Анализ диаграмм состояния двойных металлических систем
ФЕДЕРАЛЬНОЕ
АГЕНТСТВО ПО ОБРАЗОВАНИЮ
ГОСУДАРСТВЕННОЕ
ОБРАЗОВАТЕЛЬНОЕ УЧРЕЖДЕНИЕ
ВЫСШЕГО
ПРОФЕССИОНАЛЬНОГО ОБРАЗОВАНИЯ
«ВОРОНЕЖСКИЙ
ГОСУДАРСТВЕННЫЙ ТЕХНИЧЕСКИЙ УНИВЕРСИТЕТ» (ГОУВПО «ВГТУ»)
Физико-технический
факультет
Кафедра
физики, химии и технологии литейных процессов
Исследовательская
работа
по
дисциплине: Физические основы затвердевания
Тема: Анализ
диаграмм состояния двойных металлических систем
Разработал
студент: А.В. Рябов
Руководитель:
Л.С. Печенкина
Нормоконтролер:
Л.С. Печенкина
Содержание
Введение
. Принцип построения диаграммы
состояния
. Диаграмма состояния сплавов,
компоненты которых полностью растворимы в жидком и твердом состояниях (Ni-Cu,
Ag-Au, Mo-W, Mo-V и др.)
. Диаграмма состояния сплавов,
образующих механические смеси из чистых компонентов (Sn - Pb, Pb - Sb, Sn - Zn
и др.)
. Диаграмма состояния сплавов,
компоненты которых ограниченно растворимы в твердом состоянии и образуют
эвтектику
. Диаграмма состояний сплавов,
образующих в твердом состоянии химические соединения
. Диаграмма состояния сплавов с
полиморфными превращениями компонентов
. Типовые диаграммы состояния
Заключение
Список литературы
Введение
Целью данной работы является изучение основных
типов диаграмм состояния двойных металлических систем, изучение превращений,
протекающих при кристаллизации сплавов, анализ полученных данных и определение
возможности их использования па практике.
Знание диаграмм состояния различных систем,
характеризующих превращения в сплавах, и умение анализировать эти превращения
позволяют оценить свойства сплавов и в конечном итоге рационально выбрать
материал для тех или иных изделий в зависимости от предъявляемых к ним
требований.
Диаграммы состояния имеют большое практическое
значение: ими пользуются как руководящим материалом для назначения режимов
термической обработки, режимов обработки металлов давлением, а также в литейном
производстве.
1. Принцип построения диаграммы
состояния
Диаграмма состояния представляет собой
графическое изображение фазового и структурного состава сплава в зависимости от
температуры и концентрации [1].
Зная диаграмму, можно представить полную картину
формирования структуры любого сплава, определить температуру плавления и
кристаллизации сплава, оценить жидкотекучесть выбранного сплава, сделать
заключение о возможности и условиях обработки сплава давлением. Диаграммы
состояния позволяют определить режим термической обработки, необходимый для
конкретного сплава.
Диаграмму состояний строят в двух измерениях: по
оси ординат откладывается температура, по оси абсцисс - концентрация (рисунок
1). Для построения диаграммы состояний необходимо экспериментально определить
критические точки (температуры фазовых превращений) как для чистых компонентов
А и В, так и для сплавов различных концентраций. Чтобы установить критические
точки необходимо[2]:
приготовить ряд сплавов, например, I, II, III,
IV, V, состав которых отмечен на рисунок 1 (в данном случае I и V являются
чистыми компонентами системы А и В);
расплавить сплавы и провести их медленное
охлаждение, фиксируя зависимость понижения температуры от времени охлаждения;
построить кривые охлаждения каждого сплава;
по перегибам и остановкам на кривых охлаждения
определить критические температуры, при которых происходят фазовые превращения.
Далее следует перенести полученные критические точки на ординаты
соответствующих сплавов (рисунок 1) [2].
Соединив точки, имеющие одинаковую физическую
сущность, получим диаграмму состояния сплавов компонентов А и В.
На диаграмме верхнюю линию как геометрическое
место критических точек, при которых начинается процесс первичной
кристаллизации, называют линией ликвидус. Выше этой линии сплавы находятся в
жидком состоянии. Нижнюю линию как геометрическое место критических точек, при
которых заканчивается процесс первичной кристаллизации, называют линией
солидус.
Между линиями ликвидус и солидус часть сплава
существует в жидком состоянии, часть сплава - в твердом состоянии.
Строение (структура) металлических сплавов
зависит от того, в какие взаимодействия вступают компоненты при их плавлении и
кристаллизации. Элементы, обладающие взаимной растворимостью в жидком
состоянии, в результате совместной кристаллизации могут по-разному
взаимодействовать, образуя при этом в твердом состоянии твердые растворы,
механические смеси или химические соединения [3].
Рисунок 1. - Пример построения диаграммы
состояния сплавов, образующих механические смеси из чистых компонентов
2. Диаграмма состояния сплавов,
компоненты которых полностью растворимы в жидком и твердом состояниях (Ni-Cu,
Ag-Au, Mo-W, Mo-V и др.)
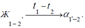
Полная взаимная растворимость в твердом
состоянии возможна тогда, когда оба компонента имеют одинаковый тип
кристаллической решетки и атомные диаметры компонентов мало отличаются по
размерам. Такая диаграмма (рисунок 2) состоит из двух линий - ликвидус и
солидус [4]. Ликвидус и солидус пересекаются между собой в точках
кристаллизаций чистых компонентов А и В (А′ - это температура плавления -
кристаллизации компонента А; В′ - температура плавления - кристаллизации
компонента В). Все сплавы затвердевают в интервале температур.
Рисунок 2. - Диаграмма состояния сплавов,
компоненты которых неограниченно растворимы в жидком и твердом состояниях
Для анализа данной диаграммы достаточно рассмотреть
один (любой) сплав. Рассмотрим для примера сплав 1, содержащий 40% А и 60% В.
Выше точки 1 сплав находится в жидком состоянии. Процесс кристаллизации
начинается при температуре t1. Проведя изотерму, определим, что из жидкости
выпадают кристаллы α-твердого
раствора концентрации точки 1′ (5%А+95% В). При температуре 2 выпадают
кристаллы α-твердого раствора,
концентрация которых определяется проекцией 2′ на ось концентрации (30% А
+ 70% В), а оставшийся жидкий сплав имеет состав точки 2′′ (83%А +
17% В). При температуре 3 процесс кристаллизации закончится, сплав полностью
затвердеет. Таким образом, для выбранного сплава концентрация α-твердой
фазы изменяется по линии солидус от точки 1′ до 3, а жидкой фазы - по
линии ликвидуса от точки 1 до точки 3′′. Процесс первичной
кристаллизации, протекающий в интервале температур от t1 до t3, можно записать
в виде формулы [7]:
(1)
то есть в процессе первичной кристаллизации
выпадают кристаллы разного химического состава.
При медленном охлаждении сплава успевают пройти
процессы диффузии, благодаря чему состав всех выпавших кристаллов α-твердого
раствора выравнивается, стремясь к исходному (50% А + 50% В). После медленного
охлаждения сплав 1 (как и все другие сплавы этой системы) будет иметь
однородную зернистую структуру, состоящую из кристаллов α-твердого
раствора (рисунок 3б) [8].
Рисунок 3. - Схемы структуры α-твердого
раствора после ускоренного (а) и медленного (б) охлаждения
В производственных условиях охлаждение слитков и
отливок происходит со скоростями, при которых диффузионные процессы при
кристаллизации не успевают завершиться, поэтому всегда получается неодинаковый
состав не только отдельных кристаллов, но и в каждом из них. Внутренние участки
кристалла будут более богаты тугоплавким компонентом В, а наружные -
компонентом А.
Это явление химической неоднородности называется
микроликвацией. Сплав приобретает дендритную структуру (рисунок 3а) и в этом
случае имеет пониженное сопротивление разрушению, труднее поддается обработке
резанием и давлением. Для устранения дендритной структуры проводят диффузионный
(гомогенизирующий) отжиг, состоящий из нагрева сплава в области высоких
температур (0,9 Тпл) в течение длительного времени и медленного охлаждения
(рисунок 4). Такой вид термической обработки может быть выполнен только для тех
сплавов, которые при первичной кристаллизации образуют твердые растворы [9].
Кроме гомогенизации, сплавы этой системы могут
быть подвергнуты рекристаллизационному отжигу, проводимому для устранения
наклепа холоднодеформированного металла. Этот отжиг проводят при температурах
несколько выше температурного порога рекристаллизации (рисунок 5). Таким
образом, в сплавах, не претерпевающих фазовых превращений в твердом состоянии,
возможны только те виды термической обработки, которые не связаны с фазовой
перекристаллизацией, а именно: диффузионный отжиг, рекристаллизационный отжиг,
а также отжиг для снятия внутренних напряжений после технологических операций
(литья, обработки резанием, давлением, сварки и др.).
В двухфазных областях диаграммы можно определить
состав и количественное соотношение фаз при любой температуре. Это
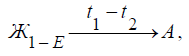
осуществляется с помощью двух правил [13].
. Правило определения состава фаз (правило
концентраций). Для определения состава фаз в двухфазной области диаграммы в
заданной точке (например, точка 2 рис.2) необходимо через эту точку провести
горизонтальную линию (коноду) до пересечения с линиями, ограничивающими данную
область; проекции точек пересечения 2′′ и 2′ на
горизонтальную ось диаграммы покажут химический состав фаз (в данном случае
химический состав жидкой фазы соответствует 83% А + 17% В, а твердой фазы - 70%
А и 30% В).
. Правило определения количественного
соотношения фаз (правило отрезков). Для определения относительного весового
количества (ОВК) фазы в заданной точке нужно провести через эту точку коноду и
разделить длину отрезка, противолежащего составу данной фазы, на длину коноды.
Например, в точке 2 [11]:
Рисунок 4 - График диффузионного отжига
Рисунок 5. - График рекристаллизационного отжига
Правила для определения состава и количества фаз
одинаковы для любой двухфазной области всех диаграмм состояния. Эти правила не
имеют смысла в однофазной области [16].
3. Диаграмма состояния сплавов,
образующих механические смеси из чистых компонентов (Sn - Pb, Pb - Sb, Sn - Zn
и др.)
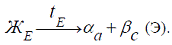
В твердом состоянии компоненты нерастворимы друг
в друге и не образуют химических соединений. Диаграмма таких сплавов приведена
на рисунок 6 [7].
Рисунок 6. - Диаграмма состояния сплавов,
образующих механические смеси
На рис.6 линия А′ЕВ′ - линия
ликвидус, линия FEN - линия солидус. Для анализа данной диаграммы рассмотрим
процессы кристаллизации трех сплавов: эвтектического (сплав 1),
доэвтектического (сплав П) и заэвтектического (сплав Ш).
Сплав 1. Кристаллизация этого сплава начинается
и заканчивается при постоянной температуре - точке Е; при этом из жидкости
состава точки Е выделяется смесь двух фаз - чистых компонентов А и В [18]:
(2)
Эвтектика имеет постоянный химический состав, не
меняющийся с температурой.
Сплав II. Кристаллизация этого сплава начинается
при температуре 1. Чтобы узнать состав кристаллов, выделяющихся при этой
температуре, проводим коноду внутрь исследуемой области диаграммы до
пересечения с первой встретившейся линией диаграммы 1. Таким образом, из сплава
II в точке 1 начинают выпадать кристаллы компонента А (точка 1). Значит, в
данной области будут две фазы: Ж + А.
При дальнейшем охлаждении оставшаяся жидкость
будет обедняться компонентом А вплоть до достижения температуры 2,
соответствующей эвтектическому превращению. Формула первичной кристаллизации
для сплава II [2]:
т.е. выпадает твердая фаза постоянной
концентрации. В точке 2 оставшаяся жидкость затвердевает в эвтектику (ЖЕ →ЭЕ).
Далее происходит физическое охлаждение образовавшейся структуры А + Э.
Для сплава III ход рассуждения аналогичен, как и
для сплава II. Схемы структур сплавов I, II и III при комнатной температуре
показаны на рисунке 7.
Рисунок 7 - Схемы структур сплавов I (а), II
(б), III (с), изображенных на рисунке 6
4. Диаграмма состояния сплавов,
компоненты которых ограниченно растворимы в твердом состоянии и образуют
эвтектику
На рисунке 8 представлена диаграмма состояния
сплавов двух компонентов А и В для случая, когда образуются ограниченные
твердые растворы α и β.
α-твердый
раствор является твердым раствором компонента В в компоненте А с переменной
растворимостью. Линия ав - линия предельной растворимости компонента В в
компоненте А. Максимальное содержание компонента В в α-
фазе определяется точкой а и при охлаждении снижается до точки в. β-твердый
раствор - это твердый раствор компонента А в компоненте В. Предельная
концентрация компонента А в фазе β
определяется линией сd, и эта концентрация не изменяется.
Линия ликвидус А′ЕВ′, линия солидус
А′аЕсВ′, линия эвтектического превращения - аЕс [6].
Рисунок 8. - Диаграмма состояний сплавов,
образующих ограниченный твердый раствор и эвтектику
Проследим за процессом кристаллизации сплава I.
Процесс кристаллизации сплава начинается при температуре 1, появляются первые
кристаллы твердого раствора α,
состав которых определяется проекцией точки 1′ на ось концентраций. При
дальнейшем понижении температуры продолжается выпадение кристаллов твердого
раствора α различной
концентрации. Кристаллизация сплава заканчивается в точке 2. Формула первичной
кристаллизации [17]:
В условиях медленного охлаждения вследствие
диффузии различный состав выпавших кристаллов твердого раствора успевает
выровняться и все α-кристаллы
принимают одинаковый состав (однородная зернистая структура), отвечающая
среднему составу сплава [16].
При охлаждении от температуры 2 до температуры 3
химический состав α не
изменяется, происходит лишь физическое охлаждение сплава. При температуре,
соответствующей точке 3, начинается вторичная кристаллизация сплава,
заключающаяся в том, что из α-твердого
раствора выделяются твердые кристаллы новой фазы. Чтобы узнать, какие кристаллы
будут выпадать из αтвердого
раствора при температуре 3, проведем изотерму (коноду) из точки 3 во внутрь
исследуемой области до пересечения с первой линией на диаграмме. Точка 3′
показывает, что выделяются кристаллы компонента β.
По мере понижения температуры сплава процесс выделения кристаллов β
из твердого раствора α
продолжается. Концентрация α-твердого
раствора изменяется по линии ав (например, при температуре t1 его концентрация
определяется проекцией точки m′ на ось концентраций). При комнатной
температуре состав α-твердого
раствора соответствует точке в. Формула вторичной кристаллизации будет
выглядеть следующим образом:
Кристаллы β,
выделяющиеся из твердого раствора, называются вторичными кристаллами и
обозначаются βП. Этим
подчеркивается, что они выпали из твердого раствора, а не из жидкого.
Следовательно, ниже точки 3 структура сплава
будет состоять из кристаллов α
- твердого раствора и вторичных кристаллов βII
(рисунок 9).
Сплавы с вторичной кристаллизацией представляют
для практики большой интерес, так как они могут менять строение и
соответственно свойства в зависимости от скорости охлаждения. Эти сплавы можно
подвергать закалке и старению [12].
Рисунок 9 - Схемы структур сплавов I (а), II
(б), III (в), IV (с), изображенных на рисунке 8
Закалке можно подвергать сплав I, так как в
сплаве есть превращение в твердом состоянии и образуется ограниченный твердый
раствор, уменьшающийся с понижением температуры.
Для проведения закалки сплав I необходимо
нагреть до температуры, несколько выше критической точки 3 (рис.8) и после
выдержки быстро охлаждать, например в воде. При этом диффузионные процессы,
связанные с образованием βII, не
успевают произойти. В твердом растворе будет растворено количество В, которое
определяется отрезком А4 (вместо нормальной растворимости Ав при медленном
охлаждении). Такой твердый раствор называют пересыщенным (α
пересыщ.).
Структура пересыщенного α-твердого
раствора является состоянием неравновесным. Поэтому с течением времени α
пересыщ. будет стремиться выделить из себя избыток β
и перейти в равновесное (естественное) состояние α+β.
Если это выделение β из α
пересыщ. произойдет при комнатной температуре, то такое явление называется
естественным старением. Если же закаленный сплав нагревают, то этот процесс
называют искусственным старением. При этом максимальная температура нагрева при
искусственном старении не должна превышать температуру 3. В случае нагрева выше
точки 3 полностью ликвидируется эффект пересыщения твердого раствора [15].
Следовательно, строение сплава I в точке 4 может
быть различным. Один и тот же сплав, имеющий разное строение, обладает и
разными механическими свойствами. Графики возможных видов термической обработки
и строение сплава I приведены на рисунке 10.
Для сплава II кристаллизация начинается при
температуре 5, выпадают кристаллы α-твердого
раствора состава 5. При температуре 6 кристаллы α
имеют концентрацию точки а, а жидкость - эвтектическую концентрацию.
Формула первичной кристаллизации
[3]:
Формула эвтектической реакции:
Рисунок 10. - Графики возможных видов
термической обработки и строение сплава I
По окончании затвердевания в точке 6 сплав II
будет иметь структуру α +эвтектика
(α+β).
При дальнейшем охлаждении сплава (от точки 6)
концентрация твердого раствора меняется по линии ав и, соответственно, из α
выпадают кристаллы βII. Таким
образом, ниже точки 6 структура сплава состоит из кристаллов твердого раствора α,
кристаллов βII и кристаллов
эвтектики. Выпадение кристаллов βII
можно предотвратить, если сплав от точки 6 охладить быстро, то есть если
провести закалку.
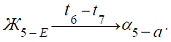
У сплава III одна критическая точка Е, при
которой происходит эвтектическое превращение [2]:
В результате кристаллизации этот сплав имеет
эвтектическую структуру. Для заэвтектического сплава IV первичная
кристаллизация сопровождается выделением β-фазы,
богатой компонентом В, что приводит к обеднению жидкого раствора этим
элементом. Формула первичной кристаллизации
[2]:
При охлаждении до температуры точки 9 фазовый
состав будет ЖЕ + βс, при этом
количество β-фазы определяется
отрезком Е9, а жидкой фазы - отрезком 9С.
При температуре точки 9 жидкая часть сплава
превратится в эвтектику (αа+βс)
Все сплавы от точки а до точки с содержат
эвтектику, количество которой тем больше, чем ближе состав к эвтектическому.
Превращения в сплаве V протекают аналогично сплавам, рассмотренным на рисунке
2.
Ограниченную растворимость в твердом состоянии
имеют сплавы, применяемые в технике: Al-Cu (дюралюминий), Cu-Zn (латунь), Cu-Sn
(бронза) [19].
5. Диаграмма состояний сплавов,
образующих в твердом состоянии химические соединения
Химическое соединение образуется при определенном
составе сплава, что выражается формулой, например АmВn. Химическое соединение
имеет свою, отличную от элементов, составляющих сплав, кристаллическую решетку.
В связи с этим химическое соединение ведет себя в сплаве как самостоятельный
компонент. Поэтому диаграмму, представленную на рисунке 11, следует
рассматривать состоящей из двух отдельных диаграмм: А - АmBn и АmBn - В,
рассмотренных выше [6].
Рисунок 11. - Диаграмма состояния сплавов,
образующих в твердом состоянии химическое соединение
6. Диаграмма состояния сплавов с
полиморфными превращениями компонентов
диаграмма металлический сплав
кристаллизация
Полиморфизм - свойство некоторых металлов иметь
различные типы кристаллических решеток при разных температурах.
Если хотя бы один из металлов, образующих сплав,
претерпевает полиморфное превращение, то в сплавах наблюдается
перекристаллизация в твердом состоянии.
Диаграмма состояния сплавов компонентов А и В на
рисунке 12 показывает, что данная диаграмма состоит как бы из двух диаграмм.
Высокотемпературные полиморфные модификации элементов βА
и βВ
неограниченно растворимы друг в друге и образуют неограниченный твердый раствор
β
[5].
Рис.12. - Диаграмма состояния сплавов с полиморфным
превращением
Подобную диаграмму мы уже анализировали (рисунок
2) и указывали возможные термические обработки. Твердый раствор β
при достижении температуры tЭ испытывает эвтектоидное превращение. Формула
эвтектоидного превращения имеет вид [3]
(4)
Механическая смесь твердых фаз, образовавшаяся
из твердой фазы определенного состава при постоянной температуре, называется
эвтектоидом. Низкотемпературные модификации αА
и αВ
образуют ограниченный твердый раствор α.
В сплавах с полиморфным превращением можно
провести диффузионный отжиг, рекристаллизационный отжиг, отжиг для измельчения
зерна, закалку и отпуск, как это показано на рисунок 13 для сплава I [17].
Литой сплав I имеет дендритную структуру
(рис.13а), для устранения которой проводят диффузионный отжиг. Как указывалось
выше, при диффузионном отжиге сплав нагревают до очень высоких температур и
проводят длительную выдержку, в результате чего достигается устранение
дендритной структуры, но при этом появляется другой дефект - происходит
укрупнение зерна (рис.13б). Наличие крупнозернистой структуры ухудшает
технологические свойства сплава, снижает сопротивление разрушению в области
отрицательных температур. Так как в сплаве I протекают фазовые превращения,
можно провести отжиг для измельчения зерна.
Отжиг проводится при температуре, незначительно
выше температуры 3 (на 30-50 оС). При нагреве произойдет изменение в
строении сплава. При температуре 3 сплав будет иметь мелкозернистую структуру β-твердого
раствора.
Последующее медленное охлаждение приведет к
получению исходной мелкозернистой структуры (рис.13в). Такую термическую
обработку называют полным отжигом. При отжиге с нагревом выше точки 4, но ниже
точки 3 (неполный отжиг) будет измельчен только эвтектоид (А+α),
а зерно α-твердого
раствора останется крупным. При нагреве сплава I ниже точки 4 измельчение
структуры невозможно [20].
Сплав I можно подвергнуть закалке. При нагреве
несколько выше точки 3 сплав будет иметь структуру твердого раствора β,
в котором (в решетке βВ)
растворено количество компонента А, определяемое отрезком 5В. При быстром
охлаждении диффузионные процессы подавляются, происходит бездиффузионное
полиморфное превращение высокотемпературной модификации βВ
в низкотемпературную αВ.
Образование эвтектоида не произойдет, образуется пересыщенный α-твердый
раствор (в α- твердом растворе
растворено количество А, определяемое отрезком 5В, вместо нормальной
растворимости сВ).
Пересыщенный твердый раствор образующийся при
закалке с бездиффузионным полиморфным превращением высокотемпературной
модификации в низко- температурную, называют мартенситом (рисунок 13г). После
закалки проводят отпуск с нагревом сплава не выше эвтектоидной температуры 4. В
результате отпуска получается структура, обеспечивающая требуемый уровень
свойств (рис.13д) [17].
Рисунок 13. - Виды термической обработки для
сплавов с полиморфным превращением
7. Типовые диаграммы состояния

Заключение
В данной работе были исследованы диаграммы
состояния двойных металлических систем, были изучены основные принципы
определения структуры сплавов при различных температурах. Приведенные сведения
о диаграммах необходимы для выбора и разработки промышленных металлических
материалов, технологии их производства и практического использования.
Были исследованы образующиеся в системах
соединения и их кристаллические структуры, типы и температуры их фазовых
превращений, взаимная растворимость компонентов друг в друге и изменение ее при
изменении температуры.
Так же были рассмотрены возможные виды
термической обработки для различных видов сплавов, в соответствии с диаграммой
состояния.
Список литературы
1.
Лахтин Ю.М. Материаловедение: Учебник для высш. техн. учеб. заведений / Лахтин
Ю.М., Леонтьева В.П. - М.: Машиностроение, 1990. - 528 c.
.
Гуляев А.П. Металловедение: Учебник для высш. техн. учеб. заведений. М.:
Металлургия, 1990. - 648 с.
.
Арзамасов Б.Н. Материаловедение: Учебник для высш. техн. учеб. заведений /
Б.Н.Арзамасов, В.И.Макарова, Г.Г.Мухин и др. - М.: Изд-во МГТУ им. Н.Э.Баумана,
2001. - 657 с.
.
Лякишев Н.П. Диаграммы состояния металлических систем: Справочник: В 3 т.: Т. 1
/Под общ. ред. Лякишева Н.П. - М.: Машиностроение, 1996. - 992 c.
.
Лякишев Н.П. Диаграммы состояния металлических систем: Справочник: В 3 т.: Т. 2
/Под общ. ред. Лякишева Н.П. - М.: Машиностроение, 1996. - 1024 с.
.
Лякишев Н.П. Диаграммы состояния металлических систем: Справочник: В 3 т.: Т. 3
/Под общ. ред. Лякишева Н.П. - М.: Машиностроение, 1996. - 448 c.
.
Осинцев О.Е. Диаграммы состояния двойных и тройных систем. Фазовые равновесия в
сплавах: Учебное пособие / Осинцев Е.О. - М.: Машиностроение, 2008. - 352 с.
.
Агеев Н.В. Диаграммы состояния металлических систем: Учебник для высш. техн.
учеб. Заведений/ Агеев Н.В., Иванов О.С. - М.: Наука 1981. - 436 с.
.
Захаров Т.П. Диаграммы состояния двойных металлических систем: Учебное пособие
/ Захаров Т.П. - М.: Машиностроение, 1998. - 486 с.
.
Барташевич А.А. Материаловедение: учебное пособие/ Бахар Л.М., Барташевич А.А.
- М.: Феникс, 2006. - 352 с.
.
Давыдова И.С. Материаловедение: справочник/ Давыдова И.С., Урусов В.С. - М.:
РИОР, 2006. - 240 с.
.
Белянчиков Л. Н. Анализ бинарных диаграмм металлических систем/ Белянчиков Л.
Н.// Электрометаллургия. М., - 2007. №6. - С. 27-34.
.
Шуняев К.Ю. Н.А. Ватолин В.Л. Лисин Зависимости в диаграммах состояния
металлических систем/ Шуняев К.Ю. Ватолин Н.А. Лисин В.Л.// Металлы. М., -
2008. №5. - С. 47 - 54.
.
Zaitsev A.I.
Thermodynamic
properties
of Pb-Sn
liquid solution/
Zaitsev A.I.,
Shelkova
N.E.,
Mogutnov
B.M.
//Met. Trans.
B. - 2007. V.29B.
P. 155 - 161.
.
Прусаков Б.А. Металловедение и термическая обработка металлов: справочник/
Прусаков Б.А., Борисов И.А., Воронцова Л.А. - М.: Фолиум, 2006. - 432 с.
.
Кузьмичева В.П. Диаграммы плавкости двухкомпонентных систем: Учебное пособие/
Кузьмичева В.П. - М.: НовГУ, 2006. - 469 с.
.
Лякишев Н.П. Энциклопедический словарь по металлургии: Словарь / Лякишев Н.П.,
т.1,2 - М.: Интермет-Инжиниринг, 2000. - 544 с.
.
Гутман М. Б. Основы технологии процессов нагрева при термической обработке
сплавов: Справочник/ Гутман М. Б., Арендарчук Б. В - М.: Машиностроение, 2001.
- 296 с.
.
Пименов С.В. Способы обработки материалов: Учебное пособие/ Пименов И.В.,
Худяков В.К. - М.: Калининград, 2000. - 346 с.
.
Электронный каталог Материаловедение: образовательный ресурс. - Режим доступа
http://supermetalloved.narod.ru.