Система управления жилищно-коммунальным хозяйством субъекта Российской Федерации
Введение
Актуальность и практическая значимость темы
исследования. Взятый в начале 1990-х гг. курс на развитие рыночных отношений в
экономике страны не обошел вниманием и такую отрасль, как жилищно-коммунальное
хозяйство страны (ЖКХ). Отрасль ЖКХ в дореформенный период составляла, по
оценкам специалистов, треть основных фондов страны. Охватывая единое
экономическое и географическое пространство, отрасль функционировала под
жестким государственным регулированием всех жилищно-коммунальных отношений с
доминирующей государственной формой собственности на все основные фонды ЖКХ.
Переживающая сегодня процесс реформирования, система ЖКХ привлекает к себе
всеобщее внимание, потому что затрагивает интересы каждого из россиян. Таким
образом, выбранная мною тема дипломной работы, связанная с исследованием
экономического и правового механизмов реализации жилищной реформы в Российской
Федерации, представляется актуальной и практически значимой.
Государственная политика в жилищно-коммунальной
отрасли представляет собой сложную совокупность различных видов
социально-экономических и политических факторов и видов воздействия на
возможности удовлетворения граждан жилищно-коммунальными услугами. Особенно
острой остается проблема аккумуляции необходимых финансовых средств для содержания
жилья и обеспечения услугами ЖКХ. Концепция соотношения государства и рынка
очень актуальна для условий России, в частности, для сферы
жилищно-коммунального хозяйства. В настоящее время рождается концепция, в
которой должны сообразоваться рыночные механизмы и государственное
регулирование данной сферы. Политика в отрасли жилищно-коммунального хозяйства
в большинстве случаев трактуется не как чисто экономическое, а большей частью
социально-экономическое направление развития и воздействия.
Многолетний опыт организации
жилищно-коммунального обслуживания потребителей показывает, что осуществление
любой программы реформирования и модернизации ЖКХ может быть успешным только
при условии, что этому процессу будет предшествовать введение в практику новых
и эффективных институциональных и организационных структур. В работе нами
кратко рассмотрены основные недостатки сформированной в настоящее время в
рамках большинства территорий организационной структуры функционирования
отрасли и предложены конкретные меры по построению полноценной и эффективной
структуры управления в ЖКХ на основе анализа и перспектив функционирования
отрасли в свете реализуемой реформы местного самоуправления в Российской
Федерации.
Предмет исследования - процесс и итоги
реализации жилищной реформы в Российской Федерации.
Объектом исследования является экономический и
правовой механизмы реализации жилищной реформы в Российской Федерации.
Степень разработанности темы. По теме данной
дипломной работы в отечественной юридической и экономической научной и учебной
литературе имеются работы таких авторов как Т.Д. Белкина, Б.М. Бирюков,
В.Витрянский, А.Г. Воронин, В.А. Горемыкин, С. Гришаев, Л.Ю. Грудницына, А.А.
Дронов, Е.В. Егоров, Д.М. Жуков, И.В. Игнатова, А.Р. Кирсанов, П.В.
Крашенинников, А.А. Кругликов, Ю. Лукманов, Н.С. Максимова, А.Т. Ошурков, А.
Эрделевский, Л.И. Якобсон и др. В тоже время отдельное самостоятельное
исследование, посвященное экономико-организационным и правовым механизмам
реализации жилищной реформы в Российской Федерации на современном этапе,
отсутствует.
Целью исследования выступают
экономико-организационные и методологические основы жилищной реформы в
Российской Федерации.
Достижение указанной цели предполагает решение
следующих промежуточных задач исследования:
анализ существовавшей в дореформенный период
системы организации обслуживания жилищного фонда в России;
обоснования необходимости реформирования
жилищно-коммунального хозяйства Российской Федерации;
исследование роли органов государственной власти
и местного самоуправления в обеспечении бесперебойного функционирования
жилищно-коммунального хозяйства России;
обзор основных положений и этапов реализации
жилищной реформы в Российской Федерации;
анализ изменения механизма финансирования
жилищно-коммунальной сферы в нашей стране в пореформенный период;
исследование новых подходов к ценообразованию в
сфере жилищно-коммунальных услуг в рамках жилищной реформы;
анализ развития системы жилищного самоуправления
в ходе реализации жилищной реформы в Санкт-Петербурга;
исследование проблемы капитального ремонта
многоквартирных домов.
Структура работы включает в себя введение, три
главы и девять разделов основной части, заключение и список литературы.
Настоящая дипломная работа состоит более чем из
60 страниц. Список литературы насчитывает более 40 литературных источников,
нормативных актов и ссылок на официальные сайты государственных органов,
ответственных за проведение жилищной реформы в нашей стране.
Методологической основой настоящей работы
являлся анализ гражданского и жилищного законодательства, материалов
правоприменительной практики федеральных органов государственной власти и
органов государственной власти Санкт-Петербурга, а также труды российских
ученых-юристов и экономистов в области жилищного права и экономики жилищно-коммунальной
системы.
Глава 1. Экономико-организационные
основы реформирования жилищно-коммунального хозяйства Российской Федерации
.1 Организация обслуживания
жилищного фонда в России
Жилищный фонд является важнейшей составляющей
основных фондов жилищно-коммунального хозяйства (ЖКХ) страны. Профессора В.А.
Горемыкин и Э.Р. Бугулов, включают в его состав недвижимое имущество с
установленными правами владения, пользования и распоряжения, а именно:
земельные участки и прочно связанные с ними жилые дома с жилыми и нежилыми
помещениями, хозяйственные приусадебные постройки, зеленые насаждения с
многолетним циклом развития; жилые дома, квартиры, иные жилые помещения в жилых
домах и других строениях, пригодные для постоянного и временного проживания;
сооружения и элементы инженерной инфраструктуры жилищной сферы.
Помимо жилищного фонда основные фонды
национального ЖКХ образуют также технологические фонды и производственные
фонды.
Технологические фонды включают в себя инженерную
инфраструктуру (сети, котельные, насосные станции, очистные сооружения,
водозаборы и тому подобное).
Производственные фонды состоят из объектов,
обеспечивающих обслуживание жилищного и технологического фондов. Сюда входят
гаражи, мастерские, административные и производственные здания и т. п.
Собственник объектов жилищно-коммунального
назначения, как правило, передает эти фонды в хозяйственное ведение или
оперативное управление жилищно-коммунальным организациям. Сферы
жилищно-коммунального комплекса существенно различаются по подходам к формированию
эффективных экономических методов хозяйствования и механизмам снижения
издержек. В связи с чем, И.В. Игнатов, предлагает их условное разделение по
признаку возможности создания конкурентной среды на две группы: жилищное
хозяйство и коммунальное хозяйство.
Для определения экономико-организационных основ
реформирования национального ЖКХ, проведем ретроспективный анализ системы
организации обслуживания жилищного фонда в нашей стране за последние сто лет.
Накануне Первой мировой войны жилищный фонд
городов России почти на 80% состоял из одноэтажных деревянных и малоразмерных
домов, находившихся в собственности граждан. После окончания Гражданской войны
в стране были осуществлены крупные мероприятия, позволившие сосредоточить в
руках местных органов исполнительной власти (губернских и городских Советов) до
18% жилых помещений. Кроме того, декретом Советского правительства (Совнаркома)
от 25 мая 1920 г. «О мерах правильного распределения жилищ среди трудящегося
населения» на граждан возлагалась обязанность содержать жилые помещения в
надлежащем санитарном состоянии. Контроль за исполнением данного декрета
возлагался на особые отряды при местных Советах.
Однако камнем преткновения стал вопрос, как
организовать эффективное управление в сфере жилищно-коммунального хозяйства. На
практике испытывались разные механизмы. Так, управление жилыми домами,
принадлежавшими местным Советам, вменялось в обязанность домовым комитетам,
которые избирались на общих собраниях жильцов. Постановлением Совнаркома РСФСР
от 23 мая 1921 г. «О мерах улучшения жилищных условий трудящегося населения и о
мерах борьбы с разрушением жилищ» предусматривалось привлечение проживавших в
домах граждан как к контролю за работой по управлению домовых комитетов, так и
к повышению ответственности жителей за сохранность домов. 18 июля 1921 г. был
подписан декрет об обязательном привлечении средств жильцов для ремонта домов
путем внесения денежных средств, личного труда или материалов в размерах,
пропорциональных занимаемой площади.
На основании постановления Совнаркома РСФСР от 8
августа 1921 г. «Об управлении домами» к управлению муниципализированными
домами привлекались сами трудящиеся, проживавшие в этих домах. Им
предоставлялось право избирать на один год заведующих домами.
С 1921 года в городах создаются жилищные
товарищества, которым передаются муниципализированные строения. Они стали
наиболее устойчивой формой управления жилищным хозяйством. В эти годы стала
создаваться с помощью государства и жилищная кооперация. С 1924 года основной
формой управления жилищным хозяйством были жилищно-арендные кооперативные
товарищества - ЖАКТы. На них возлагалась обязанность восстанавливать хозяйство
арендуемых у государства домов, содержать их в надлежащем состоянии и
удовлетворять потребности членов товарищества в жилой площади.
Постановлением ЦИК и Совнаркома СССР от 17
октября 1937 г. «О сохранении жилищного фонда и улучшении жилищного хозяйства в
городах» управление всем государственным жилищным фондом было возложено
непосредственно на местные Советы и на государственные предприятия и
учреждения, которые имели в своем ведении жилые дома.
Таким образом, как отмечает Г. Поляковский,
существовавшие в России в первые послереволюционные годы различные формы
коллективного управления жилищным фондом, с 1937 г. фактически были заменены
одной - государственной. Данный процесс сопровождался также переходом от
частной собственности на жилье к государственной собственности.
В начала 1990-х гг. в России началось
восстановление рыночных отношений в сфере жилищно-коммунального хозяйства и
приватизация государственного жилищного фонда. Соответственно, возникла
необходимость разгосударствления системы его обслуживания.
Закон РФ от 04.07.1991 № 1541-1 «О приватизации
жилищного фонда в Российской Федерации» установил основные принципы
осуществления приватизации государственного и муниципального жилищного фонда
социального использования на территории Российской Федерации, определил
правовые, социальные и экономические основы преобразования отношений
собственности на жилище в нашей стране. Целью данного закона было названо не
только создание условий для осуществления права граждан на свободный выбор
способа удовлетворения потребностей в жилище, но и улучшение использования и
сохранности жилищного фонда.
Приватизация муниципального и государственного
жилья значительно увеличила долю частного жилья, и к 2000 г. она составила
более 63 % по сравнению с 33 % в 1996 г. (включая ЖСК и ЖК).
При этом по мере роста доли жилых помещений,
находящихся в частной собственности, реформирование экономико-организационных
механизмов жилищно-коммунальной системы становилась все более необходимой.
Закон РФ «Об основах федеральной жилищной
политики» от 24.12.1992 г. № 4218-1 целью федеральной жилищной политики
провозгласил: «… обеспечение социальных гарантий в области жилищных прав
граждан; осуществление строительства и реконструкции государственного,
муниципального и частного жилищных фондов; создание условий для привлечения
внебюджетных источников финансирования (средств населения, предприятий,
учреждений, организаций, общественных объединений, отечественных и иностранных
предпринимателей, кредитов банков и других источников); развитие частной
собственности, обеспечение защиты прав предпринимателей и собственников в
жилищной сфере; развитие конкуренции в строительстве, содержании и ремонте
жилищного фонда, производстве строительных материалов, изделий и предметов
домоустройства».
Данным нормативным актом впервые в постсоветское
время предусматривалось участие населения в управлении жилищным фондом по месту
жительства с целью защиты своих экономических и социальных прав и интересов, а
также участие в выборе эксплуатационных и ремонтных организаций. В указанном
законе было определено понятие общего имущества кондоминиума, в формулировке,
которая в своей существенной части позднее перешла в Жилищный кодекс РФ (ст.
36): «Общим имуществом кондоминиума являются предназначенные для обслуживания
более одного домовладельца межквартирные лестничные клетки, лестницы; лифты,
лифтовые и иные шахты; коридоры, крыши, технические этажи и подвалы;
ограждающие несущие и ненесущие конструкции; механическое, электрическое,
сантехническое и иное оборудование, находящееся за пределами или внутри
помещений и предназначенное для обслуживания более одного помещения;
прилегающие земельные участки в установленных границах с элементами озеленения
и благоустройства, а также иные объекты, предназначенные для обслуживания
единого комплекса недвижимого имущества кондоминиума и для его использования.
Общее имущество кондоминиума находится в общей долевой собственности
домовладельцев и не подлежит отчуждению отдельно от права собственности
домовладельцев на помещения кондоминиума».
Таким образом, анализ жилищно-коммунальной
системы России позволяет отметить историческую эволюцию применяемых в ней механизмов:
Дореволюционный период, характеризовавшийся
господством рыночных услуг в данной сфере и самообслуживанием со стороны
жильцов.
- 1937 гг. - появление и рост доли
государственных услуг в системе ЖКХ страны.
- 1990-е гг. - только государственные услуги в
системе ЖКХ; основное финансирование поставщиков услуг производится из бюджета;
потребительская плата практически не связана с количеством и качеством
потребляемых услуг.
-е годы - 01.03.2005 г. - подготовка к
разгосударствлению; постепенный переход от бюджетного дотирования поставщиков
услуг к гарантиям, предоставляемым потребителям; попытки введения рыночных
отношений.
С 01.03.2005 г. - вступление в силу Жилищного
кодекса РФ; появление правовой базы, позволяющей гражданам при наличии желания
полностью перейти к рыночным отношениям в сфере ЖКХ.
Попробуем теперь на основе анализа нормативной
базы дать определение одному из ключевых понятий рассматриваемой в моей
курсовой работе теме - жилищно-коммунальным услугам. В первую очередь, следует
отметить, что общепринятое выражение «жилищно-коммунальные услуги» является не
вполне корректным. Гражданский кодекс РФ определяет «работы» или «услуги» как
определенную деятельность по заданию заказчика, результат которой либо может
быть четко выделен и сдан заказчику (для работ), либо не может (для услуг).
Легко убедиться, что значительное количество жилищных услуг должно быть
отнесено к «работам», а в коммунальных услугах существенную роль играют товары,
то есть поставляемые ресурсы. Тем не менее в данной работе для краткости будет
употребляться обобщающий термин «жилищно-коммунальные услуги» (ЖКУ).
С точки зрения приведенных выше экономических
критериев жилищно-коммунальные услуги можно классифицировать следующим образом:
Коммунальные услуги, которые представляют собой
комплекс частного товара (электроэнергии, воды, тепла и т.д.) и совместной
услуги по его доставке от точки закупки у производителя ресурса (домовой
водомер, электросчетчик, задвижка) до точки потребления ресурса потребителем
(кран, радиатор, квартирный электросчетчик). Действительно, каждый поставляемый
ресурс используется в конкретной квартире, легко может быть учтен и измерен, и
так же легко может быть прекращена его поставка отдельному потребителю в случае
неоплаты. Но инженерными сетями дома пользуются все его жители, что требует
коллективной деятельности.
Жилищные услуги, являющиеся коллективными,
отстранение для них не реализуется.
В то же время, следует отметить, что в
общественном сознании право на жилище и, соответственно, на его содержание и обслуживание
прочно ассоциируется с «ценными» услугами. Что касается круга пользователей
жилищно-коммунальных услуг, то выделить его можно достаточно точно: это
проживающие в доме граждане. Соответственно и коллективные решения о порядке
предоставления и оплаты таких услуг должны принимать жители дома, а не органы
власти любого уровня.
В то же время определить категорию «проживающих»
и учитывать их достаточно сложно. В данной ситуации законодатель вполне
правомерно опирался на положения ст. 210 Гражданского кодекса РФ (ГК РФ),
согласно которой собственник несет бремя содержания принадлежащего ему
имущества, если иное не предусмотрено законом или договором. В Жилищном кодексе
РФ носителями прав и обязанностей по содержанию здания, оплате
жилищно-коммунальных услуг также являются собственники помещений. Принцип
возложения на собственников бремени содержания собственности, пусть даже в
неявном виде, всегда служил основной организационно-экономических механизмов
содержания и обслуживания жилищного фонда: изменения этого механизма следовали
за изменениями формы собственности на жилье.
Таким образом, изменения в нормативно-правовом
регулировании отношений в сфере ЖКХ страны привели к необходимости коренного
реформирования и организационно-экономических механизмов в данной сфере.
1.2 Объективные факторы
реформирования жилищно-коммунального хозяйства Российской Федерации
Система жилищно-коммунального хозяйства,
доставшаяся в наследство от периода плановой экономики, являлась крайне
неэффективной и затратной. Содержание той системы в ее неизменном непосильно
было ни для потребителей жилищно-коммунальных услуг, ни для бюджетной системы.
Дореформенное состояние отечественного
жилищно-коммунального хозяйства, по мнению А.А. Кругликова, характеризовалось
следующими чертами:
дотационостью отрасли;
неудовлетворительным финансовым положением
предприятий ЖКХ;
высокой затратностью, отсутствием экономических
стимулов снижения издержек на производство коммунальных услуг;
неразвитостью конкурентной среды в сфере ЖКХ;
высокой степенью износа основных фондов в
отрасли;
неэффективной работой предприятий ЖКХ,
выражающейся в первую очередь в больших потерях энергии, воды, других ресурсов.
Дореформенное ЖКХ испытывало большие трудности и
сильно отстало от современных требований. Одна из основных причин этого крылась
в нехватке средств, выделяемых из бюджетов всех уровней, а также повсеместных
неплатежах и несвоевременной оплате жилищно-коммунальных услуг населением. Но
все, же наиглавнейшая, «кризисообразующая», по выражению Н.С. Максимовой,
проблема - это существующая структура управления ЖКХ. Отсутствие специалистов
по менеджменту и маркетингу в отрасли тормозит развитие конкурентной среды в
ЖКХ. Совокупность двух основных факторов - нехватка средств и квалифицированных
управленцев - в сочетании с морально и физически устаревшей научно-технической
и производственной базой приводит к большим издержкам и, как следствие, высокой
стоимости услуг ЖКХ, что, в свою очередь, приводит к неплатежам.
Вопрос реформирования жилищно-коммунального
хозяйства является важнейшим вопросом социальной и экономической политики в
современной России. Предполагалось, что реформа улучшит состояние жилищного
фонда, качество обслуживания населения, защитит его законные права и интересы,
повысит эффективность отрасли в целом и обеспечит переход от бюджетного
дотирования к оплате в полном объеме услуг ЖКХ потребителями, в том числе и
населением.
В соответствии с Указом Президента Российской
Федерации от 28.04.97 г. № 425 «О реформе жилищно-коммунального хозяйства в
Российской Федерации» основными задачами реформирования ЖКХ были провозглашены:
совершенствование системы управления
жилищно-коммунальным хозяйством;
развитие конкурентной среды в сфере
предоставления коммунальных услуг, переход на систему договорных отношений;
совершенствование системы оплаты
жилищно-коммунальных услуг и социальной защиты, упорядочение системы льгот.
Главной целью остро назревшей реформы ЖКХ
являлся переход к строго адресному предоставлению субсидий на
жилищно-коммунальные услуги, за счет этого повышение реальной помощи
нуждающимся и одновременно существенное снижение нагрузки на бюджет, на
налогоплательщика. Как известно, в дореформенный период дотации получали
предприятия жилищно-коммунального хозяйства фактически для того, чтобы
предоставлять свои услуги по заниженным ценам всем без исключения потребителям.
Необходимость перехода к прямой помощи малообеспеченным семьям, позволяющей им
за счет субсидий оплачивать рыночную стоимость жилищно-коммунальных услуг, в
этих условиях была очевидной. При этом переход к полной оплате населением
расходов на содержание жилья и коммунальные услуги следовало осуществлять
одновременно с развитием системы адресных жилищных субсидий малообеспеченным
семьям.
В целях практической реализации данных целей и
задач реформирования системы ЖКХ страны и был издан Указ Президента Российской
Федерации «О реформе жилищно-коммунального хозяйства в Российской Федерации» от
28.04.1997 № 425, которым была одобрена концепция реформы жилищно-коммунального
хозяйства, представленная Правительством РФ.
Экономическая теория отмечает, что каждой
услуге, работе (и каждому товару) независимо от их потребительских или иных
качеств свойственны два объективных критерия: возможность отстранения и
возможность совместного потребления. Возможностью отстранения (или
неисключаемостью) называют наличие (или отсутствие) у поставщика возможности
отказать потребителю в услуге или товаре при невыполнении последним каких-либо
условий, например при их неоплате. Следует учитывать, что с точки зрения
технологии систему отстранения можно создать практически всегда, но во многих
случаях затраты на такую систему несоизмеримо превышают достигаемую при этом
прибыль.
Возможностью совместного потребления (или
несоперничеством) называют возможность потреблять данную услугу или товар
одновременно многими потребителями без утраты их качества для каждого из
потребителей. Потребление также не является абстрактной величиной: в каждом
конкретном случае имеется определенная «степень насыщения» пользователями,
после чего качество услуги для каждого пользователя начинает падать. Степень
«несоперничества» варьируется от полностью индивидуального потребления до
совместного. На практике большинство товаров и услуг занимают промежуточные
положения между этими крайностями. Тем не менее, на основании этих критериев
все товары и услуги в экономике принято разделять на четыре категории:
Частные услуги (товары) - услуги (товары)
индивидуального потребления, для которых отстранение полностью осуществимо.
Совместные услуги (товары) - услуги (товары)
совместного потребления, для которых отстранение полностью осуществимо.
Общедоступные услуги (товары) - услуги (товары)
индивидуального потребления, для которых отстранение не реализуется.
Коллективные услуги (товары) - услуги (товары)
совместного потребления, для которых отстранение не реализуется.
Данная классификация позволяет определить, будет
ли у потребителей желание платить за товар или услугу (в нашем случае - за жилищно-коммунальные
услуги) и, соответственно, требуется ли коллективное посредничество (в том
числе деятельность государственных органов) для их поставки. Действительно, за
отстраняемые услуги поставщик может самостоятельно получить плату
непосредственно от заинтересованных потребителей. За услуги, отстранение от
которых невозможно, потребители добровольно платить не будут, насколько бы
ценными они не были. Сбор средств на их осуществление должен производиться
особыми способами, в том числе - усилиями государственных органов в форме сбора
и распределения общественных ресурсов.
Понимание данных теоретических основ
жилищно-коммунальной экономики позволяет перейти к рассмотрению роли органов
государственной власти и местного самоуправления в системе обеспечения бесперебойного
функционирования системы ЖКХ.
1.3 Роль органов государственной
власти и местного самоуправления в обеспечении функционирования
жилищно-коммунального хозяйства
В процессе реформирования отношений
собственности в сфере жилищного фонда в нашей стране в 1990-е гг. была
проведена передача муниципалитетам государственного и ведомственного жилищного
фонда. При этом доля государственного и муниципального жилищного фонда
сократилась с 67 до 34% за счет передачи в частую собственность. Государственное
(ведомственное) жилье по состоянию на 1 декабря 2007 г. составляет 142,0 млн.
кв. м, или 5,1 % от всего жилищного фонда страны.
Сформированный таким образом рынок жилья и
созданная на федеральном уровне правовая база позволили внедрять на и местах
следующие механизмы улучшения жилищных условий граждан:
расселение коммунальных квартир;
ликвидацию общежитий;
выплату гражданам субсидии на приобретение и
строительство жилья;
предоставление определенным категориям граждан
государственных жилищных сертификатов;
предоставление жилищных кредитов (включая
ипотечные);
выпуск жилищных ценных бумаг (облигаций,
векселей, сертификатов, займов).
Передача жилищного фонда в муниципалитеты, с
одной стороны, позволила сделать предприятия, ранее отвечавшие за его
эксплуатацию, более конкурентоспособными, уменьшив затраты на его содержание, с
другой - потребовала увеличения затрат у муниципалитетов на его содержание.
Такие же проблемы возникли и в отношении других объектов недвижимости ЖКХ,
хозяйственное или оперативное управление по которым было закреплено за
предприятиями и учреждениями.
К моменту вступления в силу нового Жилищного
кодекса РФ в 2005 г. в муниципальной собственности находилось 30 % объектов
коммунального хозяйства (в том числе 20% предприятий, имеющих на своем балансе
водопроводы, 28,5 % - отопительные котельные, 41,4% - канализации).
Эффективное управление такой собственностью
являлось одним из главных условий проводимых преобразований, поэтому был взят
курс на организационное разделение функций управления и хозяйствования в сфере
ЖКХ, создание служб заказчика, управляющих компаний, введение и развитие
частного управления многоквартирными жилыми домами с целью постепенного
перевода на режим безубыточного функционирования отрасли (предприятий) путем
сокращения бюджетного дотирования и перекрестного субсидирования потребителей.
Решение этих задач обеспечивалось уже Указом
Президента Российской Федерации от 29.03.96 г. № 432 «О развитии конкуренции
при предоставлении услуг по эксплуатации и ремонту государственного и
муниципального жилищных фондов».
К настоящему времени удалось достигнуть
определенных положительных результатов. Так, если на 1 января 1997 г. в
субъектах Российской Федерации функционировало менее 1 тыс. служб заказчиков,
то к концу 2010 г. их создано около 4,5 тыс. Учитывая, что службы заказчика
целесообразно создавать в крупных городах и населенных пунктах с численностью
населения не менее 50 тыс. чел., можно считать, что деятельностью данных служб
охвачены практически все муниципальные образования. Как отмечалось, основой
деятельности служб заказчика является формирование договорных отношений с
поставщиками жилищных и коммунальных услуг. В целом по России на договорной
основе обслуживается около 50 % жилищного фонда. В Москве, Республике
Татарстан, Хабаровском крае, Ненецком и Чукотском АО, Волгоградской,
Вологодской, Новгородской и Мурманской областях этот показатель составляет 100
%, в ряде регионов - свыше 85 %.
В рамках реформы осуществляется процесс
формирования и развития договорных отношений между службами заказчика и
потребителя жилищно-коммунальных услуг. Охват договорами найма жилых помещений
в целом по России к настоящему времени составил 33 %, а на техническое
обслуживание жилищного фонда с собственниками квартир - 54 %. В Республике
Татарстан, Оренбургской, Брянской, Астраханской областях более половины
нанимателей и собственников охвачены договорными отношениями.
Одним из элементов рыночных отношений в ЖКХ
является привлечение на равноправной основе организаций различных форм
собственности для оказания жилищно-коммунальных услуг на конкурсной основе. За
период 1997-2003 гг. в России проведено более 3500 конкурсов. Практика
показывает, что проведение конкурсов не только ориентирует подрядчиков на
качественное выполнение жилищно-коммунальных услуг, но и дает положительные
практические результаты по снижению их стоимости. Активно проводится работа по
конкурсному отбору подрядных организаций в Нижегородской, Самарской, Тамбовской
областях, Республике Татарстан, Ханты- Мансийском АО и ряде других.
Во всех субъектах Российской Федерации в
структуре управления были созданы департаменты, комитеты или министерства
жилищно-коммунального хозяйства, формирующие собственную нормативную базу
проводимых преобразований на основе разработанных за этот период на федеральном
уровне более 130 законодательных и нормативных документов» макетов программ
реформирования ЖКХ.
В процессе проводимых рыночных преобразований
сложилась достаточно парадоксальная ситуация: 2,7 млрд кв. м жилья оценивается
в 4,1 трлн руб., в то время как при продажной среднерыночной цене жилья на
рынке недвижимости 600-900 долл. США за кв. м (а для жилья Москве и
Санкт-Петербурге в 3 и более раз выше) этот вид недвижимости оценивается в
сумму 151,2-297 трлн руб. Данный показатель в 35-50 раз превышает балансовую
статистическую оценку имеющейся недвижимости и позволяет более взвешенно
оценить масштабы и стоимость работ по сохранению, содержанию и ремонту
недвижимости в ЖКХ. В то же время объекты коммунального назначения, оцениваемые
по остаточной балансовой стоимости в сумме 649 млрд руб., с рыночных позиций
имеют значительно большую стоимость. Это подтверждается тем, что объем
оказываемых услуг постоянно растет, и их сумма оказывается практически равной
половине остаточной стоимости основных фондов. Износ основных технических
объектов оценивается в 50-60 %, преобладает износ инженерных сетей и
внутридворовых и домовых коммуникаций, износ же жилищного фонда, как менее
интенсивно используемой недвижимости, несколько ниже и в среднем составляет 41
-51,3%.
К началу 2005 г. степень износа основных фондов
коммунального хозяйства составила: по теплоснабжению - 56,7 %, водоснабжению -
54 %, электрических сетей - 68 %. Ежегодный объем инвестирования в развитие
коммунального хозяйства сокращается на 15-16 %.при росте инвестиций в экономику
в целом на 4,5 %. Строительство объектов коммунального хозяйства на территории
Российской Федерации ведется в незначительных объемах, в особенности сооружений
водопровода и канализации.
Глава 2. Методологические основы
жилищной реформы в Российской Федерации
.1 Основные положения и этапы
реализации жилищной реформы в Российской Федерации
Как уже упоминалось выше, основной целью реформы
ЖКХ в России является улучшение качества жилищно-коммунальных услуг при
одновременном снижении затрат на их предоставление.
К основным положениям жилищной реформы,
реализация которых позволила бы достичь поставленной цели, относилось:
совершенствование системы управления,
эксплуатации и контроля в жилищно-коммунальном хозяйстве;
переход на договорные отношения, развитие
конкурентной среды, предоставление потребителям возможности влиять на объем и
качество потребляемых услуг, преимущественно конкурсный отбор организаций,
осуществляющих управление жилищным фондом и его обслуживание, обеспечивающих
коммунальные предприятия материалами, оборудованием и выполняющих
проектно-строительные работы;
совершенствование системы оплаты жилья и
коммунальных услуг, в том числе установление повышенных тарифов на
сверхнормативную площадь жилья и сверхнормативное потребление коммунальных
услуг, а также дифференциация оплаты в зависимости от качества и местоположения
жилья;
совершенствование системы социальной защиты
населения: упорядочение существующей системы льгот, усиление адресной
направленности выделяемых на эти цели средств».
Особое внимание при этом отводилось процессу
демонополизации в сфере ЖКХ. Монополизм в этой сфере не дает потребителям и
первую очередь населению возможности выбирать на рынке необходимый набор
жилищных и коммунальных услуг. Поэтому для успешной реализации данной цели
необходимо выполнить следующие задачи:
завершение процесса разграничение функций
собственника, управления и обслуживания в сфере ЖКХ на муниципальном уровне;
повышения прозрачности всех процедур
формирования тарифной политики ЖКХ;
модернизация кадровой политики и подготовка
нового поколения менеджеров для ЖКХ;
реструктуризации и ликвидации задолженностей в
сфере ЖКХ;
планомерный, поэтапный переход к полной оплате
жилищно-коммунальных услуг при одновременном формировании эффективных,
действенных органов, призванных обеспечить меры адресной социальной защиты
малоимущих слоев населения;
обеспечения эффективного и целевого
использования бюджетных средств, выделяемых на модернизацию ЖКХ;
усиления контроля за соблюдением законодательства,
регулирующего отношения в сфере ЖКХ.
введение системы сбора и обработки информации об
основных изменениях в жилищной сфере России, приватизации жилья, данных о
затратах на жилье и коммунальные услуги, тарифах и субсидиях, платежах и
задолженности потребителей коммунальных услуг, а также об участии частного
сектора в обслуживании жилья.
создание системы ресурсосбережения (внедрение
передовых технологий, установка приборов учета энергоресурсов ( воды, газа и
тепла и т. п.).
Концепцией реформы жилищно-коммунального
хозяйства Российской Федерации были намечены к реализации три этапа:
Первый этап (1997 - 1998 гг.) предполагал
разработку нормативно-правовой базы и кредитно-финансовых механизмов реализации
Концепции. Введение методов антимонопольного регулирования при установлении
тарифов на услуги предприятий - естественных монополистов. Дифференциация
ставок оплаты жилья в зависимости от его качества и местоположения, а также
оплаты жилья, превышающего по площади социальную норму, и тарифов на
коммунальные услуги при сверхнормативном их потреблении. Демонополизация
деятельности организаций жилищно-коммунального хозяйства. Принятие федеральных
стандартов, необходимых для перехода на новую систему оплаты жилья и
коммунальных услуг. Завершение создания системы органов государственных
жилищных инспекций в субъектах Российской Федерации. Организационное и
методическое содействие массовому созданию товариществ собственников жилья,
включая помощь в обучении кадров. Переход к установке индивидуальных приборов
учета и регулирования потребления воды, газа и других энергоресурсов в жилых
домах-новостройках, реконструированном или капитально отремонтированном жилье.
Второй этап (1999 - 2000 гг.) - доведение доли
государственного и муниципального жилищных фондов, обслуживаемых на конкурсной
основе, до 100%. Широкое использование практики выбора на конкурсной основе
управляющей организации в государственном и муниципальном жилищных фондах.
Переход на полную оплату населением затрат на содержание жилья. Завершение в
основном перевода жилищно-коммунального хозяйства на работу в режиме
безубыточного функционирования. Поэтапное включение затрат по обязательному
страхованию жилья в себестоимость жилищных услуг. Разработка методологии
технико-экономических обоснований и инвестиционных проектов для привлечения
организациями коммунального хозяйства средне- и долгосрочных кредитных ресурсов
на развитие объектов инфраструктуры.
Третий этап (2001 - 2003 гг.) предполагал
завершение перехода на полную оплату населением затрат на обслуживание и ремонт
(включая капитальный) жилья и коммунальных услуг в части покрытия текущих
издержек. Завершение внедрения механизма обязательного страхования жилья.
Обязательная установка в жилых домах индивидуальных приборов учета и
регулирования потребления воды, газа и других энергоресурсов. Широкое внедрение
механизма привлечения кредитных средств для развития городской
жилищно-коммунальной инфраструктуры с использованием различных источников
инвестирования. Товарищества собственников жилья становятся преобладающей
формой управления многоквартирными жилыми домами.
В настоящее время уже можно сделать вывод о том,
что, хотя мероприятия, предусмотренные на каждом этапе реформы, постепенно
реализуются, но соблюсти сроки, предусмотренные Концепцией, на практике оказалось
невозможно.
Так, например, Государственная Дума своим
постановлением от 11.09.2002 № 2994-III ГД «Об обращении Государственной Думы
Федерального Собрания Российской Федерации к Президенту Российской Федерации В.
В.Путину о внесении изменений в концепцию реформы жилищно-коммунального
хозяйства в Российской Федерации, одобренную Указом Президента Российской
Федерации от 28 апреля 1997 года № 425, и о внесении изменения в постановление
Правительства Российской Федерации от 19 ноября 2001 года № 804 «О федеральных
стандартах перехода на новую систему оплаты жилья и коммунальных услуг на 2002
год» констатировала, что в ходе проведения реформы ЖКХ Правительство Российской
Федерации проявляет излишнюю поспешность.
Государственная Дума отмечала, что Концепция
предполагала завершение перехода на новую систему оплаты населением жилья и
коммунальных услуг в части, касающейся покрытия текущих издержек, в 2001-2003
годах. В то же время статьей 15 Закона Российской Федерации от 24.12.1992 №
4218-I «Об основах федеральной жилищной политики» предусматривалось, что
переход на новую систему оплаты жилья и коммунальных услуг должен
осуществляться поэтапно в течение 15 лет (то есть до 2008 года) с
использованием мер социальной защиты граждан.
Таким образом, по состоянию на сегодняшний
момент, жилищная реформа в России все еще не завершена.
2.2 Изменение механизма
финансирования жилищно-коммунальной сферы
Вступил в силу с 1 марта 2005 г. новый Жилищный
кодекс Российской Федерации (ЖК РФ), давший правовую базу для полного перехода
отношений в сфере ЖКХ на рыночную основу, изменил механизм финансирования
жилищно-коммунальной сферы.
Для граждан России теперь предусмотрена полная
добровольность выбора способа управления домом - или отказа от выбора, возлагая
в случае такого отказа обязанности по организации содержания и обслуживания
дома на органы местного самоуправления или органы государственной власти. Как
известно, начатая еще на заре 1990-х гг. жилищная реформа длительное время
пробуксовывала именно благодаря неизменному с советских времен механизму
финансирования отрасли, несмотря на перманентный рост квартплаты. Стало
очевидным, что очередное повышение цен и тарифов без структурных изменений
самой системы ЖКХ не может дать ни ощутимого повышения качества предоставляемых
услуг, ни экономии ресурсов, потребляемых в системе.
В связи с этим рассмотрим возможные варианты
организации взаимодействия в системе «потребитель - поставщик
жилищно-коммунальных услуг - бюджет» и определим рациональный вариант. Тем
более, что именно к такому подходу подталкивает прочтение нового Жилищного
кодекса, построенного на принципах рыночных отношений. Сразу оговоримся, что
представленные различные схемы (модели) финансирования ЖКХ, содержат упрощения,
хотя и отражают в известной мере реальную ситуацию.
Рис. 2.1 - Модель № 1 финансирования
жилищно-коммунальной сферы («Жилищный коммунизм»)
Условные обозначения здесь и далее на схемах:
Дж - договор на предоставление жилищных услуг;
Уж - поставка жилищных услуг;
Дк - договор на предоставление коммунальных
услуг;
Ук - поставка коммунальных услуг;
Пж - платеж за предоставление жилищных услуг;
Цж - фактическая цена жилищных услуг;
Пк - платеж за предоставление коммунальных
услуг;
Цк - фактическая цена коммунальных услуг.
В данной схеме участие бюджета здесь
максимально. Главным двигателем процесса предоставления услуг являются
государственные и партийные органы, директивы которых делают ненужными любые
договорные отношения. Бюджет оплачивает поставщикам практически весь объем
поставки услуг. Потребителю остается довольствоваться «назначенными» ему
услугами, своевременно внося символическую "квартплату".

На рис. 2.2 в отличие от модели № 1 участие
бюджета минимизировано. Потребители и поставщики, связанные между собой
договорными отношениями, выполняют перед государством (бюджетом) налоговые
обязательства. Из бюджета никто из них никакой поддержки не получает.
Потребители платят поставщикам плату, равную цене полученной услуги (Пж=Цж,
Пк=Цк). Очевидно, то данная модель, как и предыдущая, является теоретической
крайностью.
Рис. 2.3 - Модель № 3 финансирования
жилищно-коммунальной сферы («Субсидирование»)
При выборе модели №3 активно используются
возможности бюджета. Субсидироваться из бюджета могут как потребители, так и
поставщики услуг. На практике, как правило, субсидируются и те, и другие
одновременно.
Дополнительные обозначения на схеме: Тж и Тк -
трансферты гражданам из бюджета на оплату, соответственно, жилищных и
коммунальных услуг (субсидии, льготы, компенсации); Сж и Ск - субсидии
поставщикам на компенсацию разницы в ценах и покрытие выпадающих доходов от
оказанных жилищных и коммунальных услуг; Пжп и Пкп - предельные расходы
потребителей за предоставление жилищных и коммунальных услуг.
В этой модели размер платежа потребителя равен
цене полученной им услуги (Пж=Цж, Пк=Цк). В структуру платежа потребителя
входит и «участие бюджета» в размере получаемых потребителем на свой лицевой
счет субсидий (трансфертов) Тж и/или Тк, равных разнице между ценой услуги и
предельными расходами, установленными стандартами (Тж=Цж-Пжп, Тк=Цк-Пкп).
Размер бюджетных субсидий поставщикам услуг Сж и/или Ск равен разнице между
ценой услуги и платой потребителя на компенсацию разницы в ценах и тарифах
и/или на покрытие выпадающих доходов от оказанных услуг (Сж=Цж-Пж, Ск=Цк-Пк).
Таким образом, за потребителя «доплачивает»
бюджет. Эта модель (с некоторыми оговорками) в наибольшей мере отражает
«дореформенную ситуацию» в системе российского ЖКХ.
Если одновременно выполняется условие Сж+Тж=Цж и
Ск+Тк=Цк, то модель вырождается в «жилищный коммунизм». Если же одновременно
Сж=0, Тж=0, Ск=0, Тк=0, то модель соответствует «чистому рынку». В зависимости
от численных значений Сж, Тж, Ск и Тк возможны самые экзотические промежуточные
варианты.
Модель № 4, изображенная на нижеследующем
рисунке, в значительной мере отражает санкт-петербургскую реальность ЖКХ. В
своей основе она вобрала в себя отдельные черты всех предыдущих моделей.
жилищный коммунальный хозяйство
реформирование
Рис. 2.4 - Модель № 4 финансирования
жилищно-коммунальной сферы («Неорганизованные потребители»)
На рассматриваемой схеме в центре «царят»
управленческие структуры «Жилищного хозяйства»: (А) Жилищный комитет; (Б)
подведомственное Жилищному комитету государственное унитарное предприятие
«Вычислительный центр коллективного пользования многоотраслевого комплекса
жилищного хозяйства» (ВЦКП); (В) Жилищная инспекция; (Г) районные
администрации; (Д) подведомственные районным администрациям государственные
учреждения «Жилищные агентства» (ГУЖА).
Указанные структуры от имени (но без поручения!)
потребителя вступают в договорные отношения с поставщиками услуг, сложным
образом взаимодействуют между собой и с внешним миром, управляют лицевыми
счетами граждан, взаимодействуют с бюджетом. Многие реально существующие линии
взаимодействия на схеме не изображены во избежание загромождения схемы
излишними деталями.
Отметим, что масштабы финансирования жилищного
хозяйства в Санкт-Петербурге не могут не поразить воображение. Так, общая
сумма, только официально перекачиваемая по каналам ЖКХ, в 2004 году составила
без малого 30 млрд.руб. Но здесь следует отметить, что значительная часть
жилищно-коммунальных расходов (например, в 2004 г. - более 5 млрд.руб.)
отражается в бюджете не по функциональному разделу 1200 («Жилищно-коммунальное
хозяйство»), а по разделу 1800 («Социальная политика») в виде трансфертов
населению, либо вообще не отражается в бюджете. Более 1,5 млрд. руб. из бюджета
Санкт-Петербурга направляется на субсидии ЖСК, ЖК и ТСЖ, а также домам частного
сектора.
Ключевым звеном в финансовой схеме
петербургского ЖКХ является ВЦКП, через счета которого осуществляются
практически все профильные бюджетные расходы и платежи граждан. ВЦКП
располагает обширнейшей информацией о жилищном фонде, о потребителях
жилищно-коммунальных услуг, о циркулирующих в жилищной сфере финансовых
потоках, в том числе по каждому: поставщику, услуге, дому, лицевому счету
нанимателя или собственника жилого помещения.
Для каждого плательщика (квартиросъемщика) ВЦКП
формирует платежный документ «Счет» (полное название - «Счет за жилье,
коммунальные и эксплуатационные расходы»). Полученный Счет потребитель услуг
оплачивает через отделение банка. Получателем платы является ВЦКП.
В соответствии с имеющимися соглашениями (между
Жилищным комитетом, Комитетом финансов, ВЦКП) дальнейшие операции с деньгами на
лицевом счете плательщика осуществляет ВЦКП, который «расщепляет» деньги на
«жилищные» и «коммунальные» составляющие.
При этом учитываются начисленные льготы и компенсации,
на сумму которых уменьшаются платежи граждан за счет трансфертов населению (T
+T
+T
),
поступивших на расчетный счет ВЦКП из бюджета Санкт-Петербурга. Через
банковский счет ВЦКП осуществляются расчеты с поставщиками жилищных (Цж) и
коммунальных (Цк) услуг.
По состоянию на апрель 2005 г. на петербургском
рынке предоставления жилищных услуг уже действуют более 120 организаций, 62 из
которых - это недавно созданные в районах на базе 100%-ного государственного
капитала акционерные общества (ОАО «Жилкомсервис», или сокращенно - «ЖКС») .
Организации, задействованные в обслуживании финансовых потоков (банки, ВЦКП),
свои функции выполняют за весьма приличные проценты от начисленных сумм
платежей населения.
Рис. 2.5 - Модель № 5 финансирования
жилищно-коммунальной сферы («Организованные потребители»)
Главный недостаток данной модели состоит в
изначально пассивной роли потребителя услуг, лишенного не только права выбора
поставщиков услуг (за него это делают госорганы или органы местного
самоуправления), но даже возможности управлять денежными средствами на
«собственном» лицевом счете (за него это делает ВЦКП). В центре схемы здесь
оказывается многоквартирный дом, собственники помещений которого организованы в
товарищество собственников жилья (ТОК).
На рис.5 представлен наиболее общий вариант
взаимодействия участников жилищных отношений. Такая ситуация соответствует положениям
нового Жилищного кодекса РФ. Согласно ст. 45 ЖК РФ собственники помещений в
многоквартирном доме обязаны ежегодно проводить свое общее собрание, на котором
согласно ст. 161 ЖК РФ они обязаны выбрать один из способов управления домом:
непосредственное управление «своими силами»;
управление товариществом собственников жилья или
кооперативом;
управление управляющей организацией.
Потребители-собственники в соответствии с
порядком, установленным ЖК РФ, выбирают себе управляющую организацию и
заключают с ней договор. Управляющая организация по договорам с поставщиками Дж
и Дк
управляет домом, обеспечивая удовлетворение нужд потребителей, оплачиваемых ими
коллективно. Поставщики услуг конкурируют между собой за получение от
управляющей организации заказа на предоставление услуг Уж
и Ук
.
Поставка услуг осуществляется за плату Пж
и Пк
,
перечисляемую с расчетного счета управляющей организации.
Потребитель может заказать себе дополнительные
платные услуги Уж
и Ук
в индивидуальном порядке за отдельную плату Пж
и Пк
,
заключив соответствующие договоры Дж
и Дк
.
Трансферты из бюджета Тж и Тк (на оплату льгот и
субсидии малообеспеченным) поступают непосредственно на банковские счета
потребителей услуг, и уже сам потребитель (в условиях некоторых ограничений)
управляет полученной суммой. На схеме не указаны возможные бюджетные субсидии
поставщикам услуг в предположении, что все услуги на 100% оплачивает
потребитель.
Контроль за деятельностью субъектов рынка
жилищных и коммунальных услуг осуществляет Государственная жилищная инспекция,
которая в случаях ненадлежащего поведения субъектов рынка услуг применяет к ним
необходимые санкции.
На схеме обозначен также «посредник», в функции
которого входит осуществление взаимодействия между Комитетом финансов и
потребителями услуг. Скорее всего, эти функции в обозримом будущем будет
выполнять структура, аналогичная ВЦКП.
Если способ управления домом не выбран, то этот
выбор (отбор управляющей организации) за собственников сделает орган МСУ (в
Санкт-Петербурге - госорган), и мы возвращаемся к модели № 4.
На рис. 2.5 изображена также схема бюджетного
финансирования расходов на предоставление жилищно-коммунальных субсидий и
компенсаций. Схема соответствует конструкции бюджетной системы РФ (на ней не
детализирован только муниципальный уровень). Кроме того, на указанной схеме
(хоть и в неявном виде) изображены все участники жилищных отношений,
поименованные в ч. 2 статьи 4 ЖК РФ, а именно:
а) граждане;
б) юридические лица;
в) Российская Федерация;
г) субъекты Российской Федерации;
д) муниципальные образования.
Различными линиями на рисунке изображены
межбюджетные трансферты, потоки налоговых поступлений, трансферты населению -
словом, всё то, что соответствует понятию «межбюджетные отношения». Жирными
линиями на схеме обозначен возможный «поток» финансовой помощи из федерального
бюджета (ч. 8 ст. 159 ЖК РФ), двойной линией обозначены субвенции местным
бюджетам из региональных бюджетов (ч. 8 и ч. 10 ст. 159 ЖК РФ), точечным линиям
соответствуют потоки компенсаций «льготникам» (ст. 160 ЖК РФ), пунктиром
обозначены субсидии гражданам (ч. 8 ст. 159 ЖК РФ). Сплошными линиями со
стрелками, направленными «снизу вверх», обозначены налоговые поступления в
бюджетную систему от граждан и юридических лиц.
В силу особенностей правового регулирования
жилищных отношений и вопросов местного самоуправления в городах федерального
значения «особняком» на схеме изображены бюджеты Москвы и Санкт-Петербурга. По
признанию руководителя Жилищного комитета Санкт-Петербурга Ю. Лукманова процесс
объединения собственников в ТСЖ идет туго. Серьезным препятствием здесь
является социально-имущественная неоднородность проживающих в многоквартирных
жилых домах. Кроме того, более 40% проживающих не являются собственниками
занимаемых жилых помещений, следовательно, полномочия собственников за них
исполняют органы по управлению госимуществом.
Таким образом, реальное жилищное самоуправление
в Санкт-Петербурге, как и во всей России, находится в начальной стадии
развития: законодательные предпосылки (в виде Жилищного кодекса) созданы, но
организационно-финансовые механизмы производства и доставки жилищных и
коммунальных услуг пока надлежащим образом не заработали.
2.3 Новые подходы к ценообразованию
в сфере жилищно-коммунальных услуг в рамках жилищной реформы
Как известно, до проведения реформы примерно 98
% расходов по содержанию и развитию жилищно-коммунальной сферы отрасли
приходилось на бюджет министерств, ведомств, предприятий или организаций, в
чьем ведении находились объекты ЖКХ. Почти полная финансовая зависимость
жилищно-коммунальной сферы от бюджета, а также соответствующих ведомств и
предприятий крайне негативно сказывалась на ее работе и из-за остаточного
выделения средств, и в не меньшей степени из-за незаинтересованности в их
рациональном использовании. Отсутствовали возможности координации работы и
маневрирования ресурсами в результате повсеместной ведомственной разобщенности
жилья и коммунальной сети.
Огромные убытки предприятий ЖКХ были обычным
явлением. Немалые финансовые трудности испытывали бюджеты территорий и
ведомств. Расходы, на жилищно-коммунальную сферу составляли от 30 до 70%
бюджетов многих территорий, городов и муниципальных образований, что затрудняло
работу по обеспечению социальных потребностей населения, а также развитию
экономики.
Предприятия промышленности, сельского хозяйства,
строительства и других отраслей хозяйства, на балансе которых находилось
жилищно-коммунальное хозяйство, вынуждены были заниматься несвойственными им
функциями. Расходовались трудовые, материальные и финансовые ресурсы, которые с
большей отдачей могли быть использованы для развития и совершенствования
производства, повышения его эффективности.
Поэтому в устранении всех этих негативных
явлений, а значит и реформировании ЖКХ, была заинтересована прежде всего сама
отрасль, а также другие отрасли и сферы хозяйства, органы государственной
власти и бюджеты всех уровней.
В настоящее время более 90 % ведомственного
жилья и коммунальных предприятий передано в муниципальную собственность.
Министерство финансов Российской Федерации с учетом этого провело работу по
изменению межбюджетных отношений. Большая часть дополнительных расходов
бюджетов местных органов власти на содержание принятых в муниципальную
собственность объектов жилья и коммунальной сферы компенсирована федеральным
бюджетом. При этом практически все средства на содержание ЖКХ, включая объекты,
принятые до 1 июля 1999 г. были учтены в расчетах федерального бюджета при
определении индекса бюджетных расходов. Таким образом, большинство,
предприятий, передавших объекты ЖКХ местным органам власти, уже освободились от
несвойственных им непроизводственных функций, сосредоточив внимание на
эффективности производства.
Этому же способствовали меры по устранению
перекрестного финансирования в условиях которого промышленность и другие
отрасли экономики вынуждены были оплачивать электроэнергию и прочие ресурсы и
услуги по завышенным тарифам.
Другим положительным результатом этой работы
стал переход основной части жилья и коммунальных предприятий в муниципальную
собственность, что в значительной степени позволило устранить негативные
явления, связанные с ведомственной разобщенностью отрасли. Вместе с тем бюджеты
территорий несут значительные дополнительные расходы по содержанию принятых в
муниципальную собственность объектов, во многих случаях превосходящие
возможности налоговой базы многих территорий. Возросли дотационные выплаты,
увеличилось число дотационных бюджетов.
Поэтому обострилась потребность в скорейшем
решении основной задачи реформы - переходе предприятий жилищно-коммунальной
сферы на самоокупаемость, сокращение, а затем и устранение ее зависимости от
бюджетного финансирования. Как уже отмечалось, до начала реформы за счет
платежей населения покрывалось только 2-3 % затрат жилищно-коммунальной сферы
на производство и реализацию услуг.
Пересмотр правовой основы деятельности органов
государственной власти разных уровней, разграничение их полномочий предоставили
право органам государственной власти субъектов Российской Федерации, а также
местным органам власти самостоятельно, с учетом конкретных экономических и
социальных условий постепенно повышать тарифы.
Концепция реформы жилищно-коммунального
хозяйства в Российской Федерации, одобренная Указом Президента РФ от 28.04.97
г. № 425 уже в 1997 г. дала мощный импульс для продолжения реформы. По сравнению
с 1996 г. уровень платежей населения увеличился с 27 до 38 %. В 1998 г. платежи
населения, несмотря на кризис августа 1998 г., возросли до 50,4 %.В 1999 г.
темпы реформы значительно замедлились, что было обусловлено снижением
платежеспособного спроса населения. Однако уровень платежей населения
увеличился еще на 6 %, достигнув 56 %.
Расходы на содержание ЖКХ в бюджетах территорий
уменьшились с 25,7 % в 1996 г. до 19,5 % в 1997 г. Если учесть, что к 1999 г.
эти расходы выросли примерно на 50 млрд руб. за счет приемки в муниципальную
собственность объектов жилья и Коммунального хозяйства, то фактический уровень
бюджетных расходов в сопоставимых условиях составил бы 11,5%, или снизился
более чем в два раза.
Вопрос о том, какие именно услуги и в каком
объеме должны быть оказаны и оплачены в обязательном порядке в процессе
содержания и ремонта жилого дома на современном этапе, обычно делится на две
части:
Какие услуги должны оказываться «бесплатно» для
жителей, то есть в счет обязательных платежей?
Каким образом и каким решением может быть
расширен перечень услуг, плата за которые взимается в обязательном порядке?
Жилищный кодекс РФ дает право собственникам
помещений самостоятельно устанавливать размер платы за содержание и ремонт
жилого помещения в многоквартирном доме: либо собранием собственников с учетом
предложений управляющей организации, либо органами управления товарищества
собственников жилья (органами управления жилищного кооператива или органами
управления иного специализированного потребительского кооператива) в
соответствии с уставом.
Если же собственники помещений в многоквартирном
доме на их общем собрании не приняли решение об установлении размера платы за
содержание и ремонт жилого помещения, такой размер в соответствии с ч. 4 ст.
158 ЖК РФ устанавливается органом местного самоуправления (в Санкт-Петербурге -
органом государственной власти).
Жилищный кодекс РФ определяет, что плата за
жилое помещение и коммунальные услуги как для нанимателей, так и для
собственников помещений включает в себя:
) плату за содержание и ремонт жилого помещения,
включающую в себя плату за услуги и работы по управлению многоквартирным домом,
содержанию и текущему ремонту общего имущества в многоквартирном доме;
) плату за коммунальные услуги.
Кроме того, наниматели вносят плату за
пользование жилым помещением (плату за наем), при этом капитальный ремонт
общего имущества в многоквартирном доме проводится за счет собственника
жилищного фонда. Собственники же несут расходы по капитальному ремонту
самостоятельно.
С вступлением в силу Жилищного кодекса РФ и
постановления Правительства Российской Федерации от 13.08.2006 № 491 принцип
определения цен и тарифов на жилищно-коммунальные услуги радикально изменился.
Устанавливаемые размеры платы за содержание и ремонт жилого помещения и размеры
обязательных платежей и (или) взносов, связанных с оплатой расходов на
содержание и ремонт общего имущества, должны теперь быть соразмерны указанному
в договоре управления многоквартирным домом перечню, объемам и качеству услуг и
работ по содержанию и ремонту общего имущества в многоквартирном доме. При
выборе и реализации собственниками помещений в многоквартирном доме способа
управления в соответствии с Жилищным кодексом Российской Федерации размер платы
за содержание и ремонт жилого помещения, установленный органами местного
самоуправления или органами государственной власти городов федерального
значения Москвы и Санкт-Петербурга, может применяться только при принятии
такого решения общим собранием собственников помещений в многоквартирном доме или
органом управления товарищества собственников жилья, жилищно-строительного
кооператива или иного специализированного потребительского кооператива.
Глава 3. Совершенствование системы
управления жилищно-коммунальным хозяйством субъекта Российской Федерации (на
примере Санкт-Петербурга)
.1 Развитие системы жилищного
самоуправления в ходе реализации жилищной реформы в Санкт-Петербурге
Одной из ключевых новаций жилищной реформы,
реализуемой в Российской Федерации, явилось развитие системы жилищного самоуправления,
изменения статуса жителей многоквартирных домов, которые с 1 марта 2005 года
превратились в членов объединения собственников помещений (ОСП).
В главе 6 ЖК РФ достаточно подробно
регламентированы процедурные вопросы реализации права собственников на общее
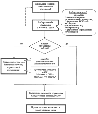
имущество многоквартирного дома. На рис. 3.1 изображена схема выбора
собственниками помещений способа управления многоквартирным домом,
соответствующая требованиям ст. 161 ЖК РФ. При этом, если ни один из трех
способов управления, предложенных в ЖК РФ, собранием не выбран, то за
собственников это сделает орган местной власти.
За жилое помещение и коммунальные услуги
граждане и организации обязаны своевременно и полностью вносить соответствующую
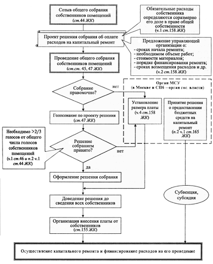
плату. Согласно ч. 1 ст.156 ЖК РФ «плата за содержание и ремонт жилого
помещения устанавливается в размере, обеспечивающем содержание общего имущества
в многоквартирном доме в соответствии с требованиями законодательства». При
этом доля обязательных расходов собственника определяется долей в праве общей
собственности. В свою очередь, доля в праве общей собственности на общее
имущество пропорциональна размеру общей площади помещения собственника.

С коммунальными услугами вопрос не менее
сложный. Петербургский опыт, как признает Ю. Лукманов, показывает, что
«коммунальная составляющая» в общем объеме «жилищно-коммунального платежа» в
настоящее время составляет более 75% (или в денежном выражении в среднем 23,4
руб./кв.м). Сам же размер платы за коммунальные услуги рассчитывается по
тарифам (ч. 2 ст. 157 ЖК РФ), а определяется или по показаниям приборов учета,
или исходя из нормативов потребления.
Структура платы за жилищно-коммунальные услуги
различна для нанимателей и собственников, как это показано в нижеследующей
таблице 3.1.
Таблица 3.1 - Структура платы за жилое помещение
и коммунальные услуги
|
Наниматели
|
Собственники
|
|
1)
плата за пользование жилым помещение (плата за наем); 2) плата за содержание
и ремонт жилого помещения, включающая в себя: - плату за услуги и работы по
управлению многоквартирным домом, - плату по содержанию и текущему ремонту
общего имущества в многоквартирном доме. Капитальный ремонт общего имущества
в многоквартирном доме проводится за счет собственника жилищного фонда. 3)
плата за коммунальные услуги
|
1)
плата за содержание и ремонт жилого помещения, включающая в себя: - плату за
услуги и работы по управлению многоквартирным домом, - плату по содержанию,
текущему и капитальному ремонту общего имущества в многоквартирном доме. 2)
плата за коммунальные услуги
|
На рис. 3.2 показана логическая схема
определения размера платы за жилое помещение. Данная схема является
визуализацией положений ст.156 ЖК РФ. Как можно видеть, ситуация несколько
различна для нанимателей и собственников.
Рис. 3.2 - Алгоритм расчета платы за жилое
помещение
Таблица 3.2 - Установление размера платы за
жилое помещение
|
№
п/п
|
Категория
плательщиков
|
Вид
платы
|
В
каких случаях
|
Кто
устанавливает
|
Статья
ЖК РФ
|
|
1
|
Наниматели
ж/п по договорам социального найма и договорам найма*
|
Плата
за пользование ж/п (плата за наем). Плата за содержание и ремонт ж/п
|
Для
ж/п государственного или муниципального жилищного фонда
|
Органы
МСУ (в Москве и СПб - орган государственной власти субъекта РФ)
|
ч.3
ст.156
|
|
*
1 Примечания: - согласно ч.2 ст.156 ЖК РФ размер платы за наем, платы за
содержание и ремонт ж/п определяется исходя из занимаемой общей площади ЖП и
из площади отдельных комнат в общежитиях; - согласно ч. 4 ст.156 ЖК РФ размер
платы за наем зависит: (А) от качества и благоустройства ж/п; (Б)
месторасположения дома; - согласно ч.9 ст.156 ЖК РФ малоимущие граждане
освобождаются от внесения платы за наем.
|
|
2
|
Собственники
ж/п в многоквартирном доме*
|
Плата
за содержание, текущий и капитальный ремонт общего имущества дома
|
Если
собственники не приняли решение о способе управления домом
|
|
|
|
3
|
|
|
Если
в этом доме не созданы ТСЖ либо жилищный (потребительский) кооператив
|
Общее
собрание собственников помещений
|
ч.7
ст.156
|
|
*
Согласно ч.2 ст.161 собственники помещений в многоквартирном доме обязаны
выбрать один из трех предложенных способов управления домом.
|
|
4
|
Собственники
ж/п в многоквартирном доме, являющиеся членами ТСЖ либо жилищного
(потребительского) кооператива
|
Обязательные
платежи и (или) взносы, связанные с оплатой расходов на содержание и ремонт
общего имущества дома
|
Если
в этом доме созданы ТСЖ либо жилищный (потребительский) кооператив
|
Органы
управления ТСЖ либо органы управления жилищного (потребительского) кооператива
|
ч.8
ст.156
|
|
5
|
Отдельные
категории граждан*
|
Плата
за ж/п
|
В
домах системы социального обслуживания, в домах для временного поселения, в
общежитиях
|
Собственники
ж/п
|
ч.6
ст.156
|
|
*
К этой категории относятся: вынужденные переселенцы, беженцы, проживающие в
одной комнате общежития вместе с другими гражданами.
|
|
|
|
|
|
|
|
В прилагаемой к рис. 3.2 таблице 3.2 и на самой
схеме выделены четыре субъекта, к компетенции которых в оговоренных ЖК РФ
случаях относят решение вопроса об установлении платы за жилое помещение.
В случаях, когда жилищные услуги (работы)
некачественны или предоставляются со сверхнормативными перерывами, размер платы
корректируется.
Органы государственной власти Санкт-Петербурга
не ставят себе задачу добиться надуманных показателей и увеличения процентов.
Важно, чтобы процесс создания ТСЖ был осознанным и выгодным для всех. Как-то
искусственно его стимулировать признано нецелесообразным. Данный процесс и так
идет достаточно высокими темпами. По данным на 1 января 2010 г., ТСЖ созданы
более чем в 6000 домах. В 1000 многоквартирных домах были выбраны управляющие
организации. Общее количество домов, в которых собственники выбрали способ
управления, составило треть от общего числа многоквартирных домов города.
К сожалению, действующее федеральное законодательство,
касающееся развития жилищного самоуправления в нашей стране все еще очень
противоречиво. Так, думается, было бы целесообразно изменить положения
Жилищного кодекса РФ, связанные с заключением договора управления между
товариществом и управляющей организацией, установлением размера платежей членов
товарищества и собственников помещений, порядком принятия решений о передаче в
пользование общего имущества в многоквартирном доме, ремонте, реконструкции
общего имущества.
Сегодня одни статьи Жилищного законодательства
нередко противоречат другим. К примеру, так обстоит дело с обустройством
мансард. С одной стороны, жители могут принять решение о реконструкции
мансардных помещений большинством голосов. А другая статья гласит, что любое
распоряжение имуществом не должно ущемлять интересы собственника. И, как
правило, найдется хотя бы один собственник, который скажет, что он не дает
своего согласия на реконструкцию мансарды. Вопрос остается нерешенным, все
выгоды от использования мансардного помещения будут упущены. А ведь в
результате реконструкции не только решается проблема кровли, но и появляется
дополнительная жилая площадь, которая необходима городу.
Доработки требуют также нормы, относящиеся к
созданию ТСЖ в строящихся многоквартирных домах. Полагаю, что необходимо
изменить нормативные акты, регулирующие вопросы регистрации ТСЖ, упростив эту
процедуру. Нуждается в корректировке и Налоговый кодек РФ. Сегодня ТСЖ
вынуждены платить налог на прибыль, на добавленную стоимость, транспортный и
земельный налоги, налог на имущество и пр. И это притом, что товарищество не
является коммерческой организацией. Логичнее вместо налогов тратить деньги на
обустройство дома.
Не менее важным из числа ключевых факторов
модернизации функционирования отрасли выступает рационализация механизмов и
инструментов финансирования жилищно-коммунального хозяйства. Переход на
рыночные механизмы финансирования учреждений, предоставляющих населению
социально значимые жилищно-коммунальные услуги, должен осуществляться при
сохранении возможностей доступа к данным услугам малоимущих категорий граждан.
Для этого необходим переход к целевой адресной помощи гражданам с применением
механизма жилищных субсидий. В свою очередь, возрастание потребности в
средствах на предоставление жилищных субсидий при переходе к бездотационному
функционированию объектов жилищно-коммунального хозяйства потребует
совершенствования механизма учета этих потребностей в рамках бюджетной системы
всех уровней.
Основным инструментом повышения экономической
эффективности жилищно-коммунальной отрасли возможно развитие конкурентных
отношений в сфере предоставления коммунальных услуг, способное снижать затраты
при одновременном повышении их качества. В управлении жилищным фондом
необходимо разграничение функций собственника и профессионального управления и
обслуживания. Четкой определенности и ясности требует балансовая принадлежность
жилищного фонда, который пока, как правило, находится на балансе муниципальных
организаций, в том числе, и его приватизированная часть.
Успешная реализация реформ и существенное
улучшение деятельности жилищной сферы невозможны без квалифицированного
рабочего и управленческого персонала. Особую роль при формировании конкурсных
механизмов обслуживания жилого фонда играет социально-психологическо обеспечение
проведения реформы ЖКХ находящее свое проявление в достижении психологической
готовности населения и работников принять и поддержать нововведения.
Своевременность и эффективность решения задачи
привлечения долгосрочных инвестиционных ресурсов в отрасль становится
определяющим фактором дальнейших преобразований, обеспечивающих рост
эффективности.
Привлечение частного капитала в
жилищно-коммунальный сектор, активно практикуемое во всем мире, позволит не
только обновить основные фонды отрасли, но и будет способствовать активизации
ресурсосберегающих процессов, сокращению монополизма и росту конкуренции, что
приведет к повышению эффективности функционирования ЖКХ.
В целях совершенствования управления
жилищно-коммунальным комплексом предлагается вовлекать в управление
бизнес-структуры. Следует, однако, иметь ввиду, что реализация такого подхода
требует изменения организационно-экономических и финансовых механизмов
функционирования жилищной инфраструктуры, а это порождает риск частичной утраты
государственного контроля над процессами предоставления коммунальных услуг.
Значительное внимание уделено источникам
инвестиций в ЖКХ. Капитальные расходы могут осуществляться за счет тарифа,
причем, как непосредственно - определенная часть тарифа изначально полностью
направляется на финансирование основных фондов, так и в форме
оплаты за счет тарифов расходов по обслуживанию
и погашению долга в случае, когда предприятие берет кредит под инвестиционные
цели. Однако для обеспечения целевого использования инвестиционных средств
механизм тарифного регулирования должен предусматривать инструменты контроля за
формированием и расходованием инвестиционных ресурсов. В частности, прибыль
должна включаться в тарифы не как установленный заранее процент рентабельности,
а в соответствии с инвестиционной программой, мониторинг выполнения которой
должен быть неотъемлемой частью регулирования деятельности коммунальных
предприятий.
Включение инвестиционных затрат в тариф при
прочих равных условиях уменьшит прямые бюджетные расходы на капиталовложения в
коммунальную инфраструктуру, но в связи с ростом тарифов возрастут бюджетные
расходы на льготы, жилищные субсидии, а также на оплату коммунальных услуг
бюджетных учреждений.
Альтернативным вариантом финансирования
капитальных затрат служит выведение инвестиционных расходов из структуры тарифа
и осуществление их непосредственно из бюджета в виде целевых программ.
Привлечение заемных ресурсов малыми частными
компаниями ограничивается масштабами их собственных капиталов, и недостаточной
развитостью региональных и муниципальных рынков публичных заимствований.
Перспективным механизмом повышения кредитоспособности коммунальных предприятий
для инвестора могло бы стать предоставление гарантий по займам местной или
региональной администрацией.
Меры государственной поддержки частных
инвестиций в коммунальном секторе должны предусматривать разработку стандартов
кредитования на обновление основных фондов, минимизирующих риски инвесторов.
Федеральный гарантийный фонд ЖКХ будет капитализировать достаточно большие
бюджетные средства и предоставлять частичные или полные (в начальный период
деятельности) гарантии по займам тех компаний, чьи инвестиционные проекты
соответствуют выработанным стандартам кредитования. Такой механизм в
перспективе будет иметь мультипликативный характер.
Еще одним источником инвестиционного капитала в
отрасли ЖКХ выступает корпоративный капитал. Перспективным источником
финансирования мероприятий капитального характера в жилищно-коммунальной сфере,
реализуемых муниципальной властью, служит привлечение средств с рынка капитала
путем выпуска муниципальных облигаций и использования внутренних и внешний
займов
Предложенные в работе механизмы инвестирования
пока не получили широкого распространения. Реально инвестиции осуществляются из
различных источников, носят несистематизированный характер и не позволяют
обеспечить условия для стабильного воспроизводства в жилищно-коммунальном
секторе.
Переход к двухставочным тарифам представляется
необходимым условием создания благоприятного инвестиционного климата в отрасли
ЖКХ. При обоснованном регулировании инвестиционной составляющей в ходе роста
стоимости жилищно-коммунальных услуг, этот инструмент позволит адекватно
регулировать соотношение интересов производителей и потребителей, позволяя
населению оплачивать фактически потребленные ресурсы, а производителям
-получать соответствующую экономию при изменении объемов потребления и снижении
ресурсных потерь. Инвестиционную составляющую в двухставочном тарифе
целесообразно ограничить определенной величиной, не зависящей от нормы прибыли,
и эту величину необходимо закрепить законодательно.
В мировой практике управленческие схемы
организации работы коммунального комплекса формируются в зависимости от
передачи прав собственности на инженерную и коммунальную инфраструктуру ЖКХ
частному бизнесу. Однако во всех случаях коммунальная инфраструктура продолжает
оставаться сферой прямой ответственности местной власти. Наиболее
распространенным механизмом управления ЖКХ выступают государственно-частные
партнерства и концессионные соглашения (или договора о государственно-частном
партнерстве), заключаемые между муниципальными (или региональными) органами
власти и частными компаниями.
В коммунальной сфере государственно-частные
партнерства являются по своей природе партнерствами между муниципальными
властями и предприятиями - инвесторами частного сектора в целях эффективной
эксплуатации или строительства объектов коммунальной инфраструктуры и
коммунальных систем. В основу государственно-частного партнерства заложено не
просто финансирование инвестиционных потребностей инфраструктуры, но более
эффективное оказание услуг. Государственно-частное партнерство в сфере ЖКХ
реализуется в следующих основных формах: сервисные контракты, контракты на
управление, договоры аренды.
Характерные черты механизма управления
коммунальной сферой городского хозяйства схематически изображены на рис. 3.3.
Рис. 3.3 - Схема управления объектами
коммунального хозяйства в городе
. Соглашение о передаче муниципального
имущества.
. Предоставление гарантий по участию
муниципалитета в финансировании проекта в части бюджетных средств (если это
предусмотрено проектом).
Управление объектами. Финансирование капитальных
вложений.
. Перечисление доли муниципалитета в капитальных
вложениях (если это предусмотрено проектом).
. Утверждение тарифов. Контроль.
. Предоставление услуг.
. Оплата услуг.
. Возврат вложений и прибыль.
Существующий уровень централизации в жилищной
сфере крупных городов слишком высок. Необходима децентрализация и разукрупнение
ряда управленческих функций, особенно в сфере коммунального хозяйства и
благоустройства территории. В качестве основного критерия распределения
управленческих функций по уровням следует использовать принцип «делегирования
полномочий сверху вниз».
Минимально необходимый объем работ по важнейшим
городским системам и объектам ЖКХ целесообразно финансировать из бюджета или из
целевых внебюджетных фондов, желательно выделять закрепленные статьи бюджета
либо закрепленные источники доходов по внебюджетным фондам.
В рамках выработки мер повышения эффективности
системы управления ЖКХ выделены три блока проблем:
• разделение функций управления и хозяйствования
посредством создания служб заказчика на жилищно-коммунальные, транспортные и
другие виды услуг и работ, а также перевод исполнителей работ на условия
подрядной деятельности;
• развитие договорных отношений между
администрацией города, производителями работ, услуг и населением;
• усиление контроля со стороны городских
муниципальных властей за деятельностью предприятий, организаций, служб ЖКХ,
создание городской жилищной инспекции.
В договоре на управление формулируются
стратегические цели, которые собственник имущества желает достичь в течение
договорного периода Принципиальным условием заключения договора должно стать
согласование этих целей со стратегическими планами развития города.
Предлагаемый алгоритм управления предприятиями
ЖКХ связан с реструктуризацией предприятий этой сферы.
В реструктуризации предприятий можно выделить
два основных направления: изменение состава субъектов экономической
деятельности и внутренняя оптимизация компаний. Второе направление
реструктуризации - внутренняя оптимизация компаний, которая может включать в
себя следующие действия:
улучшение организационной структуры;
снижение издержек;
рост качества управления финансами;
сокращение объемов непрофильных активов;
повышение профессионального уровня персонала;
совершенствование системы мотивации.
Определим особенности реструктуризации
предприятий ЖКХ, наиболее четко представленные в целях, критериях, процедурах,
результатах и эффекте (Таблица 3.3).
Таблица 3.3 - Особенности реструктуризации
предприятий ЖКХ
|
Реструктуризация
предприятий
|
Реструктуризация
предприятий ЖКХ
|
|
Цели
|
Обеспечение
условий для повышения экономической эффективности деятельности компании и
получение непосредственного экономического эффекта от мероприятий по
реструктуризации
|
Существенное
улучшение всех механизмов управления социальными и экономическими процессами
и на этой основе повышение уровня жизнеобеспечения населения, создание более
благоприятных условий для жизни и самореализации всех социальных слоев и
групп
|
|
Задачи
|
Оптимизация
структуры капитала; оптимизация структуры обязательств; оптимизация структуры
активов (права требования, включая дебиторскую задолженность, финансовые
вложения, незавершенное строительство и объекты консервации, непрофильные и
неликвидные активы); реорганизация системы управления, системы бизнес -
процессов, соответствующей стратегии
|
Передача
муниципального имущества в аренду эффективному собственнику; уменьшение
налогового бремени предприятия; расширение правоспособности нового
предприятия; избавление от старых долгов; создание новой эффективной
структуры, позволяющей эффективно использовать имущественный комплекс; повышение
качества оказываемых услуг; избавление от ненужных элементов предыдущей
системы.
|
|
Критерии
|
Повышение
экономической эффективности деятельности компании и экономический эффект от
мероприятий по реструктуризации
|
Создание
более благоприятных условий для жизни и самореализации всех социальных слоев
и групп
|
|
Процедуры
|
Диагностика
предприятия, организационный проект, совершенствование структуры и функций
управления, развитие финансовых методов управления, реструктуризация
|
Диагностика
предприятия ЖКХ, процедура банкротства, предпроектное обследование
предприятия, комплексная диагностика потенциала предприятия, анализ
проблемного поля, подготовка программы реструктуризации, совершенствование
организационной структуры, реинжениринг существующего производства, мониторинг
проекта, контроль за показателями, управление изменениями, взаимодействие с
населением по поводу удовлетворения потребности в коммунальных услугах.
|
|
Результаты
|
Рентабельность
предприятия, прибыль, экономия, обеспечение социальной защищенности работников
предприятия, применение новых технологий
|
Рентабельность
предприятия, прибыль, экономия, обеспечение социальной защищенности
работников предприятия, применение новых технологий, удовлетворение
потребности населения в коммунальных услугах
|
|
Эффекты
|
Конкурентоспособность
предприятия, обретение ниши на рынке, снижение себестоимости продукции
|
Развитие
новой структуры, улучшение качества жилищно-коммунальных услуг, обновление
изношенного оборудования, стабилизация положения на муниципальном рынке
жилищно-коммунальных услуг
|
Особенности реструктуризации предприятия ЖКХ
заключаются, прежде всего, в том, что ориентация ее целей на развитие
жилищно-коммунальной сферы определяет задачи, критерии, процедуры. Это в свою
очередь находит свое воплощение в результатах и эффекте. Нацеленность не только
на экономический эффект, но и на удовлетворение потребностей населения в
коммунальных услугах, создание благоприятных условий для жизни населения делает
необходимыми критерии, выдвигающие на первый план создание более благоприятных
условий для жизни и самореализации всех социальных слоев и групп.
Соответственно процедуры такие, как диагностика предприятия ЖКХ, процедура
банкротства, предпроектное обследование предприятия, комплексная диагностика
потенциала предприятия, анализ проблемного поля, подготовка программы
реструктуризации, совершенствование организационной структуры, реинжениринг
существующего производства, мониторинг проекта, контроль за показателями,
управление изменениями осуществляются при взаимодействии с населением.
Результаты реструктуризации предприятий ЖКХ наряду с экономической составляющей
включают в себя также удовлетворение потребностей населения в коммунальных
услугах, а эффект заключается в развитии новой структуры, улучшении качества
жилищно-коммунальных услуг, обновлении изношенного оборудования и стабилизации
положения на муниципальном рынке жилищно-коммунальных услуг.
Может быть предложен алгоритм диагностики
предприятий ЖКХ, основанный на SWOT-анализе. Один из составляющих SWOT-анализа
- анализ внешней среды призван выявить возможности и угрозы, анализ внутренней
среды - сильные и слабые стороны развития организации. Последний включает в
себя:
анализ организации, управления и кадрового
потенциала;
анализ структуры предприятий, органов
управления, принципов их функционирования, их ответственности, целей и задач;
анализ численности и ФЗП работников, соотношения
промышленно-производственного и административно управленческого персонала, а
также использования рабочего времени;
анализ тарифов на оказываемые услуги и
источников формирования финансовых ресурсов;
финансовый анализ: изучается бухгалтерская
отчетность предприятия, анализ коэффициентов характеризующих финансовое
состояние предприятий ЖКХ: показатели финансовой устойчивости, оценка
платежеспособности и ликвидности предприятия, показатели деловой активности,
рентабельности предприятия;
оценка вероятности и определение признаков
фиктивного и преднамеренного банкротства.
Может быть использован метод сравнительного
анализа, который используется для определения эффективности реструктуризации
предприятия ЖКХ:
Рассчитываются годовые затраты предприятия ЖКХ,
налоговые отчисления до реструктуризации и после нее.
Затем они сравниваются, и вычисляется экономия,
полученная в результате реструктуризации.
Осуществляется также прогноз поступлений от
деятельности предприятия и рассчитывается прибыль.
На основании данных расчетов делаются выводы об
эффективности реструктуризации предприятия ЖКХ. При этом важно использовать не
только количественные характеристики состояния предприятия ЖКХ до и после
реструктуризации, но также и качественные характеристики, которые могут
адекватно отразить существо изменений, происходящих вследствие
реструктуризации. Определяя наличие изменений в лучшую или худшую сторону,
можно определить и эффективность самих действий.
Реструктуризация, являясь системным
целенаправленным процессом качественных изменений структуры активов и пассивов
компании, а также системы управления, направлена на обеспечение условий для
повышения экономической эффективности деятельности компании. В связи с этим
целесообразно выделить структурные изменения, финансовые изменения и изменения
человеческого капитала, позволяющие выработать направления внутренней
оптимизации компании. Анализ ситуации в каждой из этих групп изменений, а также
оценка высокой степени влияния на результат социальных факторов может помочь
выбрать более эффективный путь реструктуризации. Механизмы реструктуризации уже
показали свою эффективность на предприятиях ЖКХ.
Особенности реструктуризации предприятия ЖКХ
заключаются, прежде всего, в нацеленности не только на экономический эффект, но
прежде всего, на удовлетворение потребностей населения в коммунальных услугах,
создание благоприятных условий для жизнедеятельности населения. Все это
выдвигает на первый план создание более благоприятных условий для жизни и
самореализации всех социальных слоев и групп. Соответственно такие процедуры,
как диагностика предприятия ЖКХ, процедура банкротства, предпроектное
обследование предприятия, комплексная диагностика потенциала предприятия,
анализ проблемного поля, подготовка программы реструктуризации,
совершенствование организационной структуры, реинжениринг существующего
производства, мониторинг проекта, контроль за показателями, управление
изменениями, осуществляются при взаимодействии с населением. Результаты
реструктуризации предприятий ЖКХ включают в себя экономическую составляющую и
удовлетворение потребностей населения в коммунальных услугах, а эффект
заключается в развитии новой структуры, улучшении качества жилищно-коммунальных
услуг, обновлении изношенного оборудования и стабилизации положения на
муниципальном рынке жилищно-коммунальных услуг.
Вместе с тем для обеспечения жизнеспособности
реструктурированных предприятий ЖКХ необходима поддержка государственных
органов управления и органов местного самоуправления, которая может проявиться
в первую очередь в создании условий для развития этой сферы через организацию
взаимодействия предприятий с населением. При этом значительную роль играет
осуществление территориального и социального маркетинга, основные задачи
которых заключаются в формировании и развитии маркетинга некоммерческой
продукции, коммунальных услуг; повышение эффективности взаимодействия
хозяйствующих субъектов и социальных институтов муниципального образования
через органы местного самоуправления (привлечение инвестиций, внешних
ресурсов); разработка мероприятий по привитию необходимого поведения при
потреблении коммунальных услуг; формирование, развитие и продвижение имиджа
региона или муниципального образования и пр.
3.2 Проблема капитального ремонта
многоквартирных домов
Вопрос о капитальном ремонте жилых домов
является одним из самых обсуждаемых и самых болезненных в системе ЖКХ страны.
Концепция реформирования городского хозяйства
Санкт-Петербурга на 2004-2010 гг., утвержденная постановлением Правительства
Санкт-Петербурга от 23.03.2004 года № 431, констатировала, что недостаточность
бюджетного финансирования жилищно-коммунального комплекса по адресным
программам капитального ремонта и развития привела к резкому увеличению износа
основных фондов. Техническое состояние коммунальной инфраструктуры
характеризуется высоким уровнем износа, высокой аварийностью, низким
коэффициентом полезного действия и большими потерями энергоносителей. Так, 40%
теплосетей отслужили свой срок и требуют замены, только 9% водопроводных сетей
изношены менее чем на 50%, вследствие чего потери воды в сетях оцениваются
почти в 25% суточного потребления. Средний возраст основных фондов открытого
акционерного общества энергетики и электрификации «Ленэнерго» составляет 28 лет
при предельном сроке службы в 30-35 лет.
По этой причине планово-предупредительный ремонт
уступил место аварийно-восстановительным работам, затраты на которые в 2-3 раза
выше. Следствием этого стали дефицит мощностей электро- и теплоснабжения,
водоотведения и очистки сточных вод, повсеместный перерасход
топливно-энергетических ресурсов.
По данным Жилищного комитета, в
Санкт-Петербурге:
около 26% жилых домов изношены на 30%;
% домов - на 30-60%;
% домов - более чем на 60%.
При обсуждении источника финансирования капитального
ремонта возникает дилемма: средства граждан или бюджет? Формально бремя
содержания собственности должен нести собственник, и бюджет должен участвовать
в расходах на капремонт только в доле, пропорциональной доле государственной
собственности. С другой стороны, необходимость высоких затрат на капремонт
возникла именно вследствие многолетнего неисполнения государственными органами
свих обязанностей по содержанию жилищного фонда.
По признаниям руководителей ЖКХ, ветхость
жилищного фонда является крайне неблагополучным фоном для проведения реформы.
Из-за него сама реформа из процесса перехода на иной уровень отношений в
жилищной сфере превращается в отказ государства от своих прежних невыполненных
обязательств. Из-за неудовлетворительного состояния жилых домов граждане,
живущие в них, не спешат создавать ТСЖ. Их опасения понятны: люди уверены, что,
создав ТСЖ, они вынуждены будут сами заботиться о капитальном ремонте. В
некоторых областях - например, в Вологодской - гражданам сразу заявили о том,
что финансировать ремонт ТСЖ государство не может и не будет.
Закон РФ «О приватизации жилищного фонда в
Российской Федерации» от 04.07.1991 № 1541-1 устанавливал, что при приватизации
занимаемых гражданами жилых помещений в домах, требующих капитального ремонта,
за бывшим наймодателем сохранялась обязанность производить капитальный ремонт
дома в соответствии с нормами содержания, эксплуатации и ремонта жилищного
фонда.
Как уже отмечалось выше в данной дипломной
работе, ЖК РФ в вопросе финансирования капремонта категоричен: расходы несет
собственник. Правда, в п. 2 ч. 1 ст. 165 ЖК РФ есть оговорка, что органы МСУ (в
Москве и Санкт-Петербурге - органы государственной власти) могут предоставлять
бюджетные средства на капремонт.
На рис. 3.3 изображен алгоритм решения вопроса о
капремонте многоквартирного дома. Вследствие сложности процедуры,
регламентированной в ЖК РФ, можно предположить, что размер платы за
собственников помещений установит орган власти.
В Санкт-Петербурге дважды за последние годы
предпринимались попытки включить плату за капремонт в структуру «квартплаты»
граждан. В первый раз (в 2001 году) попытка не удалась, а во второй раз (в 2003
году) «новелла о капремонте», включенная в закон о бюджете, была через полгода
отменена. В настоящее время, по сути, единственным источником финансирования
капитального ремонта жилищного фонда является бюджет Санкт-Петербурга.
Рис. 3.3 - Алгоритм решение вопроса о
капитальном ремонте многоквартирного дома
3.3 Анализ процесса реформирования
жилищно-коммунального хозяйства Санкт-Петербурга в 2004-2010 гг.
Этапы реформирования жилищно-коммунального
хозяйства Санкт-Петербурга были определены постановлением Правительства
Санкт-Петербурга от 23.03.2004 года № 431.
Изучение данного документа приводит к выводу о
том, что он был основан не на рыночных принципах, а на идее планового
городского хозяйства и монополии государственных предприятий, и в этом смысле
являлась гораздо более консервативной, чем принятая семью годами ранее
федеральная Концепция, о которой шла речь выше. Городское хозяйство
трактовалось не как рынок, поставляющий платные жилищно-коммунальные услуги для
удовлетворения потребностей жителей, а, наоборот, как некий комплекс, который
потребители и органы власти обязаны содержать. При этом понятие «городское
хозяйство» не определялось, но по тексту Концепции оно объединяло
жилищно-коммунальное хозяйство, энергетику и транспорт.
Для обоснования выдвинутой гипотезы приведем
несколько характерных цитат из данного документа. «Финансовое обеспечение
содержания городского хозяйства в его нынешнем виде непосильно как для
потребителей жилищно-коммунальных услуг, так и для бюджета Санкт-Петербурга».
«…предполагалось, что при проведении экономических реформ в течение достаточно
короткого периода времени будет завершен переход к бездотационному
функционированию городского хозяйства…». «…недофинансирование
жилищно-коммунального хозяйства составило около 20 процентов от объема
необходимых средств, что усугубляется большим объемом накопленной задолженности
в жилищно-коммунальной сфере».
В качестве основных принципов реформирования
городского хозяйства Концепция предлагала, в частности:
создание действенной системы планирования и
реальных механизмов управления городским хозяйством, привлечения населения к
управлению объектами городского хозяйства;
формирование политики Санкт-Петербурга в
отраслях городского хозяйства;
формирование реестра социальных услуг,
предоставляемых населению Санкт-Петербурга в рамках отраслевых стандартов
проживания, разработка и утверждение нормативов затрат, обеспечивающих их
выполнение;
инвентаризация и паспортизация имущественного
комплекса отраслей городского хозяйства;
совершенствование тарифной политики в целях
достижения разумного баланса между интересами поставщиков и потребителей услуг;
повышение доходности отраслей городского
хозяйства за счет рационального комплексного использования объектов жилищного
фонда и городской инфраструктуры.
Предлагалось также реализовать постепенное
прекращение участия государства в коммерческих организациях и осуществлении
хозяйственной деятельности, предполагающее, в частности, приватизацию
находящихся в государственной собственности хозяйствующих субъектов. При этом
объекты городской, в том числе и инженерной, инфраструктуры сохраняются в государственной
собственности с прекращением права хозяйственного ведения в их отношении
(изымаются в казну Санкт-Петербурга).
Предполагалось, что Концепция реализуется
поэтапно в течение 2004-2010 годов. В частности, на завершающем этапе
(2007-2010 гг.) предполагалось:
реализовать стратегические мероприятия,
направленные на обеспечение устойчивого функционирования комплекса городского
хозяйства на основе использования новых технологий и привлечения инвестиций;
ликвидировать дотационность отраслей городского
хозяйства, осуществить перевод их на самофинансирование;
апробировать различные механизмы привлечения
инвестиций.
Концепция констатировала, что дотационность
отраслей городского хозяйства и отсутствие у получателей услуг возможности
влиять на их количество и качество в сочетании с централизацией управления
коммунальными предприятиями и отсутствием конкуренции являются основными
причинами существующих проблем во всех отраслях городского хозяйства:
хронического дефицита финансирования, высокой затратности и отсутствия
экономических стимулов снижения издержек, неэффективной и бесприбыльной работы
предприятий городского хозяйства, высокого уровня потерь ресурсов. Тем не
менее, предлагаемые Концепцией меры базируются именно на принципах
централизованного управления предприятиями и государственного формирования
тарифов, например:
переориентация нерациональных расходов
предприятий, выявленных в ходе аудита и экспертизы тарифов, на модернизацию и
развитие инженерной инфраструктуры;
создание прозрачного механизма формирования
тарифов на жилищно-коммунальные и транспортные услуги и целевого использования
составляющих тарифа (амортизационные отчисления, прибыль и т.п.) на
модернизацию и развитие.
Созданию условий для развития конкурентных
отношений в сфере управления городским хозяйством посвящен целый раздел
Концепции. Но и в этом разделе многие положения представляются спорными.
Например, трудно согласиться с исходной посылкой о том, что «совмещение функций
собственника имущества и функций хозяйственной деятельности по содержанию и
обслуживанию этого имущества создает серьезный внутренний конфликт интересов,
результатом которого является отсутствие стимулов для повышения эффективности
управления». Как показано выше, содержание и обслуживание имущества как раз и
является естественной функцией его собственника, более того, его прямой
обязанностью в соответствии с Гражданским кодексом РФ.
Концепция предусматривала, что в процессе
реформирования государственные учреждения «Жилищные агентства административных
районов» должны стать полноценными управляющими компаниями. Конкурсный порядок
предусматривался не для выбора управляющих компаний, а для отдельных видов
подрядных работ (обслуживание лифтового хозяйства, вывоз мусора, установку и
обслуживание счетчиков тепла, воды и др.).
Организатором конкурсов должны были выступать
управляющие компании на основании положения, закрепленного в договоре на
управление.
Улучшение положения жилищно-коммунального
хозяйства во многом зависит от состояния градообразующих промышленных
предприятий, которые не только обеспечивают занятость населения, а значит,
способствуют формированию его доходов, что важно в условиях развития рынка
жилищно-коммунальных услуг, но и, как правило, обеспечивают эксплуатацию и
ремонт жилищного фонда.
Эффективность функционирования
жилищно-коммунальной сферы достигается путем изменения системы финансирования
отрасли (переход от бюджетного дотирования к полной оплате коммунальных услуг
потребителями), что позволяет улучшать качество обслуживания населения и
организаций, повышать конкурентоспособность ЖКХ, обеспечивать социальную защиту
малообеспеченных слоев населения.
Вопросы, касающиеся ЖКХ, всегда волновали
общество, т.к. благополучие жизни населения зависит во многом от деятельности
коммунальных предприятий. От того, насколько эффективно работают предприятия
ЖКХ, настолько эффективно развивается и процветает наш город и страна в целом,
поэтому необходимо разрабатывать мероприятия, способствующие повышению
деятельности коммунального сектора.
Качество жилья, его количество, уровень
комфортности, обеспеченность населения жильем является, пожалуй, одной из
основных характеристик экономического развития того или иного муниципального
сообщества. Именно дом, квартира является непременным условием создания каждой
новой семьи.
При размере заработной платы, которую получают
молодые семьи, не имеющие собственного жилья, и живущие на съемных квартирах,
скажем в Санкт-Петербурге при минимальной стоимости квартиры в 1,5 млн. руб.
они могут заработать на нее в лучшем случае за 20 лет. Это при условии, что они
будут откладывать все деньги, оставшиеся от оплаты съемной квартиры, т.е. не
пить, не есть, не одеваться, не получать удовольствий и не иметь детей. Если же
при заработной плате в 30000 руб. на двоих, оплате съемной квартиры 15000 руб.,
тратя на одежду, питание и развлечения 10000 рублей, откладывая по 5000 рублей
в месяц на новое жилье, молодая семейная пара может заработать на собственную
квартиру через 40-50 лет, т.е. в глубокой старости. Ни о каком демографическом
развитии в подобных условиях говорить не приходится.
Можно с уверенностью сказать, что то, как те или
иные органы власти решают жилищные проблемы населения на вверенной им
территории, показывает, насколько эффективно занимаются они управлением
муниципальным и региональным хозяйством. Эффективность такого управления
зависит от многих факторов, наиболее существенными из которых являются
технологии, обеспечивающие интеграционное партнерство органов государственной
власти, бизнес структур, научного сообщества и общественных организаций в сфере
развития жилищно-коммунального хозяйства.
Что касается Санкт-Петербурга, то следует
указать на положительные тенденции в сфере ЖКХ современных мегаполиса -
динамику роста инвестиций в ЖКХ и в жилищное строительство. Анализ данных,
приведенных на рисунке, показывает, что если в период 2003-2006гг. расходы
бюджета Санкт-Петербурга по статье ЖКХ практически не росли, то за три
последующих года они выросли более чем в 7 раз - от 11705 млн. руб. в 2006 г.
до 82404 млн. руб. в 2009 г.
Рис. 3.4 - Расходы бюджета Санкт-Петербурга по
статье ЖКХ: 1 - Расходы на жилищно-коммунальное хозяйство 2 - Расходы на
жилищное хозяйство; 3 - Расходы на коммунальное хозяйство; 4 - Расходы на
другие вопросы в области жилищно-коммунального хозяйства
Этот рост в основном определялся ростом расходов
на капитальные вложения по отрасли «Жилищное строительство» и на капитальные
вложения по отрасли «Коммунальное строительство» в соответствии с принятой
Правительством Санкт-Петербурга Адресной инвестиционной программой.
Под расходами на жилищное хозяйство
подразумеваются расходы на следующие виды работ: капитальный ремонт жилищного
фонда; текущий ремонт жилищного фонда (согласно адресной программе);
содержание, ремонт и замену абонентских почтовых шкафов; техническое
обслуживание и ремонт лифтов, расположенных в жилых домах ЖК, ЖСК и ТСЖ;
обустройство детских площадок согласно адресной программе; ремонт лестничных
клеток в соответствии с адресной программой; благоустройство территорий дворов
(замощение, асфальтирование и озеленение).
Под расходами на коммунальное хозяйство
подразумеваются расходы на следующие виды работ: переработка, обезвреживание и
захоронение мусора; текущее содержание уличного освещения; механизированная
уборка дорог; санитарная очистка территории; капитальный ремонт кладбищ;
расходы на содержание и текущий ремонт дорог.
Важнейшей особенностью ЖКК как объекта
управления является его направленность на удовлетворение приоритетных
потребностей населения. Именно поэтому затраты денежных средств на городское
хозяйство превалируют как в бюджете города, так и в бюджете районов. Процент
расходов на ЖКХ в общих расходах бюджета Санкт-Петербурга вырос с 13% в 2005 г.
до 31% в 2008г.
Детализация затрат бюджетных средств на
содержание городского хозяйства показывает, что город затрачивает 2/3
выделенных денег на капитальный ремонт жилого фонда, благоустройство и
городской транспорт. На уровне района все средства идут на капитальный ремонт и
эксплуатацию жилищного фонда, а также на благоустройство.
Избавиться от этой поистине «наркотической»
зависимости от денежных «инъекций» вряд ли удастся организационными мерами,
предусмотренными реформой ЖКХ. Проблема состояния сетей имеет технический
характер и должна решаться, в первую очередь, техническими средствами. И эти
средства надо искать в области новых технологий, обеспечивающих высокую
эффективность финансовых затрат.
На развитии ЖКХ, как в зеркале отражаются как
положительные, так и отрицательные тенденции общеэкономического развития. И,
несмотря на те трудности, которые имеются в ЖКХ Российской Федерации, именно
эта сфера экономики может стать той платформой, на которой должна выстраиваться
антикризисная стратегия развития российской экономики.
Заключение
По итогам исследования обобщены следующие
основные выводы работы:
жилищный фонд образует недвижимое имущество с
установленными правами владения, пользования и распоряжения, а именно:
земельные участки и прочно связанные с ними жилые дома с жилыми и нежилыми
помещениями, хозяйственные приусадебные постройки, зеленые насаждения с
многолетним циклом развития; жилые дома, квартиры, иные жилые помещения в жилых
домах и других строениях, пригодные для постоянного и временного проживания;
сооружения и элементы инженерной инфраструктуры жилищной сферы;
анализ жилищно-коммунальной системы России
позволяет отметить историческую эволюцию применяемых в ней механизмов:
дореволюционный период, характеризовавшийся господством рыночных услуг в данной
сфере и самообслуживанием со стороны жильцов; 1917 - 1937 гг. - появление и
рост доли государственных услуг в системе ЖКХ страны; 1937 - 1990-е гг. -
только государственные услуги в системе ЖКХ; основное финансирование
поставщиков услуг производится из бюджета; потребительская плата практически не
связана с количеством и качеством потребляемых услуг; 1990-е годы - 01.03.2005
г. - подготовка к разгосударствлению; постепенный переход от бюджетного
дотирования поставщиков услуг к гарантиям, предоставляемым потребителям;
попытки введения рыночных отношений; с 01.03.2005 г. - вступление в силу
Жилищного кодекса РФ; появление правовой базы, позволяющей гражданам при
наличии желания полностью перейти к рыночным отношениям в сфере ЖКХ;
дореформенное состояние отечественного
жилищно-коммунального хозяйства характеризовалось следующими чертами:
дотационостью отрасли; неудовлетворительным финансовым положением предприятий
ЖКХ; высокой затратностью, отсутствием экономических стимулов снижения издержек
на производство коммунальных услуг; неразвитостью конкурентной среды в сфере
ЖКХ; высокой степенью износа основных фондов в отрасли; неэффективной работой
предприятий ЖКХ, выражающейся в первую очередь в больших потерях энергии, воды,
других ресурсов;
реформирования отношений собственности в сфере
жилищного хозяйства в нашей стране началось с приватизации жилья и передаче
муниципалитетам государственного и ведомственного жилищного фонда;
сформированный таким образом рынок жилья и созданная на федеральном уровне
правовая база позволили внедрять на и местах ряд механизмов улучшения жилищных
условий граждан;
вступивший в силу с 1 марта 2005 г. новый
Жилищный кодекс Российской Федерации (ЖК РФ), дал правовую базу для полного
перехода отношений в сфере ЖКХ на рыночную основу, а также изменил механизм
финансирования жилищно-коммунальной сферы;
основная причина кризисного состояния ЖКХ
состоит не столько в нехватке финансовых средств, сколько в отсутствии
эффективного руководства отраслью собственниками предприятий ЖКХ - органами
местного самоуправления. В середине 90-х годов в рамках реализации закона об
организации местного самоуправления в большинстве субъектов РФ произошло
перераспределение полномочий в отрасли организации предоставления
жилищно-коммунальных услуг потребителям с передачей ответственности за
предоставление жилищно-коммунальных услуг на уровень органов местного
самоуправления. В результате было образовано значительное количество
предприятий жилищно-коммунального хозяйства государственной формы собственности
на уровне муниципалитетов, существующих вплоть до настоящего времени. Учитывая
ограниченные финансовые ресурсы вследствие хронического недофинансирования из
всех уровней бюджетов данные предприятия фактически «проедали» свои фонды. В
результате постоянного роста задолженности на большинстве предприятий сложилась
негативная финансовая ситуация, в условиях полного износа основных фондов они
не в состоянии обеспечить потребителей качественными коммунальными услугами и
самостоятельно решить проблему совершенствования материально-технической и
производственной базы. Очевидно, что сохранение полномочий по организации
предоставления услуг на уровне муниципальных образований, с последующей
организацией управляющих предприятий ЖКХ государственной формы собственности в
границах муниципальных образований лишь усугубит ситуацию в
жилищно-коммунальном хозяйстве и приведет к еще большему разобщению и
неуправляемости в отрасли. По нашему мнению, в данном случае необходимо
скорейшее реформирование структуры управления данной отраслью с привлечением
предприятий других форм собственности, при условии сохранения муниципальных
предприятий в качестве обслуживающих организаций на конкурсной основе.
Необходимо изменить систему текущего
финансирования предприятий ЖКХ. Основной идеей экономической реформы отрасли
должна стать передача права распоряжения всеми выделяемыми в настоящее время на
дотирование бюджетными ресурсами от коммунальных предприятий непосредственно
гражданам - потребителям, заинтересованным в эффективном расходовании этих
средств. Главными участниками экономических отношений должны стать предприятия
ЖКХ и непосредственные потребители их услуг - население, а бюджетные средства
необходимо полностью переориентировать на предоставление адресной целевой
помощи гражданам, чьи доходы ниже установленного уровня.
Реальное жилищное самоуправление в
Санкт-Петербурге, как и во всей России, находится в начальной стадии развития:
законодательные предпосылки (в виде Жилищного кодекса) созданы, но
организационно-финансовые механизмы производства и доставки жилищных и
коммунальных услуг пока надлежащим образом не заработали.
Действующее федеральное законодательство,
касающееся развития жилищного самоуправления в нашей стране все еще очень
противоречиво; в данной работе мною предлагается изменить положения Жилищного
кодекса РФ, связанные с заключением договора управления между товариществом и
управляющей организацией, установлением размера платежей членов товарищества и
собственников помещений, порядком принятия решений о передаче в пользование
общего имущества в многоквартирном доме, ремонте, реконструкции общего
имущества;
Направления и этапы реформирования
жилищно-коммунального хозяйства Санкт-Петербурга в настоящее время определены
постановлением Правительства Санкт-Петербурга от 23.03.2004 года № 431;
изучение данного документа приводит к выводу о том, что он основан не на
рыночных принципах, а на идее планового городского хозяйства и монополии
государственных предприятий, и в этом смысле являлась гораздо более
консервативной, чем принятая семью годами ранее федеральная.
Список использованной литературы
1. Конституция
Российской Федерации, принята на Всенародном референдуме 12.12.1993 г.
2. Гражданский
кодекс РФ, часть первая от 30.11.1994 г. № 51-ФЗ, часть вторая от 26.01.1996 г.
№ 14-ФЗ.
. Жилищный
кодекс Российской Федерации. Кодекс РФ от 29.12.2004 № 188-ФЗ.
. Кодекс
об административных правонарушениях Российской Федерации от 30.12.2001 г. №
195-ФЗ.
. Налоговый
кодекс РФ, часть первая от 31.07.1998 г. № 146-ФЗ, часть вторая от 05.08.2000
г. № 117-ФЗ.
. Федеральный
закон «О государственной регистрации прав на недвижимое имущество и сделок с
ним» от 21.07.1997 г. № 122-ФЗ.
. Закон
РФ «Об основах федеральной жилищной политики» от 24.12.1992 г. № 4218-1.
. Закон
РФ «О приватизации жилищного фонда в Российской Федерации» от 04.07.1991 № 1541-1.
. Закон
РФ «О приватизации жилищного фонда в Российской Федерации» от 04.07.1991 г. №
1541-1.
. Указ
Президента РФ «О развитии конкуренции при предоставлении услуг по эксплуатации
и ремонту государственного и муниципального жилищных фондов» от 29.03.96 г. №
432.
. Указ
Президента Российской Федерации от 28.04.97 г. № 425 «О реформе
жилищно-коммунального хозяйства в Российской Федерации».
. Постановление
Правительства Санкт-Петербурга «О мерах по проведению реформ в жилищной сфере»
от 11.12.1996 г. № 20.
. Постановление
Правительства Санкт-Петербурга «Об утверждении Концепции реформирования городского
хозяйства Санкт-Петербурга на 2004-2010 годы» от 23.03.2004 г. № 431.
. Белкина
Т.Д. Жилищная реформа в России: проблемы и перспективы. - М.: Вопросы
экономики. - 2005. - 303 с.
. Бирюков
Б.М. Приватизация и деприватизация жилья: Вопросы правового регулирования. -
М.: Ось-89, 2005. - 224 с.
. Витрянский
В. Пути совершенствования законодательства о недвижимом имуществе // Хозяйство
и право. - 2003. - № 6. - С. 3-19.
. Воронин
А.Г., Лапин В.А., Широков А.Н. Основы управления муниципальным хозяйством: Учеб.
пособие. - М.: Дело, 1998. - 127 с.
19. Горбачева
Ж.А. Социальная политика в РФ: проблемы принятия и реализации управленческих
решений за последние десять лет / http://www.ilpp.ru/6359845390.
. Горемыкин
В.А., Бугулов Э.Р. Экономика недвижимости: Учебник. - М.: Крафт леан, 1999. -
586 с.
. Государственное
регулирование экономической деятельности. - М.: Юристъ, 2000. - 358 с.
. Гришаев
С. Понятие и виды недвижимого имущества // Хозяйство и право. - 2006. - № 12. -
С. 102-108.
. Грудницына
Л.Ю. Постатейный комментарий к Жилищному кодексу Российской Федерации / Под
ред. Н.М. Коршунова. - М., 2005. - 384 с.
. Гумбольдт
В. О пределах государственной деятельности. - М.: Социум, 2006. - 241 с.
. Дронов
А.А. О состоянии ЖКХ России и перспективах его формирования // Журнал
руководителя и главного бухгалтера ЖКХ - 2001. № 6. - С. 34-46.
. Егоров
Е.В., Потапова М.В. Экономика жилищного хозяйства России. - М.: ТЕИС, 2007. -
171 с.
. Жилищная
реформа в Российской Федерации: Сб. норматив. документации и комментарии / Сост.
В.В. Павленко, Е.И. Таранцова. - Ростов-на-Дону: Феникс, 2006. - 222 с.
. Жилищная
экономика / Под ред. Г. Поляковского. - М., 1996. - 222 с.
. Жуков
Д.М. Экономика и организация жилищно-коммунального хозяйства города: Учеб.
пособие. - М.: Владос-Пресс, 2006. - 95 с.
. Игнатова
И.В. Стратегические возможности роста предприятия: Учеб. пособие. - Сыктывкар:
СГУ, 2005. - 204 с.
. Казанцева
Н.В. Опыт реструктуризации предприятий ЖКХ. В сб. Новое в экономике и
управлении. Вып. 7. М., МАКС Пресс, 2006.
. Казанцева
Н.В. Особенности реструктуризации предприятий ЖКХ. В сб. Новое в экономике и
управлении. Вып. 7. М., МАКС Пресс, 2006.
. Казанцева
Н.В. Эффективность реструктуризации предприятий жилищно-коммунального хозяйства
// Вестник Московской академии рынка труда и информационных технологий. 2006, №
9 (31).
. Кирсанов
А.Р. Недвижимое имущество: Нормы права и судебные прецеденты. - М.: Ось-89,
2005. - 750 с.
. Комментарий
к Жилищному кодексу РФ / Под ред. О.А. Городова. - М.: Велби, 2007. - 452 с.
. Крашенинников
П.В. Жилищное право. - М.: Статут, 2006. - 237 с.
. Кругликов
А.А. Государственная политика в сфере жилищно-коммунального хозяйства // Журнал
руководителя и главного бухгалтера ЖКХ - 2000. - №7. - С. 14-17.
. Лукманов
Ю. Работать для людей // Строительство и городское хозяйство в Санкт-Петербурге
и Ленинградской области. - 2007. - № 91 (февраль). - С. 12-17.
. Максимова
Н.С. Реформа жилищно-коммунальной сферы - важный резерв укрепления финансов
России // Журнал руководителя и главного бухгалтера ЖКХ -2001. - №5. - С. 7-11.
. Маркова
М.В. Деятельность предприятий ЖКХ как объект бухгалтерского учета и
налогообложения//Актуальные проблемы совершенствования методологии и
организации бухгалтерского учета и экономического анализа. Материалы
научно-практической конференции, проведенной ВЗФЭИ 21 января 2005 г. М.: ВЗФЭИ.
- 2005.
. Носова
С.С. Экономическая теория: Учебник. - М.: Владос, 2005. - 451 с.
. Ошурков
А.Т., Овчинников В.А., Сергиенко А.М., Музыченко А.С. Альтернативные модели
финансирования жилищной сферы (в свете нового Жилищного кодекса РФ) // Правовой
научно-практический журнал «Кодекс info». - 2005. Май-июнь. - С. 99 -107.
. Ошурков
А.Т., Сергиенко A.M. Экономические и правовые аспекты производства общественных
благ на муниципальном уровне // Национальная экономика в условиях глобализации:
государство и бизнес / Под общ. ред. А.Я. Линькова. - СПб.: РГПУ им.А. И.
Герцена, 2004. - С. 381-386.
. Путин
В.В. Выступление Президента Российской Федерации на совещании по вопросам
развития жилищно-коммунального хозяйства 16.02.2001 г. в г. Томске // Журнал
руководителя и главного бухгалтера ЖКХ - 2001. - специальный выпуск. - С. 5.
. Экономическая
теория: Учебник / Под ред. И.П. Николаевой. - М.: Велби, 2006. - 684 с.
. Эрделевский
А. О защите права собственности на недвижимое имущество // Хозяйство и право. -
2007. - № 2. - С. 92-96.
. Якобсон
Л.И. Экономика общественного сектора: Основы теории государственных финансов:
Учебник - М.: Аспект пресс, 2006. - 319 с.
. Официальный
сайт Совета при Президенте РФ по реализации приоритетных национальных проектов
и демографии // www.rost.ru <http://www.rost.ru>.
. Официальный
сайт Федеральной службы государственной статистики РФ // www.gks.ru
<http://www.gks.ru>.
. Официальный
сайт Федерального агентства по строительству и жилищно-коммунальному хозяйству
// <http://www.gosstroy.gov.ru>.