Шахтный подъем
Расчет скиповой подъёмной установки
Исходными данными для расчёта являются: годовая
производительность шахты Аг=930000 тонн в год и её глубина Нш=370 метров.
Глубина загрузочного и высота приёмного бункеров принимается в процессе
расчета.
В задачу расчёта входят: выбор подъёмного
сосуда, каната, типа подъёмной машины, мощности и числа оборотов приводного
двигателя, а также расчет энергетических показателей работы подъёма.
Последовательность расчёта.
. Расчет и выбор ёмкости подъёмного сосуда
а) определяется часовая производительность
подъёмной установки
, т/ч (1)
где С = 1.5-коэффициент резерва
производительности подъёмной установки;= 300-расчётное число рабочих дней
подъёмной установки в году;= 18-продолжительность работы подъёмной установки в
сутки, ч;
б) рассчитывается оптимальная грузоподъёмность
подъёмного сосуда
, кг (2)
где Н - высота подъёма, м.
Определяется в соответствии с принятой схемой
подъёмной установки. Для скипового подъёма
, м (3)
где
=
25 м-высота приемного бункера;
= 25 м-глубина
загрузочного бункера:
-продолжительность паузы,
с.
Примем:
с;
г = 930
103 т/год;
Нш = 370м.
тыс. т;
т/ч;
м;
6.241
103
кг
По (4,стр.33, табл.1) принимаем скип СН
7-185-1,1 с Qм=8320 кг и Qп=6470 кг.
кг,
- суммарная масса груза, кг
. Расчет и выбор подъёмного каната
а) при глубине шахты Нш
м:
, кг/м, (4)
где σв
= 1800 мН/м2-временное сопротивление разрыву проволок каната;= 6.5-коэффициент
запаса прочности каната, принимаем по ПБ;
Но - длина отвеса каната, м;= 9.8 м/с2-ускорение
свободного падения.
, м (5)
Высоту копра рассчитывают в соответствии с
выбранной схемой и рекомендации. Для случая расположения шкивов на одной
горизонтальной оси
(6)
где hпс = 10.21 м по (4,стр.33, табл.1)-высота
подъёмного сосуда;пр = 0.3 м- превышение скипа над приёмным бункером;пер = 3
м-высота переподъёма;
ρ = 8700 кг/м-плотность
подъёмного каната.
м,
Принимаем hк=41 м.
м
Для определения высоты копра диаметр шкива Dш
ориентировочно принимаем равным 4 метра; Rш = 2 м - радиус шкива.
кг/м
По (4,стр.35, табл.6) применяем стальной
круглопрядный канат с диаметром dк = 36.5 мм и расчётная масса 1м каната p =
5.795 кг.
Выбранный по каталогу подъёмный канат
проверяется на фактический запас прочности
(7)
где
кН
по (4,стр.35, табл.6) -расчетное суммарное разрывное усилие всех проволок
каната, кН;
. Расчёт и выбор основных размеров органа
навивки
К установке принимаем цилиндрическую машину.
Расчетный диаметр органа навивки:
(8)
м
Принимаем Dб = 4 м
), (9)
где Н-высота подъёма;рез = 30 м- резервная длина
каната;б - стандартное значение диаметра барабана;тр = 5 - мёртвые витки
трения;
- зазор между
витками;
м
Принимаем В=2.3 м, тогда по (4,стр.37, табл.9)
выбираем двухбарабанную подъёмную машину с цилиндрическими барабанами 2Ц4х2.3
Максимальное статическое натяжение груженой
ветви каната
(10)
Максимальное неуравновешенное статическое усилие
(разница натяжений гружёной и порожней ветвей канатов):
, (11)
где
и
-
допустимые нагрузки на машину из её технической характеристики.
кН;
=160 кН.
. Расположение подъёмной установки относительно
ствола шахты
Схема расположения подъёмной установки у ствола
шахты (рис.8) определяется следующими основными параметрами:к - высота копра;
С = 1м - превышением оси машины над устьем
ствола;
β - углом наклона
струны каната к горизонту;ш = 1.95 м- расстоянием между осями шкивов;
αн, αвн
- углами девиации каната соответственно наружным и внутренним.
Значение размера Во зависит от многих факторов.
Его минимальное значение определяется по выражению:
Воmin=0.6hк+3.5+Dб (12)
Воmin=0.6hк+3.5+Dб=32.1 м
Рациональное значение этого размера находится в
пределах
.9hк
(13)
.9
Примем Во=50 м.
Длина струны каната рассчитывается формулой
(14)
Принимаем Lстр = 63 м.
Угол наклона струны каната к горизонту
; 45
β
30
(15)
Расчет углов девиации для двухбарабанной
подъёмной машины (рис.1):
а) наружный угол девиации
; (16)
б) внутренний угол девиации
=
;
(17)
=
,
В формулах (19), (20) а = 0.14 м - расстояние
между внутренними ребордами барабанов; lш - расстояние между осями направляющих
шкивов, зависит от грузоподъёмности подъёмных сосудов.
Рис. 1 - Схема расположения подъёмной установки
у ствола шахты
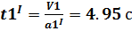
Кинематика подъёмной установки
Расчет продолжительности подъёмной операции
По известной часовой производительности
подъёмной установки и выбранной грузоподъёмности подъёмного сосуда время его
движения определяется в следующей последовательности:
количество подъёмов, ч
; (18)
Продолжительность одного цикла подъёма, с
; (19)
Принимаем Ту=91 с.
время движения подъёмных сосудов, с
(20)
.
Расчёт максимальной скорости подъёма
Для подъёмных установок, оборудованных
неопрокидными скипами с секторным затвором и проводом от асинхронного
двигателя, принимается прямолинейная пятипериодная диаграмма скорости (рис. 2).
При расчете диаграммы известными являются:
Н - высота подъёма;
Т - расчетное время движения;= 2,45 м, по
(4,стр.33, табл.1) - путь движения в кривых.
В соответствии с рекомендациями ПБ задаются:
а1 = 0.8 м/с2- ускорение вне кривых;
а3 = 0.8 м/с2- замедление вне кривых;
а1I = 0.2 м/с2-ускорение подъёмных сосудов в
кривых;
а3I = 0.2 м/с2- замедление подъёмных сосудов в
кривых;
При этом проверяются:
скорость схода порожнего скипа с кривых
; (21)
скорость входа груженого скипа в кривые
(22)
Для расчета максимальной скорости движения
фактическая пятипериодная диаграмма скорости заменяется условной трёхпериодной
с параметрами:
высота подъёма - Ну; время движения - Ту;
максимальная скорость -
,
м/с.
Максимальная скорость условной трёхпериодной
диаграммы
, (23)
где а - модуль скорости, определяемый по
формуле:
(24)
Vср.y - средняя скорость условной диаграммы:
(25)
Время условной диаграммы
. (26)
Высота подъёма Ну условной диаграммы
определяется выражением:
(27)
;
;

=4.465 м/с;
4.851
м/с;
Максимальная скорость фактической пятипериодной
диаграммы скорости равна:
(28)
Далее расчётная максимальная скорость
согласуется с Vmax по ПБ и корректируется по выбранному оборудованию в
следующей последовательности:
а) определяется число оборотов двигателя,
соответствующее расчетному значению максимальной скорости
, (29)
где i=11.5- передаточное отношение редуктора.
;
б) определяется ближайшее к расчетному
синхронное число оборотов асинхронного двигателя по выражению:
no =
,
(30)
где f = 50 Гц- промышленная частота тока;
р = 8-число пар полюсов;
=
=375 об/мин;
в) определяется номинальные обороты двигателя
(31)
где Sн = 0.003- номинальное скольжение
двигателя.
;
г) фактическая максимальная скорость подъёма
(32)
=6.625 м/с;
После установления значения фактической
максимальной скорости определяется:
время и путь ускоренного движения порожнего
скипа вне разгрузочных кривых:
(33)
(34)
;
время и путь замедленного движения груженого
скипа перед разгрузочными кривыми:
, c, (35)
(36)
;
время и путь равномерного движения:
(37)
(38)
;
фактическая продолжительность движения подъёмных
сосудов
(39)
с;
фактический коэффициент резерва
производительности подъёмной установки
; (40)
=1.634
Рис. 2 - Диаграммы скоростей и ускорений
Динамика подъёмной установки
Расчёт приведённой к окружности органа навивки
массы движущихся частей подъёмной установки
Предварительно решается вопрос об
уравновешивании подъёмной установки хвостовым (уравновешивающим) канатом.
Степень статической неуравновешенности определяется формулой
, (41)
де к = 1.15- для скипов.
Приведённая к окружности органа навивки масса
движущихся элементов подъёмной установки рассчитывается:
(42)
где
-
масса элементов подъёмной установки, совершающих поступательное движение,
истинно равное суммарной массе груза, подъёмных сосудов и канатов, кг;
-
масса элементов подъёмной установки, совершающих вращательное движение, условно
приведенная к окружности органа навивки, кг.
Масса элементов, совершающих поступательное
движение, определится как
п=Qп+2Qм+2Lгк
,
(43)
где Lгк - длина одной ветви головного каната, м,
(44)
;
п=Qп+2Qм+2Lгк
;
Приведенная к окружности органа навивки масса
вращающихся элементов подъёмной установки
(45)
где mб, mн.ш, mз.п, mр - приведённые к
окружности органа навивки массы соответственно барабана, направляющего шкива,
зубчатой передачи и ротора электродвигателя;
Кз.п = 1.3- коэффициент, учитывающий приведённый
к окружности органа навивки вес редуктора;
, кг, (46)
где
-
маховый момент машины, приведённый к тихоходному валу, принимается из
технической характеристики подъёмной машины;
, кг, (47)
где
=345
кН/м2 по (4,стр.35, табл.5) - маховый момент направляющего шкива, кН/м2,
принимается из технической характеристики шкива;
, кг, (48)
=2.2
кг;
Для определения махового момента ротора
приводного двигателя предварительно определяем его ориентировочную мощность
кВт, (49)
где ρ = 1.4 - коэффициент,
учитывающий динамический режим работы приводного двигателя, для скиповой
установки.
,
По (5,стр.43, табл.16) выбираем асинхронный
электродвигатель АКН-15-51-16 с частотой вращения 365 об/мин и мощностью 630
КВт и маховым моментом ротора
=19.7 кН
,
тогда:
кг;
кг;
кг;
Расчёт диаграммы усилий
Расчет движущих усилий на окружности органа
навивки производится по уравнению академика М.М.Фёдорова:
, (50)
где к=1.15 - коэффициент, учитывающий вредные
сопротивления движению; x- путь, пройденный сосудом от начала подъёма.
Применительно к рассматриваемому случаю
уравнение М.М.Фёдорова запишется:
. (51)
х=0 м, а=а1I=0.2 м/с2
H
x=ho=2.45 м,
a=a1I=0.2 м/с2
H=ho=2.45 м,
a=a1=0.8 м/с2
H=ho+h1=29.266 м,
a=a1=0.8 м/с2
H=ho+h1=29.266 м,
a=0 м/с2
H=ho+h1+h2=390.734 м,
a=0 м/с2
H=ho+h1+h2=390.734 м,
a= -a3=-0.8 м/с2
H=ho+h1+h2+h3=417.55
м,
a= -a3= -0.8 м/с2
H=ho+h1+h2+h3=417.55
м,
a= -a
=
-0.2 м/с2
H=ho+h1+h2+h3+ho=420
м,
a= -
=
-0.2 м/с2
H
Рис. 3 - Диаграмма усилий
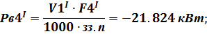
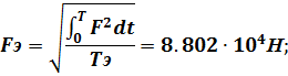
Мощность приводного двигателя
Точный расчет мощности приводного двигателя
производится на основании диаграммы движущих усилий и выполняется в следующей последовательности:
определяется эквивалентное усилие по выражению
(52)
Для пятипериодной диаграммы скорости (рис.2.3)
числитель формулы (2.52) состоит из пяти членов и рассчитывается так:
Tэ - эквивалентное время работы двигателя и для
приводных двигателей с самовентиляцией определяется:
(54)
где
-
коэффициенты, учитывающие ухудшение условий охлаждения двигателя и периоды
неустановившихся движения и пауз.
При расчетах принимается
;
.
Применяем механический тормоз
пружинно-гидравлический, тогда
кВТ. (55)
Окончательно по каталогу принимается двигатель
по эквивалентной мощности. Выбранный по каталогу двигатель проверяется по
условиям пусковой перегрузки.
(56)
где Fmax - максимальное усилие из диаграммы
движущих усилий;н - номинальное усилие выбранного двигателя, рассчитываемое по
выражению
(57)
=613.827 кВТ;
;
.
Расход энергии КПД подъёмной
установки
Расчёт мощности на валу двигателя и потребляемой
из сети
Для определения расхода энергии за подъём
рассчитывают мощности на валу двигателя и потребляемой из сети.
Мощность на валу двигателя и потребляемая из
сети рассчитывается на базе диаграмм скорости и движущих усилий (рис.4).
Мощность на валу двигателя
, кВт (58)
=0 кВт,
;
Мощность, потребляемая из сети,
(59)
где ηдв
= 92.4% - КПД двигателя.

Рис. 4 - Диаграммы мощностей
шахтный установка канат мощность
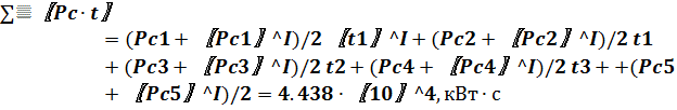
Расход энергии на один подъём
Действительный расход энергии на один подъём
представляет собой площадь диаграммы мощности, потребляемой из сети, и
рассчитывается:
(60)
Удельный расход энергии на одну тонну
(61)
;
Расход энергии на тонно-километр
;
КПД подъёмной установки
КПД подъёмной установки определяется как отношение
полезного расхода энергии на один подъём Wп к действительному расходу Wд
(62)
Полезный расход энергии на один подъём
определяется:
(63)
где Qп - масса полезного груза, кг.
Литература
1. Шахтный
подъём: Научно-производственное издание / Бежок В.Р., Дворников В.И., Манец
И.Г., Пристром В.А.; общ. Ред. Б.А. Грядущий, В.А. Корсун.- Донецк: ООО
«Юго-Восток, Лтд», 2007.-624с., 494 ил., 233 библиогр.
2. Методические
указания к расчету подъёмных установок по дисциплине «Стационарные машины» для
студентов специальностей 17.01, 09.02, 09.05, 08,06 / Сост.: А.И.Шишков, В.Г.Дерюгин,
В.И.Самуся, Е.А.Кириченко.- Днепропетровск: ДГИ, 1993.- 44 с.