Интеллект — фактор творческого труда

  • Вид работы:
    Контрольная работа
  • Предмет:
    Эктеория
  • Язык:
    Русский
    ,
    Формат файла:
    MS Word
    89,25 Кб
  • Опубликовано:
    2013-08-15
Вы можете узнать стоимость помощи в написании студенческой работы.
Помощь в написании работы, которую точно примут!

Интеллект — фактор творческого труда













Интеллект - фактор творческого труда


Г. Н. Пряхин, Г. А. Ярин

Жизнь человека складывается из периодов деятельности и бездействия (отдых, болезнь, сон). Труд - это деятельность (одна из форм существования человека, посредством которой реализуются его физические и умственные силы (интеллект) для удовлетворения потребностей других людей). Весьма многообразны аспекты труда: экономический (производительность, стоимость труда, учет, организация, нормирование, занятость, рынки труда), социальный (содержательность, привлекательность, престижность, мотивация), психофизиологический (тяжесть, напряженность, гигиена), технико-технологический (оснащенность, энерговооруженность, техника безопасности), правовой (регулирование отношений в сфере труда).

В любом виде деятельности человека можно выделить два компонента труда. Первый характеризует труд, выполняемый по заданной технологии, инструкции или схеме. В этом случае исполнитель работы не вносит в нее никаких элементов новизны, собственного творчества. Такой труд называется регламентированным или a-трудом. Второй компонент характеризует труд, направленный на создание новых методов производства, материальных или духовных благ. Этот вид труда называют новационным, интеллектуальным, творческим или P-трудом. Творческий труд сам по себе является основой внутренней (определяемой содержанием и значимостью работы) мотивации работника, одним из основных факторов эффективности труда. Совершенно определенно, что творческий работник, начиная свою деятельность в организации, хочет делать ту работу, которую ему предлагают, то есть уже имеет внутреннюю мотивацию к труду. Необходимо, чтобы мотивация сохранилась.

Работник, заинтересованный в содержании труда, должен получать поддержку в своей инициативности, отвечать за результативность, понимать, что выполняет важную работу, самостоятельно контролировать ход выполнения работы, получать непосредственную информацию о результативности своего труда. Важен и фактор, обеспечивающий сотруднику профессиональный рост и повышение квалификации, возможность самостоятельно контролировать условия труда.

Одной из основных потребностей человека является потребность в принадлежности к социальной группе, поэтому среди важнейших мотивирующих факторов можно отметить воздействие групповых норм и взаимодействий, или чувство причастности к организации.

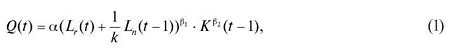
Косвенно фактор P-труда учитывается в работах К. Маркса в качестве производственного фактора - предпринимательских способностей. Однако предпринимательские способности характеризуют творческий (интеллектуальный) труд одного или нескольких предпринимателей, а не производственного коллектива в целом. Творческий труд проявляется через инновации (англ. innovation нововведение) - создание, распространение и внедрение нового средства (новшества), удовлетворяющего потребности человека и организации, вызывающего, вместе с тем, социальные и другие изменения. Инновации являются результатом творческого труда, с ними связана культура управления. Инновация придает ресурсам новые возможности. Без применения инноваций практически невозможно создать конкурентоспособную продукцию, имеющую высокую степень наукоемкости и новизны. В современной экономике инновации представляют собой эффективное средство конкурентной борьбы, так как ведут к созданию новых потребностей, к снижению себестоимости продукции, к притоку инвестиций, к повышению имиджа производителя новых продуктов, к открытию и захвату новых рынков, в том числе и внешних. Ранее нами была проведена оценка влияния составляющих элемента труда на результаты деятельности производственной системы посредством включения новационного фактора в производственную функцию. Был предложен следующий усовершенствованный вид зависимости:

труд инновация творческий конкурентный

где Q - объем выпуска продукции;

а - константа;

P1 и P2 - коэффициенты эластичности;

K - инвестиционные затраты;

Lr - затраты на рутинный труд;

Ln - затраты на новационный труд;

- понижающий коэффициент, k>0.

Инвестиционные затраты K и затраты на творческий труд L берутся за предыдущий период, а затраты на рутинный труд Lr и показатель объема выпуска продукции Q - за текущий период.

Чем эффективнее осуществляется рутинная работа в текущий момент, тем больше продукции надлежащего качества производится. Результаты же инвестиций и творческого труда проявляются в будущем. Разработанные идеи становятся инновациями и дают 114

результаты в последующие периоды. Поэтому данные затраты в составе производственной функции логично оценивать на предыдущем лаге.

В затраты на творческий труд Ln(t) авторы считают необходимым включать трудовые затраты на инновации в стоимостном выражении. В качестве одного из методов расчета таких затрат можно предложить сумму следующих составляющих: средний за период фонд оплаты труда работников, занятых разработкой инноваций; сумму оплаты рабочего времени, потраченного на создание инноваций; премиальные и другие средства материального стимулирования творческого труда работников.

Как было сказано выше, в экономической теории практически не отведено места творческому труду, интеллекту, рассматривается только живой труд. Труд как процесс полностью выключил движителя труда интеллект, несмотря на теоретическое положение, что труд подразделяется на умственный и физический.

Интеллект - это способность к получению знаний и их выработке. В труде человека первоосновой является интеллект. На практике управленческий процесс это подтверждает: руководитель вырабатывает решение - это интеллектуальный труд, а подчиненные - исполняют. Но и у подчиненных собственный интеллект направляет и контролирует их действия. При этом интеллект и труд взаимосвязаны. Таким образом, непосредственно живому труду в экономической теории неправомерно приписывается способность производить прибавочную стоимость.

Величина интеллекта неизмеряема и безразмерна, так как неисчерпаем источник знаний. Однако результат воздействия озарения можно измерить в виде прироста части прибавочной стоимости, прибыли.

Внедрение инноваций, особенно внедрение более производительного оборудования, приводит к сокращению живого труда рабочего на единицу изделия. По мере сокращения рабочего времени и вытеснения производственного рабочего, который в экономической теории является источником стоимости, становится видно, что инновации, в которых воплощен интеллектуальный труд (знания) и его (их) применение, заменяют рабочего как источника прибавочной стоимости. Следовательно, причиной происхождения прибавочной стоимости является интеллект всего общества. Каждый человек по мере своего роста и совершенствования вносит лепту в накопление общественного интеллекта, который выступает источником прибавочной стоимости общества, а на предприятии интеллект в виде знаний, использованных при проектировании и создании машин,- источником прибыли.

Проиллюстрируем изложенную точку зрения на реальном действующем промышленном предприятии.

На ОАО "НТМК" внедрено изобретение по патенту № 2194079 "Способ выплавки стали в конвертере". Суть изобретения использование известково-магнезиального флюса (ИМФ) при производстве стали с целью повышения стойкости футеровки конвертера. Использование ИМФ замедляет процесс перехода оксида магния из огнеупора в конвертерный шлак, тем самым футеровка конвертера меньше разрушается и выдерживает большее количество плавок стали.

Экономический эффект достигается в результате следующих факторов:

1)     снижения затрат на огнеупорную футеровку (огнеупоры) вследствие увеличения длительности работы конвертеров от начала футеровки до ее выработки и замены;

2)      стоимостного изменения затрат на материалы по уходу за футеровкой в процессе ее эксплуатации при использовании материалов, повышающих стойкость футеровки;

3)      относительной экономии на условно-постоянной части расходов по переделу вследствие увеличения производства стали из-за уменьшения времени на перефутеровках.

В этом случае годовой экономический эффект определяется по формуле


где Э - годовой экономический эффект, р.;= от 1 до n - статьи эксплуатационных затрат, на которые влияет внедрение новой техники;

A Ci - изменение затрат по i-й статье, р./ед.;

Ен - нормативный коэффициент эффективности капитальных вложений;2 - удельные капитальные вложения (фондоемкость) по варианту новой техники, р.;1 - удельные капитальные вложения (фондоемкость) по базовому варианту, р.;2 - годовой объем производства продукции (работы) с помощью новой техники в расчетном году, в натуральных единицах.

Примечание. Если внедрение новой техники приводит к увеличению годового выпуска продукции и это увеличение не может быть достигнуто с использованием базовой техники, годовой экономический эффект определяется с учетом относительной экономии на условно-постоянной части расходов по переделу.

Внедрение изобретения по патенту № 2194079 не потребовало дополнительных капитальных затрат в производство, поэтому произведение Ен х К принимается равным нулю.

Таким образом, формула 1 принимает вид


где- сумма изменяющихся затрат по базовому варианту:

2)         затраты на материалы по уходу за футеровкой, р./т стали;

3)         относительная экономия на условно-постоянной части расходов по переделу (упущенная прибыль), р./т стали;

- то же по варианту новой техники, р./т стали;2 - годовой объем производства стали в конвертерном цехе по варианту новой техники, т.

В конвертерном цехе ОАО "НТМК" использовались и другие мероприятия по повышению стойкости футеровки конвертеров. Поэтому экспертная комиссия определила, что доля влияния патента № 2194079 составляет 25 %. Корреляционный анализ показал долю влияния 22 %. В расчете эффекта принято 22 %. Результаты интеллектуального труда приведены в таблице.

Сумма изменяющихся затрат по базовому варианту (по сопоставимым ценам) составила 144,83 р./т стали, а по варианту новой техники - 105,26 р./т стали. Производство стали за период использования патента составило 3 366 987 т. Экономический эффект и, соответственно, прирост прибыли составил: (144,83 105,26) 3 366 987 • 0,22 = 29 310 968 р., где 144,83 - затраты на огнеупорную футеровку (огнеупоры), на материалы по уходу за футеровкой, относительная экономия на условно-постоянной части расходов по переделу до внедрения, р./т стали;

,26 - то же за период внедрения, р./т стали;

2       366 987 - производство стали в конвертерном цехе за период внедрения, т;

0,      22 - доля влияния изобретения по патенту № 2194079 в экономическом эффекте от всех мероприятий по увеличению стойкости конвертеров и снижению расхода огнеупоров в конвертерном цехе.

Результаты интеллектуального труда

№ п/п

Фактор

Базовый вариант

Вариант новой техники

1

Производство стали, т


3 366 987

2

Стойкость футеровки, количество плавок стали

732

2375

Затраты на огнеупорную футеровку (огнеупоры), р./т стали

69,98

26,70

4

Затраты на материалы по уходу за футеровкой, в том числе на ИМФ, р./т стали

8,97

61,58

5

Относительная экономия на условно-постоянной части расходов по переделу (упущенная прибыль), р./т стали

65,88

16,98


Итого: сумма изменяющихся затрат

144,83

105,26


В соответствии со ст. 32 Закона СССР "Об изобретениях в СССР" вознаграждение за использование изобретения в течение срока действия патента выплачивается автору в размере не менее 15 % прибыли (соответствующей части дохода), ежегодно получаемой патентообладателем от его использования (в ГК РФ в четвертой части не указана доля вознаграждения). Таким образом, практикой установлено и закреплено в нормативных документах, что изобретатель продает (заключается договор на передачу авторских прав) результат своего интеллектуального труда по цене не менее 15 % экономической прибыли, получаемой предприятием - потребителем его изобретения. Остальные 85 % экономической прибыли - доля предприятия. С нашей точки зрения, человек является источником интеллектуальной энергии, которая по субстратному составу представляет собой разновидность биохимических и других процессов, а по качественному проявлению - энергию научной мысли, которую измерить невозможно (может быть, сейчас). Это не энергетические затраты человека на физический труд, как, например, у землекопа и молотобойца, а энергия разума, направленная на разработку инновации - на интеллектуальный труд.

Отсюда логически выстраивается механизм создания экономической прибыли. Энергия разума идет на увеличение знаний, используемых в разработке нового оборудования и технологии. Используя новое оборудование и новые технологии, предприятие либо снижает затраты на производство, либо переходит на выпуск новой или более качественной продукции, которая имеет большую потребительную стоимость и цену, а при реализации дает большую экономическую прибыль. Другими словами, основной прирост экономической прибыли обеспечивает интеллектуальный (творческий) труд, воплощенный в новом оборудовании и технологии.

Список литературы

1.      Андреева, Т. Почему уходят лучшие: проблема демотивации персонала / Т. Андреева // Упр. персоналом. 2004. № 4. С. 30-32.

2.      Маркс, К. Сочинения / К. Маркс, Ф. Энгельс. Т. 26, ч. 3.

4.      Друкер, П. Ф. Рынок: как выйти в лидеры: Практика и принципы : пер. с англ. / П. Ф. Друкер. М. : Бук Чембэр Интернэшнл, 1992. 352 с.Пряхин, Г. Н. Оценка результатов деятельности производственной системы с учетом культуры управления / Г. Н. Пряхин, А. М. Набиев // Вестн. Челяб. гос. ун-та. Экономика. 2007. № 10 (88). С. 132-136.

6.      Ярин, ГА. Экономика предприятия : учебник / Г. А. Ярин. Екатеринбург : Изд-во Урал. гос. экон. ун-та, 2000.

Похожие работы на - Интеллект — фактор творческого труда

 

Не нашли материал для своей работы?
Поможем написать уникальную работу
Без плагиата!
Без нейросетей!