Адаптация и резервы роста и развития биологических систем

  • Вид работы:
    Курсовая работа (т)
  • Предмет:
    Биология
  • Язык:
    Русский
    ,
    Формат файла:
    MS Word
    112,43 Кб
  • Опубликовано:
    2013-11-25
Вы можете узнать стоимость помощи в написании студенческой работы.
Помощь в написании работы, которую точно примут!

Адаптация и резервы роста и развития биологических систем

МОСКОВСКИЙ ГОСУДАРСТВЕННЫЙ ТЕХНИЧЕСКИЙ УНИВЕРСИТЕТ ИМ. Н.Э. БАУМАНА










Курсовой проект по биофизике

Адаптация и резервы роста и развития биологических систем


Выполнила: Румянцева А.А.,

студентка группы БМТ1-61

Руководитель: докт. биол. наук,

проф. Акопян В.Б.




Москва, 2012

Оглавление

Введение

. Обзор литературы

.1 Адаптация и стресс

.2 Стресс, как неспецифический стимулятор

.3 Продуктивность биологических систем

.3.1 Резервы продуктивности биологических систем

.3.2 Реализация резервов при специфической и неспецифической

.4. Использование резервов организма

.4.1 Использование резервов организма в спорте

.4.2 Использование резервов организма в сельском хозяйстве

.4.3 Использование резервов организма в медицине

. Математическая модель

Заключение

Литература

Введение

Данная курсовая работа посвящена систематизации современных данных об адаптации, оценке резервов роста и развития (продуктивности) биологических систем, реализации резервов при неспецифической стимуляции.

Многообразие и изменчивость в сочетании с динамической стабильностью - основные свойства природы, неотъемлемой частью которой является человек. Вне зависимости от точек зрения на пусковой момент зарождения жизни на Земле, все живое с момента своего появления было наделено еще одним, едва ли не важнейшим свойством - приспосабливаемостью, которое в той или иной мере обеспечивало выживаемость вида, порой в несовместимых ранее с жизнью условиях их существования в среде.

Специалисту, объектом деятельности которого является человек, прежде всего, необходимо понимание того, что человеческий организм является относительно открытой самоорганизующейся системой, подверженной разнообразным и многочисленным воздействиям среды. И именно системный подход должен лежать в основе представлений о механизмах и сущности процесса адаптации - приспособления организма к условиям его существования в среде.

Задачи данной работы - описание процессов адаптации, использование резервов организма, создание простейшей модели адаптации организма к факторам, выводящим организм из состояния равновесия.

1. Обзор литературы

1.1 Адаптация и стресс

Адаптация - динамический процесс, благодаря которому подвижные системы живых организмов, несмотря на изменчивость условий, поддерживают устойчивость, необходимую для существования, развития и продолжения рода. Именно механизм адаптации, выработанный в результате длительной эволюции, обеспечивает возможность существования организма в постоянно меняющихся условиях среды.

Благодаря процессу адаптации достигается сохранение гомеостаза при взаимодействии организма с внешним миром. В этой связи процессы адаптации включают в себя не только оптимизацию функционирования организма, но и поддержание сбалансированности в системе “организм-среда”. Процесс адаптации реализуется всякий раз, когда в системе “организм-среда” возникают значимые изменения, и обеспечивает формирование нового гомеостатического состояния, которое позволяет достигать максимальной эффективности физиологических функций и поведенческих реакций. Поскольку организм и среда находятся не в статическом, а в динамическом равновесии, их соотношения меняются постоянно, и, следовательно, также постоянно должен осуществляться процесс адаптации.

Это относится и к животным, и к человеку. Однако отличием человека является то, что решающую роль в процессе поддержания адекватных отношений в системе “индивидуум-среда”, в ходе которого могут изменяться все параметры системы, играет психическая адаптация.

Психическую адаптацию рассматривают как результат деятельности целостной самоуправляемой системы, подчёркивая её системную организацию. Но при таком рассмотрении картина остаётся не полной. Необходимо включить в формулировку понятие потребности. Максимально возможное удовлетворение актуальных потребностей является важным критерием эффективности адаптационного процесса. Следовательно, психическую адаптацию можно определить как процесс установления оптимального соответствия личности и окружающей среды в ходе осуществления свойственной человеку деятельности, который позволяет индивидууму удовлетворять актуальные потребности и реализовывать связанные с ними значимые цели, обеспечивая в то же время соответствие максимальной деятельности человека, его поведения, требованиям среды.

Психическая адаптация является сплошным процессом, который включает в себя ещё два аспекта:

а) оптимизацию постоянного воздействия индивидуума с окружением;

б) установление адекватного соответствия между психическими и физиологическими характеристиками.

Изучение адаптационных процессов тесно связано с представлениями об эмоциональном напряжении и стрессе. Это послужило основанием для определения стресса как неспецифической реакции организма на предъявляемые ему требования, и рассмотрение его как общего адаптационного синдрома.

1.2 Стресс, как неспецифический стимулятор

адаптация стресс биологический резерв

Так как стресс возникает в основном от прогнозирования угрозы, то его появление в конкретной ситуации зависит от субъективных причин, связанных с особенностями индивидуума.

От фактора личности зависит очень многое, ведь индивидуумы не похожи друг на друга. Поэтому, те или иные условия вызывают эмоциональное напряжение не в силу их абсолютной жёсткости, а в результате несоответствия этим условиям эмоционального механизма индивида.

При любом нарушении сбалансированности “человек-среда” недостаточность психических или физических ресурсов индивидуума для удовлетворения необходимых потребностей или рассогласование самой системы потребностей является источником тревоги. Тревога представляет собой наиболее сильно действующий механизм психического стресса. Это вытекает из ощущения угрозы, которое является центральным элементом тревоги и обуславливает ее биологическое значение как сигнала возможного неблагополучия и опасности. [1]

Тревога может играть охранительную и мотивационную роль, сопоставимую с ролью боли. С возникновением тревоги связывают усиление поведенческой активности, изменение характера поведения. Но тревога может не только стимулировать активность, но и способствовать разрушению недостаточно адаптивных поведенческих стереотипов, замещению их более адекватными формами поведения.

В отличие от боли тревога - сигнал опасности, который еще не реализован. Прогнозирование этой ситуации носит вероятностный характер, а в конечном итоге зависит от особенностей индивида. При этом личностный фактор играет зачастую решающую роль, и в таком случае интенсивность тревоги отражает скорее индивидуальные особенности субъекта, чем реальную значимость угрозы.

Трудно представить, что приспособительные реакции организма к бесконечному числу действующих факторов могут быть представлены только их качественными характеристиками. Организм способен развивать только конечное число разнообразных по качеству реакций. В соответствии с этим, в случае существования только «качественных» ответов на специфические свойства действующих факторов, организм должен отвечать столь же бесконечным числом приспособительных (защитных) реакций, но что самое главное, практически невозможным становится соблюдение принципа «существенности» или «несущественности» действия для организма того или иного фактора и произошедших вне или внутри его изменений, что исключает всякую возможность «отбора» исключительно «существенных» факторов. Очевидно, должны существовать некие неспецифические, общие для всех действующих на организм факторов характеристики, отражающие, прежде всего, их количественные параметры и, на основании этих параметров, позволяющие организму автоматически (с целью нормализации происходящих в результате воздействий гомеостатических сдвигов) производить «отбор» наиболее «существенных» для него в данный момент средовых изменений. Именно неспецифическую часть «существенных» для организма изменений в ответ на действие экстремальных факторов наблюдал Г. Селье в своих ранних и последующих экспериментах. [2]

Открытый неспецифический ответ организма Г. Селье назвал общим адаптационным синдромом и писал по этому поводу: «Мы назвали этот синдром «общим» потому, что он вызывается лишь теми агентами, которые приводят к общему состоянию стресса … и в свою очередь вызывают генерализованное, т. е. системное защитное явление. Мы назвали его «адаптационным» потому, что он способствует приобретению состояния привычки и поддерживает это состояние. Мы назвали его «синдромом» потому, что его отдельные проявления координированы и даже отчасти взаимозависимы».

Дальнейшее изучение открытого синдрома, получившего название «стресс-синдром» или просто «стресс», показало, что реакция организма на действие экстремальных факторов протекает стадийно. Было выделено три стадии развертывания стресс-синдрома:

) реакцию тревоги (alarm reaction);

2) стадию резистентности (stage of resistence);

) стадию истощения (stage of exhaustion). [3]

Первая стадия стресса - стадия тревоги (реакция тревоги, alarm reaction) развивается через 6 часов после воздействия стрессора и длится 24-48 часов. Эта стадия характеризуется уменьшением размеров тимуса (орган человека <#"650043.files/image001.jpg">

(Рис.1) Зависимость увеличения продуктивности биологической системы в результате неспецифической стимуляции от ее исходной продуктивности

Кривая не пересекается ни с одной из осей - это свидетельствует о невозможности существования биологической системы, если ее продуктивность ниже определенного уровня и о том, что даже при самой высокой продуктивности организм должен иметь некий минимальный, неприкосновенный резерв.

Значительно более высокий резерв продуктивности (до 75%) наблюдается у гибридных организмов. Например, урожайность гибрида пшеницы и ржи - тритикале, в результате предпосевной стимуляции семян ультразвуком повышается на 50 - 75% за счет увеличения кустистости растений и озерненности колоса. В этом, как и в ряде других случаев, эффект стимуляции может наблюдаться как минимум во втором, дочернем поколении, что неудивительно: у здоровых родителей - здоровое потомство.

Попытки извлечь пользу из представлений о резервах организма и возможностях его реализации позволили разработать новые методы повышения урожайности растений и продуктивности животных, увеличения эффективности биотехнологических процессов, а также упростить один из весьма распространенных методов лечения нарушений обмена веществ. [6]

1.4.3 Использование резервов организма в медицине

Необходимость системного подхода в оценке уровня функционирования человеческого организма была осознана древними врачами Востока. Именно традиционную восточную медицину считают родоначальницей теории функциональных систем, истинность которой подтверждена тысячелетиями, современными научными исследованиями и практикой. Особенность системного классического подхода к оценке функционального состояния человека в традиционной восточной медицине состоит в том, что отдельные системы человеческого организма и сам человеческий организм, “как высокоорганизованная, неравновесная и самоорганизующаяся система” всегда рассматриваются в тесной связи с другими системами и с условиями среды, в которой данный организм существует. Такой подход не только позволяет достоверно оценивать уровни функционирования систем организма и самого организма в целом и с высокой точностью прогнозировать их динамику в связи с изменениями внешних или внутренних условий существования организма, но и предъявляет более высокие требования к знаниям специалистов, основным объектом деятельности которых является человек. [2]

Здоровье - состояние полного физического, психического и социального благополучия, а не только отсутствие болезней или физических недугов. Это означает, что здоровье - качественное состояние организма, которое позволяет ему в конкретных климато-географических, экологических и социальных условиях чувствовать себя с физической, психической, социальной и нравственной точек зрения наиболее комфортно. На оптимальном уровне здоровья у человека в соответствии с возрастными и индивидуальными нормами осуществляются все его физиологические функции, биохимические и поведенческие реакции (рождение, рост и развитие, создание и воспитание потомства, физическая, духовная, профессиональная и социальная адаптация).

Биологический аспект - врожденная и приобретенная способность адаптироваться к постоянным и быстро меняющимся природным, производственным и социальным условиям среды обитания и при этом поддерживать физическое и умственное благосостояние.

Медицинский аспект основывается больше на областях, связанных с установкой факторов риска, диагноза, установления этиологии, патогенеза болезней и восстановления здоровья.

Биологические и медицинские аспекты различны, но они взаимосвязаны: состояния здоровья и болезни ограничены состоянием напряжения, которое развивается в результате активации процессов адаптации, и используют резервы организма. Это борьба за поддержание и восстановление здоровья, использование физиологических ответов как оружия в этой борьбе.

Соотношение между действующей силой и способностями защиты определяет результат: восстановление здоровья или развитие болезни. Когда способность защиты теряется, тогда активизируются патологические механизмы, принося местный или общий патофеномен. Способность организма бороться за поддержание или восстановление здоровья может быть обобщена в термин «адаптационные резервы».

Адаптационно-приспособительная деятельность требует затрат энергии и информации (информации о том, к чему необходимо приспособиться организму), которая определяется степенью перенапряжения регуляторных механизмов и величиной расходованных функциональных резервов. Необходимо отметить, что под функциональными резервами понимаются регуляторные адаптивные возможности организма, которые определяются не только и не столько запасами субстратов, сколько наличием потенциальных механизмов их реализации в саморегулирующихся адаптивных функциональных системах. При этом мишенью поиска являются не проявления и признаки болезней в привычной их классификации по заболеваниям органов и тканей, а нарушения системной организации важнейших физиологических функций организма. Состояние обычной жизнедеятельности характеризуется наличием относительной уравновешенности реакций организма со средой и одновременным поддержанием гомеостаза внутри живой системы.

В качестве критериев пониженных резервных возможностей организма И.П. Бобровницкий (2001) выделяет следующие функциональные нарушения:

Гиперактивация (увеличение активности) стресс-инициирующих проявлений, и прежде всего симпато-адреналовой системы (важнейший компонентом механизма нейрогуморальной регуляции функций организма, активация сстемы обеспечивает быстрые адаптивные изменения в обмене веществ, направленные на мобилизацию энергии, а также обусловливает приспособительные реакции организма, особенно в экстремальных условиях нарушения гомеостаза) ;

сниженный потенциал стресс-лимитирующих систем (антиоксидантная защита, простагландины (группа липидных физиологически активных веществ), эндорфины, ГАМК (аминокислота, важнейший тормозной нейромедиатор центральной нервной системы человека и млекопитающих) и др.);

наличие стресс-повреждающих эффектов, и прежде всего признаков деструкции клеточных мембран;

признаки невротизации ( возбуждение нервного состояния; возникновение невроза.) личности;

нарушение психофизиологического статуса;

нарушение рефлекторного ответа и энергобиоинформационные расстройства;

пониженная переносимость функциональных нагрузочных проб (физической нагрузки, гипоксической пробы, статокинетической пробы, вестибулярных нагрузок, ортостатических проб, метаболических нагрузочных проб).

Концепция гомеостаза в настоящее время играет важную роль при анализе жизненных процессов на разных уровнях биологической системы. Гомеостатические свойства целостного организма являются результатом одновременного действия многочисленных и сложно организованных регуляторных механизмов, среди которых одно из важных мест занимает вегетативная регуляция физиологических функций, обеспечивающая постоянство уровней обмена веществ и энергии в организме. Способность к уравновешиванию со средой, или адаптационные возможности, являются одной из важнейших особенностей живой системы. Процесс адаптации организма к условиям внешней среды может быть зависим от взаимодействия между управляющим и исполнительным контурами регуляции.

В литературе нередко освещался вопрос о гипермобилизации физиологических резервов организма человека в экстремальных условиях. Излагаются факты выживания различных индивидуумов путем резкого повышения работоспособности: мышечной силы, быстроты, ловкости, скорости рефлекторных реакций и т.п.

Еще с прошлого века многие исследователи пытались изучать различные экстремальные условия жизнедеятельности человека. [6]

В этой работе, в качестве математической модели, будет рассмотрено изменение физиологических параметров, отвечающих за состояние здоровья организма. Например, изменение температуры тела человек (заметим, что различные отклонения от нормы давления человека, описывается таким же способом).

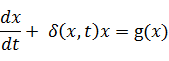
2. Математическая модель

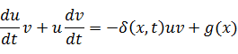
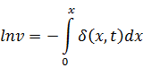
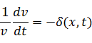
Рассмотрим процессы перехода организма человека из стабильного, здорового состояния в нестабильное, физиологически нездоровое состояние на примере «шарик в ямке».

Пусть система не явно зависит от времени, тогда f()=, следовательно, состояние характеризуется одной величиной - значением переменной  в данный момент времени .

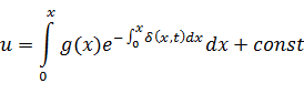
Рассмотрим изменение температуры человека. Известно, что норма - это 36,6°С (в подмышечной впадине). То есть это модель, которая возвращается в точно такое же начальное состояние после отклонения от него.

Рис. 1. Норма. Состояние равновесия. f()=

Состояние равновесия устойчиво, если задав сколь угодно малое положительное, всегда существует такое δ, что | (t) - ’| δ, для t0t.

Рис. 2. Отклонение от нормы под действием некой внешней силы δ(,t) .

Теперь равновесным состоянием становится g()=. В состояние, которое изображено на Рис.1 возможно вернуться, если воздействовать на объект силой . Чем быстрее начать лечение, т.е. применить силу, тем легче вернуться в состояние на предыдущем рисунке. Например, высокую температуру можно «сбить», приняв жаропонижающее средство или выспаться.


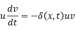
С течением времени становится меньше. Появляется порог, который мешает силе , вернуться в состояние на Рис.1.

Если объект будет долго находиться в этом состоянии, и не будет попыток вернуться в состояние на Рис.1, то дальше произойдет следующее:

Рис. 3 и Рис.4. Метастабильное состояние, в которое переходит объект, если не пытаться вернуться его в состояние, изображенное на Рис.1

Это состояние можно охарактеризовать, как квазистационарное. Величина порога  прямопропорциональна времени нахождения шарика в состоянии на Рис.4 в покое.

 ,  - временной коэффициент.

Ведь чем дольше человек не лечиться, тем больше прогрессирует заболевание.

Возможные кривые, по которым может устанавливаться равновесное состояние:

. Ветвь гиперболы


 описывается всем известным уравнением. Располагается в 1 четверти, поэтому. Это спокойный процесс, но очень долгий. Скорее всего, температура будет понижаться от 37°С до нормы с шагом 0,1°С в течении суток.

. Затухающие колебания


Описываются таким уравнением:


 - собственная частота затухающих колебаний;

 - коэффициент затухания;

 - собственная частота системы;

и  - const, определяемые из начальных условий.

В данных колебаниях большой период колебаний, который отвечает, в данном случае, за изменение температуры. Организму сложно адаптироваться к таким большим и частым перепадам. От 39°С температура падает до 35°С, после поднимается до 38,5°С, опускаясь, например, до 35,8°С и т.д.

. Затухающие колебания


И описывается уравнением, как в предыдущем варианте, но с меньшими периодом и частотой:


 - собственная частота затухающих колебаний;

 - коэффициент затухания;

 - собственная частота системы;

и  - const, определяемые из начальных условий.

Процесс похож на сумму 1 и 2 графиков: нет резких изменений и длится недолго. Температура с 38°С опустится до 35°С, затем придет в норму.

Можно сделать вывод, что именно последний процесс является самым удобным и принесет наименьший вред при восстановлении здоровой температуры тела.

Заключение

Результатом данной курсовой работы является обзор литературы, который отражает состояние вопроса адаптации и развития биологических систем, реализации резервов при неспецифической стимуляции и способах использования этих резервов в спорте, сельском хозяйстве и медицине.

В данной работе была представлена математическая модель адаптации организма человека на изменение его температуры тела. Было показано, что произойдет с организмом, если запустить болезнь, и возможные графики переходных процессов. Результатом математической модели является вывод о том, что наиболее благоприятным (без резких скачков температуры и без длительного ожидания) являются затухающие колебания, представленные как последний вариант.

Многим людям может показаться, что изучение механизмов адаптации организма проблема лишь физиологическая. Но реально работающие законы и принципы адаптации организма не могут не учитываться в реальной практике, например, медицины, педагогики (учитывая спортивную составляющую) и других научных и практических направлений, объектом внимания которых является человек и его сложные взаимодействия с окружающей средой.

Последние годы внимание мировой научной общественности приковано к решению разнообразных частных проблем физиологии и медицины.

Необходимо помнить, что любая теория - не только свод законов в окончательной редакции, а прежде всего принцип, призывающий упорядочить данные, накопленные экспериментальным путем, ответить на вопросы, которые уже стоят перед теоретиками и практиками, и формулировать новые вопросы, по возможности указывая пути их решения.

Литература:

1.      Ф.Б. Березин, Психическая и психофизиологическая адаптация человека // Л., 1988. С. 13-21. (с сокрщ.)

.        С.Е. Павлов, Т.Н. Кузнецова, Тестирование в спорте. Оценка уровня тренированности - традиции и реальность // В сб.: «Спортивно-медицинская наука и практика на пороге XXI века». - М., 2000. - С. 129.

.        Г. Селье, Очерки об адаптационном синдроме // М.: Медгиз, 1960.

.        В.Б. Акопян. Простая модель реакции организма на внешние воздействия. - URL: http://www.rusbiotech.ru/article/prostaya.php

.        Ф.З. Меерсон, М.Г. Пшенникова, Адаптация к стрессорным ситуациям и физическим нагрузкам. // М.: Медицина, 1988. - 256 с., ил.

.        Здоровье и резервные возможности человека. - URL: http://www.medafarm.ru

Похожие работы на - Адаптация и резервы роста и развития биологических систем

 

Не нашли материал для своей работы?
Поможем написать уникальную работу
Без плагиата!
Без нейросетей!