Анализ финансового состояния предприятия на примере 'Завод ЖБК-1'
Министерство
образования и науки Российской Федерации
Государственное
образовательное учреждение
высшего
профессионального образования
Российский
Государственный Торгово-Экономический Университет
Воронежский
филиал
Курсовая
работа
По
дисциплине: «Комплексный анализ финансово-хозяйственной деятельности»
на
тему: Анализ финансового состояния предприятия
на примере
"Завод ЖБК-1"
Выполнил студент 2 курса
Обучающийся по специальности
(080502.65)-Экономика (экономика предприятия и
организации)
Группы ЭЭД-211
Овсянников Игорь Васильевич
Руководитель: Морковина Светлана Сергеевна
Воронеж 2013
г.
Содержание
Введение
Глава 1. Теоретические основы
деловой активности и роль ее показателей в системе комплексного экономического
анализа
1.1 Подходы к определению сущности
деловой активности
.2 Система показателей деловой
активности и эффективности деятельности предприятия
.3 Анализ оборачиваемости и
эффективности использования основных средств
.4 Анализ оборачиваемости и
эффективности использования оборотных средств
Глава 2. Анализ финансового
состояния предприятия на примере "Завод ЖБК-1"
.1 Организационно-экономическая
характеристика ОАО «Завод ЖБК-1»
.2 Горизонтальный и вертикальный
анализ бухгалтерского баланса
.3 Анализ финансовой устойчивости,
ликвидности баланса, платежеспособности и кредитоспособности организации
.4 Анализ финансовых результатов
деятельности организации ОАО «Завод ЖБК-1»
.5 Анализ имущества организации и
его использование
Заключение
Список литературы
Введение
Изменения в законодательных и нормативных актах,
а также трансформация отчетности с учетом международных стандартов в
соответствии с Концепцией развития бухгалтерского учета и отчетности на
среднесрочную перспективу, определили круг актуальных проблем для исследований
по совершенствованию информационной базы анализа показателей деловой активности
и методологических вопросов анализа.
В мировой практике существует ряд примеров
применения методики по оценке деловой активности предприятия, которые могут
найти применение и в отечественной экономике.
Инвестирование отечественной экономики
затруднено по причине отсутствия системы объективных показателей, позволяющих
оценить как состояние экономики страны в целом, так и отдельных отраслей
промышленности.
В формах отчетности, принятых в Российской
Федерации, не предусматривается выделение показателей деловой активности, что
не позволяет представить эффективность управления предприятием, отраслью,
экономикой в целом. Это определяет наличие методологических проблем
установления системы показателей деловой активности, ее объективной оценки, а
также формирования достоверной и достаточной информационной базы.
Актуальность совершенствования анализа деловой
активности и его информационной базы, недостаточная разработанность проблемы
выбора и оптимальной методики расчета ее показателей обусловили выбор темы
исследования и круг рассматриваемых вопросов.
Проблемы оценки деловой активности,
совершенствования информационной базы анализа в составе бухгалтерской
финансовой отчетности рассматриваются в трудах зарубежных ученых-экономистов, в
частности таких как, Д.А. Аакер, Э. Дж. Долан, К.Д. Кэмпбелл, Р. Дж. „
Кэмпбелл, Л.А. Бернстайн и других. Разработке отдельных аспектов данной
проблемы посвящены работы многих отечественных экономистов, таких как А.Д. Шеремет,
М.И. Баканов, В.В. Ковалев, Г.В. Савицкая, Н.Н. Илышева, СВ. Панкова, О.В.
Ефимова, Р.С. Сайфулин и другие.
Вместе с тем, проблема оценки деловой активности
остается слабо разработанной, так как каждый из авторов предлагает различные
методики расчета ее показателей, которые неполно отражают общую картину
эффективности работы отдельно взятого предприятия. Из-за общей экономической
нестабильности в стране практически затруднен долгосрочный прогноз показателей,
характеризующих экономическую эффективность деятельности предприятий и
отраслей, и он не делается даже на краткосрочную перспективу.
По мнению большинства экономистов (М.И.
Баканова, А.Д. Шеремета, В.В. Ковалева, Р.С. Сайфулина и др.), содержание
действующей бухгалтерской отчетности не в полной мере соответствует целям и
задачам экономического анализа и требует определенных корректировок не только
для целей анализа, но и для целей приближения к МСФО.
Цели курсовой работы:
Исходя из цели курсовой работы, автором
поставлены и решены следующие задачи:
. Определить систему показателей деловой
активности и эффективности деятельности предприятия
. Изучить анализ оборачиваемости и
эффективности использования основных средств
. Рассмотреть анализ оборачиваемости и
эффективности использования оборотных средств
. Провести анализ финансового состояния
предприятия ОАО "Завод ЖБК-1"
Предметом исследования в данной работе являются
методология анализа деловой активности и финансового состояния и их
информационная база.
Объектом исследования является предприятие
"Завод ЖБК-1".
Курсовая работа состоит из двух частей. В первой
части рассматриваются теоретические аспекты анализа материальных ресурсов. Во
второй части исследуется бухгалтерская отчетность ОАО «Завод ЖБК-1» и дается
аналитическая оценка финансового состояния предприятия.
ликвидность
платежеспособность кредитоспособность
1. Теоретические основы деловой активности и
роль ее показателей в системе комплексного экономического анализа
.1 Подходы к определению сущности деловой
активности
Термин «деловая активность» пришел в
отечественный экономический лексикон из мировой практики в связи с
реформированием экономики и формированием рыночных отношений. В развитых
странах, в частности США, деловая активность определяется на макро- и
микроуровнях.
Для отечественной практики пока характерна
противоречивая оценка деловой активности страны на макроуровне, а также
отдельного хозяйственного субъекта, на микроуровне. Многие экономические
энциклопедические словари, составленные различными коллективами авторов, либо
вообще не дают определения деловой активности, либо недостаточно четко
определяют это понятие.
Встречающиеся определения отражают деловую
активность человека (предпринимателя) , или рассматривают деловую активность
как категорию, конкретизирующую экономическую деятельность.
Авторы большого энциклопедического словаря дали
следующее определение деловой активности: «Активность деловая - экономическая
деятельность, конкретизированная в виде производства того или иного товара или
оказания конкретной формы услуг. Положена в основу международной стандартной
классификации отраслей хозяйства, экономических классификаторов Системы
национальных счетов (СНС)». Очевидна упрощенная трактовка, не раскрывающая
конечной цели и результата производства или оказания услуг как на макро, так и
на микроуровнях.
Неоднозначно формулируют определение деловой
активности Б.А. Райзберг, Л.Ш. Лозовский, Е.Б. Стародубцева - авторы
современного экономического словаря: «Активность деловая: характеристика
состояния предпринимательской деятельности в отрасли, фирме, стране;
оценивается, в частности, индексом динамики курсов ценных бумаг». Более полно
характеризует деловую активность на уровне предприятия В.В. Ковалев, отмечая,
что «в широком смысле деловая активность означает весь спектр усилий, направленных
на продвижение фирмы на рынках продукции, труда, капитала..., в более узком
смысле - как текущая производственная и коммерческая деятельность предприятия».
В этом подходе к определению деловой активности четко определены направления
характеристики итогов, деятельности предприятия, что соответствует ее сущности
на микроуровне. Разделяя в целом позицию В.В. Ковалева, считаем необходимым,
отметить, что недостаточно охарактеризована деловая активность на уровне
экономики государства в целом, не прослеживается связь с целевой установкой
предпринимательства по эффективному использованию капитала на уровне
предприятия.
Для более полного понимания сущности деловой
активности и корректной формулировки ее определения, имеется необходимость в ее
обосновании на основе взаимосвязей хозяйственных и финансовых процессов,
выраженных в системе взаимосвязанных показателей. При этом использован
комплексный подход к исследованию этих показателей, иначе невозможно установить
роль деловой активности и ее проявление. Основой для проведения данного
исследования послужила разработка схемы формирования и анализа основных групп
показателей в системе комплексного экономического анализа А.Д. Шереметом.
Учитывая неоднозначные предложения различных экономистов по формированию
показателей деловой активности, важно выявить их место в представленной схеме и
критически оценить их роль и участие в комплексной оценке итогов деятельности
предприятия. Необходимость комплексного подхода правомерно обоснована А.Д.
Шереметом и поддержана в экономической литературе многими авторами: В.В.
Ковалевым и О.Н. Волковой, Г.В. Савицкой,Л.Е. Басовским и Е.Н. Басовской, Л.Т.
Гиляровской, Н.П. Любушиным.
Имеется необходимость в обосновании взаимосвязи
деловой активности и финансового состояния и включении их показателей в
обобщающую оценку деловой активности, а также определение основных этапов
анализа.
Большинство определений деловой активности на
уровне предприятия сводится либо к односторонней характеристике показателей,
либо направлений использования капитала, хотя и затрагиваются существенные
элементы деловой активности.
Л.Е Басовский, Е.Н. Басовская отмечают циклы
деловой активности и выражают их в показателях ВНП (валовой национальный
продукт) и объема промышленного производства. Они отмечают, что «индексы ВНП и
промышленного производства возрастают и убывают в соответствии с развитием
цикла деловой активности и других более длительных циклов экономического
развития. Однако сведение определения деловой активности к валовым показателям
роста без оценки качества этого роста, которые проявляются в доходах и прибыли,
не дает возможности полноценно охарактеризовать деловую активность, как на
макро, так и на микро уровнях.
Л.В. Донцова и Н.А. Никифорова отмечают:
«Деловая активность в финансовом аспекте проявляется, прежде всего, в скорости
оборота средств. Анализ деловой активности заключается в исследовании уровней и
динамики разнообразных финансовых коэффициентов - показателей оборачиваемости».
Скорость движения капитала, которая проявляется
в показателях оборачиваемости, безусловно, является важнейшим критерием деловой
активности. Однако завершающий это движение финансовый результат (эффект) в
данном определении не нашел отражения.
В определениях других авторов, наоборот,
отражается результат от управления и использования капитала, что звучит слишком
обобщенно.
Так, С.М. Пястолов отмечает, что «оценка деловой
активности предприятия сводится, в конечном счете, к определению эффективности
управления капиталом, находящимся в распоряжении предприятия»
Близко к этому определению характеризует деловую
активность Л.С. Прыкина: «Деловая активность предприятия обычно характеризуется
интенсивностью использования инвестированного (внутреннего) капитала».
Интенсификация использования капитала проявляется в изменении скорости его
оборота, что дало основание многим экономистам упоминать в определении сущности
деловой активности только оборачиваемость.
В частности, А.Д. Шеремет и Р.С Сайфулин
отмечают, что коэффициенты деловой активности отражаются в оборачиваемости
капитала, мобильных средств, дебиторской и кредиторской задолженности,
собственном капитале, внеоборотных активах. Проводя общую параллель среди
мнений различных авторов, следует отметить одинаковые подходы к тому, что
деловая активность зависит от эффективного использования материальных, трудовых
и финансовых ресурсов организации. Но тогда она должна включать, наряду с
показателями эффективности использования основного капитала, показатели
эффективности использования трудовых ресурсов, показатели, характеризующие финансовые
результаты деятельности организации, а также прибыль на один рубль капитала,
что отмечают далеко не все экономисты.
Таким образом, в деловой активности должна
отражаться эффективность размещения капитала в различных видах активов. Если
значительная его часть авансирована во внеоборотные активы, то времени на его
высвобождение потребуется гораздо больше, чем при вложении средств в оборотные
активы, которые имеют средний срок кругооборота до одного года. Следовательно,
предприятия должны контролировать оптимальность соотношения оборотных и
внеоборотных активов, чтобы не заморозить авансированные финансовые ресурсы на
более длительный срок, чем это планировалось. В этом заключается одно из
условий эффективного управления капиталом предприятия, отрасли, экономики в
целом.
Выгодность размещения капитала предприятия
определяется также тем, насколько прибыльно проведены операции. В частности,
следует учитывать эффект в виде доходов, которые предприятия могут увеличить,
предусмотрев штрафные санкции за нарушение условий договоров с покупателями,
поставщиками, возмещение материального ущерба, вложив средства в ценные бумаги
под высокие проценты. Таким образом, если предприятие имеет долгосрочную
дебиторскую задолженность, то доход от такого вложения капитала должен быть не
меньше, чем ставка рефинансирования Центробанка. Следовательно, данные вопросы
важно рассматривать в качестве факторов деловой активности, влияющих на
эффективность управленческих решений.
.2 Система показателей деловой активности и
эффективности деятельности предприятия
Для целей оценки управления деятельностью
предприятия наука и практика выработали специальные инструменты, называемые
экономическими показателями.
Экономические показатели - это микромодели
экономических явлений. Отражая динамику и противоречия происходящих процессов,
они подвержены изменениям и колебаниям и могут приближаться или отдаляться от
своего главного предназначения - измерения и оценки сущности экономического
явления. Поэтому аналитик должен знать для каждого экономического показателя:
идет ли речь об эффективности деятельности или деловой активности предприятия.
В настоящее время наиболее полное и
последовательное исследование экономической эффективности хозяйственной
деятельности (раскрытие предмета анализа) дается в теории комплексного
экономического анализа. Анализу эффективности посвящены все разделы текущего,
перспективного и оперативного анализа. Оценивается достигнутая эффективность
хозяйственной деятельности, выявляются факторы ее изменения, неиспользованные возможности
и резервы повышения.
Эффективность хозяйственной деятельности
измеряется одним из двух способов, отражающих результативность работы
предприятия относительно либо величины авансированных ресурсов, либо величины
их потребления (затрат) в процессе производства. Эти показатели характеризуют
степень деловой активности предприятия:
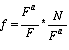
(А) Эффективность авансированных ресурсов =
Продукция / Авансированные ресурсы
(Б) Эффективность потребленных ресурсов =
Продукция / Потребленные ресурсы (затраты)
Соотношение между динамикой продукции и
динамикой ресурсов (затрат) определяет характер экономического роста.
Экономический рост производства может быть достигнут как экстенсивным, так и
интенсивным способом. Превышение темпов роста продукции над темпами роста ресурсов
или затрат свидетельствует о преимущественно интенсивном экономическом росте.
Для оценки эффективности хозяйственной
деятельности также используются показатели рентабельности - прибыльности или
доходности его капитала, ресурсов или продукции.
Деловая активность предприятия в финансовом
аспекте проявляется, прежде всего, в скорости оборота его средств.
Рентабельность предприятия отражает степень прибыльности его деятельности.
Анализ деловой активности и рентабельности заключается в исследовании уровней и
динамики разнообразных финансовых коэффициентов оборачиваемости и
рентабельности, которые являются относительными показателями финансовых
результатов деятельности предприятия.
Общая схема формирования рассматриваемых
показателей представлена в табл. 1.
В первой строке и первом столбце таблицы
представлены возможные варианты соответственно числителя и знаменателя
финансового коэффициента. На пересечениях второго и третьего столбцов и второй
и третьей строк таблицы показаны три различных типа относительных показателей,
получающихся при возможных сочетаниях числителя и знаменателя (исключение
представляет пересечение второго столбца и второй строки, не дающее
показателя). В обобщенном виде формулы финансовых коэффициентов, формируемых по
данной схеме, выглядят следующим образом.
Таблица 1 ОБЩАЯ СХЕМА ФОРМИРОВАНИЯ ПОКАЗАТЕЛЕЙ
|
Знаменатель
|
Финансовый
результат
|
|
финансового
коэффициента
|
Выручка
от реализации
|
Прибыль
|
|
Выручка
от реализации
|
х
|
Рентабельность
продаж
|
|
Показатель
средств предприятия или их источников
|
Оборачиваемость
средств предприятия или их источников
|
Рентабельность
средств предприятия или их источников
|
Оборачиваемость средств или их источников =
Выручка от реализации / Средняя за период величина средств или их источников
Рентабельность продаж = Прибыль / Выручка от
реализации
Рентабельность средств или их источников =
Прибыль / Средняя за период величина средств или их источников
В данных формулах намеренно не конкретизирован
показатель прибыли, поскольку в качестве него может быть взята прибыль от реализации
продукции (работ, услуг) или балансовая прибыль, облагаемая налогом прибыль,
чистая прибыль, остающаяся в распоряжении предприятия после уплаты налогов.
Если рентабельность средств или их источников вычисляется на основе прибыли от
реализации и тем самым достигается сопоставимость с рентабельностью продаж, то
между рассматриваемыми финансовыми коэффициентами существует определенная
взаимосвязь:
Рентабельность средств или их источников =
Рентабельность продаж * Оборачиваемость средств или их источников
Эта формула показывает, что прибыльность средств
предприятия или их источников обусловлена как ценообразовательной политикой
предприятия и уровнем затрат на производство реализованной продукции (они
комплексно отражаются в показателе рентабельности продаж), так и деловой,
активностью предприятия, измеряемой оборачиваемостью средств или их источников.
Формула указывает на пути повышения рентабельности средств или их источников
(по сути дела, степени прибыльности использования капитала предприятия или его
составных частей): при низкой прибыльности продаж необходимо стремиться к
ускорению оборота капитала и его элементов и наоборот, определяемая теми или
иными причинами низкая деловая активность предприятия может быть компенсирована
только снижением затрат на производство продукции или ростом цен на продукцию,
т. е. повышением рентабельности продаж.
В формулах не конкретизирован также показатель
средней за период величины средств предприятия или их источников. В качестве
данного показателя могут быть использованы итог баланса, величины мобильных
средств, материальных мобильных средств, готовой продукции, дебиторской
задолженности, кредиторской задолженности, основных средств и прочих
внеоборотных активов, собственных средств, перманентного капитала и т.д.
Рассмотрим наиболее важные финансовые
коэффициенты рентабельности и деловой активности, получаемые при различных
вариантах знаменателя относительного показателя. Ниже приводятся вначале все
формулы коэффициентов по аналитическому блоку, затем комментарии экономического
смысла и динамики показателей.
Символом
обозначен
блок анализа рентабельности, символом
- блок анализа деловой активности;
символ
означает
комментарий к блоку анализа.
Коэффициенты рентабельности (
)
) Рентабельность продаж
(1)
где
- выручка от реализации продукции
(работ, услуг);
- прибыль от реализации продукции
(работ, услуг).
) Рентабельность всего капитала
фирмы
(2)
где
- средний за период итог
баланса-нетто,
в качестве
могут
выступать как балансовая прибыль (
), так и прибыль от реализации (
).
З
) Рентабельность основных средств и
прочих внеоборотных
активов
(3)
где
- средняя за период величина
основных средств и прочих внеоборотных активов.
) Рентабельность собственного
капитала
(4)
где
- средняя за период величина
источников собственных средств предприятия по балансу
) Рентабельность перманентного
капитала
(5)
где
- средняя за период величина
долгосрочных кредитов и займов.
Комментарий по коэффициентам
рентабельности.
К)
показывает, сколько прибыли
приходится на единицу реализованной продукции. Рост
является
следствием роста цен при постоянных затратах на производство реализованной
продукции (работ, услуг) или снижения затрат на производство при постоянных
ценах. Уменьшение
свидетельствует
о снижении цен при постоянных затратах на производство или о росте затрат на
производство при постоянных ценах, т. е. о снижении спроса на продукцию
предприятия.
К)
показывает эффективность
использования всего имущества предприятия. Снижение
также
свидетельствует о падающем спросе на продукцию фирмы и о перенакоплении
активов.
З
К)
отражает эффективность использования
основных средств и прочих внеоборотных активов, измеряемую величиной прибыли,
приходящейся на единицу стоимости средств. Рост
при снижении
свидетельствует
об избыточном увеличении мобильных средств, что может быть следствием
образования излишних запасов товарно-материальных ценностей, затоваренности
готовой продукцией в результате снижения спроса, чрезмерного роста дебиторской
задолженности или денежных средств.
К)
показывает эффективность
использования собственного капитала. Динамика
оказывает влияние на уровень
котировки акций на фондовых биржах.
К)
отражает эффективность использования
капитала, вложенного в деятельность фирмы на длительный срок (как собственного,
так и заемного).
Коэффициенты деловой активности (А)
А) Коэффициент общей оборачиваемости
капитала
(6)
где
- выручка от реализации продукции
(работ, услуг);
- средний за период итог баланса.
А) Коэффициент оборачиваемости
мобильных средств
(7)
где
- средняя за период величина
запасов и затрат по балансу;
- средняя за период величина
денежных средств, расчетов и прочих активов.
А) Коэффициент оборачиваемости
материальных оборотных средств
(8)
А) Коэффициент оборачиваемости
готовой продукции
(9)
где
- средняя за период величина готовой
продукции.
А) Коэффициент оборачиваемости
дебиторской задолженности
(10)
где
- средняя за период дебиторская
задолженность.
А) Средний срок оборота дебиторской
задолженности
(11)
А) Коэффициент оборачиваемости
кредиторской задолженности
(12)
где
- средняя за период кредиторская
задолженность.
А) Средний срок оборота кредиторской
задолженности
(13)
9А) Фондоотдача основных средств и
прочих внеоборотных активов
(14)
где
- средняя за период величина
основных средств и прочих внеоборотных активов по балансу.
А) Коэффициент оборачиваемости
собственного капитала
(15)
где
- средняя за период величина
источников собственных средств предприятия по балансу.
Комментарий по коэффициентам деловой
активности (АК)
АК)
отражает скорость оборота (в
количестве оборотов за период) всего капитала предприятия. Рост
означает
ускорение кругооборота средств предприятия или инфляционный рост цен (в случае
снижения
или
).
АК)
показывает скорость оборота всех
мобильных (как материальных, так и нематериальных) средств предприятия. Рост
характеризуется
положительно, если сочетается с ростом
, и - отрицательно, если
уменьшается.
ЗАК)
отражает число оборотов запасов и
затрат предприятия за анализируемый период. Снижение
свидетельствует
об относительном увеличении производственных запасов и незавершенного
производства или о снижении спроса на готовую продукцию (в случае уменьшения
).
АК)
показывает скорость оборота готовой
продукции. Рост
означает
увеличение спроса на продукцию предприятия, снижение
-
затоваривание готовой продукцией в связи со снижением спроса.
АК)
показывает расширение или снижение
коммерческого кредита, предоставляемого предприятием. Если коэффициент
рассчитывается по выручке от реализации, формируемой по мере оплаты счетов,
рост
означает
сокращение продаж в кредит. Снижение
в этом случае свидетельствует об
увеличении объема предоставляемого кредита.
АК)
характеризует средний срок погашения
дебиторской задолженности. Положительно оценивается снижение
и наоборот.
АК)
(по аналогии с
показывает
расширение или снижение коммерческого кредита, предоставляемого предприятию.
Рост
означает
увеличение скорости оплаты задолженности предприятия, снижение
- рост
покупок в кредит.
АК)
отражает средний срок возврата
долгов предприятия (за исключением обязательств перед банками и по прочим
займам).
АК)
характеризует эффективность
использования основных средств и прочих внеоборотных активов, измеряемую
величиной продаж, приходящейся на единицу стоимости средств.
АК)
показывает скорость оборота
собственного капитала, что для акционерных обществ означает активность средств,
которыми рискуют акционеры. Резкий рост
отражает повышение уровня продаж,
которое должно в значительной степени обеспечиваться кредитами и,
следовательно, снижать долю собственников в общем капитале предприятия.
Существенное снижение
отражает
тенденцию к бездействию части собственных средств. [11]
1.3 Анализ оборачиваемости и
эффективности использования основных средств
В производственно-хозяйственной деятельности
используются производственные фонды и фонды непроизводственного назначения.
Авансированные для производственно-хозяйственной деятельности производственные
фонды выступают в трех формах:
· производительной,
· денежной и
· товарной.
Задача фондов в трех формах одна - обеспечить
непрерывность производства и воспроизводства, поэтому эти фонды и называются
производственными. В отличие от непроизводственных фондов производительные
фонды обслуживают сам процесс производства в материальных отраслях производства.
Проблема использования производственных фондов
предприятий имеет две стороны. Первая связана с уменьшением массы потребленных
в процессе производства средств производства; вторая - с уменьшением
авансированных для производственно-хозяйственной деятельности фондов. Общая
сумма потребленных производственных фондов за анализируемый период
соответствует затратам средств труда (амортизация) и предметов труда на выпуск
продукции. Авансированная сумма производственных фондов - это такая их сумма,
которая обеспечивает одновременное пребывание производственных фондов во всех
своих натуральных формах и на всех стадиях хозяйственной деятельности.
Проблема выпуска продукции с наименьшими
затратами производственных фондов - проблема снижения себестоимости промышленной
продукции. Показателями, отражающими снижение себестоимости продукции,
являются:
· уровень рентабельности одного
оборота производственных фондов (отношение прибыли к себестоимости);
· затраты на один рубль товарной или
реализованной товарной продукции и
· прибыль на один рубль продукции.
Проблема выпуска и реализации определенной массы
продукции с меньшим количеством закрепленных (авансированных) производственных
фондов (или, что то же самое, выпуска наибольшего количества продукции с
использованием определенной массы авансированных фондов) - вполне
самостоятельная проблема экономики предприятий. Показателем, отражающим выпуск
продукции с меньшим количеством фондов, является общая фондоотдача
производственных фондов, или их оборачиваемость. Его исчисление можно
производить либо по стоимости реализованной продукции, либо по себестоимости
реализованной продукции. Обратным этому показателю является показатель общей
фондоемкости продукции (коэффициент закрепления производственных фондов).
Воспроизводство и оборачиваемость основных
производственных фондов - фактор, влияющий на уровень рентабельности и
финансовое состояние предприятий. Для предприятий важно, сколько собственных
средств вложено в основные фонды. В современных условиях увеличивается маневренность
предприятий в отношении создания и использования средств труда, повышается роль
кредита в формировании основных средств. Денежные средства от реализации
ненужных средств труда пополняют фонд развития производства.
Таблица 2 ВЛИЯНИЕ ХОЗЯЙСТВЕННЫХ ОПЕРАЦИЙ С
ОСНОВНЫМИ СРЕДСТВАМИ НА ФИНАНСОВОЕ СОСТОЯНИЕ И РЕЗУЛЬТАТЫ ДЕЯТЕЛЬНОСТИ
ПРЕДПРИЯТИЯ
|
Содержание
хозяйственной операции
|
Влияние
на имущественное состояние и финансовые результаты деятельности предприятия
|
|
ПОСТУПЛЕНИЕ
ОСНОВНЫХ СРЕДСТВ
|
|
Получено
безвозмездно от физических лиц
|
Увеличивается
размер собственного капитала предприятия за счет роста фондов специального
назначения (за вычетом расходов по доставке). Это ведет к росту устойчивости
финансового положения. С другой стороны, это ведет к повышению удельного веса
амортизационных отчислений и расходов на ремонт в себестоимости продукции,
что при низкой фондоотдаче безвозмездно полученных основных средств может
привести к уменьшению прибыли и рентабельности
|
|
Получено
безвозмездно от юридических лиц
|
Увеличиваются
внереализационные доходы предприятия на величину первоначальной или
остаточной стоимости объектов. Одновременно на сумму износа увеличиваются
внереализационные расходы (убытки). На сумму расходов по доставке уменьшаются
спецфонды, либо чистая прибыль, либо нераспределенная прибыль прошлых лет. В
целом на сумму поступивших основных средств (за вычетом расходов по доставке)
увеличивается балансовая прибыль.
|
|
Приобретение
основных средств за плату
|
Увеличиваются
внеоборотные активы предприятия, изменяется структура капитала предприятия. В
целом замедляется оборот капитала, сокращаются размеры наиболее ликвидных
активов, ухудшается платежеспособность. На величину расходов по доставке и
монтажу объектов уменьшается чистая прибыль или фонд накопления. Оборотные
средства увеличиваются на сумму уплаченного НДС (списываются на уменьшение
задолженности бюджету по НДС на реализованную продукцию в течение 6 мес.). По
приобретенным транспортным средствам, помимо НДС, уплачивается налог на
приобретение транспортных. Издержки производства увеличиваются на сумму
налога с владельцев транспортных средств.
|
|
Долгосрочная
аренда основных средств
|
Увеличивается
сумма внеоборотных активов и сумма задолженности арендодателям. Периодически
уменьшается денежная наличность на сумму арендной платы и % за аренду. На
сумму % уменьшается чистая прибыль или фонд накопления.
|
Методика анализа эффективности вложений
предприятия в основные средства, их эксплуатации и воспроизводства должна
учитывать ряд принципиальных положений:
· функциональная полезность основных
средств сохраняется в течение ряда лет, поэтому расходы по их приобретению и
эксплуатации распределены во времени;
· момент физической замены
(обновления) основных средств не совпадает с моментом их стоимостного
замещения, в результате чего могут возникнуть потери и убытки, занижающие
финансовые результаты деятельности предприятия;
· эффективность использования основных
средств оценивается по-разному в зависимости от их вида, принадлежности,
характера участия в производственном процессе, а также назначения. Поскольку
основные средства обслуживают не только производственную сферу деятельности
предприятия, но и социально-бытовую, культурную, природно-экологическую и
другие сферы, постольку эффективность их использования определяется не только
экономическими, но и социальными, экологическими и другими факторами.
Основные средства и долгосрочные инвестиции в
основные средства многопланово и разносторонне влияют на финансовые результаты
деятельности предприятия. Характер этого влияния показан в таблице 1.
Представленные варианты аналитических задач
позволяют дать оценку структуры, динамики и эффективности использования
основных средств и долгосрочных инвестиций. Подчеркнем, что здесь очень большая
свобода для аналитика. Определяющим для выбора аналитических задач и
формирования их набора являются конкретные потребности управления, содержание
принимаемых управленческих решений.
Вместе с тем действия аналитика могут быть
систематизированы. Они, в основном, сводятся к выполнению следующих аналитических
процедур:
· сравнение данных отчетного периода с
соответствующими данными предыдущего периода (периодов);
· сравнение отчетных данных с
плановыми сметными или проектными показателями;
· сравнение отчетных данных с
отраслевыми показателями;
· сравнение показателей эффективности
использования основных средств с показателями использования других видов
ресурсов и капитала предприятия в целом;
· сравнение отчетов по основным
средствам с отчетами о производственных и финансовых результатах деятельности
предприятия;
· факторное моделирование взаимосвязей
показателей использования основных средств.
Полнота и достоверность результатов анализа
основных средств зависят от степени совершенства бухгалтерского учета,
отлаженности систем регистрации операций с объектами основных средств, полноты
заполнения учетных документов, точности отнесения объектов к учетным
классификационным группам, достоверности инвентаризационных описей, глубины
разработки и ведения регистров аналитического учета.
В качестве источников бухгалтерской информации
для анализа основных средств используются:
· счет 01 “Основные средства”,
· счет 02 “Износ основных средств”,
· счет 03 “Долгосрочно арендуемые
основные средства”,
· счет 07 “Оборудование к установке”,
· счет 08 “Капитальные вложения”,
· журналы-ордера №№ 10, 10/1, 12, 13,
16, данные аналитического учета по соответствующим счетам по видам и отдельным
инвентарным объектам основных средств (ведомости и карточки аналитического
учета), формы № 1, формы № 2, формы № 5 годовой и квартальной бухгалтерской
отчетности предприятия, паспорт стройки.
Анализ структуры и динамики основных средств
В ходе этого анализа необходимо оценить размеры,
динамику и структуру вложений капитала предприятия в основные средства, выявить
главные функциональные особенности производственной деятельности (бизнеса)
анализируемого хозяйствующего субъекта. Для этого проводится сопоставление
данных на начало и конец отчетного периода. Обобщенную картину процесса
движения и обновления основных средств в разрезе классификационных групп можно
представить по данным раздела 5 “Наличие и движение основных средств” формы № 5
приложения к годовому балансу предприятия. В табл. 3 дан пример
“горизонтального анализа” показателей движения основных средств.
Таблица 3 ТЕМЫ И ЗАДАЧИ АНАЛИЗА ОСНОВНЫХ СРЕДСТВ
И ДОЛГОСРОЧНЫХ ИНВЕСТИЦИЙ
|
Темы
анализа
|
Основные
задачи анализа
|
|
1.
Структурная динамика основных средств
|
1.
Оценка размера и структуры вложений капитала предприятия в основные средства
|
|
2.
Определение характера и направленности происшедших изменений
|
|
3.
Оценка изменений в инвестиционной политике предприятия
|
|
2.
Анализ воспроизводства и оборачиваемости
|
1.
Горизонтальный анализ показателей движения основных средств
|
|
2.
Вертикальный анализ показателей движения основных средств
|
|
3.
Оценка прогрессивности и интенсивности обновления основных средств
|
|
4.
Факторный анализ изменений фондоотдачи
|
|
3.
Анализ эффективности использования основных средств
|
1.
Анализ рентабельности основных средств
|
|
2.
Анализ фондоотдачи
|
|
3.
Анализ использования парка производственного оборудования
|
|
4.
Анализ использования оборудования по времени (баланса времени его работы)
|
|
5.
Интегральная оценка использования оборудования
|
|
4.
Анализ эффективности затрат по содержанию эксплуатации оборудования
|
1.
Анализ затрат по капитальному ремонту основных средств
|
|
2.
Анализ затрат по текущему ремонту
|
|
3.
Анализ взаимосвязи объема производства, прибыли и уровня затрат
|
|
5.
Анализ эффективности инвестиций в основные средства
|
1.
Анализ эффективности вариантов капитальных вложений
|
|
2.
Оценка эффективности привлечения займов для инвестирования
|
Как видно из табл. 3, на анализируемом
предприятии обеспеченность основными средствами в отчетном периоде возросла.
Существенной причиной изменений является переоценка основных средств. Тем не
менее, положительной тенденцией является опережающий рост производственных
фондов в сравнении с непроизводственными фондами. Активная часть основных
средств высока (почти 80 %) и темпы ее роста выше пассивной части фондов. Все
это свидетельствует о правильной экономической политике, проводимой на
предприятии для повышения эффективности использования основных средств.
Еще более содержательна информация, полученная в
результате проведения методики “вертикального” анализа отчетности о движении
основных средств.
Вертикальный анализ означает расчет и оценку
структуры и структурных изменений в составе основных средств.
Анализ фондоотдачи основных средств
Конечная эффективность использования основных
фондов характеризуется показателями фондоотдачи, фондоемкости, рентабельности,
относительной экономии фондов, повышения объема продукции, повышения
производительности труда, снижения себестоимости продукции и затрат на
воспроизводство основных фондов, увеличения сроков службы средств труда.
На промышленных предприятиях фондоотдача
определяется по объему выпуска продукции на 1 руб. среднегодовой стоимости
основных фондов. Фондоотдача - обобщающий показатель использования
производственных основных фондов. На величину и динамику фондоотдачи влияют
многие факторы, зависящие и не зависящие от предприятия, вместе с тем резервы
повышения фондоотдачи, лучшего использования техники имеются на каждом
предприятии, участке, рабочем месте.
Интенсивный путь ведения хозяйства предполагает
систематический рост фондоотдачи за счет увеличения производительности машин,
механизмов и оборудования, сокращения их простоев, оптимальной загрузки
техники, технического совершенствования производственных основных фондов. Для
выявления неиспользуемых резервов важно знать основные направления факторного
анализа фондоотдачи, вытекающие из различий в подходах к моделированию этого
показателя.
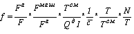
Наиболее простой является двухфакторная модель
анализа:
(16)
где
- фондоотдача;
- активная часть основных фондов;
- объем продукции, принятый для
исчисления фондоотдачи.
При анализе фондоотдачи применение
данной модели позволяет ответить на вопрос, как изменения в структуре основных
фондов, т. е. в соотношении активной и пассивной их частей, повлияли на
изменение фондоотдачи.
Для того, чтобы раскрыть влияние на
фондоотдачу действия экстенсивных и интенсивных факторов использования основных
фондов (в том числе машин и оборудования), необходимо использовать в анализе
более полную модель:
(17)
где
- стоимость установленных
(действующих машин) и оборудования;
- количество отработанных
станко-смен;
- средняя стоимость оборудования;
- количество единиц действующего
оборудования;
- продолжительность отчетного
(анализируемого) периода в днях;
- количество отработанных
станко-часов.
Данная формула позволяет определить
влияние на динамику фондоотдачи следующих факторов:
· доли активной части фондов в общей
их стоимости
·
· доли машин и оборудования в
стоимости активных фондов (
);
· коэффициента сменности работы
оборудования
· средней стоимости единицы
оборудования (
),
· продолжительности станко-смены (
);
· выработки продукции за один
станко-час работы оборудования (
).
Одним из важных факторов, оказывающих влияние на
эффективность использования основных фондов, является улучшение использования
производственных мощностей предприятия и его подразделений.
(18)
где
- основная (профильная) продукция
предприятия;
- среднегодовая производственная
мощность.
Данная формула позволяет определить
влияние на динамику фондоотдачи изменений в уровне следующих факторов:
· уровня специализации предприятия (
);
· коэффициента использования
среднегодовой мощности предприятия (
);
· доли активной части фондов в общей
их стоимости (
);
· фондоотдачи активной части фондов,
исчисленной по мощности (
).
· Для анализа действия внешних
факторов показатель фондоотдачи можно “развернуть” в факторную модель
следующего вида:
(19)
где
- стоимость материальных затрат без
стоимости покупных деталей и полуфабрикатов;
- стоимость покупных деталей и
полуфабрикатов;
- стоимость чистой продукции
(добавленная стоимость).
Таким образом, изменения общей
фондоотдачи представляются как алгебраическая сумма изменений ее составляющих.
Здесь полная стоимость продукта раскладывается по элементам стоимости:
материальные затраты, заработная плата и прибыль. Общая фондоотдача растет,
если имеет место рост по всем составляющим. Опережение по отдельной слагаемой
покажет преобладающую причину общего роста.
При расчете общего показателя
фондоотдачи в стоимости основных фондов учитываются собственные и арендуемые
фонды. Не учитываются фонды, находящиеся на консервации или резервные, а также
сданные в аренду другим предприятиям.
Использование основных фондов
признается эффективным, если относительный прирост физического объема продукции
или прибыли превышает относительный прирост стоимости основных фондов за
анализируемый период.
Рост фондоотдачи ведет к
относительной экономии производственных основных фондов и к увеличению объема
выпускаемой продукции. Размер относительной экономии ресурсов и доля прироста
продукции в результате роста фондоотдачи определяются специальным расчетом.
Так, относительная экономия основных
фондов определяется как разность между величиной среднегодовой стоимости
основных фондов отчетного периода и среднегодовой стоимостью основных фондов
базового (предшествующего) года, скорректированной на рост объема производства
продукции.
Доля прироста продукции за счет
роста фондоотдачи определяется по методу цепных подстановок: прирост
фондоотдачи за анализируемый период умножается на среднегодовую фактическую
стоимость основных производственных фондов. [11]
.4 Анализ оборачиваемости и
эффективности использования оборотных средств
Ускорение оборачиваемости оборотных
средств уменьшает потребность в них, позволяет предприятиям высвобождать часть
оборотных средств либо для нужд народного хозяйства (абсолютное высвобождение),
либо для дополнительного выпуска продукции (относительное высвобождение).
В результате ускорения оборота
высвобождаются вещественные элементы оборотных средств, меньше требуется
запасов сырья, материалов, топлива, заделов незавершенного производства и пр.,
а следовательно, высвобождаются и денежные ресурсы, ранее вложенные в эти
запасы и заделы. Высвобожденные денежные ресурсы откладываются на расчетном
счете предприятий, в результате чего улучшается их финансовое состояние,
укрепляется платежеспособность.
Скорость оборота средств - это комплексный
показатель организационно-технического уровня производственно-хозяйственной
деятельности. Увеличение числа оборотов достигается за счет сокращения времени
производства и времени обращения. Сокращение времени обращения также
достигается развитием специализации и кооперирования, улучшением прямых
межзаводских связей, ускорением перевозок документооборота и расчетов.
Общая оборачиваемость всех оборотных
средств складывается из частной оборачиваемости отдельных элементов оборотных
средств. Скорость как общей оборачиваемости, так и частной оборачиваемости
отдельных элементов оборотных средств характеризуется следующими показателями.
Длительность одного оборота всех
оборотных средств
рассчитывается
по формулам:
или
(20)
где
- средняя стоимость всех оборотных
средств;
- длина анализируемого периода в
днях;
- выручка от реализации продукции и
от прочей реализации, за исключением сверхнормативных и излишних материальных
ценностей и суммы налога с оборота в действующих оптовых ценах предприятия.
По аналогичным формулам производится
расчет оборачиваемости нормируемых оборотных средств и отдельных элементов или
групп оборотных средств. Вместо величины всех оборотных средств в формулы
подставляется величина нормируемых средств или отдельного элемента их. Частная
оборачиваемость отдельных элементов или групп оборотных средств называется
слагаемой, если она рассчитывается по выручке от реализации. Совокупность
слагаемых частных показателей по всем видам (группам) оборотных средств даст в
результате общий показатель оборачиваемости всех оборотных средств:
(21)
где
- средний остаток производственных
(материальных) запасов;
- средний задел незавершенного
производства;
- средний остаток товаров
отгруженных и прочих оборотных средств;
(22)
Данная формула разложения общей продолжительности
оборота оборотных средств как суммы продолжительности оборота по отдельным
элементам (видам) оборотных средств верна лишь в самом общем виде.
Действительный оборот отдельных элементов характеризует не общая величина
выручки от реализации, а оборот данного элемента (например, для
производственных запасов - их расход на производство, для незавершенного
производства - выпуск готовых изделий, для остатков готовых изделий на складах
- отгрузка продукции, для товаров отгруженных и средств в расчетах -
поступление денег на расчетный счет). В данном случае имеем частные показатели,
рассчитанные по особому обороту - по кредиту бухгалтерских счетов, на которых
отражаются различные элементы оборотных средств.
Когда исчисляют плановые остатки
оборотных средств, то за основу расчета берут остатки по нормативам. Но для
полной сопоставимости с фактическими к плановым остаткам прибавляют суммы
средств, прокредитованные банком.
Различия в методологии построения
показателей оборота всех оборотных и нормируемых средств объясняются тем, что в
первом случае реализация товарной продукции рассматривается как результат
использования всех (собственных и заемных) оборотных средств. Во втором случае
показатель от реализации является результатом использования нормируемых
средств, сформированных за счет собственных средств и кредитов банка под них.
Для экономического анализа представляет интерес показатель оборачиваемости как
собственных, так и всех средств предприятия.
По результатам оборачиваемости
рассчитывают сумму экономии оборотных средств (абсолютное или относительное
высвобождение) или сумму их дополнительного привлечения.
Для определения суммы экономии
оборотных средств вследствие ускорения их оборачиваемости устанавливают
потребность в оборотных средствах за отчетный период, исходя из фактической
выручки от всей реализации за это время и скорости оборота за предыдущий
период. Разность между этой условной суммой оборотных средств и суммой средств,
фактически участвующей в обороте, составит экономию оборотных средств. Если
оборачиваемость замедлена, то в итоге получат сумму средств, дополнительно
вовлеченных в оборот.
Для исчисления экономии или
перерасхода нормируемых оборотных средств по сравнению с планом используется,
например, такая формула:
(23)
где
- фактические средние остатки
нормируемых оборотных средств;
- фактическая реализация;
- плановая реализация;
- плановая величина нормируемых
оборотных средств.
Экономия или перерасход оборотных
средств могут быть определены как произведение суммы однодневной реализации и
разницы в днях оборачиваемости отчетного и базисного (планового) периодов:
(24)
где
- длительность рассматриваемого
периода (года).
Эффективность использования
оборотных средств заключается не только в ускорении оборачиваемости их, но и в
снижении себестоимости продукции за счет экономии натурально-вещественных
элементов оборотных производительных фондов и издержек обращения. Поскольку
обобщающими показателями эффективности работы промышленных предприятий являются
величина прибыли и уровень общей рентабельности, следует определить влияние
использования оборотных средств на эти показатели.
Основными факторами, влияющими на
величину и скорость оборота оборотных средств предприятия, являются:
· масштаб деятельности предприятия
(малый бизнес, средний, крупный);
· характер бизнеса или деятельности,
т. е. отраслевая принадлежность предприятия (торговля, промышленность,
строительство и т.д.);
· длительность производственного цикла
(количество и продолжительность технологических операций по производству
продукции, оказанию услуг, работ);
· количество и разнообразие
потребляемых видов ресурсов;
· география потребителей продукции и
география поставщиков и смежников;
· платежеспособность клиентов;
· качество банковского обслуживания;
· темпы роста производства и
реализации продукции;
· доля добавленной стоимости в цене
продукта;
· учетная политика предприятия;
· квалификация менеджеров;
· инфляция.
В условиях Российской Федерации переход к рынку
сопровождается для многих предприятий попаданием в зону хозяйственной
неопределенности и повышенного риска. Большинство предприятий впервые встало
перед необходимостью объективной оценки финансового состояния,
платежеспособности и надежности своих партнеров, постоянного контроля за
качеством расчетно-финансовых операций и платежной дисциплины.
Согласно действующему положению чрезмерный рост
долговых обязательств предприятия на сумму, в 2 раза превышающую стоимость его
имущества, является одним из условий для применения к нему процедуры
банкротства. Тем не менее, в деятельности многих предприятий укоренилась
порочная практика злоупотребления заемными средствами. Так феномен массовых
неплатежей обращается в аморальную выгоду некоторых хозяйствующих субъектов,
совершающих ничтожные сделки.
Состояние дебиторской и кредиторской
задолженности, их размеры и качество оказывают сильное влияние на финансовое
состояние предприятий.
Анализ дебиторской и кредиторской задолженности
осуществляется по данным аналитического учета по счетам 45, 60, 61, 62, 63, 65,
67, 68, 69, 70, 71, 73, 76, 78 ежемесячно. Основная цель в анализе дебиторской
задолженности - это ускорение ее оборачиваемости.
Методика анализа кредиторской задолженности
аналогична методике анализа дебиторской задолженности. Анализ проводится на
основании данных аналитического учета расчетов с поставщиками, расчетов с
прочими кредиторами.
В составе просроченной кредиторской
задолженности доля срочной задолженности отсутствует, что свидетельствует о
некоторой стабильности финансового положения.
Для улучшения финансового положения предприятия
необходимо:
. Следить за соотношением дебиторской и
кредиторской задолженности. Значительное превышение дебиторской задолженности
создает угрозу финансовой устойчивости предприятия и делает необходимым
привлечение дополнительных источников финансирования;
. По возможности ориентироваться на
увеличение количества заказчиков с целью уменьшения риска неуплаты монопольным
заказчиком;
. Контролировать состояние расчетов по
просроченным задолженностям. В условиях инфляции всякая отсрочка платежа
приводит к тому, что предприятие реально получает лишь часть стоимости
выполненных работ. Поэтому необходимо расширить систему авансовых платежей.
. Своевременно выявлять недопустимые виды
дебиторской и кредиторской задолженности, к которым относятся: просроченная
задолженность поставщикам, в бюджет и др.; кредиторская задолженность по
претензиям; сверхнормативная задолженность по устойчивым пассивам; товары
отгруженные, не оплаченные в срок; поставщики и покупатели по претензиям;
задолженность по расчетам возмещения материального ущерба; задолженность по
статье “прочие дебиторы”.
Глава 2. Анализ финансового состояния
предприятия на примере ОАО «Завод ЖБК-1»
.1 Организационно-экономическая характеристика
Открытое Акционерное Общество «Белгородский
завод железобетонных конструкций 1» создано в порядке приватизации
государственных и муниципальных предприятий и в соответствии с Указом
Президента РФ «Об организационных мерах по преобразованию государственных
предприятий, добровольных объединений государственных предприятий в акционерные
общества» от 01.07.1992г. №721.
Открытое акционерное общество «Завод ЖБК-1»
создано в 2003 году путем выделения из ОАО «Белгородский завод ЖБК - 1».
Уставный капитал Общества составляет 4650600 руб.
Общество имеет собственную производственную
базу, расположенную по адресу: г.Белгород, ул. Коммунальная 5.
• Производство и реализация строительных
материалов
( железобетонные конструкции, бетоны, растворы,
стеновые камни, тротуарная плитка и пр.);
• Оптовая торговля;
• Сдача имущества в аренду.
ОАО «завод ЖБК-1» на рынке стройматериалов более
50 лет. Все это время шло непрерывное развитие и совершенствование
производства, внедрение новых передовых технологий, расширение сфер услуг, предоставляемых
предприятием.
2.2 Горизонтальный и вертикальный анализ
бухгалтерского баланса
Оценку финансового состояния организации
начинают с общей характеристики средств организации и источников их
образования, показываемых в бухгалтерском балансе.
Знакомство с содержанием, баланса позволяет
установить основные источники средств (собственные и заемные); основные
направления вложения средств; соотношение средств и источников и другие
характеристики, позволяющие оценить имущественное положение предприятия и его
обеспеченность. Но информация, представленная в абсолютных величинах, не всегда
позволяет точно определить динамику показателей, и недостаточна для обоснования
решений. Поэтому наряду с абсолютными величинами при анализе бухгалтерского
баланса используются различные приемы анализа, предполагающие расчет и оценку
относительных показателей. К ним относится горизонтальный, вертикальный анализ
и расчет коэффициентов.
Горизонтальный анализ предполагает изучение
абсолютных показателей статей отчетности организации за определенный период,
расчет темпов их изменения и оценку.
При горизонтальном анализе строятся
аналитические таблицы, в которых абсолютные показатели отчетности дополняются
относительными, т.е. просчитывается изменения абсолютных показателей в сумме и
в процентах.
Горизонтальный анализ-это оценка темпов
роста(снижения) показателей бухгалтерского баланса за отчетный период. Он
помогает оценить темпы роста (или снижения) по каждой группе средств
организации и их источников за рассматриваемый период.
Горизонтальный и вертикальный анализ взаимно
дополняют друг друга.
Для горизонтального анализа преобразуют
абсолютные значения показателей баланса в относительные. Для этого данные на
начало рассматриваемого периода по каждой статье активов и пассивов принимают
за 100 % и исходя из этого рассчитывают значения по статьям на конец
рассматриваемого периода.
Назначение вертикального анализа заключается в
возможности проанализировать целое через отдельные элементы, составляющие это
целое. Его широко используют для объективной оценки результатов работы
организации. При рассмотрении результатов баланса вертикальный анализ позволяет
увидеть удельный вес каждой статьи в общем итоге , определить структуру средств
и их источников, а так же произошедшие в них изменения.
Первой особенностью вертикального анализа
является расчет относительных показателей по значениям абсолютных показателей,
представленных в бухгалтерском балансе. Относительные показатели позволяют
сглаживать внешние экономические воздействия,, которые на абсолютные показатели
способны оказывать сильное влияние (например инфляция), выявляя таким образом
результаты деятельности собственно организации.
Второй особенностью вертикального анализа
является обязательное присутствие показателей на разный момент времени. Это
позволяет отслеживать и прогнозировать структурные изменения в составе активов
и источников их покрытия в динамики.
На основе бухгалтерского баланса построим
аналитическую таблицу и осуществим агрегирование статьей баланса по принципу их
однородности (таблица 1).
Таблица 1 Агрегированный баланс ОАО «завод
ЖБК-1»
|
Статья
баланса
|
Значен.
т.р.
|
Абс.
Отклонение
|
Структура
доли ед.
|
Темп
роста, %
|
|
2008
г.
|
2009
г.
|
2010
г.
|
2009/2008
|
2010/2009
|
2009г.
|
2010
г.
|
2009
г.
|
2010
г.
|
|
I
РАЗДЕЛ
|
|
|
|
|
|
|
|
|
|
|
НМА
(НА)
|
87
|
95
|
76
|
8
|
-19
|
0,00
|
0,00
|
109,20
|
80,00
|
|
ОС
(ОПФ)
|
415246
|
458227
|
468227
|
42981
|
10000
|
0,27
|
0,25
|
110,35
|
102,18
|
|
Долгосроч.
Фин. Влож-я (ДФВ)
|
6028
|
8004
|
8004
|
1976
|
0
|
0,00
|
0,00
|
132,78
|
100,00
|
|
Отлож.
Фин. Активы (ОФА)
|
1301
|
2
|
2
|
-1299
|
0
|
0,00
|
0,00
|
0,15
|
100,00
|
|
Итого
по разделу I (ВА)
|
422662
|
466328
|
476309
|
43666
|
9981
|
0,27
|
0,25
|
110,33
|
102,14
|
|
II
РАЗДЕЛ
|
|
|
|
|
|
|
|
|
|
|
Запасы
(З)
|
282916
|
299390
|
327075
|
16474
|
27685
|
0,17
|
0,17
|
105,82
|
109,25
|
|
НДС
(НДС)
|
3731
|
1525
|
833
|
-2206
|
-692
|
0,00
|
0,00
|
40,87
|
54,62
|
|
Деб.
Задолж-ть (ДЗ)
|
757690
|
863278
|
1000110
|
105588
|
136832
|
0,50
|
0,53
|
113,94
|
115,85
|
|
Ден.
Ср-ва (ДС)
|
6333
|
4406
|
14455
|
-1927
|
10049
|
0,00
|
0,01
|
69,57
|
328,08
|
|
Краткосроч.
Фин.влож-я (КФВ)
|
31565
|
74759
|
60517
|
43194
|
-14242
|
0,04
|
0,03
|
236,8414
|
80,94945
|
|
прочие
оборот. Активы (ПОА)
|
478
|
461
|
3362
|
-17
|
2901
|
0,00
|
0,00
|
96,44
|
729,28
|
|
Итого
по разделу II (ОА)
|
1082713
|
1243819
|
1406352
|
161106
|
162533
|
0,72
|
0,74
|
114,88
|
113,07
|
|
III
РАЗДЕЛ
|
|
|
|
|
|
|
|
|
|
|
Уставный
капитал (УК)
|
4651
|
4651
|
4651
|
0
|
0
|
0,00
|
0,00
|
100,00
|
100,00
|
|
Капитал
и резервы (ДК)
|
156030
|
156030
|
156030
|
0
|
0
|
0,09
|
0,08
|
100,00
|
100,00
|
|
Нераспред.
Прибыль (П)
|
1240626
|
1407640
|
1558973
|
167014
|
151333
|
0,81
|
0,82
|
113,46
|
110,75
|
|
Итого
по разделу III (СК)
|
1401307
|
1568321
|
1719654
|
167014
|
151333
|
0,91
|
0,91
|
111,92
|
109,65
|
|
IV
РАЗДЕЛ
|
|
|
|
|
|
|
|
|
|
|
Займы
и кредиты долгосроч. (ДК)
|
0
|
0
|
0
|
0
|
0
|
0,00
|
0,00
|
0
|
0
|
|
Отлож.
Налог. Обяз-ва (ОНО)
|
26066
|
30041
|
28888
|
3975
|
-1153
|
0,02
|
0,02
|
115,2498
|
96,16
|
|
Итого
по разделу IV (ДО)
|
26066
|
30041
|
28888
|
3975
|
-1153
|
0,02
|
0,02
|
115,2498
|
96,16
|
|
V
РАЗДЕЛ
|
|
|
|
|
|
|
|
|
|
|
Кредиты
и займы краткосроч (КК)
|
3005
|
0
|
0
|
-3005
|
0
|
0,00
|
0,00
|
0
|
0
|
|
Краткосроч.
Задолж-ть (КЗ)
|
149869
|
148613
|
167135
|
-1256
|
18522
|
0,09
|
0,09
|
99,16
|
112,46
|
|
Прочие
краткосроч. Обяз-ва (ПКО)
|
8
|
8
|
8
|
0
|
0
|
0,00
|
0,00
|
100,00
|
100,00
|
|
Итого
по разделу V (КО)
|
152882
|
148621
|
167143
|
-4261
|
18522
|
0,09
|
0,09
|
97,21
|
112,46
|
|
БАЛАНС
|
1542815
|
1728565
|
1899173
|
185750
|
170608
|
1
|
1,00
|
112,04
|
109,87
|
|
|
|
|
|
|
|
|
|
|
|
За анализируемый период в 2010 году по сравнению
с 2009 стоимость имущества ОАО «завод ЖБК-1» снизилось на 10000 тыс. руб. или
на 2,18%.
Оборотные активы за три года увеличились на
1406352 тыс. руб., и, соответственно, в процентах от общей суммы активов
составили 72,22 % на конец анализируемого периода. Их увеличение положительно
влияет на производственно-финансовую деятельность, а впоследствии - на
финансовую устойчивость организации.
Внеоборотные активы к концу анализируемого
периода в общей стоимости активов стали занимать 0,27 %.
В составе внеоборотных активов за анализируемый
период произошли следующие изменения: стоимость нематериальных активов
снизилась на 19 тыс. руб., или на 20% по сравнению с 2009 г. Долгосрочные
финансовые вложения остались без изменения. Отложенные финансовые активы также
остались без изменений .
В структуре внеоборотных активов, в то время как
они занимают 0,20 % структуры актива, основные средства имеют наибольший
удельный вес - 0,27 %. Это означает, что на ОАО «завод ЖБК-1» тяжелая структура
имущества. Таким образом в общей сумме внеоборотные активы ОАО «завод ЖБК-1»
уменьшились на 9981 тыс. руб., что в процентах составило 2,14 % к 2009 г.
В составе оборотных активов за анализируемый
период произошли следующие изменения: запасы уменьшились на 9,25 % в 2010 году,
что составило 27685 тыс. руб.; НДС уменьшился на 692 тыс.руб.; уменьшилась
дебиторская задолженность на 15,85 %, на 136832 тыс.руб.; денежные средства
организации значительно повысились в 2010 г., на 99%, повышение составило 10049
тыс.руб.; краткосрочные финансовые вложения уменьшились на 14242 тыс. руб;
прочие оборотные активы повысились на 2901 тыс.руб.
Наибольший удельный вес в структуре оборотных
активов занимает дебиторская задолженность, краткосрочные финансовые вложения,
а также запасы. Доля дебиторской задолженности составляет 0,53 структуры ,
запасов - 0,17 структуры, краткосрочного финансового вложения - 0,03 структуры
оборотных активов. Таким образом предприятие имеет активное сальдо,
следовательно доходы этой организации преобладают над ее расходами.
В период с 2009 по 2010 гг уставный капитал
организации не изменился, также статья «Капитал и резервы» остается неизменным.
Нераспределенная прибыль предприятия снизилась
на 9,4 % , что составило 151333 тыс.руб.
Долгосрочные займы и кредиты ОАО «завод ЖБК-1» в
2010 г. остаются неизменными. Отложенные налоговые обязательства составляют
-1153 тыс. руб. В структуре заемного капитала займы и кредиты в 2010 г равны 0,
кредиторская задолженность увеличилась по сравнению с 2009 г на 12,46 %, что
составило 18522 тыс.руб. Прочие обязательства за анализируемый период не
изменились.
Поэтому можно сделать вывод, что финансовое
положение организации достаточно устойчивое, и пополнение активов
осуществляется частично за счет заемных средств.
Используя форму № 2 «Отчет о финансовых
результатах» можно проверить выполнение золотого правила экономики и рассчитать
коэффициент роста валюты баланса, коэффициент роста выручки от продажи и
коэффициент роста прибыли от продажи.
КБА = 
*100% = 23,33
КВР = 
* 100% = 4,24
КПР = 
* 100% = - 16,34
Из расчетов видно, что золотое
правило не соблюдается: 
, свидетельствующее об улучшении
использования основных и оборотных средств, соблюдается только 
.Среди этих коэффициентов опережает
рост валюты баланса.
.3 Анализ финансовой устойчивости,
ликвидности баланса, платежеспособности и кредитоспособности организации
Финансовая устойчивость является важнейшей
характеристикой финансово-экономической деятельности предприятия в условиях
рыночной экономики. Если предприятие финансово устойчиво, то оно имеет преимущество
перед другими предприятиями того же профиля и привлечений инвестиций, в
получении кредитов, в выборе поставщиков и в подборе квалифицированных кадров.
Чем выше устойчивость предприятия, тем более оно независимо от неожиданного
изменения рыночной конъюнктуры и, следовательно, тем меньше риск оказаться на
краю банкротства.
Финансовая устойчивость предприятия - это
состояние ресурсов распределения и использования, которыми обеспечивает
развитие на основе роста прибыли, при сохранении платежеспособности в условиях
рынка. Независимость его в финансовом отношении и соответствие состояние
активов и пассивов компании задачам финансово-хозяйственной деятельности.
Анализ финансовой устойчивости - это часть
финансового состояния, заключается в исследовании абсолютных показателей
финансовой деятельности, их соотношение между собой, позволяет выявить уровень
риска и степень финансовой стабильности для обеспечения развития.
Метод анализа финансовой устойчивости
определяется на основе абсолютных величин исходя из форм бухгалтерского
баланса, сбалансирования актива и пассива. В основе определения типа финансовой
устойчивости лежит метод соотнесения запасов и затрат с источниками их
формирования.
Для определения типа финансовой устойчивости
необходимо сопоставить потребность в запасах с потребностями в источниках их
формирования. В качестве запасов берут группу статей запасы(раздел 3). Для
характеристики источников формирования запасов используют 3 показателя:
.Собственные оборотные
средства(СОС)-характеризуют чистый оборотный капитал
.Собственные и долгосрочные заемные средства
(СД)
.Общие источники (ОИ)
Показатели входят в одну группу
трехкомпонентного показателя S.
Абсолютная финансовая устойчивость-это ситуация
когда все запасы покрывают собственными оборотными средствами и не зависят от
внешних факторов.
Нормальная финансовая устойчивость - отражает
наличие собственных оборотных средств и инвестирование необходимо для развития
и сохранения платежеспособности.
Кризисное состояние характеризуется ситуацией,
когда предприятие находится на грани банкротства, финансовое состояние нарушено
и его восстановление возможно путем антикризисных процедур.
Проанализируем финансовую устойчивость на основе
данных предприятия ОАО «завод ЖБК-1» (таблица 2).
Таблица 2 - Характеристика финансовой
устойчивости ОАО «завод ЖБК-1» методом соотношения запасов и затрат источников
их формирования.
|
№
п/п
|
Показатели
|
Услов.
обозначения
|
Значение
на конец года т.р.
|
Абсолют.
отклонение т.р.
|
|
|
|
2009
|
2010
|
|
|
1
|
Собственные
источники оборотных средств
|
СИ
|
1747208
|
1915910
|
168702
|
|
2
|
Внеоборотные
активы
|
ВА
|
503389
|
509558
|
6169
|
|
3
|
Наличие
собственных оборотных средств СОС=СИ-ВА
|
СОС
|
1243819
|
1406352
|
162533
|
|
4
|
Долгосрочные
пассивы
|
ДП
|
30041
|
28888
|
-1153
|
|
5
|
Наличие
собственных и долгосрочных источников формирования запасов и затрат СД=СОС+ДП
|
СД
|
1273860
|
1435240
|
161380
|
|
6
|
Краткосрочные
пассивы
|
КП
|
363029
|
356186
|
-6843
|
|
7
|
Общая
величина источников формирования запасов и затрат (ОИ)
|
ОИ
|
1636889
|
1791426
|
154537
|
|
8
|
Запасы
|
З
|
299390
|
327075
|
27685
|
|
9
|
Трехкомпонентный
показатель
|
S
|
|
|
|
|
|
|
S(СОС)
|
944429
|
1079277
|
134848
|
|
|
S(СД)
|
974470
|
1108165
|
133695
|
|
|
S(ОИ)
|
1337499
|
1464351
|
126852
|
На данном предприятии наблюдается абсолютная
финансовая устойчивость в 2009 и 2010 гг., т.к три компонента из трёх
положительны. Абсолютная финансовая устойчивость показывает , что запасы и
затраты полностью покрываются собственными оборотными средствами.
Платежеспособность определяется возможностью
своевременно и полностью выполнять платежеспособные обязательства, которые
вытекают из торговых, кредитных операций денежного характера. Анализ
ликвидности осуществляется поэтапно.
В первую очередь составляется агрегированный
баланс и оценивается его ликвидность(таблица 3).Во вторую очередь
устанавливается степень платежеспособности организации(таблица 4) и последним
является оценка кредитоспособности (таблица 5).
Показатели ликвидности являются основными
показателями. Результаты ликвидности предприятия важны и интересны как для
внутренних и внешних коммерческих кредиторов.
Анализ ликвидности баланса - способно ли
предприятие за счет своих активов ликвидной формы погашать долговые обязательства.
Для того, чтобы оценить его статьи необходимо агрегировать.
Активы агрегированного баланса делятся на 4
группы:
А1-наиболее ликвидные активы - это денежные
средства предприятия и краткосрочные финансовые вложения (ценные бумаги);
А2-быстро реализуемые актив - это дебиторская
задолженность, платежи по которой ожидаются в течение 12 месяцев после отчетной
даты и прочие оборотные активы;
А3-медленно реализуемые активы - запасы, НДС;
А4-трудно реализуемые активы - внеоборотные
активы и дебиторская задолженность, платежи по которой ожидаются более чем
через 12 месяцев после отчетной даты.
Пассив баланса группируется по степени срочности
оплаты:
П1-наиболее срочные обязательства - к ним
относится кредиторская задолженность и выплаты дивидендов учредителям;
П2-краткосрочные пассивы - это краткосрочные
заемные средства и прочие краткосрочные пассивы, а также резервы предстоящих
расходов;
П3- долгосрочные пассивы - долгосрочные кредиты
и заемные средства;
П4-постоянные пассивы - это статьи III раздела
баланса «Капитал и резервы» и доходы будущих периодов. Если у предприятия есть
убытки, то они вычитаются.
Таблица 3 - Агрегированный баланс для оценки
ликвидности, тыс. руб.
|
Статьи
|
Значение,
тыс. руб
|
Статьи
|
Значение,
тыс.руб
|
Платежный
излишек или недостаток
|
|
2009
год
|
2010
год
|
|
2009
год
|
2010
год
|
2009
год
|
2010
год
|
|
Наиболее
ликвидные активы
|
79165
|
74972
|
Наиболее
срочные обязательства
|
148613
|
167135
|
-69448
|
-92163
|
|
Быстрореализуемые
активы
|
863684
|
1003472
|
Краткосрочные
кредиты и займы
|
0
|
0
|
863684
|
1003472
|
|
Медленно
реализуемые активы
|
296514
|
326168
|
Долгосрочные
пассивы
|
30041
|
28888
|
266473
|
297280
|
Наиболее ликвидные активы < наиболее срочные
обязательств, т.е мгновенная платежеспособность отсутствует, предприятие не
способно покрывать свои убытки;
Быстрореализуемые активы > краткосрочные
кредиты и займы, т.к у предприятия существуют активы в ликвидной форме.
Медленно реализуемые активы > долгосрочные
пасс
Вывод: за весь анализируемый период баланс
нельзя признать ликвидным, так как не соответствуют соотношения групп активов и
пассивов условиям абсолютной ликвидности. Также на весь анализируемый период
баланс по сравнению быстро реализуемых активов с наиболее срочными
обязательствами являлся текущие не ликвидным по моменту проведения анализа.
Сравнение медленно реализуемых активов с
долгосрочными обязательствами показало, что прогнозная платёжеспособность была
удовлетворительна .
Оценка платежеспособности осуществляется на
основе характеристики ликвидности текущих активов, т.е. времени, необходимого
для превращения их в денежную наличность. Понятия платежеспособности и
ликвидности очень близки, но второе более емкое. От степени ликвидности баланса
зависит платежеспособность. Кроме того, ликвидность характеризует не только
текущее состояние расчетов, но и перспективу.
Анализ ликвидности баланса заключается в
сравнении средств по активу, сгруппированных по степени убывающей ликвидности,
с краткосрочными обязательствами по пассиву, которые группируются по степени
срочности погашения.
Наиболее мобильной частью ликвидных средств являются
деньги и краткосрочные финансовые вложения. Ко второй группе относятся готовая
продукция, отгруженные товары и дебиторская задолженность. Ликвидность этой
группы текущих активов зависит от своевременности отгрузки продукции,
оформления банковских документов, скорости платежного документооборота в
банках, от спроса на продукцию, ее конкурентоспособности, платежеспособности
покупателей, форм расчетов.
На практике используются 3 коэффициента
ликвидности:
.абсолютной ликвидности
.промежуточной ликвидности
.текущей ликвидности
Рассмотрим коэффициенты платежеспособности ОАО
«завод ЖБК-1» (таблица 4)
Таблица 4 - Коэффициенты ликвидности организации
ОАО «завод ЖБК-1»
|
Коэф
ликвидности
|
Значения
|
|
год
|
2008
|
2009
|
2010
|
|
Кал
|
0.25
|
0.53
|
0.45
|
|
Ктл
|
0.86
|
1
|
0.96
|
|
Ккл
|
1.87
|
2
|
1.95
|
|
кредитный
риск
|
2.2
|
2
|
2.1
|
Вывод: в динамике увеличение коэффициента
абсолютной ликвидности говорит об увеличении платёжеспособности предприятия.
Нормальным считается значение коэффициента более 0.2. Чем выше показатель, тем
лучше платежеспособность предприятия. С другой стороны, высокий показатель
может свидетельствовать о нерациональной структуре капитала, о слишком высокой
доле неработающих активов в виде наличных денег и средств на счетах. У
предприятия на 2010 год этот показатель составляет 0.45, что является неплохим
значением.
В динамике коэффициента текущей ликвидности ОАО
«Завод ЖБК-1» есть небольшая положительная тенденция, что говорит об увеличении
платёжеспособности предприятия.
Кредитоспособность характеризуется финансовым
состоянием, которое позволяет получать кредиты с учетом их возврата. Выделяют 4
класса кредитоспособности заемщика:
класс-предприятия с устойчивым финансовым
состоянием, что подтверждается наилучшими значениями как всех показателей, так
и рейтингом в целом (до 150 баллов).
класс-предприятия, финансовое состояние которых,
в общем устойчиво, но имеются незначительные отклонения от нормы по отдельным
показателям (150-200 баллов).
класс-предприятия повышенного риска, имеющие
признаки финансовой напряженности, для преодоления которой у предприятия есть
возможности (201-275 баллов).
класс-предприятия с неудовлетворительным
финансовым положением и отсутствием перспектив его стабилизации (276 и более
баллов).
В практике работы коммерческих банков,
кредитующих предприятия, используется оценка кредитоспособности предприятия.
Таблица 5-Оценка кредитоспособности ОАО «завод
ЖБК-1»
|
2009
год
|
2010
год
|
|
Коэффициент
промежуточной ликвидности
|
1,15(2класс)
2*35=70(баллов)
|
Коэффициент
промежуточной ликвидности
|
1,45(2
класс)
|
|
Коэффициент
текущей ликвидности
|
1,5(2
класс) 2*25=50(баллов)
|
Коэффициент
текущей ликвидности
|
1,6(2
класс)
|
|
Коэффициент
автономии
|
3,34%(2
класс) 2*40=80(баллов)
|
Коэффициент
автономии
|
10,83%(2
класс)
|
|
Итог
|
200
баллов
|
Итог
|
200
баллов
|
Путем перемножения баллов, производится
отнесение заемщика к классам кредитоспособности.
В 2009 и 2010 году предприятие относится ко 2
классу, т.е финансовое положение которых в общем устойчиво, но имеются
незначительные отклонения от нормы по отдельным показателям.
Таблица 6 - Коэффициенты для оценки финансовой
устойчивости предприятия ОАО «завод ЖБК-1»
|
Наименование
финансового коэффициента
|
Значение
коэффициента на конец года
|
Отклонение
|
Норматив
|
|
2009
|
2010
|
-
|
-
|
|
1.Коэффициент
автономии
|
0,18
|
0,03
|
-0,15
|
0,5
|
|
2.Коэффициент
отношения заемных и собственных средств (финансовый рычаг)
|
4,43
|
27,21
|
22,78
|
-
|
|
3.Коэффициент
соотношения мобильных и иммобилизованных средств.
|
3,97
|
3,59
|
-0,38
|
-
|
|
4.Коэффициент
отношения собственных и заемных средств
|
0,22
|
0,04
|
-0,18
|
-
|
|
5.Коэффициент
долгосрочно привлеченных заемных средств
|
-0,02
|
-0,24
|
-0,22
|
-
|
|
6.Коэффициент
краткосрочной задолженности
|
-0,23
|
-3,00
|
-2,77
|
-
|
|
7.Коэффициент
обеспеченности собственными средствами
|
1,09
|
7,56
|
6,47
|
0,1
|
|
8.Коэффициент
обеспеченности материальных запасов собственными средствами
|
0,30
|
0,32
|
0,02
|
0,08
|
|
9.Индекс
постоянного актива
|
0,71
|
0,90
|
0,19
|
-
|
Анализируя таблицу 6 мы видим, что коэффициент
автономии с 2009 года по 2010 год снизилось на 0,15 отклонение от нормы
составило на 0,35 что говорит о зависимости от отрасли (от внеоборотных и оборотных
активов). Коэффициент отношения заемных и собственных средств (финансовый
рычаг) увеличился на 22,78. Коэффициент соотношения мобильных и
иммобилизованных средств изменился на 0,38. Коэффициент обеспеченности
собственными средствами снизился на 0,18. Коэффициент обеспеченности
материальных запасов собственными средствами показывает обеспеченность
материальными ресурсами, превышая норматив 0,08 и ростом на 0,02 в 2010 году по
сравнению с 2009 годом.
.4 Анализ финансовых результатов деятельности
организации
Анализ финансовых результатов хозяйственной
деятельности и рентабельности - это один из способов оценки инвестиционной
привлекательности организации и определения того, насколько перспективен
бизнес.
Основными задачами анализа финансовых
результатов деятельности являются:
систематический контроль за выполнением планов
реализации продукции и получением прибыли;
определение влияния как объективных, так и
субъективных факторов на финансовые результаты;
выявление резервов увеличения суммы прибыли и
рентабельности;
оценка работы предприятия по использованию
возможности увеличения прибыли и рентабельности;
Основными источниками информации при анализе
финансовых результатов прибыли служат данные аналитического бухгалтерского
учета по счетам финансовых результатов, финансовой отчетности форма № 2
"Отчет о прибылях и убытках. В форме № 2 "Отчет о прибылях и
убытках" имеется информация обо всех видах доходов и расходов за отчетный
и предыдущий периоды. Анализ финансовой деятельности основывается на
исследованиях: валовой прибыли, себестоимости реализации продукции, финансовых
результатов. Анализ прибыли представляет собой часть анализа финансовых
результатов, изучение оценки объемов состава, структуры и динамики показателей
прибыли, выявления резервов роста.
Этапы анализа прибыли:
.анализ состава и структуры прибыли
.анализ прибыли от продаж- отклонение
фактической прибыли от плановой по отдельным изделиям или группы изделий
реализованной за отдельный период.
.анализ экономической добавленной стоимости-
экономическая прибыли образовавшееся из-за превышения прибыли от обычных видов
и суммы затрат на привлечение капитала.
Произведем анализ структуры и динамики прибыли в
таблице 7.
Таблица 7 -Анализ структуры и динамики прибыли
ОАО «завод ЖБК1»
|
Показатели
|
Код
строки
|
Отчетный
период тыс.руб
|
Прошлый
период тыс.руб
|
Отклонение
тыс.руб
|
Уровень
в % к выручке в отчетном периоде
|
Уровень
в % к прошлому периоду
|
Отклонение
к уровням в %
|
|
Выручка
|
010
|
1563232
|
1376503
|
186729
|
-
|
-
|
-
|
|
Себестоимость
|
020
|
1114509
|
949259
|
165250
|
71,29517564
|
68,96163684
|
2,333538793
|
|
Валовая
прибыль (убыток)
|
029
|
448723
|
427244
|
21479
|
28,70482436
|
31,03836316
|
-2,333538793
|
|
Коммерческие
расходы
|
030
|
39370
|
30964
|
8406
|
2,518500133
|
2,249468399
|
0,269031734
|
|
Управленческие
расходы
|
040
|
79309
|
69197
|
10112
|
5,073399214
|
5,027014107
|
0,046385106
|
|
Прибыль
(убыток) от продаж
|
050
|
330044
|
327083
|
2961
|
21,11292502
|
23,76188065
|
-2,648955633
|
|
Доходы
от участия в других организациях
|
080
|
869
|
796
|
73
|
0,055589957
|
0,057827698
|
-0,002237741
|
|
%
к получению
|
060
|
3668
|
4257
|
-589
|
0,234642075
|
0,309261949
|
-0,074619874
|
|
%
к уплате
|
070
|
11
|
77
|
-66
|
0,00070367
|
0,005593885
|
-0,004890215
|
|
Прочие
доходы
|
090
|
165305
|
119171
|
46134
|
10,57456603
|
8,657518364
|
|
Прочие
расходы
|
100
|
178112
|
115000
|
63112
|
11,39383022
|
8,354504131
|
3,039326087
|
|
Текущий
налог на прибыль
|
150
|
71608
|
63386
|
8222
|
4,580766003
|
4,604857381
|
-0,024091379
|
|
Изменение
отложенных налоговых обязательств
|
142
|
1153
|
-6363
|
7516
|
0,073757446
|
-0,462258346
|
0,536015792
|
|
Изменение
отложенных налоговых активов
|
141
|
0
|
0
|
0
|
0
|
0
|
0
|
|
Прочее
|
-
|
-526
|
560
|
-1086
|
-0,033648236
|
0,040682803
|
-0,074331039
|
|
Чистая
прибыль (убыток)
|
190
|
250782
|
265921
|
-15139
|
16,04253239
|
19,31859211
|
-3,276059719
|
За отчетный период выручка увеличилась на 186729
руб., по сравнению с прошлым периодом. Себестоимость продаж за отчетный период
увеличилось на 165250 руб., по сравнению с прошлым периодом. Валовая прибыль
увеличилась на 21479 руб., Коммерческие расходы также увеличились на 8406 руб.,
Прибыль от продаж увеличилась на 10112 руб., Проценты к получению значительно
увеличились на 589 руб., Проценты к уплате уменьшились на 66 руб., Прочие
доходы также увеличились на 119171 руб., Прочие расходы увеличились по
сравнению с прошлым периодом на 115000 руб., Текущий налог на прибыль
увеличился на 8222 руб., по сравнению с прошлым периодом. Изменение отложенных
налоговых обязательств равно 0. Статья прочее уменьшилось на - 1086 руб.,
Чистая прибыль снизилось в отчетном периоде на - 15139 рублей.
Таблица 8 - Изменение валовой прибыли
|
Показатели
|
Значение,
тыс. руб
|
Прирост
|
|
2009
|
2010
|
тыс.
руб
|
%
|
|
Чистый
объем реализации
|
1563232
|
1376503
|
186729
|
113,56
|
|
Себестоимость
реализации продукции
|
1114509
|
949259
|
165250
|
117,41
|
|
Валовая
прибыль
|
448723
|
427244
|
21479
|
105
|
За анализируемый период мы видим, что прирост
чистой выручки составил в 2010 году 186729 руб., увеличение объема реализации
привело к изменению себестоимости, ее прирост составил -165250 руб.,
Соответственно за счет увеличения объема реализации изменилась валовая прибыль.
Таблица 9 - Прибыльность организации ОАО «завод
ЖБК-1»
|
Коэффициент
|
Значение
|
|
2009
|
2010
|
|
1.Валовая
прибыль к объему продаж
|
0,28
|
0,31
|
|
2.Доход
от основной деятельности к чистому доходу
|
1,32
|
1,23
|
|
3.Чистая
прибыль к объему реализации
|
0,16
|
0,19
|
|
4.Коэффециенты
издержки
|
0,87
|
1,34
|
Изменение объема продаж привело к спаду валовой прибыли
на 0,03 Доход от основной деятельности снизился на 0,09 , что является
отрицательным результатом. Коэффициент чистой прибыли увеличился на 0,03 , а
коэффициент издержек увеличился на 0,47.
Результативность и экономическая
целесообразность функционирования предприятия оценивается не только
абсолютными, но и относительными показателями, к которым относится система
показателей рентабельности.
Анализ показателей рентабельности представляет
собой часть анализа финансового результата его деятельности, которая
заключается в оценке способностей предприятия к эффективному применению в
производстве ресурсов, влияющие на доходность.
Этапы анализа рентабельности:
.анализ показателей на основе прибыли
.анализ показателей на основе производственных
актов
.анализ на основе потоков наличных денег
Характеристика уровня рентабельности предприятия
ОАО «завод ЖБК-1» представлены в таблице 10 и таблице 11.
Таблица 10 - Характеристика уровня
рентабельности ОАО «завод ЖБК-1»
|
Показатели
|
Значение
в %
|
Отклонение,
%
|
|
2009
|
2010
|
|
|
1.Рентабельность
производства
|
21
|
24
|
3
|
|
2.Рентабельность
инвестиции
|
33
|
28
|
-5
|
|
3.Рентабельность
оборотных активов
|
84
|
81
|
-3
|
|
4.Рентабельность
продаж
|
16
|
19
|
3
|
|
5.Рентабельность
деятельности
|
-22
|
-19
|
3
|
Таблица 11 - Характеристики уровня
рентабельности ОАО «завод ЖБК-1»
|
Показатели
|
Значение
|
Отклонение,
|
|
2009
|
2010
|
|
|
Выручка,
тыс. руб
|
1563232
|
1376503
|
-186729
|
|
Полная
себестоимость, тыс. руб
|
1114509
|
949259
|
-165250
|
|
Рентабельность
прибыли, %
|
4
|
14
|
10
|

0,06
Проведенный анализ показывает, что
ОАО «завод ЖБК-1» проводит работу по повышению эффективности производства,
выполнения работ. В результате этого на предприятии за 2010 год получены
следующие результаты: выручка от реализации продукции (работ, услуг) снизилась
на -186729 руб., себестоимость реализованной продукции снизилась на 165250 руб;
Из данных анализа рентабельности ОАО «завод ЖБК-1» видно, что прирост
рентабельности за отчетный период составляет 0,1%.
2.5 Анализ имущества организации и
его использование
Имущество предприятия - материальные
и нематериальные элементы, используемые предприятием в производственной
деятельности, это совокупность вещей, имущественных прав и обязанностей,
характеризующих имущественное положение их носителя (актив и пассив).
При организации имущество
предприятия создается за счет имущества учредителя, который передает ему его в виде
вкладов (паев, взносов).
В результате производственной и хозяйственной деятельности имущество
предприятия увеличивается и служит объектом сделок, отчуждений, закладывания.
Источниками собственных средств предприятия являются: уставный капитал, добавочный
капитал, резервный капитал, целевые финансирования и поступления,
нераспределенная прибыль отчетного года и прошлых лет (III раздел пассива
баланса).
В составе собственных источников
средств также отражается величина непокрытого убытка отчетного года или прошлых
лет, сумма которого уменьшает общую величину собственного капитала предприятия.
Уставный капитал показывает размер собственных денежных средств - основных и
оборотных фондов, которые инвестированы в коммерческое предприятие. Главным
источником пополнения уставного капитала выступает прибыль, а в отдельных
случаях и ассигнования из бюджета.
У предприятий различных организационно-правовых форм (акционерных обществ,
организаций с ограниченной ответственностью) уставный капитал представляет
собой объединение вкладов собственников предприятия в денежном выражении в
размерах, определяемых учредительными документами.
Анализ динамики состава и структуры
имущества дает возможность установить размер абсолютного и относительного
прироста или уменьшения всего имущества предприятия и отдельных его видов.
Прирост актива указывает на расширение деятельности предприятия, но также может
быть результатом влияния инфляции. Уменьшение актива свидетельствует о
сокращении предприятием хозяйственного оборота и может быть следствием износа
основных средств, или результатом снижения платежеспособного спроса на товары,
работы и услуги предприятия.
В ходе анализа определяется стоимость реальных активов, характеризующих
производственный потенциал предприятия. К ним относятся: основные средства,
производственные запасы и незавершенное производство. Эти элементы, являясь по
существу средствами производства, создают необходимые условия для осуществления
основной деятельности.
Удельный вес реального имущества устанавливается отношением его стоимости к
валюте баланса.
Показатели структурной динамики
отражают долю участия каждого вида имущества в общем изменении совокупных
активов. Их анализ позволяет сделать вывод о том, в какие активы вложены вновь
привлеченные финансовые ресурсы или какие активы уменьшились за счет оттока
финансовых ресурсов. Структура имущества зависит от специфики деятельности
предприятия. Поэтому оценка структуры имущества должна исходить из отраслевых и
индивидуальных особенностей конкретного предприятия.
Изменение структуры имущества
создает определенные возможности для основной (производственной) и финансовой
деятельности и оказывает влияние на оборачиваемость совокупных активов.
Методика оценки имущественного
состояния предприятия включает в себя:
1.горизонтальный анализ активных статей баланса, основанный на изучении
динамики показателей и определении их абсолютных и относительных изменений; 2
имущества и причины ее изменения.
Для характеристики наличия, состава,
структуры имущества и произошедших в них изменений составляется аналитическая
таблица показателей оборачиваемости оборотных средств.
Таблица 12-Показатели
оборачиваемости оборотных средств
|
Показатели
|
Идентификатор
|
Значение
за год
|
Отклонения
|
|
|
Преды-
дущий, тыс. руб
|
Отчетный
тыс. руб
|
Абсолютное
тыс. руб
|
Относительное,
К
|
|
1.Выручка
от продаж, тыс.р.
|
(ВР)
|
1563232
|
1376503
|
-186729
|
0,88
|
|
2.Оборотные
средства, тыс.р
|
(ОС)
|
299390
|
327075
|
27685
|
1,09
|
|
3.Дебиторская
задолженность
|
|
863278
|
1000110
|
342103
|
1,30
|
|
4.Коэффициент
оборачиваемости оборотных средств
|
Коб
|
0,03
|
0,04
|
0,01
|
1,33
|
|
5.Длительность
оборота оборотных средств
|
Тос
|
14,51
|
14,88
|
0,37
|
1,02
|
|
6.Коэффициент
закрепления оборотных средств
|
Кз
|
0,03
|
0,04
|
0,01
|
1,33
|
|
7.Коэффициент
оборачиваемости дебиторской задолженности
|
|
2,78
|
2,23
|
-0,55
|
0,80
|
|
8.Период
погашения дебиторской задолженности
|
|
130,98
|
163,41
|
32,43
|
1,24
|
|
|
|
|
|
|
|
В данной таблице 12 мы видим, что в 2009 году
коэффициент оборачиваемости оборотных средств составил 0,03 ,а в 2010 году 0,04
это свидетельствует о том, сколько раз обернулся средний остаток оборотного
капитала за рассматриваемый период, и в данном случае это является
положительным показателем.
Коэффициент закрепления характеризует средний
размер стоимости оборотных средств, приходящихся на 1 рубль объема
реализованной продукции, на данном предприятии он составил на 0,01 меньше чем в
2009 году.
В данном случае отрицательное изменение
коэффициента оборачиваемости дебиторской задолженности показывает возможность
коммерческого кредитования, этот коэффициент снизился на 0,55. Повышение
показателя погашения дебиторской задолженности свидетельствует об улучшении
управления дебиторской задолженностью, что и произошло в 2010 году.
Понятие «чистые активы» в общем виде
представляет собой балансовую стоимость имущества организации, уменьшенную на
сумму ее обязательств. Чем лучше показатель «чистые активы», тем выше
инвестиционная привлекательность организации, тем больше доверия со стороны
кредиторов, акционеров, работников. И напротив, чем ниже значение показателя
«чистые активы», тем выше риск банкротства организации. Поэтому руководство
организации должно контролировать значение данного показателя, не допускать его
падения до критического значения, установленного законодательством, изыскивать
пути его повышения.
Значение показателя «чистые активы» - это своего
рода индикатор благополучия или неудач организации, на основании которого
собственник может оценивать действия менеджмента и принимать свои решения.
Произведем расчет чистых активов в балансовой
оценке(таблица 13).
Таблица 13 - Расчет чистых активов (в балансовой
оценке)
|
Наименование
показателя
|
Код
струк. баланса
|
Значение,
тыс.руб
|
|
|
Начало
года
|
Конец
года
|
|
Активы
|
|
1.1
Нематериальные активы
|
-
|
95
|
76
|
|
1.2
Основные средства
|
120
|
458227
|
465438
|
|
1.3
Незавершенное строительство
|
130
|
36310
|
35312
|
|
1.4
Доходные вложения в материальные ценности
|
135
|
738
|
702
|
|
1.5
Долгосрочные и краткосрочные финансовые вложения
|
140
|
8004
|
8004
|
|
1.6
Прочие внеоборотные активы
|
150
|
13
|
24
|
|
1.7
Запасы
|
210
|
299390
|
327075
|
|
1.8
Налог на добавленную стоимость по приобретенным ценностям
|
220
|
1525
|
833
|
|
1.9
Дебиторская задолженность
|
230
|
-
|
-
|
|
1.10
Денежные средства
|
260
|
4406
|
14455
|
|
1.11
Прочие оборотные активы
|
260
|
461
|
3362
|
|
1.12
Итого активы (сумма пунктов 1.1-1.11)
|
-
|
809169
|
855281
|
|
Пассивы
|
|
2.1
Долгосрочные обязательства по займам
|
510
|
-
|
-
|
|
2.2
Прочие долгосрочные обязательства
|
515
|
30041
|
28888
|
|
2.3
Краткосрочные обязательства по займам и кредитам
|
610
|
-
|
-
|
|
2.4
Кредиторская задолженность
|
620
|
148613
|
167135
|
|
2.5
Задолженность участникам (учредителям) по выплате доходов
|
-
|
-
|
-
|
|
2.6
Резервы предстоящих расходов и платежей
|
-
|
-
|
-
|
|
2.7
Прочие краткосрочные обязательства
|
-
|
-
|
-
|
|
2.8
Итого пассивы, (сумма пунктов 2.1-2.7)
|
-
|
178654
|
196023
|
|
Стоимость
чистых активов (итого активов минус итого пассивов, п. 1.12-п.2.8
|
-
|
630515
|
659258
|
Стоимость чистых активов за анализируемый период
составило 659258 тыс. руб.
Данные таблицы 13 показывают, что в
анализируемой организации, стоимость чистых активов организации превышает
размер ее уставного капитала, что свидетельствует об эффективной работе
организации. Деятельность организации может быть признана успешной. Общество
имеет право принять решение о распределении своей прибыли между участниками,
т.к. стоимость чистых активов общества выше его уставного капитала и резервного
фонда.
Заключение
В первой части данной курсовой работы была
определена система показателей деловой активности и эффективности деятельности
предприятия, детально изучен анализ оборачиваемости и эффективности
использования основных средств, рассмотрен анализ оборачиваемости и
эффективности использования оборотных средств.
Во второй главе был проведен финансовый анализ
ОАО «Завод ЖБК-1» , а именно: горизонтальный и вертикальный анализ, анализ
финансовой устойчивости, ликвидности, платежеспособности, кредитоспособности.
Были рассмотрены финансовые результаты деятельности организации и анализ
имущества. Анализ финансовых результатов является одним из важнейших аспектов
исследования хозяйственной деятельности предприятия. Изучение состава и
структуры прибыли (убытка), проведение факторного анализа результата от продажи
необходимы для оценки финансовых показателей и экономического прогнозирования.
Финансовый анализ ОАО «Завод ЖБК-1» показал, что на предприятии не все
благополучно. С точки зрения правил ведения бухгалтерского учета и отчетности
все в порядке, замечаний со стороны налоговых и проверяющих органов нет,
аудиторское заключение положительное. Однако дебиторская задолженность
покупателей негативно отражается на способности предприятия вовремя
рассчитываться с кредиторами, вовремя погасить возрастающую задолженность
бюджету и поставщикам.
Анализ финансового состояния ОАО «Завод ЖБК-1»
показал, что финансовое положение организации достаточно устойчивое, и
пополнение активов осуществляется частично за счет заемных средств.
Основной доход предприятие получает от оптовой
торговли строительными материалами, а так же от деятельности по сдаче имущества
в аренду. Выявлено увеличение прибыли от продаж в 2010 году на сумму 2961
рублей.
Наиболее полно, чем прибыль, окончательные
результаты хозяйствования характеризует показатель рентабельности деятельности,
который составил 0,03, что свидетельствует об эффективной работе предприятия.
Список литературы
. Абрютина,
М.С. Анализ финансово-экономической деятельности предприятия: Учеб. / М.С.
Абрютина, А.В. Грачев - М.: Дело и сервис, 2010. - 256 с.
2. Баканов,
М.И. Экономический анализ: ситуации, тесты, примеры, задачи, выбор оптимальных
решений, финансовое прогнозирование: Учеб. пос. / М.И. Баканов, А. Д. Шеремет.-
М. : Финансы и статистика, 2010.- 656 с.
3. Банк,
В. Р. Финансовый анализа: Учебное пособие / В.Р. Банк, С.В. Банк, А.В.
Тараксина. - М.: ТК Велби, Изд-во проспект, 2010. - 344 с.
. Гражданский
Кодекс Российской Федерации. Часть 1и 2. -Издательская группа «Норма-Инфра».
-М:. - 2010.- 555с.
5. Грачев,
А.В. Организация и управление финансовой устойчивостью. Роль финансового
директора на предприятии. / А.В. Грачев // Финансовый менеджмент. - 2010. - №
1. С. 11 - 25.
. Грачев,
А.В. Основы финансовой устойчивости предприятия. / А.В. Грачев // Финансовый
менеджмент. - 2011. - № 4. С. 14 - 26.
. Илясов,
Г. Г. Как улучшить финансовое состояние предприятия / Г. Г. Илясов // Финансы.-
2011.- №10.- с.70-73
. Кожинов,
В.Я. Бухгалтерский учет. Прогнозирование финансового результата.
Учебно-методическое пособие /В.Я. Кожинов. - М: Экзамен. -2012. -318с.
. Коровин,
А.В. Экспресс анализ финансового состояния предприятия / А.В. Коровина //
Аудитор.-2011.- № 3.- с.19-25
10. Любушин,
Н. П. Анализ финансово-экономической деятельности предприятий: Учеб. пос. / Н.
П. Любушин, В. Б. Лещева, В. Г. Дьякова.- М. : ЮНИТИ-ДАНА, 2012.- 471 с.
. Матвейчева,
Е.В. Традиционный подход к оценке финансовых результатов деятельности
предприятия / Матвейчева, Е.В., Вишнинская Г.Н. // Аудит и финансовый анализ
. Савицкая,
Г. В. Анализ хозяйственной деятельности предприятия: Учеб. пос. / Г. В.
Савицкая.- Мн. : Новое издание, 2011.- 704 с.
. Савицкая,
Г. В. Экономический анализ: Учебник [Текст] / Г. В. Савицкая.- М.: Новое
знание, 2010. - 640 с.
. Савицкая,
Г.В. Анализ хозяйственной деятельности. Издание второе, переработанное и
дополненное / Г.В. Савицкая. - Минск.Москва: ИП « Экоперспектива». - 2012.
-490с.
. Чечевицына,
Л. Н. Анализ финансово-хозяйственной деятельности: Учеб. пос. / Л. Н.
Чечевицына, И. Н. Чуев.- Ростов н/Д.; Феникс, 2011.- 384 с.
. Шеремет,
А.Д. Методика финансового анализа. 3-е издание, переработанное и дополненное /
Негашев Е.В.. -М. - Инфра - М. - 2010. 207с.