Расчет трубчатой печи

  • Вид работы:
    Контрольная работа
  • Предмет:
    Другое
  • Язык:
    Русский
    ,
    Формат файла:
    MS Word
    939,83 Кб
  • Опубликовано:
    2013-09-08
Вы можете узнать стоимость помощи в написании студенческой работы.
Помощь в написании работы, которую точно примут!

Расчет трубчатой печи
















Расчет трубчатой печи

трубчатый печь конвективный камера

Введение

На большинстве технологических установок нагрев нефти и нефтепродуктов осуществляется в трубчатых печах, где тепло сжигаемого горючего передается прокачиваемой через трубный змеевик воды либо парожидкостной консистенции.

Трубчатые печи различаются друг от друга по конструктивным и технологическим признакам. Практически все печи, эксплуатируемые в текущее время на нефтеперерабатывающих заводах, являются радиантно-конвекционными, т. е. трубные змеевики расположены и в конвекционной, и в радиантной камерах. Наибольшее количество тепла передается в радиантной камере методом радиации.

По числу радиантных камер бывают одно-, двух- и многокамерные трубчатые печи. По технологическому предназначению различают нагревательные и реакционно-нагревательные печи. В первом случае целью является нагрев сырья до данной температуры, во 2-м случае не считая нагрева в определенных участках трубного змеевика обеспечиваются условия для протекания направленной реакции (например, тепловой крекинг). По конфигурации трубчатые печи обычно бывают коробчатыми (с плоским либо наклонным сводом), но встречаются также вертикальные цилиндрические печи. Конфигурация печи и взаимное размещение камер предназначают размещение трубных экранов в радиантной камере печи. Трубами экранируют свод, боковые, передние и перевальные стенки, также под печи. Различают однорядные и двухрядные экраны.

По направлению движения дымовых газов бывают печи с восходящим, нисходящим и горизонтальным потоками. При нисходящем потоке дымовых газов миниатюризируется возможность застойных зон, потому обеспечивается наиболее высочайшая эффективность теплопередачи.

1. Расчет для цилиндрической печи установки каталитического риформинга

Рисунок 1. Цилиндрическая печь.

Трубы радиантного змеевика печи d 168 х 10 расположены на диаметре Dц.т. = 3875 мм с шагом S = 304 мм. Длина труб змеевика 1рт = 9630 мм. Поверхность радиантного змеевика Нр = 203 м2. Внутренний диаметр печи (по футеровке) D = 4237 мм. Относительный шаг размещения труб в этой печи S/d = 304/168= 1,81. Расчет НРS выполняется для случая размещения труб в печи с шагом S/d = 2,0.

Расчет поверхностей и суммы поверхностей экранов,М2

Цилиндрическая часть:


Нижний ряд труб камеры конвекции:


Сумма поверхностей:


2.Расчет поверхностей и суммы поверхностей F0) обмуровки, м2

Площадь пода:


Площадь цилиндрической части обмуровки:


Площадь боковой поверхности сложного перехода от цилиндрической части к прямоугольной (подсчитана с помощью программы 3-мерного моделирования): F0пер = 16,9

Сумма поверхностей обмуровки:

ΣF0 = F0под +F0ц + F0пер = 11,8 +1,3 +16,9 = 30

Суммарная поверхность стен топки, м2

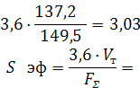
FΣ=ΣFэкр+ ΣFо=119,5 + 30 = 149,5

Объем топки (Vт),м3

Объем цилиндрической части печи:


Объем сложного перехода от цилиндрической части к прямоугольной (подсчитан с помощью программы 3-мерного моделирования):

Vпер=22,8

Общий объем топки:

Vт = Vц + V пср =114,4 + 22,8 = 137,2

Эффективная толщина излучающего слоя газового объема топки, м


3.Расчет трубчатых печей установки замедленного коксовании производительностью 1 млн. т в год по первичному сырью

Таблица 1. Исходные данные для расчета


Продукт

Параметр

Первичное сырье

Вторичное сырье

Производительность, кг/час

125000

175000 + 1500*

Температура на входе в печь, t °С

200

330

Температура на выходе из печи, t °С

330

495

Доля отгона на выходе из печи, е

-

0,4

Давление на выходе из печи, МПа

0,5

1,5


Количество турбулизатора проверить по скорости вторичного сырья на входе в печь (≥Зм/с).

Температура начала активных химических превращений tХ = 430 °С

Тепловой эффект образования бензина 167,6 кДж на 1 кг (40 ккал) первичного сырья, в т.ч. 41,9 кДж на 1 кг (10 ккал), 25% в печи.

Топливо газовое с низшей теплотой сгорания Q"р= 42500 кДж/нм3 подается в печи при температуре 80 °С.

Таблица 2. Теплофизические свойства нагреваемых продуктов

Температура





t, °С

Первичное сырье

Вторичное сырье

Р,

МПа







200

330

495

Параметр


при

при

при

при



Р= 1,35

Р= 0,5

Р=2,46

Р=1,5

Плотность, кг/ м3

ρж

879,4

792,1

793,3

686


ρп

 

 

 

32

Энтальпия,

qж

98,35

180,0

175,51

320,55

ккал/кг

qп

 

 

 

370,35

Кинематическая

υж

6,76

1,04

0,50

2,104

вязкость, сСт

υп

 

 

 

0,604

Теплопроводность

λж

0,152

0,130

0,119

0,053

Вт/м К

λп

-

-

-

0,069


Таблица 3. Плотность продуктов при нормальных условиях, кг/м3:

первичного сырья 994,4


вторичного сырья 988,8

первичного сырья 998,2


вторичного сырья 981,6


4.Предварительные расчеты, выбор и основные параметры трубчатых печей

Полезная тепловая мощность трубчатых печей установки.

Удельные энтальпии продуктопотоков: - первичное сырье:

= 4,19·(0,403·200 + 0,000405·2002=406,0 кДж/кг

= 4,19·(0,403·330 + 0,000405·3302)= 742,7 кДж/кг

= 4,19·(0,403·330 + 0,000405·3302= 747,0 кДж/кг

=4,19·(0,403·495+0,000405·4952=1256,9 кДж/кг

=4,19·[(50,2+0,109·495+0,00014·4952)(4-991,6·10-3)-73,8]=1436,1кДж/кг

Тепловой эффект образования бензина, кДж/кг вторичного сырья:

=41,9/1.4 =29,9

Удельное тепло нагрева (и перегрева) турбулизатора, кДж/кг вторичного сырья:

= 1500-(3465,1-853,9) =22,4

,9 - удельная энтальпия воды нагретой до 200 ОС при давлении 4 МПа. 3465,1 - удельная энтальпия перегретого пара при давлении 1,5 МПа. Удельное тепловосприятие первичного сырья, кДж/кг:

ΔΙпс=742,7-406,0=336,7

Удельное тепловосприятие вторичного сырья с учетом эффекта образования бензина и затрат тепла на турбулизатор, кДж/кг (ккал/кг):

ΔΙвс = 1256,9·0,6+1436,1·0,4-747,0+29,9+22,4=633,9

Доля тепловосприятия первичного сырья в общей тепловой мощности печи:

r1=336,7/(336,7+1,4-633,9)=0,275

Доля тепловосприятия вторичного сырья:

r2 =1- 0,275 = 0,725 Общая тепловая мощность печей, МВт

Qп = 34,72·(336,7 + 1,4·633,9)·10 3 = 42,50

В том числе по вторичному сырью, МВт:

QВС =34,72·1,4·633,9·103 = 30,81

,72 - секундная производительность установки по первичному сырью.

Выбор исполнения и типоразмера трубчатой печи.

Принимаем решение использовать трубчатые печи вертикально- факельного сжигания топлива с размещением змеевика вторичного сырья в радиантной камере, а змеевика первичного сырья - в конвективной камере. Значение среднедопускаемого теплонапряжения радиантного змеевика предварительно принимаем равным:

qр= 29000 Вт/м2[1]

Так как в радиантной камере размещается лишь змеевик вторичного сырья, необходимая поверхность для его нагрева определится из тепловой нагрузки на него, м :

Нр = 30,81·106/29000= 1062,4

В трубчатых печах УЗК рекомендуется основную часть вторичного змеевика размещать с относительным шагом S1 = 2d, а в конечной стадии нагрева и с большим шагом [16]. Так как значения Нр в каталогах и в приложении 1 даны для змеевиков с шагом = 1,81d, каталожные значения Hр должны быть уменьшены. Исходя из вышесказанного, выбираем две печи ГС1680/19,5

Змеевик вторичного сырья в каждой печи двухпоточный. На один поток приходится 36 труб 127 х 8 мм: 5 нижних труб размещаются с шагом 430 мм, остальные с шагом 250 мм. Трубы змеевика первичного сырья 127 х 8 размещаются с шагом 215 мм.

Поверхность труб радиантного змеевика каждой печи составит, м2:

Нр=π·0,127·72·19,5 =560,2

Уточнение количества турбулизатора. При проектировании трубчатых печей установок замедленного коксования рекомендуется [16] поддерживать массовые скорости во вторичном змеевике в пределах 1221-1709 кг/м3с. При двух потоках вторичного змеевика из труб 127x8 мм в каждой печи массовая скорость вторичного сырья составит, кг/м2с:

Wм=

Массовая скорость вторичного сырья находится у нижнего предела рекомендуемых значений. Скорость вторичного сырья на входе в печь без учета турбулизатора в м/с:

Wм=

Средняя плотность потока во вторичном змеевике с учетом турбулизатора, кг/м :

ρср =

где - удельный объем водяного пара, м3/кг.

Скорость вторичного сырья на входе в печь с учетом турбулизатора, м/с:

Wм=

Согласно задания на проектирование трубчатой печи скорость вторичного сырья на входе во вторичный змеевик должна быть не менее 3 м/с. Для достижения этой скорости увеличим расход турбулизатора до 1850 кг/час.

Тогда: ρср =кг/м3

W=

Такая скорость удовлетворяет условию задания.

В этом разделе расчета приняты некоторые допущения, влияние которых на результат незначительны, а именно:

- не учитывается некоторое охлаждение вторичного сырья после смешения его с турбулизатором;

- условно принимается, что турбулизатор мгновенно после подачи его в змеевик превращается в пар.

Пересчитаем тепловую нагрузку в связи с увеличением расхода турбулизатора:

Удельное тепло нагрева (и перегрева) турбулизатора, кДж на кг вторичного сырья:

= 1850-(3465,1-853,9) =27,6

Удельное тепловосприятие вторичного сырья с учетом эффекта образования бензина и затрат тепла на турбулизатор, кДж/кг:

ΔΙвс=1256,9·0,6 +1436,1·0,4-747,0+29,9+27,6 =639,1

Общая тепловая мощность печей, МВт

Qп = 34,72·(336,7 + 1,4·639,1)·10 3 = 42,76

В том числе по вторичному сырью, МВт:

QВС =34,72·1,4·639,1·103=31,07

Уточним долю тепловосприятия первичного сырья в общей тепловой мощности печи:

г1,=336,7/(336,7+1,4·639,1)=0,273

Доля тепловосприятия вторичного сырья:

г2=1-0,273=0,727

Располагаемое тепло, коэффициенты использования топлива и сохранения тепла.

Приведенная суммарная энтальпия дымовых газов:

IΣ=1000+3,5=1003,5 кДж·103/кДж:

,5 - это приведенное физическое тепло газообразного топлива, нагретого до 80 °С[1].

Потери тепла от наружного охлаждения печи принимаем 5%. Потерями тепла от химической и механической неполноты сгорания пренебрегаем.

Температуру газов сгорания на выходе из печи принимаем tУХ, = 320 °С при α = 1,2. Соответствующая приведенная энтальпия продуктов сгорания на выходе из печи 164 кДж·103/кДж.

Потери тепла с уходящими продуктами сгорания топлива, %:

q'у =0,1·164 = 16,4

Действительное значение потерь тепла с уходящими газами, %:

qу =16,4·1000/1003,5=16,35

Коэффициент использования топлива, %:

η= 100-16,35-5 = 78,65

Коэффициент сохранения тепла:


Тепловой расчет топки (радиантной камеры) печи

Уточняем значение среднедопускаемого теплонапряжения радиантного змеевика, Вт/м2;

qp=106=106=27731

По значению qp и tст находим ориентировочное значение температуры продуктов сгорания на выходе из топки tт=800 оС. Средняя температура наружной поверхности радиантных труб tст принимается ~ 450 °С [1].

Находим долю полезной теплоотдачи всему змеевику μп долю количества тепла, воспринимаемую в топке μp и в камере конвекции μk.

Доля полезной теплоотдачи змеевику трубчатой печи μп соответствует коэффициенту использования топлива:

μп = 0,01·78,65 = 0,7865

Коэффициент прямой отдачи μp:

μp=(1003,5-390)·

где 390 - приведенная энтальпия дымовых газов при tт=800 оС и α = 1,1 [1].

Конвективная доля теплоотдачи μk:

μk = 0,7865 - 0,575 = 0,2115

Отношение НРS =2,95

Средняя поверхностная плотность теплового потока радиантного экрана в результате теплоотдачи конвекцией, Вт/м2:

qкр = 2,09··(0,9·1073-723) = 2194

Температурная функция θ4=1,45-0,3·0,7=1,24 [1]. Отношение глины факела горения к высоте топки для данной печи принято равным 0,7.

Температура продуктов сгорания на выходе из топки, К(°С):

Тт ==1066

Значение температуры продуктов сгорания на выходе из топки не совпало с предварительно принятым. Задаемся новым значением Тт и уточняем расчет.

Новое значение tТ принимаем равным 795 оС (1068 К).

Новое значение коэффициента прямой отдачи μp:

μp=(1003,5-388)·

где 388 - приведенная энтальпия дымовых газов при tт =795 °С

Тогда конвективная доля теплоотдачи μk:

μk = 0,7865 - 0,577 = 0,2095

Отношение НРS =2,95

Средняя поверхностная плотность теплового потока радиантного экрана в результате теплоотдачи конвекцией, Вт/м2:

qкр = 2,09··(0,9·1068-723) = 2146

Температура продуктов сгорания на выходе из топки, К (°С),

Тт ==1067

Значение ТТ практически совпало.

Тепловой расчет конвективной камеры печи

Температурный напор Δt, оС:

Δt== 254

Коэффициент теплоотдачи конвекцией, αк

Расчетная температура продуктов сгорания, К (оС):

Действительный средний объем продуктов сгорания в конвективном пучке в одной печи [1], м3/с:

VД=1,42·

где 1,42 нм3103/ккал - приведенный объем продуктов сгорания при а = 1,15.

Рисунок 2. Конвективная камера

На рисунке показан фрагмент конвективной камеры. Трубы в конвективной камере размещаются по четыре в ряду с шагом 215 мм. Ширина конвективной камеры 0,975 м, длина камеры 19,8 м. Величина пережимного уступа 95 мм.

Свободное сечение пучка равно, м2:

Fк =(0,975-0,095)·19,8 - 4·0,127-19,5 =7,52

Средняя скорость продуктов сгорания в пучке, м/с:

WД=

Коэффициент теплоотдачи а" = 28,0 Вт/м2·град [1].

Поправочные коэффициенты kS, kt, и kz равны единице [1], поэтому αk = αk".

Коэффициент теплоотдачи излучением продуктов сгорания

Расчетная температура газового слоя, оС:

tД=

Расчетная температура наружной стенки труб, оС:


Эффективная толщина излучающего слоя Sэф, м:

Sэф=0,9·0,127·

Степень черноты газового объема: αг= 0,178 [1].

Приведенный коэффициент излучения продуктов сгорания: αл"=69 Вт/м2град [1].

Коэффициент, учитывающий парциальное давление трехатомных газов: kπ=1,06 [1].

Коэффициент теплоотдачи излучением, Вт/м2·град:

αл =1,06 0,178·69 = 13,02

Коэффициент теплообмена от продуктов сгорания к стенке трубы

α1 =28,0+13,02 = 41,02

Значение коэффициента теплоотдачи от стенки трубы к продукту,

а2 = 590 Вт/м2·град [1].

Рассчитаем среднюю скорость первичного сырья в конвективном змеевике (в каждой печи по одному потоку), м/с:

Wп=

Скорректируем значение а2, умножив его на коэффициент

(Wп/1,5)0,8 = 1,334

а2 =590·1,334=787 Вт/м2град


k=

Коэффициент теплопроводности стали 15Х5М[1]при 300 °С

λм = 35 Вт/м°С

Термическое сопротивление отложений внутри змеевика ε1 и наружного слоя загрязнения ε2, м2·град/Вт:

ε1= 0,001 и ε2 = 0,0004

Поверхностная плотность теплового потока, Вт/м2:

qk=36,66·254 = 9312

Необходимая поверхность нагрева и количество труб.

Необходимая поверхность нагрева конвективного змеевика в каждой печи определяется, м2:

Нk=

Количество труб змеевика находится [1], шт.:

п =

Принято 80 труб.

Конвективный пучок с таким количеством труб будет состоять из 20-ти рядов. Расстояние по осям крайних рядов составит 186 х 19 = 3534 мм.

Расходные показатели.

Из расходных показателей в данном примере определяется только расход топлива.

Расход топлива на две печи, выраженный в располагаемом тепле топлива [1], мВт

QΣ=

Объемный расход топлива при = 42500 кДж/нмЗ:

Gm= 103 = 1,28 нм3

Поверочный расчет трубчатой печи установки каталитического риформинга.

Исходные данные для расчета:

Производительность 99000 кг/час (27,5 кг/с), в т. ч.: Бензиновая фракция 85000

Водородно-газовая смесь  14000

Температура продукта, °С

-на входе в печь -320

на выходе из печи -380

Доля отгона -на входе в печь -0,9

-на выходе из печи -1,0 Давление на выходе из печи, МПа -5,0

Таблица 4. Теплофизические свойства продукта:

Температура Параметр t, 0 С

320

329

350

380

Плотность, кг/мЗ

ρсм

54,23

52,96

48,1

45,02

Энтальпия, кДж/кг

I СМ

1242

1204

1109

993

Кинематическая вязкость, ν 106 м2

νп

0,7616

0,7353

0,6958

0,6923


νж

0,1843

0,1752

0,1532

---

Теплопроводность, Вт/м·К

λп

0,1340

0,1318

0,1260

0,1260


λж

0,0555

0,0535

0,0510

---


Теплофизические свойства продукта определялись в процессе расчета трубчатой печи.

Предварительные расчеты

Общая тепловая мощность печи, мВт

Qп = 27,5·(1242 - 993)·103 = 6,85 мВт

Располагаемое тепло, коэффициенты использования топлива и сохранения тепла.

Приведенная суммарная энтальпия дымовых газов:

IΣ = 1000 +4,5 = 1004,5 кДж·103/кДж,

где 4,5 - это приведенное физическое тепло газообразного топлива, нагретого до 100 °С.

Потери тепла от наружного охлаждения печи принимаем q0= 5%.

Потерями тепла от химической и механической неполноты сгорания пренебрегаем.

Температура продукта на входе довольно высокая (320оС), поэтому температуру газов сгорания на выходе из печи принимаем tух, = 450 oС при α = 1,2. Соответствующая приведенная энтальпия продуктов сгорания на выходе из печи 230 кДж·103/кДж.

Потери тепла с уходящими продуктами сгорания топлива, %:

=0,1·230 =23

Действительное значение потерь тепла с уходящими газами, %:

=23·

Коэффициент использования топлива, %:

η= 100 - 22,9 -5=72,1

Коэффициент сохранения тепла.

kφ = 1-= 0,935

Тепловой расчет топки (радиантной камеры) печи

Высокая температура продуктов сгорания уходящих из печи предполагает большую долю тепла, воспринимаемую радиантным змеевиком. Рассчитаем значение теплонапряженння радиантного змеевика из предположения, что в камере радиации воспринимается 80 - 85 % общей тепловой нагрузки на печь, Вт/м2:

=

По значению qр и tст находим ориентировочное значение температуры продуктов сгорания на выходе из топки tт=800оС. Средняя температура наружной поверхности радиантных труб принимается tст= 390оС. Температура продукта на выходе из конвективного змеевика в радиантный tкр принята из расчета пропорциональности температуры и энтальпии продукта.

Находим долю полезной теплоотдачи всему змеевику µn, долю количества тепла воспринимаемую в топке µр и в камере конвекции µк.

Доля полезной теплоотдачи змеевику трубчатой печи µn соответствует коэффициенту использования топлива:

µn =0,01·72,1 = 0,721

Коэффициент прямой отдачи µр:

µр =(1004,5-390)·

где 390 - приведенная энтальпия дымовых газов при tг=800 °С и α = 1,1[1].

Конвективная доля теплоотдачи µк

µк =0,721-0,572 = 0,149

Отношение НР / НS = 3,44 [1].

Средняя поверхностная плотность теплового потока радиантного экрана в результате теплоотдачи конвекцией, Вт/м2:

qкР = 2,090,9·1073-663) = 2847

Температурная функция θ4 = 1,45 - 0,3·0,5 = 1,3 [1].

Отношение длины факела горения к высоте топки для данной печи принято равным 0,5.

Температура продуктов сгорания на выходе из топки, К (°С),

Tт=100·

Значение температуры продуктов сгорания на выходе из топки незначительно отличается от предварительно принятого. Примем эту температуру за основу.

Тепло, переданное радиантному змеевику, составляет:

Qp=6,85 = 5,434 мВт.

Расчет сопротивления дымовой трубы.

Величина снижения температуры дымовых газов на выходе из трубы [1],°С:


Высота дымовой трубы hд=16 м, диаметр d°д =0,70 м. Труба изолирована только в начальной части. Коэффициент kдт =2.

Расчетная температура продуктов горения в дымовой трубе, °С:


Средний объем продуктов сгорания, м3/с:


где 1,535 - приведенный объем продуктов сгорания при =1.25 [1].

Расчетная скорость продуктов сгорания в дымовой трубе, м/с:


Плотность газового потока [1], кг!м3


Коэффициент сопротивления трения [1]:


Коэффициент сопротивления выхода из дымовой трубы

Общее сопротивление дымовой трубы [1], Па:


Общее сопротивление, с учетом сопротивления конвективного пучка, Па:


Самотяга дымовой трубы, Па:


Т.е. тяговые возможности дымовой трубы превышают сопротивление конвективного пучка и собственно дымовой трубы.

Список литературы

.        Ягудин М.Н. Тепловой и аэродинамический расчет трубчатых печей. Уфа. Издательство ГУП ИНХП РБ. 2008 - с. 210

2.     Скобло А.И., Трегубова И.А., Молоканов Ю.К., Процессы и аппараты нефтеперерабатывающей и нефтехимической промышленности, М.: Химия, 1982 г., 584 с.

3.      Технологический расчет трубчатой печи на ЭВМ: Методические указания к лабораторным и практическим занятиям, курсовому и дипломному проектированию / Составитель Г.К.Зиганшин, Уфа: Изд. УГНТУ, 1997 г., 100 с.

.        Кузнецов А.А., Кагерманов С.М., Судаков Е.Н., Расчеты процессов и аппаратов нефтеперерабатывающей промышленности, Л.: Химия, 1974 г., 344 с.

.        Трубчатые печи: Каталог / Составители В.Е. Бакшалов, В.Ф. Дребенцов, Т.Г. Калинина, Н.И. Сметанкина, Е.И. Ширман, М.: ЦИНТИхимнефтемаш, 1985 г., 34 с.


Не нашли материал для своей работы?
Поможем написать уникальную работу
Без плагиата!
Без нейросетей!