Формирование внутрифирменной информационной сети

  • Вид работы:
    Курсовая работа (т)
  • Предмет:
    Информационное обеспечение, программирование
  • Язык:
    Русский
    ,
    Формат файла:
    MS Word
    60,67 Кб
  • Опубликовано:
    2013-10-03
Вы можете узнать стоимость помощи в написании студенческой работы.
Помощь в написании работы, которую точно примут!

Формирование внутрифирменной информационной сети

Введение

Информационная технология является основной составляющей информационной системы организационного управления, непосредственно связанна с особенностями функционирования предприятия или организации.

То или иное состояние, в которое переходит предприятие при осуществлении своей деятельности на рынке, ставит перед менеджером соответствующие задачи и требует от него принятия адекватных решений. Эти решения могут касаться как изменения целей, стоящих перед организацией, так и способов их достижения. Это вызвано тем, что предприятие подвержено воздействию со стороны окружающей среды, и вынуждено адаптироваться к ней с помощью обратных связей. Поэтому всякое управленческое решение есть результат отработки менеджером взаимодействий обратной связи. Принятие решений осуществляется, в основном, уполномоченными на это менеджерами, на основании анализа информации. Поэтому в основе управленческих технологий лежат процессы обработки информации (информационные технологии), и строящиеся на их основе процедуры принятия решений. В наше время происходит глобализация экономики, и надежные информационные ресурсы играют едва ли не главную роль.

Цель работы - рассмотреть механизмы использования информационных технологий на предприятии.

Объектом исследования данной курсовой работы являются информационные технологии в деятельности предприятий, в частности предметом исследования являются информационные процессы в рекламном агентстве «Res Cat».

Для достижения цели работы должны быть решены следующие задачи:

изучить автоматизированные информационные технологии, применяемые в управлении организацией

изучить формирование системы поддержки принятия решений

проанализировать информационные системы рекламного агентства «Red cat» и дать общую экономическую характеристику компании

дать рекомендации по усовершенствованию информационных технологий.

Теоретической и методологической основой исследования послужили труды ведущих ученых экономистов по изучаемо проблеме: Васильева Г.А, Бронниковой Т.С и др., учебная литература, периодические издания по теме данной работы.

Методами исследовании будут выступать аналитический, статистический, описательный, статистический и математический методы, а также метод дедукции.

Информационная основа работы - законодательные и нормативные акты РФ, финансовая отчетность компании, переодические печатные издания.

Практическая значимость работы позволит применить разработанные для данной организации меры, предложения в других организациях, работающих в той же области.

Структура работы состоит из введения, трех разделов и подразделов, страницах, заключениях, двух приложений и списка используемой литературы, содержащихся на 48 страницах, содержит 3 рисунка, 2 таблицы.

1. Информационные технологии как инструмент формирования управленческих решений

1.1 Автоматизированные информационные технологии, применяемые в управлении организацией

Использование информации, информационных систем и информационных технологий в условиях интенсивного развития рыночных отношений становится одним из наиболее важных элементов эффективного управления и маркетинга. Организации все чаще прибегают к помощи современных информационных систем и технологий, чтобы следить за увеличивающимися внешними и внутренними потоками информации, использовать ее для анализа, прогнозирования, принятия управленческих решений. Известен «рецепт для хорошего решения: 90% информации и 10% вдохновения». В последние годы в литературе по менеджменту и маркетингу уделяется много внимания изучению различных аспектов формирования системы информационного обеспечения управленческих решений организаций. Однако большая сложность и исключительная значимость проблемы требуют решения еще многих вопросов. В частности, пока не разработана теоретическая концепция для понимания роли информации в управлении и маркетинге. Многие менеджеры согласятся, что информация важна для выработки стратегии и осуществлении изменений, но нет определенности в том, как повлиять на использование информации или почему организации должны быть заинтересованы во внедрении и использовании системы информационного обеспечения управленческих решений? По существу, само понятие системы информационного обеспечения менеджмента и маркетинга организаций неконкретно и широко, и применяется на всех уровнях принятия решений - от стратегического до оперативного. Для разных организаций, функциональных служб, подразделений и сотрудников понимание необходимости использования информации неодинаково.

Одни организации приходят к осознанию необходимости использования разнообразнейшей рыночной, политической, технической и др. информации самыми различными путями. Данная необходимость может выявиться при решении какой-либо проблемы, при перестройке процесса деятельности предприятия, или даже при анализе деятельности конкурентов.

Другие организации не осознают, какими информационными ресурсами они обладают. У них могут быть хорошие системы сбора и хранения текущей бухгалтерской документации, данные об объемах продаж, но когда эта информация срочно требуется, они не находят нужных сведений.

В третьей группе организаций распространению информации препятствует принятая система ограничения доступа к ней тех, кто по роду службы «не имеет к ней отношения». Но если обмен информацией организован на общих принципах и подчиняется общим стандартам, действующим в компании (это касается применяемых систем, языков, протоколов, процедур управления файлами и т.п.), это облегчает унификацию данных, включая данные о сделках, производственных процессах, а также стимулирует поиски новых подходов к решению управленческих задач.

Таким образом, мы можем говорить о различных подходах к процессам осознания, сбора, обработки, распространения и использования информации при принятии управленческих решений.

Любая организация обрабатывает информацию для выработки двух видов «продукции»: информации (данных, документов, речевой информации) и решений (оперативных и стратегических). Организация получает начальную (входящую) информацию в различных видах: документы, доставляющие информацию в виде слов и цифр; речевая информация по телефону; данные от ЭВМ, часто в электронной форме. Конечная (исходящая) информация вырабатывается в таких же видах. Производственный цикл организации может включать перекомпоновку информации, объединение данной информации с дугой, накопление информации.

Анализ деятельности предприятий позволяет классифицировать задачи, решаемые предприятием.

Наиболее простые задачи образуют класс полностью формализованных (или хорошо структурированных) процедур, выполнение которых, кроме затрат времени, трудностей для исполнителей не представляет. Эти задачи легко стандартизируются и программируются. К таким задачам относятся: учет и контроль, оформление документов, их тиражирование и рассылка и т.п.

Второй (промежуточный) класс задач составляют слабоструктурированные задачи, содержащие неизвестные или не измеряемые компоненты (количественно не оцениваемые). Для этих задач характерно отсутствие методов решения на основе непосредственных преобразований данных. Постановки задач базируются на принятии решения в условиях неполной информации. В ряде случаев на основе теории нечетких множеств и приложений этой теории удается построить формальные схемы решения.

Третий класс задач содержит неформализуемые процедуры, базирующиеся на неструктурированной информации, которая определяется высокой степенью неопределенности. К таким задачам относится большинство проблем прогнозирования, перспективного планирования и т.п. Основой решения этого класса задач остаются творческий потенциал человека и различные атрибуты его деятельности (информированность, квалификация, талант, интуиция и т.п.).

Таким образом, у организации имеются производственные задачи и исполнители этих задач. Остается определить требуемые организации технологические процессы автоматизации.

1.2 Формирование системы поддержки принятия решений

автоматизированный информационный управление рекламный

Основным критерием существования любого малого предприятия является прибыль, полученная им. Эта прибыль направляется на развитие предприятия, что приводит к увеличению прибыли. На сегодняшний день одной из самых важных сторон развития предприятия является автоматизация деятельности предприятия.

Существует несколько подходов к автоматизации предприятий. Можно постепенно закрывать узкие участки, приобретая готовые программные продукты для решения отдельных задач (бухгалтерского или складского учета, планирования и т.д.). Можно разрабатывать информационную систему силами собственных специалистов. Наконец, уже имеется возможность заказать разработку под ключ комплексной информационной системы у фирмы-интегратора, обладающей современной технологией и солидным опытом (системный подход).

Известно, что внедрение информационной системы (ИС) на предприятиях часто заканчивается разочарованием заказчика в исполнителях и в эффективности ИТ-технологий в целом. Одна из главных причин неудачных внедрений - это слабая проработка проекта ИС на этапе управленческого консалтинга. В результате ИС оказывается в недостаточной степени интегрирована в общую систему управления компанией (СУ), оставаясь, в лучшем случае дорогостоящим калькулятором для ведения управленческого и регламентированного учёта.

Совершенно другой результат можно получить, приняв во внимание тот факт, что ИС не является для заказчика самоценным продуктом, а должна стать инструментом системы управления предприятием на всех её уровнях, начиная со стратегии и заканчивая процедурами. Это свойство ИС должно быть обеспечено на первом шаге внедрения ИС - этапе управленческого консалтинга.

Рассмотрим подробнее методику реализации этапа управленческого консалтинга в разрезе основных задач, решаемых ИС.

В общем случае ИС должна обеспечивать решение следующих задач:

.        Сбор первичных данных о деятельности компании и представление их в удобном для анализа виде;

.        Управленческий и регламентированный учёт;

.        Поддержка документооборота;

.        Планирование и прогнозирование;

.        Поддержка бизнес-процессов.

В начале 2000-х годов одна из оптово-розничных компаний использовала систему учёта товарно-материальных ценностей собственной разработки. К тому моменту в системе насчитывалось более 700 отчётов, в которых рассчитывались несколько тысяч показателей. Поскольку практики описаний отчётов не было, и разобраться в этом хаосе не представлялось возможным, каждый новый менеджер заказывал себе 10-15 новых отчётов, мобилизуя на эту работу программистов всеми доступными методами. Другими словами, происходило непозволительное расходования ресурсов компании.

Возникает вопрос: как на этапе проектирования составить необходимый и достаточный список показателей, которые затем будут представлены в отчётах ИС, предназначенных для принятия управленческих решений? Поскольку мы определились с тем, что ИС должна стать инструментом СУ, ответ на этот вопрос очевиден: в ИС должны, в первую очередь, рассчитываться показатели, которые используются в СУ для контроля деятельности предприятия, подразделений, сотрудников. Если в СУ этот список не определён, это необходимо сделать, воспользовавшись одной из известных методик, например, методикой Balanced Scorecard (BSC), предназначенной для организации реализации стратегии компании. Одним из результатов применения методики BSC является система показателей, сконструированная на основе выбранной стратегии. Таким образом, реализуя в ИС систему показателей BSC, мы обеспечиваем интеграцию ИС и СУ на уровне стратегии.

Для решения задачи ИС, перечисленной в списке под номером 1, системы показателей недостаточно. Необходимо также предусмотреть сбор первичных данных, на основе которых эти показатели будут рассчитываться. Решения о том кто, когда, по какому событию, при каких условиях регистрирует эти данные в ИС, должны быть зафиксированы в документах проекта: ролях пользователей, бизнес-процессах, регламентах, требованиях к функционалу. Не является также излишней проработка форматов отчётов, в которых показатели будут представлены. Если этот вопрос будет отдан на откуп программисту, заказчик может быть неприятно удивлён результатом в тот момент, когда обязательства внедренцев по этому вопросу будут уже выполнены. Активное участие заказчика в определении форматов является залогом получения результата в действительно «удобном для анализа виде».

Для того, чтобы система управления по показателям стала эффективным инструментов СУ, она должна быть проработана на процедурном уровне.

Вообще говоря, задача ИС, обозначенная выше под номером 2, является частным случаем задачи №1. Управленческий и регламентированный учёт - это также процессы сбора первичных данных и представления информации для анализа сотрудниками компании и налоговыми органами, соответственно. Однако, на этапе управленческого консалтинга вопросы учёта необходимо рассмотреть отдельно, так как они должны найти специфическое отражение в проекте ИС.

В первую очередь, это касается описания финансово-юридической структуры компании и соответствующего документооборота. Зачастую, даже небольшие российские компании представляют из себя своего рода холдинги, объединяющие несколько юридических лиц, связанных коммерческими отношениями. Задача ИС заключается в формировании регламентной отчётности юридических лиц и управленческой отчётности холдинга с требуемой детализацией. В современных ИС имеются развитые средства реализации финансово-юридических структур холдингов, но для настройки этих средств, структура и документооборот должны быть проанализированы и описаны на этапе формирования проекта. Таким образом будет достигнута интеграция ИС с финасово-юридическим уровнем СУ предприятием.

Другой вопрос учёта, который должен быть проработан на этапе управленческого консалтинга, - это учётная политика. Если учётная политика регламентированного учёта определяется действующим законодательством, то управленческая учётная политика разрабатывается самим предприятием и должна соответствовать его целям, стратегии, структуре управления. Управленческая учётная политика фиксируется в документе общепринятой структуры и является составной частью проекта ИС.

В процессе проектирования будущей системы учёта должны быть также проработаны требования по безопасности и защите учётной информации.

Наконец, для обеспечения преемственности новой системы учёта с уже накопленной информацией, должны быть проработаны вопросы переноса справочников, остатков, документов в новую ИС. Фактически, речь идёт об обеспечении непрерывности информационной поддержки системы управления предприятием.

Для обеспечения решения третьей из перечисленных задач ИС, а именно поддержки документооборота, на этапе управленческого консалтинга должен быть проанализирован и структурирован документооборот компании. Обычно выделяют следующие подсистемы документооборота:

·        Поддержка финансово-юридической структуры

·        Движение ТМЦ

·        Обмен сообщениями, документами

·        Формирование планов, задач. Отчётность по ним

·        Создание, согласование, утверждение документов

·        Регистрация и контроль исполнения входящих и исходящих

·        Организация архива документов

На этапе управленческого консалтинга принимается решение о том, какие подсистемы документооборота будут поддерживаться ИС и формируется их описание, которое должно найти своё отражение в документах проекта ИС: графическом отображении бизнес-процессов, форматах структур данных, отчётах ИС, ролях пользователей, печатных формах. Таким образом, на этом этапе закладываются основы документарной поддержки СУ.

Учёт фактических данных в той или иной форме ведётся в компании всегда. А вот возможность полноценного решения четвёртой задачи ИС - планирования и прогнозирования, появляется только с момента внедрения ИС.

Планирование, как система целеполагания, является неотъемлемой частью системы управления компанией. В ходе работ над проектом ИС определяются состав планов, горизонты и периоды планирования, бизнес-процесс и средства ввода плановых значений, форматы план-фактных отчётов, бизнес-процессы план-фактного анализа и коррекции планов. Перечень планируемых показателей определяется списком, сформированным в ходе реализации методики Balanced Scorecard. Особого внимания заслуживает система бюджетирования, которая является основой системы управления финансами. На этапе управленческого консалтинга внедрения ИС разрабатывается регламент бюджетирования, который включает в себя:

·        Описание финансовой структуры

·        Форматы бюджетов

·        Учётную политику

·        Бизнес-процессы и правила их исполнения

Если планирование - это способ постановки целей, то прогнозирование - это формирование наиболее вероятного развития событий на основе ранее собранной объективной информации. Современные ИС предоставляют широкие возможности для финансового прогнозирования, предназначенного для своевременного принятия эффективных решений в области оперативного управления финансами.

В некоторых ИС реализован механизм номенклатурного прогнозирования сбыта в натуральных единицах, что позволяет оптимизировать складские запасы и логистические ресурсы. На этапе управленческого консалтинга определяется состав прогнозов, которые будут использоваться менеджерами предприятия, их настойки, бизнес-процессы и регламенты применения. Таким образом, возможности ИС по прогнозированию интегрируются в СУ.

Интеграция ИС и СУ на процедурном уровне обеспечивается на этапе управленческого консалтинга путём разработки, оптимизации и согласования бизнес-процессов. В нашем списке задач ИС, поддержка бизнес-процессов фигурирует под последним номером. Это место определяется логикой разработки проекта ИС, поскольку в бизнес-процессах на процедурном уровне фиксируются все ранее принятые решения по организации управления по показателям, учёту, документообороту, планированию и прогнозированию.

Бизнес-процессы разрабатываются в тесной связи с другими документами организационного дизайна компанией. Например, права участников бизнес-процессов должны быть согласованы со структурой управления, а выполняемые функции - с должностными инструкциями. Ряд бизнес-процессов требует дополнения регламентами, то есть документами, определяющими дополнительные условия исполнения бизнес-процессов. Фактически, при разработке этой части проекта ИС, формируется весь пакет организационных документов компании или проводится ревизия существующего оргдизайна.

Оптимизация бизнес-процессов - это отдельная серьёзная задача, требующая большого опыта и квалификации. Предложения по косметическому улучшению бизнес-процедур возникают уже на первом шаге при формализации и согласовании бизнес-процессов «как есть». Более глубокая оптимизация может быть предложена на основе анализа стратегии и тактики компании, который проводится в ходе первого этапа управленческого консалтинга - диагностики системы управления. Разумеется, глубина реинжиниринга бизнес-процессов определяется руководством компании.

До определённого уровня детализации описание бизнес-процессов не зависит от ИС. Однако, при внедрении ИС полезно детализировать бизнес-процессы до документов ИС, что позволяет в дальнейшем использовать их, в качестве инструкций операторов, а также для формирования сценариев обучения пользователей.

Из самой процедуры видно, что на вход внедрения ИС должны быть переданы исходные данные, а именно, стратегия компании.

Если стратегия в компании не сформулирована или проработана недостаточно подробно, внедрение ИС не приведёт к результату, удовлетворяющему руководство заказчика, так как будет основано на представлениях самих внедренцев и частных мнениях отдельных сотрудников компании-заказчика.

Впрочем, отсутствие стратегии может привести компанию к ещё более печальным последствиям, чем неудачное внедрение ИС.

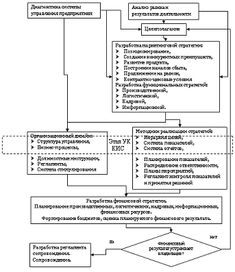
Рисунок 1. Общая процедура Управленческого консалтинга

Процедура этапа управленческого консалтинга внедрения ИС начинается с диагностики системы управления, которая проводится в следующей последовательности:

.        Ознакомление с материалами компании;

.        Совещание с руководителем компании, на котором уточняются направления деятельности компании (продукты, рынки сбыта), состояние системы управления, список ведущих сотрудников, зоны ответственности, существующие проблемы, график интервью с ведущими сотрудниками компании;

.        Интервью с ведущими сотрудниками;

.        Согласование результатов интервью;

.        Анализ существующих документов системы управления;

.        Подготовка предложений по развитию системы управления;

.        Подготовка предложений по плану работы.

После согласования плана работы с заказчиком, разрабатывается проект ИС, в который входят следующие документы:

·        Условия использования ИС

·        Требования к функционалу, преемственности с действующим информационным обеспечением, информационной безопасности

·        Описание финансово-юридической структуры

·        Иерархия целей, система показателей

·        Форматы отчётов

·        Форматы печатных форм

·        Структуры данных

·        Описание ролей пользователей

·        Графическое отображение бизнес-процессов, подлежащих внедрению в КИС

·        Регламенты исполнения бизнес-процессов

·        Сценарии обучения пользователей

В процессе настоек ИС и доработок типового функционала консультант взаимодействует с внедренцами по вопросам формирования постановок задач и технических заданий, а в процессе обучения пользователей и запуска ИС в опытную эксплуатацию консультирует пользователей по вопросам, находящимся в его компетенции. Таким образом, работа консультанта начинается на самом раннем этапе внедрения и ИС и заканчивается только после перевода ИС в режим производственной эксплуатации.

Деятельность предприятия будет эффективной только при наличии общей информационной системы, объединяющей управление финансами, персоналом, снабжением, сбытом и производством. Таким образом, задача компании, специализирующейся в области информационного обеспечения бизнес-процессов, заключается в создании и внедрении комплексных систем управления, которые позволят заказчику перейти от кусочной автоматизации к интегрированным системам, обеспечат работу в едином информационном пространстве и предоставят необходимую информацию для планирования и прогнозирования, анализа и принятия управленческих решений.

.3 Методы и организация создания информационных систем и информационных технологий в управлении организацией

Для совершенствования процесса управления, а также его оптимизации создаются информационные системы. И информационные технологии.

В самом обобщенном виде информационная система - это набор связанных между собой компонентов, который собирает, обрабатывает, сохраняет и распространяет информацию для поддержки деятельности организации. На уровень информационных систем влияет два фактора:

.        Уровень научно-технического развития в организации, т.е. насколько современны используемые технологии;

.        Люди и существующая в организации культура.

Последний фактор является определяющим, поскольку именно от него будет зависеть первый. Действительно, усложнение информационных систем растет пропорционально росту формализации культуры и увеличению размера организации. Например, на малой фирме с ограниченным кругом задач где в ходу простые и неформальные отношения рядовых сотрудников с ее управляющими зачастую отсутствует потребность в сложных информационных системах. И наоборот, в больших организациях с сильно разветвленной структурой такие системы являются жизненной необходимостью. Основная задача информационной системы для менеджера - поддержка принятия решений и управление потоками входящей / исходящей информации.

Общая схема информационных систем:

Входные данные -> Обработка -> Конечная информация

В разряд информационных систем входят также и источники информации. Это могут быть различные справочники, разработки, в том числе и выполненные на лазерных дисках. Но самый большой объем данных может предоставить лишь глобальная сеть Интернет.

Существует множество разновидностей информационных систем

Рассмотрим эти системы подробнее.

Система поддержки финансовых операций(СПФО)

Данная система поддерживает ежедневные операции фирмы, так или иначе связанные с финансовыми вопросами. Это могут быть системы резервирования билетов, системы обработки чеков, системы обработки заказов. Все они помогают организации контролировать финансовые операции. Это самый старый тип информационных систем. Впервые они появились в конце 1950-х годов в бухгалтерских отделах крупных корпораций. Именно с них берет свое развитие индустрия информационных систем.

Вначале происходит некое событие. Это может быть запрос изресторана или оплаченная заявка на номер. Это событие вводится в компьютеркак «транзакция». Специальная программа анализирует эту транзакцию исравнивает ее со своими данными. В случае резервирования номера, этапрограмма проверяет наличие свободных мест в запрашиваемой гостинице. Программа обработки транзакций генерирует два типа ответа - она отсылаетсообщение на операторский терминал и распечатывает документы. В нашемслучае она выводит на экран сообщение о номерах, которые былизарезервированы и распечатывает подтверждение этого. 

Управленческие информационные системы (УИС)

Иначе эти системы можно назвать системами поддержки управления. Они регулярно создают структурированные и кратко изложенные отчеты о различных аспектах деятельности организации. УИС концептуально находятся выше систем поддержки финансовых операций. В их задачу входит не проведение различных операций, а их оценка и создание на ее основе отчета. Обычно УИС обрабатывают данные, «поставляемые» финансовыми системами. Пользователь передает запрос на создание сообщения системе поддержке управления. Она в свою очередь обрабатывает данные СПФО, структурируя ее и переформатируя, и затем выдает отчет. Эти отчеты могут быть отражены на дисплее или распечатаны. Некоторые системы поддержки управления могут генерировать отчеты в автоматическом режиме. Например, можно задать системе в конце каждого рабочего дня распечатывать отчеты о деятельности различных подразделений фирмы или же находить в процессе дня некоторые пиковые значения заранее определенных параметров

Системы поддержки принятия решений (СППР)

Классические теоретики менеджмента считали принятие решений одной из самых важных задач, которые стоят перед управленцем. Конечно, существуют и другие задачи, такие как формирование команды, лидерство, распространение информации. Но так или иначе, принятие решений остается важной частью управленческого процесса.

СППР - это интерактивные программы для помощи в принятии управленческих решений. Эти системы, в отличии от двух рассмотренных выше, не всегда поддерживают текущую работу. Чаще всего они создаются для решения какого-то определенного круга вопросов. Потребность в СППР возникает не регулярно, что также отличает ее от финансовых и управленческих систем. В своей работе, СППР создает сложные модели, на основе которых генерируются возможные решения проблемы.

Данные из СПФО и УИС, а также данные из других внешних источников вводятся в программы СППР. Система на основе этих данных создает некую модель. Пользователь непосредственно взаимодействует с

программой - вводит дополнительные данные, изменяет введенные раннее параметры. На выходе могут быть сгенерированны тексты решений, структурированные отчеты или графики. В качестве примера программ системы поддержки принятия решений можно привести различные электронные таблицы (например Excell), системы управления базами данных (СУБД), текстовые процессоры, статистические пакеты и т.д.

Системы автоматизации работы офиса (САРО)

Это система, которая создает, хранит, изменяет, отображает и осуществляет деловую корреспонденцию. Как уже отмечалось выше, развитие компьютерной техники и средств связи значительно видоизменило техническое оснащение офисов. Сегодня, редкая фирма не имеет своего электронного адреса (e-mail), а некоторые достаточно активно используют и другие возможности глобальной компьютерной сети Интернет, например, поиск информации в World Wide Web или проведение видеоконференций. Наличие в офисе факс - машины уже вошло в культуру работы современной фирмы. Таким образом, офис превратился в достаточно серьезный аналитический центр организации, служащие которого могут выполнить практически любые запросы менеджеров. Типичная ситуация - менеджеру потребовался отчет о состоянии дел на рынке недвижимости в Испании. Секретарь или работник информационного отдела входит в сеть Интернет и запускает поисковый механизм. Спустя несколько минут, поисковая машина выводит краткий отчет о результатах поиска. Это могут быть ссылки на Web-странички компаний по торговле недвижимостью, аналитические обзоры известных журналов, а также новости. Всю эту информацию «перекачать» на компьютер фирмы служащий вероятно не сможет из-за ее объема. Поэтому он сузит поиск до минимума, потом обработает ее и представит на рассмотрение менеджеру. Вся эта операция будет продолжаться от тридцати минут до одного часа, все же меньше нежели просмотр свежей прессы в библиотеке, которую еще к тому же надо иметь.

Система поддержки деятельности аппарата высшего менеджмента (СПДАВМ)

Данная система предназначена для поддержки работы управленцев высшего звена. Она систематизирует и представляет данные в высшей степени сжато и структурировано. Обычно они используются для создания отчетов в стандартных форматах, в которых могут встречаться графики.

СПДАВМ являются самыми молодыми из уже рассмотренных систем. И до сих пор они не получили большого распространения. Это происходит из-за того, что менеджеры высшего звена нечасто являются профессионалами в области компьютерной техники. Но ситуация меняется. Структура этой системы похожа на структуру системы поддержки принятия решений. Собственно именно она и стоит в ее центре, а рабочая станция менеджера является генератором запросов и приемником ответов. Фактор времени, то есть время, затраченное на обработку запроса, и точность выводимого результата являются основополагающими характеристиками данной системы.

Информационная система управления - совокупность информации, экономико-математических методов и моделей, технических, программных, других технологических средств и специалистов, предназначенная для обработки информации и принятия управленческих решений.

Информационная система управления должна решать текущие задачи стратегического и тактического планирования, бухгалтерского учета и оперативного управления фирмой. Многие учетные задачи (бухгалтерского и материального учета, налогового планирования, контроля и т: д.) решаются без дополнительных затрат путем вторичной обработки данных оперативного управления. Учет является необходимым дополнительным средством контроля. Используя оперативную информацию, полученную в ходе функционирования автоматизированной информационной системы, руководитель может спланировать и сбалансировать ресурсы фирмы (материальные, финансовые и кадровые), просчитать и оценить результаты управленческих решений, наладить оперативное управление себестоимостью продукции (товаров, услуг), ходом выполнения плана, использованием ресурсов и т.д.

Таким образом, информационные системы помогают справиться с большим потоком информации, которая постоянно поступает из внешней и внутренней среды, так, чтобы администрация могла принимать эффективные решения и успешно вести дела компании.

В работе менеджера в настоящее время все чаще и чаще можно встретить предметы, которые составляют понятие новая информационная технология. Под ней понимается совокупность внедряемых в системы организационного управления принципиально новых средств и методов обработки данных, представляющих собой целостные технологические системы и обеспечивающих целенаправленное создание, передачу, хранение и отображение информационного продукта (идей, знаний) с наименьшими затратами и в соответствии с закономерностями той социальной среды, где развивается эта технология. Переход на новые информационные технологии оправдан, если он является следствием фундаментального переосмысления и радикального перепланирования деятельности корпорации с целью резкого улучшения критических по отношению к затратам показателей - качества, обслуживания и скорости производственных процессов.

Современная информационная технология отличается тем, что в ней широко используются электронные способы наполнения, хранения и распространения информации посредством информационно-коммуникационных общественных сетей. В новой информационной технологии громадные объемы информации становятся мгновенно доступны всегда и везде в пределах планеты.

В настоящий момент использование информационной технологии относится к наиболее противоречивым внутрифирменным проблемам. Руководство предприятий часто отказывается их решать, так как не чувствует себя достаточно компетентным. Решения обычно возлагаются на руководителей информационных служб или специализированные внешние организации. Хозяйственные риски, связанные с информационными технологиями, постоянно растут, и неясно, до каких пор руководство предприятий будет недооценивать этот важный стратегический ресурс. Правда, в последнее время высший менеджмент стал внимательнее относиться к информационным технологиям. Именно от него должны исходить решающие инициативы по изменению ситуации в данной сфере. Итак, информационная технология - это совокупность методов, производственных процессов и программно-технических средств, объединенных в технологическую цепочку, обеспечивающую сбор, хранение, обработку, вывод и распространение информации для снижения трудоемкости процессов использования информационного ресурса, повышения их надежности и оперативности.

Для того чтобы реально управлять предприятием в современных условиях, необходимо:

ü  вести мониторинг производственного и обеспечивающих производство процессов;

ü  иметь быстрый доступ к архивам документов, проектной и технической документации, технологическим картам производственных процессов;

ü  получать информацию о загрузке рабочих мест, перемещении материалов по участкам производства, расходе рабочего времени;

ü  проводить непрерывную инвентаризацию, регистрировать изменение запасов материалов, готовой продукции, незавершенного производства и, наконец, детально классифицировать затраты.

Информационная технология справляется с существенным увеличением объемов перерабатываемой информации и ведет к сокращению сроков ее обработки. Информационная технология является наиболее важной составляющей процесса использования информационных ресурсов в управлении. Автоматизированные информационные системы являются для

информационной технологии основной средой, составляющими элементами которой являются средства и способы для преобразования данных. Информационная технология является процессом, состоящим из четко регламентированных правил выполнения операций над информацией, циркулирующей в информационной системе, и зависит от многих факторов, которые систематизируются по следующим классификационным признакам (Приложение. Таблица 2. Классификация информационных систем по различным признакам):

ü  степень централизации технологического процесса;

ü  степень охвата задач управления;

ü  класс реализуемых технологических операций;

ü  тип пользовательского интерфейса.

ü  областью функционирования предприятия или организации;

ü  типом предприятия или организации;

ü  производственно-хозяйственной или иной деятельностью;

ü  принятой моделью управления организацией или предприятием;

ü  новыми задачами в управлении;

ü  существующей информационной инфраструктурой и т.д.

На малых предприятиях различных сфер деятельности информационные технологии, как правило, связаны с решением задач бухгалтерского учета, накоплением информации по отдельным видам бизнес - процессов, созданием информационных баз данных по направленности деятельности фирмы и организации телекоммуникационной среды для связи пользователей между собой и с другими предприятиями и организациями. Персонал малых предприятий работает в среде локальных вычислительных сетей различной топологии с организацией автоматизированного банка данных для концентрации информационных ресурсов предприятия.

В средних организациях (предприятиях) большое значение для управленческого звена играют функционирование электронного документооборота и привязка его к конкретным бизнес - процессам. Для таких организаций (предприятий, фирм) характерны расширение круга решаемых функциональных задач, связанных с деятельностью фирмы, организация автоматизированных хранилищ и архивов информации, которые позволяют накапливать документы в различных форматах, предполагают наличие их структуризации, возможностей поиска, защиты информации от несанкционированного доступа и т.д. Производится наращивание возможностей различных форм организации хранения и использования данных: разграничение доступа, расширение средств поиска, иерархия хранения, классификации и т.д.

В крупных организациях (предприятиях) информационная технология строится на базе современного программно-аппаратного комплекса, включающего телекоммуникационные средства связи, многомашинные комплексы, развитую архитектуру «клиент-сервер», применение высокоскоростных корпоративных вычислительных сетей. Корпоративная

информационная технология крупного предприятия имеет, как правило, трехуровневую иерархическую структуру, организованную в соответствии со структурой территориально разобщенных подразделений предприятия: центральный сервер системы устанавливается в центральном офисе, локальные серверы - в подразделениях и филиалах, станции клиентов, организованные в локальные вычислительные сети структурного подразделения, филиала или отделения - у персонала компании.

В настоящее время информационные и коммуникационные технологии вышли на качественно новый уровень, позволяющий без значительных капитальных затрат решать сложные экономические и прочие задачи не только в государственном масштабе, но и на уровне предприятий, opгaнизаций, фирм.

Основная цель автоматизированной информационной технологии - получать посредством переработки первичных данных информацию нового качества, на основе которой вырабатываются оптимальные управленческие решения. Это достигается за счет интеграции информации, обеспечения ее актуальности и непротиворечивости, использования современных технических средств для внедрения и функционирования качественно новых форм информационной поддержки деятельности аппарата управления.

2. Анализ информационной системы конкретной организации

2.1 Организационно-экономическая характеристика компании

Общество с ограниченной ответственностью рекламно-производственное объединение «Red Cat» учреждено в соответствии с Гражданским Кодексом РФ, Федеральным Законом «Об обществах с ограниченной ответственностью» и действующим законодательством в целях удовлетворения потребностей населения, хозяйственных обществ, товариществ, организаций и предприятий в товарах, услугах, получения прибыли от эффективного использования собственных и привлеченных средств.

Рекламное агентство «Red Cat» действует на рынке рекламы г. Златоуста с октября 2003 г.

Форма собственности - Общество с ограниченной ответственностью, которое является самостоятельным юридическим лицом, и ответственность держателей интереса на право собственности по долгам и обязательствам общества ограничена суммой внесенного капитала. РА «Red Cat» действует на принципах самоокупаемости и самофинансирования, выполняя задачи, определенные учредительными документами.

Предметом деятельности РА «Red Cat» является:

подготовка и размещение рекламы, в том числе с использованием собственных рекламоносителей (размещение рекламы в прессе и средствах вещания, организация наружной рекламы, спортивной рекламы, рекламы на транспорте и т.д.), стимулирования сбыта и организация мероприятий в сфере связей с общественностью;

разработка и внедрение имиджа и фирменного стиля граждан, предприятий и организаций;

выполнение дизайнерских, художественно-оформительских, фотографических, архитектурно-проектных и научно-исследовательских работ;

изготовление рекламной продукции;

оказание информационных, маркетинговых, методических, сбытовых, посреднических и других услуг;

организация и проведение выставок, презентаций, конкурсов, фестивалей, семинаров, массовых представлений;

осуществление сбора и распределения коммерческой и экономической информации.

В настоящее время РА специализируется на производстве наружной рекламы и реализации комплектующих материалов для изготовления наружной рекламы.

Стратегической задачей деятельности рекламного агентства является управление имиджем каждого клиента. Грамотное планирование и анализ плюс исключительно качественная пошаговая реализация - вот основа создания репутации и, в конечном итоге, продвижения бизнеса.

Решение этих задач помогает достигнуть основных целей, поставленных перед агентством в период его образования.

Высшим должностным лицом предприятия является собрание учредителей. Оперативное руководство осуществляется назначаемым этим собранием директором.

Организационная структура приведена в приложении 1. Функции управления распределяются следующим образом.

Финансовый отдел: выполняет следующую функцию - ведение финансовых дел предприятия (в том числе бухгалтерская отчетность). Этот отдел подчиняется непосредственно генеральному директору и выполняет все его распоряжения.

Отдел по работе с клиентами: осуществляет деятельность по работе с клиентами, координирует всех участников рекламной кампании клиента и т.д.

Творческая группа: создание идеи, разработка макетов рекламы, фирменного дизайна, организация тиражирования, изготовления рекламы, а также установка рекламных щитов. Своевременно информирует начальника отдела по работе с клиентами о готовности эскизов или переносе срока просмотра эскиза с указанием причин. Работники этого отдела следят за наличием расходных материалов и своевременно информирует об их наличии начальника отдела по работе с клиентами.

Штат агентства включает 9 человека, кадровый состав РА «Red Cat» достаточно молодой, все сотрудники имеют высшее образование, либо находятся в процессе обучения, опыт и стаж работы в рекламном агентстве у сотрудников от 2-х лет и выше.

Управлением обществом непосредственно осуществляет Директор компании, в его компетенцию входит принятие окончательных решений по основной деятельности общества. А также внутрифирменное управление персоналом, заключающееся в принятие решений в форме приказов по увеличению штата компании, увольнению и премированию сотрудников, а также всевозможных взысканиях.

В значительной степени финансовое состояние рекламного агентства зависит от целесообразности и правильности вложения финансовых ресурсов в активы. В процессе функционирования предприятия, величина активов и их структура претерпевают постоянные изменения.

Проанализируем основные финансово - экономические показатели деятельности предприятия за последние 2 года.

Начинать анализ финансовых результатов предприятия необходимо с анализа реализации (таблица 1.1).

Таблица 1.1 - Динамика экономических показателей ООО «Rad Cat» за 2008-2009 гг.

Показатели

2008

2009


тыс. руб.

уд. вес, %

тыс. руб.

уд. вес, %






1. Выручка от продаж

2 679

100

1949

100

2. Себестоимость проданных товаров

1873

89

1 412

91,5

3. Коммерческие расходы

378

7

293

5,6

3. Прибыль от продаж

428

4

244

1,4


Как видно из таблицы в 2009 году прибыль предприятия резко упала. Падение связанно со сложной экономической обстановкой в стране и в городе. В 2009 году многие предприятия страны и города были на грани банкротства, снижая свои издержки за счет сокращения расходов на рекламу. В 2010 году положение предприятия заметно улучшилось, во многом благодаря масштабным предвыборным проектам.

Таблица 1.2. Показатели рентабельности за 2008-2009 гг.

Показатели

2008

Рентабельность общая, %

4,3

1,42

Рентабельность продаж, %

4,16

1,4

Рентабельность собственного капитала, %

152,6

71


Вышеприведенные данные свидетельствуют о том, что в период с 2008-2010 год рекламное агентство «Red Cat» показало свою рентабельность даже в сложных экономических ситуациях.

2.2 Оценка информационной системы, технических и программных ресурсов

В процессе своей деятельности организация осуществляет непрерывное и документальное наблюдение, измерение, отражение и обобщение в денежном измерителе фактов движения средств организации и источников их формирования в процессе ее финансово-хозяйственной деятельности.

Информационная система организации задействована при выполнении следующих задач:

- обеспечение своевременной, полной и объективной информации о результатах деятельности за определенный промежуток времени;

- обмене информацией между персональными компьютерами (ПК) сотрудников организации через локальную сеть;

обмене информацией между персональными компьютерами, расположенными не в данном помещении через удаленный доступ;

получении информации через электронную почту.

ведении документооборота и делопроизводства организации;

хранения данных деятельности организации в электронном виде.

За последнее десятилетие рост производительности компьютеров, объемов их оперативной и внешней памяти, пропускной способности внешних устройств и каналов связи качественно изменили ситуацию в вычислительной технике и сферах ее применения. Основным предметом труда этой эпохи становится информация, а новым орудием труда - компьютер. Средние параметры имеющихся в наличии ПК (в целом компьютеры мало различаются по производительности и являются, по сути, «офисным вариантом комплектования»):

процессор: ADM Athlon™ XP 2000+;

материнская плата: Asus NCCHDL (Dual Socket 604, i875P);

ОЗУ: DRR 256 Мб;40 Гб Maxtor 6E040L0;

видеокарта: ATI Radeon 9550 / X1050 Series 128 Мб;

дисковод: TEAC DW-552G DVD-R CD-RW;

контроллер гибких дисков: NEC 1,44 М, 3,5»;

монитор: Samsung 797DF.

Данная комплектация не является достаточной для хорошей, быстрой и эффективной работы. Существует значительный разрыв между возможностями аппаратных средств компьютеров и применяемыми методами решения прикладных задач. К примеру для обработки фотоочтетов требуется около 40 минут, т.к. оперативная память и скорость обработки данных этих моделей очень низки, а некоторые программные продукты просто невозможны для данной комплектации.

Отличие имеет только ПК в дизайнерском отделе

Процессор Pentium Dual Core E5500

Частота процессора     2.8 GHz

Объем оперативной памяти  2 Гб

Тип оперативной памяти      DDR2

Видеокарта         GeForce GT 220

Объем видеопамяти     1024 Мб

В сравнении с «офисной» техникой данный компьютер гораздо современнее, но и его мощностей иногда не хватает для хорошей работы. Работа дизайнера в рекламном агентстве предполагает работу с изображениями очень большого формата и высокого качества, что требует большой производительности, которою эта модель не всегда способна дать.

Оргтехника:

принтер (2 шт.): EPSON STYLUS C65 Series (A4, 8MB, USB 2.0, лоток на 120 листов);

копировальная техника: Epson Stylus TX117 (цифровой копир / принтер / сканер);

Выход на принтер и копир возможен с каждого компьютера локальной сети.

Структурно ИС включает в себя 7 персональных компьютеров (Рис. 1.)

Все компьютеры объединены в локальную сеть с возможностью обмена информацией. ПК в сети объединены в последовательную цепочку. Сигнал от любого компьютера передаётся в обоих направлениях.

Недостатком данного соединения является то, что при повреждениях кабеля сеть распадается на автономные части.

Система питания компьютеров осуществляется через сетевые фильтры.

Программное обеспечение ИС включает в себя:

операционную систему Windows XP

пакет программ MS Office

программы защиты от вирусов Лаборатория Касперского.

Финансовая подсистема включает в себя программный модуль «1С Бухгалтерия», «1С Зарплата и кадры» версии 8.0. Это программное обеспечение позволяет объединить первичные данные, поступающие из разных отделов, в готовые, отвечающие современным требованиям, документы (товарные накладные, счета-фактуры, приходно-кассовые ордеры, акты выполненных работ), кодирует и архивирует документы для удобного и быстрого поиска, позволяет оперативно вносить изменения в исходные данные, выводить на печать выходные документы в любом количестве.

ООО «Red Cat» сотрудничает с фирмой «Компьютер-сервис», представляющей компанию, производящую продукты серии 1С в г. Златоусте. Компания «Компьютер-сервис» предоставляет обновления, информационные дополнения, дополнительное программное обеспечение для эффективной работы программ серии 1С. Это позволяет более эффективно строить работу отдела, оперативно исправлять неполадки, происходящие в программе.

Информационное обеспечение осуществляется при помощи сети Интернет, в частности для информационного обеспечения финансового отдела используется интернет версия журнала «Главбух» и правовая система «Консультант плюс». Это позволяет бухгалтерии отслеживать новые изменения в законодательстве, новые методы работы и получать интернет-консультации у специалистов, в случае необходимости. Обновляемые через сеть интернет программы значительно облегчают работу как финансово отдела и бухгалтерии, так и всего предприятия в целом. Постоянное обновление законодательства позволяет следить за новыми законами, связанными с рекламной деятельностью, выходящими чуть ли не каждую неделю.

В современном мире работа менеджера уже не представляется без использования компьютера, а именно программных продуктов, позволяющих получать, обрабатывать, создавать информацию. Эффективность работы в этой области зависит от двух факторов - качества программных ресурсов и уровня квалификации работника. В организации может быть установлено самое современное программное обеспечение, но если на нем работают люди, не умеющие его использовать, то эффективность работы не только не повысится, но и станет гораздо ниже. Низкий уровень компьютерной грамотности в РА «Red Cat» не позволяет использовать в работе некоторые более современные программные продукты, облегчившие бы работу компании. Для работы в сети интернет используются программные средства: для получения электронной почты и просмотра сайтов программа Internet Explorer; для обмена короткими сообщениями программы ISQ и QIP версии 2005 года. Программы являются устаревшими, одними из немногих, совместимых с операционной системой.

3. Формирование внутрифирменной информационной сети

3.1 Описание коммуникаций и информационных потоков организации

В результате применения информационных систем и информационных технологий автоматизируются системы получения, систематизации информации, обеспечивается чистота информационных каналов, исключается дублирование, достигается адресность поступления информации.

Вся информация делится на внешнюю и внутреннюю.

Внешняя информация состоит из информации о клиентах; об экономической ситуации в стране, городе; открытии новых предприятий, организаций; появлении инноваций в сфере рекламы; различных материалов центральных и местных органов управления, документов, поступающих от других организаций и т.п.

Внутренняя информация состоит из баз данных по клиентам, внутренней документации, распоряжений руководства, рабочей информации.

Внутриорганизационные коммуникации должны обладать рядом характеристик: быть ясными и точными; прозрачными, а сообщаемые сведения - основанными на достоверных фактах; должны взывать к лучшим интересам людей и помогать бороться с атмосферой недоверия в коллективе.

Коммуникация считается успешной, если получатель информации понимает ее содержание адекватно тому смыслу, который в нее вложил отправитель.

Однако нередко внутриорганизационными коммуникациями пренебрегают. Это происходит по нескольким причинам, среди которых - нехватка времени у руководителей (важные проекты, давящие сроки, встречи и т.д.), общая перегруженность деловой информацией, а также многолетняя, если не многовековая, традиция однонаправленных связей сверху вниз.

Коммуникации с клиентами происходят, в основном, через менеджеров по работе с клиентами. Они происходят в форме диалога «живого» или же по средствам электронной почты и программ быстрого обмена сообщениями. Златоуст - сравнительно крупный город, и очень часто через РА «Red Cat» проходят региональные акции, заказчиками которых являются фирмы, находящиеся за пределами города и области.

Работа происходит по договорной форме. Опишем процесс заключения договора. Менеджер со своей стороны составляет договор, по форме, утвержденной законодательством, затем отправляет клиенту для ознакомления. Клиент принимает договор, или же вносит свои изменения. После согласования условий договор подписывается обеими сторонами. В случае, если стороны договора находятся в разных населенных пунктах менеджер(исполнитель) отправляет по почте 2 подписанных со своей стороны экземпляра договора заказчику. Заказчик, получив договор подписывает его со своей стороны и отправляет подписанный уже обеими сторонами договор обратно заказчиками.

3.2 Рекомендации по формированию внутрифирменной управленческой информационной системы

В средних предприятиях большое значение для управленческого звена играют функционирование электронного документооборота и привязка его к конкретным бизнес - процессам. Для таких организаций характерны расширение круга решаемых функциональных задач, связанных с деятельностью фирмы, организации автоматизированных хранилищ и архивов информации, которые позволяют накапливать документы в различных форматах, предполагают наличие их структуризации возможностей поиска. Производится наращивание возможностей различных форм организации хранения и использования данных: разграничение доступа, расширение средств поиска, иерархия хранения, классификации и т.п.

Для улучшения деятельности предприятия необходимо полное обновление технической базы предприятия. Компьютеры на предприятии давно устарели, их мощностей не хватает для нормальной работы на предприятии. Качество работы на предприятии напрямую зависит от работы технической базы. Устаревшее программное обеспечение у дизайнера создает массу дополнительных проблем, а маленькая скорость обработки данных замедляет процессы в организации, что порой приводит к потере выгодных контрактов (когда необходимо в определенное время выслать смету для тендера).

Первый шаг к созданию эффективной информационной системы - повышение грамотности персонала. От любой, даже самой современной автоматизированной системы не будет толку, если персонал фирмы не умеет с ней работать.

Сфера коммуникаций в рекламном агентстве давно вышла за пределы города и даже области. Для эффективной работы в этом направлении необходимо заявить о себе в более широких кругах, сделать так, чтобы о предприятии узнало как можно больше людей не только в области, но и по стране. Для достижения этой цели можно использовать сайт компании - www.ar-redcat.narod.ru. Его разработка велась ещё в первые годы создания фирмы и внешний вид оставляет желать лучшего. При грамотной разработке и продвижении сайта компании количество клиентов увеличится в разы, т.к. в современном мире сайт - это лицо компании, тем более рекламного агентства, по нему можно судить и о качестве предоставляемых услуг. В рамках сайта также необходимо разработать структурированную базу данных в по внешней рекламе. В неё должен входить перечень всех билбордов, фасадных щитов, рекламных растяжек компании с указанием адреса рекламного места, фотографии, особых указаний (наличие детских учреждений в близи объекта, количество сторон и т.п.). Такая база существует у крупных компаний, специализирующихся на наружной рекламе (Карус, Армада). Это значительно облегчило бы процесс представления услуги для клиентов, и позволило бы привлечь новых клиентов.

Базу такого типа необходимо создать и внутри самого предприятия, с указанием занятых, забронированных и свободных мест для более удобной и быстрой работы менеджеров. Внутренняя отчетность в компании ведется по средствам постепенного заполнения таблиц MS excel и последующего вывода диаграмм. Этот способ не является эффективным и полным для отображения продаж предприятия, а прогнозирование не ведется вовсе. Сейчас разработано множество программных средств для обеспечения обработки, систематизирования информации, прогнозирования продаж. Например линейка решений Галактика Business Intelligence (Галактика BI) - комплекс приложений, позволяющих максимально полно использовать имеющиеся на предприятии системы управления с целью достижения качественных изменений в повышении эффективности бизнес-процессов (бизнес-анализ) в различных сферах деятельности компании. Галактика BI относится к классу систем поддержки принятия решений (DSS) и предназначена прежде всего для руководителей направлений, аналитических служб. Она позволяет управлять продажами: анализировать тенденции спроса на продукцию, управлять взаимоотношениями с клиентами, контролировать и анализировать эффективности работы подразделений, прогнозировать спрос. Так же программа позволяет управлять ассортиментом и товарооборотом компании, управлять задолженностью компании, производить интерактивный анализ и т.д. Использование этого программного обеспечения позволило бы значительно улучшить работу компании.

Заключение

Использование новейших информационных технологий имеет большое значение в развитии и функционировании предприятий, фирм и т.д. Информационные технологии являются неотъемлемой частью работы коллектива организации.

Что касается конкретной организации, рассмотренной в данной работе, использование информационных технологий управления позволяет:

повысить скорость обработки информации;

упростить работу сотрудников с помощью использования программного обеспечения 1С: «Предприятие», Консультант плюс;

работать с клиентами по всей территории России;

В конечном итоге, использование информационных технологий управления ведет к повышению качества и производительности труда, снижению издержек производства и, как следствие, к снижению себестоимости и увеличению прибыли. Для этого необходимо совершенствовать информационную систему предприятия: обучать сотрудников, внедрять новые автоматизированные системы контроля, разрабатывать более приспособленные к современным условиям методы продвижения предприятия.

Список использованной литературы

1.  Менеджмент: Учебник / под ред. В.В. Томилова - М.: Дека, 2006

2.      Бронникова Т.С., Чернявский А.Г. Маркетинг: учебник / Т.С. Бронникова, А.Г. Чернявский. - М.: Издательство ПРИОР, 2005

.        Тагаданов Д.Н. Информация как основной фактор формирования конкурентной стратегии / Менеджмент. - 2005

.        Основы менеджмента: Учебное пособие / Под ред. проф. И.Ю. Соядатовой, проф. М.А. Чернышева. - М.: Издательско-торговая корпорация «Дашков и Ко»; Ростов н/Д: Наука-Пресс, 2007 г.

.        Суетенкова Е.Н., Пасько Н.И. Основы менеджмента. - М.:Форум-Инфрам, 20005.

.        Васильев Г.А. Основы маркетинга: учебник / Г.А. Васильев. - М.: ЮНИТИ, 2005.

.        Васильев Г.А., Поляков В.А. Основы рекламной деятельности: учебник / Г.А. Васильев, В.А. Поляков. - М.: ЮНИТИ, 2004

.        Информационные системы в экономике: В 2-х ч. Ч. 1. Методология создания: Учеб. пособие. - М.: Финансы и статистика, 2006.

.        Коротков Э.М. Исследование систем управления: Учебник. - М.: Дека, 2006

.        Степанова Е.Е. Хмелевская Н.В. «Информационное обеспечение управленческой деятельности: Учебное пособие». - М.: Инфра-М, 2007

.        Информационные технологии управления: Учеб. пособие

для вузов /Под ред. проф. Г.А. Титоренко. - 2-е изд., доп. - М.: ЮНИТИ-ДАНА, 2008

Официальные документы

12. Конституция Российской Федерации, 12.12.1993 г.

Похожие работы на - Формирование внутрифирменной информационной сети

 

Не нашли материал для своей работы?
Поможем написать уникальную работу
Без плагиата!
Без нейросетей!