Индексы в региональном товарообороте

  • Вид работы:
    Курсовая работа (т)
  • Предмет:
    Эктеория
  • Язык:
    Русский
    ,
    Формат файла:
    MS Word
    792,24 Кб
  • Опубликовано:
    2013-05-10
Вы можете узнать стоимость помощи в написании студенческой работы.
Помощь в написании работы, которую точно примут!

Индексы в региональном товарообороте

Содержание

Введение

Теоретическая часть

1.      Понятие товарооборота

.        Изучение индексов в региональном товарообороте

.        Применение индексного метода в товарообороте

Расчетная часть

Задание 1

Задание 2

Задание 3

Задание 4

Аналитическая часть

Заключение

Список использованной литературы

Введение

Товарооборот представляет собой процесс купли-продажи, в основе которого лежит переход права собственности на товар в обмен на его денежный эквивалент. Важной задачей экономической статистики в этой области является определение товарооборота как объекта статистического исследования, а значит, определение его предмета и методов количественного и качественного анализа.

Предметом статистики товарооборота являются массовые процессы и явления передвижения товара от производителя к потребителю и обмена товаров на деньги, поддающиеся количественной оценке. Товарооборот в современном экономическом пространстве представляет собой комплексный экономический процесс обмена результатами деятельности обособленных субъектов экономики с присущими ему общими тенденциями и закономерностями. Целью статистики товарооборота является комплексная количественная характеристика процесса обращения товарной продукции, выявление основных тенденций и закономерностей его развития. Задачами статистики товарооборота являются сбор, обобщение и анализ информации о товарообороте предприятий разных форм собственности, каналов товародвижения по стране в целом и регионов; анализ объема, товарной структуры, динамики товарооборота.

Целью работы является изучение методологии вычисления индексов в товарообороте.

Задачами работы являются: изучение среднеарифметического и среднегармонического индексов, решение задач по основам статистики и проведение статистического анализа конкретного явления.

В ходе выполнения работы применялись следующие методы исследования: монографический (использование специальной литературы), аналитический, расчётный, сравнение.

В теоретической части рассмотрены понятие о индексах и понятие среднеарифметического и среднегармонического индексов в товарообороте.

В расчетной части решены практические задания.

В аналитической части проведен анализ зависимости числа преступлений от количества безработных в центральном регионе России с применением пакета прикладных программ обработки электронных таблиц MS Excel в среде Windows.

Теоретическая часть

1.      Понятие товарооборота

Товарооборот - это объем продаж товаров торговой организацией в денежном выражении за определенный период времени.

Товарооборот подразделяется на оптовый, розничный и оборот общественного питания.

Оптовый товарооборот - объем продажи товаров производителями или торговыми посредниками покупателям для дальнейшего использования в коммерческом обороте. Обязательный признак операции, относимой к оптовой торговле, - наличие счета-фактуры.

Розничный товарооборот - это важнейший показатель торгового предприятия. Его можно рассматривать как результат деятельности предприятия торговли, и от него зависит объем валового дохода и прибыли, характеризующий эффективность торговой деятельности. О значимости данного предприятия на рынке потребительских товаров можно судить по объему товарооборота, который выражается размером денежной выручки за проданные товары.

К показателям, характеризующим товарооборот торгового предприятия, относят: объем товарооборота в стоимостном выражении в текущих и сопоставимых ценах, ассортиментную структуру по отдельным товарным группам (в рублях и процентах), однодневный товарооборот, товарооборот в расчете на одного работника, в том числе на работника прилавка (торговой группы), время обращения товаров в днях и скорость товарооборота (число оборотов).

Анализ показателей товарооборота позволяет установить основные качественные и количественные показатели работы торговой организации в текущем периоде. От глубины и полноты анализа, правильности сделанных выводов по результатам анализа зависит экономическая обоснованность расчетов на предстоящий период.

По результатам анализа можно судить, в какой степени выполнен прогноз продаж и удовлетворен покупательский спрос, чем были вызваны изменения в товарообороте за отчетный период, оценить степень соответствия фактических результатов деятельности предприятия намеченной стратегии.

Данные бухгалтерской, статистической и оперативной отчетности являются основными источниками информации для анализа товарооборота. Его начинают с определения объема товарооборота в денежном выражении или в натуральных показателях за определенный период (декада, месяц, квартал, полугодие, год). Полученные отчетные данные сравнивают с прогнозируемыми показателями за эти периоды.

Анализируя товарооборот, выявляют закономерности в его развитии. С этой целью рассчитывается динамика товарооборота в текущих и сопоставимых ценах.

Динамика роста товарооборота в текущих ценах (ДТО) рассчитывается по формуле

ДТО = Фактический товарооборот отчетного года в текущих ценах* 100 /Фактический товарооборот прошлого года

Например, необходимо рассчитать динамику роста товарооборота в текущих ценах и процент выполнения прогноза продаж по следующим данным:

Фактический товарооборот прошлого года - 124 000 тыс. руб.;

Прогноз продаж отчетного года - 131 000 тыс. руб.;

Фактический товарооборот отчетного года -147 000 тыс. руб.

Рассчитаем процент выполнения прогноза продаж: 147000 / 131000 * 100 = 112%

Рассчитаем динамику товарооборота в текущих ценах: 147000 / 124000 * 100 = 119%

Динамику роста товарооборота в сопоставимых ценах рассчитывают по формуле:

ДТО сопост. цены = Факт. товарооборот отчетного года в сопоставимых ценах*100 / Фактический товарооборот прошлого года

Анализ товарооборота торгового предприятия по товарной структуре предполагает количественную и стоимостную оценку реализации отдельных товаров и товарных групп в общем объеме товарооборота, а также определение динамики структурных сдвигов. Результаты анализа используются для изучения влияния структуры товарооборота на основные показатели деятельности: валовой доход, издержки, прибыль и выявления соответствия структуры товарного предложения покупательскому спросу - и оказывают решающее воздействие на формирование заказов поставщикам и выбор самих поставщиков.

Анализ товарооборота завершается выводами по итогам и определением перспектив роста общего объема и изменений структуры реализации товаров. Выводы, обобщения и предложения используются при разработке прогноза продаж и как действенное средство хозяйственного руководства, посредством которого осуществляется контроль и разрабатываются меры, обеспечивающие неуклонный рост товарооборота.

. Изучение индексов в региональном товарообороте

Экономический индекс - это относительная величина, которая характеризуется изменение исследуемого явления во времени, в пространстве или по сравнению с некоторым эталоном.[2, c. 129]

В оценке и анализе товарооборота используются все методы статистического исследования динамических процессов: построение динамических рядов; расчет его показателей (базисные и цепные темпы роста и прироста, среднегеометрические темпы, абсолютные темпы и абсолютное значение 1% прироста); построение трендовых и регрессионных моделей динамики; группировка отдельных предприятий, фирм, регионов по темпам роста товарооборота. Однако наиболее важное место в анализе динамики товарооборота занимает индексный метод.

Индексный метод позволяет решить большую часть задач, поставленных перед статистикой динамики товарооборота:

·        отразить количественные и ценовые компоненты динамики товарооборота;

·        выявить и охарактеризовать место демографического фактора в динамике товарооборота;

·        обнаружить и оценить ассортиментные и структурные сдвиги в динамике товарооборота;

·        отразить роль регионов в формировании процесса общего изменения товарооборота.[5, с.61]

Изменение товарооборота за какой-то промежуток времени характеризуется отношением двух денежных сумм: текущего (изучаемого) периода с базисным (любым прошлым) периодом. Этот показатель называется индексом товарооборота.

Индекс товарооборота - относительный показатель, который характеризует изменение стоимости совокупности проданных товаров в текущем периоде по сравнению с базисным за счет совместного влияния изменений количества и цен.

Расчет индекса товарооборота осуществляется по следующей формуле агрегатного индекса:


Особенностью данного индекса является то, что он отображает изменение объема розничного товарооборота в результате действия сразу двух факторов - товарной массы и розничных цен.

На втором этапе анализа динамики товарооборота рассчитывается индекс товарооборота в неизменных ценах (индекс физического объема). Многотоварный, или агрегатный, общий индекс, который должен отразить динамику количественного фактора товарооборота, представляет собой индекс стоимости товаров, где зафиксирован фактор цены.

Индекс физического объема товарооборота - относительный показатель, который отражает влияние изменения объема продажи товаров (количества и ассортиментных сдвигов) на динамику товарооборота; рассчитывается как отношение стоимостей количества товаров текущего и базисного периодов, соизмеренных в ценах одного и того же периода.

Агрегатная форма данного индекса представлена а следующем виде:


По существу, индекс физического объема товарооборота, как и любой стоимостной индекс, не в состоянии отразить изменение количественного фактора, он может только показать изменение товарооборота за счет количественного фактора.[2, c.132]

Индекс ценностного фактора товарооборота (индекс цен) - относительный показатель, который отражает влияние изменений цен на динамику товарооборота; рассчитывается как отношение стоимостей одного и того же количества товаров, соизмеренного по ценам текущего периода (в числителе) и базисного (в знаменателе) показателей. Агрегатная форма индекса ценностного фактора представлена следующей формулой:


Индекс товарооборота равен произведению индекса физического объема товарооборота на индекс цен:


Формула индекса физического объема может также принимать следующий вид:


Данный индекс образует единую индексную систему с индексом товарооборота и индексом ценностного фактора товарооборота:


Абсолютный прирост розничного товарооборота представляет собой разность между товарооборотом отчетного периода и товарооборотом базисного периода, т. е. разность между числителем и знаменателем индекса товарооборота:


Часть этого прироста, которая приходится на долю количественного фактора, может быть выявлена при сравнении условного товарооборота отчетного периода в базисных ценах с базисным товарооборотом, т. е. прирост товарооборота вследствие изменения объема проданных товаров определяется как разность между числителем и знаменателем индекса физического объема товарооборота:


И наконец, прирост товарооборота в результате изменения цен исчисляется при сопоставлении товарооборота отчетного периода и условного товарооборота в базисных ценах, т. е. как разность между числителем и знаменателем индекса цен:


Сумма этих двух частных приростов образует общий прирост товарооборота


представленный в виде факторной модели:

 

т.е. абсолютный прирост товарооборота может быть разложен на количественный и ценностный факторы.

Величина агрегатного индекса физического объема зависит от индивидуальных индексов, так как общее изменение объема производимой продукции (при неизменности ассортимента) есть результат изменения объема выпуска каждого отдельного вида. Общий результат изменения определяется также удельным весом стоимости отдельных видов продукции в общей стоимости продукции.

Общий индекс физического объема, построенный на базе индивидуальных индексов, принимает форму среднего арифметического или гармонического индекса. Например, известна стоимость продукции каждого вида в базисном периоде и индивидуальные индексы физического объема. Исходной базой построения среднего из индивидуальных индексов служит агрегатная форма индекса Ласпейреса.

Из имеющихся данных непосредственно суммированием можно получить только знаменатель формулы. Числитель же может быть получен перемножением стоимости отдельного вида продукции базисного периода на индивидуальный индекс.

При выборе весов следует иметь в виду, что средний индекс должен быть тождествен агрегатному, который является основной формой индекса. Учитывая, что отношение  характеризует долю данного вида продукции в общей стоимости продукции базисного периода (d0), средний арифметический индекс физического объема будет иметь вид:

3. Применение индексного метода в товарообороте

Широко применяется средний взвешенный гармонический индекс в статистике торговли при определении индексов розничных цен. Учет товарооборота ведется в денежном выражении по группам товаров, данные же о количестве проданных товаров в натуральном выражении во многих случаях отсутствуют. Поэтому непосредственно определить условную сумму товарооборота невозможно и тогда вместо агрегатной формы индекса вычисляется средний гармонический индекс с текущими весами.

Рассмотрим вычисление средних взвешенных индексов качественных показателей на примере.

Пример 1. За отчетный месяц цена единицы изделия А возросла на 5% по сравнению с предыдущим месяцем, изделия Б - на 3%, изделия В - на 11%. Нужно определить общий (средний) процент роста цен по всем изделиям в отчетном месяце, если известно, что объем товарооборота в отчетном месяце составил (млн руб): по изделию А- 780, по изделию Б -520, по изделию В - 340. Имеющиеся данные представим в табл.1(гр.3 и 4).

Таблица 1.

Динамика и структура товарооборота магазина

Изделия

Объем товарооборота Млн,руб.

Индивидуальные индексы цен

Условный объем товарооборота, млн, руб

Удельный вес стоимости изделия в общем объеме товарооборота


Предшест. мес

Отчет. мес.


Отчет. мес. по ценам преднес.

Предш. месс. по ценам отчетн.

Предшест. мес.

Отчет. мес.

1

2

3

4

5

6

7

8

А

750

780

1,05

742,86

787,5

47,02

47,56

Б

530

520

1,03

504,85

545,9

33,23

31,71

В

315

340

1,11

306,31

349,65

19,75

20,73

Итого

1595

1640


1554,02

1683,05

100,00

100,00


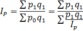
Определяем агрегатный индекс цен (по формуле Пааше):


Числитель формулы приведен в итоговой строке гр. 3 табл. 1 равен 1640 млн. руб. Слагаемые знаменателя можно определить делением товарооборота данного вида продукции в отчетном году на индивидуальный индекс цен:


Так, по изделию A этот индекс составит 742,86 млн. руб. и т.д. (см. гр. 5 табл.1).

Таким образом, получен общий объем товарооборота по ценам базисного периода. Общая его сумма стоит в знаменателе формулы. Разделив итог гр. 3 на итог гр. 5, получим, что в среднем цены возросли на 5,53%:

В данном случае агрегатный индекс цен представлен в форме среднего гармонического взвешенного индекса. В качестве весов используются фактические объемы товарооборота в отчетном месяце.

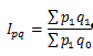
Поставим ту же задачу определения общего изменения цен на все изделия, но при условии, что известен товарооборот предыдущего месяца. Тогда при имеющейся информации об индивидуальных индексах цен и товарообороте предыдущего месяца (данные гр. 4 и 2 табл.1) рассчитать общий индекс цен можно с использованием агрегатного индекса Ласпейреса:

 

 

В данном случае агрегатный индекс цен представлен формой среднего арифметического индекса, а в качестве весов используются фактические объемы товарооборота предыдущего месяца.

Учитывая, что   представляет собой удельный вес стоимости i-го изделия в общем объеме товарооборота предыдущего месяца, в качестве веса могут использоваться и показатели структуры товарооборота предыдущего месяца (см. гр. 7 табл.1). Используем итоги гр. 6 и 2 табл.1 для расчета агрегатного индекса цен и установим, что в среднем цены возросли на 5,52%: . Близость величины агрегатного индекса цен к величине индивидуального индекса цен изделия А объясняется тем, что на долю этого изделия приходится более 47% общего объема товарооборота. "Вклад" отдельных изделий в общий рост цен зависит от структуры товарооборота.

Пример 2. Вычисление среднего арифметического взвешенного индекса физического объема товарооборота.

Таблица 2

Исходные данные

Вид товара

Единица измерения

Товарооборот базисного периода, млн. руб.

Относительное изменение количества реализованного товара в отчетном периоде по сравнению с базисным (+,-), %

А

шт.

 6,0

+66,7

Б

М

12,0

-37,5


Для определения относительного изменения физического объема товарооборота обычно рассчитывают агрегатный индекс физического объема товарооборота


Однако, по приведенной в табл. 2 исходной информации этого сделать нельзя, так как неизвестен товарооборот отчетного периода в базисных ценах (числитель индекса). Он может быть рассчитан на основе данных об относительном изменении количества товара каждого вида.

Для преобразования агрегатного индекса физического объема в средний арифметический взвешенный используют формулу индивидуального индекса физического объема

,

из которой следует, что qi=iq*q0. Далее в числителе агрегатного индекса заменяют q1 на выражение iq*q0. Тогда формула индекса физического объема принимает следующий вид:

,

где iq - индивидуальный индекс физического объема;

 - стоимость реализованных товаров (товарооборот) в базисном периоде.

В таком виде агрегатный индекс физического объема выступает как средняя арифметическая величина из индивидуальных индексов физического объема взвешенных по стоимости товаров базисного периода (товарообороту базисного периода) - q0p0.

По исходной информации необходимо вначале определить индивидуальные индексы физического объема (количества) реализованного товара:

Товар А: iq= 166,7 % (100 + 66,7);

Товар В: iq= 62,5% (100 -37,5).

(результаты расчетов представлены в расчетной табл.3, гр.4, 5).

Таблица 3.

Расчетная таблица

Товар

Единица измерения

Товарооборот базисного периода, млн. руб.

Индекс физического объема

Товарооборот отчетного периода в ценах базисного периода, млн. руб.



q0p0

iq

q1p0= iq*q0p0

1

2

3

4

5=3*4

А Б

шт. м

6,0 12,0

1,667 0,625

10,0 7,5

Итого

18,0

0,972

17,5


Расчет среднего арифметического индекса физического объема по формуле :  (данные для расчета среднего арифметического взвешенного индекса физического объема представлены в табл.3).

Индекс показывает, что объем продажи разнородных товаров (физический объем товарооборота) сократился в отчетном периоде по сравнению с базисным в среднем на 2,8% (97,2 - 100).

Приведенные варианты исчисления индексов отражают практику отечественной статистики. Во многих странах индексы физического объема и цен также исчисляются аналогичным образом.

Расчетная часть

Задание 1

С целью изучения конъюнктуры регионального рынка обследованы предприятия розничной торговли региона, в результате чего получены следующие данные за год о реализации условного товара (выборка 5%-ная, механическая):

№ предприятия

Средняя цена за 1 кг товара, руб.

Объем продаж, т

№ предприятия

Средняя цена за 1 кг товара, руб.

Объем продаж, т

1

98

48

16

105

46

2

86

54

17

93

48

3

87

55

18

94

48

4

78

58

19

106

46

5

86

53

20

90

58

6

95

49

21

106

44

7

96

50

22

108

46

8

97

50

23

109

45

9

98

52

24

110

46

10

70

63

25

81

59

11

101

52

26

91

57

12

98

51

27

120

37

13

82

53

28

112

41

14

100

52

29

117

42

15

105

42

30

87

55


По исходным данным:

1)      постройте статистический ряд распределения организации (предприятий) по признаку - средняя цена за 1 кг товара, образовав пять групп с равными интервалами

2)      графическим методом и путем расчетов определите значения моды и медианы полученного ряда распределения

)        рассчитайте характеристики интервально ряда распределения: среднюю арифметическую, среднее квадратическое отклонение, коэффициент вариации

Сделайте выводы по результатам выполнения пунктов 1,2,3 задания вычислите среднюю арифметическую по исходным данным, сравните ее с аналогичным показателем, рассчитанным в п. 3 для интервального ряда распределения. Объясните причину их расхождения.

Решение:

Определим величину интервала: .

Таблица №1

№ п/п

xi

fi

cum

xiср

xiсрfi

1

[70;80)

2

2

75

150

2

[80;90)

6

8

85

510

3

[90;100)

10

18

95

950

4

[100;110)

8

26

105

840

5

4

30

115

460


30



2910


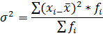
Рассчитаем характеристики интервального ряда распределения: среднюю арифметическую, среднее квадратическое отклонение, коэффициент вариации, моду и медиану . Простое арифметическое: .

Средняя арифметическая и простая арифметическая совпали.

Расcчитаем дисперсию:

товарооборот индекс интервальный вариация


Таблица №2

№ п/п

xi-x

(xi-x)2

(xi-x)2*fi

1

-22

484

968

2

-12

144

864

3

-2

4

40

4

8

64

512

5

18

324

1296

-10

1020

3680


.

Коэффициент вариации: .

По данным таблицы №1 делаем расчет моды и медианы.

.


.

Если xср ≈ Mo ≈ Me97≈96,7≈97- структура совокупности считается однородной.

Задание 2

По исходным данным с использованием результатов выполнения задания 1:

) установите наличие и характер корреляционной связи между признаками цена за единицу товара и объем продаж, используя метод аналитической группировки;

) оцените силу и тесноту корреляционной связи между названными признаками, используя коэффициент детерминации и эмпирическое корреляционное отношение;

) оцените статистическую значимость показателя силы связи.

Сделайте выводы по результатам выполнения задания.

Решение:

Рассчитаем интервал для объема продаж: .

Для составления таблицы с аналитической группировкой пользуемся таблицей № 1 из первого задания.

Таблица №3

№ п/п

xi

fi

Объем продаж

yi

fi

yi-y0

(yi-y0)2

(yi-y0)2 - fi




yi fi

yi






1

[70;80)

2

121

60,5

[37;42,2)

4

10

100

400

2

[80;90)

6

329

54,8

[42,2;47,4)

6

5

25

150

3

[90;100)

10

511

51,1

[47,4;52,6)

10

1

1

10

4

[100;110)

8

373

46,6

[52,6;57,8)

6

-3

9

54

5

[110;120)

4

166

41,5

[57,8;63]

4

-8

64

256


30

1500

254,5

30



870


Расcчитаем общий объем продаж: .

Таблица №4

Для расчета общей дисперсии объема продаж строим таблицу.

№ п/п

y

(y-y0)2

№ п/п

y

(y-y0)2

1

48

4

16

46

16

2

54

16

17

48

4

3

55

25

18

48

4

4

58

64

19

46

16

5

53

9

20

58

64

6

49

1

21

44

36

7

50

0

22

46

16

8

50

0

23

45

25

9

52

4

24

46

16

10

63

169

25

59

81

11

52

4

26

57

49

12

51

1

27

37

169

13

53

9

28

41

81

14

52

4

29

42

64

15

42

64

30

55

25

 Итого:

1040


.

Рассчитаем межгрупповую дисперсию: .

Рассчитаем эмпирическое корреляционное отношение:

.

.

,83-0,91- весьма тесная связь.

Вывод: рассчитанный коэффициент свидетельствует о весьма тесной связи между уровнем цен за единицу товара и объемом продажи.

Задание 3

По результатам выполнения задания 1 с вероятностью 0,997 определите:

)        ошибку выборки средней цены за 1кг товара и границы, в которых будет находиться средняя цена данного товара для генеральной совокупности предприятий;

)        ошибку выборки доли предприятий с уровнем средней цены за 1 кг товара 100 руб. и более и границы, в которых будет находиться генеральная доля.

Решение

Дано:

p(t)=0,997, t=3, n=30, 97, .(т.к. выборка 5%-ая), S2=35

Найти: x-? p-?

.        Определим ошибку выборки средней цены за 1 кг товара

µх=


.

.

m=10

. Посчитаем ошибку выборки доли предприятий с уровнем средней цены за 1 кг товара 100 руб. и более и границы, в которых будет находиться генеральная доля.

==0.33 или 33%


.

.

Вывод: С вероятностью 0,997 можно утверждать, что средняя цена товара в генеральной совокупности будет находиться в пределах от 93.8 руб. до 100.2 руб. С вероятностью 0,997 можно утверждать, что доля предприятий со средней ценой 100 руб. и более генеральной совокупности будет находиться в пределах от 10% до 60%.

Задание 4

Имеются следующие данные о продаже продуктов в регионе

Таблица 5

Продукт

Товарооборот, млн. руб.

Индекс %


Базисный период

Отчетный период

Цен

Физического объема товарооборота

Овощи

180

215

90

160

Молочные продукты

200

195

125

80


.Рассчитайте сводные индексы:

а) товарооборота;

б) физического объёма продаж;

в) цен (по методике Пааше)

. Определите абсолютные изменения товарооборота под влиянием изменений:

а) физического объёма продаж;

б) цен;

в) физического объёма продаж и цен (двух факторов вместе).

Сделайте выводы.

Решение:

)        а) Рассчитаем индекс товарооборота  или 108%

Вывод: Товарооборот в отчетном периоде вырос на 8%.

б) или 117,8%

Вывод: Физический объём продаж в отчетном периоде вырос на 17,8%

в)  или 104%

Вывод: Цены снизились на 4 % .

) Определим абсолютное изменение товарооборота.

а)  -

Вывод: Следовательно, за счет среднего повышения количества реализованного товара выручка от продаж уменьшиться на 5 тыс. руб.

б)  -

Вывод: следовательно, за счет среднего снижения цен, выручка продавцов снизилась на 35 тыс. руб.

в)

Вывод: следовательно, товарооборот по всем видам товаров, в общем, вырос на 30 тыс. руб.

Аналитическая часть

Изучение товарооборота может проводиться различными статистическими методами. Исследование товарооборота в Липецкой области РФ по приведенным в таблице 1 данным проведем индексным методом. Для исследования взяты данные с сайта Федеральной службы государственной статистики по Липецкой области.

Таблица 1. "Исходные данные"

 

Цена за тонну

Количество тонн

Товар

2010, р0

2011, р1

2010, q0

2011, q1

Мука

19,11

18,58

187000

202000

Масло сливочное

205,5

221,37

2600

2500


Решение

Для сравнения цен рассчитаем следующие индексы для каждого товара:

Ø  индивидуальные индексы:

Ø  агрегатные индексы по формулам Паше:  и Ласпейреса:

Ø  индекс физического объема: ;

Ø  общий индекс товарооборота: ;

Ø  а также вычислим абсолютный прирост товарооборота за счет изменения цены.

Методика выполнения компьютерных расчетов

Расчеты индексов цен выполнены с применением пакета прикладных программ обработки электронных таблиц MS Excel в среде Windows.

Рисунок 1 показывает расположение на рабочем листе Excel таблицы 1 с исходными данными:

рис 1


На рисунке 2 представлены результаты вычислений:

Рис 2


Таблица для выполнения компьютерных расчетов агрегатных индексов, индекса физического объема, общего индекса товарооборота и абсолютного прироста товарооборота по формулам представлена на рисунке 3:

рис 3


Анализ результатов статистических компьютерных расчетов

Результаты проведенных расчетов позволяют сделать следующие выводы.

)        По результатам расчетов индивидуальных индексов цен можно сказать, что в 2011 году, по сравнению с 2010,цена на муку в Липецкой области снизилась на 2,8%, а цены на масло сливочное повысились на 7,7%.

)        Физический объем продукции в 2011 году, по сравнению с 2010 годом увеличился на 8% - мука; физический объем продукции в 2011 году, по сравнению с 2010 годом уменьшился на 3,8% - масло сливочное.

)        Товарооборот в общем увеличился на 4,25%.

Заключение

Товарооборот относится к числу важнейших показателей плана экономического и социального развития. Он оказывает влияние как на производство, так и на потребление.

Анализ товарооборота позволяет оценивать соответствие имеющихся товаров спросу населения для принятия мер по оптимизации структуры товарооборота, увеличению объема продаж, ускорению товарооборачиваемости, ритмичности и равномерности продаж. Товарооборот подразделяется на оптовый, розничный и оборот общественного питания.

Анализ товарооборота завершается выводами по итогам и определением перспектив роста общего объема и изменений структуры реализации товаров. Выводы, обобщения и предложения используются при разработке прогноза продаж и как действенное средство хозяйственного руководства, посредством которого осуществляется контроль и разрабатываются меры, обеспечивающие неуклонный рост товарооборота.

Центральным моментом в статистике товарооборота был и остается вопрос о применении индексного метода в анализе динамики товарооборота и выявлении главных факторов его развития.


Список использованной литературы

1.      Статистика: Учебное пособие / Е.В. Иода. - М.: Вузовский учебник: НИЦ Инфра-М, 2012. - 303 с.: 60x90 1/16. (переплет) ISBN 978-5-9558-0144-5, 1000 экз

.        Статистика: Учебное пособие / О.А. Шумак, А.В. Гераськин. - М.: ИЦ РИОР: НИЦ Инфра-М, 2012. - 311 с.: ил.; 60x90 1/16. - (Высшее образование: Бакалавриат). (переплет) ISBN 978-5-369-01048-8, 300 экз.

.        Статистика: Учебник / А.М. Годин. - 10-e изд., перераб. и испр. - М.: Дашков и К, 2012. - 452 с.: 60x84 1/16. (переплет) ISBN 978-5-394-01494-9, 1500 экз.

5.      Экономика организации (торговля): Учебник / Г.Г. Иванов. - М.: ИД ФОРУМ: ИНФРА-М, 2012. - 352 с.: ил.; 60x90 1/16. - (Высшее образование). (переплет) ISBN 978-5-8199-0489-3, 1000 экз.

.        Социально-экономическая статистика: Учебное пособие / Я.С. Мелкумов. - 2-e изд. - М.: НИЦ Инфра-М, 2013. - 186 с.: 60x90 1/16. - (Высшее образование: Бакалавриат). (переплет) ISBN 978-5-16-005424-7, 700 экз

7.      Липецкий статистический ежегодник [2011]: статистический сборник / Федеральная служба государ. статистики; Территор. орган Федеральной службы гос. статистики по Липецкой обл.; [ред. коллегия Б. П. Хижняков и др.]. - Липецк: Липецкстат, 2011. - 363, [1]с. - ISBN 978-5-9902068-2-3 : 750-00.

Похожие работы на - Индексы в региональном товарообороте

 

Не нашли материал для своей работы?
Поможем написать уникальную работу
Без плагиата!
Без нейросетей!