Программирование в интегрированной среде Microsoft Visual Studio

  • Вид работы:
    Практическое задание
  • Предмет:
    Информационное обеспечение, программирование
  • Язык:
    Русский
    ,
    Формат файла:
    MS Word
    488,79 Кб
  • Опубликовано:
    2013-05-26
Вы можете узнать стоимость помощи в написании студенческой работы.
Помощь в написании работы, которую точно примут!

Программирование в интегрированной среде Microsoft Visual Studio

ФИНАНСОВЫЙ УНИВЕРСИТ ПРИ ПРАВИТЕЛЬСТВЕ РФ

Кафедра прикладной информатики в экономике








ЛАБОРАТОРНАЯ РАБОТА №29

по дисциплине: "Информатика и программирование"

на тему:

ПРОГРАММИРОВАНИЕ В ИНТЕГРИРОВАННОЙ СРЕДЕ MICROSOFT VISUAL STUDIO



Студент Г.Р. Автанделян

Преподаватель Л.К. Кузнецов





МОСКВА 2013

Введение


Цель работы:

Ознакомиться:

Ø  с понятием проекта VC++;

Ø  со структурой окна среды VC++;

Ø  с этапами создания проекта в VC++;

Ø  с редактированием проектов в VC++;

Ø  с компиляцией программ в VC++;

Ø  с выполнением программ VC++;

Ø  с файловой структурой проекта в среде VC++;

Ø  с этапами создания консольного приложения в среде VC++.

Изучить типовые приемы и методы создания и отладки программ в среде программирования Microsoft Visual Studio.

Научиться использовать Microsoft Visual Studio для разработки программ на языке С++.

Получить практические навыки работы со средой визуальной разработки программ.

Задание 1


1.1 Задание


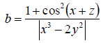
Вид функции

1

1.2 Листинг программы


#include<iostream>

#include<stdio. h>

#include<conio. h>

#include<math. h>namespace std;main ()

{(LC_ALL,"");b,x,y,z; << "Введите значение для x, y, z и нажмите Enter: ";

cin >> x >> y >> z;= (1+ (cos (x+z) *cos (x+z))) / (fabs ( (x*x*x*3) - (2*y*y*2)));

cout << "Были введены значения: x = " << x << " y = " << y << " z = " << z << endl;

cout << " Значение b = " << b << endl;("pause");0;

}

интегрированная среда программа язык

1.3 Тестирование программы



Задание 2


2.1 Задание


Функция

1


2.2 Листинг программы


#include<conio. h>

#include<math. h>

#include<iostream>namespace std;main ()

{(LC_ALL,"");x, y, s;<< "Vvedite x: ";>> x;

cout << "Vvedite y: ";>> y;

if (x >= - 5 && x! =0) {y = 1/x;<< "1 vetv. Result = " << y << endl;

}if (x<=-10) { y = x*x; // 3<|xy|<=10<< "2 vetv. Result = " << y<< endl;

}{y = sqrt (fabs (x+1)); // èíà÷å<< "3 vetv. Result = " << y << endl;

}("pause"); return 0;

}

2.3 Тестирование программы




Задание 3


3.1 Задание

Функция

Интервал [хнач, хкон]

Шаг Dх

1

x Î [0, 3]

0,1


3.2 Листинг программы


#include <conio. h> // // подключение библиотеки функций ввода-вывода

#include <iostream> // подключение библиотеки потокового ввода-вывода

#include <math. h> // подключение библиотеки математических функций

#include <iomanip> // подключение библиотеки средств манипулирования потоками

using namespace std;main ()

{(LC_ALL,"");

// Объявление переменныхa, x, xn, xk, dx,fx;

// Ввод значений для переменных а, хn, xk, dx

cout << "Bвeдите параметр а: "; cin >> a;

cout << "Bвeдите хn:", cin >> xn;

cout << "Bвeдите шаг dx:", cin >> dx;

// вывод заголовка и шапки таблицы

cout << " Та6лица значений функции у = f (х" << endl

<< " |------------------------ - ----------|" << endl

<< " | х | у = f (х) |" << endl

<< " |-----------------|--------------------|" << endl;

// Табуляция функции у = f (x)

for (x=xn; x<=xk; x+=dx)

{= ( (exp (2*x*x-3)) - (exp (x))) * (sin (x) *sin (x));

cout << " I " << "x= "<< setw (9) << x << " I ";<< " " << setw (5) << "fx= " << setw (10) <<fx << " I " << endl;

}<< " |-----------------|--------------------|" << endl;<< "Нажмите любую клавишу. ";

system ("pause");0;

}

3.3 Тестирование




Задание 4


4.1 Задание


Найти сумму ненулевых чисел, стоящих на четных местах, и количество чисел, принадлежащих промежутку (m,k).

4.2 Листинг программы


#include <conio. h>

#include <iostream>

#include <math. h>

#include <iomanip>namespace std;main ()

{(LC_ALL,"");n, i;m, k, s, q; a [20];

cout << "Введите левую границу интервала m: ";

cin >> m;

cout << "Введите правую границу интервала k: ";

cin >> k;

cout << "Введите число элементов массива a (n <= 20): ";

cin >> n;(i=0; i<n; i++)

{

cout <<"Введите " << i << "-ый элемент массива: ";

cin >> a [i];

}

s = 0;

q = 0;

for (i=0; i<n; i+=2)

{if (a [i]! = 0) s = s + a [i];

}

for (i=0; i<n; i++)

{if ( (a [i] >=m) && (a [i] <= k)) q= q +1;

}

cout <<"Вывод результатов решения " << endl;

cout <<"m = " << m << " k = " << k << endl; << "Число элементов массива n = " << n <<endl;

cout << " Массив а " << endl

<< " |-----------------------------|" << endl

<< " | i | a [i] |" << endl

<< " |-------------|---------------|" << endl;(i=0; i<n; i++)

{<< " I " << "i= "<< setw (3) << i << setw (7) << " I ";<< " " << setw (4) << "a [i] = " << setw (3) <<a [i] << " I " << endl;

}<< " |-------------|---------------|" << endl;<<"Сумма четных ненулевых элементов s =" << s<< endl; <<"Число элементов в промежутке q = " << q << endl;("pause");0;

}

4.3 Тестирование



Выводы


Выполнение этой лабораторной работы должно показать Вам средства интегрированной среды Microsoft Visual Studio, предоставляемые программисту для реализации программ на языке С++. Вы должны освоить отличительные особенности интегрированной среды Microsoft Visual Studio, необходимые для успешной генерации программ на языке С++.

Во время выполнения этой и других работ Вы познакомитесь с другими возможностями языка С++ и выберете для себя некоторый стиль написания программ на языке С++.

Чем активнее Вы будете овладевать возможностями системы программирования на языке С++, тем более легким и эффективным будет для Вас выполнение всего лабораторного практикума.

Похожие работы на - Программирование в интегрированной среде Microsoft Visual Studio

 

Не нашли материал для своей работы?
Поможем написать уникальную работу
Без плагиата!
Без нейросетей!