Расчёт и проектирование абсорбера
Содержание
Задание
Введение
.
Описание абсорбционной установки
.
Расчётная часть
.1
Определение количества поглощаемого газа
.2
Определение расхода абсорбента
.3
Тепловой баланс
.4
Расчёт скоростей и диаметра абсорбера
.5
Определение высоты колонны
.5.1
Определение движущейся силы внизу колонны
.5.2
Определение движущей силы вверху колонны
.5.3
Определение коэффициента массопередачи
.5.4
Определение высоты насадки и высоты всей колонны
.6
Гидравлическое сопротивление колонны с насадкой
.7
Расчет вспомогательного оборудования
.7.1
Расчёт газодувки
.7.2 Расчёт
насосной установки
.
Расчёт тарельчатого абсорбера
.1
Расчёт диаметра абсорбера
.2
Гидравлический расчёт
.3
Определение необходимого количества рабочих тарелок
.4
Расчёт вспомогательного оборудования
.4.1
Расчёт газодувки
.4.2
Расчёт насосной установки
Сравнение
абсорберов
Заключение
Список
литературы
Задание
Рассчитать насадочный абсорбер для улавливания
аммиака NH3.
1. количество газовой смеси поступающей в
абсорбер V = 10 м3/c;
2. температура газо-воздушной смеси tсм
= 320°С;
. начальная объёмная концентрация аммиака
в смеси
=
8%;
. степень извлечения e
= 95%;
. степень насыщения воды газом h
= 81%;
. начальная температура абсорбента - t =
20°С;
. начальная температура охлаждающей воды
tв = 26°С;
. давление абсорбции - P=4,0 атм. (400
кПа).
Введение
Абсорбцией называют процесс поглощение газа или
пара жидким поглотителем (абсорбентом). Поглощение газа может происходить либо
за счёт его растворения в абсорбенте, либо в результате его химического
взаимодействия с абсорбентом. Возможно также сочетание обоих механизмов
абсорбции.
В промышленности абсорбция широко применяется
для выделения из газовых смесей ценных компонентов, для очистки технологических
и горючих газов от вредных примесей, для санитарной очистки газов и т. д.
При переходе из газовой фазы в жидкую, энергия
молекул распределяемого компонента уменьшается. Поэтому процесс абсорбции
сопровождается выделением тепла и повышением температуры системы. Кроме того,
объём системы в процессе абсорбции уменьшается за счёт уменьшения объёма
газовой фазы. Статика процесса абсорбции описывается уравнением Генри, а
кинетика - основными уравнениями массопередачи.
При абсорбции процесс массопередачи протекает на
поверхности соприкосновения фаз. Поэтому в аппаратах для поглощения газов
жидкостями (абсорберах) должна быть создана развитая поверхность
соприкосновения между газом и жидкостью. По способу образования этой
поверхности абсорбционные аппараты можно разделить на поверхностные,
насадочные, барботажные (тарельчатые) и распыливающие.
В абсорберах поверхностного типа поверхностью
соприкосновения фаз является зеркало жидкости или поверхность стекающей плёнки.
Поверхностные абсорберы малоэффективны и имеют ограниченное применение, главным
образом для абсорбции небольших количеств хорошо растворимых газов.
Насадочные колонны представляют собой колонны,
загруженные насадкой - твёрдыми телами различной формы; при наличии насадки
увеличивается поверхности соприкосновения газа и жидкости.
Эффективность работы насадочного абсорбера во
многом зависит не только от гидродинамического режима, но и от типа выбранной
насадки. Разнообразие применяемых насадок объясняется множеством предъявляемых
к ним требований: большая удельная поверхность и свободный объём, малое
гидравлическое сопротивление газовому потоку, равномерное распределение
абсорбента, хорошая смачиваемость, коррозионная стойкость, малая насыпная
плотность и низкая стоимость. Наиболее распространённый тип абсорберов. Преимуществом
их является простота устройства, особенно важная при работе с агрессивными
средами, так как в этом случае требуется защита от коррозии только корпуса
колонны и поддерживающих насадку решёток, насадка же может быть выполнена из
химически стойкого материала. Важным преимуществом насадочных колонн является
более низкое, чем в барботажных абсорберах гидравлическое сопротивление. Однако
насадочные колонны мало пригодны при работе с загрязнёнными жидкостями, при
малых расходах жидкости и при больших тепловыделениях.
В барботажных абсорберах поверхность
соприкосновения фаз развивается потоками газа, распределяющего жидкость в виде
пузырьков и струек. Такое движение газа, называемое барботажем, осуществляется
в тарельчатых колоннах с колпачковыми, ситчатыми или провальными тарелками.
Особенностью тарельчатых колонн является ступенчатый характер проводимого в них
процесса (в отличие от непрерывного процесса в насадочных колоннах): газ и
жидкость последовательно соприкасаются на отдельных ступенях аппарата.
В распыливающих абсорберах поверхность
соприкосновения создаётся путём распыления жидкости в массе газа на мелкие
капли. Такие абсорберы изготовляются обычно в виде колонн, в которых распыление
жидкости производится сверху, а газ движется снизу вверх. Преимуществом
распылительных абсорберов является их простота и дешевизна, низкое
гидравлическое сопротивление, а недостатками - дополнительные затраты энергии
на распыление жидкости, большая плотность орошения и трудность регулирования
подачи большого количества жидкости.
Преимуществом барботажных абсорберов является
хороший контакт между фазами и возможность работы при любом, в том числе и
низком, расходе жидкости, кроме того, в барботажных абсорберах легко
осуществить отвод теплоты. Основной недостаток барботажных абсорберов сложность
конструкции и высокое гидравлическое сопротивление.
Целью курсового проектирования является расчёт и
проектирования абсорбера.
.
Описание абсорбционной установки
Схема абсорбционной установки показана на
рисунке 1.
Установка работает следующим образом. Газ,
охлажденный в теплообменнике 9, подаётся газодувкой 8 в нижнюю часть абсорбера
6, где равномерно распределяется по сечению колонны и поступает на контактные
элементы (насадку). Абсорбент подаётся в верхнюю часть абсорбера 6 насосом 4 из
сборника 3. В абсорбере 6 осуществляется противоточное взаимодействие газа и
жидкости. Очищенный газ выходит из абсорбера 6 в атмосферу. Абсорбент стекает
через гидрозатвор в сборник 7, откуда насосом 5 направляется на дальнейшую
переработку. Для охлаждения газа в теплообменник 9 из градирни 2 подаётся
наосом 1 вода, которая после теплообменника возвращается на охлаждение в
градирню 2.
2. Расчётная часть
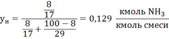
.1 Определение количества поглощаемого газа
Количество поглощаемого аммиака (NH3)
определяется по формуле:
где yн
- начальная концентрация аммиака в газовой смеси, выраженная в мольных долях,
;
- молекулярная
масса аммиака,
;
e - коэффициент извлечения аммиака;
,4 - объём смеси, занимаемый 1 кмоль газа, м3.
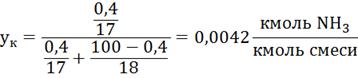
Начальная концентрация аммиака в газовой смеси
определяется по формуле:
где
=8%
об. - начальная концентрация аммиака в смеси;
- молекулярная
масса воздуха,
=29
.
Коэффициент извлечения аммиака рассчитывается по
формуле:
где
-
конечная концентрация аммиака в смеси.
Тогда количество поглощаемого аммиака по формуле
(1.1) равно:
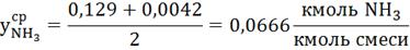
.2 Определение расхода абсорбента
Расход абсорбента определяется по формуле
где
,
-
конечные и начальные концентрации аммиака в абсорбенте, выраженные в
относительных массовых единицах,
(
=0
по условию).
Конечная концентрация аммиака в абсорбенте
определяется по формуле:
где X’-равновесная
концентрация аммиака в абсорбенте,
где К - коэффициент Генри для водных растворов,
определяется по справочным данным. Для водного раствора аммиака коэффициент
Генри К=277кПа;
P - давление
абсорбции, P=400кПа.
Конечная концентрация аммиака в абсорбенте по формуле
(1.5)
Расход абсорбента по формуле (1.4):
Действительная концентрация аммиака в абсорбенте
на выходе из абсорбера определяется по формуле:
.3 Тепловой баланс
Температура жидкости на выходе из абсорбера
определяется по формуле:
где Ф - интегральная теплота растворения,
Ф=35322 Дж/кг;
с - удельная теплоёмкость жидкости, с=4200
Дж/кгК
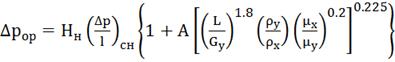
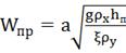
.4 Расчёт скоростей и диаметра абсорбера
В качестве насадки выбираем керамические седла
«Инталокс» 12,5. Удельная поверхность колец
,
свободный объём пор
, масса насадки
,
эквивалентный диаметр насадки
.
Скорость газа, несколько меньше скорости, при
которой наступает инверсия фаз:
(1.9)
Скорость инверсии в обычных насадочных колоннах,
работающих в условиях затопления насадки и появления эмульгационного слоя
определятся по уравнению:
, (1.10)
где Wинв
- предельная фиктивная скорость газа, м/с;
f - удельная
поверхность насадок, м2/м3;
µx
- вязкость поглотителя при температуре в абсорбере, вязкость, µx
= 1,05·10-3Па·с;
ρy
- средняя плотность газа,
.
ρx
- плотность жидкости,
.
Средняя плотность газовой смеси при рабочих
условиях определяется по формуле
(1.11)
где
-
средняя плотность газовой смеси при нормальных условиях. кг/м3.
Т0 - нормальная температура, Т0
=273 К;
P0
- нормальное давление, P0=101300Па.
Конечная концентрация аммиака в газовой смеси в
мольных долях найдём по формуле:
(1.12)
Средняя концентрация аммиака
(1.13)
Средняя концентрация воздуха
(1.14)
Средняя плотность газовой смеси определяется по
формуле
(1.15)
Подставляя полученные значение в формулу (1.11),
получим
Средняя молекулярная масса
(1.16)
кг/кмоль
Расход газа определяем по формуле
(1.17)
Подставляя значения в уравнение 1.10 и решая его
относительно Wинв
получим Wинв=4,7м/с
Тогда скорость газа
Wг=0,75·4,6=3,45
м/с
Диаметр колонны
. (1.18)
где
-
расход смеси при рабочих условиях, определяем по формуле
(1.19)
Принимаем диаметр колонны из нормального ряда Dк=1,2
м.
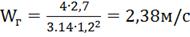
Уточняем скорость газа в колонне:
(1.20)
.
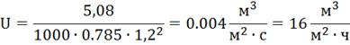
Определяем плотность орошения
(1.21)
Плотность орошения больше оптимального значения
[9] Uопт=5
,
следовательно, выбранные кольца Рошига по условию смачивания подходят
2.5 Определение высоты колонны
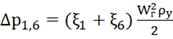
.5.1 Определение движущейся силы внизу колонны
Движущая сила процесса внизу колонны
определяется по формуле:
(1.22)
где
-
парциальное давление аммиака на входе в абсорбер;
- парциальное
давление аммиака в газе, равновесном с жидкостью, вытекающей из абсорбера.
Парциальное давление аммиака на входе в абсорбер
определяется по формуле
(1.23)
.
Конечная концентрация аммиака в жидкости, в
мольных долях
(1.24)
.
Парциальное давление аммиака в газе, равновесном
с жидкостью, вытекающей из абсорбера:
(1.25)
Тогда, движущая сила колонны составит
.5.2 Определение движущей силы вверху колонны
Движущая сила процесса вверху колонны
определяется по формуле:
(1.26)
где
-
парциальное давление аммиака на выходе из абсорбера;
- парциальное
давление аммиака в газе, равновесном с жидкостью.
Парциальное давление аммиака на выходе в
абсорбера определяется по формуле
(1.27)
.
Так как на орошение абсорбера подается чистая
вода, то парциальное давление аммиака в равновесном с водой газе равно 0.
Тогда, движущая сила вверху колонны составит
Поскольку отношение
,
среднее значение движущей силы процесса определяется как среднее
логарифмическое
(1.28)
.5.3 Определение коэффициента массопередачи
Коэффициент массопередачи определяется по
формуле (3.13) [8, с.287].
Константа j в этом уравнении
определяется по формуле:
(1.29)
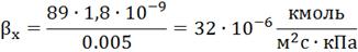
Коэффициент массотдачи со стороны газа
определяется по формуле
(1.30)
где
-
коэффициент диффузии аммиака в воздухе при рабочих условиях;
- средняя
плотность газовой смеси при рабочих условиях, кг/м3;
- среднее
парциальное давление инертного газа в газовой смеси, кПа
- средняя
молекулярная масса газовой смеси, кг/моль.
Критерий Рейнольдса
(1.31)
где
-
вязкость газовой смеси при рабочих условиях,
;
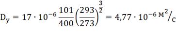
Коэффициент диффузии при рабочих условиях
определяется по формуле
(1.32)
где
=
17·10-6
- коэффициент
диффузии аммиака в воздухе, определяется по [8].
Критерий Прандля
(1.33)
Критерий Нуссельта
(1.34)
Среднее парциальное давление инертного газа
определяется по формуле
(1.35)
Определяем коэффициент массоотдачи по формуле
(1.18)
Коэффициент массотдачи со стороны жидкости
определяется по формуле
(1.36)
где
-
коэффициент диффузии аммиака в воде при рабочих условиях,
=1,8·10-9
;
- критерий
Нуссельда в жидкой фазе.
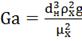
Критерий Нуссельта
(1.38)
Критерий Рейнольдса для жидкой фазы
(1.39)
Критерий Прандля для жидкой фазы
(1.40)
Критерий Галилея
, (1.41)
где
-
наружний диаметр элемента насадки,
=0,0125
м.
Критерий Нуссельта
Определяем коэффициент массоотдачи по формуле
(1.32)
Подставляя найденные значения в формулу и
находим коэффициент массопередачи
2.5.4 Определение высоты насадки и высоты всей
колонны
Высота насадки определяется по формуле
(1.42)
Высоту колонны определяем по формуле
, (1.43)
где
-
высота нижней части колонны,
=2 м;
- высота верхней
части колонны,
=2
м;
- высота разрыва,
=0,4м.
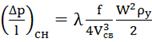
.6 Гидравлическое сопротивление колонны с
насадкой
абсорбер аммиак абсорбент газодувка
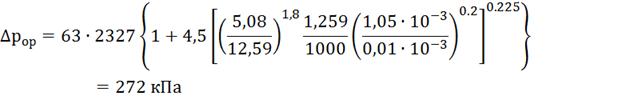
Гидравлическое сопротивление насадочной колонны
определяется по формуле
, (1.44)
где
-
сопротивление орошаемой насадки, Па
- потеря давления
на преодоление местных сопротивлений в колонне, Па.
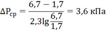
Сопротивление орошаемой насадки определяется по
формуле
, (1.45)
где А - коэффициент, значение которого
определяется по графику [9], в зависимости от отношения
;
- сопротивление
сухой насадки на один метр высоты, определяется по формуле
, (1.46)
При Re>40
коэффициент l определяется по формуле
(1.47)
Сопротивление сухой насадки
Сопротивление орошаемой насадки до точки
подвисания
Потеря давления на преодоление местных
сопротивлений в колонне определяется по формуле:
, (1.48)
где
-
потеря потока на преодоление сопротивления входа и выхода в колонне;
- потеря давления
на преодоление местных сопротивлений (два входа и выхода из насадки).
, (1.49)
где
-
коэффициент внезапного расширения;
- коэффициент
внезапного сужения;
- скорость
газового потока в подводящих и отводящих газопроводах, м/с.
Скорость газового потока принимаем равной w=10
м/с, тогда диаметр газопровода равен
, (1.50)
Принимаем стандартный размер по ГОСТ 8732-78 1230×12
Dг=1204мм
Определяем критерий Рейнольдса в газопроводе
(1.51)
Отношение площадей сечений газопровода и колонны
(1.52)
По справочным данным находим коэффициенты
местных сопротивлений
,
.
Тогда потери давления на местных сопротивлениях колонны равны
Потери на преодоление местных сопротивлений на
входе и выходе из насадок рассчитывается по формуле
, (1.53)
где
-
коэффициент внезапного сужения при входе в насадку;
- коэффициент
внезапного сужения при выходе из насадки;
- фактическая
скорость газового потока в насадке, м/с:
, (1.54)
Критерий Рейнольдса
Определяем отношения площадей сечений
(1.55)
По справочным данным [9] находим
0,
6,
.
Тогда потери давления на преодоление местных сопротивлений составит
Потери давления на местных сопротивлениях
Общее гидравлическое сопротивление насадочной
колонны равно
2.7 Расчет вспомогательного оборудования
.7.1 Расчёт газодувки
Общее давление, развиваемое газодувкой
определяется по формуле
(1.56)
Мощность, потребляемая газодувкой, определяется
по формуле
, (1.57)
где
-
общий КПД газодувки, h=0,6
.
.7.2 Расчёт насосной установки
Скорость движения воды в трубопроводе принимаем
равной wж=2
м/с.
Тогда диаметр трубопровода равен
(1.58)
Принимаем стандартный трубопровод Æ89×4,
dвн=81
мм.
Уточняем скорость движения жидкости
Давление, развиваемое насосом, определяем по
формуле
, (1.59)
где
-
затраты на создание скорости потока в трубопроводе, Па;
- потеря давления
на преодоление местных сопротивлений и трения, Па
- затраты на
подъём жидкости, Па
- избыточное
давление перед распылителем,
.
Затраты на создание скорости потока определяем
по формуле:
, (1.60)
Потери давления на трение и местных
сопротивлениях определяем по формуле
, (1.61)
где l - коэффициент
трения;
- коэффициенты
местных сопротивлений.
Определяем режим течения воды по критерию
Рейнольдса
Коэффициент сопротивления трения при данном
режиме течения будет равен l=0,018. Значения местных
сопротивлений сведены в таблицу 1.
Таблица
1
Значения коэффициентов местных сопротивлений
|
Вид
местного сопротивления
|
|
|
Вход
в трубу с острыми краями
|
0,5
|
|
Выход
из трубы
|
1,0
|
|
Вентиль
нормальный
|
4,7
|
|
Отвод
|
0,21
|
|
Внезапное
расширение
|
0,81
|
|
Внезапное
сужение
|
0,45
|
Суммарные потери на местных сопротивлениях равны
=13.
Тогда потери давления на трение и местных
сопротивлениях равно

(1.62)
Тогда давление, развиваемое насосом равно:
Мощность насоса определяем по формуле
Устанавливаем центробежный насос ЦНС60-330 со
следующими характеристиками: производительность V=0,0167
м3/с, напор H=330м,
число оборотов n=50 c-1,
кпд 0,71, мощность двигателя N=77кВт.
Устанавливаем 1 насос.
3. Расчёт тарельчатого абсорбера
.1 Расчёт диаметра абсорбера
Предварительно принимаем расстояние между
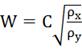
тарелками hт=300 мм. Допустимую скорость газового потока определяем
по формуле
, (2.1)
где С - коэффициент, зависящий от типа тарелок и
расстояния между ними, определяется по справочным данным. Для колпачковых
тарелок С=0,03
Диаметр колонны по формуле (1.50)
Принимаем диаметр колонны из стандартного ряда Dк=2,4
м. Тогда действительная скорость будет равна
3.2 Гидравлический расчёт
Выбираем колпачковую тарелку типа ТСК-РЦ.
Техническая характеристика тарелки приведена в таблице 2.
Таблица
2
Техническая характеристика колпачковой тарелки
|
Наименование
параметра
|
Условное
обозначение
|
Ед.
изм.
|
Значение
|
|
Площадь
поперечного сечения колонны
|
Fк
|
м2
|
4,52
|
|
Площадь
сегментной переливной трубы
|
Fс
|
м2
|
4,35
|
|
Диаметр
отверстия (колпачка)
|
dо
|
мм
|
80
|
|
Относительное
свободное сечение тарелки
|
Fс
|
%
|
11,45
|
|
Высота
колпачка
|
hп
|
мм
|
55
|
|
Периметр
слива
|
Lc
|
м
|
4,35
|
Сопротивление барботажной тарелки рассчитываем
по формуле
, (2.2)
где
-
сопротивление сухой тарелки;
- сопротивление,
вызываемое силами натяжения;
- сопротивление
газожидкостного слоя.
Сопротивление сухой тарелки определяем по
уравнению
, (2.3)
где x - коэффициент
сопротивления принимаемый из справочных данных, для колпачковых тарелок x=4,0;
- скорость газа в
прорезях колпачка или в отверстиях тарелки, м/с. Определяем по формуле
, (2.4)
где a - коэффициент для колпачковых тарелок,
a=1:
Сопротивление сухой тарелки
Сопротивление газожидкостного слоя на тарелке
определяем по формуле
, (2.5)
где k -отношение плотности пены к плотности
жидкости, k=0.5;- расстояние от верхнего края прорези до сливного порога,
l=0.02м;
- высота уровня
жидкости над сливным порогом, м, определяем по формуле
, (2.6)
где
-
объёмный расход жидкости,
.
Высота уровня жидкости над порогом равна
.
Сопротивление газожидкостного слоя равно
Сопротивление сил поверхностного натяжения
определяем по формуле
, (2.7)
где s - поверхностное
натяжение, определяем по справочным данным, s=22,6·10-3
Н/м;
- эквивалентный
диаметр отверстия, для колпачковых тарелок
м.
- ширина прорези, 4 ммп - высота
прорези, 30 мм.
м.
Сопротивление поверхностного натяжения равно
Полное гидравлическое сопротивление равно
Проверяем правильность выбранного расстояния
между тарелками по условию
(2.9)
Таким образом, условие выполняется.
.3 Определение необходимого количества рабочих
тарелок
По конечным и начальным концентрациям
поглощаемого газа и поглотителя строим рабочую линию. Линию равновесия строим,
последовательно задавая значения концентрации поглощаемого газа в абсорбенте.
По формуле (1.8) определяем соответствующие им температуры абсорбента t2,
затем по справочным данным определяем коэффициент Генри и из формулы (1.6)
находим концентрацию y.
Данные вычисления представлены в таблице 3. График линии рабочей и равновесной
концентрации представлен на рисунке 2.
Таблица
3
|
x
|
y
|
|
0.00000
|
0.000000
|
|
0.05000
|
0.034101
|
|
0.10000
|
0.067184
|
|
0.15000
|
0.099295
|
|
0.20000
|
0.130476
|
Рисунок 2. Построение числа теоретических
тарелок
Из рисунка 2 видно, что число теоретических
тарелок необходимых для очистки газа равно 9.
Действительное число тарелок определим по
формуле
,
приняв кпд тарелок равным h=0,5.
Определяем высоту колонны по уравнению
, (2.18)
где
-
высота верхней части колонны,
;
- высота нижней
части колонны,
.- высота
тарельчатой части колонны,
, (2.19)
Высота колонны равна
.
Гидравлическое сопротивление тарельчатой колонны
равно
. (2.20)
.
.4 Расчёт вспомогательного оборудования
.4.1 Расчёт газодувки
Общее давление, развиваемое газодувкой
определяется по формуле (1.56)
Мощность, потребляемая газодувкой, определяется
по формуле (1.57)
.
.4.2 Расчёт насосной установки
Скорость движения воды в трубопроводе принимаем
равной wж=2
м/с.
Тогда диаметр трубопровода по формуле (1.58)
равен
Принимаем стандартный трубопровод Æ89×4,
dвн=81
мм.
Уточняем скорость движения жидкости
Давление, развиваемое насосом, определяем по
формуле (1.59)
Затраты на создание скорости потока определяем
по формуле (1.60):
Потери давления на трение и местных
сопротивлениях определяем по формуле (1.61)
Определяем режим течения воды по критерию
Рейнольдса
Определяем режим течения воды по критерию Рейнольдса
Коэффициент сопротивления трения при данном
режиме течения будет равен l=0,018. Значения местных
сопротивлений сведены в таблицу 4.
Таблица
4
Значения коэффициентов местных сопротивлений
|
Вид
местного сопротивления
|
|
|
Вход
в трубу с острыми краями
|
0,5
|
|
Выход
из трубы
|
1,0
|
|
Вентиль
нормальный
|
4,7
|
|
Отвод
|
0,21
|
|
Внезапное
расширение
|
0,81
|
|
Внезапное
сужение
|
0,45
|
Суммарные потери на местных сопротивлениях равны
=13.
Тогда потери давления на трение и местных
сопротивлениях равно
Затраты на подъём жидкости определяем по формуле
(1.62)
Тогда давление, развиваемое насосом равно:
Мощность насоса определяем по формуле
Устанавливаем центробежный насос Х20/53 со
следующими характеристиками: производительность V=0,0055
м3/с, напор H=53м,
число оборотов n=48,3 c-1,
кпд 0,5, мощность двигателя N=13кВт.
Устанавливаем 1 насос.
. Сравнение абсорберов
Результаты расчётов насадочного и тарельчатого
абсорбера приведены в таблице 5.
Таблица
5
Сравнение абсорберов
|
Насадочный
абсорбер
|
Тарельчатый
абсорбер
|
|
Диаметр,
м
|
1,2
|
2,4
|
|
Высота,
м
|
73,6
|
8,7
|
|
Объём,
м3
|
83,2
|
39,3
|
|
Скорость
газа, м/с
|
2,38
|
2,21
|
|
Гидравлическое
сопротивление, кПа
|
272
|
7
|
|
Потребляемая
мощность, кВт
|
10011
|
5340
|
Сравнение этих данных и их анализ показывает,
что применение тарельчатого абсорбера позволяет сократить высотные размеры
колонн и позволяет снизить энергетические затраты на преодоление газовым
потоком сопротивления абсорбера.
Заключение
В результате расчётов процесса абсорбции аммиака
был выбран тарельчатый абсорбер с диаметром колонны 2400 мм и высотой 8700 мм.
Подобран центробежный насос марки Х20/53 со
следующими характеристиками: производительность V=0,0055
м3/с, напор H=53м,
число оборотов n=48,3 c-1,
к.п.д. 0,5, мощность двигателя N=13кВт.
Список литературы
1. Основные
процессы и аппараты химической технологии: Пособие по проектированию/ Г.С.
Борисов, В.П. Брыков, Ю.И. Дытнерский и дрю Под. ред. Ю.И. Дытнерского, 2-е
изд., перераб. и дополн. М.: Химия, 1991. - 496 с.
2. Павлов
К.Ф., Романков П.Г., Носков А.А. Примеры и задачи по курсу процессов и
аппаратов химической технологии. Учебное пособие для вузов/Под ред. чл.-корр.
АН СССР П.Г. Романкова. - 10-е изд., перераб. и доп. - Л.: Химия, 1987. - 576
с., ил.
3. Расчёт
абсорбционных установок. [Электронный курс]: методическое пособие по курсовому
проектированию / Сыкт. лесн. ин-т; сост. Т.Л. Леканова, Е.Г. Казакова. -
Электрон. дан. (1 файл в формате pdf: 2,2 Мб). - Сыктывкар: СЛИ, 2010. - Режим
доступа: <http://lib/sfi/komi/com/> - Загл. с экрана.
. Ветошкин
А.Г. Защита атмосферы от газовых выбросов. Учебное пособие по проектированию. -
Пенза: Изд-во Пенз. гос. ун-та, 2004. - с.: ил., 12. библиогр.