Численные методы решения нелинейных уравнений, используемые в прикладных задачах. Нахождение корня уравнения методом простой итерации и методом касательных
Федеральное
агентство по образованию
ФГОУ
СПО «Уфимский авиационный техникум»
Курсовая
работа
Численные
методы решения нелинейных уравнений, используемые в прикладных задачах.
Нахождение корня уравнения методом простой итерации и методом касательных
по
дисциплине «Численные методы»
Студент Д.Р.
Мусакалимов
Руководитель работы
Э.Р. Ахматсафина
Содержание
Введение
1. Теоретическая часть
1.1 Метод касательных (Ньютона)
1.2 Метод итераций
2. Постановка и решение задачи
2.1 Формулировка задачи
2.2 Решение задачи методом касательных (Ньютона)
2.3 Решение задачи метод простой итерации
3. Программная реализация
3.1 Блок-схемы алгоритмов
3.2 Тексты программ
3.3 Тестовый пример
3.4 Решение задачи с помощью ЭВМ
Заключение
Список литературы
Введение
В настоящее время численные методы являются
мощным математическим средством решения многих научно-технических проблем. Это
связано как с невозможностью в большинстве случаев получить точное
аналитическое решение, так и со стремительным развитием ЭВМ. Несмотря на
существование многочисленных стандартных программ и объектно-ориентированных
пакетов прикладных программ, для научных и инженерно-технических работников
необходимо понимание существа основных численных методов и алгоритмов,
поскольку зачастую интерпретация результатов расчетов нетривиальна и требует
специальных знаний особенностей применяемых методов. В этой связи важно
понимать структуру погрешностей при решении конкретных задач и корректность
вычислений.
Цель курсовой работы изучить численные методы
решения нелинейных уравнений, используемые в прикладных задачах. Нахождение
корня уравнения методом простой итерации и методом касательных (на примере
уравнения).
Данная курсовая работа состоит из трех частей. В
первой части рассматривается теория двух рассматриваемых методов простой
итерации и касательной. Во второй части мы используем данную теоретическую
часть при решении задач. В третьей части составляем программы, блок-схемы
алгоритмов по двум данным методам.
. Теоретическая часть
.1 Метод касательных (Ньютона)
Если
-
начальное приближение корня уравнения
,
то последовательные приближения находят по формуле
Если
и
(первая
и вторая производные) непрерывны и сохраняют определенные знаки на отрезке
,
a
,
то, исходя из начального приближения
,
удовлетворяющего условию
, можно вычислить с
любой точностью единственный корень уравнения
.
На практике часто используют модификации метода
Ньютона, свободные от этого недостатка. Одно из упрощений сводится к тому, что
производная вычисляется только один раз в начальной точке и затем это значение
используется на всех последующих шагах. Данная модификация основывается на
предположении о малом изменении производной вблизи корня.
Одной из наиболее известных модификаций является
метод секущих. В этом методе производная заменяется ее приближенным значением:
В формуле для
в
отличие от
приращение
,
полагается малым, но
. Геометрически это
означает, что приближенным значением корня считается точка пересечения секущей,
проходящей через две точки функции
и
,
с осью абсцисс. Схема метода Ньютона показана на рисунке 1.
Рисунок 1. Метод Ньютона (а) и метод секущих (б
)
Выберем на отрезке
произвольную
точку
-
нулевое приближение. Затем найдем
Далее
Таким образом, процесс нахождения корня
уравнения сводится к вычислению чисел
по
формуле
Процесс вычисления продолжается до тех пор, пока
не будет выполнено условие
каждое следующее приближение может быть
определено по формуле
.2 Метод итераций
Пусть задана функция
,
требуется найти корни уравнения
. (1)
Метод простых итераций (последовательных
приближений) является наиболее общим, и многие другие методы можно представить
как некоторую вариацию метода простых итераций.
Представим уравнение (1) в виде
(2)
Это можно сделать, например, прибавив
к
обеим частям уравнения (2).
Рассмотрим последовательность чисел
,
которая определяется следующим образом:
,
принадлежит
.

Рисунок 2. Приближение к корню методом простой
итерации
Метод простых итераций имеет следующую наглядную
геометрическую интерпретацию (рисунок 2). Решением уравнения (2) будет абсцисса
точки пересечения прямой
с кривой
.
При выполнении итераций значение функции
в
точке
необходимо
отложить по оси абсцисс. Это можно сделать, если провести горизонталь до
пересечения с прямой
и из точки их
пересечения опустить перпендикуляр на ось абсцисс. На рисунке 2 показаны
разные ситуации: а) сходимость к корню односторонняя; б) сходимость с разных
сторон.
Рисунок 3. Расходящийся процесс в методе простой
итерации
Сходимость процесса приближения к корню в
значительной степени определяется видом зависимости
.
На рисунке 3 показан расходящийся процесс, при котором метод простой итерации
не находит решения уравнения.
На рисунке 2 сходимость обеспечивается для
медленно изменяющихся функций
для которых
выполняется условие
На рисунке 3 расходящийся процесс наблюдается
для более быстро меняющейся функции
Можно сделать вывод, что для обеспечения
сходимости метода простой итерации необходимо выполнить условие
.
На практике в качестве рассматриваемой
окрестности используют интервал
, а условие
сходимости итерационного процесса имеет вид:
.
Для сходящегося итерационного процесса
характерно следующее: при решении задачи переменная последовательно стремится
к некоторому искомому пределу. Так как итерационный процесс представляет собой
последовательность повторяющихся вычислительных процедур, то он, естественно,
описывается циклическими алгоритмами. Особенность итерационного цикла заключается
в том, что неизвестен закон изменения рекуррентной величины, выбранной в
качестве параметра цикла, и неизвестно число повторений цикла. При этом
значение, полученное на -й итерации, является исходным для следующей
-й
итерации.
Процесс итераций продолжается до тех пор, пока
для двух последовательных приближений
и
не
будет обеспечено выполнение неравенства
,
где
- точность
вычислений
.
.1 Формулировка задачи
Численные методы решения нелинейных уравнений,
используемые в прикладных задачах. Нахождение корня уравнения методом простой
итерации и методом касательных (на примере уравнения
).
.2 Отделение корней графически
Процесс нахождения приближенных значений корней
уравнения разбивается на два этапа:
) отделение корней;
) уточнение корней до заданной точности.
Отделить корни - это значит разбить всю область
допустимых значений на отрезки, в каждом из которых содержится один корень.
Отделение корней: графически (точность
).
Составим приблизительную схему:
|
x
|
0
|
4,67
|
|
|
y
|
14
|
0
|
|
|
x
|
0
|
1
|
2
|
3
|
4
|
|
y
|
1
|
2,7
|
7,29
|
19,68
|
53,136
|
|
|
|
|
|
|
|
|
|
|
Построим график функции
Рисунок 4. Отделение корней
Как видно из графика, единственный корень
данного уравнения находится на отрезке
2.3 Решение задачи методом касательных (Ньютона)
Решим методом Ньютона уравнение
Найдем производную функции:
Найдем производную
заключенную
на отрезке
Отсюда мы видим что
взямем
в качестве начального приближения и зададим точность
Найдем точку
Ответ: Корень уравнения с точностью 0,00001
равен
.3. Решение задачи методом простой итерации
Метод итерации уточнить с точностью до 10-4
корень уравнения
, заключенный на
отрезке
.
Для отделения корней исследовалось производное
уравнение
, корни которого
находим аналитически это
.
Теперь уравнение
следует
привести к виду
,
Итерационный процесс будет сходиться, если
.
Выберем на отрезке
произвольную
точку
.
Пусть
.
Тогда
, определим
.
Заменим уравнение на
Найдем корень равнения с помощью
последовательности итераций:
Рисунок 5. График последовательности итерации
Ответ: Корень уравнения с точностью 0,0001 равен
3. Программная реализация
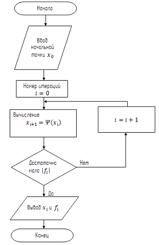
.1 Блок-схемы алгоритмов
Метод касательных (Ньютона)
Метод простой итерации
3.2 Тексты программ
численный нелинейный уравнение алгоритм
Метод касательных (Ньютона)- точность
вычисления- начальная точка отрезка- конечная точка отрезка-
maxP1;n,a,b,m,x0,x1,d:real;
function F(x:real):real;
begin F:=0;:=3*x-14+exp(x);;
function F1(x:real):real;
begin F1:=0;:=3+exp(x);
end;
function F2(x:real):real;F2:=0;:=exp(x);
end;
d:=1000;('e,a,b,m');(n,a,b,m);F(b)*F2(b)>0x0:=b
else x0:=a;(x1:5:4);x1:=x0-F(x0)/F1(x0);
writeln('x1=',x:5:4); x0:=x1;('x0=',x0:5:4);
d:=F(x1)/m;d<n;(x1:5:4,d:5:4);;.
Метод простой итерации- начальное значение-
точность вычисленияP1;Eps, x0, x1, c:real;
Begin('vvedite x0, Eps');
Readln (x0,Eps);
x1:=x0-(3*x0-14+exp(x0))/10;:=ABS(x1-x0);:=x1;c<=Eps;
Writeln('корень уравнения = ',x0:5:4);;.
.3 Тестовый пример
Метод касательных (Ньютона)
В качестве тестового примера возьмем
на
отрезке
аналитически
его можно решить и решение имеет вид
.
Проверим правильность работы программы для
тестового примера.
Рисунок 6. Результат работы тестовой программы
методом касательных (Ньютона)
Метод простой итерации
В качестве тестового примера возьмем
,
аналитически его можно решить и решение имеет вид
.
Проверим правильность работы программы для
тестового примера.
Рисунок 7. Результат работы тестовой программы
методом простой итерации
.4 Решение задачи с помощью ЭВМ
Метод касательных (Ньютона)
При вычислении заданного примера на языке
программирования Turbo Pascal мы получаем следующие результаты (рисунок 8)
Рисунок 8. Результат программы методом
касательных (Ньютона)
Метод простой итерации
При вычислении заданного примера на языке
программирования Turbo Pascal мы получаем следующие результаты (рисунок 9)
Рисунок 9. Результат работы программы методом
простой итерации
Заключение
В результате проделанной работы были созданы
программы, которые вычисляют двумя методами. При вычисляя задач получили
результаты: методом касательных х=2,067687475, методом простой итерации
х=2,06769. Расхождение между корнями имеет не значительное расхождение, что
говорит о правильном решении уравнения. Правильность результатов может
подтвердить построенный график, который в точности отображает функцию. Были
исследованы два математических метода решения уравнений, к каждому из которых
были представлены блок-схемы, полный текст программ и результаты машинного
тестирования.
Каждый из изложенных методов приближенного
вычисления корней уравнения содержит четкий алгоритм их нахождения, что
позволяет широко применять эти методы для вычислений на ЭВМ. Таким образом,
указанные методы - эффективное средство решения уравнений. Для уравнений,
которые нельзя решить обычным способом, с помощью ЭВМ и простейших приближенных
методов можно составить таблицы их значений.
Список литературы
Гагарина
Л.Г. Численные методы и программирование. М.: ИД «ФОРУМ» ИНФРА-М, 2008г. 335с
Пирумов
У.Г. Численные методы. М.: Дрофа, 2003. 224 с.
Буслов
В.А., Яковлев С.Л. Численные методы и решение уравнений. СПб.: «Питер», 2001.
44с
Рапоков
Г.Г., Ржеуцкая С.Ю. Turbo Pascal для студентов и школьников. СПб.: «БХВ -
Петербург», 2007г. 349с