Определения оптимальной производственной программы предприятия №1 с целью максимизации прибыли предприятия
ГОСУДАРСТВЕННОЕ
УЧРЕЖДЕНИЕ
ВЫСШЕГО
ПРОФЕССИОНАЛЬНОГО ОБРАЗОВАНИЯ
«БЕЛОРУССКО-РОССИЙСКИЙ
УНИВЕРСИТЕТ»
Кафедра
«Экономическая информатика»
КУРСОВАЯ
РАБОТА
по дисциплине
«Исследование и проектирование систем управления»
Тема:
«Определения оптимальной производственной программы предприятия №1 с целью
максимизации прибыли предприятия»
Выполнила ст. гр. ЭУПЗ-091
Руководитель: Галкина Е.Г.
Могилев 2012
Содержание
Введение
1. Исходные данные
2. Описание объекта исследования
. Математическая модель
4. Описание численного метода
. Экономический анализ результатов работы
.1 Результаты вычислений
.2 Двойственная задача
5.3 Анализ коэффициентов целевой
функции
5.4 Пределы изменения дефицитных и недефицитных ресурсов
5.5 Анализ устойчивости в прикладном пакете Microsoft Excel
Заключение
Список использованных источников
Введение
Целью курсовой работы является определение наиболее эффективного варианта
организации функционирования экономического объекта в соответствии с выбранным
и обоснованным критерием оценки. В качестве экономического объекта в курсовой
работе может рассматриваться производственное предприятие, подразделение,
группа производственного оборудования и предприятие торговли.
Для достижения указанной цели в курсовой работе решаются следующие
задачи:
создание характеристики исследуемого экономического объекта;
выявление параметров объекта, выбор и обоснование критериев оценки его
функционирования;
разработка оптимизационной математической модели исследуемого
экономического объекта;
реализация процедуры оптимизации;
проведение экономического анализа результатов работы;
исследование полученного варианта с целью выявления резервов для
возможного дальнейшего улучшения организации функционирования исследуемого
объекта и рисков недостижения желаемого результата.
Цель курсовой работы - определения оптимальной производственной программы
с целью максимизации прибыли предприятия.
1. Исходные данные
Тема: Определения оптимальной производственной программы предприятия №1 с
целью максимизации прибыли предприятия
Под оптимальной производственной программой понимается
такая программа (план) выпуска продукции в планируемый промежуток времени (год,
квартал), при которой наиболее полно удовлетворяются запросы потребителей. Эта
цель формализуется в системе ограничений. Мерой эффективности достижения цели
является прибыль предприятия Z.
Ограничения налагаются на фонд времени работы оборудования, по лимитирующим
ресурсам, затратам труда, фонду заработной платы, производственным площадям,
выпуску продукции в стоимостном выражении и объёмам выпуска продукции.
Введем обозначения: аj и сj -
соответственно оптовая цена и себестоимость единицы j-й продукции; аij -
количество единиц i-гo оборудования, необходимого для
изготовления единицы j-й
продукции; аi - фонд времени работы оборудования j-й группы; Ri-общий объем i-го
материала; rij - норма расхода i-го вида лимитируемого материала на
единицу j-й продукции; Ti- фонд времени рабочих i-й специальности; tij - норма времени, затрачиваемою
рабочим i-й специальности на производство
единицы j-й продукции; Fi-фонд заработной плагы рабочих; fi, - стоимость часа занятости рабочего
i-й специальности (часовая ставка
заработной платы); Рi-
производственная площадь i-го
вида; рij - норматив площади i-го вида, приспособленной к размещению
продукции j-го вида; qj - процент сбытовой продукции в общем обьеме выпуска j-й продукции (определяется по
статистическим данным отчетных периодов); Р - производственная площадь для
размещения оборудования; рi -
норматив площади, занимаемой единицей оборудования i-й группы; bi-
реальный фонд времени работы единицы оборудования i-й группы; А - годовое плановое задание по выработке товарной
продукции в стоимостном выражении; dj и Dj - соответственно нижняя и верхняя
границы производства продукции j-го вида;
xj- неизвестная величина - выпуск j-й продукции (в натуральных
единицах).
По исходным данным необходимо:
1. Найти оптимальный план выпуска для максимизации
прибыли предприятия.
2. Построить математическую модель двойственной
задачи, выписать ее решение и дать экономическую интерпретацию двойственных и
дополнительных двойственных переменных.
. Определить границы изменения коэффициентов
целевой функции (при свободных и базисных переменных), в пределах которых
оптимальный план не изменяется.
. Определить границы изменения ресурсов
(дефицитных и недефицитных), в пределах которых оптимальный план не изменяется.
. Выявить «узкие места» на предприятии и дать
рекомендации по их «расшивке».
Исходные данные для решения задачи представлены в таблице1 .
Таблица 1 - Исходные данные.
|
Лимитируемые ресурсы и
показатели
|
Номенклатура изделий
|
Объем ресурса
|
Вид ограниче ния
|
|
И1
|
И2
|
И3
|
И4
|
И5
|
|
|
|
Станки, станко-ч: токарные
|
2
|
2
|
1
|
1
|
3
|
990 000
|
≤
|
|
фрезерные
|
1
|
2
|
3
|
4
|
2
|
880 000
|
≤
|
|
сверлильные
|
3
|
1
|
3
|
2
|
4
|
660 000
|
≤
|
|
шлифовальные
|
3
|
4
|
1
|
2
|
2
|
550 000
|
≤
|
|
Материалы, кг
|
3
|
2
|
3
|
4
|
1
|
1 045 000
|
≤
|
|
Комплектующие изделия
|
5
|
1
|
3
|
1
|
2
|
935 000
|
≤
|
|
Фонд заработной платы, ден.
ед.
|
1
|
2
|
3
|
2
|
1
|
660 000
|
≤
|
|
Выпуск продукции в
стоимостном выражении
|
10
|
12
|
8
|
16
|
11
|
2 500 000
|
≥
|
|
Ограничения по ассортименту
|
≥ l0000
|
≤ 30 000
|
≥ 15 000
|
≥ 20 000
|
≥ 30 000
|
|
|
|
Себестоимость единицы
продукции, ден. ед.
|
3
|
4
|
4
|
2
|
1
|
|
2. Описание объекта исследования
Номенклатура производственной программы состоит из
пяти изделий И1, И2, И3, И4 и И5, ограничения - четырьмя группами оборудования,
двумя видами лимитируемых материалов, фондом заработной платы, суммарным
выпуском продукции в стоимостном выражении и ограничениями на выпуск некоторых
видов изделий.
Управляемым параметром является производственная программа, так как ее
величину можно изменять. Изменение должно происходить таким образом, чтобы
прибыль стремилась к максимальному значению при заданных ограничениях по
ресурсам и объему.
На объем запасов наложены ограничения, представленные в таблице 1. Данный
вид ограничений одинаков для всех ресурсов, поскольку ресурсов не может быть
потрачено больше, чем их есть на самом деле. На выпуск продукции наложен данный
вид ограничений, поскольку он должен расти, а не опускаться ниже заданного
значения.
Наложенный вид ограничений на ассортимент свидетельствует о том, что при
заданных нормах расхода ресурсов на изделие он не должен превышать либо быть
ниже заданного значения.
Критерием оценки эффективности функционирования объекта является прибыль.
Чем больше прибыль, тем лучше функционирует объект. Следовательно, более
эффективно используются исходные ресурсы.
3. Математическая модель
Поскольку целью является определение оптимальной производственной
программы (т.е. максимизация прибыли), следовательно целевая функция должна
стремиться к максимуму. Составляем целевую функцию, которая будет иметь вид:
Z = 7х1 +8х2 + 4х3 + 14х4 + 10х5 ,
где х1, х2, х3, х4, х5 - номенклатура изделий.
Переменные х1, х2, х3, х4, х5 являются управляемыми переменными задачи,
так как при изменении их значений оптимизируется критерий оценки эффективности
функционирования объекта исследования (целевая функция).
Наложены следующие ограничения:
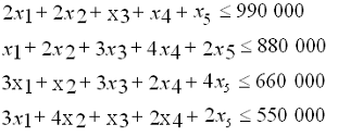
. Ограничения по использованию станков:
. Ограничения на материалы
Ограничения на комплектующие изделия
Ограничения на фонд заработной платы
Ограничения по выпуску продукции в стоимостном выражении
Ограничения по ассортименту
х1 ≥ 10 000
х2 ≤ 30 000
х3 ≥ 15 000
х4 ≥ 20 000
х5 ≥ 30 000
Условие неотрицательности
хi ≥ 0 ; i =1,2,3,4,5
Последнее ограничение обусловлено тем, что объем выпускаемой продукции не
может быть отрицательной величиной.
Таким образом, система ограничений выглядит следующим образом
Приводим к каноническому виду (для этого приравниваем левый и правые
части уравнений и соответственно добавляем или отнимает хi).
Каноническая форма задачи линейного программирования:
Приводим
к предпочтительному виду (для этого в те уравнения, где нет предпочтительных х
прибавляем wi).
Предпочтительный
вид:
max Z = 7х1 +8х2 + 4х3
+ 14х4 + 10х5 + 0х6 + 0х7 + 0х8 + 0х9+ 0х10 + 0х11 + 0х12 + 0х13 + 0х14 + 0х15
+ 0х16 + 0х17 + 0х18 - Мw1 - Мw2 - Мw3 - Мw4 - Мw5
4. Описание численного метода
Рассмотрим последовательность действий при решении задачи распределения
ресурсов в пакете Microsoft Excel.
Пример
условия задачи
Предприятие может изготовлять четыре вида продукции (1, 2, 3 и 4). Сбыт
любого ее объема обеспечен. Предприятие располагает в течение квартала
трудовыми ресурсами в 100 человеко-смен, полуфабрикатами массой 260 кг,
станочным оборудованием в 370 станко-смен. Нормы расхода ресурсов и прибыль от
единицы каждого вида продукции представлены в таблице 5.1.
Таблица 5.1 - Исходные данные
|
Ресурс
|
Продукция
|
Объем ресурса
|
|
1
|
2
|
3
|
4
|
|
|
Трудовые ресурсы,
человеко-смена
|
4
|
2
|
2
|
8
|
4 800
|
|
Полуфабрикаты, кг.
|
2
|
10
|
6
|
0
|
2 400
|
|
Станочное оборудование,
станко-смена
|
1
|
0
|
2
|
1
|
1 500
|
|
Прибыль от единицы
продукции, ден.ед.
|
65
|
70
|
60
|
120
|
|
|
План выпуска
|
Х1
|
Х2
|
Х3
|
Х4
|
|
Необходимо определить план выпуска продукции, при котором достигается
максимум прибыли.
1 Ввод данных примера в таблицу Excel (рисунок 1).
Рисунок 1 - Ввод исходных данных
На рисунке 1 «План продукции» обозначает объем выпуска продукции 1, 2, 3
и 4 вида (ячейки С10 - F10).
Эти ячейки называются рабочими или изменяемым. В изменяемые ячейки ничего не
заносится, и в результате решения задачи в этих ячейках будет оптимальные
значения переменных.
В ячейку С12 вводится формула для вычисления целевой функции задачи
(прибыли):
Z =
.
Целевую
функцию можно вычислить с помощью мастера функций fx. В
появившемся окне выбрать раздел «Математические» и функцию «СУММПРОИЗВ». В
появившемся диалоговом окне в поле «массив 1» необходимо ввести адреса
изменяемых ячеек С10:F10. В поле «массив 2» вводятся адреса ячеек,
содержащих прибыль от единицы продукции - C9:F9,
после нажать «Готово».
В
ячейку H6 вводится формула для вычисления израсходованного
количества трудовых ресурсов, в ячейку H7 - для
израсходованного количества полуфабрикатов, в ячейку H8 - для
вычисления количества израсходованного количества станко-смен.
2 Работа в окне «Поиск решения».
В меню «Сервис» выбираем процедуру «Поиск решения». В появившемся окне
нужно установить адрес целевой ячейки - С12, значение целевой ячейки -
максимальное и адреса изменяемых ячеек - С10:F10.
Чтобы
ввести ограничения задачи, нажать кнопку «Добавить». В появившемся диалоговом
окне слева ввести адреса H6:H8 (израсходованное количество ресурсов), затем выбрать
знак «
» и в правой части - объем ресурса - адреса ячеек G6:G8.
После ввода нажать кнопку «Добавить» и аналогично ввести ограничения С10:F10
0 (соответствующее ограничению x1- x4
0). После ввода последнего ограничения нажать «ОК».
Для
решения задачи в диалоговом окне «Поиск решения» нажать кнопку «Выполнить».
Если решение найдено, появляется окно.
Первоначальная
таблица Excel заполняется результатами, полученными при решении.
Оптимальный
план задачи - Х*(0; 0; 400; 500), максимальное значение прибыли - 8 400 ден.
ед.
Решим
задачу симплексным методом (таблицы 5.2-5.5).
Таблица
5.2 - Первая симплексная таблица
|
Б.п.
|
СБ
|
А0
|
х1
|
х2
|
х3
|
х4
|
х5
|
х6
|
х7
|
симплексное отношение
|
|
|
|
65
|
70
|
60
|
120
|
0
|
0
|
0
|
|
|
х5
|
0
|
4 800
|
4
|
2
|
2
|
8
|
1
|
0
|
0
|
6 00
|
|
х6
|
0
|
2 400
|
2
|
10
|
6
|
0
|
0
|
1
|
0
|
-
|
|
х7
|
0
|
1 500
|
1
|
0
|
2
|
1
|
0
|
0
|
1
|
1 500
|
|
Целевая функция
|
0
|
-65
|
-70
|
-60
|
-120
|
0
|
0
|
0
|
|
Полученный план не оптимальный, так как не соблюдается признак
оптимальности (в индексной строке есть отрицательные оценки). Разрешающий
столбец - номер 7; разрешающая строка - первая (х5).
Таблица 5.3 - Вторая симплексная таблица
|
Б.п.
|
СБ
|
А0
|
х1
|
х2
|
х3
|
х4
|
х5
|
х6
|
х7
|
|
|
|
65
|
70
|
60
|
120
|
0
|
0
|
0
|
|
х4
|
120
|
6 00
|
1/2
|
1/4
|
1/4
|
1
|
1/8
|
0
|
0
|
|
х6
|
0
|
2 400
|
2
|
10
|
6
|
0
|
0
|
1
|
0
|
|
х7
|
0
|
900
|
1/2
|
-1/4
|
7/4
|
0
|
-1/8
|
0
|
1
|
|
Целевая функция
|
7 200
|
-5
|
-40
|
-30
|
0
|
15
|
0
|
0
|
Таблица 5.4 - Третья симплексная таблица
|
Б.п.
|
СБ
|
А0
|
х1
|
х3
|
х4
|
х5
|
х6
|
х7
|
|
|
|
65
|
70
|
60
|
120
|
0
|
0
|
0
|
|
х4
|
120
|
540
|
0,45
|
0
|
0,1
|
1
|
0,125
|
-0,125
|
0
|
|
х2
|
70
|
240
|
0,2
|
1
|
0,6
|
0
|
0
|
0,1
|
0
|
|
х7
|
0
|
960
|
0,55
|
0
|
1,9
|
0
|
-0,125
|
0,025
|
1
|
|
Целевая функция
|
81 600
|
3
|
0
|
-6
|
0
|
15
|
0
|
0
|
Таблица 5.5 - Последняя симплексная таблица
|
Б.п.
|
СБ
|
А0
|
х1
|
х2
|
х3
|
х4
|
х5
|
х6
|
х7
|
|
|
|
65
|
70
|
60
|
120
|
0
|
0
|
0
|
|
х4
|
120
|
500
|
5/12
|
-1/6
|
0
|
1
|
1/8
|
-1/24
|
0
|
|
х3
|
60
|
400
|
1/3
|
5/3
|
1
|
0
|
0
|
1/6
|
0
|
|
х7
|
0
|
200
|
-1/12
|
-19,6
|
0
|
0
|
-1/8
|
-7/24
|
1
|
|
Целевая функция
|
84 000
|
5
|
10
|
0
|
0
|
15
|
5
|
0
|
Оптимальный план задачи - Х*(0; 0; 400; 500), максимальное значение
прибыли - 8 400 ден. ед.
5. Экономический анализ результатов работы
.1 Результаты вычислений
Сначала вводим данные задачи в таблицу Excel (рисунок 7).
Рисунок 7 - Ввод исходных данных
На рисунке 7 «А» обозначает прибыль от единицы продукции каждого вида,
находится коэффициент «А» как разница между выпуском продукции в стоимостном
выражении и себестоимостью единицы продукции. «Х» на данном рисунке обозначает
объем выпуска продукции 1,2,3,4 и 5 вида (ячейки M15 - Q15).
Эти ячейки называются рабочими или изменяемым. В изменяемые ячейки ничего не
заносится, и в результате решения задачи в этих ячейках будет оптимальные значения
переменных.
В ячейку М17 вводится формула для вычисления целевой функции задачи
(прибыли):
Z =
.
Целевую
функцию можно вычислить с функции «СУММПРОИЗВ». В появившемся диалоговом окне в
поле «массив 1» необходимо ввести адреса изменяемых ячеек M15:Q15.
В поле «массив 2» вводятся адреса ячеек, содержащих прибыль от единицы
продукции - M14:Q14, после нажать «Ок».
В
ячейку Т3 вводится формула для вычисления использованных станков токарных
(станко-ч), в ячейку Т4 - для вычисления использованных станков фрезерных
(станко-ч), в ячейку Т5 - для вычисления использованных станков сверлильных
(станко-ч), в ячейку Т6 - для вычисления использованных станков шлифовальных
(станко-ч), в ячейку Т7 - для вычисления количества израсходованных материалов,
в ячейку Т8 - для вычисления количества израсходованных комплектующих изделий,
в ячейку Т9 - для вычисления количества израсходованного фонда заработной
платы, в ячейку Т10 - для вычисления выпущенной продукции. Для этих вычислений
используем функцию «СУММПРОИЗВ».
2 Работа в окне «Поиск решения».
В вкладке «Данные» выбираем процедуру «Поиск решения». В появившемся окне
нужно установить адрес целевой ячейки - M17, значение целевой ячейки - максимальное и адреса
изменяемых ячеек - М15:Q15.
Чтобы
ввести ограничения задачи, нажать кнопку «Добавить». В появившемся диалоговом
окне ввести адреса Т3:Т9 (израсходованное количество ресурсов), затем выбрать
знак «
» и в правой части - объем ресурса - адреса ячеек R3:R9,
для выпуска продукции в стоимостном выражении аналогично вводим ограничение Т10
≥R10. После ввода нажать кнопку «Добавить» и аналогично
ввести ограничения M15:Q15
0
(соответствующее ограничению x1- x5
0),
также вводим ограничение по ассортименту в соответствии с условием: М15 ≥
М12; N15 ≤ N12; O15 ≥ O12; P15 ≥
P12; Q15 ≥ Q12. После ввода последнего
ограничения нажать «ОК».
Для
решения задачи в диалоговом окне «Поиск решения» нажать кнопку «Выполнить».
Если решение найдено, появляется окно.
Первоначальная
таблица Excel заполняется результатами, полученными при решении.
Оптимальный
план задачи - Х*(31000; 0; 15000; 181000; 40000), максимальное значение прибыли
- 3 211 000 ден. ед.
Решим
задачу симплексным методом (таблицы 1-9).
Таблица
1 - Первая симплексная таблица
Полученный
план не оптимальный, так как не соблюдается признак оптимальности (в индексной
строке есть отрицательные оценки). Разрешающий столбец - номер 7; разрешающая
строка - тринадцатая (w4).
Таблица
2 - Вторая симплексная таблица
Таблица
3 - Третья симплексная таблица
Таблица
4 - Четвертая симплексная таблица
Таблица
5 - Пятая симплексная таблица
Таблица
6 - Шестая симплексная таблица
Таблица
7 - Седьмая симплексная таблица
Таблица
8 - Восьмая симплексная таблица
Таблица
9 - Последняя симплексная таблица
Оптимальный
план задачи - Х*(31000; 0; 15000; 181000; 40000), максимальное значение прибыли
- 3 211 000 ден. ед.
.2
Двойственная задача
Построим
для анализируемой задачи двойственную. Для этого применяются правила построения
симметричных двойственных задач.
Прямая
задача:
программирование таблица коэффициент ресурс
max Z =7x1+8x2+4x3+14x4+10x5
) Двойственная задача
Прежде всего, ограничения типа «≥» умножением на «-1» сведем к
ограничениям типа «≤». Получим:
Экономический
смысл двойственных переменных: y1 - стоимость 1 станко-часа (токарные станки), y2 -
стоимость 1 станко-часа (фрезерные станки), y3 - стоимость 1
станко-часа (сверлильные станки), у4 - стоимость 1 станко-часа (шлифовальные),
у5 - стоимость 1 кг (материалы), у6 - стоимость комплектующих изделий, у7
соответствует фонду заработной платы, у8 соответствует выпуску продукции в
стоимостном выражении, у9, у10, у11, у12, у13 - стоимость первого, второго,
третьего, четвертого и пятого изделий соответственно.
Между
переменными прямой и двойственной задач можно установить следующее взаимно
однозначное соответствие:
и
.
Получить
решение двойственной задачи можно из последней симплексной таблицы прямой
задачи. Поскольку в данном случае прямая задача решается на максимум, то
оптимальное решение двойственной соответствует оценкам индексной строки в
последней симплексной таблице прямой задачи, т.е.
,
. Если
прямая задача решается на минимум, то оптимальное решение двойственной
соответствует оценкам индексной строки взятыми с противоположным знаком, т.е.
,
.
В
решаемой задаче
|
x1
|
x2
|
x3
|
x4
|
x5
|
x6
|
x7
|
x8
|
x9
|
x10
|
x11
|
x12
|
x13
|
x14
|
x15
|
x16
|
x17
|
x18
|
|
|
|
|
|
|
|
|
|
|
|
|
|
|
|
|
|
|
|
y14
|
y15
|
y16
|
y17
|
y18
|
у1
|
у2
|
у3
|
у4
|
у5
|
у6
|
у7
|
у8
|
у9
|
у10
|
у11
|
у12
|
у13
|
Тогда оптимальный план прямой задачи - Х*(31 000 ;0;15 000; 181 000; 40
000; 612 000; 0;0;0; 143 000; 474 000;182 000; 1 266 000; 21 000; 30 000; 0;
161 000; 10 000) и Z(х*) = 3 211 000,
двойственной - Y*(0;3;1;1;0;0;0;0;0;0;7;0;0;0;1;0;0;0)
и F(y*) = 3 211 000.
Оценки основных переменных свидетельствуют о том, насколько стоимость
ресурсов превосходит цену продукции. Для переменных xj, которые вошли в оптимальный план, оценки в индексной строке
равны нулю - их производство не принесет убытка. Если же переменная не вошла в
оптимальный план, то изготовление продукции будет убыточным. Возможный убыток
равен оценке из индексной строки.
В рассматриваемой задаче рентабельным будет выпуск продукции 1-го, 3-го,
4-го и 5-го видов; убыточным - 2-го вида. Убыток от производства единицы
продукции 2-го вида - 1 ден. ед.
Рассмотрим состав двойственной оценки 1-го ресурса. Для этого рассмотрим
столбец в последней симплексной таблице, соответствующий данному ресурсу.
Элементы данного столбца отражают изменение значений базисных переменных при
увеличении первого ресурса на единицу. Так, значение х6 изменится на 1, т.е. х6
= 0 + 1; остальные базисные переменные не изменятся; резерв по 2-му ресурсу
изменится на х13 = 0 + 3 = 3; х10 = 0 -1 = -1; х11 = 0+1=1.
Оценка выпускаемой продукции (целевая функция) увеличится на 2,8 ден.
ед.:
ΔZ =
0,2×7+0×4+0,3×14+0×10 = 2,8
Это соответствует двойственной оценке второго ресурса y2 = 2,8.
Аналогично при увеличении третьего ресурса на единицу целевая функция
увеличится на
ΔZ = (-0,2)×7+0×4+(-0,2)×14+0,5×10 = 0,8
Это соответствует двойственной оценке третьего ресурса y3 = 0,8.
Аналогично при увеличении четвертого ресурса на единицу целевая функция
увеличится на
ΔZ =
0,6×7+0×4+0,1×14+(-0,5)×10 = 0,6
Это соответствует двойственной оценке четвертого ресурса y4 = 0,6.
Аналогично при увеличении одиннадцатого ресурса на единицу целевая
функция увеличится на
ΔZ = (-0,6)×7+(-1)×4+0,4×14+1×10
= 7,4
Это соответствует двойственной оценке одиннадцатого ресурса y11 = 7,4.
Дополнительные переменные показывают, что 1-й и 2-й ресурсы используются
полностью, т.к. х*7 = х*8 = х*9 = х*16 = 0. Значение х*6 = 612000,
следовательно, 612 000 единиц первого ресурса осталось неиспользованным.
Значение х*10 = 143 000; х*11 = 474 000; х*12 = 182 000; х*13 = 1 266 000; х*14
= 21 000; х*15 = 30 000; х*17 = 161 000; х*18 = 10 000, то есть 143000 единиц
пятого ресурса, 474000 единицы шестого, 182000 единицы седьмого, 1266000 единиц
восьмого, 21000единиц девятого, 30000 единиц десятого, 161000 единиц
двенадцатого и 10000 единиц тринадцатого ресурса осталось неиспользованным.
5.3 Анализ коэффициентов целевой функции
Возможны
случаи анализа коэффициентов целевой функции при свободных и базисных
переменных.
Случай при свободных переменных. В рассматриваемом
примере свободная переменная х2. Проанализируем пределы изменения коэффициентов
с2.
В целевой функции задачи
max Z =7x1+8x2+4x3+14x4+10x5
дадим коэффициенту с2 приращение ∆с2. Тогда
целевая функция примет вид:
max Z/ =7x1+(8+∆с2)x2+4x3+14x4+10x5
Проделав симплексные преобразования с целевой
функцией, придем к последней симплексной (таблица 10), в которой в индексной
строке оценка ∆2* будет заменена на ∆2*- ∆с2.
Таблица 10 - Анализ изменения коэффициента ∆с2
Так как задача решается на max, то признаком оптимальности будет неотрицательность
коэффициентов индексной строки, т. е. план останется оптимальным при выполнении
условия
,8 - ∆с2 ≥ 0.
Следовательно,
-∞ ≤ ∆с2 ≤ 0,8 (или y15).
Вычислим пределы изменения с2:
min c2 = с2+ min с2
= c2 + (-∞) = -∞;
max с2 = с2 + max с2 = с2 + y15 = 8 + 0,8 =
8,8.
Таким образом, в интервале (-∞, 8,8] все
характеристики оптимального решения остаются неизменными, кроме значения
дополнительной двойственной переменной у15*, которая меняется на у15*-∆с2.
Так как с2 - это цена единицы продукции, то с2 ≥
0 и пределы возможного изменения коэффициента в целевой функции при свободной
переменной x2 - [0; 8,8].
Случай при базисных переменных. Базисными являются
переменные х1, х3, х4 и x5.
Определим пределы изменения коэффициента с1. В целевой функции исходной задачи
заменив коэффициент с1 на с1 + ∆с1, получим
max Z' =(7+∆с1)x1+8x2+4x3+14x4+10x5
Найдя оптимальное решение, получим следующую
симплексную таблицу (таблица 11). Таким образом, коэффициенты в индексной
строке симплексной таблицы, полученной из исходной путем замены коэффициента сi
при базисной переменной xi на сi + ∆сi, равны
∆*0 = ∆*0 + bi∆ci; ∆*j = ∆*j + aij∆ci.
Таблица 11 - Анализ изменения коэффициента ∆с1
Решение новой задачи будет оптимальным при неотрицательности оценок ∆*j
индексной строки (т. к. рассматривается задача максимизации), т. е. при
выполнении системы неравенств ∆*j ≥ 0.
Для коэффициента с1 получим систему неравенств:
0,8+1,8Δс1≥0;
,8 - 0,2Δс1≥0;
,8 - 0,2Δс1≥0;
0,6+0,6Δс1≥0;
,4 - 0,6Δс1≥0;
.44
≤ ∆с1 < 4
Пределы
изменения коэффициента с1 равны:
с1
= c1 + min∆с1 = 7 - 0.44 = 6.56;с1 = с1 + max∆с1 = 7 + 4 = 11.
При
изменении с3 в пределах [6.56, 11] сохраняется структура и числовые значения
оптимального плана. Однако изменяется значение целевой функции и двойственных
оценок, соответствующих свободным переменным.
min Z = 3 211 000+
31 000*(-0,44) = 3
197 360 ден. ед;
max Z = 3 211 000
+31 000*4= 3 335
000 ден. ед.
Определим пределы изменения коэффициента с3. В целевой
функции исходной задачи, заменив коэффициент с3 на с3 + ∆с3, получим:
Найдя оптимальное решение, получим следующую
симплексную таблицу (рисунок 13).
Рисунок 13 - Анализ изменения коэффициента ∆с3
Решение новой задачи будет оптимальным при неотрицательности оценок ∆j*
индексной строки (так как рассматривается задача максимизации), то есть при
выполнении системы неравенств ∆j* ≥ 0.
Для коэффициента с3 получим систему неравенств:
0,8+0Δс3 ≥ 0;
,8 + 0Δс3 ≥ 0;
,8 + 0Δс3 ≥ 0;
,6+0Δс3 ≥ 0;
,4 - 1Δс3 ≥ 0;
∞

Δc3 
7.4
Пределы изменения коэффициента с3 равны:
с3 = c3 + min∆с3 = 4-∞ = -∞;с3 = с3 + max∆с3 = 4
+ 7.4= 11.4.
При изменении с3 в пределах (-∞, 11.4] сохраняется структура и
числовые значения оптимального плана. Однако изменяется значение целевой
функции и двойственных оценок, соответствующих свободным переменным.
Целевая функция будет изменяться в пределах:
min Z = 3 122 000 - 15 000*4 = 3 062 000 ден. ед.,
max Z = 3 122 000 + 15 000* 7,4 = 3 233 000 ден. ед.
Определим пределы изменения коэффициента с4. В целевой
функции исходной задачи, заменив коэффициент с4 на с4 + ∆с4, получим:
Найдя оптимальное решение, получим следующую
симплексную таблицу (рисунок 14).
Рисунок 14 - Анализ изменения коэффициента ∆с4
Решение новой задачи будет оптимальным при неотрицательности оценок ∆j*
индексной строки.
Для коэффициента с4 получим систему неравенств:
0,8+0.8Δс4 ≥ 0;
,8 + 0.3Δс4 ≥ 0;
,8-0.2Δс4 ≥ 0;
,6+0.1Δс4 ≥ 0;
,4 + 0.4Δс4 ≥ 0;
-1

Δc4 > 4
Пределы изменения коэффициента с4 равны:
с4 = c4 + min∆с4 = 14 - 1 = 13;с4 = с4 + max∆с4 = 14 + 4 =
18.
При изменении с4 в пределах [13, 18] сохраняется структура и числовые
значения оптимального плана. Однако изменяется значение целевой функции и
двойственных оценок, соответствующих свободным переменным.
Целевая функция будет изменяться в пределах:
min Z =3 211 000 - 181 000*3=2 668 000 ден. ед.,
max Z = 3 211 000 +181 000* 8 = 4 659 000 ден. ед.
Определим пределы изменения коэффициента с5. В целевой
функции исходной задачи, заменив коэффициент с5 на с5 + ∆с5, получим:
Найдя оптимальное решение, получим следующую
симплексную таблицу (рисунок 15).
Рисунок 15 - Анализ изменения коэффициента ∆с5
Решение новой задачи будет оптимальным при неотрицательности оценок ∆j*.
Для коэффициента с5 получим систему неравенств:
0,8-1.5Δс5 ≥ 0;
,8 + 0Δс5 ≥ 0;
,8+0.5Δс5 ≥ 0;
,6-0.5Δс5 ≥ 0;
,4 + 1Δс5 ≥ 0;
-1.6

Δc5 
0.53
Пределы изменения коэффициента с5 равны:
с5 = c5 + min∆с5 = 10 - 1.6 = 8.4;с5 = с5 + max∆с5 = 10 +
0.53 = 10.53.
При изменении с5 в пределах [8.4, 10.53] сохраняется структура и числовые
значения оптимального плана. Однако изменяется значение целевой функции и
двойственных оценок, соответствующих свободным переменным.
Целевая функция будет изменяться в пределах:
min Z= 3 211 000 - 40 000*1,6 =3 147 000 ден. ед.,
max Z= 3 211 000 + 40 000*0,53 =
3 232 200 ден. ед.
5.4 Пределы изменения дефицитных и недефицитных ресурсов
Возможны следующие случаи анализа:
) ограничений, по которым нет резерва;
) ограничений, по которым есть резерв.
случай Если ресурс bi расходуется полностью, то есть его дополнительная переменная
хm+i* равна нулю, а двойственная оценка yi положительна.
В задаче таким ресурсом будет второй (фрезерные
станки).
При изменении второго ресурса b2 (фрезерные станки) на ∆b2, второе ограничение примет вид:
Решив задачу, в которой, в отличие от исходной, правая
часть второго ограничения заменена на (880000 + ∆b2), получим последнюю симплексную таблицу (рисунок 16).
Рисунок 16 - Анализ изменения объема второго ресурса
В последней таблице изменился только столбец свободных
членов. Его элементы равны исходным значениям свободного члена, сложенным с
произведением соответствующего элемента столбца дополнительной переменной x7 на приращение ∆b2 то есть
Чтобы решение, представленное в таблице, было опорным,
необходимо выполнение системы неравенств:
000+0,1 Δb2 ≥0
266 000+2,8Δb2 ≥ 0;
000-0,2 Δb2 ≥0
000 - 0,6Δb2 ≥ 0;
000+0,7Δb2 ≥
0;
000-0,4 Δb2 ≥0
000+0,3 Δb2 ≥0
000-0,2 Δb2 ≥0
000 + 0,3 Δb2 ≥0
Δb2 ≥ - 6 120 000
Δb2 ≥ - 452 142,86;
Δb2 ≤ 105 000
Δb2 ≤ 238 333,33
Δb2 ≥ - 677 142,86;
Δb2 ≤ 455 000
Δb2 ≥ - 536 666,67
Δb2 ≤ 155 000
Δb2 ≥ - 603 333,33
Отсюда находим пределы изменения: -452 142,86 ≤ ∆b2 ≤ 105 000.
Пределы изменения ресурса b2, при которых сохраняется структура оптимального плана:
= b2+min∆b2 = 880000 -452
142,86= 427 857,14;= b2 + max∆b2 = 880000 + 105 000 = 985 000.
Значения целевой функция при изменении фонда времени токарного
оборудования:
min Z = 3 211 000 +
2,8*(-452 143)= 1 944 999,6 ден. ед.,
max Z =3 211 000 +
2,8*105 000 =3 505 000 ден. ед.
При изменении третьего ресурса b3 (сверлильные станки) на ∆b3, ограничение примет вид:
х1+ 1 х2 +3 х3 +2 х4 +4 х5 ≤ 660 000+Δb3
Решив задачу, в которой, в отличие от исходной, правая
часть второго ограничения заменена на (660000 + ∆b3), получим последнюю симплексную таблицу (рисунок 17).
Рисунок 17 - Анализ изменения объема третьего ресурса
В последней таблице изменился только столбец свободных
членов. Его элементы равны исходным значениям свободного члена, сложенным с
произведением соответствующего элемента столбца дополнительной переменной x8 на приращение ∆b3 то есть
Чтобы решение, представленное в таблице, было опорным,
необходимо выполнение системы неравенств:
Пределы
изменения ∆b3 = [-20 000; 105 000].
b3= b3 + min Db3
= 660 000 -20 000 = 640 000;b3= b3 + max ∆b3 = 660 000 + 105 000 = 765
000.
Интервал
изменения третьего ресурса, в котором сохраняется структура оптимального
плана[640 000; 765 000].
Целевая
функция будет изменяться в пределах:
min Z = 3
211000 - 0,8*20 000 = 3 195 000 ден. ед.,
max Z =3
211 000 + 0,8*105 000 = 3 295 000 ден. ед.
При изменении четвертого ресурса b4 (шлифовальные станки) на ∆b4, ограничение примет вид:
х1 +4х2 +1х3 +2х4 +2х5≤ 550 000
Решив задачу, в которой, в отличие от исходной, правая
часть второго ограничения заменена на (550000 + ∆b4), получим последнюю симплексную таблицу (рисунок 18).
Рисунок 18 - Анализ изменения объема четвертого ресурса
В последней таблице изменился только столбец свободных
членов. Его элементы равны исходным значениям свободного члена, сложенным с
произведением соответствующего элемента столбца дополнительной переменной x9 на приращение ∆b4 то есть
Чтобы решение, представленное в таблице, было опорным,
необходимо выполнение системы неравенств:
612000+0,2Δb4≥0
1266000+2,1Δb4 ≥ 0;
10000-0,5Δb4≥0
21000+0,6Δb4≥ 0;
143000-1,7Δb4≥ 0;
474000-2,1Δb4≥0
182000-0,3Δb4≥0
161000+0,1Δb4≥0
31000+0,6Δb4≥0
181000+0,1Δb4≥0
40000-0,5Δb4≥0
Δb4≥ - 3 060 000
Δb4 ≥ - 602857,14;
Δb4≤20000
Δb4≥ - 35 000;
Δb4≤ 84 117,65;
Δb4≤225 714,29
Δb4≤606 666,67
Δb4≥ - 1 610 000
Δb4≥ - 51 666,67
Δb4≥ - 1 810 000
Δb4≤80 000
Отсюда находим пределы изменения: -35 000 ≤ ∆b2 ≤ 20 000.
Пределы изменения ресурса b2, при которых сохраняется структура оптимального плана:
b4= b4 + min Db4 = 550 000 -35 000 = 515 000;b4= b4 + max ∆b4
= 550 000 + 20 000 = 570 000.
Интервал изменения четвертого ресурса, в котором сохраняется структура
оптимального плана [515 000; 570 000].
Целевая функция будет изменяться в пределах:
min Z = 3 211000 -
0,6*35 000 = 3 190 000 ден. ед.,
max Z =3 211 000 +
0,6*20 000 = 3 223 000 ден. ед.
2 случай
Ресурс bi0
полностью не расходуется, то есть его дополнительная переменная xm+i является базисной.
В задаче такими ресурсами будут первый (токарные
станки), пятый (материалы), шестой (комплектующие изделия), седьмой (фонд
заработной платы).
Первый ресурс - токарные станки (x6 = 612000). Дополнительная
переменная x6 показывает, что в оптимальном плане
612000 единиц ресурса не использовано.
Как и в первом случае, заменим в первом ограничении
правую часть b1 на b1+ ∆b1.
Решив новую задачу при неизменных значениях остальных
параметров, составим таблицу (рисунок 17).
Рисунок 17 - Анализ изменения объема первого ресурса
Решение будет оставаться опорным оптимальным при
условии:
+ 1∆b1 ≥ 0.
Отсюда
612000 ≤ ∆b1 ≤ +∞
Пределы изменения ресурса b1, при которых сохраняется структура оптимального плана:
minb1 = b1+min∆b1 = 990000 - 612000 = 378000;
maxb1 = b1 + max∆b1 = 990000 + ∞= +∞.
≤ ∆b1 ≤ +∞.
При изменении b1 в этих пределах сохраняется оптимальный план. Единственная
изменяющаяся величина - дополнительная переменная по этому ресурсу.
При изменении пятого ресурса b5 (материалы) на ∆b5, ограничение примет вид:
Решив новую задачу при неизменных значениях остальных
параметров, составим таблицу (рисунок 18).
Рисунок 18 - Анализ изменения объема пятого ресурса
Решение будет оставаться опорным оптимальным при
условии:
+ 1∆b5 ≥ 0.
Отсюда
143000 ≤ ∆b5 ≤ +∞
Пределы изменения ресурса b5, при которых сохраняется структура оптимального плана:
minb5 = b5+min∆b5 = 1045000 - 143000 = 902000;
maxb5 = b5 + max∆b5 = 1045000 + ∞= +∞.
≤ ∆b5 ≤ +∞.
При изменении b5 в этих пределах сохраняется оптимальный план. Единственная
изменяющаяся величина - дополнительная переменная по этому ресурсу.
При изменении шестого ресурса b6 (комплектующие изделия) на ∆b6, ограничение примет вид:
Решив новую задачу при неизменных значениях остальных
параметров, составим таблицу (рисунок 19).
Рисунок 19 - Анализ изменения объема шестого ресурса
Решение будет оставаться опорным оптимальным при
условии:
+ 1∆b6 ≥ 0.
Отсюда
474000 ≤ ∆b6 ≥ +∞
Пределы изменения ресурса b6, при которых сохраняется структура оптимального плана:
min b6 = b6 + min∆b6 = 935000 - 474000 = 461000;
max b6 = b6 + max∆b6 = 935000 + ∞= +∞.
≤ ∆b6 ≤+∞.
При изменении b6 в этих пределах сохраняется оптимальный план. Единственная
изменяющаяся величина - дополнительная переменная по этому ресурсу.
При изменении седьмого ресурса b7 (фонд заработной платы) на ∆b7, ограничение примет вид:
Решив новую задачу при неизменных значениях остальных
параметров, составим таблицу (рисунок 20).
Рисунок 20 - Анализ изменения объема седьмого ресурса
Решение будет оставаться опорным оптимальным при
условии:
+ 1∆b7 ≥ 0.
Отсюда
182000 ≤ ∆b7 ≤ +∞
Пределы изменения ресурса b7, при которых сохраняется структура оптимального плана:
min b7 = b7 + min∆b7 = 660000 - 182000 = 478000;
max b7 = b7 + max∆b7 = 660000 + ∞= +∞.
478000 ≤ ∆b7 ≤ +∞.
При изменении b7 в этих пределах сохраняется оптимальный план. Единственная
изменяющаяся величина - дополнительная переменная по этому ресурсу.
.5 Анализ устойчивости в прикладном пакете Microsoft Excel
Для просмотра результатов вычислений в диалоговом окне «Поиска решений»
выбираем тип отчета «Результаты», «Устойчивость» и «Пределы» и нажимаем кнопку
«ОК». В появившихся трех рабочих листах приводятся результаты поиска.
На рисунке 22 представлен отчет по результатам.
Рисунок 22 - Отчет по результатам.
Отчет по результатам состоит из трех таблиц:
таблица 1 содержит информацию о целевой функции;
таблица 2 содержит информацию о значениях переменных, полученных в
результате решения задачи;
таблица 3 показывает результаты оптимального решения для ограничений и
для граничных условий.
Если ресурс используется полностью (то есть ресурс дефицитный), то в
графе «Статус» соответствующее ограничение указывается как «связанное»; при
неполном использовании ресурса (то есть ресурс недефицитный) в этой графе
указывается «не связан». В графе «Разница» указывается величина
неиспользованного ресурса. Это значение равно дополнительной переменной для
данного вида ресурса, вошедшей в базис.
Так фрезерные, сверлильные и шлифовальные станки
являются дефицитными ресурсами, так как в процессе производства используются
полностью (остаток равен «0»). А токарные станки, материалы, комплектующие изделия,
фонд заработной платы является недефицитными, так как данные ресурсы остались в
избытке.
Таблица
3 отчета по результатам дает информацию для анализа возможного изменения
запасов недефицитных ресурсов при сохранении полученного оптимального значения
целевой функции. Так, если на ресурс наложено ограничение типа «
», то в графе «Разница» дается количество ресурса, на
которое была превышена минимально необходимая норма.
Если
на ресурс наложено ограничение типа «
», то в
графе «Разница» дается количество ресурса, которое не используется при
реализации оптимального решения.
Отчет
по устойчивости представлен на рисунке 23.
Рисунок
23 - Отчет по устойчивости.
Отчет по устойчивости состоит из двух таблиц.
Таблица 1 содержит информацию, относящуюся к переменным. В оптимальном
плане выпускается продукция 1-го, 3-го, 4-го и 5-го видов в количествах 31 000,
15 000, 181 000 и 40 000 единиц соответственно, а продукция 2-го вида не
производится. Убыток от производства единицы продукции 2-го вида составит 1
ден. ед.
В таблице 2 столбец «Результ. значение» показывает, сколько ресурса
используется при производстве оптимального плана продукции. А столбец «Лагранжа
множитель» соответствует значению двойственных оценок ресурсов.
Отчет по пределам представлен на рисунке 24.
Рисунок 24 - Отчет по пределам.
В таблице отчета по пределам данные по строкам соответствуют продукции
1-го, 2-го, 3-го, 4-го и 5-го видов.
Продукция 2-го вида не выпускается, поэтому ее верхний и нижний пределы
равны «0».
Для продукции 1-го и 5-го видов нижний предел уменьшения выпуска
продукции равен 10 000 и 30 000 соответственно, для продукции 3-го и 4-го видов
нижний предел уменьшения выпуска продукции равен 15 000 и 97 500
соответственно, а верхний предел соответствует оптимальному плану производства.
При решении не производить 1-ый вид продукции, то есть при x1=0, прибыль предприятия уменьшается
до величины 3 064 000 ден. ед. В этом случае производится только продукция
3-го, 4-го и 5-го видов.
При решении не производить 3-ий вид продукции, то есть при x3=0, прибыль предприятия будет самой
максимальной 3 211 000 ден. ед. В этом случае производится только продукция
1-го, 4-го и 5-го видов.
Если отказаться от выпуска 4-го вида продукции (производить только
продукцию 1-го, 3-го и 5-го видов), то прибыль предприятия составит 2 103 250
ден. ед. Если отказаться от выпуска 5-го вида продукции (производить только
продукцию 1-го, 3-го и 4-го видов), то прибыль предприятия составит 3 111 000
ден. ед.
Заключение
В соответствии с расчетами можно сделать вывод о том ,что оптимальной
производственной программой выпуска продукции в планируемый промежуток времени
(год, квартал), при которой наиболее полно удовлетворяются запросы
потребителей: продукция 1-го, 3-го, 4-го и 5-го видов выпускается в количествах
31 000, 15 000, 181 000 и 40 000 единиц соответственно, а продукция 2-го вида
не производится, т.к. ее производство является убыточным. Убыток от
производства единицы продукции 2-го вида составит 1 ден. ед. Мерой
эффективности достижения цели является прибыль предприятия, максимальное
значение прибыли 3211000 ден.ед. Фрезерные, сверлильные и шлифовальные станки
являются дефицитными ресурсами, так как в процессе производства используются
полностью. А токарные станки, материалы, комплектующие изделия, фонд заработной
платы является недефицитными, так как данные ресурсы остались в избытке. При
реализации оптимального решения для токарных станков не используется 612000
единиц ресурса. Материалы не используются в количестве 143000 единиц,
комплектующие изделия и фонд заработной платы 474000 и 182000 единиц
соответственно.
При производстве оптимального плана продукции используется: токарных
станков в количестве 378000 единиц, фрезерных 880000 единиц, сверлильных
станков 660000 единиц, шлифовальных 550000 единиц. Материалы, комплектующие
изделия и фонд заработной платы при производстве оптимального плана продукции
составят: 902000, 461000 и 478000 единиц соответственно. Продукция 2-го вида не
выпускается, поэтому ее пределы равны «0». Нижний предел уменьшения выпуска
продукции 3-го вида соответствует верхнему пределу и равен 15000. При решении
не производить 3-ий вид продукции, прибыль предприятия будет самой максимальной
3 211 000 ден. ед.
Список использованных источников
1
Методические указания к курсовой работе для студентов специальности «Экономика
и управление на предприятии».
Бережная,
Е.В. Математические методы моделирования экономических систем: учебное пособие
/ Е. В. Бережная, В. И. Бережной. - М.: Финансы и статистика, 2001. - 386 с.
Замков, О.О.
Математические методы в экономике/ О.О. Замков, А.В. Толстопятенко, Ю. Н.
Черемных. - М.: Дело и Сервис, 2001. - 368 с.
Кузнецов,
А.В. Высшая математика. Математическое программирование / А.В. Кузнецов, В.А.
Сакович, Н.М. Холод. - Минск: Выш. шк., 1994. - 286 с.
Кузнецов,
А.В. Руководство к решению задач по математическому программированию: учебное
пособие / А.В. Кузнецов. - Минск: Высш. шк., 2001. - 448 с.
Курицкий,
Б.Я. Поиск оптимальных решений средствами Excel 7.0 / Б. Я. Курицкий, - СПб.: BHV-Санкт-Петербург, 1997. - 384 с.
Математическое
моделирование в экономике: учеб. пособие / Под науч. ред. Б.А. Суслакова. - М.:
Дашков и К0, 2004. - 352 с.
Костевич,
Л.С. Математическое программирование. Информационные технологии оптимальных
решений: учеб. пособие / Л.С. Костевич - Минск: Новое знание, 2003. - 424 с.:
ил.