Расчет фасонных режущих инструментов
Содержание
I. Проектирование фасонного резца
. Анализ исходных данных
. Графическое и математическое выражение фасонного профиля
обрабатываемой детали
. Выбор габаритных размеров фасонного резца
. Конструктивное оформление фасонного резца. Расчет шлицевой
протяжки
. Данные для расчета шлицевой протяжки
. Расчет и конструирование щлицевой протяжки. Расчет червячной
шлицевой фрезы
. Исходные данные для расчета
. Определение установочных параметров
. Определение конструктивных размеров фрезы
. Расчет профиля зуба червячной фрезы
. Конструктивные параметры зубьев фрезы
. Технические требования к червячной фрезе
Список использованной литературы
I. Проектирование фасонного резца
. Анализ исходных данных
Необходимо спроектировать фасонный
резец для обработки детали, представленной на эскизе.
Рис.1 Обрабатываемая деталь
Вариант задания - 5234
Исходные данные об обрабатываемой
детали
Размеры детали=69мм D2= 55,5 мм D3=
13 мм L1=5 мм L2= 10 мм= 13 мм R1=28 мм D4=62,5 мм D5=58,5 мм D6=55,5 мм=53,5
мм D8=52,5 мм L4=13 мм L5=3 мм L6=6 мм=9,5 мм D9=49 мм D10=44 мм L8=12 мм L9=10
мм
Материал детали - Сталь 50
Твердость материала детали НВ, МПа -
2364
Обрабатываемая деталь представляет
собой тело вращения и имеет цилиндрический, конический, сферический участки и
участок, заданный координатами.
2. Графическое и математическое
выражение фасонного профиля обрабатываемой детали
фасонный резец червячный фреза
Графическое и математическое
выражение фасонного профиля обрабатываемой детали определяется относительно
координатных осей X и Y. Центр координатных осей 0 находится в точке
пересечения левого края детали и ее оси вращения. Координатная ось Y проводится
из центра координатных осей 0 перпендикулярно оси X.Фасонный профиль детали на
отдельных участках в большинстве случаев состоит из сочетания отрезков прямых
линий и дуг окружностей. Координатным способом можно задать фасонный профиль
детали, образующая поверхность которой описывается кривыми линиями. Фасонный
профиль обрабатываемой детали условно разделяется на отдельные элементарные
участки (отрезки прямых линий, дуги окружностей и т.д.), для каждого из которых
определяется математическое выражение.
Графическое выражение фасонного
профиля показано на рисунке 1.
Рис.2 Фасонный профиль детали
Математическое выражение фасонного
профиля:
В интервале 0≤Х≤5
профиль представляет собой отрезок линии, параллельной оси детали (оси Х), и
выражается формулой Y=27,75.
В интервале 5≤ Х≤13
профиль представляет собой отрезок линии, заданный по окружности, и выражается
формулой
Y= 
+ 6,5
В интервале 13≤ Х≤
26 профиль представляет собой отрезок линии, заданной координатным способом, и
выражается формулами:
= 31,25 Х= 13= 29,25 Х =
16= 27,75 Х= 19= 26,75 Х = 22,5= 26,25 Х= 26
В интервале 26≤ Х ≤38
профиль представляет собой отрезок линии, наклонной к оси детали (ось Х),
проходящий через две точки 1и 2 с координатами: точка 1- 26, 24,5; точка 2- 38,
22 - и выражается формулой
= 
+ 22- 
= -0,1875Х+22,1875 =
-0,188Х+22,188
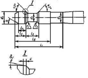
. Выбор габаритных
размеров фасонного резца
Габаритные размеры
фасонного резца выбираются в зависимости от максимальной глубины Тmax фасонного
профиля обрабатываемой детали и коэффициента К, которые определяются по
формулам:
Тmax = 
,
К = 
,
где Dmax и Dmin -
максимальный и минимальный диаметр фасонного профиля обрабатываемой деталиобщая
длина фасонного профиля обрабатываемой детали (вдоль оси Х).
Тmax = 
= 12,5 мм
К = 
= 3,84
Выбор габаритных
размеров призматического фасонного резца
Габаритные размеры
призматического фасонного резца (рис.3) выбираются из таблицы 2.[ 6,стр.10]
Для Тmax = 12,5 и К=
3,84 габаритные размеры фасонного резца следующие
В= 25 мм
Н= 90 мм
Е= 10 мм
А= 30 мм= 20 мм= 1 мм
Ширина Lр определяется
после конструктивного оформления фасонного профиля режущей части резца; угол τ
элементов крепежной части фасонного резца принимается равным 60о;
угол β определяется по формуле
β = 90о
- (α+γ)
где α
и γ передний и задний углы фасонного резца в зависимости от материала
обрабатываемой детали и инструментального материала.
Рис. 3. Призматический
фасонный резец
Выбор переднего и
заднего углов фасонного резца
Передний и задний углы
выбираются из таблицы 4 [6, стр.12] в зависимости от материала обрабатываемой
детали.
При обработке стали 50 НВ
= 2364 МПа
γ=12°;
α=8°.
β=90°-12°-8°=70°.
Расчет глубины фасонного
профиля призматического фасонного резца
Для обработки участка
детали, профиль которого представляет собой отрезок прямой линии, параллельной
оси детали, глубина фасонного профиля резца постоянна для всех значений Х и
рассчитывается по формуле
Ср = М
) 
,
где М -коэффициент,
характеризующий отрезок прямой линии, принимается равным b0 [6,с.5,таб.1]
В интервале 0≤Х≤5
М = 27,75 мм
Ср = 27,75*

)
= 27,75*

) 
= 27,75* 
*4,519 =
27,75*0,0436*4,5199 = 5,46 мм.
Для обработки участка
детали, профиль которого представляет собой отрезок прямой линии, наклоненной к
оси детали, глубины фасонного профиля резца для каждого значения от Х1 до Х2
рассчитывается по формуле
Ср = (NX +Q) 
]
,
где коэффициенты N и Q
характеризуют отрезок прямой линии и принимаются равными = а3= -0,188= b3=
22,188
Для Х= 26
Ср = (-0,188*26+22,188)
]
=
=17,3*
)
= 17,3*
= 17,3*(-
,0523)*4,519 = 4,09 мм
Для Х=38
Ср = (-0,188*38+14,875)
]
=
=7,731*
)
= 7,731*
=
,731*(-0,1074)*4,519 =
3,75 мм
Для обработки участка
детали, профиль которого представляет собой отрезок линии, заданной по
окружности, глубины фасонного профиля резца для каждого значения от Х1 до Х2
рассчитывается по формуле
Ср=(W*
B)*sin

*
,
где коэффициенты S, G, B
и W характеризуют отрезок линии и принимаются равными:= R = 28= a4 = 10= d4 =
6,5= 1
Для Х= 5
Ср=(1*
6,5)*sin


= (1*
+6,5)*sin (12- 

=
= 34,0499*sin(12-7°40´)*4,5199
= 34,099*0,0756*4,5199=11,64 мм
Для Х=13
Ср=(1*
6,5)*sin

= (1*
+6,5)*sin
(12- 

=
= 34,3388*sin(12-7°40´)*4,5199
= 34,338*0,0756*4,5199=11,74 мм
Для обработки участка
детали, профиль которого представляет собой отрезок линии, заданной
координатным способом, глубины фасонного профиля резца для каждого значения Х
рассчитывается по формуле
Ср = Y
) 
,
Для Х= 13
Ср = 31,25*
)*
= 31,25 * sin (12-

)*
*
=31,25* sin (12- 
*4,5199
=31,25*0,0640*4,5199= 9,04 мм
Для Х=16
Ср = 29,25*
)*
= 29,25 * sin (12-

)*
*
=29,25* sin (12- 
*4,5199 =
29,25*0,0523*4,5199 = 6,92 мм
Для Х=19
Ср = 27,25*
)*
= 27,25 * sin (12-

)*
*
=27,25* sin (12- 
*4,5199
=27,25*0,0436*4,5199 = 5,37 мм
Для Х = 22,5
Ср = 26,75*
)*
= 26,75*

=26,75*0,0378*4,5199 =
4,57мм
Для Х = 26,0
Ср = 26,25*
)*
= 26,25 * sin (12-

)*
*
= 23,25*sin (12- 
*4,5199 = 26,25*0,0349*4,5199
= 4,36 мм
4. Конструктивное
оформление фасонного резца
Построение фасонного
профиля резца производится координатным способом. Для призматического фасонного
резца координатами являются глубина Ср фасонного профиля резца и размер Х вдоль
оси обрабатываемой детали.
Ширина Lр фасонного
профиля обрабатываемой детали (вдоль оси детали); Т1иТ2 - размеры, определяющие
дополнительные упрочняющие кромки фасонного профиля резца. Так как у нас деталь
изготавливается из штучной заготовки, то Т1=Т2.= L+2T2= T3+T4
где Т3 - размер
принимается равным 1…2 мм, Т4 принимается равным 2…3 мм.
Принимаем Т3 и Т4 равным
2 мм.= 48+2*4 = 54 мм
Размер Т5 выбирается из
соотношения
Т5≤ Тmax
где Тmаx - максимальная
глубина фасонного профиля обрабатываемой детали
Т5≤ 12,5мм
Принимаем Т5 = 12 мм
Размер Т6 принимаем
равным Т5 с перекрытием на 2…3 мм.
Т6 = Т5+3
Т6 = 12,5+3=15 мм
Угол 
принимаем равными 15°.
Рис. 4 Фасонный профиль
резца
Фасонные резецы с
шириной Lp˃ 15 мм изготавливаются составными. В составном призматическом В
составном фасонном резце режущая часть имеет следующие размеры:
высота - (0,5…0,6)Н =
0,5*·90=45 мм;
ширина - Lр= 52 мм
толщина - (0,6…0,7)В =
0,7*25 = 17,5 мм
Твёрдость фасонного
резца:
а) режущая часть из
быстрорежущей стали - HRC, 62…65;
б) крепёжная часть -
HRC, 40…45.
Параметры шероховатости
поверхностей фасонного резца:
а) передней поверхности
и фасонной задней поверхности - Ra≤0,32 мкм;
б) посадочных
поверхностей крепёжной части - Ra≤1,25 мкм;
в) остальных
поверхностей - Ra≤2,5 мкм.
Предельные отклонения
глубины фасонного профиля принимаются ±0,01 мм, ширины фасонного профиля резца
принимаются в зависимости от её допуска, т.е. ±1/2Тр.
Допуск на ширину
фасонного профиля резца определяется по формуле
Тр=(0,5…0,7)Тs,
где Тs - допуск на
ширину фасонного профиля обрабатываемой детали.
Предельные отклонения
других размеров фасонного резца принимаются:
а) для вала - h12;
б) для отверстия - Н12;
в) для остальных -
±1/2IT12.
Предельные отклонения
углов:
а) передний γ
и задний α углы ±1°;
б) угол крепёжной части τ=±30´;
в) остальные углы ±1,5°.
Комплексная проверка
крепёжной части фасонного резца производится по размеру П (с точностью 0,05 мм)
где d - диаметр
калиброванного ролика, d=Е=10 мм.

= 30+10*(1+1,7321)-
*10*0,5774 =
=45,74 мм
II. Расчет шлицевой
протяжки
. Данные для расчета шлицевой
протяжки
Исходные данные
Задание - ХТФ
Отверстия шлицевой
втулки ПхdхВхb - b-6x28H11x32H12x7F8.
Длина втулки l, мм - 50.
Шероховатость
поверхности Ra - d,D - 2,50; b - 2,5.
Марка материала втулки -
сталь 35Г2.
Твердость, НВ - 290.
Модель станка -7В57.
Технические параметры
станка:
номинальная сила тяги
Рст, кН -400;
наибольшая скорость
рабочего хода Vрх, м/с - 0,10;
длина хода рабочей
каретки Lхк, мм - 2000;
тип патрона -
быстросменный автоматический;
минимальный размер от
торца до первого зуба протяжки Lхз min,мм - 200+h.
Способ центрирования -
по боковым поверхностям зубьев.
Заготовка - штамповка в
нормализованном состоянии.
Тип производства -
массовый.
Эскиз лицевой втулки
представлен на рис.5. Размеры, предельные отклонения и шероховатость поверхности
находим по [4].
Рис. 5. Эскиз шлицевой
втулки
Определение диаметра
отверстия заготовки
Перед протягиванием заготовка должна иметь сквозное отверстие. Его
диаметр и точность зависят от принятого метода протягивания и заданного способа
центрирования деталей. При центрировании по b применяем раздельный метод
протягивания, поэтому отверстие в заготовке обрабатываем окончательно до
требуемого внутреннего диаметра шлицевого отверстия, то есть=d где d0 -
диаметро отверстия ло протягивания, мм- внутренний диаметр шлтцевого отверстия,
мм.
Точность диаметра - 
.
Метод обработки отверстия - шлифование.
Сталь 35Г2 при твердости 290 НВ относится к IV группе
обрабатываемости.
При центрировании по боковым поверхностям при Ra≤2,5 группа
качества поверхности - 1
. Расчет и конструирование щлицевой протяжки
Выбор конструкции шлицевой протяжки
Выбор типа протяжки зависит от заданного способа центрирования
со-единения и требований к шлицевому отверстию
При центрировании по боковым поверхностям шлица b, когда
внутреннее отверстие втулки окончательно обработано на предшествующей операции,
используется протяжка типа Ф-Ш. Протяжка этого типа имеет фасовочные и шлицевые
зубья. Фасовочные зубья служат для образования фасок, шлицевые - для получения
шлицевых пазов.
Для получения боковых поверхностей шлицев 1-й группы качества
протяжка изготовляется с бреющими шлицевыми зубьями.
Выбор материала протяжки
Основным материалом режущей части протяжки предусмотрена
быстрорежущая инструментальная сталь Р6М5 ГОСТ19265-73.
Выбор типа хвостовика и его размер
Согласно ГОСТ7943-78 протяжки из быстрорежущей стали Ø18
и более должны быть сварными или с механическим креплением хвостовика.
Выбираем сварное крепление хвостовика.
Для быстросменных патронов хвостовик должен быть типа 2 исполнения
1 ГОСТ4044-70 (рис.6). Его размеры найдем их таблицы 4[ 6, стр.28 ]. Диаметр d1
выбираем меньшим, ближайшим к диаметру отверстия до протягивания d0.= 25е8 d2 =
19а11 d3 = 
= 21мм l2 = 25мм l3 =
16мм = 120 мм R1 = 0,3мм R2 = 1,0 мм C = 1,0мм
Рис. 6. Хвостовик
Определение количества чистовых и калибрующих зубьев, припуск на
чистовые зубья
Количество чистовых зубьев на шлицевой Zшл части протяжки, а так
же количество групп (секций), состоящих из двух зубьев, и подачи на них Sшч
определим в зависимости от группы качества поверхностей по таблице 5
[6,стр.29].
Для 1 группы качества поверхностей и подачи Sшч = 0,02мм
количество групп из 2-х зубьев - 2, общее количество чистовых зубьев - 10,
припуск на диаметр на чистовые зубья А - 0,14 мм, количество калибрующих
шлицевых Zшч зубьев принимаем равным 4.
Определение значений углов зубьев
Значения передних углов черновых γо,
чистовых γч и калибрующих γк зубьев
определяем в зависимости от группы обрабатываемости материала заготовки по
табл.6 [6,стр. 29].
Передний угол зубьев:
черновых γо=18°;
чистовых γч=20°;
калибрующих γк=20°.
Задний угол зубьев:
черновых αо=3°;
чистовых αч=2°;
калибрующих αк=1°.
Для бреющих зубьев назначаем передний угол γб
= 0о, задний угол - αб = 2о30´. Угол наклона режещих кромок назначаем после расчета силы
резания.
Назначение режимов обработки
Выбор смазочно-охлаждающей жидкости (СОЖ).
Протягивание производим с обязательным применениес СОЖ. Эмульсии
обеспечивают меньшую шороховатость обработанных поверхностец, но несколько
увеличивают силу резания и снижают наработку протяжки по сравнению с маслами.
Из таблицы 7 [6,стр.31] выбираем - 5%-ная эмульсия из эмульсола Укринол - I ТУ
38-101187-76 (условное обозначение А).
Выбранную СОЖ подаем в зону резания свободно подающей струей с
двух сторон - на входе и выходе протяжки. Расход СОЖ 0,15…0,40 литров в
секунду.
Определение скорости резания протяжкой
Скорость резания протяжкой из быстрорежущей стали Р6М5 назначаем
по таблице 8 [6,стр.32].
При массовом типе производства, 1-ой группе качества
обрабатываемой по-верхности и IV-ой группе обрабатываемости скорость резания
при протягивании принимается V= 0,05 м/с.
Протяжной станок должен обеспечивать установку выбранной скорости
резания. Проверяем выполнение условия V≤Vpx 0,05≤0,1
Условие выполнимо. Принимаем скорость резания V= 0,05 м/с.
Определение наработки чистовых зубьев
Наработка протяжки между отказами измеряется в метрах суммарной
длины протянутых поверхностей. Она зависит от свойства материала протяжки и
заготовки, от скорости резания и подачи, от принятой схемы резания, геометрии
зубьев, от требований к протягиваемым поверхностям и других факторов. Наработку
чистовых зубьев определяют по формуле
Тмч = 
Значения Cт,X,Y находим по таблице 10 [6,стр.33] в зависимости от
группы обрабатываемости материала заготовки
т = 0,8 X= 0,67 Y=0,4
Тмч = 
= 28,47 м
Определение подачи на черновые зубы
Наработка до отказа протяжки в целом зависит от соотношения
наработок ее черновой и чистовой частей, зависящих, в свою очередь, от подач на
черновые и чистовые зубья. Наиболее выгодной является назначение такой подачи
на черновые зубья, при которой черновая часть имеет такую же или несколько
большую наработку, чем чистовая часть. Допустимую подачу на черновые зубья S0
шлицевой и фасочной частей протяжки находим по таблице 11 [6,стр. 34] в
зависимости от назначенной скорости резания.= 0,16 м/с
Наработка черновых зубьев, м
СТ=1,1; х=0,79; у=0,36;

Проверяем условия равной наработки
Тмо≥Тмч
,68≥28,47.
Условие не выполняется.
В этом случае назначим меньшую подачу подачу S0 = 0,08 м/с

Проверяем условия равной наработки
,11≥28,47.
Условие выполняется.
Определение подачи и припуска на бреющие зубья
Подачу на каждую сторону бреющих зубьев, принамая их наработку
равной чистовым, находим по формуле
Значения 
Х и Y находим по
таблице 12 [6,стр.35].

= 2,31 Х = 0,48 Y= 0,57

= 0,34Б = 0,15 м/с
Количество бреющих зубов находим из таблицы 13 [6,стр.35]б = 2
Определяем припуск на бреющие зубы
АБ = 2SБZБ
АБ = 2*0,15*2 = 0,6 мм
Определение глубины стружечных канавок
Определение глубины по условию размещения стружки
Стружечная канавка должна иметь профиль и размеры, достаточные для
свободного размещения образующейся стружки.
Для определения глубины стружечной канавки используем коэффициент
помещаемости стружки k=
, показывающий отношение
площади активной части стружечной канавки в продольном сечении Fk = πh2/4
к площади сечения слоя материала, срезаемого одним зубом протяжки
Fм = S0l.
Рекомендуется принимать k=3. Расчетную глубину стружечной канавки
для размещения стружки определяем по формуле
р = 1,13*
р = 1,13*
= 1,13*4,9=3,91
за глубину профиля канавки hр по условию размещения стружки
принимаем значение, указанное в табл. 14 [6,стр.36], округляя расчетное
значение в большую сторону.р=4 мм
Определение глубины по условию жесткости протяжки
Глубину стружечной канавки, допускаемую условием обеспечения
жесткости протяжки, определяем по зависимости:ж ≤0,2d0 0,2d0 = 0,2*28 =
5,6 hж ≤ 5,6
Полученное значение hж округляем до ближайшего меньшего,
имеющегося в табл. 14 [6,стр.36]. hж = 5,0мм
Определение номера профиля черновых зубьев
Сравниваем между собой глубины канавок hр и hж и принимаем для
дальнейших расчетов наименьшее значение. В нашем случее hж ˃
hр. Принимаем для расчетов h=4. Номер профиля - 7.
Определение диаметра продольного профиля зубьев.
Шаг t0 и размеры других элементов черновых зубьев фасочной и
шлицевой частей протяжки в продольном сечении определяем по номеру профиля из
таблицы 14 [6,стр36].= 10 мм h0=4 мм a0=3,5 мм R1 = 2,0 мм R2 = 6,0 мм
Шаг t4 и размеры остальных элементов чистовых и калибрующих зубьев
определяем по номеру профиля, на три единицы меньшему, чем профиль черновых
зубьев - номер профиля 4.= 6 мм h4=2,5 мм a4=2,0 мм R4 = 1,3 мм R4 = 4,0 мм
Рис. 7. Параметры продольного профиля зуба
Расчет максимального усилия протягивания.
Усилие протягивания, допускаемого прочностью опасного сечения
режущей части протяжки:
Рр.ч. = 
Где dоп - диаметр опасного сечения по впадине,мм dоп = d0-2h0 =
28-8=20 мм

- предел прочности
материала протяжки, Н/мм2
Уусилие протягивания, допускаемое прочностью опасного сечения
хвостовика
Рхв. = 
Где d2 - диаметр опасного сечения хвостовика,мм

- предел прочности
материала протяжки, Н/мм2
Расчетные значения предела прочности на разрыв принимаем:
Для марки стали Р6М5 
= 350 н/мм, для стали
40Х - 
= 300 Н/мм
Усилие протягивания, допускаемое приводом станка
Рпр = Рст*η
Где η - коэффициент полезногодействия (принимаем η
= 0,9)
Ррч = 
* 350 = 109900 Н
Рхв = 
* 300 = 85015 Н
Рпр = 400*0,9 = 360 кН = 360000Н
Наименьшее значение из найденных принимаем за дпустимое
максимальное усилие протягивания Рmax = 85015 н.
Расчёт количества зубьев в группах
Количество зубьев в группах определяем для черновых зубьев
фасочной и шлицевой части протяжки.
Количество зубьев в группах, исходя из максимального усилия
протягивания, рассчитывается по формуле
= 
где q0 - удельная осевая сила резания, приходящая на на 1 мм длины
режущей кромки зуба, Н/мм [ 6,стр.40, табл. 15]
Вmax - наибольшая ширина режущего сектора зуба, ммр - количество
зубьев, одновременно участвующих в резании
Кр- поправочный коэффициент, учитывающий условия работыколическтво
шлицев
Наибольшая ширина режущих секторов зубьев для протяжки типа Ф-Ш:
фасочных:
Вф max= b+2
Вmaх= 7+2*0,3 = 7,6 мм
шлицевых:
Вш max = b+
ЕSв
Где ЕSв - верхнее отклонение ширины шлицевого паза
Вш max = 7+
0,035 = 7,023
Проверяем выполнение условия
Вmax≤Вдоп,
где Вдоп - допустимая ширина режущего сектора зуба без разделения
стружки [6,стр.40, табл.16]
При длине протяжки 25-50 мм допустимая ширина - 9 мм, условие
выполняется.
Количество зубьев, одновременно участвующих в резании
р = 
+ 1р = 
+ 1 = 6
Значение поправочного коэффициента находим из таблицы 17 [6,ср.41
]
К= 1*1*1,2*1 = 1,2
Количество зубьев в фасочной части
= 
= 0,63 принимаем 1
Количество зубьев в шлицевой части
= 
= 0,62 принимаем 1
Проверка протяжки на прочность
Осевую силу резания, действующую на фасочные и шлицевые зубьяя в
процессе резания, определяем по формуле
Р = q0Kp
где 
- суммарная ширина
режущих частей зубьев, мм
здесь

=ВmaxnZp/Zc
Осевая сила резания, действующая на фасочные зубья

= 7,6*6 *6/1 = 273,6 мм
Р = 176*1,2*273,6= 57784,32Н
Осевая сила резания, действующая на щлицевые зубья

= 7,023*6*6/1 = 252,828
мм
Р = 176*1,2*252,828= 53397,27Н
За расчетную силу резания принимаем большее значение Рр = 57784,32
Проверяем соблюдение условия Рр<Рmax
,32<85015
Условие соблюдается.
Определение угла наклона бреющих зубьев
Угол наклона бреющих зубьев выбираем из значений, указанных в
таблице 18 [6,стр.42]. Рекомендуемый угол 
= 700.
Определяем силу резания на бреющих зубьях по формуле
РБ = qобnZPS
где qоб - удельная сила резания, приходящая на на 1 мм длины
наклонной режущей кромки, Н/мм [6,стр.42,табл.18]- количество бреющих зубьев, одновременно
участвующих в резании
рs = 
+ 1 = 
+ 1 = 9,33 округляем до
9
РБ = 95*6*9*
= 18561,24Н
Максимальная сила резанияя должна быть меньше максимального усилия
протягивания. Проверяем условие
,24<85015
Условие выполняется.
Расчёт припусков на протягивание
При протягивании протяжкой типа Ф-Ш припуск удаляется в
последовательности
Аф →Фшо→Ашч→АБ
Припуск, срезаемый фасочными зубьями
Где Dф = диаметр пследнего фасочного зуба, ммф = dmin+2𝑓+0,4
Где dmin - минимальный внутренний диаметр отверстияф =
28+2*0,3+0,4 = 29 мм
Аф = 29-28 = 1 мм
Припуск, срезаемый шлицевыми черновыми зубьями
Ашо = Dmax- (Dф + Ашч-0,1), мм
Где Dmax - максимальный наружный диаметр шлищевого отверстия
Ашч - припуск на шлицевые чистовые зубья
Ашо = 32-(29+0,14-0,1) = 2,76мм
АБ = 0,6 мм
Расчет количества зубьев протяжки
У протяжки типа Ф-Ш зубья располагаеюся в указанной ниже
последовательности, при этом их общеек оличество равно
Zобщ = Zф+ Zшо+ Zшч+ Zшк + ZБ
Количество фасочных зубьев определяем по формуле
ф = iфZсф
Где iф - количество секций (групп) фасочных зубьевсф - количество
зубьев в секции
Предварительное количество секций фасочных зубьев

= Аф/2S0

= 1/2*0,08 = 6,26
округляем до ближайшего меньшего целого

= 6 - количество
секций, срезающих основную часть припуска
остаточный припуск находим по формулу
АФост = Аф - 2S0 
АФост = 1-2*0,08*6 = 0,04 мм
Для удаления вводим дополнительную секцию, которую располагаем в
начале секций, при этом подача не неедоп = АФ ост/2доп = 0,04/2=0,02мм
Тогда окончательное количество секций фасочных зубьевф =
ф= 6+1=7
количество фасочных зубьевф = 7*1=7 шт
Количество шлицевых черновых зубьев
Zшо = iшоZсш
где iшо - количество секций шлицевых черновых зубьев
Предварительное количество шлицевых черновых зубьев

= Ашо/2S0

= 2,76/2*0,08 = 17,25
округляем до ближайшего меньшего целого

= 17 - количество
секций, срезающих основную часть припуска
остаточный припуск находим по формулу
АФост = Ашо - 2S0 
АФост = 2,76-2*0,16*8 = 0,04 мм
Для удаления вводим дополнительную секцию, которую располагаем в
начале секций, при этом подача не неедоп = АФ ост/2доп = 0,04/2=0,02 мм
Тогда окончательное количество секций шлицевых черновых зубьевф =
ф= 17+1=18
количество шлицевых черновых зубовшо = 18*1=18
Количество чистовых щлицевых зубьевшч =2iшч
где iшч - количество секций шлицевых чистовых зубьевшч =2*2 = 4
Количесво калибрующих шлицевых зубьев - 4
Количество бреющих зубов - 2
Общеее количество зубовобш = 7+18+4+4+2=35 шт
Расчет диаметров зубьев протяжки при одном зубе в секции
Диаметры калибрующих шлицевых зубьев Dшк = Dmax = 32,250 мм
Диаметр всех бреющихзубьев Dб = Dmax = 32,250 мм
Диаметр последнего чистового шлицевого зуба 
Диаметр последнего фасочного зуба 
Диаметры предшествующих чистовых и черновых шлицевых и фасочных
зубьев, мм
где 
- диаметр последнего
(последующего) зуба шлицевой или фасочной частей протяжки, мм;

- подача на сторону
чистовых или черновых зубьев, мм.
Диаметры фасочных зубов
|
Номер зуба
|
1
|
2
|
3
|
4
|
5
|
6
|
7
|
|
Диаметр
|
28,04
|
28,2
|
28,36
|
28,52
|
28,68
|
28,84
|
29
|
Диаметры шлицевых зубов:
черновых
|
1
|
2
|
3
|
4
|
5
|
6
|
7
|
8
|
9
|
10
|
11
|
12
|
13
|
14
|
15
|
16
|
17
|
18
|
|
29,37
|
29,53
|
29,69
|
29,85
|
30,01
|
30,17
|
30,33
|
30,49
|
30,65
|
30,81
|
30,97
|
31,13
|
31,29
|
31,45
|
31,61
|
31,77
|
31,93
|
32,09
|
чистовых
|
1
|
2
|
3
|
4
|
|
32,25
|
32,25
|
32,25
|
32,25
|
Расчет выкружек на прорезных зубьях
На прорезных зубьях секции делаем
выкружки. Их количество равно количеству пазов на шлицевой втулке. Поэтому на
каждом зубе образуются две криволинейные кромки.
Ширина режущих секторов на прорезных
фасочных и шлицевых зубьях
Бф=Бш=Вmax -2п
Где п - ширина фаски прорезных
зубьев, мм.[6,стр47,табл.19]
Бф = Бш=7,035-2*1 = 5,035 мм
Ширину выкружек на фасочных и
щлицевых прорезных зубьях определяем по формулам
Wф= 
- Бфф= 
-5,36 = 9,585 ммш= 
- Бш ф= 
- 5,35 = 9,585 мм
Радиус шлифовального
круга Rк или образование выкружек и радиус самих выкружек Rв находим по таблице
20 [6,стр.47].
фасочной выкружкик = 25в
= 30
Определение параметров
поперечного профиля зубьев
Боковые кромки фасочных
зубьев имеют уголнаклона 
, равный углу фаски
шлицевого паза, т.е 45о, и расположены от ценра зуба на расстоянии Н.
Расстояние до боковой кромки на последнем фасочном зубеопределяем по формуле
Н=

Н=

=14,065*
) =
= 16*0,8536 =12,00 мм
При наличии бреющих
зубов ширина щлицевых черновых, чистовых и калибрующих зубьев равна
В= b+2/3ESв-АБ
В= 7+2/3*0,35 -0,6 =
6,63 мм
Ширина последнего
бреющего зуба
ВБ= b+2/3ESв
ВБ = 7+2/3*0,35= 7,23
Ширина предшествующих
бреющих зубьев
ВБi-1 = ВБi -2SБi
Где ВБi -ширина
последуещего i-го бреющего зуба, ммБi - подача на сторону i-го бреющего зуба
ВБi-1 = 7,23-2*0,15 =
6,93 мм
Диаметры впадин между
фасосочными и шлицевыми зубами у протяжек типа Ф-швф = DвШ = d0-ESdвф =
28-0,130=27,870 мм
В местах сопряжения
боковых поверхностей зубьев и впадин прорезаем канавки 0,5х0,8 мм
Определение длины
протяжки
Общую длину протяжки
определяем по формуле
= Lхв+ Lр+ Lзн
Минимальный размер
хвостовой части Lхв находим в зависимости от модели протяжного станкахв =200мм
Длина рабочей части
протяжки типа Ф-Ш
р = Lф+ Lшо+ Lшч+ Lшк+
LБ
где Lф -длина части
протяжки с фасочными зубьямишо - длина части протяжки с шлицевыми черновыми
зубьямишч - длина части протяжки с шлицевыми чистовыми зубьямишк - длина части
протяжки с шлицевыми калибрующими зубьямиБ - длина части протяжки с бреющими
зубьями зубьямиф = t0*Zфф = 6*7= 42 ммшо = 6*18 =108 ммшч= 6*4 = 24 ммшк =
6*4=24 ммБ = 6*2 = 12 ммр = 42+108+24+24+12 = 210 ммхв = L1+Lнк+Lпнзн - длина
задней направляющей
Lзн = (0,75…1,0)Dзн
Где Dзн=d - диаметр
задней направляющейзн = 1*28 = 28 мм
Длина передней
направляющей пн = l = 50 мм
Ее диаметрпн = d0 = 28
мм
Длина направляющего
конусанк = 15…30 мм
Принимаем Lнк = 15 мм=
140+15+50+210+28 = 443 мм
Проверяем выполнение
условий, органичивающую общую длину протяжки:
по длине хода рабочей
кареткизн < Lхк
<2000 - условие выполняется
по жесткости протяжки/d ≤
40
/28 = 17,53
,53≤40 - условие
выполняется
по технологическим
ограничениям≤ 1500 мм
≤ 1500 - условие
выполняется.
Установление технических
требований и эксплуатационных показателей шлицевых протяжек
Назначение технических
требований к протяжке
Технические требования
на изготовление протяжки назначаем согласно ГОСТ7943-78.
. Твердость элементов
протяжки должна быть:режущей части, задней направляющей HRC 62...65,передней
направляющейи HRC 42...56, хвостовика HRC 42...50.
.Центровые отверстия по
ГОСТ 14034-74.
.Ширина цилиндрической
ленточки f на калибрующих зубьях должна быть равномерной в пределах 0,2...0,5
мм.
.Ширина ленточки на
бокоых сторонах зубьев не должна быть более 1,0 мм. допускается форма зуба
безленточки.
. Предельные отклонения
общей длины протяжки длиной до 1000 ± 3мм, свыше 1000±4 мм.
.Предельные отклонения
глубины впадин зуба ±Т14/2
.Неуказанные предельные
отклонения: Н14, h14, ±
.
. Предельные отклонения
углов: переднего угла всех зубьев +2°,-1°; заднего угла черновых зубьев ±30´,
чистовых ±30´, калибрующих ±15´, заднего угла
выкружек ±1°, угла поднутрения вспомогательной режущей кромки ±1°.
.Остальные технические
требования по ГОСТ7943-78.
Расчет нормативной
наработки протяжки
Наработку частей
протяжки определяем по формуле
Тмн =
ТмчКткКтрКтэКтмКтдКто
Где Тмч - рассчетная
наработка чистовых зубьев, м
Ктк,Ктр,Ктэ,Ктм,Ктд,Кто
- поправочные коэффициенты [6, стр.54,табл. 26 ]
Тмн = 37,56+0,6+0,7+1,0+1,0+1,0+1,0
= 42,86 м
Расчет количества
протягиваемых деталей
Количество протягиваемых
деталей, соответствующих наработке до отказа протяжки, определяем по формуле
Пд = Тмн*103/l
Пд = 42,86*103/50 = 857
шт
Определение основного
времени операции протягивания
Т0 = 
Где Lрх -длина рабочего
ходарх = Lп+l+(30..50)рх = 443+50+30 = 523 ммчисло рабочих ходов
К1 - коэффициент,
учитывающий условия обслуживания протяжного станка
Коб - количество
одновременно обрабатываемых заготовок
Т0 = 
= 0,219 мин
Определение показателей
для восстановления протяжки
Заточку протяжки
производим с целью восстанвления режущей способности, обеспечивающей требуемое
количество обрабатываемых поверхностей и наработку между отказами.
Изношенную протяжку
затачиваем по передней поверхности зубьев конической поверхностью шлифовального
круга тарельчатой или чашечной формы.
Угол наклона оси
шпинделя шлифовальной головки заточного станка находим по формуле

= 
Где ξ
- угол наклона образующей конической поверхности шлифовального круга
Принимаем ξ
= 15о
γ -
передный угол затачиваемого зуба

15о+10о = 25о
Диаметр шлифовального
круга определяется по формуле
кр= D

кр = 32*
*
= 32*0,2588/0,1736* (1-
,156 * *1,66) =
47,7**0,74 = 35,3 мм
Для заточки зубьев
используем шлифовальный круг с характеристиками:
материал - электрокорунд
белый марок 22А, 23А,24А или монокораунд марок 43А,44А;
зернистость 40…16;
твердость С1…С2;
связка керамическая;
структура 4…6.
Скорость резания при
заточке Vз =18…25 м/мин, окружная скорость протяжки Vос = 1…3 м/мин, глубина
резания t= 0,03…0,05 мм.
Глубину допустимого
стачивания М зубьев протяжки, глубину стачивания m за одну переточку и
количество переточек nз находим по таблице 27 [3, стр.57].
Мчерн = 1,0, mчерн =
0,05, nчерн = 20
Мчист = 0,8, mчист =
0,08, nчист = 20
Основное время заточки в
минутах
Т0 = 
Где iз - m/t - число
рабочих ходов
Т0 = 
= 0,82 мин
III. Расчет червячной
шлицевой фрезы
. Исходные данные для
расчета
Вариант задания - 40В
Рассчитать червячную
фрезу 10х36х45.
Число зубьев Z = 10
Номинальный размер
внутреннего диаметра d1=d=36 мм
Номинальный размер
паружного диаметра dе =D= 45 мм
Исполнение В
Способ центрирования -
центрирование по наружному диаметру и боковым пверхностям зубьев (точность b по
d10)
Ширина зуба b=7 мм
Ширина фаски с=0,4 мм
Точность червячной фрезы
- В
. Определение
установочных параметров
Радиус начальной
окружности 
(рис.) определяем по
формуле

= 
, мм
Где Rф - радиус
окружности начала фаски на шлицевом валуф = 
Здесь b и с -
соответственно ширина шпоночного выступа и фаски, мм
Их размеры определяем по
[4]. ф = 
мм

= 
= 
= 21,99 мм
Угол γв
характеризует профиль шлицевого вала. Определяем его по формуле

= 0,1591
Принимаем по приложению
4 [6] ближайшее меньшее значение 

=0,1564
И уточняем значение
радиуса начальной окружности Rн = b/(2
)н = 7/(2*0,1564) =
22,37 мм
Угловой параметр 
= arcsin [b/(2
)]

= arcsinus 7/(2*22,37)
= arcsin 0,1564 = 9°
. Определение
конструктивных размеров фрезы
Конструкция червячной
фрезы для обработки шлицевого вала с прямобочным профилем показана на рис.. Ее
основные конструктивные размеры определяем по таблице 1 [6, стр97], исходя из
заданныых размеров изготовляемого шлицевого вала.е = 90мм L= 70 мм a= 5 мм d=
32 мм D1 = 50мм n= 10 = 6,0 мм b1 = 8 мм c1= 34,8 мм R = 0,9 мм R1=1,5 мм d1=
33 мм = 20мм
Угол подъема начальной
винтовой линии фрезы определяем по формуле
Где Рпо - нормальный шаг
зубьев фрезы, Рпо = (2πRн)/zни - начальный диаметр фрезы, мм Dни = Dе-2h-k/2
Здесь h - высота профиля
зуба фрезы,мм, h = Rн-d1/2размер затылования зуба фрезы, мм
Рпо = (2*3,14*22,37)/10
= 14,09 мм= 22,37-36/2 = 4,37 ммни = 90-2*4,37 -6/2 = 78,26 мм

= 
= 3°12´
Осевой шаг зубьев фрезы
Рхо = Рпо/соs
Рхо = 14,09/cos3°12´
= 14,09/0,9984 = 14,11 мм
Шаг винтовой стружечной
канавки
Тк = Рхо/tg2
Тк = 13,84/ tg23°12´=
14,11 /0,0034= 4150 мм
. Расчет профиля зуба
червячной фрезы
Определение способа
расчета профиля зуба фрезы
При расчете профиля зуба
червячной фрезы используются три способа:
. расчет наивыгоднейшей
дуги окружности, заменяющей теоретический профиль зуба фрезы;
. расчет координат точек
профиля зуба фрезы по профилю зубчатой рейки;
. рассчет координат
точек профиля зуба фрезы по точному способу.
Первый способ расчета
рекомендуется при выполнении условия≤0,2Rн
проверяем
,37 ≤ 0,2*22
,37
4,4
Условие выполняется.
Применяем первый способ
рассчета.
Расчет наивыгоднейшей
дуги окружности, заменяющей теоретический профиль зуба фрезы
Схема построения профиля
зуба фрезы при этом способе рассчета показана на рис.8
Рис.8. Схема построения
профиля зуба фрезы способом расчета наивыгоднейшей дуги окружности, заменяющей
теоретический профиль зуба фрезы.
Расчётную относительную
ординату крайней точки профиля зуба фрезы определяем по формуле= 0,9h/Rн=
0,9*4,37/22,37 = 0,1758 мм
Рассчетная относительная
абцисса крайней точки профиля зуба фрезы
х = α-
-cosα(sinα - sin
где α
и
измеряются в радианах
Угловой параметр α
находим по формуле
sinα = 0,5(sin
)
sinα = 0,5*(sin
°+
)=0,5*(0,1564+
=
=0,5*(0,1564+
) = 0,5*0,9715 = 0,5047
α = 30°
29´
α =30° 29´
= 0,5320 рад

= 9° = 0,1571 рад
х= 0,5320-0,1571-
cos30°29´*(sin30°29´-sin9°´) = 0,5320-0,1571- 0,9615*
*(0,5072-0,1564) = 0,037
мм
Первый вспомогательный
угол 
1

1 = аrctg 

1 = аrctg 
= аrctg0,2104 = 11° 51´
Второй вспомогательный
угол 



= 1,0008460

= 3°
Третий вспомогательный
угол

,

.
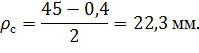
Радиус дуги заменяющей
окружности, мм

,

Координаты центра дуги
окружности, заменяющий теоретический профиль зуба фрезы.
Ордината центра дуги
окружности, мм


Абсцисса центра дуги
окружности, мм


отклонение заменяющей
окружности от теоретического профиля определяем по формуле

= k∆ Rн
где k∆ -
коэффициент из приложения 4 [6]

= ± 0,00075*22,37 = ±
0,0167 мм
. Конструктивные
параметры зубьев фрезы
Профиль зубьев фрезы для
обработки шлицеваго вала исполнения В показан на рис.9.
Рис.9. Профиль зубьев
фрезы.
Толщина зуба фрезы по
начальной линии в нормальном сечении, мм

где 
- положение
центрального угла впадины шлицевого вала,


Толщина зуба в осевом
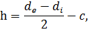
сечении, мм
Высота профиля зуба до
начальной фасочной кромки, мм
Полная высота профиля
зуба фрезы, мм
Ширина канавки между
зубьями, мм
Угол между начальной
линией и режущей кромкой для обработки фаски на шлицевом валу
Глубина стружечной
канавки, мм
Передний угол зуба фрезы
γ = 0°, задний угол при вершине зуба 
b = 12°, число гребенок
фрезы n=10, угол стружечной канавки v равен 22°.
. Технические требования
к червячной фрезе
. Фрезы изготавливают из
быстрорежущей стали по ГОСТ 19265-73.
. Неполные витки должны
быть сняты. Толщина вершины зубьев неполных витков фрезы должна быть не менее
половины толщины вершины цельных зубьев.
. На торце фрезы
маркировать: товарный знак предприятия - изготовителя, обозначение шлицевого
вала, класс точности фрезы, угол подъёма витка, шаг винтовой стружечной канавки
и марку материала фрезы.
. Параметры
шероховатости поверхностей фрезы по ГОСТ 2789-83.
. Допустимые отклонения
диаметров De и L по h16, b1 по C11, C1 по Н12.
. Остальные требования по
ГОСТу.
. Размеры шпоночной
канавки по ГОСТу.
. На торце фрезы
маркировать: товарный знак предприятия- изготовителя, обозначение шлицевого
вала, класс точности фрезы, угол подъема витка, шаг винтовой стружечной канавки
и маку материала фрезы.
Условное обозначение
фрезы для шлицевого вала с центрированием по наружному диаметру и боковым
пверхностям зубьев (точность b по d10) с номинальными размерами вала ZxdxD =
10х36х45, точностью наружного диаметра по h9 для класса точности фрезы В:
Фреза D 10х35х45h9-d10-В
Список использованной
литературы
1. ГОСТ 8027-60. Фрезы червячные чистовые для шлицевых валов
с прямобочным профилем. - М.: Изд-во стандартов, 1960.
. Ашихмин В.Н. Протягивание.-М.:Машиностроение, 1981.-144
с.
. Грановский Г.И., Панченко К.П.Фасонные
резци.-М.:Машиностроение, 1975.-309с.
. Допуски и посадки: Справочник: В 2Ч.-Л.:Машиностроение,
1983. - 991 с.
. Иноземцев Г.Г. Проектирование металлорежкщих
инструментов.-М.:Машиностроение, 1984.-227 с.
. Расчет металлорежущих инструментов: метод. указания к
курсовому и дипломному проектированию /сост. В.В. Булавин. - 3-е изд.- Пенза:
Изд-во Пенз. гос. технол. акад., 2012 - 136 с.
. Справочние технолога-машиностроителя /Под. ред.
А.Г.Косиловой.-Т.1,2.- М.:Машиностроение, 1985.-1150 с.
. Фрайфельд И.А. Рассчеты и конструкции специального
металлорежущего инструмента.-М.;Л.:Машгиз, 1959.-196 с.