Статистические методы в изучении преступности Российской Федерации
Введение
В последнее время достаточно остро стоит вопрос о социально-экономических
и политических противоречиях в России. Именно поэтому увеличилось количество
преступлений.
В наше время в российском обществе проблема преступности привлекает к
себе большое внимание, как ученых, так и общество в целом. В течение нескольких
лет наблюдается количественный рост преступности и ухудшение ее качественных
показателей.
Преступность, представляет собой совокупность преступлений, связанную с
социальной средой, имеет свои количественные и качественные характеристики,
отличные от характера отдельного преступления. В характеристиках преступности
проявляются ее определенные закономерности. Современный подход к преступности
как к социальной системе вызывает необходимость рассматривать ее как социально
обусловленное явление, характеризующееся системой определенных свойств и
параметров, которые могут быть количественно выражены в виде постоянных и
переменных величин.
Преступность - одно из страшных явлений в жизни общества. Она оказывает
влияние на все стороны жизнедеятельности населения, накладывает отпечаток на
образ жизни человека, напрямую связана с его жизнью, здоровьем, материальным
благополучием.
В настоящее время, преступность, как и мировые войны, и глобальные
катастрофы представляет огромную угрозу для существования человечества.
Преступность также представляет собой форму движения, т.е. процесс,
поскольку масштабные социальные системы не могут находиться в состоянии
статистики. Очевидно, поэтому преступность необходимо рассматривать как сложную
динамическую социальную систему.
Возможно описание преступности как системы статистического характера
набором параметров. Изучение ее процесса связано с необходимостью использования
математических методов. Поскольку преступность проявляется в виде
статистической совокупности составляющих ее элементов, речь должна идти, прежде
всего, о статистических методах. Преступность - статистическая система,
подчиняющаяся вероятностным закономерностям.
Объектом данной дипломной работы является уровень преступности в
Российской Федерации.
Цель работы - проанализировать уровень преступности с помощью основных
статистических методов.
Глава I. Основные понятия и задачи правовой
статистики
1.1 Предмет и метод правовой статистики
Основным и обязательным источником информации о преступности как массовой
статистической совокупности является уголовная (правовая статистика). Она
представляет собой не только статистические данные, но и специальные методы
исследования.
Правовая статистика - основанная на общих принципах и содержании
юридических наук система положений и приемов общей теории статистики,
применяемых к области изучения правонарушений и мер социального контроля над
ними. Она количественно исследует разнообразные стороны правовых нарушений -
уголовных, гражданских их уровень, структуру, динамику и направление развития,
причины и условия, им способствующие, всю совокупность мер борьбы с этими
нарушениями.
Различный характер правонарушений, которые призвана учитывать правовая
статистика, а также специфические особенности деятельности учреждений, которые
практически ею занимаются, обуславливают выделение трех самостоятельных
разделов правовой статистики:
1. Уголовно-правовая статистика. Объектом изучения данной статистики
является количественная сторона в неразрывной связи с качественными
особенностями преступности и мер государственного социального контроля над ней.
2. Административно-правовая статистика. Объект изучения -
количественная сторона в неразрывной связи с качественными особенностями административных
правонарушений и мер государственного социального контроля над ними.
. Гражданско-правовая статистика. Объектом изучения является
количественная сторона в неразрывной связи с качественными особенностями
гражданских правоотношений, рассматриваемых судом, арбитражем, нотариатом и
вынесенных ими решений.
Роль правовой статистики заключается в том, чтобы установить, как
работают следственные, судебные и исправительно-трудовые учреждения.
Зная, количество зарегистрированных преступлений, располагая сведениями о
нарушении семейного, трудового, жилищного права, можно более эффективно
осуществлять решение задач в укреплении правопорядка.
Отсюда следует, что предметом правовой статистики будет количественная
сторона тех явлений, которые входят в среду деятельности указанных органов.
Во-первых, преступности и мероприятий по борьбе с ней, во-вторых, гражданских
правонарушений, ставших объектом разбирательства в суде, нотариате или
арбитражном суде; и наконец, в-третьих, административных нарушений и мероприятий
по их предупреждению со стороны административных органов).
Цель правовой статистики - учет нарушений, которые рассматривают органы
МВД, прокуратуры, суда.
Для принятия эффективных мер укрепления правопорядка определения нужно в
первую очередь иметь достоверные данные о состоянии преступности, а в частности
иметь представления о ее структуре и динамике, причинах и условиях совершения
правонарушений. Изучение преступности начинается с обобщения и анализа данных
учета зарегистрированных преступлений и лиц, их совершивших, в масштабе города,
района, отдельного производственного или иного объекта.
Правовая статистика исследует, как охраняется личность, защищаются права
и свободы человека и гражданина, общественный порядок и безопасность.
Правонарушения, которые исследует правовая статистика - это категория
конкретно-временная. Ее социальная характеристика проявляется в четырех
моментах: во-первых, это их историческое происхождение; во-вторых, это деяния
конкретных людей, их сознательные поступки: в-третьих, тот ущерб, который они
наносят обществу.
К методам, с помощью которых правовая статистика изучает свой предмет,
относятся:
1) массовое статистическое наблюдение;
) сводка и группировка данных, которые были получены
при наблюдении, по качественно-определенным признакам;
) статистический количественный анализ показателей;
) всесторонний качественный анализ статистических
материалов.
1. Метод массового статистического наблюдения означает, что только путем
изучения большого количества преступлений, правонарушений можно установить
объективные закономерности в преступности.
. Сводка и группировка данных наблюдения по качественно-определенным
признакам - следующий метод правовой статистики. Данные, полученные путем
статистического наблюдения, должны быть сгруппированы по нужным признакам,
чтобы каждая группа представляла собой определенную качественную однородность.
Сводка и группировка данных позволит увидеть структуру изучаемых явлений,
сходства и различия.
. Статистический количественный анализ позволяет углубить изучение,
установить и измерить закономерности и взаимозависимости массовых правовых
явлений
. Всесторонний качественный анализ правовых количественных явлений
применяется на всех этапах статистического исследования:
при наблюдении
при группировке
при количественном анализе. Качественный анализ является
основополагающим.
На всех стадиях используются специальные методы, каждый из которых в
дальнейшем имеет самостоятельное значение для изучения и прогнозирования
преступности.
1.2 Основные показатели преступности
Показатели преступности играют весьма серьезную роль в улучшении
деятельности правоохранительных органов. Именно они, наряду с другими
источниками, дают возможность установить, как осуществляется правосудие и
утверждается судебная власть в государственном механизме в качестве
самостоятельной и влиятельной силы, независимой в своей деятельности от властей
законодательной и исполнительной, как защищаются основные права и свободы
человека, соблюдаются конституционные права граждан в судопроизводстве, как
работают прокуратура, следственные и контрольные органы. Практически правовая
статистика отражает своими показателями все стадии уголовного, гражданского,
административного процессов. Все они характеризуют, с одной стороны, абсолютные
и относительные размеры тех или иных правонарушений, а с другой - объем
проделанной работы, соответствующими органами.
К основным показателям относятся:
Ø Число совершенных преступлений.
Этот показатель не может быть достаточно полно отражен
в статистике, т.к. многие преступления совершаются скрытно, достаточно много
нераскрытых преступлений, которые не заносят в базу правоохранительных органов
и немало преступников очень профессионально скрывают следы преступлений.
Также не все потерпевшие сообщают в соответствующие
органы о преступлениях, связанных с ними.
А все это означает, что число зарегистрированных
преступлений - это не все совершенные преступления. Значит, при анализе
преступности можно анализировать два показателя: число рассмотренных заявлений,
органами внутренних дел и прокуратуры и число зарегистрированных преступлений.
Статистика преступлений отражает только те деяния,
которые были проверены и достаточно точно были подтверждены.
Ø Число лиц, совершивших преступления.
В статистике отражается только то число преступников,
вина которых была полностью доказана.
Общее число лиц, совершивших преступления, разделяют
на две категории:
) Лица, которые освобождаются от уголовной
ответственности, в связи с тем, что вина не была доказана а также потому, что
материалы дела отправляются в комиссию по делам о несовершеннолетних.
) Лица, чьи дела направлены в суд. Эта категория
включает как осужденных, так и оправданных, а также лиц, дела о которых
прекращены судом или направлены на дополнительное расследование.
Поэтому одновременно с данными МВД РФ следует
анализировать и судебную статистику, в том числе о количестве осужденных.
Ø Число потерпевших.
Ими могут быть как юридические, так и физические лица,
т. к. например кражи совершаются не только из квартир, но и из учреждений, предприятий.
Современная уголовная статистика ведет относительно
ограниченный учет потерпевших.
Но если раньше учитывалось только число лиц, погибших
в результате совершенных преступлений, то, начиная с 1993 г. стали учитываться
данные об иных потерпевших.
Ø Материальный ущерб.
Ранее статистика регистрировала только материальный
ущерб от хищений государственного или общественного имущества, как по делам,
которые были направлены в суд, так и по тем делам, которые были прекращены, по
которым по какой-либо причине было отказано в возбуждении уголовного дела.
В наше время судебная статистика также отражает
материальный ущерб. Но теперь по всем делам о преступлениях, повлекших этот
ущерб.
Важно иметь в виду, что в последнее время открыто,
публикуются данные уголовной статистики только по делам органов внутренних дел,
прокуратуры за исключением сведений об особо опасных, государственных, а также
всех воинских преступлений. Поэтому, общий криминологический анализ
преступности основывается на материалах открытой статистики. Он дополняется
анализом воинской и части государственной преступности, сделанным в
установленном режиме.
Ø Число организованных преступных
формирований
Эти данные практически не отражается в уголовной
статистике. Там только приводятся данные о числе преступлений, которые были
совершенны в составе организованных групп, числе фактов бандитизма, но не
дается число самих таких групп, число банд и т.д.
1.3 Источники информации о преступности
Для качественного изучения преступности необходимо
правильно отобрать источники информации о преступлениях. Источниками информации
о преступности являются:
. Показатели социально-экономической,
социально-демографической статистики.
Так, например, для вычисления коэффициента
преступности необходимы сведения о численности населения, эту информацию нам и
предоставит социально-экономическая и демографическая статистика.
. Статистические отчеты.
Данные о зарегистрированных преступлениях, отчет о
лицах, совершивших преступления, данные о лицах находящихся в местах лишения свободы,
отчет о преступлениях совершенных лицами, не достигшими совершеннолетнего
возраста и т.д. все эти данные предоставляются органами МВД, прокуратуры, судом
и прочими правоохранительными органами
. Статистические карточки первичного учета.
В данных карточках содержатся сведения о преступлении,
о лице, совершившем это преступление или о подсудимом. Иногда в карточках
содержится намного больше данных, чем в статистических отчетах, хотя эти
карточки составляются на основании первичного учета информации.
Данные карточек первичного учета вводятся в базу
данных информационных управлений внутренних дел, центры министерств.
По специальным программам при изучении преступности
можно проанализировать данные карточек.
. Данные о пьянстве, алкоголизме, наркомании и прочих
нарушениях. Они содержаться в материалах государственной статистики и
ведомственной.
. Результат изучения общественной психологии,
общественного мнения о преступности и борьбе с ней.
. Результаты наблюдений криминологов.
. Данные опросов осужденных.
. Результаты экспериментов, если они проводились.
Учет преступности основывается на регистрации
конкретных ее фактов:
фактов совершенных преступлений;
лиц, совершивших эти преступления;
жертв преступлений и сумм материального ущерба,
причиненного преступлениями организованных преступных формирований.
Однако современная статистика эти данные отражает
крайне неполно.
доход
население преступность статистика
Глава II. Статистические методы в изучении
уровня преступности населения Российской Федерации
.1 Метод группировок в изучении уровня преступности населения Российской
Федерации
Процесс обработки первичных материалов статистического наблюдения,
процесс теоретического обобщения статистических данных называется сводка
статистических данных. Основным инструментом статистики является статистическая
таблица. Такая форма представления данных наглядна, удобна и выразительна, она
облегчает анализ и делает его продуктивнее. Чтобы статистические таблицы
соответствовали своему назначению, необходимо обобщить первичный материал. Этим
целям и служит сводка.
Научной основой сводкой является группировка.
Группировка - это разделение единиц изучаемого явления по существенным
признакам для того, чтобы выявить конкретные типы явлений или внутри типа
охарактеризовать состав совокупности или взаимосвязи в изменении варьирующих
признаков. Иными словами группировка - это сведение статистических данных в
однородные группы. Из всех специфических приемов статистики группировка
является главным приемом и служит важнейшим средством обобщения статистических
данных.
Метод группировки является основой применения других методов
статистического анализа основных сторон и характерных особенностей изучаемых
явлений. По своей роли в процессе исследования метод группировок выполняет
некоторые функции, аналогичные функциям эксперимента в естественных науках:
посредствам группировки по отдельным признакам комбинации самих признаков
статистика имеет возможность выявить закономерности и взаимосвязи явлений в
условиях, в известной мере ею определяемых. При использовании метода
группировок появляется возможность проследить взаимоотношение различных
факторов и определить силу их влияния на результативные показатели.
Группировки могут проводиться по количественным и неколичественным
признакам. Если группировка проводится по одном признаку она называется
простой, если по нескольким признакам - комбинационной. При группировке по
количественным признакам большое значение имеет, какой принят интервал
группировочного признака, т.е. какие значения отделяют одну группу от другой.
В соответствии с основными тремя задачами, решаемыми с использованием
группировок, принято выделять три основных видов группировок: типологические,
структурные, аналитические.
Статистическая группировка - это разделение общей совокупности единиц
объекта наблюдения по одному или нескольким существенным признакам на
однородные группы, которые различаются между собой в качественном и
количественном отношении и позволяют выделить социально-экономические типы
явлений, изучить структуру совокупности или проанализировать взаимосвязи и
взаимозависимости между признаками.
Типологические группировки - это разграничение изучаемой совокупности на
однородные группы по существенному качественному признаку. При этом качественно
однородными совокупностями считаются такие, все единицы которых подчинены
определенному закону развития (качеству объекта). Для типологической
группировки не являются произвольными ни выбор, ни установление ее интервалов
по количественному признаку.
При построении типологической группировки основное внимание должно быть
уделено идентификации типов и выбору группировочного признака. Вопрос об
основании группировки должен решаться, исходя из сущности изучаемого явления.
Однако формирование типов явлений связано с конкретными условиями места и
времени. При построении типологической группировки в качестве группировочных
признаков могут выступать как количественные, так и атрибутивные (качественные)
признаки.
Таблица 2.1 Число зарегистрированных преступлений, всего (единиц)
|
Виды преступлений
|
2006
|
2007
|
2008
|
2009
|
2010
|
|
Всего
|
3855373
|
3582541
|
3209862
|
2994820
|
2628799
|
|
Убийство и покушение на
убийство
|
27462
|
22227
|
20056
|
17681
|
15563
|
|
Умышленное причинение
тяжкого вреда здоровью
|
51429
|
47348
|
45436
|
43112
|
39745
|
|
Изнасилование и покушение
на изнасилование
|
8871
|
7038
|
6208
|
5398
|
4907
|
|
Организация незаконных
формирований, банд и преступных организаций или участие в них
|
432
|
348
|
262
|
231
|
184
|
|
Похищение человека
|
994
|
837
|
698
|
633
|
519
|
|
Разбой
|
59763
|
45318
|
35366
|
30085
|
24537
|
|
Грабеж
|
357302
|
295071
|
243957
|
205379
|
164547
|
|
Кража
|
1676983
|
1566970
|
1326342
|
1188574
|
1108369
|
|
Кража из квартир
|
235649
|
210717
|
172808
|
152563
|
132695
|
|
Мошенничество
|
225326
|
211277
|
192490
|
188723
|
160081
|
|
Присвоение или растрата
|
65980
|
73489
|
72142
|
67266
|
44894
|
|
Хулиганство
|
28645
|
20360
|
13589
|
9474
|
7219
|
|
Угроза убийством или
причинением тяжкого вреда здоровью
|
109554
|
105038
|
98170
|
101180
|
84643
|
|
Нарушение правил дорожного
движения и эксплуатации транспортных средств, повлекшее по неосторожности
смерть человека
|
15762
|
15520
|
13560
|
10602
|
10344
|
|
Неправомерное завладение
автомобилем или иным транспортным средством без цели хищения
|
58565
|
55258
|
50313
|
45833
|
41167
|
|
Взяточничество
|
11063
|
11616
|
12512
|
13141
|
12012
|
По данным таблицы можно сделать вывод, что самое большое кол-во
преступлений было совершено в 2006 году-3855373 (единиц). Затем можно заметить
что наш показатель снижается с каждым годом и уже в 2010 году было
зарегистрировано самое минимальное кол-во преступлений-2628799 (единиц)
Структурная группировка - это распределение типически
однородных групп по количественным признакам, которые могут изменяться..
Структурные группировки применяются практически в изучении всех
социально-экономических процессов и явлений. При построении структурной
группировки в качестве группировочных признаков могут выступать как
количественные, так и атрибутивные (качественные) признаки. Практическое
применение структурных группировок позволяет на локальном уровне раскрыть
структуру совокупности, проанализировать изучаемые явления и процессы,
изменения состава совокупности во времени, если они прослеживаются за ряд
последовательных периодов времени.
Таблица 2.2 Структура зарегистрированных преступлений
по видам, %
|
Виды преступлений
|
2006
|
2007
|
2008
|
2009
|
2010
|
|
Всего
|
100
|
100
|
100
|
100
|
100
|
|
Убийство и покушение на
убийство
|
0,71
|
0,62
|
0,62
|
0,59
|
0,59
|
|
Умышленное причинение
тяжкого вреда здоровью
|
1,33
|
1,32
|
1,42
|
1,44
|
1,51
|
|
Изнасилование и покушение
на изнасилование
|
0,23
|
0,20
|
0,19
|
0,18
|
0,19
|
|
Организация незаконных
формирований, банд и преступных организаций или участие в них
|
0,01
|
0,01
|
0,01
|
0,01
|
0,01
|
|
Похищение человека
|
0,03
|
0,02
|
0,02
|
0,02
|
0,02
|
|
Разбой
|
1,55
|
1,26
|
1,10
|
1,00
|
0,93
|
|
Грабеж
|
9,27
|
8,24
|
7,60
|
6,86
|
6,26
|
|
Кража
|
43,50
|
43,74
|
41,32
|
39,69
|
42,16
|
|
Кража из квартир
|
6,11
|
5,88
|
5,38
|
5,09
|
5,05
|
|
Мошенничество
|
5,84
|
5,90
|
6,00
|
6,30
|
6,09
|
|
Присвоение или растрата
|
1,71
|
2,05
|
2,25
|
2,25
|
1,71
|
|
Хулиганство
|
0,74
|
0,57
|
0,42
|
0,32
|
0,27
|
|
Угроза убийством или
причинением тяжкого вреда здоровью
|
2,84
|
2,93
|
3,06
|
3,38
|
3,22
|
|
Нарушение правил дорожного
движения и эксплуатации транспортных средств, повлекшее по неосторожности
смерть человека
|
24,31
|
25,39
|
28,65
|
24,50
|
22,20
|
|
Неправомерное завладение
автомобилем или иным транспортным средством без цели хищения
|
1,52
|
1,54
|
1,57
|
1,53
|
1,57
|
|
Взяточничество
|
0,29
|
0,32
|
0,39
|
0,44
|
0,46
|
Из таблицы видно, что 2006 году, из всех видов правонарушений, больше всего
совершалось краж-43,5 %. Этот показатель увеличился к 2007 году на 0,2 %, а вот
в последующие года 2008 и 2009 можно заметить тенденцию к снижению, но в 2010
году этот показатель снова увеличился и составил 42,2%. Так же можно отметить
что второе место занимает нарушение правил дорожного движения и эксплуатации
транспортных средств, повлекшее по неосторожности смерть человека - 28,7% в
2008 году, но к 2010 году этот показатель начинает незначительно снижаться и
составил 22,2%. Показатели минимальны в таких видах правонарушений как
бандитизм 0,01% ( с 2006 по 2010 гг), похищение человека (0,03% в 2006 и 0,02%
с 2007 по 2010гг)
Аналитические группировки - это распределение по взаимосвязи между двумя
или несколькими разнородными группами явлений или их признаками. Изменение
любого явления в конечном счете обуславливается влиянием на него других явлений
с которыми оно связано. При исследовании взаимосвязей принято явления и их
признаки подразделять на факторные и результативные. Факторными называются
признаки (явления), вызывающие изменение другого, зависящего от них признака
(явления). Последний (зависящий) носит название результативного признака
(явления).
Аналитическая группировка ставит своей целью выявить и установить
количественное выражение степени связи между факторным и результативным
признаками (явлениями) в конкретных условиях места и времени. Ведь один и тот
же фактор в одних условиях может оказывать сильное влияние на результативный
признак (явление), в других - слабое. В этом случае говорят о наличии или
отсутствии связи между изучаемыми признаками (явлениями).
.2 Относительные, абсолютные и средние величины в изучении преступности
населения
Статистический показатель - это число, характеризующее определенную
особенность одного или совокупности общественных явлений.
Абсолютные показатели характеризуют итоговую численность единиц
совокупности или ее частей, размеры (объемы, уровни) изучаемых явлений и
процессов, выражают временные характеристики. Абсолютные показатели могут быть
только именованными числами, где единица измерения выражается в конкретных
цифрах. В зависимости от сущности исследуемого явления и поставленных задач
единицы измерения могут быть натуральными, условно-натуральными, стоимостными и
трудовыми.
Таблица 2.3 Состав лиц, совершивших преступления, по полу, возрасту и
виду занятий (тыс. человек)
|
Выявлено лиц, совершивших
преступления.
|
2006
|
2007
|
2008
|
2009
|
2010
|
|
1361
|
1318
|
1256
|
1220
|
1111
|
|
в том числе:
|
|
|
по полу:
|
|
|
мужчины
|
1156
|
1117
|
1055
|
1026
|
939
|
|
женщины
|
205
|
201
|
201
|
194
|
172
|
|
по возрасту во время
совершения преступления, лет:
|
|
|
14-15
|
44,1
|
38,1
|
29,6
|
23,7
|
21,5
|
104
|
93,9
|
78,3
|
61,8
|
51,2
|
|
18-24
|
378
|
363
|
334
|
312
|
278
|
|
25-29
|
242
|
238
|
230
|
228
|
209
|
|
30-49
|
478
|
470
|
470
|
479
|
448
|
|
50 и старше
|
114
|
115
|
114
|
115
|
103
|
|
по занятию на момент
совершения преступления:
|
|
|
|
|
|
|
рабочие
|
277
|
276
|
263
|
228
|
200
|
|
работники сельского
|
8,1
|
6,7
|
5,9
|
5,3
|
4,3
|
|
хозяйства
|
|
|
|
|
|
|
служащие
|
63,5
|
60,5
|
47,5
|
53
|
45,4
|
|
учащиеся
|
90,1
|
83,8
|
91
|
77,7
|
72
|
|
лица без постоянного
|
811
|
785
|
764
|
786
|
730
|
|
источника дохода
|
|
|
|
|
|
|
из них безработные
|
84,1
|
74,5
|
67,3
|
55,1
|
54,3
|
По данным Росстата можно сделать вывод о преобладании мужского пола в
совершении преступлений. Самый высокий показатель был в 2006 году-1361 тыс.
чел., с каждым годом кол-во преступлений, совершенных мужчинами снижается и уже
к 2010 году этот показатель составил 1111 тыс. чел. Что касается возраста, то
мы можем заметить, что больше всего совершается преступлений лицами в возрасте
30-49 лет. В 2006 году преступления совершили 478 тыс. чел, самый высокий
показатель по этим данным был в 2009 году - 479 тыс. чел., а самый низкий в
2010 году - 448 тыс чел. Также можно сделать вывод о том, что меньше всего
преступлений совершается лицами в возрасте 14-15 лет. По данным таблицы можно
увидеть, что большинство лиц без постоянного источника дохода совершают
преступления. Самый высокий показатель был в 2006 году - 811 тыс. чел., с
каждым годом кол-во преступлений, совершенных данной группой лиц уменьшается.
Имеются данные за период с 2000 по 2010 гг. о преступности
несовершеннолетних. (Таблица 2.4)
Преступность несовершеннолетних это один из важнейших показателей в
социальной статистике.
Как известно, достаточно много преступлений совершено лицами, не
достигшими совершеннолетнего возраста.
По данным переписи населения в местах лишения свободы, большинство
осужденных начинали свою преступную карьеру в несовершеннолетнем возрасте.
Иногда несовершеннолетние совершают особо тяжкие преступления по
ничтожному поводу, например проигрыш в карты, споры.
Одной из главных причин совершения преступлений является неблагополучие в
семье. Правонарушения совершают социально незащищенные дети, которые
подвергаются насилию. По официальной статистике из дома убегает 50 тыс.
несовершеннолетних. Причины самые разные: плохие отношения с родителями,
алкоголизм родителей, нежелание учиться и т.д. Получается, что преступления
совершаются детьми, которые сами стали жертвой преступления.
Огромное влияние на детей оказывают игровые клубы, которые требуют
постоянных денежных вложений, тем самым толкают несовершеннолетних на всякого
рода преступления.
Отсутствие у родных и близких стимула заботиться о малышах, давать им все
необходимое для жизни: питание, кров, толкает детей на поиски заработка, чтобы
выжить в наше нелегкое время, а также помочь родителям с продуктами, жильем. В
итоге получается, что заработок выше у тех детей, которые занимаются
противоправным трудом: наркотики, проституция. Практически все дети,
вовлекаемые в нелегальный бизнес, становятся жертвами преступных группировок.
Но не только дети, из неблагополучных семей, занимаются нелегальным
бизнесом. Множество несовершеннолетних стремятся «жить красиво» из - за
большого достатка, тем самым также совершают правонарушения. Очень много стало
совершаться преступлений детьми не ради корысти, а ради интереса. Так, например,
часто убивают бомжей, с особой жестокостью.
Таблица 2.4 Число преступлений, совершенных несовершеннолетними и при их
соучастии (единиц).
|
Федеральные округа РФ
|
2000
|
2001
|
2002
|
2003
|
2004
|
2005
|
2006
|
2007
|
2008
|
2009
|
2010
|
|
Российская Федерация
|
195426
|
185379
|
139681
|
145368
|
154414
|
154734
|
150264
|
139099
|
116090
|
94720
|
70955
|
|
Центральный федеральный
округ
|
36661
|
34291
|
24159
|
24214
|
26894
|
28167
|
25330
|
22663
|
19213
|
15476
|
12565
|
|
Северо-Западный федеральный
округ
|
23768
|
21576
|
14385
|
14362
|
13899
|
13886
|
13081
|
12825
|
10116
|
8027
|
6607
|
|
Южный федеральный округ
|
14472
|
13788
|
11086
|
12110
|
12495
|
12650
|
12983
|
12758
|
11697
|
9598
|
6052
|
|
Приволжский федеральный
округ
|
41088
|
40630
|
29118
|
31065
|
34576
|
34416
|
33517
|
30947
|
24172
|
20084
|
16295
|
|
Уральский федеральный округ
|
21195
|
20298
|
16303
|
16384
|
18023
|
17720
|
17285
|
14958
|
12242
|
11218
|
9785
|
|
Сибирский федеральный округ
|
36896
|
34848
|
29128
|
31126
|
32094
|
31792
|
31187
|
29521
|
25531
|
19985
|
17502
|
|
Дальневосточный федеральный
округ
|
14094
|
13072
|
10694
|
11196
|
11598
|
11382
|
12114
|
11435
|
9913
|
7939
|
6596
|
Наглядно рассмотрим на графике.
Рис. 2.1
По графику можно увидеть, что больше всего совершалось преступлений в
2000 г. в Приволжском ФО - 41088 ед., меньше всего в Дальневосточном ФО - 14094
ед. Также можно заметить, что с 2000 г. по 2002 г. количество преступлений в РФ
стало уменьшаться, с 2002 г. по 2006 г. этот показатель снова увеличился, а с
2006 г. по 2010 г. шла заметная тенденция к уменьшению количества преступлений.
Если в 2000 г. показатель составил 195426 единиц, то в 2002 г. - 139681. В таких
ФО, как Северо-западный ФО, количество преступлений значительно уменьшается с
каждым годом. Если в 2000 г. показатель составил 23768 ед., то к 2010 г. уже
6607 ед.
В последнее время стало проводится очень много профилактик с лицами не
достигшими совершеннолетнего возраста, но пока эти профилактики не привели к
ожидаемому эффекту. Необходимо создавать соответствующие комиссии, по работе с
несовершеннолетними, которые будут следить за образом жизни трудных подростков,
принимать соответствующие меры по их воспитанию.
Борьба с детской преступностью должна выполняться комплексно, а это
значит, что с правонарушителями должны бороться не только полиция, прокуратура
и суды. Уровень преступности зависит и от общей социально-экономической,
политической обстановки в стране. Должны быть прекращена трансляция насилия по
СМИ, с различными кровавыми сценами, т.к. после этого не только дети, но даже
взрослые хотят применить увиденное на практике.
В
уголовной статистике <#"609247.files/image002.gif">
По
данным на 2010 год
<#"609247.files/image003.gif">
Данная диаграмма показывает, что большинство лиц, совершивших
преступления это мужчины, что нельзя сказать про женский пол. Самый высокий
показатель совершенных преступлений среди мужчин был зарегистрирован в 2006
году- 84,9 %, к 2010 году показатель снижается, у женщин самый высокий - 16,0%
в 2008 году, самый низкий в 2006 году и составил 15,1 %.
Рис. 2.3
По данному графику можно сделать вывод, что большинство преступлений
совершается лицами в возрасте 30-49 лет, меньшинство преступлений приходится на
возраст 14-15 лет.
Рис. 2.4
По данным графика можно увидеть, что большинство лиц совершивших
преступления не имеют постоянного источника доходов, самый минимальный
показатель это работники сельского хозяйства, они по нашим данным меньше всего
совершают преступления.
Преступность как явление можно оценить в определенных
количественных и качественных характеристиках. Основными показателями
преступности являются: уровень, динамика и структура. Всю совокупность
качественно-количественных показателей часто именуют состоянием преступности.
Тогда состояние преступности в узком смысле называют уровнем преступности.
Уровень
преступности характеризует ее в количественных параметрах, отвечая на вопрос,
сколько совершено, зарегистрировано преступлений, осуждено преступников. Он
измеряется в абсолютных и относительных показателях. Уровень преступности в
относительных показателях показывает, какое число зарегистрированных
преступлений (или лиц, их совершивших) приходится на заданное число населения
(обычно на 100 тыс. жителей)
При этом используется следующая формула:
где П - число зарегистрированных преступлений на определенной территории
за определенный период времени (или число лиц, их совершивших);
Н - число жителей, проживающих на этой территории (К - это коэффициент
преступности).
Рассчитаем данный коэффициент в целом по Российской Федерации за
2006-2010 гг.
Таблица 2.7 Общий коэффициент преступности в Российской Федерации за
период с 2006 по 2010 гг.
|
2006
|
2007
|
2008
|
2009
|
2010
|
|
|
Выявлено лиц, совершивших
преступления-всего, тыс. чел
|
1360,9
|
1317,6
|
1256,2
|
1219,8
|
1111,1
|
|
Население в возрасте 15 и
более - всего, тыс. чел.
|
142753,6
|
142221,0
|
142008,8
|
141904,0
|
141914,5
|
|
Общий коэффициент
преступности. На 100000 чел.
|
953,3
|
926,4
|
884,6
|
859,6
|
783,0
|
|
По данным таблицы можно сделать вывод о том, что в 2006 году на каждые
100000 человек приходится 953,3 лиц совершивших преступление. Также мы можем
заметить, что с каждым кодом количество лиц, совершивших преступление
уменьшается и уже к 2010 году этот показатель составил 783,0
Таблица 2.8 Далее рассчитаем общий коэффициент преступности по округам
Российской Федерации за 2010 год.
|
Выявлено лиц, совершивших
преступления-всего, тыс. чел
|
Население в возрасте 15 и
более - всего, тыс. чел.
|
Общий коэффициент
преступности. на 100000 чел.
|
|
Центральный федеральный
округ
|
214,4
|
37118,0
|
577,6
|
|
Северо-Западный федеральный
округ
|
98,5
|
13437,1
|
733,4
|
|
Южный федеральный округ
|
96,5
|
13713,5
|
703,5
|
|
Приволжский федеральный
округ
|
229,1
|
30109,4
|
761,0
|
|
Уральский федеральный округ
|
113,0
|
12280,1
|
920,4
|
|
Сибирский федеральный округ
|
210,6
|
19561,1
|
1076,7
|
|
Дальневосточный федеральный
округ
|
67,0
|
6440,4
|
1040,5
|
Рассчитав общий коэффициент преступности по округа Российской Федерации
можно сказать, что самый высокий показатель наблюдается в Сибирском ФО- 1076,7
лиц на 100000 человек. Самый минимальный показатель в Центральном ФО- 577, 6
лиц на 100000 человек, примерно одинаковый показатель в Южном ФО - 733,4,
Северо-Западном ФО - 733,4, Приволжском ФО - 761,0.
Средние величины играют особую роль в статистическом исследовании. Это
определяется задачей статистики - выявление закономерностей массовых явлений.
Закономерности можно выявить, лишь обобщая однородные явления и давая
обобщенную характеристику единицам явления.
Средней величиной называют показатель, который характеризует обобщенное
значение признака или группы признаков в исследуемой совокупности. Значение
средних величин состоит в их обобщающей функции. Средняя величина заменяет
большое число индивидуальных значений признака, обнаруживая общие свойства,
присущие всем единицам совокупности. Это, в свою очередь, позволяет избежать
случайных причин и выявить общие закономерности, обусловленные общими
причинами.
Средние величины бывают простые и взвешенные.
Взвешенными средними называют величины, которые учитывают, что некоторые
варианты значений признака могут иметь различную численность, в связи с чем
каждый вариант приходится умножать на эту численность. Иными словами, «весами»
выступают числа единиц совокупности в разных группах, т.е. каждый вариант
«взвешивают» по своей частоте. Частоту f называют статистическим весом или
весом средней.
Средняя арифметическая - самый распространенный вид средней. Она
используется, когда расчет осуществляется по несгруппированным статистическим
данным, где нужно получить среднее слагаемое. Средняя арифметическая - это
такое среднее значение признака, при получении которого сохраняется неизменным
общий объем признака в совокупности
Таблица 2.9 Число зарегистрированных преступлений - всего, единиц,
значение показателя за год
|
|
Российская Федерация
|
Центральный федеральный
округ
|
Северо-Западный федеральный
округ
|
Южный федеральный округ
|
Приволжский федеральный
округ
|
Уральский федеральный округ
|
Сибирский федеральный округ
|
Дальневосточный федеральный
округ
|
Совершено преступлений в
среднем в округе
|
|
|
2010
|
2010
|
2010
|
2010
|
2010
|
2010
|
2010
|
2010
|
2010
|
|
|
|
|
|
|
|
|
|
|
|
|
Всего
|
2628799
|
601252
|
233237
|
205079
|
553819
|
286270
|
457773
|
143615
|
354435
|
|
Убийство и покушение на
убийство
|
15563
|
3038
|
1544
|
1122
|
2940
|
1629
|
3207
|
1117
|
2085
|
|
Умышленное причинение
тяжкого вреда здоровью
|
39745
|
7281
|
3187
|
2700
|
7799
|
4586
|
9868
|
3181
|
5515
|
|
Изнасилование и покушение
на изнасилование
|
4907
|
1082
|
332
|
456
|
1075
|
576
|
887
|
239
|
664
|
|
Похищение человека
|
519
|
122
|
60
|
18
|
83
|
49
|
89
|
21
|
63
|
|
Разбой
|
24537
|
6902
|
2414
|
1659
|
4505
|
2128
|
4601
|
3330
|
|
Грабеж
|
164547
|
35832
|
14921
|
10176
|
38784
|
18178
|
32940
|
9444
|
22896
|
|
Кража
|
1108369
|
269393
|
97916
|
81150
|
237733
|
119181
|
200210
|
62391
|
152568
|
|
Мошенничество
|
160081
|
39812
|
14856
|
12328
|
34967
|
17756
|
23439
|
6090
|
21321
|
|
Присвоение или растрата
|
44894
|
9582
|
3826
|
3247
|
10110
|
7013
|
6173
|
1571
|
5932
|
|
Хулиганство
|
7219
|
2307
|
640
|
462
|
1375
|
1041
|
661
|
193
|
954
|
|
Нарушение правил дорожного
движения и эксплуатации транспортных средств , повлекшее по неосторожности
смерть человека
|
10344
|
2581
|
907
|
1107
|
2224
|
886
|
1472
|
499
|
1382
|
Зная, как рассчитывается средняя, мы можем рассчитать, сколько совершено
преступлений в среднем по округу.
Xср = ∑Xi/n (n - число
округов). Получаем, что в среднем в одном округе всего совершается 354435
преступлений, из них:
·
152568 краж;
·
22896 разбоев;
·
21321
мошенничество;
·
5935 присвоение
или растрата;
·
5515 умышленное
причинение тяжкого вреда;
·
3330 разбой;
·
2085 убийство и
покушение на убийство;
·
1382 нарушение
правил дорожного движения и эксплуатации транспортных средств, повлекшее по
неосторожности смерть человека;
·
954 хулиганство
·
664 изнасилование
или покушение на изнасилование;
·
63 похищение
человека
Таблица 2.10 Структура зарегистрированных преступлений по видам, за 2010
год, %
|
Российская Федерация
|
Центральный федеральный
округ
|
Северо-Западный федеральный
округ
|
Южный федеральный округ (с
2010 года)
|
Приволжский федеральный
округ
|
Уральский федеральный округ
|
Сибирский федеральный округ
|
Дальневосточный федеральный
округ
|
|
2010
|
2010
|
2010
|
2010
|
2010
|
2010
|
2010
|
2010
|
|
|
|
|
|
|
|
|
|
|
Всего
|
100
|
22,87
|
8,87
|
7,80
|
21,07
|
10,89
|
17,41
|
5,46
|
|
Убийство и покушение на
убийство
|
100
|
19,52
|
9,92
|
7,21
|
18,89
|
10,47
|
20,61
|
7,18
|
|
Умышленное причинение
тяжкого вреда здоровью
|
100
|
18,32
|
8,02
|
6,79
|
19,62
|
11,54
|
24,83
|
8,00
|
|
Изнасилование и покушение
на изнасилование
|
100
|
22,05
|
6,77
|
9,29
|
21,91
|
11,74
|
18,08
|
4,87
|
|
Похищение человека
|
100
|
23,51
|
11,56
|
3,47
|
15,99
|
9,44
|
17,15
|
4,05
|
|
Разбой
|
100
|
28,13
|
9,84
|
6,76
|
18,36
|
8,67
|
18,75
|
4,50
|
|
Грабеж
|
100
|
21,78
|
9,07
|
6,18
|
23,57
|
11,05
|
20,02
|
5,74
|
|
Кража
|
100
|
24,31
|
8,83
|
7,32
|
21,45
|
10,75
|
18,06
|
5,63
|
|
Мошенничество
|
100
|
24,87
|
9,28
|
7,70
|
21,84
|
11,09
|
14,64
|
3,80
|
|
Присвоение или растрата
|
100
|
21,34
|
8,52
|
7,23
|
22,52
|
15,62
|
13,75
|
3,50
|
|
Хулиганство
|
100
|
31,96
|
8,87
|
6,40
|
19,05
|
14,42
|
9,16
|
2,67
|
|
Нарушение правил дорожного
движения и эксплуатации транспортных средств, повлекшее по неосторожности
смерть человека
|
100
|
24,95
|
8,77
|
10,70
|
21,50
|
8,57
|
14,23
|
4,82
|
Исходя из наших данных можно сделать выводы о том, что больше всего
совершается преступлений в Центральном ФО - 22,87%.
Рассмотрим более подробно нашу структуру.
Убийство и покушение на убийство - максимальный показатель в Сибирском ФО
- 20,61%
·
Умышленное
причинение тяжкого вреда здоровью - 24,83% (Сибирский ФО)
·
Изнасилование и
покушение на изнасилование - 22,05% (Центральный ФО)
·
Похищение
человека - 23,51% (Центральный ФО)
·
Разбой - 28,13
%(Центральный ФО)
·
Грабеж - 23,57 %
(Приволжский ФО)
·
Кража - 24,31 %
(Центральный ФО)
·
Мошенничество -
24,87% (Центральный ФО)
·
Присвоение или
растрата - 22,52 % (Приволжский ФО)
·
Хулиганство -
31,96 % (Центральный ФО)
·
Нарушение правил
дорожного движения и эксплуатации транспортных средств, повлекшее по
неосторожности смерть человека - 24,95 % (Центральный ФО)
Итак, можно увидеть, что практически по всем видам преступлений лидирует
Центральный ФО
2.3 Ряды распределения в изучении уровня преступности населения
Российской Федерации.
Таблица 2.11 Состав лиц совершивших преступление, (тыс. чел)
|
2006
|
2007
|
2008
|
2009
|
2010
|
|
Выявлено лиц, совершивших
преступления
|
1361
|
1318
|
1256
|
1220
|
1111
|
|
в том числе:
|
|
|
|
|
|
|
по полу:
|
|
|
|
|
|
|
мужчины
|
1156
|
1117
|
1055
|
1026
|
939
|
|
женщины
|
205
|
201
|
201
|
194
|
172
|
|
по возрасту во время
|
|
|
|
|
|
|
Совершения преступления,
лет:
|
|
|
|
|
|
|
14-15
|
44,1
|
38,1
|
29,6
|
23,7
|
21,5
|
|
16-17
|
104
|
93,9
|
78,3
|
61,8
|
51,2
|
|
18-24
|
378
|
363
|
334
|
312
|
278
|
|
25-29
|
242
|
238
|
230
|
228
|
209
|
|
30-49
|
478
|
470
|
470
|
479
|
448
|
|
50 и старше
|
114
|
115
|
114
|
115
|
103
|
|
по занятию на момент
совершения преступления:
|
|
|
|
|
|
|
рабочие
|
277
|
276
|
263
|
228
|
200
|
|
работники сельского
хозяйства
|
8,1
|
6,7
|
5,9
|
5,3
|
4,3
|
|
служащие
|
63,5
|
60,5
|
47,5
|
53
|
45,4
|
|
учащиеся
|
90,1
|
83,8
|
91
|
77,7
|
72
|
|
лица без постоянного
источника дохода
|
811
|
785
|
764
|
786
|
730
|
|
из них безработные
|
84,1
|
74,5
|
67,3
|
55,1
|
54,3
|
Таблица 2.12 Распределение лиц, совершивших преступления по возрасту в
2010 году (тыс. чел)
|
Число лиц, совершивших
преступления
|
Удельный вес, %
|
Ширина интервала
|
Плотность, %
|
Накопленные частоты
|
|
14-15
|
21,5
|
1,935716215
|
2
|
1,0
|
1
|
|
16-17
|
51,2
|
4,609705591
|
2
|
2,3
|
3,3
|
|
18-24
|
278
|
25,02926083
|
7
|
3,6
|
6,9
|
|
25-29
|
209
|
18,81696228
|
5
|
3,8
|
10,6
|
|
30-49
|
448
|
40,33492392
|
20
|
2,0
|
|
50 и старше
|
103
|
9,27343117
|
20
|
0,5
|
13
|
|
Всего
|
1110,7
|
100
|
|
13,1
|
|
На основании данных таблицы 2.9 рассчитаем показатели: моду и медиану.
Модой распределения в статистике называется величины признака (варианта),
которая чаще всего встречается в данной совокупности.
где
- нижняя граница модального интервала;
- величина модального интервала;
- частоты соответственно в предыдущем и следующим за
модальным интервалах.
Мо = 25+5*(3,8-3,6)/(3,8-3,6)+(93,8-2,0) = 28,8
На основе рассчитанных данных можно сделать вывод о том, что наибольшее
кол-во преступлений совершает население в возрасте 29 лет.
Медианой в статистике называется варианта, которая находится в середине
вариационного ряда.
где
- нижняя граница медианного интервала;
- ширина медианного интервала;
- накопленная частота интервала, предшествующего медианному;
- частота медианного интервала.
Ме = 18+7* (6,65-3,3)/3,6 = 28
Данный показатель означает, что середина вариационного ряда приходится на
возрастную группу от 25 до 29 лет.
Далее рассчитаем следующие показатели:
1. Размах вариации - это абсолютная
величина разности между максимальными и минимальными значениями изучаемого
признака.
2. Среднее линейное отклонение -
представляет собой среднее арифметическое из абсолютных отклонений конкретных
вариантов признака от его среднего значения.
3. Дисперсия - среднее значение
квадратов отклонений.
4. Среднее квадратическое отклонение -
квадратный корень из дисперсии.
5. Коэффициент вариации - удельный вес
среднего отклонения в соответствующем среднем арифметическом, выраженный в
процентах.
Эти показатели дадут нам точную оценку нашей совокупности, а именно, зная
их, мы можем сказать о том, насколько однородна наша совокупность.
Таблица 2.13 Распределение лиц, совершивших преступление по возрасту в
2010 году (тыс. чел)
|
Возраст во время совершения
преступления, лет.
|
d члсп, %
|
x
|
x*f
|
(x-xср)^2*f
|
|
14-15
|
1,0
|
14,5
|
14,0
|
120,3237798
|
|
16-17
|
2,3
|
16,5
|
38,0
|
192,9626449
|
|
18-24
|
3,6
|
21
|
75,1
|
77,30934693
|
|
25-29
|
3,8
|
27
|
101,6
|
6,860082098
|
|
30-49
|
2,0
|
39,5
|
79,7
|
386,8644404
|
|
50 и старше
|
0,5
|
59,5
|
27,6
|
531,2893182
|
|
Всего
|
13,1
|
|
336,0
|
1315,609612
|
Средний возраст лица, совершившего преступление:
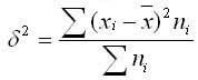
= 26 лет
Дисперсия
рассчитывается по формуле:
σ 2 = 1315.6/13.1 = 100,4
Рассчитаем
среднее квадратическое отклонение:
Коэффициент
вариации:
т.к
коэффициент вариации превышает 33%, можно сказать, что средняя не типичная, а
наша совокупность неоднородна
.4
Ряды распределения в изучении уровня преступности населения Российской
Федерации.
Ряды
динамики - ряды изменяющихся во времени значений статистического показателя,
расположенных в хронологическом порядке.
Каждый
ряд динамики состоит из двух элементов:
1. Период времени, за который или по состоянию на который приводятся числовые
значения (t);
2. Числовые значения того или иного показателя (y), называемые уровнями ряда;
Уровни ряда выражаются как абсолютными, так и средними или относительными
величинами. В зависимости от характера показателей строят динамические ряды
абсолютных, относительных и средних величин. Ряды динамики из относительных и
средних величин строят на основе производных рядов абсолютных величин.
Различают интервальные и моментные ряды динамики.
Основными аналитическими показателями рядов динамики являются:
1. Абсолютный прирост (∆y) - рассчитывается как разность двух уровней. Он показывает
на сколько единиц уровень одного периода больше или меньше уровня другого
периода. В зависимости от базы сравнения абсолютные приросты могут быть цепными
и базисными.
∆y цепной = yi - yi-1
∆y ,базисный = yi - y0
2. Темп роста (Тр) - отношение одного уровня ряда к другому его
уровню, принятому за базу. Темп роста выражается в процентах.
Темп прироста (∆Тпр) - отношение абсолютного
прироста к уровню ряда, принятому за базу.
В нашем случае этот показатель показывает, на сколько
процентов увеличилось или уменьшилось число зарегистрированных преступлений по
сравнению с базовым.
Темп прироста также может быть цепным и базисным.
∆Тпр = Тр-100%
Рассчитаем показатели рядов динамики для общего коэффициента преступности
в Российской Федерации.
Таблица 2.14 Динамика общего коэффициента преступности в Российской
Федерации (2006-2010 гг.)
|
Год
|
Общий коэф. Преступности
|
Тр б, %
|
∆ Трп б, %
|
Тр ц, %
|
∆ Трп бц %
|
|
2006
|
953,3
|
-
|
-
|
-
|
-
|
|
2007
|
926,4
|
97,17822301
|
-2,821776985
|
97,17822301
|
-2,821776985
|
|
2008
|
884,6
|
92,79345432
|
-7,206545683
|
95,48791019
|
-4,51208981
|
|
2009
|
859,6
|
90,170985
|
-9,829015001
|
97,17386389
|
-2,826136107
|
|
2010
|
783
|
82,13573901
|
-17,86426099
|
91,08887855
|
-8,911121452
|
Из данной таблицы мы можем заметить, что общий коэффициент преступности
имел тенденцию к снижению. Рассмотрев динамику с 2006 по 2010 год, можно
сказать, что наш показатель уменьшался с каждым годом. Если за базу сравнения
брать 2006 год, то можно сказать, что 2007 году по сравнению с 2006 годом наш
показатель увеличился на 2%, а в 2010 году по сравнению с 2006 годом на 15%.
Проблемы прогнозирования и планирования в течение последних десятилетий
ХХ в. стали особенно сложными вследствие быстрых изменений в обществе. Поэтому
существенно возросла роль методологии прогнозирования и планирования. Для
криминологического прогнозирования в первую очередь необходима надежная
статистическая база, отражающая преступность, ее причины и социальные
отклонения в личности правонарушителей. Опираясь на тенденции и закономерности
изменения преступности и связанных с ней криминогенных факторов, можно с
определенной долей вероятности предвидеть как будут развиваться преступные
проявления в ближайшем будущем.
Преступность функционирует в определенной социальной среде и
взаимодействует с ней. Очевидно, поэтому прогнозирование преступности
базируется на принципах и системе методов социальной прогностики, используя во
многом те же методы, которые являются наиболее эффективным для прогнозирования
других явлений социального характера.
Прогнозирование преступности требует основательных специальных знаний,
прежде всего, относительно ее природы. Закономерностей развития, механизмов
возникновения и воздействия. Важно также знание общих и конкретных механизмов
взаимодействия преступности с социальной средой. Чем более точно учитывается
такое взаимодействие, тем точнее и более долгосрочный может быть прогноз.
Прогнозирование можно проводить как на основе одного изолированного ряда
динамики, так и по системе взаимосвязанных рядов динамики.
Если информация представлена в виде одного динамического ряда, то
основной задачей выступает выявление тенденции в изменении уровней ряда. Если в
нашем случае установить, как конкретно снижается общий коэффициент преступности
ежегодно, можно использовать данную тенденцию в экстраполяции, т.е по данным
динамического ряда определяются неизвестные его значения в будущем.
Метод экстраполяции основывается на перенесении выявленных
закономерностей преступности прошлого периода на определенную перспективу. Он
предполагает, что социально-правовая система общества в принципе стабильна и
что существующие детерминанты преступности будут существовать и продуцировать,
воспроизводить преступность и в будущем.
Экстраполяция - это еще не окончательный прогноз, но один из его
вариантов.
На основании наших данных (см. табл.) мы можем рассчитать прогноз
динамики общего коэффициента преступности в Российской Федерации до 2018 года.
Для этого вычислим среднегодовой темп роста:
где У - абсолютные уровни ряда динамики, а n - число лет (уровней ряда
динамики) в изучаемом отрезке времени (без базисного).
y(2011) = y
(2010)*K = 783,0*0,959 = 750,77.
Таблица
2.15 Далее по аналогии рассчитаем прогноз до 2018 года.
|
Год
|
Прогнозное значение общего
коэффициента преступности
|
|
2011
|
750,76
|
|
2012
|
719,85
|
|
2013
|
690,21
|
|
2014
|
661,80
|
|
2015
|
634,55
|
|
2016
|
608,42
|
|
2017
|
583,37
|
|
2018
|
559,36
|
Сделав расчеты, мы наблюдаем относительно-положительный прогноз, т.к. наш
показатель, а в частности общий коэффициент преступности с каждым годом снижается.
Если в 2011 году он составил 750,76, то к 2018 году уже 559,36.
2.5 Индексный метод в изучении уровня преступности населения в Российской
Федерации.
Индекс - это показатель сравнения двух состояний одного и того же
явления. Каждый индекс включает данные за два периода: базисный, который
используется как база сравнения и отчетный.
Индекс, рассчитанный по отдельным единицам изучаемой совокупности,
называется индивидуальный и обозначается i. Сводный индекс отражает изменение обобщенных величин по
всей совокупности и обозначается символом I.
Если при построении индекса исследуемый признак берется без учета связи
его с другими признаками, то индекс называется простым и является оценкой
только динамики признака. Индекс называется аналитическим, если изучаемый
признак рассматривается не изолированно, а во взаимосвязи с другими признаками.
Сводные аналитические индексы в зависимости от методов построения
подразделяются на агрегатные и средневзвешенные.
Агрегатные наряду с индексируемым признаком содержат и признак-вес,
который позволяет обобщить разнородные элементы совокупности. Индексируемый
признак при построении агрегатного индекса меняется: отчетный уровень
сравнивается с базисным, признак-вес берется на неизменном фиксированном уровне
либо базисного периода (по формуле Ласпейреса), либо отчетного периода (по
формуле Пааше).
Рассмотрим индексный метод на конкретном примере:
Таблица 2.16 Численность и структура лиц, совершивших преступления за
2009-2010 гг.
|
Возрастная категория
|
Численность лиц, совершивших
преступления, тыс. чел.
|
Структура численности лиц,
совершивших преступления. %
|
Среднегодовая численность
населения, тыс. чел
|
Структура населения, %
|
Коэффициент
криминногенности, на 100 тыс. чел.
|
Коэффициент криминальной
напряженности
|
Условная численность лиц,
совершивших преступления, на 100 тыс. чел.
|
Условная численность лиц,
совершивших преступления, на 100 тыс. человек населения разной структуры
|
|
2009
|
2010
|
2009
|
2010
|
2009
|
2010
|
2009
|
2010
|
2009
|
2010
|
2009
|
2010
|
|
2009
|
2010
|
|
Члсп (0)
|
Члсп (1)
|
dлсп (0)
|
dлсп (1)
|
Н (0)
|
Н (1)
|
dH (0)
|
dH(1)
|
K рим. (0)
|
К крим. (1)
|
К напряж. (0)
|
К напряж. (1)
|
К (крим 0) Н 1
|
К (крим 0) dH(0)
|
К (крим0)dH1
|
|
1
|
2
|
3
|
4
|
5
|
6
|
7
|
8
|
9
|
10
|
11
|
12
|
13
|
14
|
15
|
16
|
|
14-15
|
23,7
|
21,5
|
1,9
|
1,9
|
2900,6
|
2850,4
|
2,9
|
2,9
|
817,1
|
754,3
|
0,7
|
0,7
|
23,3
|
2393,6
|
2397,5
|
|
16-17
|
61,8
|
51,2
|
5,1
|
4,6
|
3514,4
|
3126,2
|
3,5
|
3,2
|
1758,5
|
1637,8
|
1,4
|
1,4
|
55,0
|
6241,4
|
5659,2
|
|
18-24
|
312,0
|
278,0
|
25,6
|
25,0
|
16870,5
|
16171,8
|
17,0
|
16,6
|
1849,4
|
1719,0
|
1,5
|
1,5
|
299,1
|
31510,1
|
30788,9
|
|
25-29
|
228,0
|
209,0
|
18,7
|
18,8
|
41616,5
|
41308,5
|
42,0
|
42,5
|
547,9
|
505,9
|
0,4
|
0,4
|
226,3
|
23026,6
|
23297,9
|
|
30-49
|
479,0
|
448,0
|
39,3
|
40,3
|
22916,8
|
22421,0
|
23,1
|
23,1
|
2090,2
|
1998,1
|
1,7
|
1,7
|
468,6
|
48376,0
|
48244,1
|
|
50 и старше
|
115,0
|
103,0
|
9,4
|
9,3
|
11197,1
|
11260,7
|
11,3
|
11,6
|
1027,1
|
914,7
|
0,8
|
0,8
|
115,7
|
11614,3
|
11906,0
|
|
Всего
|
1219,5
|
1110,7
|
100,0
|
100,0
|
99016,0
|
97138,6
|
100
|
100
|
1231,6
|
1143,4
|
1,00
|
1,00
|
1196,4
|
123161,9
|
122293,7
|
Обозначения к таблице:
Члсп - число лиц, совершивших преступления;
К (крим) - коэффициент криминогенности;
IК
(крим) - индекс среднего коэффициента криминогенности;
IК
(крим) К(крим) - индекс среднего коэффициента криминогенности при условии
изменения коэффициента криминогенности;
IК
(крим) Н - индекс среднего коэффициента криминогенности при условии изменения
отдельных возрастных групп;
d( H) - доля населения отдельных
возрастных групп;
К (напр) - коэффициент криминальной напряженности;
Рассчитаем коэффициент криминогенности по формуле:
К (крим) = Члсп(i)/H(i)*100000
Данный коэффициент показывает численность лиц, совершивших преступления
на 100000 человек.
На основе наших данных рассчитаем средний коэффициент криминогенности за
2010 год.
К (крим) = 1110,7/97138,6 = 1143,4 человек на 100000 населения.
Далее рассчитаем коэффициент криминальной напряженности по формуле:
К (напр) = d Члсп(i)/d H(i);
Получившиеся данные занесем в таблицу.
Индексный метод применяется для изучения динамики средних величин и
выявления факторов, влияющих на динамику средних. Для решения этих задач в
статистике применяют индексы переменного, постоянного состава и структурных
сдвигов.
Индекс переменного состава - это соотношение средних величин какого-либо
признака в отчетном и базисном периодах. Рассчитывается по формуле:
I
перемен. = Х1/Х0 ;
I
перемен. = ∑х1f1 / ∑х0f0 ;
IK
(крим) = К (крим)2010/К (крим) 2009 = 1143,4/1231,6 = 0,928
Можно сделать вывод о том, что средняя криминогенность снизилась на
0,928, за счет влияния криминогенности по отдельным возрастным группам.
Индекс постоянного состава - отражает изолированное действие первого
фактора - показывает средний размер изменения изучаемого признака у отдельных
единиц совокупности и строится как отношение средних взвешенных величин
постоянного состава.
I
пост. = ∑x1f1 / ∑x0f1;
IK
(крим) К(крим) = ∑К (крим 1)Н (1) / ∑К (крим 0)Н (1) =
1219,5/1196,4 = 1,019
Исходя из этого можно сделать вывод о том, что средняя криминогенность
увеличилась на 1,9%
Индекс структурных сдвигов - характеризует влияние изменения структуры
изучаемой совокупности на динамику среднего уровня признака:
Iстр.
= ∑x0f1 / ∑x0f0;
IK
(крим) стр. Н = ∑Крим (0)dH (1)
/ ∑Крим (0)dH (0) =
122293,7/123161,9 = 0,992, т.е. средняя криминогенность уменьшилась 0,992.
Индексы переменного, постоянного состава и структурных сдвигов
формируются в следующую систему:
I
перем. = I пост * I стр;
IK
(крим) = IK (крим) К (крим) * IK (крим) стр. Н
,928 = 1,019*0,992
∆Члсп (Н) = (∑(Н1) - ∑(Н0) * К (крим 0) / 100000 =
(97138,6-99016,0)*1231,6/100000 = -23,12 тыс. чел.
∆Члсп K(крим) = (К крим
1) - К (крим 0) * ∑Н1 / 100000 = (1143,4-1231,6)*97138,6/100000 = -85,7 тыс.
чел.
Из расчетов мы можем наблюдать уменьшение числа лиц, совершивших
преступления. Данный показатель составил 108,8 тысяч человек. Это обусловлено
изменением численности населения и изменением коэффициента средней
криминогенности.
Глава III. Статистический анализ взаимосвязи
среднедушевого дохода населения и уровня преступности по регионам Российской
Федерации за 2010 год
3.1 Анализ уровня доходов населения Российской Федерации.
Доходы - это ресурсы в денежном и натуральном выражении, которые могут
быть использованы на удовлетворение личных потребностей, налоговые и другие
платежи, сбережения. Доходы населения - это все материальные средства, которые
домохозяйства получают как результат экономической деятельности или как
трансферты. Доходы поступают населению в денежной и натуральной формах.
Натуральная форма доходов включает продукцию, произведенную домохозяйствами для
собственного потребления, натуральные трансферты (продукты питания, одежду).
Номинальные денежные доходы населения характеризуют общее количество
денег, которое получено (или начислено) за определенный период времени.
Состав денежных доходов
В состав денежных доходов входят:
оплата труда;
доход от предпринимательской и индивидуальной трудовой деятельности;
пенсии;
стипендии;
пособия;
компенсационные выплаты;
дополнительные льготы, включая благотворительную помощь;
доходы от собственности (проценты, дивиденды, рента и т.д.);
поступления от продажи сельскохозяйственной продукции, недвижимости и т.
д.
Доходы играют очень важную роль в жизни каждого человека, потому что
являются непосредственным источником удовлетворения его неограниченных
потребностей. Заработная плата их основной источник. Но нередко её величина не
достаточна для соблюдения даже самых необходимых условий существования людей.
Поэтому возникает необходимость для государства регулировать заработную плату,
а для населения искать другие источники доходов. Нередко доходы большей части
населения бывают очень низкими по сравнению с доходами незначительной части
населения. В связи с этим возникает социальная напряжённость в обществе, о
преодолении которой также приходится заботиться государству. Чем больше доходы,
тем выше спрос на продукцию и услуги, производимые различными отраслями, тем
выше качество продукции, т. к. возникает мотив для достижения лучших конечных
результатов, её конкурентоспособность, выше эффективность производства, значит,
лучше экономическая ситуация в стране. Поэтому регулирование доходов и
заработной платы является частью политики любого государства. Таким образом,
доходы населения и источники их формирования заслуживают пристального внимания,
а все проблемы, с ними связанные, требуют скорейшего разрешения. Именно поэтому
данная тема актуальна в любые времена, в любой стране, при любом экономическом
строе. В Российской Федерации вопросы, связанные с доходами, стоят очень остро.
Решение проблем требует большего государственного вмешательства, чем в развитых
странах.
На доходы населения значительное влияние оказывает рост цен. Показателем,
отражающим это влияние, является индекс потребительских цен (ИПЦ) - индекс цен,
рассчитанный для группы товаров и услуг, входящих в потребительскую корзину
среднего городского жителя.
Показатель денежного дохода населения - служит для измерения доходов на
макроуровне и рассчитан по данным баланса денежных доходов и расходов
населения.
Включает в себя оплату труда всех категорий населения, доходы лиц,
занятых предпринимательской деятельностью; поступления от продажи
сельскохозяйственных продуктов; пенсии, пособия, стипендии; поступления из
финансовой системы (страховые возмещения, кредиты, ссуды); доходы населения от
продажи иностранной валюты.
Баланс денежных доходов и расходов строится ежеквартально Центробанком и
его региональными конторами на базе финансовой отчетности. На основе баланса
денежных доходов и расходов вычисляются следующие статистические показатели,
характеризующие денежные доходы населения:
·
Номинальные
(совокупные) доходы: сумма всех денежных доходов, полученных населением;
·
Располагаемые
денежные доходы: номинальные доходы за вычетом обязательных и добровольных
взносов;
·
Реальные денежные
доходы: располагаемые доходы деленные на индекс потребительских цен (ИПЦ);
Проведем анализ среднедушевых доходов населения по регионам Российской
Федерации, рассчитав следующие показатели.
Среднюю
Дисперсию
Среднее
квадратическое отклонение
1. Коэффициент вариации
1. Среднедушевой доход
2. Дисперсия
.Среднее
квадратическое отклонение:
3. Коэффициент вариации
Рассчитанный
коэффициент вариации показывает, что наша совокупность не однородна по своему
составу, поскольку полученный коэффициент больше 33%.
Далее
воспользуемся правилом «трех сигм» и рассчитаем границы нашей совокупности.
Таким
образом, не все значение душевых доходов по выбранным нами регионам попадают в
данный интервал. В нашем случае, исключаем Ненецкий АО (т.к. среднедушевые
денежные доходы в нем составили 48 709,8 рублей) и Москву ( среднедушевые
денежные доходы составили 44 591,8 рублей) В нашей же совокупности минимальное
значение : -6767,8 рублей , а максимальное: 44 439,2 рублей.
Далее
пересчитаем все показатели без учета г. Москвы и Ненецкого АО. (Приложение 2)
1. Среднедушевой доход:
1. Дисперсия
1. Среднее квадратическое отклонение
1. Коэффициент вариации
Из
проделанных расчетов можно увидеть, что наша совокупность стала однородной, т.к
уменьшилось среднее квадратическое отклонение (было 8558, 5, стало 4676,2) и
стал меньше коэффициент вариации.
.2 Анализ уровня преступности населения Российской Федерации.
Аналогично доходам населения проведем анализ уровня пресутупности в
Российской Федерации и найдем такие же показатели
Среднее количество преступлений
1. Дисперсия
1. Среднее квадратическое отклонение
1. Коэффициент вариации
По
данным расчетам видно, что коэффициент вариации намного превышает 33%, значит
наша совокупность снова не однородна, а средняя не типична.
Рассчитаем
границы нашей совокупности по правилу «трех сигм»
Из
нашей совокупности исключаем Москву, т.к. число зарегистрированных преступлений
составило - 185911 единиц, а это выходит за границы нашей совокупности.
Исключив
Москву, пересчитаем наши показатели. (Приложение 4)
1. Среднее количество преступлений
1. Дисперсия
1. Среднее квадратическое отклонение
1. Коэффициент вариации
3.3 Аналитическая группировка уровня доходов и уровня
преступности населения Российской Федерации.
Аналитическая статистическая группировка, предназначенная для изучения
взаимосвязей между признаками. Аналитическую группировку строят по одному из
взаимосвязанных признаков, например факторному, а далее вычисляют по каждой
выделенной группе средние (или относительные) значения другого. Параллельно
сопоставляя значения обоих признаков по характеру их совместных изменений,
делают заключение о наличии и направлении связи.
Для изучения зависимости необходимо рассчитать коэффициенты детерминации
и корреляции.
Коэффициент
детерминации- это доля дисперсии <#"609247.files/image053.gif">
где
хi - групповая средняя;- число единиц в группе.
Межгрупповая
- характеризует систематическую вариацию результативного признака, которая
обусловлена влиянием признака-фактора, положенного в основание группировки. Она
равняется среднему квадрату отклонений групповых средних от общей средней.
Общая
- это сумма внутригрупповой и межгрупповой дисперсий.
В
основу группировки будет положен среднедушевой денежный доход. Разобьем нашу
совокупность на группы, используя формулу Стерджесса:
Из
этого следует, что совокупность должна быть разбита на 7 групп.
Если
разбить нашу совокупность на 7 групп, то мы получим, что в некоторых группах
будет только 1 показатель изучаемого объекта, а некоторые группы будут вообще
пустые, следовательно мы не сможем посчитать внутригрупповую дисперсию. Разбиваем
нашу совокупность на 4 группы, для того, чтобы в каждой группе было 2 и более
значений.
На
основании данной таблицы составим аналитическую группировку:
Таблица
3.1 Группировка зависимости уровня преступности в РФ от среднедушевых денежных
доходов населения.
|
Группы по среднедушевому
доходу. рублей
|
Среднедушевой доход, рублей
|
Среднее число преступлений
на 100 тыс. в группе (ед)
|
Численность населения в
группе, тыс. чел
|
|
7701,6-15636,7
|
672153,1
|
1702,9
|
66907,0
|
|
15636,7-23571,7
|
370525,5
|
2057,3
|
53246,3
|
|
23571,4-31506,8
|
193799,3
|
2033,3
|
11420,2
|
|
31506,8-39441,9
|
71486,8
|
1726,0
|
595,1
|
Далее рассчитаем внутригрупповую, межгрупповую и общую дисперсии, для
выявления связи между показателями.
Таблица 3.2 Группировка зависимости уровня преступности в РФ от среднедушевых
денежных доходов населения.
|
Группы по среднедушевому
доходу. рублей
|
Среднедушевой доход, рублей
|
Среднее число преступлений
на 100 тыс. в группе (ед)
|
Численность населения в
группе, тыс. чел
|
Внутригрупповая дисперсия, σ2
|
(x ср.i - xср)^2*f
|
σ2*f
|
|
7701,6-15636,7
|
672153,1
|
1702,9
|
66907,0
|
9,3
|
43795948,0
|
62223478,38
|
|
15636,7-23571,7
|
370525,5
|
2057,3
|
53246,3
|
7,5
|
126275432,4
|
39934713
|
|
23571,4-31506,8
|
193799,3
|
2033,3
|
11420,2
|
6,3
|
202413575,7
|
7194728,52
|
|
31506,8-39441,9
|
71486,8
|
1726,0
|
595,1
|
5,7
|
5225530,0
|
339216,69
|
|
Сумма:
|
|
7519,5
|
132168,6
|
|
377710486,1
|
109692136,6
|
Внутригрупповая дисперсия: 109692136,6/132168,6 = 82994,12
Межгрупповая дисперсия: 3777710486,1/132168,6 = 2857,81
Общая дисперсия: 82994,12+2857,81 = 85851,91
Далее рассчитаем коэффициент детерминации:
Наконец,
чтобы выяснить существует ли связь между среднедушевыми доходами населения и
уровнем преступности населения в Российской Федерации, рассчитаем
корреляционное отношение:
Определим
количественные оценки тесноты связи.
|
Коэффициент корреляции
|
Характеристика связи
|
|
до 0,3
|
Практически отсутствует
|
|
0,3-0,5
|
Слабая
|
|
0,5-0,7
|
Умеренная
|
|
0,7-1
|
Сильная
|
Исходя из оценки тесноты связи, мы можем сделать вывод о том, что связи между
уровнем преступности населения РФ и уровнем среднедушевого доходами населения
РФ практически нет, т.к наш коэффициент корреляции равен 0,18.
Разбив нашу совокупность на 4 группы с равным интервалом, мы можем
видеть, что связь между показателями, а именно между доходами населения и
уровнем преступности практически отсутствует, это доказывает наш коэффициент
корреляции, который равен 0,18.
Теперь разобьем нашу совокупность на 7 групп, в соответствии с формулой,
с неравным интервалом (Приложение 6). Рассчитаем аналогичные показатели и
сделаем выводы.
Таблица 3.3 Группировка зависимости уровня преступности в РФ от
среднедушевых денежных доходов населения.
|
Группы по среднедушевому
доходу. рублей
|
Среднедушевой доход, рублей
|
Среднее число преступлений
на 100 тыс. в группе (ед)
|
Численность населения в
группе, тыс. Чел (f)
|
|
7,7 - 11,3
|
104,0
|
1382,4
|
8798,1
|
|
11,4 - 14,0
|
301,8
|
3065,6
|
30659,2
|
|
14,1 - 14,6
|
130,0
|
1812,1
|
12965,7
|
|
14,7 - 15,8
|
199,4
|
2740,3
|
19914,0
|
|
15,9 - 17,8
|
101,0
|
1931,3
|
19573,8
|
|
17,9 - 24,6
|
255,5
|
965,7
|
33682,5
|
|
24,7 - 39,4
|
216,3
|
2035,6
|
6578,2
|
|
Всего
|
|
13933,0
|
132171,5
|
Далее рассчитаем внутригрупповую, межгрупповую и общую дисперсии.
Промежуточные расчеты занесем в таблицу.
Таблица 3.4 Группировка зависимости уровня преступности в РФ от
среднедушевых денежных доходов населения.
|
Группы по среднедушевому
доходу. рублей
|
Среднедушевой доход, рублей
|
Среднее число преступлений
на 100 тыс. в группе (ед)
|
Численность населения в
группе, тыс. Чел (f)
|
Внутригрупповая дисперсия, σ2
|
(x ср.i - xср)^2*f
|
σ2*f
|
|
7,7 - 11,3
|
104,0
|
1382,4
|
8798,1
|
112,3
|
170110893,8
|
98802663,0
|
|
11,4 - 14,0
|
301,8
|
3065,6
|
30659,2
|
111,9
|
60838569070,2
|
343076448,0
|
|
14,1 - 14,6
|
130,0
|
1812,1
|
12965,7
|
116,5
|
125084958,9
|
151050405,0
|
|
14,7 - 15,8
|
199,4
|
2740,3
|
19914,0
|
105,2
|
15219591221,8
|
209495280,0
|
|
15,9 - 17,8
|
101,0
|
1931,3
|
19573,8
|
107,9
|
22090425,5
|
211201302,0
|
|
17,9 - 24,6
|
255,5
|
965,7
|
33682,5
|
115,3
|
33939317478,8
|
388359225,0
|
|
24,7 - 39,4
|
216,3
|
2035,6
|
6578,2
|
120,3
|
352724248,2
|
79135746,0
|
|
Всего
|
|
13933,0
|
132171,5
|
|
110667488297,1
|
1481121069,0
|
Внутригрупповая дисперсия: 1481121069,0/132171,5 = 1120605,5
Межгрупповая дисперсия: 110667488297,1/132171,5 = 837302,2
Общая дисперсия: 837302,2 + 1120605,5 = 1957907,7
Коэффициент детерминации:
Выясним
если между изучаемыми признаками связь для этого высчитаем корреляционное
отношение.
После
того, как мы разбили совокупность на 7 групп, коэффициент корреляции
значительно увеличился, из чего можно сделать соответствующие выводы, а именно,
что уровень преступности населения РФ непосредственно зависит от уровня доходов
населения РФ.
Заключение
Проведённое
в данной дипломной работе исследование дает возможность проанализировать и
выявить основные тенденции развития преступности.
Для
принятия эффективных мер укрепления правопорядка необходимо, прежде всего,
знать состояние преступности в целом, а именно о причинах совершения
преступлений, динамике, структуре. Необходимо изучить преступность в разрезе по
регионам РФ, выяснить, где больше всего совершается преступлений, какие виды
преступлений в основном совершаются в данном регионе, какими слоями населения,
в каком возрасте и, исходя из этого, принять соответствующие меры по борьбе с
правонарушениями.
Изучение
преступности начинается с обобщения и анализа данных зарегистрированных
преступлений, а также лиц, совершивших преступления в определенном городе,
районе. Именно с помощью обобщения можно достаточно четко дать анализ
совершенному преступлению, выявить типичные характеристики преступности в
данном регионе, городе, районе, далее составить более полное представление о
причинах преступления, наконец, провести сравнительную характеристику отдельных
районов.
Достаточно
полное представление о состоянии преступности проявляется лишь тогда, когда на
уровне страны или отдельного региона анализируется вся преступность в целом и
ее структура.
Статистический
анализ преступности заключается в проявлении ее реального состояния. Однако в
нашей стране уровень учтенной преступности совсем не отражает криминогенную
обстановку в целом. Поэтому главная задача статистического анализа -
установление более или менее реального состояния преступности.
В
результате проведенного в данной работе анализа, можно сказать, что самое
большое кол-во преступлений было совершено в 2006 году-3855373 (единиц). Затем
наш показатель снижается с каждым годом и уже в 2010 году было зарегистрировано
самое минимальное кол-во преступлений-2628799 (единиц).
В
2006 году, из всех видов правонарушений, больше всего совершалось краж-43,5 %.
Этот показатель увеличился к 2007 году на 0,2 %, а вот в последующие года 2008
и 2009 можно заметить тенденцию к снижению, но в 2010 году этот показатель
снова увеличился и составил 42,2%. Также можно отметить, что второе место
занимает нарушение правил дорожного движения и эксплуатации транспортных
средств, повлекшее по неосторожности смерть человека - 28,7% в 2008 году, но к
2010 году этот показатель начинает незначительно снижаться и составил 22,2%.
Показатели минимальны в таких видах правонарушений как бандитизм 0,01% ( с 2006
по 2010 гг), похищение человека (0,03% в 2006 и 0,02% с 2007 по 2010гг). По
данным Росстата можно сделать вывод о преобладании мужского пола в совершении
преступлений. Самый высокий показатель был в 2006 году-1361 тыс. чел., с каждым
годом кол-во преступлений, совершенных мужчинами снижается и уже к 2010 году
этот показатель составил 1111 тыс. чел. Что касается возраста, то мы можем
заметить, что больше всего совершается преступлений лицами в возрасте 30-49
лет. В 2006 году преступления совершили 478 тыс. чел, самый высокий показатель
по этим данным был в 2009 году - 479 тыс. чел., а самый низкий в 2010 году -
448 тыс. чел. Также можно сделать вывод о том, что меньше всего преступлений
совершается лицами в возрасте 14-15 лет. По данным таблицы можно увидеть, что
большинство лиц без постоянного источника дохода совершают преступления. Самый
высокий показатель был в 2006 году - 811 тыс. чел., с каждым годом кол-во
преступлений, совершенных данной группой лиц уменьшается.
Проведя
анализ уровня преступности, лицами несовершеннолетнего возраста, рассмотрев
график (Рис. 2.1) можно отметить, что большинство правонарушений, в которых
были задействованы несовершеннолетние, было зарегистрировано в 2000г. в
Приволжском ФО - 41088 ед., меньше всего в Дальневосточном ФО - 14094 ед. Также
можно заметить, что с 2000 г. по 2002 г. количество преступлений в РФ стало
уменьшаться, с 2002 г. по 2006 г. этот показатель снова увеличился, а с 2006 г.
по 2010 г. шла заметная тенденция к уменьшению количества преступлений. Если в
2000 г. показатель составил 195426 единиц, то в 2002 г. - 139681. В таких ФО,
как Северо-западный ФО, количество преступлений значительно уменьшается с
каждым годом. Если в 2000 г. показатель составил 23768 ед., то к 2010 г. уже
6607 ед. В настоящее время мы стали очень часто сталкиваться с
правонарушениями, которые совершают дети. Все это обуславливается
безнадзорностью со стороны родителей и вседозволенностью. Большинство
несовершеннолетних живут в неполноценных семьях, а также в семьях, где родители
постоянно находятся в командировках, многие дети не посещают никакие секции,
кружки, ходят в школу только по принуждению родителей - все это толкает их на
совершение преступлений. Так как правонарушения среди несовершеннолетних растут
с каждым годом, необходимо проводить профилактические работы. В последнее время
создаются специальные учебно-воспитальные учреждения для детей, которые не
смогли адаптироваться в обычной школе, которые склонны к агрессии, не имеющие
нормального контакта с родителями. Однако число этих учреждений не
соответствует масштабам проблемы, количеству детей и подростков, которые попали
в трудную жизненную ситуацию.
Что
касается миграционной преступности, по официальным данным МВД РФ, то можно
сказать, что в январе - декабре 2010 года на территории Российской Федерации
зарегистрировано 2628,8 тыс. преступлений. Иностранными гражданами и лицами без
гражданства на территории Российской Федерации совершено 49 тыс. преступлений,
что на 15,5% меньше, чем за январь - декабрь 2009 года, в том числе гражданами
государств-участников СНГ
<http://ru.wikipedia.org/wiki/%D0%A1%D0%9D%D0%93> - 44,6 тыс.
преступлений.
Проблема
миграционной преступности стала слишком актуальной в наше время. Большинство
иностранных граждан приезжают в РФ с целью достойного заработка, но не найдя
подходящего варианта, начинают совершать правонарушения (грабить, убивать,
незаконно распространять наркотики и т.д.) Зачастую все преступления остаются
нераскрытыми и ненаказуемыми. Для разрешения данной проблемы необходимо
создавать единый банк данных, в котором будет содержаться вся необходимая
информация по мигрантам, а также будут зафиксированы все преступления
совершенные данной группой лиц. Данная информация поможет соответствующим
органам, которые ведут борьбу с преступностью иностранных граждан. Также
необходимо принять такие законы, которые не позволят мигрантам с такой
легкостью попадать в пределы РФ.
Изучив
общие коэффициенты преступности, можно отметить, что в 2006 году на каждые
100000 человек приходится 953,3 лиц совершивших преступление. Также мы можем
заметить, что с каждым кодом количество лиц, совершивших преступление
уменьшается, и уже к 2010 году этот показатель составил 783,0. Рассчитав общий
коэффициент преступности по округам Российской Федерации можно сказать, что
самый высокий показатель наблюдается в Сибирском ФО- 1076,7 лиц на 100000
человек. Это объясняется тем, что в данном ФО жизненные условия намного
тяжелее, чем в Европейской части РФ. Состав населения более сложный. Находится
слишком много людей, которые остались там после отбывания наказаний, также в
этом регионе сильно развито пьянство. Самый минимальный показатель в
Центральном ФО- 577, 6 лиц на 100000 человек, примерно одинаковый показатель в
Южном ФО - 733,4, Северо-Западном ФО - 733,4, Приволжском ФО - 761,0.
Рассчитав
среднегодовой темп роста и сделав прогноз уровня преступности до 2018 года,
можно сказать, что прогноз относительно-положительный, т.к. с каждым годом
наблюдается заметная тенденция к уменьшению показателя.
Проведя
данное исследование, можно сказать, что преступность нужно рассматривать в
разрезе по областям, полу, возрасту, виду преступлений и т.д. Ведь только
получив наиболее полную информацию о преступлении можно сделать соответствующие
выводы и принять необходимые меры по борьбе с правонарушениями. Также
необходимо применить различные статистические методы в изучении преступности
т.к. например, с помощью динамики мы можем посмотреть, как совершались
правонарушения из года в год, а с помощью структуры можно увидеть в каком
процентном соотношении совершались преступления.
Проведя
аналитическую группировку, которая характеризует связь между среднедушевыми
доходами населения и уровнем преступности, можно сделать вывод о том, что связь
практически отсутствует, если брать доходы и разбивать их на группы с равным
интервалом (Табл. 3.1). Но как мы выяснили преступность нужно рассматривать
различными методами и способами, а это значит, что можно разбить группы по
среднедушевому доходу и выбрать неравный интервал. Проведя расчеты видно, что
связь между среднедушевыми доходами и уровнем преступности стала намного
сильнее, а значит можно с уверенностью сказать, что уровень преступности
непосредственно зависит от уровня среднедушевых доходов населения РФ.
В
наше время полностью искоренить правонарушения невозможно, можно лишь
посодействовать на условия их совершения и благодаря этому возможно, что
уровень преступности ненамного снизится.
Условиями,
которые увеличивают уровень преступности, являются: алкоголизм, наркомания,
необразованность, безработица и т.д. В наше время жизненные условия стали
совсем невыносимыми. Уровень заработной платы, социальных выплат населения
слишком мал. Ежегодно происходит инфляция, и цены на основные продукты питания,
электроэнергию, а также услуги ЖКХ повышаются, а доходы населения остаются на
том же уровне, в результате этого возникают социально не обеспеченные слои
населения. Все эти факторы толкают человека на незаконные деяния.
Список
используемой литературы
1.
Конституция Российской Федерации - М.: Инфра - М, 2010
Сайт Федеральной службы
государственной статистики: <http://www.gks.ru/>
Сайт Министерства Внутренних
Дел Российской Федерации: <http://www.mvd.ru/>
1. Официальный сайт Федеральной
Миграционной службы:
<http://www.fms.gov.ru/>
1. Российский статистический ежегодник
2011. - М.: 2011 г.
2. Балдин К.В. - Общая теория статистики
- М.: Дашков и К, 2011 г.
3. Башкатов Б.И. -
Социально-экономическая статистика - М.: Юнити-Дана, 2011 г.
4. Демидов В.Н., Казанцев С.Я., -
Правовая статистика - М.: ЮНИТИ-ДАНА, 2012 г.
6. Долгова А.И. - Преступность в разных
ее проявлениях и организованная преступность. - М.: Российская
криминологическая ассоциация, 2011 г.
7. Елисеева И.И. - Социальная статистика
- М.: Финансы и статистика, 2011
8. Елисеева И.И. - Практикум по общей
теории статистики. - М.: Финансы и статистика, 2011 г.
9. Ефимова М.Р. -
Социально-экономическая статистика - М.: Юрайт-Издат, 2011 г.
10.Кудрявцев В.Н.
- Причины преступности в России. - М.: Норма, 2011 г.
11.Кондрашов Н.Н.,
Игошин И.П., Остроумов С.С. - Правовая статистика. - М.: Юридическая
литература, 2010 г.
12.Лунев В.В. -
Юридическая статистика - М.: Инфра, 2011 г.
13.Лялин В.С. -
Правовая статистика - М.: Юнити-Дана, 2011 г.
14.Малков В.Д. -
Криминология. - М.: Юстицинформ, 2011 г.
15.Мелкумов Я.С. -
Социально-Экономическая статистика - М.:Инфра-М, 2010 г.
16.Назаров М.Г. -
Курс социально-экономической статистики - М.: Юнити-Дана, 2011 г.
17.Савюк Л.К. -
Правовая статистика. - М.: Юристъ, 2011 г.
18.Салин В.Н. -
Социально-экономическая статистика - М.: Юристъ, 2011 г.
Приложение 1.
Среднедушевые денежные доходы по регионам РФ
|
Регионы РФ
|
Среднедушевые денежные
доходы населения, рублей (x)
|
Численность населения, тыс.
чел. (f)
|
x*f
|
(x-xср)^2*f
|
|
Российская Федерация
|
18 552,6
|
141914509
|
|
|
|
Белгородская область
|
16 621,3
|
1530124
|
25432650041
|
7999005502262
|
|
Брянская область
|
13 215,7
|
1292144
|
17076587461
|
41864189219327
|
|
Владимирская область
|
12 508,8
|
1430084
|
17888634739
|
58556345046095
|
|
Воронежская область
|
12 717,5
|
2261628
|
28762254090
|
86662729000343
|
|
Ивановская область
|
10 922,1
|
1066541
|
11648867456
|
68013335862954
|
|
Калужская область
|
15 236,7
|
1001559
|
15260454015
|
13497346188521
|
|
Костромская область
|
12 676,8
|
688331
|
8725834421
|
26723953439477
|
|
Курская область
|
14 630,9
|
1148610
|
16805198049
|
21009374361407
|
|
Липецкая область
|
15 735,7
|
1157852
|
18219611716
|
11649920781820
|
|
Московская область
|
22 200,1
|
6752727
|
1,49911E+11
|
73198291423432
|
|
Орловская область
|
12 898,5
|
812523
|
10480327916
|
29340726436954
|
|
Рязанская область
|
13 324,7
|
1151439
|
15342579243
|
35890393195044
|
|
Смоленская область
|
14 615,6
|
965986
|
14118464982
|
17795620288249
|
|
Тамбовская область
|
13 602,1
|
1088437
|
14805028918
|
30638989439186
|
|
Тверская область
|
13 836,2
|
1360257
|
18820787903
|
34986142342313
|
|
Тульская область
|
15 311,4
|
1540384
|
23585435578
|
19922506131759
|
|
Ярославская область
|
14 383,7
|
1306320
|
18789714984
|
26736051430241
|
|
г.Москва
|
44 591,8
|
10563038
|
4,71025E+11
|
6968143826896960
|
|
Республика Карелия
|
15 778,6
|
684212
|
10795907463
|
6699357989813
|
|
Республика Коми
|
22 777,8
|
951155
|
21665218359
|
14245993681463
|
|
Архангельская область
|
19 158,2
|
1254449
|
24032984832
|
78708806910
|
|
Ненецкий авт.округ
|
48 709,8
|
42293
|
2060083571
|
37563136481595
|
|
Вологодская область
|
13 836,5
|
1213657
|
16792765081
|
31211861591710
|
|
Калининградская область
|
15 735,5
|
937914
|
14758545747
|
9438168023554
|
|
Ленинградская область
|
14 572,2
|
1629595
|
23746784259
|
30630964550881
|
|
Мурманская область
|
24 372,2
|
836672
|
20391537318
|
24983542961762
|
|
Новгородская область
|
15 277,9
|
640613
|
9787221353
|
8440423837721
|
|
Псковская область
|
12 595,6
|
688563
|
8672864123
|
27434257759051
|
|
г.Санкт-Петербург
|
24 635,8
|
4600276
|
1,13331E+11
|
150939565997520
|
|
Республика Адыгея
|
12 372,6
|
443168
|
5483140397
|
18926686951129
|
|
Республика Калмыкия
|
7 701,6
|
283166
|
2180831266
|
35559127997248
|
|
Краснодарский край
|
16 521,2
|
5160656
|
85260229907
|
29392229243472
|
|
Астраханская область
|
14 599,4
|
1007113
|
14703245532
|
18693589446631
|
|
Волгоградская область
|
13 997,9
|
2589887
|
36252979237
|
62432499425028
|
|
Ростовская область
|
14 388,3
|
4229505
|
60855386792
|
86388037321443
|
|
Республика Дагестан
|
15 115,1
|
2737313
|
41374759726
|
39373273430355
|
|
Республика Ингушетия
|
9 748,5
|
516693
|
5036981711
|
43345987076083
|
|
Кабардино-Балкарская
Республика
|
11 309,2
|
893819
|
10108377835
|
51606785209036
|
|
Карачаево-Черкесская
Республика
|
10 315,2
|
427017
|
4404765758
|
31527211678068
|
|
Республика Северная Осетия
- Алания
|
14 621,2
|
700858
|
10247384990
|
12877700756966
|
|
Ставропольский край
|
12 803,5
|
2711198
|
34712823593
|
101023078085984
|
|
Республика Башкортостан
|
17 805,3
|
4065993
|
72396225163
|
4941460098123
|
|
Республика Марий Эл
|
10 203,8
|
698176
|
7124048269
|
52892488502138
|
|
Республика Мордовия
|
10 889,3
|
826526
|
9000289572
|
53141445637238
|
|
Республика Татарстан
|
18 026,9
|
3778504
|
68114713758
|
2931482702022
|
|
Удмуртская Республика
|
12 322,8
|
1526304
|
18808338931
|
66182189019932
|
|
Чувашская Республика
|
10 964,9
|
1278352
|
14017001845
|
80649027178668
|
|
Пермский край
|
19 226,3
|
2701174
|
51933581676
|
274162853684
|
|
Кировская область
|
13 409,0
|
1391059
|
18652710131
|
42059844110268
|
|
Нижегородская область
|
16 109,3
|
3323600
|
53540869480
|
26027495211344
|
|
Оренбургская область
|
13 526,2
|
2112910
|
28579643242
|
61191315375949
|
|
Пензенская область
|
12 739,7
|
1373236
|
17494614669
|
52243918520519
|
|
Самарская область
|
19 690,9
|
3170141
|
62422929417
|
1944506946462
|
|
Саратовская область
|
11 989,0
|
2564835
|
30749806815
|
122775034592035
|
|
Ульяновская область
|
12 669,1
|
1298579
|
16451827209
|
50541074372622
|
|
Курганская область
|
13 619,3
|
947566
|
12905185624
|
26500874200494
|
|
Свердловская область
|
21 909,0
|
4393797
|
96263698473
|
39578108698177
|
|
Тюменская область
|
27 639,1
|
3430313
|
94810764038
|
261517179105131
|
|
Ханты-Мансийский авт.округ
|
31 433,1
|
1538616
|
48363470590
|
241386262045967
|
|
Ямало-Ненецкий авт.округ
|
39 441,9
|
546526
|
21556023839
|
230444237303138
|
|
Челябинская область
|
16 688,7
|
3508447
|
58551419449
|
17275658898885
|
|
Республика Алтай
|
13 403,8
|
210725
|
2824515755
|
6383504754922
|
|
Республика Бурятия
|
13 976,3
|
963492
|
13466053240
|
23431002351400
|
|
Республика Тыва
|
11 076,5
|
317056
|
3511870784
|
19444377817897
|
|
Республика Хакасия
|
13 741,6
|
539151
|
7408797382
|
14389252080644
|
|
Алтайский край
|
10 908,3
|
27169455526
|
159382304797575
|
|
Забайкальский край
|
14 112,1
|
1116974
|
15762848785
|
25688061068597
|
|
Красноярский край
|
18 118,1
|
2893926
|
52432440661
|
1804330213205
|
|
Иркутская область
|
14 909,6
|
2502691
|
37314121734
|
40005284652387
|
|
Кемеровская область
|
15 419,5
|
2820636
|
43492796802
|
34320455382876
|
|
Новосибирская область
|
15 806,9
|
2649871
|
41886245910
|
25478619300334
|
|
Омская область
|
14 910,1
|
2012092
|
30000492929
|
32155060848388
|
|
Томская область
|
14 988,7
|
1043759
|
15644590523
|
16030742772649
|
|
Республика Саха (Якутия)
|
22 806,9
|
949347
|
21651662094
|
14433548173683
|
|
Камчатский край
|
27 883,0
|
342245
|
9542817335
|
27569811695959
|
|
Приморский край
|
17 263,8
|
1981970
|
34216333686
|
5356174849109
|
|
Хабаровский край
|
22 545,0
|
1400425
|
31572581625
|
18527421912211
|
|
Амурская область
|
14 057,8
|
860686
|
12099351651
|
20244760260541
|
|
Магаданская область
|
27 094,0
|
161248
|
4368853312
|
10806082215339
|
|
Сахалинская область
|
30 742,1
|
510834
|
15704109911
|
71543688734356
|
|
Еврейская авт.область
|
15 180,3
|
185039
|
2808947532
|
2570859295230
|
|
Чукотский авт.округ
|
32 044,9
|
48591
|
1557093736
|
8386110864090
|
|
Всего
|
|
142773902
|
2699527965505
|
10457890154703900
|
Приложение 2
Среднедушевые денежные доходы по регионам РФ (без учета Москвы и
Ненецкого АО)
|
Регионы РФ
|
Среднедушевые денежные
доходы населения, рублей (x)
|
Численность населения, тыс.
чел. (f)
|
x*f
|
(x-xср)^2*f
|
|
Российская Федерация
|
18552,6
|
141914509
|
|
|
|
Белгородская область
|
16621,3
|
1530124
|
25432650041
|
76898860848,1
|
|
Брянская область
|
13215,7
|
1292144
|
17076587461
|
17024387433294,3
|
|
Владимирская область
|
12508,8
|
1430084
|
17888634739
|
26895292922786,8
|
|
Воронежская область
|
12717,5
|
2261628
|
28762254090
|
38538633975476,5
|
|
Ивановская область
|
10922,1
|
1066541
|
11648867456
|
37421115335783,3
|
|
Калужская область
|
15236,7
|
1001559
|
15260454015
|
2592207675628,1
|
|
Костромская область
|
12676,8
|
688331
|
8725834421
|
11961741759806,0
|
|
Курская область
|
14630,9
|
1148610
|
16805198049
|
5633201604703,4
|
|
Липецкая область
|
15735,7
|
1157852
|
18219611716
|
1426023711576,0
|
|
Московская область
|
22200,1
|
6752727
|
1,49911E+11
|
193613895403553,0
|
|
Орловская область
|
12898,5
|
812523
|
10480327916
|
12658011598685,8
|
|
Рязанская область
|
13324,7
|
1151439
|
15342579243
|
14273112325445,2
|
|
Смоленская область
|
14615,6
|
965986
|
14118464982
|
4803234296800,7
|
|
Тамбовская область
|
13602,1
|
1088437
|
14805028918
|
11449827247730,4
|
|
Тверская область
|
13836,2
|
1360257
|
18820787903
|
12318168301221,9
|
|
Тульская область
|
15311,4
|
1540384
|
23585435578
|
3625141384208,5
|
|
Ярославская область
|
14383,7
|
1306320
|
18789714984
|
7916769731301,4
|
|
Республика Карелия
|
15778,6
|
684212
|
10795907463
|
778792462796,7
|
|
Республика Коми
|
22777,8
|
951155
|
21665218359
|
33473448110919,9
|
|
Архангельская область
|
19158,2
|
1254449
|
24032984832
|
6709639172241,7
|
|
Вологодская область
|
13836,5
|
1213657
|
16792765081
|
10988401859903,8
|
|
Калининградская область
|
15735,5
|
937914
|
14758545747
|
1155561954350,8
|
|
Ленинградская область
|
14572,2
|
1629595
|
23746784259
|
8421423371114,4
|
|
Мурманская область
|
24372,2
|
836672
|
20391537318
|
47398736950716,8
|
|
Новгородская область
|
15277,9
|
640613
|
9787221353
|
1574182611847,1
|
|
Псковская область
|
12595,6
|
688563
|
8672864123
|
12436466182802,2
|
|
г.Санкт-Петербург
|
24635,8
|
4600276
|
1,13331E+11
|
279186552750769,0
|
|
Республика Адыгея
|
12372,6
|
443168
|
5483140397
|
8866309041281,6
|
|
Республика Калмыкия
|
7701,6
|
283166
|
2180831266
|
23675661979491,7
|
|
Краснодарский край
|
16521,2
|
5160656
|
85260229907
|
542681389196,0
|
|
Астраханская область
|
14599,4
|
1007113
|
14703245532
|
5080759038964,0
|
|
Волгоградская область
|
13997,9
|
2589887
|
36252979237
|
21000645709004,9
|
|
Ростовская область
|
14388,3
|
4229505
|
60855386792
|
25536621832301,1
|
|
Республика Дагестан
|
15115,1
|
2737313
|
41374759726
|
8196102390865,6
|
|
Республика Ингушетия
|
9748,5
|
516693
|
5036981711
|
26024340127284,2
|
|
Кабардино-Балкарская Республика
|
11309,2
|
893819
|
10108377835
|
27395905364923,7
|
|
Карачаево-Черкесская
Республика
|
10315,2
|
427017
|
4404765758
|
18209950096221,4
|
|
Республика Северная Осетия
- Алания
|
14621,2
|
700858
|
10247384990
|
3467439588105,0
|
|
Ставропольский край
|
12803,5
|
2711198
|
34712823593
|
44294472188040,0
|
|
Республика Башкортостан
|
17805,3
|
4065993
|
72396225163
|
3745814980698,2
|
|
Республика Марий Эл
|
10203,8
|
698176
|
7124048269
|
30797878047867,8
|
|
Республика Мордовия
|
10889,3
|
826526
|
9000289572
|
29321901512544,2
|
|
Республика Татарстан
|
18026,9
|
3778504
|
68114713758
|
5273860149039,0
|
|
Удмуртская Республика
|
12322,8
|
1526304
|
18808338931
|
31219988671483,8
|
|
Чувашская Республика
|
10964,9
|
1278352
|
14017001845
|
44206971454387,9
|
|
Пермский край
|
19226,3
|
2701174
|
51933581676
|
15311076539405,0
|
|
Кировская область
|
13409
|
1391059
|
18652710131
|
16427563796331,4
|
|
Нижегородская область
|
16109,3
|
3323600
|
53540869480
|
1801260985478,9
|
|
Оренбургская область
|
13526,2
|
2112910
|
28579643242
|
23279237248636,6
|
|
Пензенская область
|
12739,7
|
1373236
|
17494614669
|
23149227620218,0
|
|
Самарская область
|
19690,9
|
3170141
|
62422929417
|
|
Саратовская область
|
11989
|
2564835
|
30749806815
|
60492651358731,1
|
|
Ульяновская область
|
12669,1
|
1298579
|
16451827209
|
22650008319800,8
|
|
Курганская область
|
13619,3
|
947566
|
12905185624
|
9862491162224,8
|
|
Свердловская область
|
21909
|
4393797
|
96263698473
|
112653598076927,0
|
|
Тюменская область
|
27639,1
|
3430313
|
94810764038
|
399639131983179,0
|
|
Ханты-Мансийский авт.округ
|
31433,1
|
1538616
|
48363470590
|
327415424063818,0
|
|
Ямало-Ненецкий авт.округ
|
39441,9
|
546526
|
21556023839
|
279055192984487,0
|
|
Челябинская область
|
16688,7
|
3508447
|
58551419449
|
86237388508,1
|
|
Республика Алтай
|
13403,8
|
210725
|
2824515755
|
2496071429973,6
|
|
Республика Бурятия
|
13976,3
|
963492
|
13466053240
|
7931652295789,3
|
|
Республика Тыва
|
11076,5
|
317056
|
3511870784
|
10551981604245,7
|
|
Республика Хакасия
|
13741,6
|
539151
|
7408797382
|
5194218653979,4
|
|
Алтайский край
|
10908,3
|
2490714
|
27169455526
|
87797929955315,0
|
|
Забайкальский край
|
14112,1
|
1116974
|
15762848785
|
8345321107298,5
|
|
Красноярский край
|
18118,1
|
2893926
|
52432440661
|
4686892465459,7
|
|
Иркутская область
|
14909,6
|
2502691
|
37314121734
|
9379162185610,3
|
|
Кемеровская область
|
15419,5
|
2820636
|
43492796802
|
5735533787651,5
|
|
Новосибирская область
|
15806,9
|
2649871
|
41886245910
|
2858278517963,6
|
|
Омская область
|
14910,1
|
2012092
|
30000492929
|
7536683536367,2
|
|
Томская область
|
14988,7
|
1043759
|
15644590523
|
3598496445122,3
|
|
Республика Саха (Якутия)
|
22806,9
|
949347
|
21651662094
|
33738396652320,6
|
|
Камчатский край
|
27883
|
342245
|
9542817335
|
41694630386594,7
|
|
Приморский край
|
17263,8
|
1981970
|
34216333686
|
346828338609,4
|
|
Хабаровский край
|
22545
|
1400425
|
31572581625
|
45492147302776,6
|
|
Амурская область
|
14057,8
|
860686
|
12099351651
|
6688527870645,0
|
|
Магаданская область
|
27094
|
161248
|
4368853312
|
16936226473088,4
|
|
Сахалинская область
|
30742,1
|
510834
|
15704109911
|
98650244620448,3
|
|
Еврейская авт.область
|
15180,3
|
185039
|
2808947532
|
513080588509,7
|
|
Чукотский авт.округ
|
32044,9
|
48591
|
1557093736
|
11225608071544,5
|
|
Всего
|
|
132168571
|
2226443004045
|
2890095965541960,0
|
Приложение 3
Число совершенных преступлений по регионам РФ
|
Регионы РФ
|
Число зарегистрированных
преступлений, всего
|
Численность населения тыс.
чел. (f)
|
(y-yср)^2
|
|
Российская Федерация
|
2628799
|
141914509
|
|
|
Белгородская область
|
16842
|
1530124
|
220164813,8
|
|
Брянская область
|
23474
|
1292144
|
67337645,06
|
|
Владимирская область
|
25658
|
1430084
|
36263903,57
|
|
Воронежская область
|
27473
|
2261628
|
17698443,51
|
|
Ивановская область
|
18841
|
1066541
|
164838683,5
|
|
Калужская область
|
17979
|
1001559
|
187716080,4
|
|
Костромская область
|
9913
|
688331
|
473800191
|
|
Курская область
|
18315
|
1148610
|
178621936,8
|
|
Липецкая область
|
16267
|
1157852
|
237559083,4
|
|
Московская область
|
114463
|
6752727
|
6853033068
|
|
Орловская область
|
13660
|
812523
|
324718663,1
|
|
Рязанская область
|
10593
|
1151439
|
444659536,5
|
|
Смоленская область
|
20905
|
965986
|
116099586,4
|
|
Тамбовская область
|
13790
|
1088437
|
320050375,7
|
|
Тверская область
|
29898
|
1360257
|
3175352,243
|
|
Тульская область
|
15929
|
1540384
|
248092482,8
|
|
Ярославская область
|
21341
|
1306320
|
106893924,5
|
|
г.Москва
|
185911
|
10563038
|
23787216227
|
|
Республика Карелия
|
13748
|
684212
|
321554895,6
|
|
Республика Коми
|
19706
|
951155
|
143375521,9
|
|
Архангельская область
|
24893
|
1254449
|
46062714,83
|
|
Ненецкий авт.округ
|
858
|
42293
|
949992713,2
|
|
Вологодская область
|
24419
|
1213657
|
52721421,15
|
|
Калининградская область
|
16853
|
937914
|
219838499,9
|
|
Ленинградская область
|
28387
|
1629595
|
10843531,6
|
|
Мурманская область
|
16836
|
836672
|
220342905,3
|
|
Новгородская область
|
11713
|
640613
|
398679164,5
|
|
Псковская область
|
12312
|
688563
|
375117557,2
|
|
г.Санкт-Петербург
|
64370
|
4600276
|
1068639251
|
|
Республика Адыгея
|
4674
|
443168
|
729321433
|
|
Республика Калмыкия
|
4052
|
283166
|
763303721,1
|
|
Краснодарский край
|
65811
|
5160656
|
1164928451
|
|
Астраханская область
|
26011
|
1007113
|
32137014,59
|
|
Волгоградская область
|
45193
|
2589887
|
182602471,5
|
|
Ростовская область
|
59338
|
4229505
|
764967629,8
|
|
Республика Дагестан
|
11640
|
2737313
|
401599668,4
|
|
Республика Ингушетия
|
1926
|
516693
|
885297648,1
|
|
Кабардино-Балкарская
Республика
|
9315
|
893819
|
500191069,3
|
|
Карачаево-Черкесская
Республика
|
4356
|
427017
|
746598342,4
|
|
Республика Северная Осетия
- Алания
|
7028
|
700858
|
607718727,9
|
|
Чеченская Республика
|
4581
|
1268042
|
734353189,1
|
|
Ставропольский край
|
36126
|
2711198
|
19767344,53
|
|
Республика Башкортостан
|
72297
|
4065993
|
1649744604
|
|
Республика Марий Эл
|
12430
|
698176
|
370560644,6
|
|
Республика Мордовия
|
8523
|
826526
|
536244417
|
|
Республика Татарстан
|
58769
|
3778504
|
733816532
|
|
Удмуртская Республика
|
32720
|
1526304
|
1081700,243
|
|
Чувашская Республика
|
18223
|
1278352
|
181089551,9
|
73435
|
2701174
|
1743484050
|
|
Кировская область
|
21513
|
1391059
|
103366909,1
|
|
Нижегородская область
|
80649
|
3323600
|
2397967681
|
|
Оренбургская область
|
34464
|
2112910
|
7750924,34
|
|
Пензенская область
|
16976
|
1373236
|
216206198,7
|
|
Самарская область
|
67768
|
3170141
|
1302347222
|
|
Саратовская область
|
38320
|
2564835
|
44090240
|
|
Ульяновская область
|
17732
|
1298579
|
194545359,6
|
|
Курганская область
|
23401
|
947566
|
68541043,03
|
|
Свердловская область
|
96422
|
4393797
|
4191532804
|
|
Тюменская область
|
82189
|
3430313
|
2551163949
|
|
Ханты-Мансийский авт. Округ
-Югра
|
38265
|
1538616
|
43362859,7
|
|
Ямало-Ненецкий авт.округ
|
34296
|
546526
|
6843708,147
|
|
Челябинская область
|
84258
|
3508447
|
2764451152
|
|
Республика Алтай
|
5113
|
210725
|
705802928,3
|
|
Республика Бурятия
|
26510
|
963492
|
26728401,69
|
|
Республика Тыва
|
5993
|
317056
|
659819493,1
|
|
Республика Хакасия
|
11738
|
539151
|
397681441,9
|
|
Алтайский край
|
48017
|
2490714
|
266899143,7
|
|
Забайкальский край
|
28991
|
1116974
|
7230461,822
|
|
Красноярский край
|
71009
|
2893926
|
1546774032
|
|
Иркутская область
|
65884
|
2502691
|
1169916913
|
|
Кемеровская область
|
65716
|
2820636
|
1158452577
|
|
Новосибирская область
|
66347
|
2649871
|
1201804230
|
|
Омская область
|
33362
|
2012092
|
2829286,123
|
|
Томская область
|
29093
|
1043759
|
6692319,653
|
|
Республика Саха (Якутия)
|
17181
|
949347
|
210219603,5
|
|
Камчатский край
|
5445
|
342245
|
688272696,3
|
|
Приморский край
|
50927
|
1981970
|
370448864,1
|
|
Хабаровский край
|
32321
|
1400425
|
410942,7855
|
|
Амурская область
|
18489
|
860686
|
174001209,6
|
|
Магаданская область
|
3556
|
161248
|
790956665,3
|
|
Сахалинская область
|
10858
|
510834
|
433553677,1
|
|
Еврейская автономная
область
|
4019
|
185039
|
765128254,9
|
|
Чукотский авт.округ
|
819
|
48591
|
952398346,4
|
|
Всего
|
2629436
|
144041944
|
75772107922
|
Приложение 4
Число совершенных преступлений по регионам РФ (без учета Москвы)
|
Число зарегистрированных
преступлений, всего
|
Численность населения тыс.
чел. (f)
|
(y-yср)^2
|
|
Белгородская область
|
16842
|
1530124
|
167886061,2
|
|
Брянская область
|
23474
|
1292144
|
40006704,89
|
|
Владимирская область
|
25658
|
1430084
|
17148588,01
|
|
Воронежская область
|
27473
|
2261628
|
5410673,129
|
|
Ивановская область
|
18841
|
1066541
|
120079634,9
|
|
Калужская область
|
17979
|
1001559
|
139714418,1
|
|
Костромская область
|
9913
|
688331
|
395456391,2
|
|
Курская область
|
18315
|
1148610
|
131884216,7
|
|
Липецкая область
|
16267
|
1157852
|
183117334,3
|
|
Московская область
|
114463
|
6752727
|
7167978441
|
|
Орловская область
|
13660
|
812523
|
260470076,4
|
|
Рязанская область
|
10593
|
1151439
|
368873715,1
|
|
Смоленская область
|
20905
|
965986
|
79104754,5
|
|
Тамбовская область
|
13790
|
1088437
|
256290814,3
|
|
Тверская область
|
29898
|
1360257
|
9784,104848
|
|
Тульская область
|
15929
|
1540384
|
192379268,1
|
|
Ярославская область
|
21341
|
1306320
|
71539208,06
|
|
Республика Карелия
|
13748
|
684212
|
257637341,4
|
|
Республика Коми
|
19706
|
951155
|
101870372,2
|
|
Архангельская область
|
24893
|
1254449
|
24069673,62
|
|
Ненецкий авт.округ
|
858
|
42293
|
837586422,2
|
|
Вологодская область
|
24419
|
1213657
|
28945318,54
|
|
Калининградская область
|
16853
|
937914
|
167601126,3
|
|
Ленинградская область
|
28387
|
1629595
|
1993985,08
|
|
Мурманская область
|
16836
|
836672
|
168041582,2
|
|
Новгородская область
|
11713
|
640613
|
327106483,9
|
|
Псковская область
|
12312
|
688563
|
305798154,6
|
|
г.Санкт-Петербург
|
64370
|
4600276
|
1195148139
|
|
Республика Адыгея
|
4674
|
443168
|
631269914,6
|
|
Республика Калмыкия
|
4052
|
283166
|
662912404,8
|
|
Краснодарский край
|
65811
|
5160656
|
1296857996
|
|
Астраханская область
|
26011
|
1007113
|
14349590,74
|
|
Волгоградская область
|
45193
|
2589887
|
236972607,8
|
|
Ростовская область
|
59338
|
4229505
|
872547477,8
|
|
Республика Дагестан
|
11640
|
2737313
|
329752381,3
|
|
Республика Ингушетия
|
1926
|
516693
|
776908887,8
|
|
Кабардино-Балкарская
Республика
|
9315
|
893819
|
419597753,3
|
|
Карачаево-Черкесская
Республика
|
4356
|
427017
|
647350592,9
|
|
Республика Северная Осетия
- Алания
|
7028
|
700858
|
518522328,7
|
|
Чеченская Республика
|
4581
|
1268042
|
635951829,5
|
|
Ставропольский край
|
36126
|
2711198
|
40029848,79
|
|
Республика Башкортостан
|
72297
|
4065993
|
1806072748
|
|
Республика Марий Эл
|
12430
|
698176
|
301685126,4
|
|
Республика Мордовия
|
8523
|
826526
|
452671808,5
|
|
Республика Татарстан
|
58769
|
3778504
|
839255953,9
|
|
Удмуртская Республика
|
32720
|
1526304
|
8531742,3
|
|
Чувашская Республика
|
18223
|
1278352
|
134005752,4
|
|
Пермский край
|
73435
|
2701174
|
1904093046
|
|
Кировская область
|
21513
|
1391059
|
68659210,69
|
|
Нижегородская область
|
80649
|
3323600
|
2585713818
|
|
Оренбургская область
|
34464
|
21761428,54
|
|
Пензенская область
|
16976
|
1373236
|
164431518,3
|
|
Самарская область
|
67768
|
3170141
|
1441638478
|
|
Саратовская область
|
38320
|
2564835
|
72605986,2
|
|
Ульяновская область
|
17732
|
1298579
|
145614549,2
|
|
Курганская область
|
23401
|
947566
|
40935496,35
|
|
Свердловская область
|
96422
|
4393797
|
4438612754
|
|
Тюменская область
|
82189
|
3430313
|
2744703155
|
|
Ханты-Мансийский
авт.округ-Югра
|
38265
|
1538616
|
71671710,59
|
|
Ямало-Ненецкий авт.округ
|
34296
|
546526
|
20222241,23
|
|
Челябинская область
|
84258
|
3508447
|
2965773383
|
|
Республика Алтай
|
5113
|
210725
|
609402810,7
|
|
Республика Бурятия
|
26510
|
963492
|
10818082,54
|
|
Республика Тыва
|
5993
|
317056
|
566729700,4
|
|
Республика Хакасия
|
11738
|
539151
|
326202804,6
|
|
Алтайский край
|
48017
|
2490714
|
331892413,6
|
|
Забайкальский край
|
28991
|
1116974
|
653001,9585
|
|
Красноярский край
|
71009
|
2893926
|
1698257064
|
|
Иркутская область
|
65884
|
2502691
|
1302121064
|
|
Кемеровская область
|
65716
|
2820636
|
1290024757
|
|
Новосибирская область
|
66347
|
2649871
|
1335750064
|
|
Омская область
|
33362
|
2012092
|
12694360,69
|
|
Томская область
|
29093
|
1043759
|
498556,5439
|
|
Республика Саха (Якутия)
|
17181
|
949347
|
159216078,3
|
|
Камчатский край
|
5445
|
342245
|
593121474
|
|
Приморский край
|
50927
|
1981970
|
446388776,8
|
|
Хабаровский край
|
32321
|
1400425
|
6360053,422
|
|
Амурская область
|
18489
|
860686
|
127918031
|
|
Магаданская область
|
3556
|
161248
|
688699529,5
|
|
Сахалинская область
|
10858
|
510834
|
358764714,8
|
|
Еврейская автономная область
|
4019
|
185039
|
664612801,5
|
|
Чукотский авт.округ
|
819
|
48591
|
839845347,8
|
|
Всего
|
2443525
|
|
51694803692
|
Приложение 5
Распределение среднедушевых доходов и уровня преступности населения РФ
|
Регионы РФ
|
Денежные доходы населения
|
Количество
зарегистрированных преступлений, в расчете на 100 тыс. чел. населения, ед.
|
Численность населения, тыс.
чел
|
Число зарегистрированных
преступлений - всего единиц, значение показателя за год
|
|
7701,6-15636,7
|
|
Республика Калмыкия
|
7701,6
|
1400
|
283,2
|
4052
|
|
Республика Ингушетия
|
9748,5
|
470
|
516,7
|
1926
|
|
Республика Марий Эл
|
10203,8
|
1783
|
698,2
|
12430
|
|
Карачаево-Черкесская
Республика
|
10315,2
|
910
|
427
|
4356
|
|
Республика Мордовия
|
10889,3
|
1018
|
826,5
|
8523
|
|
Алтайский край
|
10908,3
|
1983
|
2490,7
|
48017
|
|
Ивановская область
|
10922,1
|
1769
|
1066,5
|
18841
|
|
Чувашская Республика
|
10964,9
|
1453
|
1278,4
|
18223
|
|
Республика Тыва
|
11076,5
|
1954
|
317,1
|
5993
|
|
Кабардино-Балкарская
Республика
|
11309,2
|
1084
|
893,8
|
9315
|
|
Саратовская область
|
11989
|
1517
|
2564,8
|
38320
|
|
Удмуртская Республика
|
12322,8
|
2148
|
1526,3
|
32720
|
|
Республика Адыгея
|
12372,6
|
1061
|
443,2
|
4674
|
|
Владимирская область
|
12508,8
|
1773
|
1430,1
|
25658
|
|
Псковская область
|
12595,6
|
1821
|
688,6
|
12312
|
|
Ульяновская область
|
12669,1
|
1370
|
1298,6
|
17732
|
|
Костромская область
|
12676,8
|
1482
|
688,3
|
9913
|
|
Воронежская область
|
12717,5
|
1174
|
2261,6
|
27473
|
|
Пензенская область
|
12739,7
|
1223
|
1373,2
|
16976
|
|
Ставропольский край
|
12803,5
|
1298
|
2711,2
|
36126
|
|
Орловская область
|
12898,5
|
1732
|
812,5
|
13660
|
|
Брянская область
|
13215,7
|
1833
|
1292,1
|
23474
|
|
Рязанская область
|
13324,7
|
916
|
1151,4
|
10593
|
|
Республика Алтай
|
13403,8
|
2486
|
210,7
|
5113
|
|
Кировская область
|
13409
|
1601
|
1391,1
|
21513
|
|
Оренбургская область
|
13526,2
|
1695
|
2112,9
|
34464
|
|
Тамбовская область
|
13602,1
|
1259
|
1088,4
|
13790
|
|
Курганская область
|
13619,3
|
2565
|
947,6
|
23401
|
|
Республика Хакасия
|
13741,6
|
2206
|
539,2
|
11738
|
|
Тверская область
|
13836,2
|
2204
|
1360,3
|
29898
|
|
Вологодская область
|
13836,5
|
2029
|
1213,7
|
24419
|
|
Республика Бурятия
|
13976,3
|
2728
|
963,5
|
26510
|
|
Волгоградская область
|
13997,9
|
1728
|
2589,9
|
45193
|
|
Амурская область
|
14057,8
|
2227
|
860,7
|
18489
|
|
Забайкальский край
|
14112,1
|
2619
|
1117
|
28991
|
|
Ярославская область
|
14383,7
|
1675
|
1306,3
|
21341
|
|
Ростовская область
|
14388,3
|
1385
|
4229,5
|
59338
|
|
Ленинградская область
|
14572,2
|
1655
|
1629,6
|
28387
|
|
Астраханская область
|
14599,4
|
2023
|
1007,1
|
26011
|
|
Смоленская область
|
14615,6
|
2116
|
966
|
20905
|
|
Республика Северная Осетия
- Алания
|
14621,2
|
986
|
700,9
|
7028
|
|
Курская область
|
14630,9
|
1623
|
1148,6
|
18315
|
|
Иркутская область
|
14909,6
|
2712
|
2502,7
|
|
Омская область
|
14910,1
|
1686
|
2012,1
|
33362
|
|
Томская область
|
14988,7
|
2787
|
1043,8
|
29093
|
|
Республика Дагестан
|
15115,1
|
392
|
2737,3
|
11640
|
|
Еврейская авт.область
|
15180,3
|
2273
|
185
|
4019
|
|
Калужская область
|
15236,7
|
1776
|
1001,6
|
17979
|
|
Новгородская область
|
15277,9
|
1842
|
640,6
|
11713
|
|
Тульская область
|
15311,4
|
1023
|
1540,4
|
15929
|
|
Кемеровская область
|
15419,5
|
2376
|
2820,6
|
65716
|
|
15636,7-23571,7
|
|
Калининградская область
|
15735,5
|
1791
|
937,9
|
16853
|
|
Липецкая область
|
15735,7
|
1385
|
1157,9
|
16267
|
|
Республика Карелия
|
15778,6
|
2128
|
684,2
|
13748
|
|
Новосибирская область
|
15806,9
|
2492
|
2649,9
|
66347
|
|
Нижегородская область
|
16109,3
|
2431
|
3326,6
|
80649
|
|
Краснодарский край
|
16521,2
|
1261
|
5160,7
|
65811
|
|
Белгородская область
|
16621,3
|
1099
|
1530,1
|
16842
|
|
Челябинская область
|
16688,7
|
2422
|
3508,4
|
84258
|
|
Приморский край
|
17263,8
|
2599
|
1982
|
50927
|
|
Республика Башкортостан
|
17805,3
|
1776
|
4066
|
72297
|
|
Республика Татарстан
|
18026,9
|
1552
|
3778,5
|
58769
|
|
Красноярский край
|
18118,1
|
2511
|
2893,9
|
71009
|
|
Архангельская область
|
19158,2
|
2574
|
1254,4
|
24893
|
|
Пермский край
|
19226,3
|
2784
|
2701,2
|
73435
|
|
Самарская область
|
19690,9
|
2106
|
3170,1
|
67768
|
|
Свердловская область
|
21909
|
2244
|
4393,8
|
96422
|
|
Московская область
|
22200,1
|
1616
|
6752,7
|
114463
|
|
Хабаровский край
|
22545
|
2402
|
1400,4
|
32321
|
|
Республика Коми
|
22777,8
|
2180
|
951,2
|
19706
|
|
Республика Саха (Якутия)
|
22806,9
|
1793
|
949,3
|
17181
|
|
23571,4-31506,8
|
|
Мурманская область
|
24372,2
|
2109
|
836,7
|
16836
|
|
г.Санкт-Петербург
|
24635,8
|
1327
|
4600,3
|
64370
|
|
Магаданская область
|
27094
|
2257
|
161,2
|
3556
|
|
Тюменская область
|
27639,1
|
2426
|
3430,3
|
82189
|
|
Камчатский край
|
27883
|
1693
|
342,2
|
5445
|
|
Сахалинская область
|
30742,1
|
2176
|
510,8
|
10858
|
|
Ханты-Мансийский авт.округ
|
31433,1
|
2245
|
1538,6
|
38265
|
|
31506,8-39441,9
|
|
Чукотский авт.округ
|
32044,9
|
1614
|
48,6
|
819
|
|
Ямало-Ненецкий авт.округ
|
39441,9
|
1838
|
546,5
|
34296
|
Приложение 6
Распределение среднедушевых доходов и уровня преступности населения РФ
|
Регионы РФ
|
Среднедушевые доходы
населения, (тыс. чел.)
|
Число зарегистрированных
преступлений - всего единиц, значение показателя за год
|
Количество
зарегистрированных преступлений, в расчете на 100 тыс. чел. населения,
единиц.
|
Численность населения (тыс.
чел)
|
|
7,7 - 11,3
|
|
Республика Калмыкия
|
7,7
|
4052
|
1400
|
283,2
|
|
Республика Ингушетия
|
9,7
|
1926
|
470
|
516,7
|
|
Республика Марий Эл
|
10,2
|
12430
|
1783
|
698,2
|
|
Карачаево-Черкесская
Республика
|
10,3
|
4356
|
910
|
427
|
|
Республика Мордовия
|
10,9
|
8523
|
1018
|
826,5
|
|
Алтайский край
|
10,9
|
48017
|
1983
|
2490,7
|
|
Ивановская область
|
10,9
|
18841
|
1769
|
1066,5
|
|
Чувашская Республика
|
11,0
|
18223
|
1453
|
1278,4
|
|
Республика Тыва
|
11,1
|
5993
|
1954
|
317,1
|
|
Кабардино-Балкарская
Республика
|
11,3
|
9315
|
1084
|
893,8
|
|
11,4 - 14,0
|
|
Саратовская область
|
12,0
|
38320
|
1517
|
2564,8
|
|
Удмуртская Республика
|
12,3
|
32720
|
2148
|
1526,3
|
|
Республика Адыгея
|
12,4
|
4674
|
1061
|
443,2
|
|
Владимирская область
|
12,5
|
25658
|
1773
|
1430,1
|
|
Псковская область
|
12,6
|
12312
|
1821
|
688,6
|
|
Ульяновская область
|
12,7
|
17732
|
1370
|
1298,6
|
|
Костромская область
|
12,7
|
9913
|
1482
|
688,3
|
|
Воронежская область
|
12,7
|
27473
|
1174
|
2261,6
|
|
Пензенская область
|
12,7
|
16976
|
1223
|
1373,2
|
|
Ставропольский край
|
12,8
|
36126
|
1298
|
2711,2
|
|
Орловская область
|
12,9
|
13660
|
1732
|
812,5
|
|
Брянская область
|
13,2
|
23474
|
1833
|
1292,1
|
|
Рязанская область
|
13,3
|
10593
|
916
|
1151,4
|
|
Республика Алтай
|
13,4
|
5113
|
2486
|
210,7
|
|
Кировская область
|
13,4
|
21513
|
1601
|
1391,1
|
|
Оренбургская область
|
13,5
|
34464
|
1695
|
2112,9
|
|
Тамбовская область
|
13,6
|
13790
|
1259
|
1088,4
|
|
Курганская область
|
13,6
|
23401
|
2565
|
947,6
|
|
Республика Хакасия
|
13,7
|
11738
|
2206
|
539,2
|
|
Тверская область
|
13,8
|
29898
|
2204
|
1360,3
|
|
Вологодская область
|
13,8
|
24419
|
1213,7
|
|
Республика Бурятия
|
14,0
|
26510
|
2728
|
963,5
|
|
Волгоградская область
|
14,0
|
45193
|
1728
|
2589,9
|
|
14,1 - 14,6
|
|
Амурская область
|
14,1
|
18489
|
2227
|
860,7
|
|
Забайкальский край
|
14,1
|
28991
|
2619
|
1117
|
|
Ярославская область
|
14,4
|
21341
|
1675
|
1306,3
|
|
Ростовская область
|
14,4
|
59338
|
1385
|
4229,5
|
|
Ленинградская область
|
14,6
|
28387
|
1655
|
1629,6
|
|
Астраханская область
|
14,6
|
26011
|
2023
|
1007,1
|
|
Смоленская область
|
14,6
|
20905
|
2116
|
966
|
|
Республика Северная Осетия
- Алания
|
14,6
|
7028
|
986
|
700,9
|
|
Курская область
|
14,6
|
18315
|
1623
|
1148,6
|
|
14,7 - 15,8
|
|
Иркутская область
|
14,9
|
65884
|
2712
|
2502,7
|
|
Омская область
|
14,9
|
33362
|
1686
|
2012,1
|
|
Томская область
|
15,0
|
29093
|
2787
|
1043,8
|
|
Республика Дагестан
|
15,1
|
11640
|
392
|
2737,3
|
|
Еврейская авт.область
|
15,2
|
4019
|
2273
|
185
|
|
Калужская область
|
15,2
|
17979
|
1776
|
1001,6
|
|
Новгородская область
|
15,3
|
11713
|
1842
|
640,6
|
|
Тульская область
|
15,3
|
15929
|
1023
|
1540,4
|
|
Кемеровская область
|
15,4
|
65716
|
2376
|
2820,6
|
|
Калининградская область
|
15,7
|
16853
|
1791
|
937,9
|
|
Липецкая область
|
15,7
|
16267
|
1385
|
1157,9
|
|
Республика Карелия
|
15,8
|
13748
|
2128
|
684,2
|
|
Новосибирская область
|
15,8
|
66347
|
2492
|
2649,9
|
|
15,9 - 17,8
|
|
Нижегородская область
|
16,1
|
80649
|
2431
|
3326,6
|
|
Краснодарский край
|
16,5
|
65811
|
1261
|
5160,7
|
|
Белгородская область
|
16,6
|
16842
|
1099
|
1530,1
|
|
Челябинская область
|
16,7
|
84258
|
2422
|
3508,4
|
|
Приморский край
|
17,3
|
50927
|
2599
|
1982
|
|
Республика Башкортостан
|
17,8
|
72297
|
1776
|
4066
|
|
17,9 - 24,6
|
|
Республика Татарстан
|
18,0
|
58769
|
1552
|
3778,5
|
|
Красноярский край
|
18,1
|
71009
|
2511
|
2893,9
|
|
Архангельская область
|
19,2
|
24893
|
2574
|
1254,4
|
|
Пермский край
|
19,2
|
73435
|
2784
|
2701,2
|
|
Самарская область
|
19,7
|
67768
|
2106
|
3170,1
|
|
Свердловская область
|
21,9
|
96422
|
2244
|
4393,8
|
|
Московская область
|
22,2
|
114463
|
1616
|
6752,7
|
|
Хабаровский край
|
22,5
|
32321
|
2402
|
1400,4
|
|
Республика Коми
|
22,8
|
19706
|
2180
|
951,2
|
|
Республика Саха (Якутия)
|
22,8
|
17181
|
1793
|
949,3
|
|
Мурманская область
|
24,4
|
16836
|
2109
|
836,7
|
|
г.Санкт-Петербург
|
24,6
|
64370
|
1327
|
4600,3
|
|
24,7 - 39,4
|
|
Магаданская область
|
27,1
|
3556
|
2257
|
161,2
|
|
Тюменская область
|
27,6
|
82189
|
2426
|
3430,3
|
|
Камчатский край
|
27,9
|
5445
|
1693
|
342,2
|
|
Сахалинская область
|
30,7
|
10858
|
2176
|
510,8
|
|
Ханты-Мансийский авт.округ
|
31,4
|
38265
|
2245
|
1538,6
|
|
Чукотский авт.округ
|
32,0
|
819
|
1614
|
48,6
|
|
Ямало-Ненецкий авт.округ
|
39,4
|
34296
|
1838
|
546,5
|