Дискретные цепи

  • Вид работы:
    Реферат
  • Предмет:
    Информатика, ВТ, телекоммуникации
  • Язык:
    Русский
    ,
    Формат файла:
    MS Word
    173,61 kb
  • Опубликовано:
    2009-01-12
Вы можете узнать стоимость помощи в написании студенческой работы.
Помощь в написании работы, которую точно примут!

Дискретные цепи

Дискретные цепи

А. Т. Бизин

Сибирская Государственная Академия телекоммуникаций и информатики

Новосибирск 1998 г.

Разностное уравнение и дискретная цепь

Непрерывный сигнал на входе линейной системы x(t) и соответствующий сигнал y(t) на выходе связаны дифференциальным уравнением. Замена непрерывной переменной t на дискретную переменную nT приводит к замене дифференциального уравнения разностным уравнением. Каноническая форма разностного уравнения общего вида, учитывающая в явном виде наличие в системе как прямых, так и обратных связей, запишется так

y(nT) =am x(nT - mT) +y(nT -),    (2.1)

где (M + 1) - число прямых связей,

Z - число обратных связей,

m, , n - целые положительные числа.

Аналитические методы решения разностных уравнений во многом повторяют методы решения дифференциальных уравнений и позволяют получить решение в общем виде, пригодном для анализа работы дискретной системы. Численные методы решения приводят к результату в виде числовой последовательности, поэтому разностное уравнение в этом случае воспринимается как алгоритм функционирования дискретной системы, пригодной для программирования на ЭВМ работы такой системы.

Система работа которой описывается разностными уравнениями, является дискретной так как она способна воздействовать только на отсчеты сигнала. Дискретная система и дискретная цепь осуществляет, согласно (2.1) следующие операции над дискретными сигналами.

Сдвиг (запаздывание) на целое число интервалов T

Умножение на некоторый коэффициент am или b

Сложение сигналов

Перечисленные операции образуют полный базис, в котором можно реализовать заданное воздействие на сигнал.

Набору операций базиса соответствует набор типов элементов дискретной цепи : элементы памяти (задержки), умножители и сумматоры.

Каноническая схема дискретной цепи общего вида, соответствующая разностному уравнению (2.1), приведена на Рис. 2.1.

Разностное уравнение с постоянными коэффициентами am , b описывает линейную дискретную цепь. Разностное уравнение с коэффициентами, зависящими от уровня отсчетов дискретного сигнала, описывает нелинейную дискретную цепь.

Разностное уравнение составляется непосредственно по схеме цепи, учитывая возможные пути прохождения сигнала, или по системным характеристикам цепи.

Пример. Составить разностное уравнение цепи, схема которой приведена на Рис. 2.2, а.

Решение.

Здесь имеется три пути прохождения сигнала от входа до выхода цепи, по которым сигналы проходят и затем складываются в сумматоре. Поэтому разностное уравнение имеет вид

y(nT) = 0,5 x(nT) - 0,7 x(nT - T) + 0,35 x(nT - 2T).

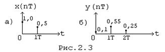
Пример. Определить y(nT) (Рис. 2.2, б), если x(nT) = {1,0 ; 0,5}.

Решение.

Разностное уравнение цепи y(nT) = 0,5 x(nT - T) + 0,1 x(nT) численное решение разностного уравнения :

n=0;  y (0T) = 0,5 x(-T) + 0,1 x(0T) = 0,1;

n=1;  y (1T) = 0,5 x(0T) + 0,1 x(1T) = 0,55;

n=2;  y (2T) = 0,5 x(1T) + 0,1 x(2T) = 0,25;

n=3;  y (3T) = 0,5 x(2T) + 0,1 x(3T) = 0.

Следовательно y(nT) = {0,1; 0,55; 0,25}.

Графики сигналов x(nT) и y(nT) приведены на рис (2.3,а,б).

Пример. Определить сигнал на выходе цепи (рис 2.2,в), если y(nT)={0,1; 0,1}.

Решение.

Цепь содержит обратную связь (ОС), поэтому сигнал на выходе цепи формируется как сигнал со стороны входа, так и со стороны выхода.

y(nT) = 0,4 x(nT-T) -  0,08 y(nT-T)

n=0   y(0T) = 0,4 x(-T)   -  0,08 y(-T) = 0

n=1   y(1T) = 0,4 x(0T)  -  0,08 y(0T) = 0,4

n=2   y(0T) = 0,4 x(1T)   -  0,08 y(1T) = 0,368 и т.д. ...

Следовательно y(nT) = {0; 0,4; 0,368; ...}.

В данном случае за счет циркуляции сигнала по цепи ОС выходной сигнал состоит из бесконечного числа отсчетов.

Дискретная цепь, содержащая ОС, называется рекурсивной. Дискретная цепь без ОС называется нерекурсивной.

Передаточная функция дискретной цепи

Замена сигналов в разностном уравнении (2.1) на Z - изображения этих сигналов

приводит к алгебраизации разностного уравнения

.

Алгебраизация осуществляется применением теорем линейности и запаздывания.

Переход в область Z - изображений позволяет ввести понятие передаточной функции дискретной цепи H(Z), которая определяется как отношение Z - изображения сигнала на выходе цепи к Z - изображению сигнала на входе цепи. Поэтому, учитывая алгебраическую форму разностного уравнения общего вида, можно записать общий вид передаточной функции дискретной цепи

.    (2.3)   

Отсюда, в частности, для нерекурсивной цепи

. (2.4)

Если нерекурсивная цепь состоит всего из одного элемента запаздывания, то ,

что находит своё отражение в обозначении элементов памяти на схемах дискретных цепей.

Передаточная функция конкретной цепи формируется по передаточным функциям её элементов согласно общих правил линейных цепей. В частности, для цепи содержащей ОС применяется известная формула

,  (2.5)

где  - передаточная функция цепи

прямого прохождения сигнала,

     - предаточная функция цепи ОС.

Пример. Оперделить передаточную функцию цепи на рис. (2.4,а).

Решение.

, где , .

Пример. Определить передаточную функцию на рис.(2.4,б).

Решение.

,

 - передаточная функция нерекурсивной части цепи.

По известной передаточной функции можно легко определить разностное уравнение цепи.

Пример. Составить разностное уравнение цепи на рис.(2.2,в).

Решение.

Здесь .

Поэтому .

Отсюда  .

Следовательно переходя к оригиналам: y(nT)= 0,4 x(nT-T) - 0,08 y(nT-T).

Общие свойства передаточной функции.

Критерий устойчивости дискретной цепи совпадает с критерием устойчивости аналоговой цепи: полюсы передаточной функции должны располагаться в левой полуплоскости комплексного переменного , что оответствует положению полюсов в пределах единичного круга плоскости 

z = x + jy.

Передаточная функция цепи общего вида записывается, согласно (2.3), следующим образом:

,    (2.6)

где знаки слагаемых учитываются в коэффицентах ai , bj , при этом  b0=1.

Свойства передаточной функции цепи общего вида удобно сформулировать в виде требований физической реализуемости рациональной функции от Z: любая рациональная функция от Z может быть реализована в виде передаточной функции устойчивой дискретной цепи с точностью до множителя H0ЧHQ, если эта функция удовлетворяет требованиям:

коэффициенты ai, bj - вещественные числа,

корни уравнения V(Z)=0, т.е. полюсы H(Z), расположены в пределах единичного круга плоскости Z.

Множитель H0ЧZQ учитывает постоянное усиление сигнала H0 и постоянный сдвиг сигнала по оси времени на величину QT.

Частотные характеристики.

Комплекс передаточной функции дискретной цепи

определяет частотные характиристики цепи

- АЧХ,  - ФЧХ.

На основании (2.6) комплекс передаточной функции общего вида запишется так

.

Отсюда формулы АЧХ и ФЧХ

,  (2.7)

, (2.8)

Частотные характеристики дискретной цепи являются периодическими функциями. Период повторения равен частоте дискретезации wд.

Частотные характеристики принято нормировать по оси частот к частоте дискретезации

 , (2.9)

где W - нормированная частота.

В расчетах с приенением ЭВМ нормирование по частоте становится необходимостью.

Пример. Определить частотные характеристики цепи, передаточная функция которой

H(Z) = a0 + a1ЧZ-1.

Решение.

Комплекс передаточной функции: H(jw) = a0 + a1e-jwT.

с учетом нормирования по частоте: wT = 2p Ч W.

Поэтому

H(jw) = a0 + a1e-j2pW = a0 + a1 cos 2pW - ja1 sin 2pW .

Формулы АЧХ и ФЧХ

H(W) =, j(W) = - arctg.

графики АЧХ и ФЧХ для положительных значений a0 и a1 при условии a0 > a1 приведены на рис.(2.5,а,б.)

Логарифмический масштаб АЧХ - ослабление А:

; . (2.10)

Нули передаточной функции могут распологаться в любой точке плоскости Z. Если нули расположены в пределах единичного круга, то характеристики АЧХ и ФЧХ такой цепи связаны преобразованием Гильберта и однозначно могут быть определены одна через другую. Такая цепь называется цепью минимально-фазового типа. Если хотябы один нуль появляется за пределами единичного круга, то цепь относится к цепи нелинейно-фазового типа, для которого преобразование Гильберта неприменимо.

Импульсная характеристика. Свертка.

Передаточная функция характеризует цепь в частотной области. Во временной области цепь характеризуется импульсной характеристикой h(nT). Импульсная характеристика дискретной цепи представляет собой реакцию цепи на дискретную d - функцию. Импульсная харакетеристика и передаточная функция являются системными характеристиками и связаны между собой формулами Z - преобразования. Поэтому импульсную реакцию можно рассматривать как некоторый сигнал, а передаточную функцию H(Z) - Z - изображение этого сигнала.

Передаточная функция является основной характеристикой при проектировании, если нормы заданы относитеольно частотных характеритик системы. Соответственно, основной характеристикой является импульсная характеристика, если нормы заданы во временной обрасти.

Импульсную характеристику можно определить непосредственно по схеме как реакцию цепи на d - функцию, или решением разностного уравнения цепи, полагая, x(nT) = d (t).

Пример. Определить импульсную реакцию цепи, схема которой приведена на рис.2.6,б.

Решение.

Разностное уравнение цепи y(nT)=0,4 x(nT-T) - 0,08 y(nT-T).

Решение разностного уравнения в численном виде при условии, что x(nT)=d(t)

n=0; y(0T) = 0,4 x(-T) - 0,08 y(-T) = 0;

n=1; y(1T) = 0,4 x(0T) - 0,08 y(0T) = 0,4;

n=2; y(2T) = 0,4 x(1T) - 0,08 y(1T) = -0,032;

n=3; y(3T) = 0,4 x(2T) - 0,08 y(2T) = 0,00256; и т.д. ...

Отсюда h(nT) = {0 ; 0,4 ; -0,032 ; 0.00256 ; ...}

Для устойчивой цепи отсчеты импульсной реакции с течением времени стремятся к нулю.

Импульсную характеристику можно определить по известной передаточной функции, применяя

а. обратное Z-преобразование,

б. теорему разложения,

в. теорему запаздывания к результатам деления полинома числителя на полином знаменателя.

Последний из перечисленных способов относится к численным методам решения поставленной задачи.

Пример. Определить импульсную характеристику цепи на рис.(2.6,б) по передаточной функции.

Решение.

Здесь H(Z) =.

Разделим числитель на знаменатель

Применяя к результату деления теорему запаздывания, получаем

h(nT) = {0 ; 0,4 ; -0,032 ; 0.00256 ; ...}

Сравнивая результат с расчетами по разностному уравнению в предидущем примере, можно убедиться в достоверности расчетных процедур.

Предлагается определить самостоятельно импульсную реакцию цепи на рис.(2.6,а), применяя последовательно оба рассмотренных метода.

В соответствии с определением передаточной функции, Z - изображение сигнала на выходе цепи можно определите как произведение Z - изображения сигнала на входе цепи и передаточной функции цепи:

Y(Z) = X(Z)ЧH(Z).      (2.11)

Отсюда, по теореме о свертке, свертка входного сигнала с импульсной характеристикой дает сигнал на выходе цепи

y(nT) =x(kT)Чh(nT - kT) =h(kT)Чx(nT - kT).  (2.12)

Определение выходного сигнала по формуле свертки находит применение не только в расчетных процедурах, но и в качестве алгоритма функционирования технических систем.

Пример.

Определить сигнал на выходе цепи, схема которой приведена на рис.(2.6,б), если x(nT) = {1,0; 0,5}.

Решение.

Здесь h(nT) = {0 ; 0,4 ; -0,032 ; 0,00256 ; ...}

Расчёт по (2.12)

n=0 : y(0T) = h(0T)x(0T) = 0;

n=1 : y(1T) = h(0T)x(1T) + h(1T) x(0T) = 0,4;

n=2 : y(2T)= h(0T)x(2T) + h(1T) x(1T) + h(2T) x(0T) = 0,168;

Таким образом  y(nT) = { 0; 0,4; 0,168; ... }.

В технических системах вместо линейной свертки (2.12) чаще применяется круговая или циклическая свертка .

Круговая свёртка

Реальным сигналам соответствуют числовые последовательности конечной длины. Конечную числовую последовательность можно продолжить по оси времени путём периодического повторения и получить периодическую числовую последовательность. Периодической числовой последовательности соответствует спектр в виде периодической числовой последовательности. Обе последовательности имеют одинаковый период N и связаны формулами ДПФ.

Замена реальных последовательностей периодическими позволяет повысить эффективность использования вычислительной техники применительно к дискретным сигналам (скоростная свёртка, БПФ и др. )

Свёртка периодических последовательностей называется круговой и определяется на интервале равном одному периоду.

y(nT) =x(kT)Чh(nT - kT),  (2.13)

Линейная и круговая свёртки дают одинаковый результат, если соответствующим образом выбрать в круговой свёртке размер исходных последовательностей. Дело в том, что свёртка конечных последовательностей приводит к последовательности, размер которой N превышает длину каждой из исходных последовательностей и, по определению, равен

N = N1 + N2 - 1,   (2.14)

где N1 - длина последовательности x(nT),

N2 - длина последовательности h(nT).

Поэтому замена исходной последовательности на периодическую выполняется с таким расчётом, чтобы длина периода получилась равной N, добавляя с этой целью нули в качестве недостающих элементов.

Пример.

Вычислить круговую свёртку по данным примера в параграфе 2.4.

Решение.

Здесь, пренебрегая малыми значениями отсчётов представим импульсную реакцию в виде конечной числовой последовательности h(nT) ={0; 0,4 ; -0,032}.

Отсюда, поскольку x(nT) = {1,0; 0,5}, с учётом (2.14)

N1 = 2,N2 = 3,N = 4.

Следовательно исходные числовые последовательности запишутся так

x(nT) = {1,0; 0,5; 0; 0}, h(nT) ={0; 0,4; -0,032; 0}.

Отсюда, применяя (2.13), получаем

n=0:  y(0T) = x(0T)h(0T) + x(1T)h(-1T) + x(2T)h(-2T) + x(3T)h(-3T) = 0;

n=1:  y(1T) = x(0T)h(1T) + x(1T)h(0T) + x(2T)h(-1T) + x(3T)h(-2T) = 0,4;

n=2:  y(0T) = x(0T)h(2T) + x(1T)h(1T) + x(2T)h(0T) + x(3T)h(-1T) = 0,168;

n=3:  y(0T) = x(0T)h(3T) + x(1T)h(2T) + x(2T)h(1T) + x(3T)h(0T) = -0,016;

Следовательно y(nT)= {0; 0,4; 0,168; -0,016}, что совпадает с расчётами по линейной свёртке в примере параграфа 2.4.

Графики периодических числовых последовательностей x(nT), h(nT), y(nT) приведены на рис.(2.7).

К периодическим числовым последовательностям, полученным изложенным выше способом, можно применить ДПФ, перемножить результаты и после выполнения обратного ДПФ получить последовательность y(nT), совпадающую с результатами расчётов по круговой свёртке.

Энергия дискретного сигнала

Корреляция и энергетический спектр.

В качестве энергии дискретного сигнала принята мера

Wx =x2(nT), (2.15)

соответственно в частотной области, согласно равенству Парсеваля,

Wx =X2(w)dw =X(jw)X*(jw)d(jw), (2.16)

где X(jw) = X(w)ejj(w) - спектр сигнала x(nT),

X*(jw) = X(w)e-jj(w) - спектр x(-nT) в соответствии с теоремой о спектре инверсного сигнала,

X2(w) = X(jw)ЧX*(jw) = Sx(jw) - энергетический спектр сигнала x(nT).

На рис.(2.8) показан в качестве примера сигнал x(nT) и его инверсная копия x(-nT) для некоторого частного случая

Энергетический спектр выражает среднюю мощность сигнала x(nT), приходящуюся на узкую полосу частот в окрестности переменной w.

Во временной области энергетическому спектру соответствует свертка инверных сигналов, что определяет корреляционную функцию Sx(nT) сигнала x(nT).

.  (2.17)

Согласно (2.17) и (2.15) корреляционная функция в точке n = 0 равна энергии сигнала, т. е.

 (2.18)

Для периодических дискретных сигналов корреляционная функция и энергетический спектр связаны формулами ДПФ

. (2.19)

Отсюда получаются расчётные формулы энергии периодических дискретных последовательностей

, (2.20)

что соответствует равенству Парсеваля для дискретных периодических сигналов. Корреляционная функция таких сигналов определяется по формуле круговой свёртки

.

Расчет энергии дискретного сигнала можно выполнить при необходимости, применяя равенство Парсеваля относительно Z - изображений сигнала и его инверсной копии (теорема энергий)

где  - Z - изображение корреляционной функции.

Уместно заметить, что применительно к случайным сигналам корреляционная функция чаще определяется формулой с весовым множителем , т.е.

,

соответственно для энергетического спектра

,

что приводит к результату, при котором среднее значение случайной величины с ростом N сходится к постоянной величине.

Свертка сигнала с инверсной копией другого сигнала называется взаимной корреляцией этих сигналов.

Расчёт энергии сигнала в дискретной цепи.

В любой точке дискретной цепи энергию сигнала можно вычислить по известному сигналу или по корреляционной функции сигнала в этой точке. Корреляционную функцию сигнала в некоторой точке цепи можно определить не только по известному сигналу, но и по известной корреляционной функции входного сигнала и импульсной реакции

, (2.22)

где  - корреляционная функция сигнала на входе цепи,

 - корреляционная функция импулсного отклика в данной точке,

 - условный знак свёртки.

Докажем равенство (2.22).

.

В этом выражении в силу линейности цепи сигналы можно сочетать различными способами. Поэтому

,

что доказывает справедливость (2.22). Следовательно

. (2.23)

Автокорреляционная функция является чётной функцией, поэтому применяя круговую свёртку (2.22), периоды  и  необходимо выровнять с таким расчетом, чтобы сохранить чётный характер этих функций.

Пример. Определить энергию сигнала на выходе цепи, если

x(nT) = {0,5; 0,5}, h(nT) = {1,0; 0,5}.

Решение.

1. Расчет во временной области.

Определяем сигнал на выходе цепи по формуле круговой свёртки

Отсюда .

2. Расчёт в частотной области.

Вначале необходимо определить отсчёты спектра сигнала по формуле прямого ДПФ

.

Отсюда, согласно равенству Парсеваля,

.

3. Расчёт по формуле (2.23).

Определяем корреляционные функции  и .

Следовательно, .

увеличивая период  и  до N=5, получаем

, .

На рис.(2.9,а) показана периодическая последовательность  до увеличения периода, на рис. (2.9,б) - после увеличения периода .

Согласно (2.22)

.

Отсюда .

В заключении рассмотрим важный часный случай применения формулы (2.23).

Для случайных сигналов с нулевым средним

, (2.24)

где  - дисперсия случайного сигнала x(nT).

Отсюда, учитывая (2.23),

.

Следовательно

, (2.25)

Формула (2.25) применяется, в частности, для расчёта шумов квантования в цифровых цепях .

Секционирование.

Реальные сигналы могут иметь значительную протяжённость во времени, поэтому обработка таких сигналов на ЭВМ осуществляется посекционно. Расчёты по каждой секции  выполняются по формуле круговой свёртки

,

где h(nT) - импульсная характеристика, определяющая способ обработки сигнала .

Каждая секция  совмещается с предидущей секцией с учётом сдвига между секциями входного сигнала .

Применяются два основных метода секционирования: метод перекрытия с суммированием и метод перекрытия с накоплением.

1. Метод перекрытия с суммированием.

Сигнал x(nT) разбивается на секции длиной L. Отсюда- длина секции ,  - длина секции ,  - длина  .

Длина секции  больше длины секции  на . Поэтому смежные секции выходного сигнала  перекрываются на интервале длиной . На интервале перекрытия необходимо выполнить арифметические операции по суммированию отсчётов.

2. Метод перекрытия с накоплением.

Сигнал x(nT) разбивается на секции длиной L. Затем каждая секция наращивается слева участком предидущей секции длиной  . Поэтому

 - длина ,  - длина ,  - длина .

Искусственное удлинение каждой секции приводит к тому, что первые и последние  отсчётов секции  являются ложными и поэтому отбрасываются. Оставшиеся L отсчётов каждой секции, являются истинными, поэтому смежные секции  совмещаются без перекрытия и без зазора.

Пример. Осуществить посекционную обработку сигнала

x(nT) = { 1,0; 0,5 }, если h(nT)= { 1,0; 0,5 }.

Решение.

Применим метод перекрытия с накоплением.

, поэтому после искусственного удлинения секций:

.

Выравниваем периоды сигналов для применения круговой свёртки:

N = N1 + N2- 1 = 3. Следовательно x0(nT)= {0; 0,4; 0}, x1(nT)= {0,4; 0,8; 0}, x2(nT)= {0,8; 0; 0} После свёртки по каждой секции и отбрасывания  отсчётов получаем:  отсюда

y(nT)= {0,4; 1,0; 0,4}.

Метод перекрытия с накоплением получил преимущественное распространение, поскольку здесь не требуется проведения дополнительных арифметичкских операций после обработки каждой секции.

Похожие работы на - Дискретные цепи

 

Не нашли материал для своей работы?
Поможем написать уникальную работу
Без плагиата!
Без нейросетей!