Бета-каротин: принцип застосування, культивування мікроорганізмів, аналіз становища і перспектив у виробництві

  • Вид работы:
    Дипломная (ВКР)
  • Предмет:
    Биология
  • Язык:
    Украинский
    ,
    Формат файла:
    MS Word
    1,03 Мб
  • Опубликовано:
    2013-06-19
Вы можете узнать стоимость помощи в написании студенческой работы.
Помощь в написании работы, которую точно примут!

Бета-каротин: принцип застосування, культивування мікроорганізмів, аналіз становища і перспектив у виробництві

РЕФЕРАТ

Огляд літератури дипломного проекту узагальнює наявну на теперішній день інформацію про β-каротин, принцип його застосування, культивування мікроорганізмів, приводить аналіз становища і перспектив у виробництві β-каротину.

Технологічна частина дипломного проекту містить опис приготування живильного середовища, вирощування мікробної культури в реакторах для виробництва β-каротину, що проектується. Матеріальні розрахунки представлені матеріальним балансом виробництва, що проектується і виконаним на його основі розрахунком і вибором основного технологічного устаткування.

Виконано техніко-економічний розрахунок проекту виробництва по отриманню β-каротину, розглянуті питання автоматичного контролю і керування новим виробництвом. Наведені рекомендації з охорони праці на підприємстві.

ВСТУП

Останнім часом приділяється велика увага каротиноїдам і їх канцеропротекторним властивостям, в особливості β-каротину, та перспектив його використання в боротьбі з різними захворюваннями. Каротиноїди у вигляді концентрату застосовують як для збагачення, так і для забарвлення харчових продуктів.

Каротиноїди є найбільш розповсюдженою, багаточисельною та важливою групою природних пігментів у рослинному та тваринному царствах. З більш ніж 600 відомих на сьогодні каротиноїдів лише біля 50 з них відносяться до провітаміну А. Активність вітаміну А мають ті каротиноїди, до складу молекул яких входить кільце β-іонона (3,4-дегідроіонона), зв’язане з аліфатичним ланцюгом, який містить систему супряжених подвійних зв’язків. Серед каротиноїдів найбільшу біологічну активність має β-каротин, який має два β-іонових кільця, а особливо його транс-ізомер. Вважається, що крім найбільш вивченої функції як провітаміну А, каротиноїди самі по собі виконують захисні функції при дії вільних радикалів та ліпідних пероксидів, які руйнують клітинні мембрани, а також виконують роль неспецифічних активаторів імунної відповіді в організмі. Існує багато даних про участь каротиноїдів у клітинній диференціації, процесах росту. На сьогодні відомо про ендогенну та екзогенну антиоксидантну властивість каротиноїдів. В цій якості каротиноїди здатні знижувати не тільки пошкодження, індуковане різними зовнішніми генотоксинами, але й можуть бути засобами хіміопрофілактики розвитку пухлин.

Основною сировиною для одержання каротину є морква, гарбуз, обліпиха, люцерна, але сучасні успіхи біотехнології дозволяють в значній мірі вирішувати проблеми виробництва каротину з інших джерел. Такими джерелами можуть бути одноклітинні водорості, бактерії, міцеліальні гриби.

Каротиноїди містяться у багатьох мукорових грибах, для деяких видів яких характерен надсинтез і вони використовуються для промислового одержання каротину. Для мікробіологічного одержання каротину особливий інтерес мають гетероталічні гриби порядку Mucorales: Phycomyces blakesleanus і Blacheslea trispora та зелена одноклітинна мікроскопічна водорість Dunaliella salina.

Каротиноїди промислового біотехнологічного препарата з Blacheslea trispora представлені на 90 % β-каротином і на 10 % - α-, γ-каротинами та лікопіном.

До теперішнього часу каротин, одержаний при культивуванні Blakeslea trispora, використовувався як харчовий продукт для забарвлення масла, маргарину, сиру, морозива і в невеликій кількості як вітамінний додаток в продуктах харчування. Крім того у сільському господарстві використовують біомасу, що містить натуральні каротиноїди, як добавку до раціону годування тварин та птахів. Продукти з каротином мають невеликий термін зберігання внаслідок швидкого окислення каротину під впливом світла та тепла із зміною основних фізико-хімічних показників та утратою біологічних властивостей. Вирішення проблеми захисту каротину біотехнологічного походження на олійних основах та біомаси, що містить натуральні каротиноїди від деструктивного руйнування внаслідок окислення відкриває широкі можливості для розробки нових фармацевтичних, харчових та інших продуктів з каротином.

Розширення сфер застосування натуральних каротиноїдів та збільшення асортименту вже існуючої продукції, що містить β-каротин вимагає збільшення та вдосконалення промислового виробництва мікробіологічного каротину з біомаси зеленої одноклітинної водорості Dunaliella salina в Україні.

1. ЗАГАЛЬНА ЧАСТИНА

.1 Огляд літератури

.1.1 Історія дослідження β-каротину

Вперше каротин було виділено з жовтого ріпаку та моркви німецьким вченим Генріхом Вакенродером у 1831 році. У 1837 році, шведський хімік Ійонс Берцеліус шляхом екстрагування спиртом виділив з осіннього листя рослин речовину жовтого кольору, яку назвав ксантофілом. Пізніше у 1847 році дацький хімік-органик Вільям Цейзе зробив опис пігменту моркви, та запропонував для нього емпіричну формулу С5Н8.

У збірках робіт 1885-1889рр. французький вчений А. Арно висловив припущення про те, що жовті пігменти, що містяться у листях зелених рослин (ксантофіл Берцеліуса), ідентичні помаранчевим пігментам моркви (каротин Вакенродера). За результатами досліджень Арно присвоїв жовтому пігменту емпіричну формулу С26Н38 та назвав його каротеном. Запропонована A. Арно формула залишалася неспростованою протягом наступних 20 років.[1, 2, 24]

У 1906 році російський ботанік Цвєт запропонував хроматографічний метод для розділення пігментів, що були виділені з жовтого листя. На основі цього відкриття у 1907 році Ріхард Вільштеттер та Міг виділили каротин з сушеного листя крапиви, що був абсолютно ідентичний каротину з моркви. Згідно проведених аналізів, щодо встановлення структури речовини, було встановлено дійсну формулу речовини С40Н56 яку пізніше назвали β-каротином [1, 2]. Водночас Вільштеттер розмежував поняття “каротин” і “ксантофіл”, характеризуючи ксантофіл, як оксіпохідну каротину [1].

Таким чином з робіт Вільштеттера виходить, що знайдено тільки два жовтих пігмента - каротин та ксантофіл. Але існування, окрім каротину, тільки одного ксантофілу було сумнівним, так як ще до досліджень Вільштеттера, ботаніками було зібрано значний обсяг матеріалів про пігменти, що знаходяться у жовтому листі, які мали різні спектральні характеристики та розчинність. Так слідуючи роботам самого Вільтештеттера, ним було відкрито та не досліджено чотири „ксантофіли”, а ще у 1876 році Мілардет виділив червоно-фіолетовий пігмент лікопін з томатів (Lycopernicum esculentum). Назрівала необхідність створення системи раціональної класифікації цього класу пігментів [1, 2].

Перша спроба класифікувати каротиноїдні пігменти відноситься до 1913 року. Французький Н. Монтеверде та російський В. Любіменко вчені в роботі “Про перетворення пігментів пластид у живій тканині рослин” розробили класифікацію, що базувалася на двох принципах: розчинність пігментів в одному органічному розчиннику та спорідненості спектрів поглинання у сірковуглеці[2].

Американський хімік Г. Стенбок у 1919 році висловив припущення про спорідненість вітаміну А та β-каротину. Внаслідок подальших досліджень було розроблено концепцію провітамінів, що мала великий вплив на розвиток науки та виробництва.

Структура β-каротину у вигляді полієнового ланцюга та циклічними структурами на кінцях була встановлена П. Карером за результатами дослідження 1930-1931 років. Формула β-каротин стала першою із всіх формул вітамінів або провітамінів, які відкрито на сьогоднішній день [1, 2].

Вперше синтетичний β-каротин було одержано у 1950 році. А вже у 1954 році компанія Roch налагодила випуск синтетичного β-каротину для харчової промисловості, що використовувався як барвник. До початку 1970-х років вважалося, що β-каротин можна використовувати тільки як барвник або корисну добавку до харчових продуктів. Але вже через 10 років було відкрито, що його можна використовувати для боротьби з раком, а також як антиоксидант [24].

1.1.2 Хімічне походження, структура та властивості каротиноїдів

Каротиноїди (від лат. carota - морква та грец. eidos - вигляд), природні пігменти від жовтого до червоно-оранжевого кольору, синтезуються бактеріями з родів Corynebacterium, Sarcina, Halobacterium, Pseudomonas, Flexibacter, водоростями з родів Dunaliellaceae, Phormidiaceae, Haematococcaceae, грибами з родів Aleuria, Choanephore, Sporobolomyces, Rhodotorula, Fusarium, усіма вищими рослинами, деякими губками та коралами та іншими організмами; обумовлюють забарвлення квітів та плодів [3, 8]. Являють собою поліненасичені сполуки терпенового ряду, побудовані здебільшого за єдиним структурним принципом: на кінцях полієнового ланцюга, що містить 4 ізопреноїдних залишки, розташовуються циклогексанові кільця, або аліфатичні залишки. У більшості випадків містять 40 вуглецевих атомів. Ці речовини поділяють на каротиноїдні вуглеводні, С40-ксантофіли, гомо-, апо- і нор-каротиноїди. Властивості деяких каротиноїдів наведені у таблиці. З рослинних матеріалів каротиноїди можуть бути виділені екстракцією розчинників, що не містять пероксидів, під розсіяним світлом в інертній атмосфері з подальшим омиленням та хроматографічним розділенням. Основні - α-, β-, γ-, ε-каротини та лікопін (формули Ia-Iд відповідно, рис.1.1). Усі вони добре розчинні у хлороформі (СНСl3), сірковуглеці (CS2) і бензені (С6Н6), гірше - в діетиловому ефірі, гексані, жирах та оліях. Легко приєднують кисень повітря, нестійкі на світлі та при нагріванні в присутності лугів. З розчином хлориду сурьми (SbСl3) у хлороформі (СНСl3) дають характерне синє забарвлення (λмакс 590 нм).

β-Каротин - темно-рубінові кристали; у природі розповсюджений у вигляді найбільш стабільного транс-ізомеру за всіма подвійними зв’язками. У розчинах під дією світла, при нагріванні або додаванні йоду частково ізомеризує у цис-ізомери [4, 5, 13].

Під впливом кисню або нагріванні на повітрі β-каротин поступово окислюється та знебарвлюється;продуктами окислення є різні епоксиди (напр., 5,6-епоксі- та 5,8-епоксі-β-каротин) й похідні β-іонона. Гідрування в присутності каталізатора веде до часткового або повного відновлення подвійних зв’язків. β-Каротин виділяють екстракцією з сухої моркви, люцерни, гречки, пальмового масла та інших рослинних матеріалів [3, 4, 6].


Рисунок 1.1 - Формули деяких каротиноїдів

У промисловому обсязі його отримують мікробіологічним способом на основі культивування гетероталічних мукорових грибів Choanephora conjuncta та Blacheslea trispora, використовуючи відходи крохмале-патокового виробництва або борошняної промисловості (кукурудзяне, соєве борошно). До складу поживного середовища включають мікроелементи, вітаміни та стимулятори (β-іонон або ізопреноїдні дімери) [6, 8].

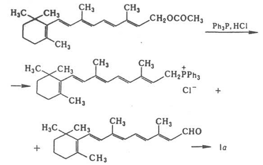
Синтетично β-каротин можна отримати з похідних вітаміну А за схемою:

Рисунок 1.2

α-каротин - червоні кристали; містяться у тих ж рослинах, що і β-каротин, але у значно меншій кількості (до 25 % від вмісту β-каротину). При нагріванні з етилатом Натрію частково перетворюється у β-каротин; оптично активний ([α]D +315 °) [6, 10].

Лікопін - кристали червоно-фіолетового кольору, червоний пігмент томатів. Лікопін виділяють з томатів та за допомогою мікробіологічного синтезу як β-каротин. С40-ксантофіли містять у ізопреноїдному ланцюзі одну або кілька гідроксильних, алкоксильних, епоксидних, альдегідних або кетоних груп. У природі розповсюджені лютеїн (Iе), віолоксантин (Iж) (II), фукоксантин (III), кріптоксантин (Iз), кантоксантин (I, R= R'=ж), астаксантин (I, R=R'=з) та інші, [2, 6, 10].

До групи гомо-каротиноїдів належать природні пігменти, у молекулі яких міститься більше 40 атомів вуглецю. Виділені каротиноїди з 45, 50 і 56 атомами вуглецю. Апо-каротиноїди представлені сполуками з вкороченим полієновим ланцюгом (37 та менше атомів вуглецю). Нор-каротиноїди це сполуки для яких характерний полієновий ланцюг, але відсутній один або декілька вуглецевих фрагменти, тобто містять 39 або менше атомів вуглецю, наприклад, біксин (I: R=СООН, R'=СООСН3). У природі можна зустріти каротиноїди як у вільній формі, а також у вигляді глікозидів, каротинпротеїнів або естерів, що утворюються з однією або більшою кількістю жирних кислот [6, 10].

Вперше каротиноїди були виділені з перцю, пізніше - з жовтого кріпака та моркви Daucus carota, звідки і пішла назва. Серед рослин найбільше каротиноїдів міститься в абрикосах (50-100 мкг/г), моркві (80-120 мкг/г), листях петрушки (100 мкг/г). Якісно та кількісно каротиноїди визначають за інтенсивністю максимуму поглинання світла у видимого спектру, а також за допомогою хроматографії. В організмі тварин каротиноїди не синтезуються, а потрапляють з їжею. Каротиноїди, що містять у своєму складі хоча б один радикал А (рис. 2.1), є попередниками вітаміну А. Перетворення в організмі таких каротиноїдів, що містять 40 атомів вуглецю, на вітамін А з 20 атомами здійснюється розщепленням каротиноїдів по центральному подвійному зв’язку або ступінчастим відщепленням, починаючи із кінця молекули [5, 8].

Важливою характеристикою каротиноїдів є А-вітамінна активність. Найбільшу А-вітамінну активність має β-каротин (умовно її приймають рівною 100 %), активність α-каротину 53 %, γ-каротину 48 %, кріптоксантину 40 %.

Каротиноїди приймають участь у фотосинтезі, транспорті кисню крізь кліткові мембрани, захищають зелені рослини від дії ультрафіолетових променів; у тварин стимулює діяльність полових залоз, у людини підвищують імунний статус, захищають від фотодерматозів, грають важливу роль у механізмах зору; природні антиоксиданти. Каротиноїди використовують у якості промислових харчових барвників, компонентів вітамінізованих кормів для тварин, у медичній практиці - для відновлення пошкоджених шкіряних покривів [2, 4, 7]. В таблиці 1.1 приведені деякі властивості каротиноїдів.

Таблиця 1.1 - Властивості деяких каротиноїдів

Речовина

Температура плавлення, 0С

Адсорбція видимого світла

Основні рослинні джерела



Розчинник

λмакс, нм, (ε)


Каротиноїдні вуглеводні

β-каротин

182-184

С6Н14 CHCl3

425, 450(2593), 476 465, 493

Морква, конюшина, люцерна, шипшина

α-каротин

178

С6Н14 CHCl3

420, 442(2800), 472 432, 457, 485

Морква, конюшина, люцерна, шипшина

γ-каротин

153

С6Н14 CHCl3

431, 462(3100), 494 443, 470, 502

Морква, конюшина, люцерна, шипшина

ε-каротин

196

С6Н14 C6H6

414, 439(2900), 470 425, 451, 481

Морква, конюшина, люцерна, шипшина

Лікопін

174

С6Н14 CHCl3

447, 471(3450), 501 458, 484, 518

Томати

С40-ксантофіли

Лютеїн

193

CS2 CHCl3

446, 475(2160), 505 428, 454, 483

Люцерна, червоний перець, жовті фрукти

Віолоксантин

200

С6Н14 CHCl3 C6H6

443, 472 423, 452, 482 428, 454(2216), 483

Червоні та оранжеві фрукти

Неоксантин

134

С6Н14 C6H6 CHCl3

416, 437, 466 426,448(2245), 478 422, 449, 477

Морські водорості, жовті фрукти

Фукоксантин

168-169

С6Н14 CS2 CHCl3

427, 450, 476 450, 478(2025), 508 460, 478

Морські водорості

Криптоксантин

152

С6Н14 CHCl3

425, 452(2460), 480 434, 464, 495

Жовтий мак, червоні фрукти


1.1.3 β-каротин - як необхідність для життя

Екологічна і соціальна обстановка, що склалася в світі, вимагає нових підходів в роботах по профілактиці, адаптації і реабілітації населення. Для практичного здійснення програми профілактики і адаптації існують два основні шляхи:

впровадження у виробництво продуктів масового попиту з біокорегуючими властивостями (вода, напої, фруктові соки, хлібобулочні і макаронні вироби, молочні продукти, майонез і ін.), в т.ч. з добавкою β-каротину;

введення в раціон живлення біологічно активних речовин у вигляді препаратів [23].

За останні роки багато уваги приділяється створенню вітчизняних харчових добавок на основі біологічно активних речовин природного походження, які підвищують стійкість організму до впливу радіації і інших чинників, що надають канцерогенне, мутагенне, тератогенне і інші несприятливі дії навколишнього середовища. Серед таких харчових добавок особливе місце займає β-каротин - один з основних компонентів системи біологічного захисту організму людини від дії несприятливих чинників. β-каротин і інші каротиноїди є рослинними пігментами, які присутні в жовто-оранжевих фруктах і овочах (морква, гарбуз, петрушка, абрикос, персик, апельсин і ін.). Сезонність вирощування фруктів і овочів, збереження корисних речовин в процесі зберігання, термічна обробка позначаються на рівні надходження вітамінів в організм людини протягом року, у тому числі і β-каротину (провітаміну А). Тому отримання β-каротину з зеленої галобної мікроводорості Dunaliella salina шляхом біосинтезу в промислових масштабах має багато переваг.

Роль β-каротину в організмі безцінна з точки зору сучасних досягнень у науці. Для людини найбільший інтерес представляє натуральний β-каротин, транс-форма якого є найбільш біологічно активною. Довгий час β-каротин розглядали лише з погляду його здатності в живому організмі перетворюватися на вітамін А, проте спектр дії β-каротину набагато ширший (рисунок 1.2, 1.3). [23]

Рисунок 1.3 - Традиційні властивості β-каротину

Рисунок 1.4 - Властивості β-каротину, вивчені в 1980-2000 роках

Біологічна роль β-каротину обумовлена перш за все його антіоксидантнимі властивостями. Загальновідомо, що організм людини щодня піддається руйнівній дії високореакційних молекул (так званими "вільними радикалами"), які утворюються в процесі життєдіяльності організму, під впливом іонізуючого випромінювання, тютюнового диму і інших шкідливих речовин, присутніх в повітрі, в землі і воді внаслідок дії антропогенних чинників. Утворення вільних радикалів у великих кількостях спричиняє за собою серйозні зміни в організмі і провокує цілий ряд небезпечних хвороб, таких як рак, катаракта, серцево-судинні захворювання, загальне пониження функціонування імунної системи. Виявилось, що сама природа забезпечила нас могутнім захистом, здатним нейтралізувати вільних радикалів в організмі. Це вітаміни-антиоксиданти: β-каротин, вітамін Е, вітамін С. Одна молекула β-каротину може зв'язати 5-6 вільних радикалів. Β-каротин перешкоджає утворенню бляшок, холестеринів, і наростанню ліпідних відкладень на стінках кровоносних судин. В результаті дії β-каротину на організм підвищується дієздатність імунної системи і збільшується стійкість організму до всього спектру захворювань.

У інституті експериментальної радіології вивчено вплив розчину мікробіологічного каротину в кукурудзяному маслі в умовах комбінованої дії опромінювання і стресу на тваринах з урахуванням фізіологічних, біохімічних, ендокринологічних показників і стійкості мембран еритроцитів. Встановлено, що розчин мікробіологічного β-каротину в маслі має захисні [23] властивості по відношенню до іонізуючого випромінювання і в умовах впливу стресу на організм.

Оптимальною дозою, що надає захисну дію, є 1,0 мг/кг, що відповідає 5-10мг 100 % β-каротину в добу для людини. β-каротин і препарати на його основі володіють цінними фармакологічними властивостями, що забезпечує їх широке застосування в медицині, фармацевтичній промисловості і виробництві косметичних препаратів. Широке застосування препаратів на основі β-каротину обумовлено його біологічною активністю при повній відсутності токсичних властивостей.

Одержані дані ученими в інституті експериментальної радіології дозволяють рекомендувати масляний розчин β-каротину (масло-каротин) як профілактичний засіб для населення, яке проживає і працює на забруднених радіонуклідами територіях, а також в системі санітарно-курортних установ, для оздоровлення осіб, що постраждали в наслідків Чорнобильської катастрофи.

1.1.4 Традиційною областю використання каротиноїдів є харчова промисловість

Харчова промисловість всього цивілізованого світу знаходиться на новому етапі розвитку, прагне знов дійти гармонії з природою і дійсно поліпшити адаптаційні можливості людей в умовах постійно наростаючого техногенного, фізичного, хімічного і емоційного стресу за рахунок використання біологічно активних природних речовин (БАВ). Останніми роками для цього все більше застосування знаходять природні антиоксиданти, такі як токофероли, аскорбінова кислота і β-каротин. У харчовій промисловості β-каротин набув поширення завдяки своїм фізіологічним і технологічним функціям. Його широко використовують як натуральний фарбник (харчова добавка Е-160а), вводять в продукти лікувально-профілактичного призначення завдяки його антиоксидантній активності, а також як провітамін А. Застосовують як функціональний інгредієнт [23].

Використання β-каротину в продуктах харчування дозволяє поліпшити їх зовнішній вигляд, органолептичні властивості, підвищити харчову цінність, зберегти якість при тривалому зберіганні, розширити асортимент виробів з β-каротином, в у тому числі спецпризначення. В таблиці 1.2 приведені позитивні показники β-каротину.

Таблиця 1.2 - β-каротин: природній, екологічний, технологічний

β-каротин

Природній

Екологічний

Технологічний

Провітамін А у рослинній олії масле (0,2% - бета-каротину); Каренол (0,2% високо очищеного бета-каротину); Суспензія (10-30% бета-каротину)

нешкідливий харчовий барвник (е-160), надає продуктам харчування ніжні теплі тони від блідо-жовтого до червоно-оранжевого відтінків; біологічно активна харчова добавка з лікувально-профілактичними властивостями; адаптоген і радіопротектор (забезпечує захист організму від впливу іонізуючого випромінювання, хімічних канцерогенів та інших шкідливих факторів; антиоксидант (нейтралізує активні радикали, що утворюються в організмі, а також сприяє подовженню строків зберігання продуктів харчування).

у виробництві кондитерських виробів (цукерок, драже, зефіру, мармеладу нуги, крекерів, вафель, кремів и др.); у виробництві борошняних виробів (печива, кексів, тістечок, тортів); у виробництві макарон, хлібобулочних виробів (батонів, здоби); у виробництві майонезу, йогуртів, згущеного молока, сирів, солодких сирків, глазурі для морозива, маргарину.


У теперішній час каротин використовують при виробництві наступних видів продукції: маргарину, майонезу, йогуртів, згущеного молока, сиру, солодких сирків, сиро-молочних продуктів, глазурі для морозива; кондитерських виробів (цукерок, драже, зефіру, мармеладу, нуги, крекерів, вафель, кремів і інше.); борошняних виробів (пряників, печення, кексів, тістечок, тортів); макаронів, хлібобулочних виробів (батонів, рогаликів, здоби).

1.1.5 Використання β-каротину у виробництві маргарину, масла, майонезі

Мікробіологічний β-каротин використовується для вітамінізації і часткового забарвлення бутербродів, дієтичних, столових, молочних сортів маргарину, вершкового масла, майонезу, кулінарного і кондитерського жиру. Комплекс β-каротину і токоферолов соняшникової олії, які містяться в наших препаратах, крім забарвлюючих властивостей, володіє ефективною антіоксидантною дією. Для забарвлення і вітамінізації продукції рекомендовано вводити 2-6г β-каротину (у перерахунку на 100 %-й β-каротин) на 1т продукції (залежно від бажаного кольору). У разі використання масляного розчину (0,2 %) β-каротину доза введення складе 1-3 кг на 1т продукції. Використання β-каротину надає товарам приємного зовнішнього вигляду і радіопротекторних властивостей.

1.1.6 Використання β-каротину в молочних і молочнокислих продуктах

Препарати β-каротину на жировій основі можуть бути використані для підфарбовування і вітамінізації продуктів цілісного молока, молочних консервів, згущеного молока, вершків, сиру, твердих сирів, йогуртах та іншій продукції. β-каротин може додати молочним продуктам різні відтінки - від блідо-жовтого до яскраво-оранжевого. Одночасно він додає продуктам харчування додаткові харчової цінності, але не енергетичні, оскільки є харчовим барвником.

Для забарвлення і вітамінізації продукції ми рекомендовано вводити 1-4г β-каротину (у перерахунку на 100 % β-каротин) на 1т продукції (залежно від бажаного кольору). У разі використання масляного розчину (0,2 %) β-каротину доза введення складе 0,5-2кг на 1т продукції.

1.1.7 Застосування β-каротину у виробництві макаронних і хлібобулочних виробів

Спеціалісти пропонують β-каротин натурального походження для підвищення харчової і біологічної цінності хліба, хлібобулочних і макаронних виробів, поліпшення їх зовнішнього вигляду і додання їм лікувально-профілактичних і дієтичних властивостей. Для збагачення і часткової вітамінізації даних продуктів використовують масляний розчин β-каротину (0,2 %). Спосіб введення масляного розчину: шляхом уприскування в муку; шляхом підготовки водно-масляної емульсії.

Уприскування проводять шприцом або іншими пристосуваннями безпосередньо в бункер з мукою (при завантаженні муки 5-10 кг). Емульсію готують в окремій ємності, змішуючи в міксері розрахункову кількість масляного розчину β-каротину з частиною холодної води, необхідної по рецептурі.

1.1.8 Використання бета-каротину в кондитерських виробах

Вітаміни в кондитерських виробах містяться в незначній кількості або зовсім відсутні. Для вітамінізації кондитерських виробів, їх забарвлення пропонується використання масляних розчинів β-каротину (0,2-1 %)

β-каротин має великі переваги перед синтетичними фарбниками: має підвищену біологічну і харчову цінність; сприяє зниженню рівня радіонуклідів; як фарбник може забезпечувати широку кольорову гамму; розчини β-каротину безпечні навіть в підвищених дозах.

Використовуючи β-каротин, ви можете: створювати свою власну технологію кондитерських виробів; замінити натуральним β-каротином синтетичні фарбники; збільшити термін зберігання і реалізації своєї продукції; створити високоякісну онкурентоздатну продукцію [23].

Обґрунтування вибору методу біотехнологічного виробництваsalina - одноклітинна зелена галобна мікроводорость. Згідно з альгологічною системою класифікації.

Таблиця 1.3 - Таксономічне положення Dunaliella salina

Царство (Kingdom)

Plantae

Клас (Class)

Chlorophyceae

Відділ (Division)

Chlorophycota

Порядок (Order)

Volvocales

Сімейство (Family)

Dunaliellaceae

Рід (Genus)

Dunaliella

Вид (Species)

Dunaliella salina


Виробництво β-каротину буде проводитись із штаму CCMAR-71. Це досить продуктивний штамп з достатньо стабільним виходом β-каротину.

Виробництво β-каротину таким способом є досить перспективним оскільки Dunaliella salina має досить вискоку швидкість приросту біомаси. А також має досить високий вихід β-каротину 3-10 % від сухої маси водорості. Сама ж Dunaliella salina добре переносить різні негативні фактори в тому числі і екологічні.

Обґрунтування місця впровадження біотехнологічного виробництва

Дане виробництво краще розташувати поблизу солоних водойм, оскільки для вирощування Dunaliella salina нам необхідна солона вода. Це дозволить зменшити матеріальні затрати на осолонення прісної води.

Обґрунтування цілей та завдань дипломного проекту

Екологічна і соціальна обстановка, що склалася в світі, вимагає нових підходів в роботах по профілактиці, адаптації і реабілітації населення. Для практичного здійснення програми профілактики і адаптації існують два основні шляхи:

впровадження у виробництво продуктів масового попиту з біокорегуючими властивостями (вода, напої, фруктові соки, хлібобулочні і макаронні вироби, молочні продукти, майонез і ін.), в т.ч. з добавкою β-каротину;

введення в раціон живлення біологічно активних речовин у вигляді препаратів [23]

За останні роки багато уваги приділяється створенню вітчизняних харчових добавок на основі біологічно активних речовин природного походження, які підвищують стійкість організму до впливу радіації і інших чинників, що надають канцерогенне, мутагенне, тератогенне і інші несприятливі дії навколишнього середовища. Серед таких харчових добавок особливе місце займає β-каротин - один з основних компонентів системи біологічного захисту організму людини від дії несприятливих чинників. β-каротин і інші каротиноїди є рослинними пігментами, які присутні в жовто-оранжевих фруктах і овочах (морква, гарбуз, петрушка, абрикос, персик,

апельсин і ін.). Сезонність вирощування фруктів і овочів, збереження корисних речовин в процесі зберігання, термічна обробка позначаються на рівні надходження вітамінів в організм людини протягом року, у тому числі і β-каротину (провітаміну А). Тому отримання β-каротину з зеленої галобної мікроводорості Dunaliella salina шляхом біосинтезу в промислових масштабах має багато переваг.

2. ТЕХНОЛОГІЧНА ЧАСТИНА

.1 Характеристика готового продукту

Кінцевим продуктом проектного виробництва буде висушена біомаса Dunaliella salina CCMAR-7. Препарат має вигляд помаранчевої порошкоподібної речовини з вологістю 12 %. В препараті буде міститися 5 % β-каротину від сухої масси.

Фасується спочатку в герметичні поліетиленові мішки по 25 кілограм, а затим запаковану в поліетиленові мішки біомасу пакують в паперові мішки.

Термін зберігання готового і запакованого продукту 6 місяців при кімнатній температурі та вологості не більше 75 %. Категорично не допускається потрапляння вологи на суху біомасі в зв’язку з її гігроскопічністю. В разі потрапляння рідини не піддається повторному висушуванню.

2.2 Характеристика біологічного агенту, сировини та допоміжних речовин

Продуцентом на нашому виробництві є Dunaliella salina CCMAR-7.salina - зелена одноклітинна мікроскопічна водорість, що мешкає в гіперсольоних водоймах. Гіперсольоні водойми, заселені Dunaliella salina, знаходяться найчастіше на узбережжях морів і океанів, а також в внутріконтинентальних посушливих районах. Водорість виду Dunaliella salina - унікальний організм, який в умовах надзвичайно високих концентрацій солей у водоймі здатний синтезувати цілий ряд корисних сполук таких як β-каротин, гліцерол, ненасичені жирні кислоти, та інші. У продовж багатьох років особливий інтерес представляла біомаса Dunaliella salina як джерело β-каротину, оскільки ця речовина широко використовується в харчовій промисловості як природний барвник, хіміко-фармацевтичної промисловості, медичній практиці, а також лікувально-профілактичному харчуванні при профілактиці та лікуванні онкологічних, інфекційних і серцево-судинних захворювань. Найбільш важливим є той факт, що Dunaliella salina ,як харчова добавка, є таким же організмом як і вищі рослини, вживання яких в їжу,на відміну від штучних препаратів, не викликає собою ніяких побічних ефектів.salina - одноклітинна зелена галобна мікроводорость. Згідно з альгологічною системою класифікації, таксономічне положення Dunaliella salina відображає схема 2.1:

Таблицею 2.1 - Таксономічне положення Dunaliella salina

Царство (Kingdom)Plantae


Клас (Class)

Chlorophyceae

Відділ (Division)

Chlorophycota

Порядок (Order)

Volvocales

Сімейство (Family)

Dunaliellaceae

Рід (Genus)

Dunaliella

Вид (Species)

Dunaliella salina


Рід Dunaliella включає 29 солоноводних, морських, прісноводних і ґрунтових видів; 6 з них знайдені на території Україна виключно в солоних водоймах. добре відома Dunaliella salina, що розвивається в гіпергіяльнних водоймах півдня України. У великій кількості вона викликає червоне «цвітіння», особливо яскраве в період літнього випаровування води з мілководних лагун. На поверхні таких лагун утворюється сольовий концентрат у вигляді пласті-нок з кристалів солі, а під ними тепла солона вода (рапа). Встановлено, що клітини водорості різноманітної форми: овальні, еліпсоїдні, яйцеподібні, грушоподібні, іноді шароподібні, циліндричні або веретеноподібні; радіально- або білатерально симетричні, рідко дорсівентральние або злегка асиметричні. Розміри клітин вельми різноманітні. Довжина може коливатися від 5 мк. до 29 мк., ширина від 4 мк. до 20 мк.; обсяг клітин від 70 мк3 до 4500 мк3. Хлоропласт за кольором частіше всього зелений, іноді жовтий, бурий або інший відтінок червоного кольору. За формою хлоропласт зазвичай чашоподібний з піриноїдом і вічком, рідше без них. По обидві сторони від папіли,на опуклому апікальному кінці клітини прикріплені два джгутика. Зазвичай джгутики однакової довжини, який дорівнює або перевищує довжину клітини. У молодих, щойно поділившихся клітин один з джгутиків може бути коротше іншого. Клітини Dunaliella ізоконтни і характеризуються веслоподобним рухом джгутиків. Як і вся клітина, джгутики покриті протоплазматичною мембраною. Їх тонка структура характеризується звичайною конструкцією. Для Dunaliella salina характерні вегетативний, безстатевий і статевий типи розмноження. Перший є преобладаючим. Відбувається шляхом поздовжнього поділу клітин. Послідовність ділення органел строго не детермінована і легко порушується, особливо в старих культурах. При цьому утворюються потворні форми. У несприятливих умовах Dunaliella здатна утворювати цисти безстатевого походження. Цисти мають кулясту форму, товсту подвійну оболонку і гранульоване вміст, звільнення якого при проростанні відбувається через щілину в оболонці. Перед проростанням цисти, її вміст червоного кольору зеленіє і ділиться з утворенням 2-4 клітин. Статевий процес у Dunaliella salina - гологамного типу. Копуляція може відбуватися як на світлі, так і в темноті. У результаті злиття двох клітин утворюється нерухома зигота, вкрита оболонкою (іноді шаруватою). Перед проростанням відбувається редукційний поділ з утворенням 2-32 клітин. Кількість останніх обумовлюється розмірами зиготи і умовами, в яких вона розвивається.

В таблиці 2.1 та таблиці2.2 наведено усереднений склад біомаси Dunaliella по органічних і неорганічних показниками.

Таблиця 2.2 - Усереднений склад біомаси Dunaliella по неорганічним показникам

Склад

г./100 г.

Вуглець

45.4

Водень

6.3

Азот

10.71

Фосфор

3.3


Таблиця 2.3 - Усереднений склад біомаси Dunaliella по органічним показникам

Склад

%

Білок

10-57

Вуглеводи

10-32

Ліпіди

7-30

Нуклеїнові кислоти

6

Хлорофіли

0.01-6

Каротиноїди

0.03-10

Зольності

(37-65)


2.3 Механізм біотехнологічного процесу

Біосинтез β-каротину проходить по складній схем, включає в себе ряд послідовних перетворень.

2.4 Опис біотехнологічного процесу за стадіями

.4.1 Стадія очистки води

Очистка морської води проходить за допомогою вертикальної решітки з ланцюговими граблями GVCC

Цей тип решіток складається з рами, виготовленої із сталевих листів холодного прокату, на якій встановлені направляючі для спеціального виду роликового ланцюга. Шестерні, що забезпечують рух ланцюга, встановлені тільки у верхній часті обладнання, тоді як в нижній частини решітки ланцюг натягнутий на нерухомий вал. Це дозволяє виключити роботу рухомих частин уводі і продовжити термін служби обладнання. Очищення решітки виконує одна або декілька граблин, закріплених на двох ланцюгах, які очищають стрижні решітки від затриманих відходів. Особливість цієї решітки полягає в тому, що очищення йде в зустрічному потоці. Очищаючі граблини діють збоку каналу, нижче за течією від решітки. Такий підхід виключає можливість закупорювання відходів між нижньою частиною решітки і очищаючими граблинами, виключають небезпеку закупорювання. Пристрій вібраційного типу забезпечує очистку граблин і полегшує скидання затриманих відходів в контейнер, розташований нижче. Рух усіх частин обладнання управляється двигуном з зубчастої передачею. Захист від перевантаження здійснюється звичайним динамометричним або за бажанням, електронним пристроєм. У стандартному варіанті решітки цього типу виготовляються з вуглецевої сталі з захистом гарячим цинкуванням. На замовлення поверхню елементів решітки може бути захищена покриттям на основі епоксидної смоли. Можливий варіант виготовлення решітки із нержавіючої сталі.

2.4.2 Стадія попередньої підготовки

На цій стадії ми проводимо попередню культивацію Dunaliella salina перед засіванням її в основні виробничі басейни. Невеликий обсяг біомаси Dunaliella salina поміщають в басейн з живильним середовищем. У міру наростання біомаси врожай не збирають, а проводять заповнення інших басейнів. Щодня таку процедуру повторюють до тих пір, поки не заповняться всі робочі басейни. Культивування на морській воді склад якої приведений в таблиці 2.3.

Таблиця 2.4 - Приблизний сольовий склад морської води

Сіль

Концентрація в г/л

NaCl

27.6

MgCl

25.4

MgSO

46.9

CaCl

21.4

KCl

0.6

NaHCO

30.2


2.4.3 Стадія культивування

На цій стадії ми проводимо нарощування біомаси та стимулювання виробництва β-каротину водоростями. Для цього мі підвищуємо концентрацію NaCl до 1 М. Та проводимо культивування протягом 6 днів.

2.4.4 Стадія збору біомаси

На цій стадії ми проводимо відкачку води з біомасою Dunaliella salina з басейну за допомогою опускного насосу НЦВС-100/30А. Зібраний розчин подається на наступну стадію.

2.4.5 Стадія сепарації

На цій стадії ми проводимо сепарацію розчину за допомогою сепаратору Г9-ВСБ-М. Воду відділену від біомаси ми можемо використовувати повторно для вирощування наступної партії водоростей, попередньо збагативши воді солями та іншими поживними речовинами.

2.4.6 Стадія сушки

На цій стадії ми проводимо сушку вологої біомаси Dunaliella salina а допомогою промислової сушилки HGW100/18. На виході ми отримаємо суху біомасу Dunaliella salina з вмістом β-каротину 5% від сухої маси.

2.4.7 Стадія фасування та упаковування

На цій стадії ми проводимо фасування сухої біомаси Dunaliella salina спочатку в герметичні поліетиленові мішки по 25 кілограм, а затим запаковану в поліетиленові мішки біомасу пакують в паперові мішки. Цю стадію ми проводимо за допомогою фасувально-упаковочної лінії для сухих дрібнодисперсних пиляних продуктів.

Норми біотехнологічного процесу

Процес культивування Dunaliella salina проводиться в басейнах об’ємом 100 м3 з інтенсивним перемішуванням впродовж 6 днів. Такий термін був обраний на основі лабораторних досліджень, які показали, що після 6 днів культивування кількість β-каротину в Dunaliella salina починає знижуватись.

Як живильне середовище ми використовуємо морську воду з концентрацією NaCl приблизно 1 М. Це дозволяє підвищити вихід β-каротину з водоростей. Також існує оптимальний склад живильного середовища (таблиця 2.4) для вирощування Dunaliella salina, який був визначений лабораторними дослідженнями. Але його використання в умова зазначеного виробництва я вважаю недоцільним, оскільки це суттєво підвищить собівартість продукції.

Вирощування Dunaliella salina ми проводимо при температурі 25 ± 3 °С, оскільки це є оптимальною температурою. Взагалі чіткий контроль температури на даному виробництві не є принципіальним оскільки температурні межі для Dunaliella salina складають від 0 °С до 38 °С. Зміну температури можна використовувати як стрес фактор для збільшення виходу β-каротину.

Оптимальним значенням рН для вирощування Dunaliella salina є 7. Але чіткий контроль рН нам також не потрібен, оскільки межі рН для Dunaliella salina складають від 1 до 11. Це також можна використовувати як стрес фактор для підвищення виходу β-каротину.

На виробництві не заплановано додаткове освітлення басейнів. Але при його встановленні можливе збільшення приросту біомаси Dunaliella salina та виходу β-каротину.

Таблиця 2.4 - Оптимальній склад живильного середовища для вирощування Dunaliella salina

Для 5л дистильованої води

Кількість

NaCl

24 % на кожну одиницю об’єму

MgCl26H2O

7,65 г

Mg SO4∙7H2O

2,6 г

KCl

1,02 г

CaCl2∙2 H2O

1,02 г

KNO3

5,1 г

NaHCO3

0,2 г

KH2PO4

0,2 г

Fe-розчин

51 мл

Na2EDTA

945 мг

FeCl3∙6H2O

1220 мг

Розчин мікроелементів

51 мл

H3BO3

305 мг

(NH4)6Mo7O24∙4H2O

190 мг

CuSO4∙5H2O

30 мг

CoCl2∙6H2O

25,5 мг

ZnCl2

20,5 мг

MnCl2∙4H2O

20,5 мг

Доведення рН до 7,5 проводити НСl


Також на виробництві можна встановити аераційні установки які будуть виконувати подачу СО2 до басейну. Що також дозволить підвищити вихід біомаси Dunaliella salina та вихід β-каротину.

Отсіпаровану біомасу (пасту) Dunaliella salina сушать теплим повітрям при температурі не вище60 °С. Для цього біомасу наносять тонким шаром і висушують на протязі 3-4 годин, не допускаючи попадання прямих сонячних променів, оскільки інтенсивний освітлення призводить до руйнування пігментів, що помітно знижує якість біомаси.

Кінцевим продуктом проектного виробництва буде висушена біомаса Dunaliella salina CCMAR-7. Препарат має вигляд помаранчевої порошкоподібної речовини з вологістю 12 %. В препараті буде міститися 5 % β-каротину від сухої масси.

Фасується спочатку в герметичні поліетиленові мішки по 25 кілограм, а затим запаковану в поліетиленові мішки біомасу пакують в паперові мішки.

Термін зберігання готового і запакованого продукту 6 місяців при кімнатній температурі та вологості не більше 75 %. Категорично не допускається потрапляння вологи на суху біомасі в зв’язку з її гігроскопічністю. В разі потрапляння рідини не піддається повторному висушуванню.

.6 Матеріальні розрахунки

.6.1 Блок-схема виробництва

Блок-схема виробництва для проекта виробництва по отриманню β-каротину із мікроскопічної водорості Dunaliella salina потужністю 1 т за β-каротином на рік наведена на рисунку 2.1.

каротин виробництво біологічний агент

Рисунок 2.1 - Блок схема виробництва β-каротину із мікроскопічної водорості Dunaliella salina

2.6.2 Вихідні дані для матеріальних розрахунків

Згідно лабораторних досліджень нам відомо, що після вирощування водорості на протязі 6 днів, в літрі морської води міститься 0,30 грам сухої біомаси Dunaliella salina [22].

Склад морської води наведено в таблиці 2.5.

Таблиця 2.5 - Сольовий склад морської води для розрахунків

Сіль

Концентрація в г/л

NaCl

27,6

MgCl

25,4

MgSO

46,9

CaCl

21,4

KCl

0,6

NaHCO

30,2


Склад живильного середовища для вирощування Dunaliella salina наведено в таблиці 2.6.

Таблиця 2.6 - Склад живильного середовища для вирощування Dunaliella salina

Для 5л дистильованої води

Кількість

NaCl

24 % на кожну одиницю об’єму

MgCl26H2O

7,65 г

Mg SO4∙7H2O

2,6 г

KCl

1,02 г

CaCl2∙2 H2O

1,02 г

KNO3

5,1 г

NaHCO3

0,2 г

KH2PO4

0,2 г

Fe-розчин

51 мл

Na2EDTA

945 мг

FeCl3∙6H2O

1220 мг

Розчин мікроелементів

H3BO3

305 мг

(NH4)6Mo7O24∙4H2O

190 мг

CuSO4∙5H2O

30 мг

CoCl2∙6H2O

25,5 мг

ZnCl2

20,5 мг

MnCl2∙4H2O

20,5 мг

Доведення рН до 7,5 проводити НСl


2.6.3 Матеріальні розрахунки за стадіями біотехнологічного процесу

Розрахуємо кількість сухої біомаси, яку ми отримаємо за 1 цикл з одного басейну, кг:

К = СБ · VБАС(2.1)

де СБ - кількість сухої біомаси, 0,30 г/л;БАС - об’єм басейну, 100 м3.

Відповідно з одного басейну об’ємом 100 м3 ми отримуємо:

К = 0,30 ∙ 100000 = 30000 (г) = 30 (кг)

Ми отримуємо 30 кілограм сухої біомаси Dunaliella salina з одного басейну за один цикл.

Кількість β-каротину за один цикл в одному басейні розрахуємо із формули:

Кц = К · В(2.2)

де В - кількість β-каротину (процентне співвідношення від сухої маси).

Відповідно лабораторним даним [23] нам відомо, що вміст β-каротину складає 5% ваги сухої біомаси Dunaliella salina. Згідно з цими даними с одного басейну ми отримаємо наступну кількість β-каротину, кг:

Кц = 30 · 0,05 = 1,5

Оскільки цикл триває 6 днів, розрахуємо кількість циклів за рік:

 (2.3)

де П - звітній період, приймаємо 360 днів;

Т - тривалість 1 циклу, 6 днів (за дослідними даними).

 (циклів)

Згідно з попередніх розрахунків нам відомо, що за рік на виробництві може бути проведено 60 виробничих циклів.

Розрахуємо кількість β-каротину, яку буде отримано з одного басейну за один рік (приймемо в 1 році 60 циклів), кг:

Кв = Кц ·Ц (2.4)

де Ц - кількість циклів на рік, 60;

Кв = 1,5 ·60 = 90

Відповідно за рік з одного басейну ми отримаємо 90 кілограм β-каротину.

Знаючи продуктивність одного басейну, ми можемо розрахувати необхідну кількість басейнів для виробництва 1 тони β-каротину за рік:

(2.5)

де Пр - необхідна продуктивність за завданням дипломного проекту.


Відповідно до розрахунку для вирощування 1 тони β-каротину в рік нам необхідно 12 басейнів об’ємом 100 м3.

Також треба врахувати, що нам потрібен 1 басейн для попередньої культивації. З нього ми будемо пересаджувати Dunaliella salina до інших 12 басейнів.

Оскільки ми маємо 12 басейнів по 100 м3, то їх сумарний об’єм складає:

сум = VБАС ·Б(2.6)сум = 12 ∙ 100 = 1200 м3

Тоді сумарний об’єм басейнів в літрах:

сум = 1200 ∙ 1000 = 1200000 л

В кожен басейн ми додаємо по 100 л суспензії Dunaliella salina. Відповідно загальний об’єм суспензії, який необхідний для виконання 1 циклу:

сусп = Б ∙ С (2.7)

де С - кількість суспензії, яку ми додаємо в кожний басейн.

сусп = 12 ∙ 100 = 1200 л

Знаючи кількість суспензії, ми можемо розрахувати, скільки нам потрібно морської води.

Потребу в морській воді розрахуємо з формули:

заг = Vсум - Vсусп(2.8)заг = 1200000 - 1200 = 1198800 л

Об’єм води, який міститься в одному басейні, розрахуємо за формулою:

 (2.9)

 л

Також у нас є культиваційний басейн, для якого також потрібно 99900 літрів води.

Відповідно сумарна витрата води за цикл дорівнює:

Всум = Vзаг + В(2.10)

Всум = 1198800 + 99900 = 1298700 л

Загальна кількість β-каротину, яку буде отримано з усіх 12 основних виробничих басейнів за один рік, згідно завдання дипломного проекту, кг:

Кзаг = Кв ∙ Б (2.11)

Кзаг = 90∙ 12 = 1080 кг

2.6.4 Зведений матеріальний баланс

Зведений матеріальний баланс наведено в таблиці 2.7.

Таблиця 2.7 - Зведений матеріальний баланс виробництва β-каротину Dunaliella salina

Витрати

Отримано

Найменування

Кількість

Найменування

Кількість

загальний об’єм суспензії, який необхідний для виконання 1 циклу

1200 л

кількість сухої біомаси, яку ми отримаємо за 1 цикл з одного басейну

30 кг

загальна кількість морської води на 13 басейнів (витрата води за цикл)

1298700 л

кількість β-каротину, яку буде отримано з одного басейну за один рік

90 кг



Загальна кількість β-каротину з усіх 12 основних виробничих басейнів за один рік

1080 кг


2.7 Технологічні розрахунки

На даному виробництві використовується наступне обладнання:

2.7.1 Решітка з ланцюговими граблями GVCC

Цей тип решіток складається з рами, виготовленої із сталевих листів холодного прокату, на якій встановлені направляючі для спеціального виду роликового ланцюга. Шестерні, що забезпечують рух ланцюга, встановлені тільки у верхній часті обладнання, тоді як в нижній частини решітки ланцюг натягнутий на нерухомий вал. Це дозволяє виключити роботу рухомих частин уводі і продовжити термін служби обладнання.

Очищення решітки виконує одна або декілька граблин, закріплених на двох ланцюгах, які очищають стрижні решітки від затриманих відходів. Особливість цієї решітки полягає в тому, що очищення йде в зустрічному потоці. Очищаючі граблини діють збоку каналу, нижче за течією від решітки.

Такий підхід виключає можливість закупорювання відходів між нижньою частиною решітки і очищаючими граблинами, виключають небезпеку закупорювання.

Пристрій вібраційного типу забезпечує очистку граблин і полегшує скидання затриманих відходів в контейнер, розташований нижче. Рух усіх частин обладнання управляється двигуном з зубчастої передачею. Захист від перевантаження здійснюється звичайним динамометричним або за бажанням, електронним пристроєм.

У стандартному варіанті решітки цього типу виготовляються з вуглецевої сталі з захистом гарячим цинкуванням. На замовлення поверхню елементів решітки може бути захищена покриттям на основі епоксидної смоли.

Можливий варіант виготовлення решітки із нержавіючої сталі.

2.7.2 Насос 1Д1600-90

Д1600-90 - Горизонтальні електронасосні агрегати з відцентровим одноступінчасті насосом з робочим колесом двостороннього входу для перекачування води і схожих з нею по в'язкості і хімічній активності рідин, температурою до +85 °С, що містять тверді включення до 0,05 % по масі, розміром до 0,2 мм всі інші параметри наведені в таблиці 2.. Матеріал проточної частини - чавун. Ущільнення валу - чепцеве (сальниковое). Гідравлічний затвор сальника забезпечується за допомогою підведення рідини до кільця сальника по каналу в кришці насоса. ДКЗ -7,0 м. Тиск на вході до 0,3 МПа.

Таблиця 2.5 - Параметри насоса 1Д1600-90

Параметр

Позначення

Значення

Одиниці вимірювання

Подача

Q

1600

м3/час

Напір

H

90.00

м

Частота обертання

n

1450 (24.2)

об/хв (сек-1)

Максимальна споживана потужність

N

520.00

кВт

Допускаемый кавитационный запас

7.00

м, не менше

Маса насоса

m

1165

кг


Рисунок 2.2

2.7.3 Дренажник 255/11 ФН

Дренажний насос серії Дренажник призначений для перекачування чистої, дренажної та грунтової води, для відведення брудної води із стічних канав та басейнів, а також для відкачування фекалій. Також насос з успіхом може використовуватися для поливу або подачі води з колодязів, відкритих водойм та інших джерел. Деякі моделі виготовлені з пластмаси і призначені для чистих або злегка забруднених вод.

Крім того, насоси можуть застосовуватися для зрошення городів і садів, а також для подачі води з колодязів, відкритих водойм та інших джерел при температурі навколишнього середовища не нижче 1 ° С. Насос дренажний занурювальний, з буквою Ф, в позначенні, призначений для відкачування фекальних вод. Фекальна вода, навіть сильно забруднена, - це, перш за все вода, в якій можуть знаходитися, в підвішеному стані, різні включення, в тому числі і фекалії. Фекальний насос допускає в перекачується воді невеликі (з максимальним розміром до 35 мм) включення. Він не може бути використаний для перекачування в'язких розчинів.

Насос можна встановлювати для постійного або тимчасового використання.

Ідеальне робоче положення насоса - повне занурення у воду.

Насос оснащений вимикачем поплавця, який автоматично включає і вимикає насос в залежності від рівня води.

Максимальна глибина занурення насоса у воду - не більше 8 метрів.

Насос дренажний занурювальний складається з насосної частини та електродвигуна. Насосна частина складається з відцентрового робочого колеса, закріпленого на валу ротора електродвигуна, ущільнень і корпусу насоса. Внизу насосної частини розташовані усмоктувальні вікна для механічного очищення води. Електродвигун однофазний асинхронний змінного струму (220 ± 22 вольт, 50 ± 2,5 герц), з частотою обертання 3000 об/хв, що знаходиться всередині герметично закритого корпусу, складається з статора, короткозамкненого ротора і підшипникових щитів. Ступінь захисту від ураження електричним струмом - IP 68. Статор має дві обмотки - пускову і робочу. У обмотках статора мається термопротектором, що відключає електродвигун при підвищенні температури обмоток. Конденсатор ємністю, відповідної потужності електродвигуна, підключений паралельно пусковий обмотці і встановлений у верхній частині корпусу. Спеціальна камера для теплообміну забезпечує охолодження електродвигуна і дозволяє насосу тривало працювати, не повністю зануреним у воду. Для виключення утворення повітряної пробки в робочій порожнині пластмасового насоса є повітряний клапан. При відкачці води занурювальний насос Дренажник повинен бути встановлений в поглиблення з розмірами, відповідними габаритними розмірами насоса і розмірами поля регулювання для нормального функціонування поплавка. При тимчасовій установці насоса використовувати гнучкі труби, при постійній установці - жорсткі. З метою полегшення очищення і обслуговування насоса рекомендується монтаж швидкоз'ємного з'єднання з напірної трубою. Кабель, який живить насосів має заземлення через вилку при її включенні в розетку. Для оберігання від перевантаження ці насоси оснащені термопротектором - пристроєм для термічного захисту електродвигуна з автоматичним відключенням. Напруга електричної мережі має бути не нижче 198 В і не вище 242 В.

2.7.4 Сепаратор спиртодрожжевий Г9-ВСБ-М

Призначений для розділення дріжджової суспензії на бражку і дріжджовий концентрат, що містить масу дріжджових клітин. Складається сепаратор з станини, приводного механізму з електродвигуном, барабана, кришки сепаратора, приймально-відвідного пристрою. Напівзакритого типу, брага відводиться під тиском, дріжджовий концентрат відводиться відкритим потоком. Через приймальний пристрій молоко потрапляє в обертовий барабан і заповнює міжтарілочний простір, де відбувається його поділ. Більш важкі частки-дріжджові клітини, відходять до переферії барабана, потім через мундштуки потрапляють в приймач дріжджового концентрату. Бражка, як більш легка, під тиском, створюваним напірним диском надходить в відводять комунікацію.

Технічна характеристика:

Продуктивність 20000 л / год;

Частота обертання барабана 5100об/мін;

Потужність електродвигуна 11кВт;

Напруга електродвигуна 380В;

Частота обертання електродвигуна 1500об/хв;

Тиск на виході від сепарований бражки 2х105 Па (2атм);

Розміри: Довжина 1070 мм; Ширина 825 мм; Висота 1356 мм;

Відвантажувальні дані:

Вага нетто 733кг;

Вага брутто 910кг.

2.7.5 Промислова сушила HGW100/18

Промислова сушарка HGW (параметри наведені в таблиці 3. ) застосовується для сушіння різних механічних компонентів. Можливе регулювання швидкості передачі стрічкового фільтру і температури сушіння. Застосовуються горизонтально встановлені електронагрівальні трубки, які легко замінити і не вимагають спеціального обслуговування.

Таблиця 2.6 - Основні показники промислової сушили HGW100/18

Тип

Робочі розміри ШхДхВ(мм)

Номінальна потужність нагрівання(кВт)

Довідковий виробіток(кг/г)

HGW100/18

1000×1800×150

30

1000


2.7.6 Фасувально-упаковочна лінія для сухих дрібнодисперсних пиляних продуктів

Напівавтоматична лінія фасування і пакування сухих пилять дрібнодисперсних продуктів (борошно, крохмаль, сухе молоко і т.д.). Доза - 25кг, продуктивність - 50 уп. / Год.

Призначення: фасування й упакування будь-якого сухого дрібнодисперсного порошить продукту (борошна, крохмалю, сухого молока і т.д.) на готову споживчу тару.

Комплектація лінії фасування пилять продутов:

Дозатор ваговий з шнекової подачею

Транспортер стрічковий

Зварювач вкладиша з відкачуванням повітря

Мішкозашивальна машина

Стіл-тічка

Контрольні електронні ваги

Технічні характеристики лінії) Дозатор

Продукт - сухе знежирене молоко (СОМ)

Тара - крафт мішок з поліетиленовим вкладишем

Доза - 25 кг

Продуктивність (25 кг) - 60 мішків на годину

Межа допустимої похибки - ± 0,5%

Електроживлення від мережі змінного струму - 50 Гц, 220В

Завантажувальний бункер з ворошителем - 150 л.

Тип дозатора - ваговий (тензометричний)

Живильник - шнековий

Привід - електромеханічний

Кріплення мішка до горловини дозатора - притиск

Обнуління ваги тари - автоматичне

Перемикання швидкості обертання живильника при досягненні 70% ваги дози ndash; автоматичне

Відключення дозування - автоматичне

Оператор - 1 людина

Деталі та вузли, що контактують з продуктом, - з нержавіючої сталі марки 12Х18Н10Т) Транспортер стрічковий-2 шт.

Вид - стрічковий

Ширина - 250 мм

Довжина - 2500 мм

Висота - 250 мм

Висота заднього відбійника - 800 мм

Швидкість - не більше швидкості мішкозашивочні машини

Управління приводом - педаль) Відкачування повітря - 2 шт.

Затиск поліетиленового вкладиша - губки гумові м'які

Відкачування повітря - через фільтр-папір

Управління приводом - педаль

Виконання - вертикальне на рамі) Запаювання вкладиша - 2 шт.

Кількість швів - 2 шт.

Ширина кожного шва - 3 мм

Відстань між швами - 10 мм

Довжина зварювача - 900 мм

Управління приводом - педаль

Виконання - вертикальне на рамі) Мішкозашивальна машина - 2 шт.

Управління приводом - педаль

Виконання - вертикальне на рамі

Стіл-тічка - 2 шт.

Розміри - 500х600 мм

Висота - 250 мм) Контрольні електронні ваги - 2 шт.

Розміри платформи - 600х600 мм

Табло індикації - рідкокристалічне на стійці

2.7.7 Вибір основного технологічного обладнання за об’ємом та продуктивністю виробництва

Існує два способи культивації Dunaliella salina:

культивування у фотобіореакторах;

культивування у біологічних ставках.

Фотобіореактор представляє собою прозору ємність яка заповняється живильним середовищем, та заселяється культура водоростей для їх культивації. В таких установках, як правило, використовується пневматичне перемішування за допомого повітря або вуглекислого газу, для стимуляції росту. Такі установки в першу чергу розраховані на виробництво біомаси водоростей, а не для максимального ступня очищення стічних вод, і через це мають високу собівартість, тому для проекту був обраний другий спосіб культивації.

Періодичне культивування у біологічних ставках проводиться у ставках невеликої глибини, для кращого проникнення у товщу води сонячної енергії. Вихід біомаси за таких ставків нижче на одиницю площі, нижче ніж у фотобіореакторів, але вони дешевші у виконанні і більш придатні для промислового культивування, тому такий спосіб було обрано для цього проекту.

За основу установки було взято радіальний відстійник в який було внесено такі зміни:

дно з конусного було перероблено на рівне;

спрощена подача води;

видалена мулова труба;

добавлено другий міст, симетрично першому;

ферма зі скребками була замінена на лопаті, які закріплені на мостах.

Розрахунок резервуару установки.

Резервуар установки представляє собою радіальну ємність з робочим

об’ємом 100 м3. В середині ємності міститься циліндрична опірна колона для перемішуючого пристрою, яка має радіус 1 м.

Об`єму резервуару знаходиться за формулою:

V=S∙h

(3.1)


де S - площа кола в основі резервуару, м.- робоча висота резервуару, м.

Площа кола знаходиться за формулою:

S=

(2.2)


де  - математична константа, 3,14.- радіус кола.

Робоча висота резервуару була прийнята 1м, для кращого освітлення

всього об’єму води сонячними променями.[8] Глибина резервуару була прийнята 1,6 м, для запобігання проливанню води у разі дощів та непередбачених ситуацій.

Оскільки опірна колона знаходиться в центрі резервуару, вона зменшує

його об`єм на величну рівну своєму об`єму. Тому формула для об`єму резервуару разом з колоною має вигляд:

Vз =V р +Vк

(2.3)


де Vз - об`єм резервуару разом з об`ємом колони, м3р - об`єм резервуару, м3.к - об`єм резервуару, м3

Для проектування резервуару, необхідно знайти його радіус. Радіус

резервуару можна знайти Підставивши формули 2.1 і 2.2 у формулу 2.3 отримаємо:

=V р +Vк

(2.4)


З формули 2.4 можна виразити радіус резервуару:

 

(2.5)


Для розрахунку резервуару необхідно знайти об`єм колони. Оскільки колона циліндрична, її об`єм можна знайти за формулою 2. Отримаємо:

к=3,14∙12∙1=3,14 м3

Підставивши робочий об`єм резервуару і об`єм колони у формулу 5, можна знайти радіус резервуару:


Для спрощення будівництва резервуару, радіус вирішено прийняти 6м

Оскільки резервуар має об`єм 100 м3, а процес культивування 6 діб, то для досягнення проектної потужності, необхідно 13 таких установок.

2.7.2 Специфікація обладнання

Спеціальне обладнання наведено в таблиці 2.7.

Таблиця 2.7 - Специфікація обладнання

Поз.

Найменування

Кількість

Примітка

1

Резервуар

13


2

модифікований ілоскреб

13


3

решітка з ланцюговими граблями GVCC

1


4

насос 1Д1600-90

1


5

насос Дренажник 255/11 ФН

13


6

сепаратор спиртодріжджовий Г9-ВСБ-М

2


7

промислова сушила HGW100/18

2


8

фасувально-упаковочна лінія для сухих дрібнодисперсних пиляних продуктів

1



3. АВТОМАТИЧНИЙ КОНТРОЛЬ І КЕРУВАННЯ

В резервуарі нанесені відмітки для контролю за рівнем води. Зелена відмітка знаходиться на висоті 1м від дна резервуару, і свідчить про безпечний рівень вод для процесу. Перевищення цього рівня не має негативних наслідків для процесу, але є не бажаним. Червона відмітка знаходиться на висоті 1,3 м від дна і свідчить про необхідність зниження рівня води у резервуарі оскільки перевищення цього рівня може призвести до заповнення труби постачання і привести до небажаних наслідків.

3.1 Особливості контролю біотехнологічних підприємств

Сучасні біотехнологічні процеси вважаються керованими, хоча рівень керованості на різних виробництвах відрізняється. Особливостями мікробіологічних процесів, що враховують при розробці системи контролю виробництва є такі:

) необхідність забезпечення стерильності у біореакторі, включно з комунікаціями, датчиками, усіх матеріальні потоки, що йдуть до реактора;

) проведення культивування мікроорганізмів у системах „газ-рідина-тверде тіло” або „рідина-тверде тіло” за низької швидкості біохімічних процесів та багатокомпонентності складу поживних середовищ;

) виключно складне регулювання біосинтезу БАВ (або вирощування біомаси клітин) за постійної зміни фізико-хімічних показників культуральної рідини;

) велика чутливість біооб’єктів до впливу фізико-хімічних факторів під час перемішування та інших операціях Виключно важливим є контроль якості продуктів біосинтезу.

З метою організації якісного проведення передклінічних випробувань лікарських та інших біоактивних речовин у світі діє єдина уніфікована система GLP (Good Laboratory Practice). На систему GLP базуються дослідження пов’язані з випробуванням речовин: на мікробну зараженість (МАФАМ), на пірогенність; гастру і хронічну токсичність, на специфічну токсичність (канцерогенність, антигенність, фармацевтичну залежність, пошкодження зародкових клітин; алергенність; мутагенність тератогенність, цитотоксичність), на безпеку для макроорганізмів при введенні in vivo; проводять дослідження фармакокінетики та фармакодинаміки.

Для забезпечення високої якості продуктів виготовлених на основі промислового мікробіологічного синтезу Всесвітня Організація Охорони Здоров’я (ВООЗ) ще у 1968 році затвердила „Вимоги щодо практики якісного виробництва при виготовленні та контролі якості ліків і щодо спеціалістів у області фармацеї”.

У 1969 році ці вимоги ввійшли до правил системи GMP (Good Manufacturing Practice), для сфери міжнародної торгівлі. Тоді GMP була єдиною система вимог по контролю якості засобів з початку переробки сировини до виробництва готових препаратів, включаючи загальні вимоги до приміщень, устаткування і персоналу.

З 1975 р. правила GMP розширені, і вони стосуються різних хімічних і біологічних речовин у готовому вигляді, ветеринарних препаратів, вживаних у тваринництві; вихідних матеріалів для використання у дозованих формах, якщо вони включені законодавства країн-експортерів і країн-імпортерів; і, нарешті, інформації про безпеку і ефективність перерахованих речовин, матеріалів і препаратів.

З урахуванням видання в 1987 р. керівництва Міжнародної Організації Стандартизації (ISO) серії ISO 9000-9004 по системах якості, виникла необхідність переглянути існуючі вимоги GMP. У вересні 1991 р. на спеціальній конференції з GMP в м. Москві представлений переглянутий проект вимог GMP, що включає три частини:

) "Управління якістю в промисловому виробництві лікарських засобів: філософія і основні складові";

) "Практика якісного виробництва і контроль якості";

) "Додаткові і допоміжні напрями".

Згідно системи GMP операції з різними продуктами не повинні виконуватися одночасно і послідовно в одному і тому ж приміщенні поки не усунений ризик перемішування або перехресного забруднення.

Доступ у виробничі приміщення повинен бути обмежений лише певним коло, зайнятих у виробництві осіб. Уникати виготовлення немедичної продукції в зонах і на устаткуванні, призначених для виготовлення фармацевтичної продукції. При роботі з сухими матеріалами і продуктами необхідні запобіжні засоби для попередження виникнення, накопичення і розповсюдження пилу, що може привести до перехресного забруднення продуктів, що виготовляються, або до їх мікробного забруднення. Мікроби можуть потрапляти в повітря і на частинки пилу з забрудненням ними матеріалів і продуктів при виготовленні, із забруднених устаткування і одягу, шкіри працюючих людей. Перехресне забруднення може запобігти виготовленням кожного цільового продукту в роздільних зонах (пеніциліни, живі вакцини і інші біологічно активні речовини) або, принаймні, розділенням виготовлення їх за часом; забезпеченням відповідних повітряних шлюзів; носінням захисного технологічного одягу; використанням засобів ефективної деконтамінації устаткування, стін, та інше.; використанням "закритих систем" виробництва і т.д.

Необхідно перевіряти правильність і надійність з’єднань трубопроводів і інше устаткування, використовуване для транспортування продуктів (матеріалів) з однієї зони в іншу. Що дистилює або деіонізована вода, що поступає по трубах, повинна відповідати санітарно-мікробіологічним нормативам. Операції по технічному обслуговуванню або ремонту не повинні позначатися на якості продукції.

Контроль якості продукції стосується процесу забору проб, проведення досліджень, документації і ін. Всі дослідження повинні проводитися згідно затвердженим інструкціям для кожного матеріалу або продукту.

Забір проб здійснюють так, щоб не забруднити їх або не піддати небажаній дії, що позначається на якості продукту або, навпаки, щоб відібраний матеріал не був токсичним (шкідливим) для здоров'я оператора.

Для кожної партії продукту до випуску повинна бути лабораторна документація з підтвердженням відповідності кінцевого продукту специфікаціям.

З кожної партії цільового продукту залишають проби на зберігання за рекомендованих умов терміном не менше року, що перевищує термін придатності. Проби повинні зберігатися в такій кількості, щоб можна було при необхідності провести як мінімум два повторні дослідження.

Необхідно пам'ятати про те, що особи, що мають підвищену чутливістю до конкретної речовини, що діє або допоміжному, не повинні включатися в групу виконавців. Для них допустима робота у відділенні або цеху упаковки, де виключений контакт з алергеном.

Складність біологічних систем обумовлює необхідність всебічного багатопрофільного контролю за ними. Контроль та керування реалізують у безперервному та періодичному режимах в залежності від технологічних умов конкретного виробництва.

3.2 Основні групи показників якості продукції

Основними групами показників якості продукції є такі:

а) показники складу речовини;

б) показники функціональної ефективності.

Показники складу речовини:

вміст основної речовини;

вміст сторонніх домішок;

показники структури і фізико-хімічні характеристики.

Показники вмісту основної речовини:

вміст (%) вологого протеїну у кормовому препараті у перерахунку на абсолютно суху речовину (АСР);

вміст (%) білку у перерахунку на АСР;

вміст антибіотиків на 1кг препарату;

вміст вітамінів у 1кг препарату;

тітр препарату;

активність ферментних препаратів;

коефіцієнт біологічної активності;

інші показники.

Показники вмісту сторонніх домішок:

вміст (%) вуглеводів;

вміст металомагнітних домішок;

вміст у продукції речовин, що знижують якість продукції;

вміст (%) золи у перерахунку на АСР та інше.

Показники структури і фізико-хімічні характеристики:

розмір частинок;

вологість (%);

насипна маса (г/л);

розчинність;

густина (г/см3) та інше.

3.3 Контроль за технологією виробництва β-каротину

У процесі мікробіологічного синтезу β-каротину на основі культивування продуцента Blacheslea trispora повинні здійснюватися слідуючи види робіт по контролю якості виробництва:

)біологічна та хімічна перевірка сировини;

)визначення біохімічного складу поживних середовищ та культуральної рідини у процесі ферментації, величина pH;

) перевірка поживних середовищ на стерильність;

) контроль вирощування посівного матеріалу у колбах;

) контроль ведення процесу культивування у ферментері;

) контроль вирощування посівног8о матеріалу у посівному апараті;

) контроль процесу відділення міцелію та сушки;

) аналіз готової продукції;

) систематична перевірка стиснутого повітря та води на стерильність.

4. ОХОРОНА ПРАЦІ

.1 Характеристика негативних факторів проектованого об'єкта

На даному виробництві присутні наступні шкідливі виробничі чинники: фізичні, хімічні, біологічні.

Хімічно небезпечні фактори (аміак, сірководень, натрій хлорид).

На проектованому виробництві присутні наступні хімічно небезпечні фактори:

За фізіологічною дією на організм відноситься до групи речовин задушливої і нейротропної дії, здатних при інгаляційному ураженні викликати токсичний набряк легенів і важке ураження нервової системи. Аміак володіє як місцевим, так і резорбтивною дією.

Пари аміаку сильно подразнюють слизові оболонки очей та органів дихання, а також шкірні покриви. Це ми й сприймаємо як різкий запах. Пари аміаку викликають рясну сльозотечу, біль в очах, хімічний опік кон'юнктиви і рогівки, втрату зору, напади кашлю, почервоніння і свербіння шкіри. При зіткненні зрідженого аміаку і його розчинів з шкірою виникає печіння, можливий хімічний опік з пухирями, виразками. Крім того, скраплений аміак при випаровуванні поглинає тепло, і при зіткненні зі шкірою виникає обмороження різного ступеня.

Сірководень (H2S) - безбарвний газ, дуже токсичний з різким запахом тухлих лих яєць. При невеликих концентраціях в повітрі, викликає запаморочення голову, головний біль, нудоту, а при великих концентраціях кому, судороги, набряк легень і навіть смерть. [1] Гранично допустимою концентрацією сірководню в повітрі складає 10 мл/.

Натрій хлорид (NaCl) - це речовина у вигляді кристаликів, яка містить 93-99 % хлористого натрію і солей кальцію, магнію, калію, які надають їй гігроскопічності, жорсткості і гіркуватого присмаку.[1][2] Чим менше в солі цих домішок, тим вища її якість.

Сіль являє собою кристалічний сипкий продукт без запаху з солоним смаком без присмаку, в якому не допускається присутність сторонніх домішок, що не пов'язані з методом добуванні солі. Колір екстра та вищого гатунків - білий, однак для першого та другого допускаються сірий, жовтуватий, рожевий та голубуватий відтінки в залежності від походження солі[2].

Підвищена концентрація солей в повітрі може викликати запиленість приміщенні, що в свою чергу приведе до погіршення здоров’я робітників: зневоднення організму, пошкодження шкірного покриву, пошкодження слизистих оболонок очей та дихальних шляхів.

Гранично допустима концентрація натрій хлориду в повітрі робочої зони складає 5 мл/. Клас небезпеки ІІІ.

Також на виробництві будуть присутні різноманітні дезінфікуючі речовини. Їх склад може змінюватись в залежності від вимог виробництва. Вони можуть викликати отруєння організму, враження слизистих оболонок очей та дихальних шляхів. Деякі з цих речовин можуть бути легкозаймистими, що підвищить пожежонебезпеку на підприємстві.

Розрахунок можливої концентрації токсичної речовини у повітрі робочої зони.

Згідно з індивідуальним завданням розраховуємо концентрацію сірководню в повітрі робочої зони. Дані для розрахунку наведені в таблиці 4.1.

Таблиця 4.1 - Вихідні дані для розрахунку можливої концентрації речовини у повітрі робочої зони

Речовина

Розміри приміщення, м

Назва; густина,кг/м3

формула

ГДК, мг/м3

СL50, мг/м3

Об’єм, л

довжина

ширина

висота

Сірководень 1,538

10

1000

630

60

30

7,2


Концентрація сірководню в приміщенні знаходиться за формулою:

 (4.1)

де m - маса сірководню, мг;прим - об’єм приміщення, м3.

Маса речовини не відома, і знаходиться за формулою

= V∙ρ (4.2)

де V - об‘єм сірководню, 630∙10-3 м3;

ρ - густина сірководню, 1,538 кг/м3.

= 630∙10-3∙1,538= 0,9689 кг = 96,89∙104 мг

С==74,76 мг/м3

Розрахунок показав, що в разі аварії концентрація сірководню в повітрі буде перевищувати гранично допустиму концентрацію. Може викликати запаморочення голову, головний біль, нудоту, кому, судороги, набряк легень і навіть смерть.

Біологічно небезпечні об’єкт на даному виробництві може виступати мікроскопічної водорості Dunaliella salina. Патогенний вплив мікроскопічної водорості Dunaliella salina на організм людини не досліджений, але можна припустити що у людей з послабленим імунітетом вона буде викликати алергічні реакції. Гранично допустима концентрація органічного пилу в повітрі робочої зони 6 мл/. Клас небезпеки ІІІ.

Шкідливі фізичні фактори на виробництві представлені:

Рухомими частинами та механізмами - можуть спричиняти травми при неправильній експлуатації чи порушенні техніки безпеки.

Підвищена температура 100 °С поверхонь устаткування - при порушеннях норм експлуатації та техніки безпеки може призвести до опіків різної степені тяжкості.

Підвищена температура 60 °С повітря робочої зони - може викликати погіршення самопочуття, втрату свідомості.

Підвищений рівень шуму - виникає при неправильному експлуатуванні обладнання. Шум - це сукупність звуків різноманітної частоти та інтенсивності, що виникають у результаті коливального руху частинок у пружних середовищах. Викликає погіршення слуху, підвищену агресивність, нудоту, головні болі, дезорієнтацію в просторі, панічні атаки.

Підвищений рівень вібрації - виникає при неправильному експлуатуванні чи поломці обладнання. Вібрація - механічні коливання механізмів або машин. Може викликати травми, нудоту, головний біль, погіршується робота нервової системи, серцево-судинної системи, вестибулярного апарату.

Підвищена вологість повітря - виникає при надмірному вмісті водяної пари в повітрі робочої зони. Викликає алергічні реакції, астму, риніт.

Знижена вологість повітря - виникає при недостатньому вміст водяної пари в повітрі робочої зони. Викликає пересихання шкіри, подразнення слизистих оболонок, ангіну, проблеми с диханням.

Підвищенні значення напруги 380V - викликає опіки, враження струмом, погіршення самопочуття, при недотримання правил експлуатації та техніки безпеки.

Знижена рухливість повітря - виникає в приміщеннях з поганим рівним вентиляції. Призводить до погіршення самопочуття, головних болів, задухи, запаморочень.

Підвищений рівень статичної електрики - явище накопичення електричного заряду на поверхні тіл внаслідок електризації. Результатом збирання статичної електрики може бути іскровий розряд. Може призвести до ураження струмом.

4.2 Оцінка пожежовибухонебезпеки проектованого об’єкта

На об’єкті накопчується і зберігається висушена біомаса Dunaliella salina яка має гранично допустиму концентрацію в повітрі робочої зони 6 мл/. Клас небезпеки ІІІ. Та температуру самозаймання 380°С.

Дані для розрахунку наведені в таблиці 4.2.

Таблиця 4.2 - Вихідні дані для розрахунку пожежовибухонебезпеки проектованого об’єкта за індивідуальним завданням

Речовина

Формула

Склад вибухо-небезпечної суміші, % об.

Концентраційна межа вибуху, % об.




нижня

верхня

Ацетон

С3Н6О

60

2,2

13,0

Етиловий спирт

С2Н6О

30

3,6

19,0

Бензол

С6Н6

5

1,4

7,1

Діхлоретан

С2Н4Cl2

3

6,2

16,0

Оцтова кислота

С2Н4О2

2

3,3

22,0


Для більшості речовин які не вступають між собою в хімічну реакцію, нижню(верхню) межу вибуховості їх суміші розраховують за правилом Ле Шательє, яке передбачає адитивність горючих властивостей складної суміші, % об.:

НКВМ (4.3)

ВКМВ (4.4)

де С1, С2, Сn - концентрація n-го горючого компонента у суміші, % об.

НКМ1, НКМ2, … , НКМn - нижня концентраційна межа вибуховості n-го горючого компонента, % об.

ВКМ1, ВКМ2, …, ВКМn - верхня концентраційна межа вибуховості n-го горючого компонента, % об.

НКВМ=2,483 % об.

ВКМВ=13,937 % об.

4.3 Профілактичні заходи з охорони праці

Для зменшення травматизму та поліпшення умов праці робітників на підприємстві будуть введені наступні заходи:

Автоматизація виробничих процесів - що зменшить участь людського фактору в виробництві і відповідно до зменшення травматизму.

Установлення засобів огородження - для зменшення доступу робітників в небезпечні зони.

Установка сигналізації

Використання колективних та індивідуальних засобів захисту працюючих.

Облаштування вентиляційної системи.

Модернізація штучного та природного освітлення.

Впровадження заходів боротьби з шумом та вібрацією.

Обладнання зон відпочинку.

Проведення планово-запобіжних ремонтних робіт.

Проведення навчання та інструктажів працюючих.

5. ОРГАНІЗАЦІЙНО-ЕКОНОМІЧНА ЧАСТИНА

Дана технологія являється перспективною, оскільки дозволяє отримувати готовий продукт достатньо високої якості, що дозволяє вивести продукцію на міжнародний ринок. Широкі можливості по модернізації виробництва дають можливість підвищити вихід готового продукту з мінімальними додатковими затратами.

Широкий спектр використання готового продукту дозволяє не зациклюватися на певному ринку збут, що в свою чергу дозволить збільшити ринок збуту.

Технологія очищення стічних вод охоплює комплекс процесів з метою поліпшення її природних властивостей та вилучення небажаних інгредієнтів. В основу вибору процесу очищення води покладено порівняння якості води джерела стічної води із даними державного стандарту.

Результати зіставлення визначають вибір процесу поліпшення якості води. При цьому можуть виявитись конкуренто здатними кілька процесів водопідготовки. Тоді вибір певного процесу здійснюють згідно з даними еколого-техніко-економічного аналізу з урахуванням мінімальних затрат і досягнення високих технологічного та економічного ефектів.

Розрахунок виробничої програми для проектованого цеху наведено в таблиці 5.1.

Таблиця 5.1 - Виробнича програма отримання β-каротину

Найменування продукції

Натуральна одиниця виміру

Річний випуск продукції в натуральному вираженні

Оптова ціна за натр. Одиницю продукції, грн.

Вартість річного обсягу товарної продукції, грн.

β-каротину

кг

1000

1,1

1100

Сіль з β-каротином

кг

1000

42,25

42250


Розрахунок виробничої потужності виробництва

Під виробничою потужністю виробництва розуміють максимально можливий річний випуск продукції при найбільш повному використанні обладнання, наукової організації труда та виробництва.

Зважаючи на те, що головним обладнанням виробництва є басейн і виробництво працює по восьмигодинному графіку, без зупинок у святкові дні та вихідні, виробнича потужність розраховується за формулою:

Пвир = Рпасп × Теф × n (5.1)

де Рпасп - паспортна продуктивність обладнання за одиницю часу, (од. продукції за годину).

Теф - ефективний фонд часу роботи обладнання протягом року (години). n - кількість однотипного основного обладнання

Знаходимо річний ефективний фонд часу роботи ведучого обладнання за формулою:

Теф = Ткал - Ттз - Трем(5.2)

де Ткал - календарний час, год;

Ттз - час передбачений на технологічні зупинки;

Трем - час простоїв обладнання в планово-попереджувальних ремонтах (за нормами підприємства), год.

Календарний фонд часу роботи басейну дорівнює:

Ткал = 365 днів = 8760 годин

Час зупинок басейну на планово-попереджувальні ремонти розраховуємо за формулою:

Тппр = ( nк*tк+ nс*tс+ nп*tп)/Трц(5.3)

де nк - кількість у ремонтному циклі капітальних ремонтів.к - тривалість проведення одного капітального ремонту, год.;с - кількість у ремонтному циклі середніх ремонтів;с - тривалість проведення одного середнього ремонту, год.;п - кількість у ремонтному циклі поточних ремонтів;п - тривалість проведення одного поточного ремонту, год.;

У відповідності з нормативними даними про періодичність та тривалість ремонтів.

Кількість ремонтів в міжремонтному періоді дорівнює:

) кількість капітальних ремонтів nк =1

) кількість поточних ремонтів nс =6

) кількість технічних оглядів nп =12

Трц - тривалість ремонтного циклу

Тппр = (1*120+6*24+12*2) /1 = 288 годин

Технологічно неминучі зупинки передбачено в розмірі

Ттз = 552 години

Таким чином:

Теф = (365 *8*3) - 552 - 288 = 7920 годин

Знаходимо коефіцієнт екстенсивності, що характеризує обладнання за часом:

Кекс = Теф / Ткал (5.4)

Кекс = 7920 / 8760 = 0,90

Знаходимо коефіцієнт інтенсивності:

Кінт = Рфак / Рпас (5.5)

де Рпр - проектована годинна продуктивність басейну, т/год.

Рпасп - паспортна продуктивність басейну, т/год.

Зважаючи на те, що добова продуктивність установки 25000 м3/добу річна потужність складе 8250000 м3/рік.

Розрахунок планової продуктивності ведемо за формулою:

Рфак = Пцеху / п*Теф. (5.6)

Рфак =8250000 / (1*7920) = 1042 м3/год

Рпасп = 1170 м3/год

Коефіцієнт інтенсивності:

Кінт = 1042 / 1170 = 0,89

Розрахуємо інтегральний коефіцієнт, що характеризує обладнання за двома показниками разом:

Кі = Кекс × Кінт(5.7)

Кі = 0,90*0,89 = 0,80

Резерв потужності обладнання складає:

= 1 - Кі =(5.8)= 1 - 0,80 = 0,20

Знаходимо виробничу потужність цеху:

Пбезп = 1*7920*1170 = 9266400 м3/рік

Звідки коефіцієнт використання виробничої потужності - Квп:

Квп = Пцеху / Пбезп(5.9)

де Пцеху - плановий річний обсяг випуску продукції, м3/рік

Пбезп - річна потужність цеху, м3/рік

Квп = 8250000 / 9266400 = 0,89

ВИСНОВКИ

Виробництво β-каротин є унікальним біотехнологічним процесом. Це складний та багатостадійний процес заснований на періодичному культивуванні одноклітинної зеленої галобної мікроводорості Dunaliella salina (високопродуктивний штам CCMAR-71). Поживне середовище являє собою надсолону морську воду. Він є важливим для розвитку сільського господарства та медицини країни.

Оптимізація сучасного методу виробництва β-каротину є невідкладним завданням у галузі біотехнології. Процес характеризується складними змінами у культуральній рідині під час росту продуценту наслідком яких є нелінійна зміна концентрації поживних речовин, кислотності, вмісту у біомасі β-каротину. Біомаса, що містить натуральні каротиноїди нетоксична, має високу фізіологічну та економічну ефективність, є екологічно чистою речовиною. Це дозволяє використовувати біомасу як сировину для отримання високоякісного кристалічного β-каротину.

На основі вивчення теоретичних матеріалів та показників дослідницько-промислового процесу мікробіологічного синтезу β-каротину високопродуктивним штамом одноклітинної зеленої галобної мікроводорості Dunaliella salina у даній проектній роботі було розроблено: технологічну схему виробництва біомаси, що містить натуральні каротиноїди та блок-схему до неї; схему контроль виробництва за обраними контрольними точками; систему заходів по покрашенню екологічного стану на виробництві та охороні праці.

У підсумку всі наведені дані у роботі спрямовані на поліпшення виробництва та створення умов для розробки більш досконалих методів контролю та реалізації процесу культивування одноклітинної зеленої галобної мікроводорості Dunaliella salina на біотехнологічному підприємстві.

СПИСОК ЛІТЕРАТУРИ

1.      Peterson W.J. 1939. The carotenoid pigments. Kansas state printing plant, / W.J. Peterson, J.S. Hughes, L.F. Payne. 1939W.C. Austin, USA: 5-7.

.        Vogele A.C. 1937. Effect of Enviromental factors upon color of the tomato and the watermelon. / A.C. Vogele - Plant Phys.12:929-955.

.        Кудрицкая С. Е. Каротиноиды плодов и ягод. [Текст]: справ. изд. / С.Е. Кудрицкая. - К.: Вища школа, 1990 - 212с.

.        Бриттон Г. Биохимия природных пигментов: пер. с англ. [Текст]: справ. изд. / Г. Бриттон. - М.: Мир, 1986. - 422с.

.        Букин В.Н. Биохимия витаминов: избранные труды. [Текст]: справ. изд. / В.Н. Букин. - М.: Наука, 1982.-320с.

.        Воробьёва Л.И. Микробиологический синтез витаминов. [Текст]: справ. изд. / Л.И. Воробьёва. - М.: Изд-во МГУ, 1982. -168с.

.        Елинов Н.П. Химическая микробиология: учеб. для студентов химико-технол., технол., фармац., и др. ин-тов, аспирантов и практич. работников. [Текст]: справ. изд. / - М.: Высшая школа, 1989. - 448с.

.        Елинов Н.П. Основы биотехнологии. Для студентов институтов и практических работников. [Текст]: справ. изд. / Н.П. Елинов. - С.-Пб.: Издательская фирма «Наука», 1995. - 600с.

.        Егорова Н.С. Битехнология: [Текст]: Учеб. пособие для вузов. В 8 кн. /кн. 2 Современные методы создания штамов микроорганизмов / Дебалов В.Г., Лившиц В.А. - М.: Высшая школа, 1988. - 208с.

.        Карнаухов В.Н. Биологические функции каротиноидов. [Текст]: справ. изд. / В.Н. Карнаухов. - М.: Наука, 1988. -240с.

.        Красников Е.И. Каротинсинтезирующие дрожжи. [Текст]: справ. изд. / Е.И. Красников. - К.: Наукова думка, 1980. -171с.

.        Кунщикова И.С. Получение и применение микробиологического β-каротина. [Текст] / И.С.Кунщикова, А.С.Стенько, С.А. Васильченко // Микробиологическая промышленность. Обозр. информации. - 1987- Вып. 4.1-4.2.

.        Гудвин Т. Сравнительная биохимия каротиноидов: пер. с англ. [Текст]: справ. изд. / Т. Гудвин. - М.: Изд-во иностр. лит., 1954. - 366с.

.        Орехов В.С. Оптимизация процесса микробиологического синтеза β-каротина на основе изучения технологических показателей опытно-промышленного производства: Дис. канд. техн. наук. - К.: 1990, - 117с.

.        Иоффе И.Л. Проектирование процессов и аппаратов химической технолологии: [Текст]: Учебник для техникумов. / И.Л. Иоффе. - Л. Химия, 1991. - 352с.

.        Стенк Ф. Перемешивание и апараты с мешалками. Пер. с польск. под ред. Щупляка И.А. [Текст]: справ. изд. / - Л.: Химия, 1975. - 384с., ил.

.        Методичні вказівки по виконанню механічних розрахунків біотехнологічного обладнання з дисципліни „Устаткування виробництва та основи проектування” (для курсового та дипломного проектування) для студентів спеціальності 7.091607- „Біотехнологія”. Укл.: Гуляєв В.М.- Дніпродзержинськ: ДДТУ. - 2002р. - 15 с.

.        Деклараційний патент на винахід (Україна): UA №23897А від 23.12.1993 г. "Спосіб одержання β-каротину". Власник патенту -Український науково-дослідний інститут спирту і біотехнології продовольчих продуктів.

.        Деклараційний патент на винахід (Україна): UA №23897С2 від 15.06.2001г. "Спосіб одержання β-каротину". Власник патенту -Український науково-дослідний інститут спирту і біотехнології продовольчих продуктів.

.        Gonzalez M.J. Production of Dunaliella salina biomassrich in 9-cis- beta-carotene and lutein in a closed tubular photo bioreactor, Journal of Biotechnology,/ J. Moreno, J.C. Monzano, F.J. Florencio, M.G. Guerrero , 115 (2005) 1, 81-90.

21.    Ben-Amotz, A., The biotechnology of cultivating Dunaliella for production of β-carotene rich algae, Bio resource Technology, 38 (1991) 2-3, 233-235.

22.    Hejazi M.A., Wiiffels R.H., Effect of light intensity on β-carotene production and extraction by Dunaliella salina in two phase bioreactors, Biomolecular Engineering, 20 (2003) 4-6, 171-175.

.        Borowistzka L.J., Development of western biotechnology's algal β-carotene plant, Bio resource Technology, 38 (1991) 2-3, 251-252.

.        Ben-Amotz A., New mode of Dunaliella biotechnology twophase growth for β-carotene production, Journal of Applied Phycology, 7 (2003) 1, 65-68.

25.    Raja, R., Hemaiswarya, S., Rengasamy, R., Exploitation of Dunaliella for β-Carotene Production, Applied Microbiology and Biotechnology, 74 (2003) 3, 517-523.

26.    Ali Hosseini Tafreshi and Mansour Shariati, Pilot Culture of Three Strains of Dunaliella salina for β-Carotene Production in Open Ponds in the Central Region of Iran, World Journal of Microbiology and Biotechnology, 22 (2006) 9, 1003-1006.

.        Chidambara Murthy, K.N., Production of β-Carotene from Cultured Dunaliella Sp. And evaluation of Biological Activities, PhD Thesis, University of Mysore, India, December-2005.

.        Chidambara Murthy, K.N., Rajesha ,J., Vanitha,A., Sowmya, P.R., Mathadera Swamy, M., Ravishankar, G.A., In-VivoAntioxidant Activity of Cartenoids From Dunaliella salina-A green Microalgae, Life Sciences 76 (2005)12, 1381-1390.

.        Avron M., Ben-Amotz A., Dunaliella Physiology, Biochemistry and Biotechnology, CRC Press, 1992.

.        Вредные вещества в промышленности. [Текст]: справочник в 3-х томах / Под ред. Н.В. Лазарева - М.: Химия, 1991. - 271 с.

.        ГОСТ 12.1.005-88. ССБТ. Общие санитарно-гигиенические требования к воздуху рабочей зоны. [Текст] - Введ. с 1989-01-01. - М.: ИПК изд-во стандартов, 1989. - 126 с.

.        Вредные вещества в промышленности: Органические вещества: Новые данные с 1974 по 1984 г. [Текст]: Справочник / Под ред. Э. Н Левиной, И. Д. Гадаскиной. - Л.: Химия, 1985. - 464 с.

.        ГОСТ 12.0.003-74. Опасные и вредные производственные факторы. [Текст] - Введ. с 1976-01-01. - М.: Изд-во стандартов, 1976. - 2 с.

.        ДСТУ 3273-95. Безпечність промислових підприємств. Загальні положення та вимоги. [Текст] - Введ. з 1996-07-01. - К.: Держстандарт України, 1995. - 14 с.

.        ГОСТ 12.2.003-91. ССБТ. Оборудование производственное. Общие требования безопасности. [Текст] - Введ. с 1992-01-01. - М.: Изд-во стандартов, 1992. - 9 с.

.        ГОСТ 12.3.002-75. ССБТ. Процессы производственные. Общие требования безопасности. [Текст] - Введ. с 1976-07-01. - М.: Изд-во стандартов, 1976. - 7 с.

.        ДНАОП 0.03-1.07-73 Санітарні правила організації технологічних процесів та гігієнічні вимоги до виробничого обладнання. [Текст] - Введ. з 1973-01-01. К.: ІМЦ, 1973. - 12 с.

.        ГОСТ 12.1.044-84. ССБТ. Пожаровзрывоопасность веществ и материалов. Номенклатура показателей и методы их определения. [Текст] - Введ. с 1985-07-01. - М.: Изд-во стандартов, 1985. - 134 с.

.        Пожаровзрывоопасность веществ и материалов и средства их тушения [Текст]: справ. изд., в 2 кн. - М.: Химия, 1990. - 914 с.

.        Бесчастнов М.В. Взрывобезопасность и противоаварийная защита химико-технологических процессов. [Текст]: справ. изд. / М. В. Бесчастнов - М.: Химия, 1983. - 471 с.

.        Баратов А.Н. Пожарная безопасность. Взрывобезопасность. [Текст]: справ. изд. / А.Н. Баратов [и др.] - М.: Химия, 1987. - 272 с.

.        Захаров, Л.Н. Техника безопасности в химической лаборатории. [Текст]: справ. изд. / Л.Н. Захаров - Л.: Химия, 1991. - 336 с.

ДОДАТОК

Словник термінів

Культура мікроорганізмів - сукупність мікробів одного виду, вирощених на поживному субстраті. Найчастіше використовують культури бактерій та грибів. Для одержання культур вірусів і рикетсій потрібні спец, складні методи. Мікроорганізми, виділені з їхніх природних умов існування, звичайно неоднорідні й називаються мішаними культурами. З останніх шляхом багаторазового відсіву на рідкі чи тверді поживні середовища одержують чисті Культура мікроорганізмів (тобто не забруднені мікроорганізмами інших видів). Культура мікроорганізмів, вирощувані на незмінному поживному середовищі, називаються стаціонарними, а вирощувані в умовах його постійного оновлення - безперервними (проточними).

Ферментація - це анаеробний метаболічний розпад молекул (наприклад, цукрози або глюкози) за допомогою мікроорганізмів з отриманням таких продуктів як етанол, вуглекислий газ, молочна кислота, оцтова кислота, етилен тощо. Бродіння часто використовується для приготування або збереження продуктів харчування. Частіше, кажучи про бродіння, мають на увазі перетворення цукру на спирт за допомогою дріжджів, але, наприклад, при виробництві йогуртів використовується бродіння за допомогою інших бактерій.

Каротиноїди (лат. сarotinoida, лат. carota - морква) - жовті, жовтогарячі або червоні пігменти (циклічні чи ациклічні ізопреноїди), синтезовані бактеріями, грибами і вищими рослинами. Тварини зазвичай не утворюють К., але використовують їх для синтезу вітаміну А. До К. належать поширені в рослинах каротини і ксантофіли; лікопін (С40Н56) - у плодах томатів, шипшини, пасльону; зеаксантин (С40Н56О2) - у насінні кукурудзи; віолаксантин і флавоксантин - у плодах гарбуза; криптоксантин (C40H56O) - у плодах динного дерева; фізалін (C72H116O4 ) - у квітках і плодах фізаліса; фукоксантин (С40Н56О6) - у бурих водоростях; кроцетин (C20H24O4) - у рильцях шафрану; тараксантин (C40H56O4) - у квітках ротиків, білокопитника та ін.

Біологічні пігменти (біохроми) - забарвлені речовини, що входять до складу тканин організмів. Колір пігментів визначається наявністю в них молекул хромофорних груп, які вибірково поглинають світло в певній частині видимого спектру сонячного світла[1]. Пігментна система живих істот - ланка, що пов'язує світлові умови навколишнього середовища і обмін речовин організму. Біологічні пігменти грають важливу роль в життєдіяльності живих істот.

Похожие работы на - Бета-каротин: принцип застосування, культивування мікроорганізмів, аналіз становища і перспектив у виробництві

 

Не нашли материал для своей работы?
Поможем написать уникальную работу
Без плагиата!
Без нейросетей!