Технологический процесс изготовления детали 'вал'
ВВЕДЕНИЕ
Машиностроение является важнейшей отраслью
промышленности. Его продукция - машины различного назначения поставляются всем
отраслям народного хозяйства. Рост промышленности и народного хозяйства, а
также темпы перевооружения их новой техникой в значительной степени зависят от
уровня развития машиностроения. Технический прогресс в машиностроении
характеризуется не только улучшением конструкций машин, но и непрерывным
совершенствованием технологии их производства. Важно качественно, дешево и в
заданные плановые сроки с минимальными затратами живого и овеществленного труда
изготовить машину, применив высокопроизводительное оборудование,
технологическую оснастку, средства механизации и автоматизации производства. От
принятой технологии производства во многом зависит надежность работы
выпускаемых машин, а также экономичность их эксплуатации.
Совершенство конструкции машины характеризуется
ее соответствием современному уровню техники, экономичностью в эксплуатации, а
также тем, в какой мере учтены возможности использования наиболее экономичных и
производительных технологических методов ее изготовления применительно к
заданному выпуску и условиям производства.
В период научно-технической революции и при
высоких темпах технического прогресса важное значение имеет всемерное ускорение
технологической подготовки производства новых объектов. Эта задача может быть
решена путем разработки и широкого использования типовых технологических
процессов, применения гибких быстропереналаживаемых средств производства, нормализованной
и обратимой оснастки.
Совокупность методов и приемов изготовления
машин, выработанных в течении длительного времени и используемых в определенной
области. Поэтому возникают такие понятия: технология обработки давлением,
литья, сварки, сборки машин. Все эти области производства относятся к
технологии машиностроения охватывающей все этапы процесса изготовления
автомобильной продукции.
Однако под “технологией машиностроения” принято
понимать научную дисциплину, изучающую процессы механической обработки деталей
и сборки машин, попутно затрагивающую вопросы выбора заготовки и методы их
изготовления. В процессе технической обработки деталей машин возникает большое
количество простейших вопросов, связанных с необходимостью выполнения
технических требований, поставленными конструкторами перед изготовителями.
Эти обстоятельства объясняют развитие
“технологии машиностроения“ как научной дисциплины, в первую очередь в
направлении изучения вопросов технологии механической обработки и сборки, в
наибольшей мере влияющих на производственную деятельность предприятия.
АНАЛИЗ ТЕХНОЛОГИЧНОСТИ КОНСТРУКЦИИ
ДЕТАЛИ
Анализ технологичности детали выполняем с целью
выявления возможного снижения себестоимости обработки детали путем
совершенствования ее конструкции.
К критериям технологичности детали относятся:
а) технологичность заготовки,
б) технологичность базирования и закрепления,
в) технологичность обрабатываемых поверхностей,
г) технологичность детали.
Рассмотрим выполнение этих критериев
применительно к заданной детали.
Технологичность заготовки
Деталь - «Винт 7230» изготавливается из стали 45
ГОСТ 1050-74 прутков фасонного проката. Конфигурация наружного контура и
отверстия не вызывает значительных трудностей при получении заготовки.
Таким образом, заготовку можно считать
технологичной.
Жесткость заготовки
Технологичность базирования и закрепления
Технологичность базирования и закрепления детали
характеризуется наличием опорных поверхностей (баз), совпадением
технологической и измерительной баз, точностью и шероховатостью базовых
поверхностей, возможностью захвата детали роботом.
Анализ технологичности конструкции детали
Целью анализа конструкции детали на
технологичность является выявление недостатков конструкции по сведениям,
содержащимся в чертежах и технических требованиях, а также возможное улучшение
технологичности рассматриваемой конструкции.
Анализ технологичности проводится, как правило,
в два этапа: качественный и количественный
Качественный анализ технологичности детали
Конфигурация детали достаточно технологична для
обработки резанием на токарном станке, все поверхности легкодоступны для
инструмента. Жесткость винта допускает получение высокой точности обработки
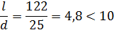
(жесткость винта считается недостаточной, если для получения точности 6…9-го
квалитетов отношение его длины l к диаметру d свыше 10…12).
Определим жёсткость детали:
На чертеже указаны все необходимые размеры,
требуемая шероховатость обрабатываемых поверхностей, допуски.
Технологической базой при точении является черновая
поверхность заготовки, после переустановки детали - уже обработанная
поверхность винта.
Количественный анализ технологичности детали
Количественная оценка технологичности
выполняется согласно ГОСТ 14201-73 и содержит следующие показатели:
Коэффициент точности обработки Ктч определяется
по формуле:

где Тср - средний квалитет точности обработки.
Коэффициент шероховатости поверхности
определяется
по формуле:

где Raср - средняя шероховатость поверхностей
изделия.
Коэффициент использования материала Ким:

где q - масса детали, кг;- масса заготовки, кг.
Выбор метода получения заготовки
Главным при выборе заготовки является
обеспечение заданного качества готовой детали при ее минимальной себестоимости.
Заготовка по возможности должна иметь простую
конфигурацию, которая не требует при изготовлении сложной и дорогой оснастки.
Выбор способа производства зависит от материала
изделия, назначения и технологических требований, размеров и массы заготовки,
требований к точности и шероховатости, определяемых заданным квалитетом,
масштаба и серийности производства, технико-экономических показателей,
возможностями данного производства, его оснащенностью. Учитываются также новые
технологии машиностроения.
В данном случае: деталь - винт, материал - сталь
45 ГОСТ 2590-88.
Способ производства заготовки - круглый стальной
горячекатный прокат Ø28 мм
ГОСТ 1050-74.
Выбор стратегии и выбор производства
В зависимости от типа производства будем
определять общие подходы к выбору организации технологического процесса, ввиду
заготовки, назначение припусков.
Различные типы производства характеризуются
различной величиной коэффициента закрепления операций. Для его расчета
необходимо знать трудоемкость изготовления детали, последовательность обработки
и количество станков.
Тип производства определим упрощенно в
зависимости от массы детали и программы выпуска.
По при массе детали менее 1 кг и годовой
программе выпуска Nг=15000 шт. производство - среднесерийное.
Основные характеристики среднесерийного
производства
|
№
|
Критерий
выбора техпроцесса
|
Характеристика
|
|
1
|
Форма
организации техпроцесса для среднесерийного производства
|
Переменно-поточная
|
|
2
|
Повторяемость
выпуска изделий
|
Периодическое
повторение партий
|
|
3
|
Унификация
техпроцесса
|
Разработка
специальных техпроцессов на базе типовых
|
|
4
|
Заготовка
|
Штамп,
прокат, профильный прокат
|
|
5
|
Припуски
|
|
6
|
Оборудование
|
Универсальное,
специализированное
|
|
7
|
Загрузка
оборудования
|
Автоматическая
|
|
8
|
Настройка
станков
|
По
измерительным приборам и инструментам
|
|
9
|
Оснастка
|
Универсальная
|
|
10
|
Подробность
разработки техпроцесса
|
Маршрутная
карта, операционная карта, карта эскизов
|
Выбор средств технологического оснащения
Задача раздела - выбрать для каждой операции
технологического процесса такие оборудования, приспособление и инструмент,
которые бы обеспечили заданный выпуск деталей заданного качества с минимальными
затратами.
Обоснование выбора оборудования
Выбор станка должен основываться на следующих
правилах:
Мощность, производительность и точность должны
быть минимальными, но достаточно для выполнения требования предоставляемых к
операции. Обеспечение концентрации производства с целью уменьшения числа
операций, количества оборудования, повышения производительности и точность за
счет уменьшения числа переустановок заготовки. В среднесерийном производстве
следует применять высокопроизводительные станки-автоматы, агрегатные станки,
станки с ЧПУ.
Оборудование должно отвечать требования
безопасности, Эргономики и экологии.
Данные по выбору оборудованию занесены в
таблицу.
Технологический маршрут обработки детали
|
№
операции
|
Наименование
операции
|
Станок
|
|
010
|
Токарная
чистовая
|
ТОЦ
GOODWAY GS-2000
|
|
015
|
Фрезерная
|
ТОЦ
GOODWAY GS-2000
|
|
020
|
Фрезерная
|
ТОЦ
GOODWAY GS-2000
|
|
025
|
Сверлильная
|
ТОЦ
GOODWAY GS-2000
|
|
030
|
Резьбонарезная
|
ТОЦ
GOODWAY GS-2000
|
|
035
|
Токарная
|
ТОЦ
GOODWAY GS-2000
|
|
040
|
Сверлильная
|
ТОЦ
GOODWAY GS-2000
|
Обоснование выбора режущего инструмента
При выборе режущего инструмента следует
руководствоваться правилами:
Режущий инструмент выбирается исходя из метода
обработки, оборудования, расположения обрабатываемой поверхности. Следует
отдавать стандартным и нормализованным инструментам и только при их отсутствии
применять нестандартные. Материал режущего инструмента выбирается исходя из
обрабатываемого материала, состояния поверхности и вида обработки.
Выбор инструмента
|
№
операции
|
Наименование
операции
|
Режущий
инструмент
|
Мерительный
инструмент
|
|
010
|
Токарная
черновая
|
Резец
токарный проходной прямой левый ГОСТ-18869-73 P9K5
|
Калибр-скоба
ГОСТ 18355-73
|
|
015
|
Фрезерная
|
Фреза
концевая с цилиндрическим хвостовиком ГОСТ 170250-71Ø8
P6M5K5
|
Шаблон
ГОСТ 2534-79
|
|
020
|
Фрезерная
|
Фреза
концевая с цилиндрическим хвостовиком ГОСТ 170250-71 Ø8
P6M5K5
|
Шаблон
ГОСТ 2534-79
|
|
025
|
Сверление
|
Сверло
метчик
|
|
030
|
Резьбонарезная
|
Сверло-метчик
|
Калибр-пробка
ГОСТ 18355-73
|
|
035
|
Отрезная
|
Резец
отрезной двухсторонний ГОСТ-18883-73 Т5К10
|
Штангенциркуль
ШЦЦ-150-0,01 электронный ГОСТ 166-89
|
|
040
|
Сверлильная
|
Сверло
по металлу с коническим хвостовиком ГОСТ 10903-77 Ø7,5
Р6М5
|
Калибр-скоба
ГОСТ 18355-73
|
Используемое оборудование
Рис. 1
Токарно-обрабатывающий центр GOODWAY:
Модель GS-2000.
Максимальный диаметр прутка 51.
Масса станка 6 700.
Максимальный диаметр точения I: 400;
Максимальная длина точения I: 691 / 1441;
Система ЧПУ Fanuc 0i-TD.
Тип направляющих скольжения.
Диапазон скоростей вращения шпинделя 48 - 4800
об/мин.
Мощность двигателя привода шпинделя (номинал/30
мин).ЧПУ Fanuc: 15. Количество позиций в револьверной головке 12.
Быстрые перемещения по осям X/Z 30 / 30 м/мин.
Точность позиционирования / повторяемость ±
0,005 / ± 0,003 мм.
Приводная револьверная головка + С-ось +
Задняя бабка +ось +
Противошпиндель +
Схема базирования заготовки
Рис. 2
Так как все операции будут производиться в одном
приспособлении на все виды обработки заготовки, то и схема базирования будет
одна и та же.
Техпроцесс изготовления вала
|
№
|
Наименование
|
Обор-
е
|
Инст-т
|
Приспособление
|
|
005
|
Заготовительная
|
|
|
|
|
010
|
Токарная.
Точение заготовки на l = 27,8 t = 0,7
|
Goodway
GS 2000
|
Резец
проходной ГОСТ 18880-73
|
Трехкулачковый
самоцентрирующий патрон
|
|
015
|
Фрезерная.
Снятие лысок l = 8,8, t = 2,3
|
|
Фреза
концевая ГОСТ 17025-71
|
|
|
020
|
Сверлильная.
Сверление перпендикулярного отверстия ø3, на
t=4
|
|
Сверло-метчик
|
|
|
025
|
Резьбонарезаная
Нарезание резьбы M4×1
|
|
Сверло-метчик
|
|
|
030
|
Токарная
Отрезание заготовки на l=27,9
|
|
Резец
отрезной двухсторонний ГОСТ 18884-73
|
|
|
035
|
Сверлильная.
Сверление осевого отверстия Ø7,5, на
t =19
|
|
Сверло
по металлу ГОСТ 10903-77
|
|
|
040
|
Моечная
|
Ванна
моечная
|
|
|
|
045
|
Измерительная
|
Стол
|
Калибр-скоба
|
|
|
050
|
Электрохим.
|
|
|
|
055
|
Контрольная
измерительная
|
Стол
ОТК
|
|
|
ТЕХНОЛОГИЧЕСКАЯ ОСНАСТКА
Токарные самоцентрирующиеся патроны
предназначены для закрепления заготовок на токарных и других металлорежущих
станках.амоцентрирующиеся трехкулачковые токарные патроны из стали и чугуна
предназначены для установки на универсальные токарные, револьверные,
внутришлифовальные станки, делительные головки и различные приспособления для
закрепления штучных заготовок и пруткового материала.
Патроны токарные трехкулачковые изготавливаются
с цилиндрическим центрирующим пояском и устанавливаются на шпиндели станков
через переходные фланцы по ГОСТ 3889-80.
Все основные детали патронов изготавливаются из
конструкционных, легированных термически обработанных сталей.
Пневматический привод - совокупность устройств,
предназначенных для приведения в движение машин и механизмов посредством
энергии сжатого воздуха. Обязательными элементами пневмопривода являются
компрессор и пневмодвигатель.
Пневмопривод представляет собой своего рода
«пневматическую вставку» между приводным двигателем и нагрузкой (машиной или
механизмом) и выполняет те же функции, что и механическая передача.
Основное назначение пневмопривода, как и
механической передачи, - преобразование механической характеристики приводного
двигателя в соответствии с требованиями нагрузки (преобразование вида движения
выходного звена двигателя, его параметров, а также регулирование, защита от
перегрузок и др.).
В общих чертах, передача энергии в пневмоприводе
происходит следующим образом:
Приводной двигатель передаёт вращающий момент на
вал компрессора, который сообщает энергию рабочему газу.
Рабочий газ после специальной
подготовки по пневмолиниям <#"652479.files/image011.gif">
Рис. 3
Режущие инструменты
Комбинированный инструмент
сверло-метчик
Рис. 4
Сверло-метчик позволяет совместить
операции сверления и нарезания резьбы.
При работе комбинированными
инструментами значительно сокращается время обработки отверстий за счет
уменьшения количества переходов, сокращения вспомогательного и машинного
времени. Глубина отверстия не должна превышать 2 диметров сверла. В данном
случае это условие выполняется.
Резец отрезной двухсторонний. ГОСТ
18884-73
Рис. 5
Предназначен для обточки и отрезки
деталей или заготовок из сталей, чугунов или цветных металлов и сплавов.
ПРИБОРЫ КОНТРОЛЯ ТОЧНОСТИ ОБРАБОТКИ
ПОВЕРХНОСТИ
Калибры
Калибрами называются бесшкальные
меры, которые предназначены для контроля размеров, формы и расположения
поверхностей деталей. По методу контроля калибры делят на нормальные и
предельные. Нормальные калибры копируют размеры и форму изделий.
Предельные калибры воспроизводят
размеры, соответствующие верхней и нижней границам допуска на изделие.При
контроле используют проходной и непроходной предельные калибры. По конструкции
предельные калибры делят на нерегулируемые и регулируемые.Регулируемые калибры
позволяют компенсировать их износ или устанавливать калибр на другой размер;
предельные калибры могут быть однопредельными и двухпредельными, объединяющими
проходной и непроходной калибры. Оба предельных калибра могут быть расположены
с одной стороны. В этом случае предельные калибры называют односторонними.
Комплексные калибры (рис. 1.26)
предназначены для контроля нескольких размеров изделия (например, деталей
шлицевого соединения).
Дифференциальные калибры (рис. 1.27)
позволяют контролировать только один размер (например, калибр для контроля
ширины шпоночного паза).
По назначению различают рабочие
калибры для контроля изделий при изготовлении; калибры контролера (для проверки
изделий работниками службы технического контроля); приемные калибры для
контроля изделий заказчиком; контрольные калибры для проверки размеров рабочих
и приемных калибров. В качестве калибра контролера используют частично
изношенные проходные и неизношенные непроходные калибры.
На калибры наносят маркировку, в
которой указывают параметры контролируемых деталей: номинальный размер,
обозначение поля допуска и предельные отклонения.
Нормальные калибр-шаблоны (рис.
1.28) применяют для контроля размеров и формы изделий сложного профиля. Шаблоны
1 могут прикладываться к проверяемому профилю изделия 2 (рис. 1.28, а) или
накладываться на изделие 2 с совмещением профилей (рис. 1.28, б). В первом
случае отклонение профиля изделия от профиля шаблона определяют на «краску»,
если отклонение менее 3 мкм, или на просвет, если отклонение больше 3 мкм. При
проверке на «краску» поверхность шаблона покрывают тонким слоем краски и
прикладывают его к изделию. По отпечатку краски на поверхности проверяемого
изделия судят о плотности прилегания шаблона.
Рис. 6
При контроле изделия путем совмещения профилей
отклонение профиля определяют при помощи индикатора (см. рис. 1.28, б).
Индикатор применяют в тех случаях, когда величина отклонения составляет не
более 5 мкм в большую или меньшую сторону, если эта величина больше, то
отклонение оценивают визуально.
Для определения радиусов закруглений от 1 до 25
мм применяют радиусные шаблоны (рис. 1.29), которые представляют собой стальные
пластины с профилем дуги окружности соответствующего радиуса. Они комплектуются
в наборы, состоящие из пластин с выпуклыми 1 или вогнутыми 3 профилями.
Пластины собирают в обойму 2. При контроле радиусные шаблоны, как правило,
прикладывают к профилю изделия. Если в сопряжении нет зазора, то радиусы
изделия и шаблона равны.
Калибр-пробки
Калибр-пробки для контроля отверстий небольшого
диаметра (1 …10 мм) изготавливают двусторонними со вставками из калиброванной
проволоки (рис.6, а).
Двусторонние калибр-пробки, имеющие вставки с
коническими хвостовиками (рис. 6, б), применяют для контроля отверстий
диаметром от 3 до 50 мм. Длина проходного калибра у этих пробок больше, чем
длина непроходного. Для этих же размеров иногда применяют односторонние пробки,
у которых проходной и непроходной калибр расположены по одну сторону рукоятки,
однако такие пробки сложны в изготовлении и не позволяют контролировать
неглубокие глухие и длинные отверстия, поэтому они используются редко.
|
Рис.
7 - Калибр-скобы (все размеры указаны в миллиметрах): а, б - скобы из
листового материала; в - штампованные скобы; г - штампованные скобы со
сменными измерительными губками; НЕ и ПР - соответственно непроходная и
проходная сторона калибра
|
Для контроля отверстий диаметром от 1 до 100 мм
применяют двусторонние пробки с насадками (рис. 1.32, в), имеющие полный
профиль. Пользование такими калибрами затруднительно из-за их большой массы,
поэтому при контроле отверстий большого диаметра чаще используют пробки с
неполными профилями. Калибр-пробки с неполным профилем изготавливают
двусторонними из листовых заготовок, их применяют для контроля отверстий с
размерами от 3 до 250 мм. Калибр-пробки с неполным профилем могут
изготавливаться и односторонними.
Рис. 8
вал производство точность контроль
Контроль отверстий диаметром от 250 до 1000 мм
производят предельными нутромерами или штихмассами. У нутромеров измерительные
поверхности выполняют цилиндрическими, а у штихмассов - сферическими. Штихмассы
и нутромеры применяют в виде комплектов, состоящих из двух калибров -
проходного и непроходного.
СПИСОК ИСПОЛЬЗУЕМОЙ ЛИТЕРАТУРЫ
1. Справочник
технолога-машиностроителя Под ред. Косилова А.Г. и Мещерякова Р.К. - М.:
Машиностроение. т.1, 1985 г.
2. Заплетухин
В.А. Конструирование соединений деталей в приборостроении. - Л.:
Машиностроение, 1985.
. Горошкин
А.К. Приспособления для металлорежущих станков. Справочник. - М.:
Машиностроение, 1979.
. Терликова
Т.Ф., Мельников А.С., Баталов В.И. Основы конструирования приспособлений. - М.:
Машиностроение, 1980.
. Гжиров
Р.И. Краткий справочник конструктора - Л.: машиностроение, 1983.
. В.Н.
Байкалова, А.М. Колокатов, И.Д. Малинина. Расчет режимов резания при точении.
Методические рекомендации по курсу «Технология конструкционных материалов и
материаловедение». М. 2000 г.
. С.Ф.
Соболев, Ю.П. Кузьмин. Методические указания по разработке технологических
процессов изготовления деталей механической обработкой.