Разработка программ для выполнения действий с функциями

  • Вид работы:
    Контрольная работа
  • Предмет:
    Информационное обеспечение, программирование
  • Язык:
    Русский
    ,
    Формат файла:
    MS Word
    75,76 Кб
  • Опубликовано:
    2013-10-16
Вы можете узнать стоимость помощи в написании студенческой работы.
Помощь в написании работы, которую точно примут!

Разработка программ для выполнения действий с функциями

ФЕДЕРАЛЬНОЕ ГОСУДАРСТВЕННОЕ БЮДЖЕТНОЕ ОБРАЗОВАТЕЛЬНОЕ УЧРЕЖДЕНИЕ

ВЫСШЕГО ПРОФЕССИОНАЛЬНОГО ОБРАЗОВАНИЯ

«ОМСКИЙ ГОСУДАРСТВЕННЫЙ АГРАРНЫЙ УНИВЕРСИТЕТ им. П.А. СТОЛЫПИНА»

(ФГБОУ ВПО ОмГАУ им. П.А. Столыпина)

Кафедра информатики





КОНТРОЛЬНАЯ РАБОТА

по ИНФОРМАТИКЕ

Студента заочной формы обучения

Ф.И.О., полностью Булатов Владислав Витальевич










Омск 2013

Задача №1

Разработать алгоритм, представить его в виде блок-схемы и создать процедуру-функцию для вычисления функции при х = 0,652.


Блок-схема


1. Запустить программу MS Excel.

. Загрузить редактор VB (Сервис - Макрос - Редактор Visual Basic).

. Создать модуль командой Insert - Module.

. Создать процедуру командой Insert - Procudure, имеющую тип Function, область видимости Public.

ПрограммаFunction f(x)= 9.51 * (Sin(x + 1.2)) ^ 3 + Log(1.5 * x) / Log(10)Function

. Ввести на рабочий лист исходные данные.

. Вызвать созданную функцию командой Вставка - Функция - категория Определенные пользователем.

Результат расчета:


Задача №2

Разработать алгоритм, представить его в виде блок-схемы и написать программу для табулирования функции на участке xÎ[x0;xk] с шагом Dx при исходных данных по варианту 24. Ввод и вывод данных предусмотреть с рабочего листа MS Excel.

При: а = 20,1; b = 100; x0 = 0; xk = 8,0; dx = 1,0


Блок-схема


. Запустить программу MS Excel.

. Ввести на рабочий лист исходные данные.


. Загрузить редактор VB.

. Вставить модуль командой Insert - Module .

. Создать процедуру с программным кодом командой Insert - Procedure, имеющую тип Sub, область видимости Public.

ПрограммаSub Задача2()a As Single, b As Single, x0 As Single, xk As Single, dx As Singlex As Single, y As Single= Cells(3, 1).Value= Cells(3, 2).Value= Cells(3, 3).Value= Cells(3, 4).Value= Cells(3, 5).Value= x0= 5= 3.14

If x > 2 Then y = (Log(1.5 * x - 3) / Log(10)) / ((Cos(Pi * b * x / a)) ^ 2): Cells(i + 1, 2).Value = y Else Cells(i + 1, 2).Value = "Решения нет!"(i + 1, 1).Value = x= i + 1= x + dxx <= xk Then GoTo 2Sub

Результат расчета:

x

0,00

Решения нет!

1,00

Решения нет!

2,00

Решения нет!

3,00

0,1884

4,00

0,5385

5,00

0,7909

6,00

1,0291

7,00

1,2891

8,00

1,6005


Задача №3

Вычислить сумму всех тех членов ряда, которые по величине больше заданного числа e и определить число членов ряда, соответствующих этому условию. Способ выполнения - процедура-подпрограмма. Предусмотреть ввод данных через диалоговое окно, вывод результатов на рабочий лист MS Excel.

 e=0.15

Блок-схема


1. Запустить программу MS Excel.

. Загрузить редактор VB.

. Вставить Модуль и Процедуру типа Sub

4. ПрограммаSub задача3()ds As Single, s As Singlen As Integer= 0.15= 0.8= 3.14= 1= Sin(n * Pi / 9) / nWhile ds > e= s + ds(3, 2) = s(3, 1) = n= n + 1= Sin(n * Pi / 9) / nSub

Результат расчета

n

s

5

2,194861889


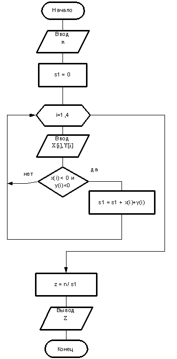
Задача№4

Разработать алгоритм, представить его в виде блок-схемы и написать программу для вычисления значения функции Z. Предусмотреть вывод промежуточных результатов на рабочий лист MS Excel.


где   - элементы заданного массива х,

 - элементы заданного массива у

 - сумма отрицательных элементов массивов х и у

X=

(-3.56, 5.14, -11.8, -1.06)

(-10.5, -4.56, 3.2, -11.8)


Блок-схема

1. Запустить программу MS Excel.

. Ввести на рабочий лист исходные данные


3. Загрузить редактор VB.

. Вставить модуль командой Insert - Module .

. Создать процедуру с программным кодом командой Insert - Procedure, имеющую тип Sub, область видимости Public.

ПрограммаSub задача4()z, s1 As Single, i, n As Integerx(1 To 4), y(1 To 4) As Single= Cells(3, 2).Value= 0

For i = 1 To 4(i) = Cells(1, i + 1).Value(i) = Cells(2, i + 1).Value(x(i) < 0) And (y(i) < 0) Then s1 = s1 + x(i) + y(i)i= n / s1(7, 1).Value = "Сумма Z ="(7, 2).Value = zSub

Результат расчета

Сумма Z =

-0,111441


Похожие работы на - Разработка программ для выполнения действий с функциями

 

Не нашли материал для своей работы?
Поможем написать уникальную работу
Без плагиата!
Без нейросетей!