Теория систем

  • Вид работы:
    Курсовая работа (т)
  • Предмет:
    Информационное обеспечение, программирование
  • Язык:
    Русский
    ,
    Формат файла:
    MS Word
    736,94 Кб
  • Опубликовано:
    2013-08-06
Вы можете узнать стоимость помощи в написании студенческой работы.
Помощь в написании работы, которую точно примут!

Теория систем

Министерство образования и науки Российской Федерации

Федеральное государственное бюджетное образовательное учреждение высшего профессионального образования

«Уфимский государственный нефтяной технический университет»

Кафедра автоматизации технологических процессов и производств







Курсовой проект

«Теория систем»

Вариант 12


Выполнил: ст.гр. БАТ-11-01                                               З.А.Нусратуллина

Проверил: ассистент                                                   О.И.Гаевская






Уфа 2012

. СОДЕРЖАНИЕ

1. Содержание

. Задание

2.1 Выделение подсистем на основе некоторой меры

.2 Выбор типов шкал

.3 Определение порядка проведения работ

.4 Построение моделей систем

.5 Анализ иерархий

. Заключение

. Список литературы

. Приложения

. ЗАДАНИЯ

.1 Выделение подсистем на основе некоторой меры

Исходной информацией для выполнения данной части является структура системы в виде взвешенного ориентированного графа (таблица 1).

Таблица 1 -Дуги графа

Дуги графа


1

2

3

4

5

6

7

8

9

10

11

Исх. Вх. Вес

1 2 0,4

1 3 0,2

2 4 0,8

3 6 0,9

4 1 0,5

5 2 0,1

5 7 0,6

6 3 0,9

6 7 0,5

7 5 0,8

7 3 0,4


В таблице 1 обозначено: «Исх.» - начало дуги графа, «Вх.» - конец.

Для заданной системы требуется:

построить граф системы;

определить матрицы смежности, инцидентности и контуров;

определить все элементарные пути из узла х в узел у;

определить передаточную функцию системы по пути от х=5 к у=7 по формуле Мезона;

найти определитель системы;

выделить 2 - 3 несвязных контура как подсистемы и определить их связность;

рассчитать изменение энтропии системы и вероятности нахождения в каждом из узлов.

Решение

С помощью исходных данных построим граф системы (рисунок 1). Граф - это геометрическая фигура, построенная на множестве вершин и ребер. Определим веса всех возможных путей от входа к выходу системы, где дуги не повторяются:

P1=|V5-V7|=r57=0,6;

P2=|V5-V2-V4-V1-V3-V6-V7|=

=r52*r24*r41*r13*r36*r67=0,1*0,8*0,5*0,2*0,9*0,5=0,0036.

Рисунок 1 - Граф системы

Переделаем рисунок графа системы в более удобный и понятный вариант (рисунок 2):

Рисунок 2 - Грай системы

Дальше построим матрицу смежности, используя граф рисунка (таблица 2):

Таблица 2 - Матрица смежностей


V1

V2

V3

V4

V5

V6

V7

V1

0

0

0

1

0

0

0

V2

1

0

0

0

1

0

0

V3

1

0

0

0

0

1

1

V4

0

1

0

0

0

0

0

V5

0

0

0

0

0

0

1

V6

0

0

1

0

0

0

0

V7

0

0

0

0

1

1

0


Так же построим матрицу инцидентности (таблица 3):

Таблица 3 - матрица инцидентности


r12

r13

r24

r36

r41

r52

r57

r63

r67

r73

r75

V1

1

1



-1







V2

-1


1



-1






V3


-1


1




-1


-1


V4



-1


1







V5






1

1




-1

V6




-1




1

1



V7







-1


-1

1

1


Выделим все элементарные контура графа системы и определим их веса:

1=|V5-V2-V4-V1-V3-V6-V7-V5|=r52*r24*r41*r13*r36*r67*r75=0,1*0,8*0,5*0,2*

*0,9*0,5*0,8=0,00288;

K2=|V7-V5-V7|=r75*r57=0,8*0,6=0,48;

K3=|V2-V4-V1-V2|=r24*r41*r12=0,8*0,5*0,4=0,16;

K4=|V7-V3-V6-V7|=r73*r36*r67=0,4*0,9*0,5=0,18;

K5=|V3-V6-V3|=r36*r63=0,9*0,9=0,81.

Составим матрицу контуров (таблица 4):

Таблица 4 - Матрица контуров

r12r13r24r36r41r52r57r63r67r73r75












К1

0

1

1

1

1

1

0

0

1

0

1

К2

0

0

0

0

0

0

1

0

0

0

1

К3

1

0

1

0

1

0

0

0

0

0

0

К4

0

0

0

1

0

0

0

0

1

1

0

К5

0

0

0

1

0

0

0

1

0

0

0


По формуле Мезона определим эквивалентный оператор, описывающий связь от i-го узла к j-му узлу с учетом всех связей графа:

экв=i*i)/,

где i - вес i-го пути от входа к выходу;

i - минор i-го пути;

 - определитель графа.

Определитель графа вычисляется по формуле:

=1-i+n*m-p*r*l,

где i - сумма всех контуров;

n*m сумма произведений пар не касающихся контуров;

p*r*l - сумма произведений троек не касающихся контуров.

i вычисляется по той же формуле, что и определитель в котором удалены вершины i-ой пути.

=1-(0,00288+0,48+0,16+0,18+0,81)+( 0,48*0,16+0,16*0,18+0,81*0,16+

+0,48*0,81)-( 0,48*0,16*0,81)=-0,730064.

После удаления вершин 1-го пути граф будет иметь вид (рисунок 3):

Рисунок 3 - Граф без вершин 1-го пути

1=1-( K3+ K5)+( K3*K5)=1-(0,16+0,81)+ (0,16*0,81)=0,1596.

После удаления вершин 2-го пути контуров не остается, следовательно минор 2-го равен единице.

экв=(0,6*0,1596+0,0036*1)/-0,730064=-0,1360977.

Расчет энтропии системы.

H(s)=H0(s)-Hуст(s),(s)= - ∑(Pi*log2Pi),

где Pi - вероятность нахождения системы в том или ином состоянии.

∑Pi =1.

Для расчета изменения энтропии системы через вероятностные состояния используем метод Колмогорова.

Построим структурную схему состояний подсистемы S (рисунок 4).

Рисунок 4- Структурная схема состояний

Для начального состояния:

Р7654321=1/7;0(s)=-1* log2(1/7)= 2,807.

Формула Колмогорова для скорости изменения вероятности нахождения системы в том или ином состоянии:

i /dt=Σλj*Pj - Σλi*Pi,

где λ - интенсивность перехода их одного состояния в другое (равна массе соответствующих дуг).

Для каждого состояния системы запишем формулу Колмогорова:

1 /dt=λ41*P4 - (λ1312)*P1;

dP2 /dt= λ12*P152*P5 - λ24*P2;

dP3/dt= λ63*P613*P173*P7- λ36*P3;

dP4 /dt=λ24*P2 41*P4;

dP5 /dt=λ75*P7 - (λ5257)*P5;

dP6 /dt=λ36*P3 - (λ6367)*P6;

dP7 /dt= λ57*P5+ λ67*P6 - (λ7375)*P7.

Так как мы считаем установившийся режим, то можно принять, что скорости изменения вероятностей равны нулю. Учитывая то, что сумма всех вероятностей равно единице составим систему:

 

Решим данную систему в scilab-5.4.0 3 способами, для этого будем вводить матрицу коэффициентов системы в массив A, а вектор правой части системы в массив b.

способ: при помощи символа \ :


способ: методом обратной матрицы:


способ - метод Гаусса:


Отсюда получаем:

Р1=0.0884956,

Р2=0.0663717,

Р3=0.2477876,

Р4=0.1061947,

Р5=0.1769912,

Р6=0.1592920,

Р7=0.1548673.уст(s)= - ∑(Pi*log2Pi)= -(0.0884956*log20.0884956+0.0663717*

*log20.0663717+0.2477876*log20.2477876+0.1061947*log20.1061947+

+0.1769912*log20.1769912+0.1592920*log20.1592920+0.1548673*

*log20.1548673=2.69268.

H(s)=2,807-2.69268=0.11432>0.

Суммарная энтропия элементов установившегося состояния равна 2.69268, соответственно, изменение энтропии составило 0.11432, и так как энтропия системы больше нуля, то система стремится к порядку.

2.2 Выбор типов шкал

Обосновать выбор типов шкал для каждого из случаев (таблица 5).

Таблица 5

Объект

1

Качество жизни

2

Фамилии

3

Напряжение

4

Напряжения ЛЭП


Решение

Качество жизни измеряется по шкале рангового порядка, так как выполняется следующие аксиомы:

тождественная (например, качество жизни в стране А равна качеству жизни в стране В);

ранговая   (например, качество жизни в семье Петровых выше качества жизни в семье Ивановых).

Фамилии измеряются по шкале наименований , так как для него выполняется только аксиома тождественности (например, у Коли и Пети одинаковые фамилии - Петрушкин).

Напряжение измеряется по шкале интервалов, так как для него выполняются следующие аксиомы:

тождественная (например, напряжение в параллельных участках цепи равны);

ранговая (например, напряжение розетки больше напряжения батареи);

аддитивная (например, положительное напряжение в цепи поменяется на отрицательное, если поменять полюса)

Напряжения ЛЭП измеряется по шкале отношений, так как выполняется следующие аксиомы:

тождественная (например, напряжения ЛЭП станции 1 равна напряжениям ЛЭП станции 2);

ранговая (например, напряжения ЛЭП в России выше, чем напряжения ЛЭП в Украине).

2.3 Определение порядка проведения работ

Методом логического ранжирования обосновать порядок проведения работ.

Причинно-следственные связи между работами представлены в виде графа (таблицы 6). Каждой работе соответствует определенная длительность (таблица 7). Результатом выполнения работ является работа 0.

Выбранный порядок проведения работ должен быть оптимален в смысле минимальности затрат времени.

Таблица 6

Дуги графа

Исх.

1

2

2

3

3

4

5

5

6

6

6

7

8

8

8

9

10

10

11

Вх.

3

1

3

0

4

0

0

3

3

5

8

9

4

5

7

11

2

7

11

9


Таблица 7

Работы

1

2

3

4

5

6

7

8

9

10

11

1

0,8

0,4

0,5

0,1

1

1

0,9

0,8

0,6

0,7


Решение

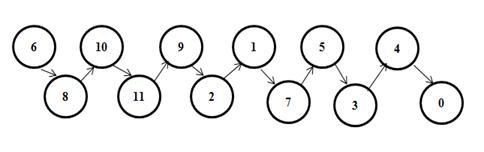
Для начала нарисуем граф системы (рисунок 5).

Рисунок - 5 Граф системы

Построим таблицу, где будет отображено зависимость одной работы от другой, а в последнем столбце сумма общее количество работ зависящих от i-ой работы (таблица 8).

Таблица 8


Р0

Р1

Р2

Р3

Р4

Р5

Р6

Р7

Р8

Р9

Р10

Р11

Р0

1

0

0

0

0

0

0

0

0

0

0

0

1

Р1

1

1

0

1

1

0

0

0

0

0

0

0

4

Р2

1

1

1

1

1

0

0

0

0

0

0

0

5

Р3

1

0

0

1

1

0

0

0

0

0

0

0

3

Р4

1

0

0

0

1

0

0

0

0

0

0

0

2

Р5

1

0

0

1

1

1

0

0

0

0

0

0

4

Р6

1

1

1

1

1

1

1

1

1

1

0

1

11

Р7

1

0

0

0

1

0

0

1

0

0

0

0

3

Р8

1

1

1

1

1

1

0

1

1

1

0

1

10

Р9

1

1

1

1

1

0

0

0

0

1

0

0

6

Р10

1

1

1

1

1

0

0

1

0

1

1

1

9

Р11

1

1

1

1

1

0

0

0

0

1

0

1

7


По данным таблицы 8 сделаем последовательность работ построенного по принципу убывания зависимых работ (рисунок 6).

Рисунок 6 - Последовательность работ (по зависимости).

Так как полученный результат не дает точных данных по последовательности работ , постоим еще одну таблицу где будет отображено зависимость одной работы от другой и длительность данной работы, а в последнем столбце общее время необходимая от начала i-ой работы до завершения 0 работы.

Таблица 9

  Р0                  Р1            Р2            Р3            Р4            Р5            Р6            Р7            Р8            Р9            Р10           Р11          


 

Р0

0

0

0

0

0

0

0

0

0

0

0

0

0

Р1

0

1

0

0,4

0,5

0

0

0

0

0

0

0

1,9

Р2

0

1

0,8

0,4

0,5

0

0

0

0

0

0

0

2,7

Р3

0

0

0

0,4

0,5

0

0

0

0

0

0

0

0,9

Р4

0

0

0

0

0,5

0

0

0

0

0

0

0

0,5

Р5

0

0

0

0,4

0,5

0,1

0

0

0

0

0

0

1

Р6

0

1

0,8

0,4

0,5

0,1

1

1

0,9

0,8

0

0,7

7,2

Р7

0

0

0

0

0

0

1

0

0

0

0

1,5

Р8

0

1

0,8

0,4

0,5

0,1

0

1

0,9

0,8

0

0,7

6,2

Р9

0

1

0,8

0,4

0,5

0

0

0

0

0,8

0

0

3,5

Р10

0

1

0,8

0,4

0,5

0

0

1

0

0,8

0,6

0,7

5,8

Р11

0

1

0,8

0,4

0,5

0

0

0

0

0,8

0

0,7

4,2


Опираясь на данные полученной таблицы, построим последовательность работ по убыванию времени (рисунок 7).

Рисунок 7 - Последовательность работ (по времени).

Таким образом, можно сделать вывод, что все работы будут выполнены за 7,2 дня.

.4 Построение моделей систем

Разработать модель системы, выполняющую заданную операцию (таблица 10).

Построить функциональную, информационную и динамическую модели системы, соответствующие методологии IDEF (IDEF0, IDEF1X).

Динамическая модель представляется в виде сети Петри, для которой определяются все возможные маркировки (состояния), граф достижимости, свойства ограниченности, обратимости, а также наличие пассивных переходов (бесполезных работ).

Таблица 10

Операция

Сдать экзамен по предмету


Решение

Функциональная модель системы IDEF0 (см. Приложение 1). Информационная модель системы IDEF1X (см. Приложение 2).

Динамическая модель системы в виде сети Петри (см. Приложение 3).

2.5 Анализ иерархий

Методом анализа иерархий обосновать выбор действия (таблица).

шкала энтропия система модель

Таблица

Действие

Покупка мягкой мебели


Решение

) Цель: купить мебель.

) Определение приоритетов (критериев):

К1 - вид

К2 - цвет

К3 - стоимость

К4 - срок службы (прочность).

Составим матрицу приоритетов:


К1

К2

К3

К4

К1

1

1/3

5

1/3

К2

3

1

5

3

К3

1/5

1/5

1

1/8

К4

3

1/3

8

1


Синтез приоритетов:

Глобальный приоритет

 

Относительный приоритет


α1=(1 *1/3*5*1/3)0,25=0,86334,

α2=2,59,

α3=0,2659,

α4=1,6818.

S=5,4,

α1=0,1599,

α2=0,4796,

α3=0,0492,

α4=0,3114.

3) Определение альтернатив (варианты):

А1 - угловая (без кресла), коричневая, 15000р, 10 лет;

А2 - угловая ( с одним креслом), белая, 20000р, 8 лет;

А3 - обычная (с одним креслом), черная, 14000р, 12 лет;

А4 - обычная ( с двумя креслами), серая, 18000р, 14 лет.

Составим матрицу альтернатив:


a)      Оценка по виду К1:


A1

A2

A3

A4

A1

1

1/9

5

1/5

A2

9

1

9

1

A3

1/5

1/9

1

1/9

A4

5

1

9

1


β1=0,5774,

β2=3,

β3=0,2229,

β4=2,59,

S=6,39,

β1=0,09,

β2=0,4695,

β3=0,1084,

β4=0,4053.

b)      Оценка по цвету К2:


A1

A2

A3

A4

A1

1

6

1/5

2

A2

1/6

1

1/5

5

A3

5

5

1

9

A4

1/2

1/5

1/9

1


β1=0,88 ,

β2=0,6389,

β3=3,873 ,

β4=0,3247,

S=5,7166,

β1=0,1539,

β2=0,1118,

β3=0,6775,

β4=0,0568.

с) Оценка по стоимости К3:


A1

A2

A3

A4

A1

1

5

1/2

3

A2

1/5

1

1/9

1/8

A3

2

9

1

4

A4

1/3

8

1/4

1


β1=1,6549,

β2=0,2296,

β3=2,913 ,

β4=0,9036,

S=5,7,

β1=0,29 ,

β2=0,04,

β3=0,5111,

β4=0,1585.

d) Оценка по сроку службы К4:

A1A2A3A4





A1

1

5

1/5

1/7

A2

1/5

1

1/8

1/9

A3

5

8

1

1/5

A4

7

9

5

1


β1=0,6148,

β2=0,2296 ,

β3=1,6818,

β4=4,2129 ,

S=6,739,

β1=0,09,

β2=0,34,

β3=0,2496,

β4=0,625.

Посчитаем главный приоритет (max) в MathCad: :


Оценка по максимальному числу 0,445 = A3.

Конечный результат: выбираем третью альтернативу (А3 обычная (с одним креслом), черная, 14000р, 12 лет).

ЗАКЛЮЧЕНИЕ

При выполнении данного курсового проекта была произведенная комплексная проработка системотехнических аспектов разработки сложных систем. Цель была достигнута посредством выполнения заданий для пяти различных разделов, из которых состоит курсовой проект.

В разделе I было произведено выделение подсистем на основе некоторой меры, построение графа системы, определение элементарных путей, матриц смежности, инцидентности и контуров, определение передаточной функции системы, и, как итог, был произведен расчет изменения энтропии системы, и было установлено, что изменение энтропии привело к возрастанию степени организации элементов в системе.

В разделе II изучены типы шкал, а также определены и обоснованы выбор шкал для каждого из случаев, определенных вариантом №12.

В разделе III определен порядок проведения работ с помощью метода логического ранжирования.

В разделе IV разработана модель системы, выполняющей заданную вариантом №12 операцию, а также построены функциональная, информационная и динамическая модели системы соответствующие методологии IDEF (IDEF0, IDEF1X), а динамическая модель была представлена в виде сети Петри.

В разделе V был изучен метод анализа иерархий и обоснован выбор альтернативы для выполнения действия, определенного вариантом №2.

Также, в ходе выполнения курсового проекта, были изучены и освоены такие программные продукты как MathCad 2001 Professional, scilab-5.4.0, Design/IDEF 3.7, PetriNetwork 2.0.

СПИСОК ЛИТЕРАТУРЫ

1.        Кирюшин О.В. Учебно-методическое пособие к выполнению курсового проекта по курсу «Теория систем» - Уфа: УГНТУ, 2006. - 16с.

2.      Кирюшин О.В. Построение системного проекта с использованием IDEF-технологии: учеб. пособ. -Уфа: УГНТУ, 2000. -32с.

.        Кирюшин О.В. Методические указания к лабораторной работе «Построение системного проекта с использованием IDEF-технологии» - Уфа: УГНТУ, 2000. - 24с.

.        Веревкин А.П., Кирюшин О.В. Теория систем: Учеб. пособие. - Уфа: УГНТУ, 2003. -100 с.

Приложение 1 - Функциональная модель системы IDEF0






Приложение 2 - Информационная модель системы IDEF1X


Приложение 3 - Динамическая модель системы в виде сети Петри

Схема принятия решений при получении образования в университете:

Смысл позиций: 1- терпение, 2 - допуск к КР, 3 -присутствие, 4 - решенные задачи, 5 - минимум баллов, 6 - допуск, 7 - оценка, 8 - оценка в зачетке, 9 знания по предмету, 10 - деньги, 11 - подготовка.

Смысл переходов: 1 - ходить на занятия, 2 - прийти на КР, 3 - решить, 4 -набрать минимум баллов, 5 - набрать баллы для допуска, 6 - написать экзамен, 7 - поставить оценку в зачетку, 8 - подготовка к другим предметам.

Граф достижимости:


Все возможные маркировки (состояния):

Похожие работы на - Теория систем

 

Не нашли материал для своей работы?
Поможем написать уникальную работу
Без плагиата!
Без нейросетей!