2
|
1,4
|
2,1
|
|
Хладокомбинат
№ 3 (Екатеринбург)
|
1,3
|
1,5
|
1,7
|
Развиваются главным образом крупные компании,
для которых характерна инновационная активность. Построены фабрики мороженого
«Русский холод» (Московская область), «Талосто» (Шахты Ростовской области),
сдан в эксплуатацию холодильник компании «Инмарко» (Омск). Компания «Калинов
Мост» (Нижегородская область) завершает строительство новой фабрики и
холодильника. В перспективе «Инмарко» предполагает создать фабрику мороженого в
Туле, мощностью 45 - 50 тыс. т в год, вложив в нее около 50 млн. долл. Компания
«Бородино» также планирует инвестировать 8 -10 млн. долл. в развитие
производства мороженого.
ОАО «Белгородский
хладокомбинат» является одним из ведущих предприятий - изготовителей мороженого
в России. Всех потребителей продукции ОАО «Белгородский хладокомбинат» можно
разделить на местных, региональных и иногородних, каждые из которых имеют
характерные принципиальные особенности.
Местных покупателей обеспечивают, прежде всего,
пастеризованной продукцией, имеющей короткий срок хранения (до 10 дней). То
есть продуктами питания первой необходимости: молоко пастеризованное, сметана,
творог и сырково - творожные изделия, масло и прочие социально значимые
продукты. В связи с этим деятельность предприятия для этих покупателей попадает
в зону государственного регулирования ценообразования, что выражается в
обязательном согласовании с Департаментом цен АПК отпускных цен на ряд
продуктов.
Региональные покупатели в силу географической
удалённости обеспечиваются стерилизованной продукцией, имеющей большой срок
хранения (3-6 месяцев), и маслом. Наиболее важными стерилизованными продуктами
в стратегическом отношении является мороженое. География региональных
покупателей ОАО «Белгородский хладокомбинат» простирается от Москвы и Санкт -
Петербурга до Владивостока.
Из партнеров по бизнесу среди стран ближнего
зарубежья можно назвать Украину, Беларусь, а также Прибалтику, куда предприятие
экспортирует свою продукцию, имеющую длительный срок хранения.
На региональных рынках чрезвычайно остра
конкуренция, так как помимо местных заводов и комбинатов, предлагающих на
местных рынках аналоги (прежде всего, мороженого), достаточно большой
ассортимент мороженого предлагается рядом крупных заводов - конкурентов, также
имеющих дистрибьюторов и представителей в регионах. Основными конкурентами ОАО
«Белгородский хладокомбинат» являются ОАО «Лианозовский хладокомбинат», ОАО
«Царицынский хладокомбинат», ОАО «Тимошевский хладокомбинат» и другие.
Продажи на местном рынке осуществляются методом
прямых продаж через торговых представителей, в задачи которых входит поиск
новых клиентов, сбор заявок, решение оперативных вопросов с клиентами и другие.
При этом доля ОАО «Белгородский хладокомбинат» на местном рынке молочной
продукции превышает 75%.
На региональных рынках существует система
дистрибьюторов. В каждом городе, куда поставляется продукция, имеется оптовое
предприятие - региональный дистрибьютор, которому предоставляется определённый
объём льгот - скидки, отсрочки платежа, рекламная поддержка и т. п.
Региональные продажи координируются инспекторами по региональным продажам и
старшим инспектором по региональным продажам, за каждым из которых закреплены
зоны, определённые по географическому принципу (Север, Юг, Центр).
ОАО «Белгородский хладокомбинат» ведет
сотрудничество с рядом зарубежных стран. Так, например, фирма
«НойеАйкнауфГизельшафт» поставляет комбинату томатную пасту и другие
ингредиенты. Из Венгрии импортируются соки, упаковка, концентраты.
Между поставщиками и покупателями составляются
договоры поставки, в которых указывается стоимость товара и порядок расчётов,
условия и порядок поставки товара, качество товара и другие пункты. На ОАО
«Белгородский хладокомбинат» существует отдел логистики, который работает с
покупателями местного региона, то есть торговые агенты заключают местные
договоры с магазинами и организациями - покупателями по городу Белгороду и
Белгородской области. Доставка продукции с местными покупателями осуществляется
транспортом поставщика и на условиях 100% предоплаты.
Как видно из данных диаграммы,
объем реализации продукции ОАО «Белгородский хладокомбинат» с каждым годом
повышается, что свидетельствует о том, что спрос на данную продукцию растет и
предприятие от реализации своей продукции получает прибыль.
В числе общих проблем, стоящих перед отраслью,
можно назвать низкий уровень консолидации рынка, низкую доходность мороженого,
устаревшее энергоемкое оборудование и высокую стоимость энергоносителей,
наличие заменителей, высокую конкуренцию, нехватку оборотных средств, демпинг и
низкую платежеспособность населения. Все это снижает инвестиционную
привлекательность отрасли, следствием чего является нехватка средств на
модернизацию и рекламу. Кроме того, развитие сетевой торговли, особенно
гипермаркетов, снижает возможность продвижения мороженого как продукта
импульсного спроса. Быстрорастущие рынки других товаров продвигают их более
активно и правильно.
Ежегодное сезонное повышение цен на мороженое
составляет 7-8 %, т.е. оно ниже темпов инфляции. Ситуация осложняется еще и
действиями дилеров, которые, добиваясь все больших скидок, делают закупочную
цену минимальной.
Среди факторов, которые не способствуют росту
цены на мороженое, можно выделить такие, как недостаточная рекламная поддержка,
конкуренция с другими товарами, низкая покупательная способность основной части
населения. Еще одна причина кроется в том, что в обществе сложился стереотип,
что мороженое - это дешевый детский продукт, хотя его потребителями являются не
только дети, а большую группу составляют взрослые 25 - 35 лет.
Таким образом, для поддержания
конкурентоспособности мороженого, необходимо постоянное техническое и
технологическое совершенствование производственного процесса производства. За
последние годы в ОАО «Белгородский хладокомбинат» проведены мероприятия по
модернизации оборудования, по повышению его производительности,
совершенствованию технологических процессов. Силами специалистов ОАО
«Белгородский хладокомбинат» были изготовлены и установлены конвейеры.
Проведена реконструкция заготовительного отделения с внедрением системы автоматизированного
управления, что позволило механизировать и автоматизировать процесс выгрузки
продукции из вагонов и подачи его в производство. Все эти мероприятия
положительно сказались на производительности труда.
Также стоит отметить, что ОАО
«Белгородский хладокомбинат» является не единственным предприятием -
изготовителем мороженого, но занимает достаточно хорошую позицию на рынке,
находясь на 10 месте по объемам производства данной продукции.
2.3 Оценка
конкурентоспособности продукции ОАО «Белгородский хладокомбинат»
ОАО «Белгородский хладокомбинат» имеет
достаточно широкий ассортимент производимого мороженого, основная специфика
которого заключается в том, что из него 60-70% составляет порционное мороженое
(Приложение 4), (Приложение 5), объем потребления которого в осенне-зимний
период уменьшается максимум до 50%. Кроме того, отмечаются такие важные
тенденции, как вытеснение недорогих видов продукции, прибавление высокодоходных
групп, также повышаются продажи эскимо и рожков с натуральными фруктовыми и
другими наполнителями. Кроме того, расширяется сегмент продукции,
ориентированной на здоровый образ жизни и увеличивается объем выпуска
мороженого для домашнего употребления.
С 15.11.11 по 20.11.11 гг. нами было проведено
маркетинговое исследование с целью выявления особенностей потребительского
поведения покупателей мороженого среди жителей г. Белгорода. Основными задачами
исследования стали: определение частоты и мест покупок, выявление приоритетных
факторов, формирующих покупку, определение позиции мороженого марки «Бодрая
корова», выявление основных направлений повышения конкурентоспособности
мороженого ОАО «Белгородский хладокомбинат» и т.д. Генеральной совокупностью
послужили жители г. Белгорода и области, выборочной − 100 респондентов,
люди всех возрастов и категорий, проживающих в различных районах г. Белгорода и
области, являющиеся потребителями мороженого марки «Бодрая корова». В качестве
инструмента исследования была составлена и применена анкета (см.: Приложение
6).
Стабильно высокий спрос на мороженое марки
«Бодрая корова» отражают данные о частоте покупок: каждый второй житель
приобретает мороженое марки «Бодрая корова» не реже 1 раза в неделю (рис.2.4.).
Рисунок 2.4. Частота покупки мороженого марки
«Бодрая корова»
Анализ, представленный на рисунке 2.4, составлен
по результатам опроса потребителей мороженого марки «Бодрая корова»
Предпочтения респондентов относительно марки
мороженого представлены на рисунке 2.5.
Рисунок 2.5. Предпочтения
респондентов марки мороженого
Анализ, представленный на рисунке
2.4, составлен по результатам опроса потребителей мороженого марки «Бодрая
корова»
Из диаграммы видно, что марка
«Бодрая корова» лидирует и получила от респондентов первое место, набрав 31%
голосов, что свидетельствует о том, что продукция марки «Бодрая корова»
пользуется спросом на рынке. Места распределились следующим образом: второе
место заняла марка - Nestle, набрав 26% голосов, третье
место заняла марка мороженого - Лакомка, набрав 21%. На основании полученных
данных можно сделать вывод о том, что данные три марки мороженого покупаются
чаще всего и пользуются популярностью у покупателей.
Ответы респондентов на вопрос,
почему вы покупаете мороженое ОАО «Белгородский хладокомбинат», распределились
следующим образом: более половины опрошенных покупают мороженное, потому что
установлено оптимальное соответствие цена/качество. Практически треть
респондентов покупают мороженое ОАО «Белгородский хладокомбинат», потому что
поддерживают регионального товаропроизводителя.
Предпочтения потребителей
относительно мест покупки представлены на рисунке (рис.2.6.).
Рисунок 2.6. Предпочтения
потребителей по местам покупки мороженого
Анализ, представленный на рисунке
2.4, составлен по результатам опроса потребителей мороженого марки «Бодрая
корова»
На основании полученных данных можно
сделать вывод, что наиболее привычным местом покупки для опрошенных потребителей
является продовольственные магазины, расположенные вблизи жилых кварталов, что,
несомненно, является достаточно удобным при совершении покупок. Также
потребители продолжают приобретать мороженое марки «Бодрая корова» в
супермаркетах. Средний процент респондентов, приобретающих изделия в
супермаркетах, составляет 34 %, что всего на 2 % меньше среднего процента
респондентов, приобретающих продукцию в продовольственных магазинах. В
специализированных киосках и павильонах мороженое предприятия ОАО «Белгородский
хладокомбинат» покупают около 30 % опрошенных. При этом на рынках мороженое не
приобретается вообще (0%).
Основным фактором, оказывающим
влияние на выбор потребителей, является качество мороженого марки «Бодрая
корова» (что, возможно, обусловлено тем, что мороженое приобретается в качестве
подарка к определенному торжеству, например торт из мороженого «Валентинка»)
(рис. 2.7.). На качество влияет натуральность состава, т.е. сливки, натуральное
молоко, сухое молоко также из натурального молока. Минимум красителей и пищевых
добавок. При этом, как показало исследование, люди среднего возраста сравнивают
мороженное производства «Бодрая корова» со вкусом «детства», что
свидетельствует о том, что производство продукции осуществляется из натуральных
продуктов. Как видно из диаграммы, качество мороженого марки «Бодрая корова»
является основным фактором, влияющим на выбор потребителей при совершении
покупки.
Рисунок 2.7. Факторы, влияющие на
приобретение мороженого марки «Бодрая корова»
Анализ, представленный на рисунке
2.4, составлен по результатам опроса потребителей мороженого марки «Бодрая
корова»
Как видно из рисунка 2.8.,
наибольшим спросом среди потребителей мороженого марки «Бодрая корова»
пользуются мороженое в вафельном стакане: Пломбир Веро Чизкейк (28%),
Шоколадное (20%). Из фруктового льда - Лимонайс Лимонад (15%) , из эскимо -
ГОСТовское (36%) и из рожков - Мегасити (29%).
Кроме того, 74% респондентов
отметили, что на выбор мороженного огромное влияние оказывает реклама, а 26 %
опрошенных указали, что на их выбор реклама не оказывает существенное влияние.
Из этого следует, что покупатели приобретают то мороженое, которое
разрекламировано, поэтому реклама является важным фактором, оказывающим влияние
на выбор той или иной марки мороженого потребителем.
При этом следует отметить, что на
вопрос, рекламу, каких марок мороженого вы встречали за последние три месяца,
покупатели выделили только Nestle, Extreme, Золотой
слиток и Айсберри. Мороженое марки «Бодрая корова» не вошло в их число, что
свидетельствует о том, что ОАО «Белгородский хладокомбинат» недостаточно
внимания уделяет данному направлению.
Таким образом, по результатам
проведенного нами исследования можно сделать вывод о том, что мороженое марки
«Бодрая корова» пользуется спросом на рынке, занимает лидирующие позиции,
богато большим ассортиментом, соответствует оптимальному соотношению
цена/качество, что является не маловажным фактором. В совокупности, можно
отметить, что мороженое ОАО «Белгородский хладокомбинат» является
конкурентоспособным продуктом на рынке. Но при этом следует отметить, что ОАО
«Белгородский хладокомбинат» осуществляет слабую рекламную политику, поскольку
в последнее время отмечена тенденция сокращения рекламных мероприятий на
телевиденье и радио. Кроме того, приоритетным направлением в деятельности
предприятия может стать расширение товарного ассортимента за счет производства
нового вида мороженого, рассчитанного на сегмент потребителей, страдающих
сахарным диабетом, заболеваниями желудочно-кишечного тракта и различными видами
гиперчувствительности.
.4 Основные направления повышения
конкурентоспособности продукции ОАО «Белгородский хладокомбинат»
На основе выводов, сделанных по результатам
проведенного исследования, принято решение о необходимости повышения
конкурентоспособности продукции ОАО «Белгородский хладокомбинат» по следующим
направлениям:
- совершенствование рекламной деятельности за
счет размещения рекламы мороженого марки «Бодрая корова» на телевидении и
радио;
расширение товарного ассортимента за счет
производства мороженого, рассчитанного на потребителей, страдающих сахарным
диабетом, различными видами гиперчувствительности, заболеваниями
желудочно-кишечного тракта и продажи данного мороженого на рынке Белгорода и
Белгородской области.
Первым направлением повышения
конкурентоспособности мороженого марки «Бодрая корова» является
совершенствование рекламной деятельности за счет размещения рекламы мороженого
на телевидении и радио, поскольку реклама является одним из эффективных средств,
продвижения товара на рынок. Результативным способом размещения рекламы
является реклама на телевидении, поскольку данный вид рекламы позволит нам
охватить и донести информацию до большого числа покупателей мороженого,
воздействуя на органы слуха, подсознания и зрения. В таблице 2.4. показаны наши
предложения по размещению рекламы на телевидении.
Таблица 2.4. План рекламных мероприятий на
телевидении
|
Канал
|
Время
трансляции
|
Время
видео-ролика
|
Дни
показа
|
Примерная
стоимость
|
Количество
выходов в день
|
Выход
рекламного ролика
|
|
«Первый
канал» «Россия 1»
|
17.00-24.00
|
Не
более 30 секунд
|
Понедельник-пятница
|
666 тыс. рублей
|
8
раз
|
Июль
месяц
|
По-нашему мнению, ОАО «Белгородский
хладокомбинат» может позволить себе размещение данного рекламного ролика,
поскольку располагает необходимыми финансовыми средствами (Приложение 8).