|
Варіант
|
ж
|
nmx
|
nmy
|
н
|
ц(0)
|
|
29
|
0
|
0
|
0
|
0
|
0
|
10
|
10
|
10
|
10
|
10
|
2
|
4
|
6
|
8
|
10
|
0,8
|
0,8
|
0,8
|
0,8
|
0,8
|
1
|
|
|
|
|
|
|
|
|
|
|
|
|
|
|
|
|
|
|
|
|
|
|
1. Теоретична частина
.1 Роль імітаційного
моделювання в дослідженні складних технічних
систем
Імітаційне моделювання - це метод
дослідження, при якому система, що
вивчається, замінюється моделлю з достатньою точністю, що описує реальну
систему, і з нею проводяться експерименти з метою отримання інформації про цю
систему.
У широкому розумінні імітаційне
моделювання - це процес конструювання моделі реальної системи та
експериментування на цій моделі з метою визначення поводження системи або
оцінити (в рамках обмежень, зумовлених деяким критерієм чи сукупністю
критеріїв) різні стратегії, що забезпечують функціонування цієї системи. А у
вузькому розумінні імітаційне моделювання - це відтворення на ЕОМ реальної
системи. За такого тлумачення термін «імітаційне моделювання» має той самий
сенс, що й «машинна імітація» або «машинне моделювання».
Слід також звернути увагу на
особливість застосування методу імітаційного моделювання. Щоб застосувати такий
метод для досліджень, створюють імітаційну систему, яка містить у собі
імітаційну модель, а також внутрішнє і зовнішнє математичне забезпечення. До
ЕОМ вводять потрібні вхідні дані і спостерігають зміни показників, які у
процесі моделювання можуть аналізуватися й піддаватися статистичній обробці.
До імітаційного моделювання
вдаються, коли:
• дорого
або неможливо експериментувати на реальному об'єкті;
• неможливо
побудувати аналітичну модель, оскільки в системі є час, причинні зв'язки,
наслідки, нелінійності, стохастичні (випадкові) змінні;
Імітаційне моделювання дозволяє
імітувати поведінку системи в часі. Причому плюсом є те, що часом в моделі
можна управляти : уповільнювати у випадку зі швидкоплинними процесами і
прискорювати для моделювання систем з повільною мінливістю. Можна імітувати поведінку
тих об'єктів, реальні експерименти з якими дорогі, неможливі або небезпечні.
Послідовність складання імітаційної
моделі передбачає такі кроки:
• визначення
задачі та її аналіз;
• визначення
вимог до інформації;
• збирання
інформації;
• висування
гіпотез і прийняття припущень;
• встановлення
основного змісту моделі;
• визначення
параметрів, змінних і критеріїв ефективності;
• опис
концептуальної моделі й перевірка її вірогідності;
• побудова
логічної структурної схеми (блок-схеми).
Модель являє собою подання об'єкта
або системи у виді, відмінному від її реального існування. Взагалі моделі
можуть розглядатись як засіб аналізу дійсності, засіб передачі інформації,
засіб навчання, засіб прогнозування та засіб проведення експериментальних
досліджень.
В імітаційному моделюванні модель
являє собою засіб проведення експериментальних досліджень, тому дуже важливо,
щоб вона була зручною у використанні. Імітаційна модель повинна задовольняти
таким вимогам:
бути простою та зрозумілою для
дослідника;
- допускати
можливість внесення доповнень та змінювань;
- бути
пристосованою до модифікації та роботи з іншими даними.
Математична структура імітаційної
моделі може бути дуже складною, але
в загальному випадку її можна подати
у вигляді:
Е = f ( x, у
)
де Е - результат дії реальної
системи, х - змінні та параметри, якими можна управляти, у - змінні та
параметри, якими управляти не можна.
В імітаційному моделюванні вхідні
змінні називають факторами, а вихідні змінні - відгуками. Значення, які може
приймати фактор, називаються його рівнями.
Фактично імітаційне моделювання
являє собою метод проведення експериментальних досліджень з метою отримання
інформації про майбутню роботу досліджуваної системи. Експеримент являє собою
процес спостерігання і аналізу, який дозволяє отримувати необхідну для
прийняття рішень інформацію.
В експериментальних дослідженнях
можна виділити два типи задач:
1) визначення
параметрів, які оптимізують змінну відгуку;
2) аналіз співвідношень між змінними
відгуку і контрольованими факторами.
Для розв’язання цих задач необхідно
розроблювати план експерименту. При цьому мають на увазі такі цілі:
-
визначення структури самого дослідження;
- зменшення
числа необхідних перевірок і відповідно затрат. Відповідно до цих задач
виділяють стратегічне та тактичне планування.
Стратегічне планування - це
планування експерименту взагалі з метою отримання необхідної інформації. При
плануванні експерименту виділяють такі етапи:
1) вибір
відгуків, які мають найбільше значення для дослідження системи;
2) визначення
факторів, що найбільш впливають на обрані відгуки;
3) класифікацію
факторів, оскільки вони можуть бути постійними і змінними, такими, що
підлягають управлінню і навпаки;
4) визначення
рівнів, тобто значень, на які потрібно встановлювати кожний фактор, у найпростішому
випадку - максимального та мінімального значень.
Експеримент, у якому всі рівні
заданого фактора комбінуються із усіма рівнями інших факторів, називається
факторним експериментом.
Якщо кількість рівнів для всіх
факторів однакова, то експеримент називається симетричним. Дослідження за
допомогою таких експериментів називається факторним аналізом. Слід зауважити,
що факторний аналіз дозволяє отримати необхідну інформацію з високою точністю.
До переваг факторного аналізу відносяться:
-
максимальна ефективність оцінки взаємовпливу параметрів системи;
- правильна
інтерпретація взаємодії між факторами;
- справедливість
отриманих результатів для широкого діапазону умов, оскільки вплив факторів
оцінюється при декількох рівнях інших факторів.
Але експериментальні дослідження на
основі факторного аналізу потребують багато машинного часу, тому на практиці
зазвичай, використовується неповний факторний аналіз. Цей метод дозволяє
побудувати серію коротких експериментів для виявлення найбільш суттєвий
факторів, і після цього сконцентрувати на них свою увагу.
У багатьох випадках метою
імітаційного моделювання є визначення оптимальних значень параметрів. Для
розв'язання цієї задачі використовується метод побудування поверхні відгуку.
Рівняння поверхні відгуку можна подати у вигляді:
у=f(х1,
...
хn)
де n
- число факторів.
Поверхня відгуку, яка зображує
залежність відгуку у від двох незалежних змінних х1,
х2
у прямокутній системі координат, подана на рис. 1.
Рис. 1. Поверхня відгуку
За умови наявності математичного
опису функції відгуку знаходження оптимальної точки здійснюється аналітичними
методами. В інших випадках використовують чисельні методи.
Тактичне планування пов'язане з
питаннями визначення способів проведення випробувань та їхньої ефективності у
відповідності із обраним планом експерименту. Зазвичай, тактичне планування
пов’язують із розв'язанням задач двох типів. Перша задача пов’язана п
визначенням початкових умов та їхнього впливу на досягнення усталеного режиму.
Вона зумовлена штучним характером функціонування моделі. На відміну від
реальної системи імітаційна модель працює, епізодично. Тобто дослідник
«запускає» програму, робить необхідні спостереження і «зупиняє» її до запуску
або так званого прогону. Тому початковий період роботи імітаційної моделі, може
спотворюватися неадекватність початкових умов відносно до роботи системи в
реальних умовах. Друга задача тактичного планування пов'язана із досягненням
необхідної точності отриманих результатів. При імітаційному моделюванні мають
справу із випадковими величинами. Тому досягнення необхідної точності
результатів експерименту пов'язано із питаннями визначення необхідних розмірів
вибірок та числа повторень експерименту. Зрозуміло, що використання значних за
обсягами вибірок розв'язує усі вищезгадані проблеми, але за цієї умови
імітаційне моделювання, а також аналіз отриманих результатів потребують багато
часу. Отже, необхідно зменшувати обсяги вибірок, але за умови зберігання
потрібної точності результатів.
Розміри вибірок визначаються за
одним із двох шляхів:
1) апріорно,
тобто незалежно від роботи моделі;
2) у процесі
імітаційного моделювання на підставі отриманих результатів.
Велике значення для визначення
обсягу вибірки має наявність автокореляції, тобто залежності попередніх і
наступних вибіркових значень. Очевидно, що вибірка з автокореляцією містять
менш інформації, ніж вибірка із незалежних даних.
Існує два підходи до роботи з
автокореляційними даними. При першому підході вибіркові значення розбивають на
групи і кожну групу даних вважають незалежним спостереженнями. При другому
підході оцінюють автокореляційну функцію і використовують її при визначенні
оцінок параметрів.
На початку експериментальних
досліджень здійснюють прогони імітаційної моделі усувають можливі недоліки у
розробленому плані експерименту.
Далі здійснюється експериментування
залежно від поставленої задачі. Одним з найбільш важливих питань
експериментальних досліджень за допомогою імітаційних моделей є аналіз
чутливості результатів моделювання до змінювання параметрів моделі.
Обов’язковим етапом імітаційного
моделювання є розроблення документації. Ретельне та повне документування
дозволяє:
) забезпечити успішне використання
імітаційної моделі;
2) збільшити
терміни використання моделі:
3) у
разі необхідності здійснити модифікацію моделі;
4) забезпечити
можливість використання моделі навіть у тому випадку, коли організації, що
здійснили її розробку, перестають існувати.
Основним методом імітаційного
моделювання систем є метод
Монте-Карло.
При використанні цього методу дані для експерименту знаходяться за допомогою
генератора випадкових чисел та закону розподілу ймовірностей досліджуваного
процесу. Цей метод складається з послідовності таких дій:
) На підставі даних, що
характеризують досліджуваний процес, будується інтегральна функція розподілу.
Значення випадкової змінної встановлюються за віссю абсцис, а статистичної
імовірності - за віссю ординат;
2) За
допомогою генератора випадкових чисел обирають випадкове число в діапазоні від
нуля до одиниці;
3) Проводять
горизонтальну пряму від точки на осі ординат, яка відповідає обраному
випадковому числу, до перетинання із кривою розподілу імовірності;
4) Опускають
із цієї точки перпендикуляр на вісь абсцис;
5) Приймають
отримане значення за вибіркове;
6) Повторюють
пункти 2... 5 для необхідної кількості всіх випадкових змінних.
У багатьох випадках при
експериментальних дослідженнях за допомогою імітаційних моделей має місце
функціональний зв'язок між змінними. Для отримання цих характеристик
використовують методи регресійного і кореляційного аналізу.
Регресійний метод забезпечує
найкраще збігання теоретичних та експериментальних даних за критерієм найменших
квадратів.
Кореляційний аналіз дозволяє оцінити
ступінь відповідності кривої, обраної в процесі регресійного аналізу і
експериментальних даних. На першому етапі регресійного аналізу отримують
вибірку взаємопов'язаних значень, наприклад для випадку двох змінних - вибірку
значень х1,х2...хn
і у1,у2... уn,
об'ємом N. На другому етапі отримані пари точок (х1 у1),
( х2, y2)…(хn
, уn)
наносять на графік в прямокутній системі координат. Цей графік має назву
діаграми розкидання. У деяких випадках вже за цією діаграмою можна візуальним
шляхом знайти криву, якою можна апроксимувати функціональну залежність.
Задача визначення для апроксимуючих
кривих рівнянь, які дозволяють найліпшим чином відтворити сукупність
експериментальних точок, називається задачею підгонки кривих за пічками.
Математичний метод, при якому експериментальні точки найкращим чином
відповідають рівнянню обраної кривої у сенсі критерію найменших квадратів,
називається регресійним методом.
Отже, розглянуті методи дозволяють
підготувати дані до імітаційного моделювання. Якщо експериментальні дані
відсутні, то для визначення характеристик імітаційної моделі використовують
методи експертних оцінок.
1)
вивчення досліджуваної системи;
2)
постановка задачі моделювання;
3)
складання концептуальної моделі, тобто перехід від реальної системи до логічної
схеми її функціонування;
4)
створення імітаційної моделі;
5)
програмування імітаційної моделі;
6)
Відпрацювання імітаційної
моделі;
7)
перевірка моделі та оцінка її властивостей;
8)
планування експериментів на ЕОМ;
9)
інтерпретація результатів;
10) використання
результатів під час проектування системи.
Основні етапи імітаційного
моделювання представлені на рис.2.
Рис.2. Етапи імітаційного
моделювання
На початкових етапах імітаційного
моделювання здійснюються вивчення і аналіз досліджуваної системи.
Постановка задачі імітаційного
моделювання являє собою складний ітеративний процес. Для її уточнення може
застосовуватися інформація, отримана у процесі подальшого імітаційного
моделювання. На цьому етапі визначаються характеристики системи, встановлюються
цілі задачі, граничні умови моделювання. У деяких випадках після детального
аналізу досліджуваної системи й переваги і недоліки стають настільки
очевидними, що необхідність у створенні імітаційної моделі може відпасти.
Моделювання технічних систем являє собою складну задачу, тому її доцільно
розкласти на низку окремих підзадач. На цьому етапі розглядаються деякі
організаційні аспекти, наприклад, встановлення пріоритетів розв’язання окремих
підзадач, визначення вимог до обчислювальних ресурсів, терміни виконання робіт.
На етапі складання концептуальної
моделі або переходу від реальної системи до логічної схеми її функціонування
проводиться ретельний аналіз задачі моделювання. Залежно від задачі моделювання
здійснюється спрощення реальних процесів, що відбуваються у системі. На цьому
етапі виконуються такі роботи:
• вибір
основних параметрів та змінних системи;
• визначення
критеріїв ефективності функціонування досліджуваної
системи;
• визначення
математичних рівнянь, які мають описувати реальні процеси, що відбуваються у
системі, аналітичним шляхом, або за допомогою регресійного аналізу емпіричних
даних.
Далі визначають функціональну
залежність критеріїв ефективності системи від її параметрів. Це дає можливість
будувати поверхні відгуку в області змінювання параметрів та ефективно
досліджувати систему.
Наступним етапом є створення моделі.
При складанні алгоритму моделі використовується модульний принцип. Основні
правила складання алгоритму полягають у детальному описуванні усіх модулів та
чіткій логіці схеми алгоритму.
При складанні алгоритму моделі
важливо враховувати синхронізацію процесів системи, тобто передбачати обробку у
часі тих процесів, які у реальній системі відбуваються одночасно. На цьому
етапі визначається детальна структура та параметри моделі. При складанні моделі
для кожного параметра визначаються ідентифікатор, одиниця вимірювання, діапазон
змінювання та деякі характеристики, наприклад, однозначний та багатозначний,
регульований або нерегульований.
На етапі створення моделі, з однієї
сторони, слід уникати значних спрощень, а з другої - надмірної деталізації.
Правильний підхід до побудування імітаційної моделі означає її орієнтацію на
розв’язання проблем проектування, а не на детальну імітацію реальної системи.
Ретельний аналіз системи, без якого неможливе визначення вимог до моделі, дає
змогу чітко визначити необхідність імітаційного моделювання. На цьому ж етапі
виконується:
1) аналіз
можливих
методів перевірки правильності функціонування моделі;
2) аналіз
можливих
методів перевірки програмної реалізації моделі системи;
3) складання
вимог
до моделі;
4) аналіз
можливих
методів обробки та аналізу результатів і способів їх подання.
Етапи програмування та відпрацювання
моделей складних є найбільш трудомісткими і потребують відповідних
обчислювальних засобів. Перш за все, треба виходити з наявних засобів
побудування та випробувань моделі. Спочатку виконується автономне відпрацювання
окремих модулів моделі. Важливим моментом є перевірка відповідності програмної
моделі логічному алгоритму. Після цього можна переходити до комплексного
відпрацювання моделі з використанням автономних та комплексних тестів.
На наступному етапі імітаційного
моделювання виконується перевірка моделі, яка має дати відповідь на питання, чи
можна використовувати розроблену імітаційну модель.
Існує декілька видів оцінки
правильності імітаційної моделі:
1) верифікація
імітаційної
моделі, коли модель перевіряють на відповідність постановці задачі;
2) оцінка
адекватності, коли перевіряється відповідність імітаційної моделі реальній
системі;
3) проблемний
аналіз, коли оцінюється можливість застосування результатів імітаційного
моделювання для прийняття на їхній основі проектних рішень.
Після перевірки необхідно виконати
коректування моделі за результатами порівняння контрольних даних та випробувань
моделі. У разі наявності помилок
в організації взаємодії процесів необхідно повернутись до етапу
комплексного
відпрацювання програмної реалізації моделі. Похибки функціонування окремих
складових моделі потребують повернення до етапу програмування.
Якщо є похибки синхронізації
процесів, то необхідно повернутись до етапу створення математичного описування
системи та уточнити його на підставі результатів випробувань моделі.
Під час створення технічної документації
на момент закінчення комплексного відпрацювання та перевірки моделі мають бути
розроблені блок-схема алгоритму, моделі, тексти програм та їхній опис,
включаючи характеристику вхідних та вихідних величин із відповідними
поясненнями (розмірності, масштаби, діапазони змінювань, позначення) інструкція
по роботі з моделлю, результати перевірки моделі.
Наступним етапом імітаційного
моделювання є планування експериментів, які мають забезпечувати отримання
максимальної інформації при мінімальних витратах. У процесі планування
експериментів необхідно прагнути забезпечити:
1) мінімальну
кількість
випробувань;
2) можливість
змінювання
найбільш важливих для системи змінних;
3)
чітку стратегію, яка має забезпечити прийняття обґрунтованих рішень після
кожної серії експериментів.
Експерименти, виконані в процесі
імітаційного моделювання, дозволяють отримати:
1) оцінки
відповідності проектованої системи
заданим технічним вимогам;
2) прогноз
поведінки проектованої системи за різних початкових умов і значень параметра;
3) оцінку
чутливості системи до змінювання параметра;
4) оцінку
оптимальних значень параметрів з точки зору виконання надаваних до системи
вимог;
5) функціональні
співвідношення між вхідними та вихідними параметрами системи.
Заключним етапом імітаційного
моделювання с проведення робочих розрахунків з допомогою моделі. Цей процес є
надзвичайно трудомістким. Дослідник має вміти інтерпретувати результати
моделювання. Для успішного виконання цього етапу необхідно вже на ранніх етапах
створення імітаційної моделі ретельно визначати склад та обсяг необхідних
результатів моделювання.
У результаті імітаційного
моделювання отримують рекомендації щодо проектування системи. На підставі
отриманих рекомендацій дослідник переходить до прийняття проектних рішень. У
деяких випадках може знадобитись додаткова інформація про функціонування
реальної системи, тобто прототипу моделі. У разі необхідності дослідник
складає: план проведення натурного експерименту, повторює сам експеримент на
реальній системі, або її макеті, потім планує новий машинний експеримент і
повторно аналізує результати моделювання.
Перевага над іншими видами
моделювання
Застосування імітаційних моделей дає
безліч переваг в порівнянні з виконанням експериментів над реальною системою і
використанням інших методів.
Вартість. Побудова мережі вимагає
значних витрат, моделювання ж включає тільки вартість відповідного програмного
пакету
Час. У реальності оцінка
ефективності, наприклад, нової мережі займе роки, а якщо врахувати швидкість
розвитку телекомунікаційних систем, то спочатку потрібно передбачити можливість
зміни і оптимізації. Імітаційна модель дозволяє визначити оптимальність змін за
лічені хвилини, необхідні для проведення експерименту.
Повторюваність. Сучасне життя
вимагає від підприємств і операторів зв’язку швидкої реакції на розвиток
технологій. За допомогою імітаційної моделі можна провести необмежену кількість
експериментів з різними параметрами, щоб визначити найкращий варіант.
Точність. Традиційні розрахункові
математичні методи вимагають застосування високої міри абстракції і не
враховують важливі деталі. Імітаційне моделювання дозволяє описати структуру
системи і її процеси в природному виді,
не удаючись до використання формул і строгих математичних залежностей.
Наочність. Імітаційна модель має можливості
візуалізації процесу роботи системи в часі, схематичного завдання її структури
і видачі результатів в графічному виді. Це дозволяє наочно представити отримане
рішення і донести закладені в нього ідеї до клієнта і колег.
Універсальність. Імітаційне
моделювання дозволяє вирішувати завдання з будь-яких, областей. В кожному
випадку модель імітує, відтворює, реальне життя і дозволяє проводити широкий
набір експериментів без впливу на реальні об'єкти.
Отже, імітаційне моделювання являє
собою імітацію процесу функціонування системи і, зазвичай, реалізується
засобами обчислювальної техніки. У процесі імітаційного моделювання
здійснюється:
1) створення
моделі системи;
2) постановка
експериментів на цій моделі:
3) аналіз
результатів моделювання;
4) використання
отриманих результатів при проектуванні системи.
2. Практична частина
імітаційний моделювання маятник
фізичний
2.1 Постановка завдання
Завдання - створення програми, яка
дозволяє моделювати рух фізичного маятника з вібруючою точкою підвісу шляхом
чисельного інтегрування диференційного рівняння його руху.
Диференційне рівняння руху маятника:
J
+R
+mgl[(1+nmysin(wt+ еy)]sin ц=-mglnmxsin(wt+ еx)cos ц,
де:
J-
момент інерції маятника;
R-
коефіцієнт демпфіруваня; mgl- опорний
момент;
птх- амплітуда
руху точки підвісу у горизонтальному напрямку;
ц -
кут відхилення маятника від вертикалі; щ - частота коливань руху точки підвісу;
еx , еy -
початкові фази коливань точки підвісу у горизонтальному та вертикальному
напрямках.
Потрібно створити програму, яка
дозволяла б обчислювати закон зміни кута відхилення маятника від вертикалі у
часі за довільних значень (які встановлюються користувачем) усіх вищевказаних
параметрів маятника і поступального руху основи, а також за довільних початкових
умов. Обчислювання здійснюється шляхом чисельного інтегрування за допомогою
стандартної процедури оdе45.
Перетворення рівнянь:
Спочатку, для підготовки
диференційних рівнянь до чисельного інтегрування, необхідно привести ці
рівняння до нормальної форми Коші. Бажано подати також їх у безрозмірному
вигляді.
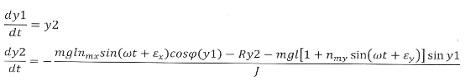
Спочатку введемо позначення: y1
= ц; у2
Тоді початкове рівняння маятника
можна подати у вигляді двох диференційних рівнянь 1-го порядку:
Порівнюючи одержану систему з
загальною формою рівнянь Коші, можна зробити висновок, що
Саме обчислення цих двох функцій і
повинно відбуватися у процедурі правих частин.
Вихідною змінною у ній буде параметр
z=[z1
z2]
Вхідними - момент часу
t та вектор-рядок
у=[у1 у2]
Винесемо обчислення моментів
зовнішніх дій у окрему обчислювану процедуру для того щоб зробити процедуру
правих частин більш загальною, а також для більшої зручності, оскільки дозволяє
скоротити кількість параметрів.
Згрупуємо разом обчислювання
зовнішніх моментів сил, окрім моменту сил тяжіння. Для цього спочатку дещо
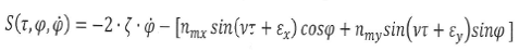
перетворимо початкове рівняння, записуючи його у вигляді:
де крапка - позначення похідної за
безрозмірним часом ф=щ0⋅t
а через S(ф,ц,
) позначено
деяку задану функцію безрозмірного часу, кута повороту маятника та його
безрозмірної швидкості
У нашому випадку ця функція
набуває вигляду:
причому безрозмірні величини ж і н
визначаються виразами:
ж=
та н=
2.2 Схема
алгоритму програми моделювання руху маятникового датчика кута у загальному
вигляді
Лістинг програми
%FizMayatnik=menu('Що далі
робити?','Закінчити роботуJ','Продовжити
роботуL');k==1,
while k==1
k=menu('Що далі робити?','Закінчити
роботуJ','Продовжити роботуL');
endglobal
%zastav='Курсач.m';='Al1n04ka';=[0 0
0 0 0 0]='MomFm1';KM1 MPFUN=2*pi*5;=pi/180;=0.8;
%Діалогова зміна даних=1k<10
disp('')
disp('Зараз встановлено')
disp([sprintf('Початковий
кут,град=%g',...
fi0*180/pi),...
sprintf('початкова
швидкість=%g',fit0)]),...
disp(sprintf('Число періодів=%g',tfinal/2/pi))
KM1
k=menu('Що змінювати?',...)
sprintf('Відносний
коеф.затухання=%g',KM1(1)),...
sprintf('Перезавантаження
вертикаль=%g',KM1(2)),...
sprintf('Перезавантаження-горизонталь=%g',KM1(3)),...
sprintf('Відносна
частота=%g',KM1(4)),...
sprintf('fфаза-вертикаль=%g',KM1(5)),...
sprintf('фаза-горизонталь=%g',KM1(6)),...
sprintf('Початковий
кут,град=%g',fi0*180/pi),...
sprintf('Початкова
швидкість=%g',fit0),...
sprintf('кіл.періодів=%g',tfinal/2/pi),...
'Нічого не змінювати.');
disp('')
if k<7,
KM1(k)=input(['сейчас
KM1',num2str(k),sprintf('=%g',KM1(k)),...
'Введіть нове значення=']);
%fi0=fi0*180/pi),...
%j 'Введіть нове значення=');
elseif k==8,
fit0=input([sprintf('Зараз fit0=%g',fit0),'Нове значення=']);
elseif k==9,
tfinal=input([sprintf('Зараз кількість періодів=%g',tfinal/2/pi),'Нове
значення=']);
tfinal=tfinal*2*pi;
end
%fizmatglav
%1, Підготовка початкових
умов=0;=tfinal;=[fi0 fit0];=odeset('RelTol',1e-8,'AbsTol',[1e-10]);
%2.Організація циклу інтегрування
[t,y]=ode45('iks1',[0 tf], y0, options);
%3. Вивід
графіків(2,1,2);(t/2/pi,y(:,1)*180/pi),grid;('Відхилення від
вертикалі','FontSize',16);('Час в періодах малих власних
коливань','Fontsize',14);('Кут в
градусах','FontSize',14);(2,4,1:2);(y(:,1)*180/pi,y(:,2)),grid on;('Фазова
траєкторія','FontSize',16);('Кут в
градусах','FontSize',14);('Швидкість','FontSize',14);(2,4,3:4);('off');=text(0,1.1,'Моделювання
руху фізичного маятника','FontSize',16,'FontWeight','Bold')=text(0.15,1,'з
рівняння','FontSize',14);=text(0,0.9,'fi"+2*dz*fi`+[1+nmy*sin(nu*t+ey)]*sin(fi)=','FontSize',16);=text(0.375,0.8,'=-nmx*sin(nu*t+ex)*cos(fi)','FontSize',16);=text(0,0.7,'з
таких значень
параметрів:','FontSize',14);=text(0.4,0.1,sprintf('dz=%g',KM1(1)),'FontSize',14);=text(0,0.5,sprintf('nmy=%g',KM1(2)),'FontSize',14);=text(0.7,0.5,sprintf('nmx=%g',KM1(3)),'FontSize',14);=text(0,0.4,sprintf('ey=%g',KM1(5)),'FontSize',14);=text(0.7,0.4,sprintf('ex=%g',KM1(6)),'FontSize',14);=text(0.45,0.3,sprintf('nu=%g',fit0),'FontSize',14);=text(0,0.2,'з
початкових умов KM1(6)','FontSize',14);=text(0,0.1,[sprintf('fi(0)=%g',fi0*180/pi),'градусів'],'FontSize',14);=text(0.7,0.1,sprintf('fi''(0)=%g',KM1(4)),'FontSize',14);z=iks1(t,y)MPFUN(1)=y(2)(2)=-sin(y(1))+feval(MPFUN,t,y);z=z'm=MomFm1(t,y)KM1=-2*KM1(1)*y(2)-KM1(3)*sin(KM1(4)*t+KM1(6))...
*cos(y(1))-KM1(2)*sin(KM1(4)*t+KM1(5))*sin(y(1))
В результаті виконання програми
отримуємо наступні графіки
Графік №1:
Графік №2:
Графік №3:
Графік №4
Графік №5:
Висновок
При виконанні курсового проекту я
змоделював систему, яка імітує рух маятникового датчика. В результаті проведених
дослідів, а саме при зміні параметра nmy
- амплітуди руху точки підвісу у вертикальному напрямку, можна зробити
висновок, що при частоті 0,8 та амплітуді горизонтального підвісу 10 рух
маятника має дуже великий кут відхилення від вертикалі. При збільшенні величини
nmy
кут відхилення маятника від вертикалі
переміщується з лівої півплощини в праву на фазовій площині, але амплітуда все
ще висока. При рівності nmy=
nmх=10,
амплітуда трохи зменшується, але все ще залишається високою.
Використана література
імітаційний моделювання маятник
фізичний
1. Азарсков В.М., Сущенко О.А.
Експериментальні випробування та дослідження
систем:Підручник.-К.:НАУ,2003.-268с.
2. Афанасьєва О.В., Голик
Е.С., Первухін Д.А. Теорія і практика моделювання складних систем: Навч. Посібник.
СПб: СЗТУ, 2005. - 131с.
. Лазарев Ю.В.
Програмування в середовищі Matlab
5.
X
. Тищенко Н.М. Введення
в Matlab6.
- М.:КУДИЦ-ОБРАЗ, 2002 - 352с.
. http://www.exponenta.ru/soft/matlab/potemkin/book2/chapter8/ode23.asp