Проектирование специальных режущих инструментов
Реферат
Курсовой проект выполнен в соответствии с
заданием и содержит 2 листа формата А1 и 1 лист формата А2 (фасонный резец,
шаблон и контршаблон, обрабатываемая деталь, державка фасонного резца, шлицевая
протяжка, червячная фреза) и расчётно-пояснительную записку, состоящую из 44
листов,3 таблицы. При выполнении проекта было использовано 5 источников.
Тема курсового проекта: «Проектирование
специальных режущих инструментов».
Ключевые слова: фасонный резец, державка,
шаблон, контршаблон, протяжка, фреза, рабочий ход, чистовые зубья, черновые
зубья, подача, скорость.
Расчёт призматического фасонного резца
Исходные данные
Обрабатываемая деталь представляет собой
сочетание цилиндрического, конического, сферического участков и участка,
заданного координатным способом.
Вариант задания №1222.
Исходные данные об обрабатываемой детали:
D1=71 мм; D2=57,5
мм; D3=7 мм; L1=9
мм; L2=14 мм; L3=17
мм; R1=32 мм; D4=62.5
мм; D5=58.5 мм; D6=55.5
мм; D7=53.5 мм; D8=52.5
мм; L4=13 мм; L5=3
мм; L6=6 мм; L7=9.5
мм; D9=49,5 мм; L8=11
мм; D10=44,5 мм; L9=12,5
мм.
Марка стали - сталь 440.
Твёрдость обрабатываемого материала НВ=2129 МПа.
2 Графическое и математическое выражение
фасонного профиля обрабатываемой детали
В интервале 0≤х≤9 профиль
представляет отрезок линии, параллельной оси детали (оси Х), и выражается
формулой:
у=b0,
y=28,5.
Обозначение - ОЛПОД.
В интервале 9≤х≤17 профиль
представляет отрезок линии, заданной по окружности, и выражается формулой
У=38.26 X=10
Обозначение - ОЛЗПО.
В интервале 17≤х≤30 профиль
представляет отрезок линии, заданной координатным способом, и выражается
формулами
у=31,25 при х=17;
у=29,25 при х=20;
у=27,75 при х=23;
у=26,75 при х=26,5;
у=26,25 при х=30.
Обозначение - ОЛЗКС.
В интервале 30≤х≤41 профиль
представляет отрезок линии, наклонной к оси детали (оси Х), проходящей через
две точки с координатами (30; 24,75) для первой точки и (41; 22,25) для второй
точки, и выражается формулой
у=а3х+b3,
где
Тогда окончательно
у=-0,227х+31,557.
У=39.5 X=35
Обозначение - ОЛНОД.
В интервале 41≤х≤53.5 профиль
представляет отрезок линии, параллельной оси детали (оси Х), и выражается
формулой
у=b0,
у=22,25.
Обозначение - ОЛПОД.
3 Вводные данные в ПЭВМ
,
,
,
призматический фасонный резец
Сталь 40, НВ=2129.
Быстрорежущая сталь.
ОЛПОД: Х(1)=0; Х(2)=9;М=28,5
.
ОЛЗПО:Х(1)=9; Х(2)=17;S=31;
G=14; B=3.5;
W=1.
ОЗЛКС:Х(1)=17; Х(2)=20; Х(3)=23; Х(4)=26.5;
Х(5)=30.Y(1)=31,25;
Y(2)=29,25; Y(3)=27.75;
Y(4)=26.75; Y(5)=26,25.
ОЛНОД: Х(1)=30; Х(2)=41; N=-0,227;
Q=31,557.
ОЛПОД: Х(1)=41; Х(2)=53,5; N=-0,227;
Q=31,557.
4 Операции, выполняемые ПЭВМ
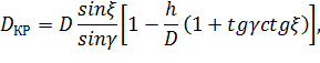
Выбор габаритных размеров фасонного резца
Максимальная глубина фасонного профиля
обрабатываемой детали, мм
Коэффициент К
Принимаем габаритные размеры фасонного резца:
В=35 мм; Н=90 мм; Е=10 мм; А=40 мм; F=25
мм; R=1,0 мм.
Угол τ
элементов крепёжной части фасонного резца
принимается равным 600.
Угол β
β=90°-γ-α,
где γ
- передний угол фасонного резца,
α - задний угол
фасонного резца.
Выбор переднего и заднего углов фасонного резца
Передний и задний углы выбираются из таблицы в
зависимости от материала обрабатываемой детали.
При обработке стали 40 НВ=2129 МПа γ=25°;
α=8°.
β=90°-25°-8°=57°.
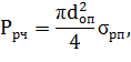
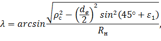
Расчет глубины фасонного профиля резца
Глубина Ср фасонного профиля
рассчитывается с точностью не менее 0,01 мм.
ОЛПОД:
Для обработки участка детали, профиль которого
представляет отрезок линии, заданной по окружности (ОЛЗПО), глубина фасонного
профиля резца для каждого конкретного значения Х рассчитывается по формуле
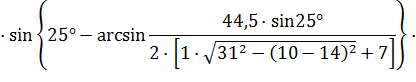
При Х(3)=10 глубина фасонного профиля резца
следующая
·
Значения глубины Ср фасонного профиля
резца для обработки участка детали, профиль которого представляет отрезок
линии, заданной по окружности (ОЛЗПО), для каждого конкретного значения
представлены в таблице 1.
Таблица 1 - Значения глубины Ср
фасонного профиля резца для обработки участка детали, профиль которого
представляет отрезок линии, заданной по окружности (ОЛЗПО)
|
№
|
1
|
2
|
3
|
4
|
5
|
6
|
7
|
8
|
|
Х
|
9
|
9,5
|
10
|
10,5
|
11
|
11,5
|
12
|
12,5
|
|
Ср
|
6,861
|
6,895
|
6,925
|
6,935
|
6,951
|
6,974
|
6,994
|
7,01
|
|
№
|
9
|
10
|
11
|
12
|
13
|
14
|
15
|
16
|
17
|
|
Х
|
13
|
13,5
|
14
|
14,5
|
15
|
15,5
|
16
|
16,5
|
17
|
|
Ср
|
7,022
|
7,031
|
7,036
|
7,038
|
7,036
|
7,031
|
7,022
|
7,01
|
6,994
|
Для обработки участка детали, профиль которого
представляет отрезок линии, заданной координатным способом (ОЛЗКС), глубина
фасонного профиля резца для каждого конкретного значения Х рассчитывается по
формуле
При Х(3)=23 и при Y=27.75
глубина фасонного профиля резца следующая
Значения глубины Ср фасонного профиля
резца для обработки участка детали, профиль которого представляет отрезок
линии, заданной координатным способом (ОЛЗКС), для каждого конкретного значения
представлены в таблице 2.
Таблица 2 - Значения глубины Ср
фасонного профиля резца для обработки участка детали, профиль которого
представляет отрезок линии, заданной координатным способом (ОЛЗКС)
|
№
|
1
|
2
|
3
|
4
|
5
|
|
Х
|
17
|
20
|
23
|
26.5
|
30
|
|
Y
|
31,25
|
29,25
|
27.75
|
26.75
|
26,25
|
|
Ср
|
8,082
|
6,317
|
4,984
|
4,091
|
3,642
|
Для обработки участка детали, профиль которого
представляет отрезок прямой линии, наклонной к оси детали (ОЛНОД), глубина
фасонного профиля резца для каждого конкретного значения рассчитывается по
формуле
При Х(1)=30 глубина фасонного профиля резца
следующая
Значения глубины Ср фасонного профиля
резца для обработки участка детали, профиль которого представляет отрезок
прямой линии, наклонной к оси детали (ОЛНОД), для каждого конкретного значения
представлены в таблице 3.
Таблица 3 - Значения глубины Ср
фасонного профиля резца для обработки участка детали, профиль которого
представляет отрезок прямой линии, наклонной к оси детали (ОЛНОД)
|
№
|
1
|
2
|
3
|
4
|
5
|
6
|
7
|
8
|
|
Х
|
30
|
30,5
|
31
|
31,5
|
32
|
32,5
|
33
|
33,5
|
|
Ср
|
2,286
|
2,183
|
2,08
|
1,977
|
1,874
|
1,77
|
1,667
|
1,563
|
|
№
|
9
|
10
|
11
|
12
|
13
|
14
|
15
|
16
|
|
Х
|
34
|
34,5
|
35
|
35,5
|
36
|
36,5
|
37
|
37,5
|
|
Ср
|
1,46
|
1,356
|
1,253
|
1,049
|
1,045
|
0,941
|
0,837
|
0,732
|
|
№
|
17
|
18
|
19
|
20
|
21
|
22
|
23
|
|
Х
|
38
|
38,5
|
39
|
39,5
|
40
|
40,5
|
41
|
|
Ср
|
0,628
|
0,524
|
0,419
|
0,315
|
0,21
|
0,105
|
0
|
|
|
|
|
|
|
|
|
|
|
5 Конструктивное оформление фасонного резца
Ширина фасонного профиля обрабатываемой детали,
мм
Lр=L+T1+T2,
де T1
и T2
- размеры, определяющие дополнительные упрочняющие кромки фасонного профиля
резца.
Принимаем T1=5
мм.
T2=T3+T4,
Принимаем T3=1
мм; T4=2
мм.
T2=1+2=3
мм.
Lр=53,5+5+3=61,5
мм.
Размер T5
выбирается из соотношения
T5≤Tmax,
T5≤13,25,
принимаем T5=13
мм.
Размер T6
принимается равным размеру T5
с перекрытием 2…3 мм.
T6=T5+3,
T6=13+3=16
мм.
Угол φ
принимаем равным 15°, угол φ1
принимаем равным 15°.
В составном фасонном резце режущая часть имеет
следующие размеры:
высота - 0,5·90=45 мм;
ширина - Lр=61,5
мм;
толщина - 0,6·35=21 мм.
Твёрдость фасонного резца:
а) режущая часть из быстрорежущей стали - 62…65
HRCЭ;
б) крепёжная часть - 40…45 HRCЭ.
Параметры шероховатости поверхностей фасонного
резца:
а) передней поверхности и фасонной задней
поверхности - Ra≤0,32
мкм;
б) посадочных поверхностей крепёжной части - Ra≤1,25
мкм;
в) остальных поверхностей - Ra≤2,5
мкм.
Предельные ширины фасонного профиля резца
принимаются в зависимости от её допуска, т.е. ±1/2Тр.
Допуск на ширину фасонного профиля резца
определяется по формуле
Тр=(0,5…0,7)Тs,
где Тs
- допуск на ширину фасонного профиля обрабатываемой детали.
Предельные отклонения других размеров фасонного
резца принимаются:
а) для вала - h12;
б) для отверстия - Н12;
в) для остальных - ±1/2IT12.
Предельные отклонения углов:
а) передний γ
и задний α углы ±1°;
б) угол крепёжной части τ=±30´;
в) остальные углы ±1,5°.
Комплексная проверка крепёжной части фасонного
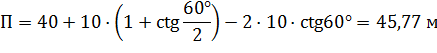
резца производится по размеру П (с точностью 0,05 мм)
где d
- диаметр калиброванного ролика, d=Е=10
мм.
Расчёт и проектирование шлицевой протяжки
Данные для расчета шлицевой протяжки
.1 Исходные данные
Размеры протягиваемого шлицевого отверстия
втулки
х26Н8х30Н12х6D9.
Длина протягивания -
Способ центрирования деталей шлицевого
соединения - по D.
Требуемая шероховатость протягиваемых
поверхностей
для d и D Ra=1,25
мкм, для b
Ra=2,5 мкм.
Материал втулки и его твердость - сталь 30,
НВ=225.
Модель станка - 7Б56.
Технические параметры протяжного станка:
1) Номинальная сила тяги Рст=200 кН.
) Наибольшая скорость рабочего хода Vр.х.=0,19
м/с.
3) Длина хода рабочей каретки Lх.к.=1600
мм.
) Тип патрона - быстросменный автоматический.
) Минимальный размер от торца до первого зуба
протяжки
LХ3 min=200+h
мм,
LХ3 min=200+65=265
мм.
Тип производства - массовый.
Заготовка - штамповка в нормализованном
состоянии.
шлицевой протяжка червячный фреза резец
1.2 Определение диаметра отверстия заготовки
Диаметр отверстия до протягивания, мм
где
-
припуск на протягивание отверстия,
Точность диаметра
назначаем
по Н11.
Группа обрабатываемости I.
Группа качества поверхности 2.
2 Расчет и конструирование шлицевой протяжки
.1 Выбор конструкции шлицевой протяжки
.1.1 Выбор типа протяжки
При центрировании по D
применяем протяжку типа Ф-К-Ш, которая начинает срезать припуск фасочными
зубьями, потом круглыми и завершает обработку шлицевыми.
.1.2 Выбор материала протяжки
Основным материалом режущей части протяжки
предусмотрена быстро режущая инструментальная столь Р6М5 ГОСТ 19265-73.
.1.3 Выбор типа хвостовика и его размеров
Согласно ГОСТ 7943-78 протяжки из
быстрорежущей стали
мм и более
должны быть сварными.
Хвостовик сварной протяжки
изготовляем из конструкционной стали 40Х ГОСТ 4543-71. Стыковую сварку
хвостовика со стержнем протяжки осуществляем на расстоянии 10…15 мм от начала
переходного конуса.
Для быстросъёмных патронов хвостовик
должен быть типа 3 исполнения 1 ГОСТ 4044-70.
Для того чтобы хвостовик свободно
проходил через отверстие в заготовке и в то же время был достаточно прочным,
его диаметр
выбираем
меньшим, ближайшим к диаметру отверстия до протягивания
Размеры хвостовика, мм
d1=25e8; d2=19a11; d3=
; l1=21 мм; l2=25 мм; l3=16 мм; l4=120 мм;
R1=0,3 мм; R2=1,0 мм;
С=1,0 мм.
.1.4 Определение количества чистовых
и калибрующих зубьев, припуска на чистовые зубья
В зависимости от группы качества
поверхности находим:
количество чистовых зубьев на части
протяжки ZКЧ=8; ZШЧ=10;
количество групп из 2 зубьев с
подачей:
шлицевые зубья Sч=0,02 мм -
1; Sч=0,01 мм -2;
круглые зубья Sч=0,02 мм -
2; Sч=0,01 мм -
2;
количество калибрующих зубьев ZКК=5; ZШК=5.
.1.5 Определение значений углов
зубьев
В зависимости от группы
обрабатываемости материала заготовки определяем:
Передний угол зубьев:
черновых γо=18°;
чистовых γч=20°;
калибрующих γк=20°.
Задний угол зубьев:
черновых αо=3°;
чистовых αч=2°;
калибрующих αк=1°.
.2 Назначение режимов обработки
.2.1 Выбор смазочно-охлаждающей жидкости (СОЖ)
Протягивание производим с обязательным
применением СОЖ.
Выбираем: 5%-ная эмульсия из эмульсола Укринол -
I ТУ 38-101187-76
(условное обозначение А).
Выбранную СОЖ подаем в зону резания свободно
подающей струей с двух сторон - на входе и выходе протяжки. Расход СОЖ
0,15…0,40 литров в секунду.
.2.2 Определение скорости резания протяжкой
Учитывая тип производства, группу качества
протягиваемой поверхности и группу обрабатываемости, назначаем V=0,15
м/с.
Протяжной станок должен обеспечивать установку
выбранной скорости резания.
Проверяем выполнение условия: V≤Vрх;
0,15<0,19. Условие выполняется.
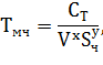
.2.3 Определение наработки чистовых зубьев
Наработка протяжки между отказами измеряется в
метрах суммарной длины протянутых поверхностей. Она зависит от свойств
материала протяжки и заготовки, от скорости резания и подачи, от принятой схемы
резания, геометрии зубьев, от требований к протягиваемым поверхностям и других
факторов.
Наработка чистовых зубьев, м
где СТ - коэффициент, СТ=5,4;
х, у - коэффициенты, х=0,54; у=0,31;
.2.4 Определение подачи на черновые зубья
В зависимости от назначенной скорости резания
допустимая подача на черновые зубья круглой шлицевой и фасонной частей протяжки
Sо=0,11
мм.
Наработка черновых зубьев, м
СТ=12,1; х=0,67; у=0,27;
Проверяем условия равной наработки
Тмо≥Тмч;
78,28<38,1.
Условие не выполняется.
.3 Определение глубины стружечных канавок
.3.1 Определение глубины по условию размещения
стружки
Расчетная глубина стружечной канавки для
размещения стружки, мм
Sо=0,11=45
За глубину профиля канавки
по
условию размещения стружки принимаем стандартное значение, округляя значение в
большую сторону
.3.2 Определение глубины по условию жёсткости
протяжки
Глубина стружечной канавки, допускаемая условием
обеспечения жесткости протяжки, мм
Принимаем
.3.3 Определение номера профиля черновых зубьев
Глубины канавок
и
сравниваем
между собой и принимаем для дальнейших расчётов наименьшее значение.
Принимаем глубину
мм,
номер профиля черновых зубьев -9.
.4 Определение параметров продольного профиля
зубьев
Размеры элементов черновых зубьев фасочной и
шлицевой частей протяжки, мм
Номер профиля чистовых зубьев - 6.
Размеры элементов чистовых и калибрующих зубьев,
мм
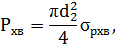
.5 Расчет максимального усилия протягивания
Усилие протягивания, допускаемое прочностью опасного
сечения режущей части протяжки, Н
где
-
диаметр опасного сечения по впадине, мм
- предел прочности
материала протяжки, Н/мм2.
Усилие протягивания, допускаемое прочностью
опасного сечения хвостовика, Н
где
-
предел прочности материала хвостовика, Н/мм2.
Усилие протягивания, допускаемое приводом
протяжного станка, Н
где
-
коэффициент полезного действия, принимаем
Допустимое максимальное усилие протягивания, Н
.6 Расчет количества зубьев в группах
Количество зубьев в группах (секциях) определяем
для черновых зубьев фасонной и шлицевой частей протяжки.
Количество зубьев в группах (секциях), исходя из
максимального усилия протягивания, шт.
где
-
удельная осевая сила резания, приходящаяся на 1 мм режущей кромки зуба,
- наибольшая
ширина режущего сектора зуба, мм;
Фасочных зубьев
где
- размер фаски,
Круглых зубьев
Шлицевых зубьев
где
-
верхнее отклонение ширины шлицевого паза,
Для всех зубьев проверяем выполнение условия
где
-
допустимая ширина режущего сектора зуба без разделения стружки,
мм.
Условие выполняется.
- количество
шлицев,
- количество
зубьев, одновременно участвующих в резании,
Принимаем
шт.
- поправочный
коэффициент, учитывающий условия работы,
где
-
поправочный коэффициент, учитывающий твердость обрабатываемого материала,
- поправочный
коэффициент, учитывающий вид СОЖ,
- поправочный
коэффициент, учитывающий способ разделения стружки,
- поправочный
коэффициент, учитывающий группу качества обрабатываемой поверхности,
Окончательно получаем
Принимаем
Принимаем
Принимаем
.7 Проверка протяжки на прочность
Осевая сила резания, действующая на фасочные и
шлицевые зубья в процессе резания, Н
где
-
суммарная ширина режущих частей зубьев, мм
Для фасочных зубьев
Для круглых зубьев
Для шлицевых зубьев
Наибольшее значение принимаем за расчетную силу
резания
Прочность протяжки будет достаточна, если
расчетная сила резания меньше, чем допустимое максимальное усилие протягивания.
Проверяем выполнение условия:
,
Условие
выполняется.
.8 Расчет припусков на протягивание
При протягивании шлицевого отверстия припуск
удаляется в последовательности:
Припуск, срезаемый фасочными зубьями, мм
где
-
диаметр последнего фасочного зуба, мм
где
-
минимальный внутренний диаметр шлицевого отверстия
Припуск, срезаемый круглыми черновыми зубьями,
мм
где
-
максимальный внутренний диаметр шлицевого отверстия, мм
Припуск, срезаемый шлицевыми черновыми зубьями,
мм
где
-
максимальный внешний диаметр шлицев, мм
.9 Расчет количества зубьев протяжки
У протяжки типа Ф-Ш-К зубья располагаем в
указанной ниже последовательности, при этом их общее количество
где
-
количество фасочных зубьев,
где
-
количество секций (групп) фасочных зубьев.
Предварительно количество секций фасочных зубьев
Полученное значение округляем до ближайшего
меньшего целого
- количества
секций, срезающих основную часть припуска, принимаем
Остаточный припуск, мм
Подача на дополнительную секцию, мм
Определяем окончательно количество секций
фасочных зубьев
- количество
зубьев в секции,
Количество круглых черновых зубьев
где
-
количество секций круглых черновых зубьев.
Предварительно количество секций шлицевых зубьев
Полученное значение округляем до ближайшего
меньшего целого
- количества
секций, срезающих основную часть припуска,
Остаточный припуск, мм
Подача на дополнительную секцию, мм
Определяем окончательно количество секций
шлицевых черновых зубьев
- количество
зубьев в секции,
Количество круглых чистовых зубьев
где
-
количество секций круглых чистовых зубьев,
Количество круглых калибрующих зубьев
Количество шлицевых черновых зубьев
где
-
количество секций шлицевых черновых зубьев.
Предварительно количество секций шлицевых зубьев
Полученное значение округляем до ближайшего
меньшего целого
- количества
секций, срезающих основную часть припуска,
Остаточный припуск, мм
Подача на дополнительную секцию, мм
Определяем окончательно количество секций
шлицевых черновых зубьев
- количество
зубьев в секции,
Количество шлицевых чистовых зубьев
где
-
количество секций шлицевых чистовых зубьев,
Количество шлицевых калибрующих зубьев
Общее количество зубьев
.10 Расчет диаметров зубьев протяжки
.10.1 Расчет диаметров при одном зубе в секции
Диаметры калибрующих шлицевых зубьев
Диаметры калибрующих круглых зубьев
Диаметр последнего чистового шлицевого зуба
Диаметр последнего чистового круглого зуба
Диаметр последнего фасочного зуба
Диаметры предшествующих чистовых и черновых
круглых, шлицевых и фасочных зубьев, мм
где
-
диаметр последнего (последующего) зуба шлицевой или фасочной частей протяжки,
мм;
- подача на
сторону чистовых или черновых зубьев, мм.
.10.2 Расчет диаметров при двух зубьях в секции
Диаметры прорезных зубьев последних секций:
шлицевой чистовой
круглой чистовой
Диаметры прорезных зубьев предшествующих секций
чистовых круглых и шлицевых определяем по формуле
где
-
диаметр последнего (последующего) прорезного зуба секций круглой или шлицевой
части, мм;
- подача на
сторону на секцию соответствующих зубьев.
Диаметры зачищающих зубьев в секциях круглых
принимаем равными диаметрам прорезных зубьев.
Диаметры зачищающих зубьев шлицевых чистовых
секций уменьшаем на
,01…0,02 мм относительно диаметров прорезных
зубьев.
.11 Расчет выкружек на прорезных зубьях
На прорезных зубьях секций делаем выкружки. Их
количество равно количеству пазов на шлицевой втулке. Поэтому на каждом зубе
образуется две криволинейные кромки.
Ширина режущего сектора на прорезных шлицевых
зубьях, мм
где
-
ширина фаски прорезных зубьев,
Ширина режущего сектора на прорезных круглых
зубьях, мм
Ширина выкружек на шлицевых и круглых прорезных
зубьях, мм
Радиус шлифовального круга для образования
выкружек и радиус самих выкружек
Для шлицевых зубьев
Для круглых зубьев
.12 Определение параметров поперечного профиля
зубьев
Расстояние до боковой кромки на последнем
фасочном зубе, мм
где
- угол наклона
боковой кромки фасочных зубьев,
Ширина шлицевых черновых, чистовых и калибрующих
зубьев, мм
Диаметры впадин между фасочными и шлицевыми зубьями,
мм
где
-
верхнее отклонения диаметра
В местах сопряжений боковых поверхностей зубьев
и впадин прорезаем канавки 0,5х0,8 мм.
2.13 Определение длины протяжки
Общая длина протяжки, мм
Минимальный размер хвостовой части, мм
где
-
расстояние от опорной планшайбы станка до торца заготовки, мм.
Принимаем:
Длина рабочей части протяжки типа Ф-К-Ш
Длина частей протяжки с фасочными, круглыми и
шлицевыми черновыми зубьями, мм
Длина частей протяжки с чистовыми и калибрующими
круглыми и шлицевыми зубьями, мм
Длина рабочей части протяжки, мм
Длина задней направляющей, мм
где
-
диаметр задней направляющей, мм
Общая длина протяжки, мм
Длина передней направляющей
,
Диаметр передней направляющей
Длина направляющего конуса
принимаем
Проверяем выполнение условий, ограничивающих
общую длину протяжки:
по длине хода рабочей каретки станка
811<1600.
по жесткости протяжки
29,4<40.
по технологическим ограничениям
811<1500.
Все три условия выполнимы.
3 Эксплуатационные показатели шлицевой протяжки
.1 Расчет нормативной наработки протяжки
Наработка частей протяжки, м
Поправочные коэффициенты на наработку протяжки
Нормативная наработка протяжки, м
.2 Расчет количества протягиваемых деталей
Количество протягиваемых деталей,
соответствующих наработке до отказа протяжки, шт.
3.3 Определение основного времени операции
протягивания
Основное время протягивания одной детали, мин
где
-
длина рабочего хода, мм
где
-
длина рабочей части протяжки, мм
- число рабочих
ходов,
- коэффициент,
учитывающий условия обслуживания протяжного станка,
- количество
одновременно обрабатываемых заготовок,
.4 Определение показателей для восстановления
протяжки
Угол наклона оси шпинделя шлифовальной головки
заточного станка
где
-
угол наклона образующей конической поверхности шлифовального круга, принимаем
- передний угол
затачиваемого зуба.
) для черновых зубьев:
- передний угол
затачиваемого зуба

где
-
внешний диаметр зубьев,
- высота
стружечной канавки,
) для чистовых зубьев:
- передний угол
затачиваемого зуба
Диаметр шлифовального круга, мм
Для заточек зубьев используем шлифовальный круг
с характеристикой:
материал - электрокорунд белый марок 22А, 23А
или монокорунд марок 43А, 44А;
зернистость 40...16;
твердость С1...С2;
связка керамическая; структура 4...6.
Скорость резания при заточке
Окружная скорость протяжки:
Глубина резания
Глубина допустимого стачивания зубьев протяжки,
глубина стачивания за одну переточку и количество переточек для черновых зубьев
Глубина допустимого стачивания зубьев протяжки,
глубина стачивания за одну переточку и количество переточек для чистовых зубьев
Основное время заточки протяжки, мин
где
-
число рабочих ходов,
где
- глубина резания,
мм
Черновые зубья
Общее число черновых зубьев
Основное время заточки черновых зубьев протяжки,
мин
Чистовые зубья
Общее число чистовых зубьев
Основное время заточки чистовых зубьев протяжки,
мин
Общее время на заточку протяжки, мин
Расчёт червячной шлицевой фрезы
Исходные данные для расчёта
Задание №25В.
Число зубьев
.
Номинальный размер внутреннего диаметра
Номинальный размер наружного диаметра
Исполнение шлицевого вала - В, с центрированием
по наружному диаметру
и боковым
поверхностям, точность
по
.
Радиус начальной окружности, мм
где
-
радиус окружности начала фаски на шлицевом валу, мм
где
- ширина фаски,
мм;
- ширина
шпоночного выступа,
Угловой параметр, характеризующий профиль
шлицевого вала
Принимаем ближайшее меньшее значение
Уточняем значение радиуса начальной окружности,
мм
Определение конструктивных размеров фрезы
Основные конструктивные размеры фрезы, мм
De=100; L=80; а=5;
d=32; D1=50; n=12; k=5,5; b1=8; c1=34,8;
R=0,9; R1=1,5; d1=33; l=21.
Угол подъёма начальной винтовой линии фрезы
где
-
нормальный шаг зубьев фрезы, мм
- начальный диаметр
фрезы, мм
где
-
высота профиля зуба фрезы, мм
Осевой шаг зубьев фрезы, мм
Шаг винтовой стружечной канавки, мм
4. Расчёт профиля зуба червячной шлицевой фрезы
.1 Определение способа расчёта профиля зуба
фрезы
При расчёте профиля зуба червячной шлицевой
фрезы используют три способа.
Расчёт наивыгоднейшей дуги окружности, заменяющий
теоретический профиль зуба фрезы.
Расчёт координат точек профиля зуба фрезы по
профилю зубчатой рейки.
Расчёт координат точек профиля зуба фрезы по
точному способу.
На точность профилирования зубьев червячных
шлицевых фрез влияют размеры профиля шлицевого вала, угол подъёма начальной
винтовой линии фрезы и способ расчёта.
Первый способ рекомендуется при выполнении
условия
.
Проверяем выполнение условия
≤0,2·
;
3.777≤5.955; условие выполняется.
.2 Расчёт наивыгоднейшей дуги окружности,
заменяющий теоретический профиль зуба фрезы
Расчётная относительная ордината крайней точки
зуба фрезы, мм
Расчётная относительная абсцисса крайней точки
зуба фрезы, мм
Угловой параметр
Первый вспомогательный угол
Второй вспомогательный угол
Третий вспомогательный угол
Радиус дуги заменяющей окружности, мм
Координаты центра дуги окружности, заменяющий
теоретический профиль зуба фрезы.
Ордината центра дуги окружности, мм
Абсцисса центра дуги окружности, мм
5. Конструктивные параметры зубьев фрезы
Толщина зуба фрезы по начальной линии в
нормальном сечении, мм
где
-
положение центрального угла впадины шлицевого вала,
Толщина зуба в осевом сечении, мм
Высота профиля зуба до начальной фасочной
кромки, мм
Полная высота профиля зуба фрезы, мм
Ширина канавки между зубьями, мм
Угол между начальной линией и режущей кромкой
для обработки фаски на шлицевом валу
где
Глубина стружечной канавки, мм
Передний угол зуба фрезы
,
задний угол при вершине зуба
Число гребёнок
фрезы
.
Угол стружечной канавки
Технические требования к червячной фрезе
Фрезы изготавливают из быстрорежущей стали по
ГОСТ 19265-73.
Твёрдость фрез HRCЭ
63…65.
Неполные витки должны быть сняты. Толщина
вершины зубьев неполных витков фрезы должна быть не менее половины толщины
вершины цельных зубьев.
На торце фрезы маркировать: товарный знак
предприятия - изготовителя, обозначение шлицевого вала, класс точности фрезы,
угол подъёма витка, шаг винтовой стружечной канавки и марку материала фрезы.
Условное обозначение фрезы
Фреза D
8х52х60 e9-d10-В
ГОСТ 8027-60
Список использованной литературы
1)
Булавин В.В. Режущий инструмент: Учебно-методическое пособие (заочное
обучение). - Пенза: Изд-во Пенз. гос. технол. акад., 2010 - 244 с.
)
ГОСТ 8027-60. Фрезы червячные чистовые для шлицевых валов с прямобочным
профилем. - М.: Изд-во стандартов, 1960.
)
Допуски и посадки: Справочник: в 2-х т. - Л.: Машиностроение, 1983. 991 с.
)
Справочник технолога-машиностроителя/ Под редакцией А.Г.Косиловой. Том 1, 2 М.:
Машиностроение, 1985. - 1150 с.
)
Иноземцев Г.Г. Проектирование металлорежущих инструментов. - М.:
Машиностроение, 1984.