Расчет производительности оборудования. Объем продаж и прибыли
Федеральное
государственное образовательное учреждение
Высшего
профессионального образования
«Национальный
исследовательский технологический университет «МИСиС»
Новотроицкий
филиал
Примеры
решения
задач по междисциплинарному экзамену по дисциплине «Организация производства»
г.
Новотроицк 2010 г
Задачи
Задача 1. Нефтеперерабатывающий
завод производил основную продукцию (топливо) на сумму 600 млн. ден. ед. и
побочную продукцию (мазут и пр.) на сумму 120 млн. ден. ед. в год. Установка нового
оборудования обеспечила более полное использование продуктов перегонки нефти.
Стоимость побочной продукции выросла до 250 млн. ден. ед. в год. Определите,
как изменился уровень комбинирования.
Решение
Коэффициент комбинирования до установки нового
оборудования равен:
К‘комб =120млн. / 600млн.
= 0,2
Коэффициент комбинирования после установки
нового оборудования составит:
К’’комб =250 млн / 600
млн. = 0,417
Изменения уровня комбинирования:
ΔКкомб
=(0,417 - 0,20) / 0,417 * 100% = 52%
Таким образом, уровень комбинирования вырос на
52%.
Ответ: уровень комбинирования вырос на 52%.
Задача 2. Для
производства автомобилей иностранная компания использует комплектующие,
удельный вес которых в себестоимости продукции составляет: из Германии - 27%,
Великобритании - 16%, Испании - 12%, Бельгии - 13%. Внедрение методов
специализации и кооперирования производства автомобилей на всех стадиях
воспроизводственного цикла (от НИОКР до сбыта) позволило компании сократить
издержки и увеличить объем продаж со 137 млн. ден. ед. в году t1,
а прибыль осталась на прежнем уровне - 5% от объема продаж. Определите:
. Уровень кооперирования производства;
. Прирост объема продаж в году t1,
в % году t;
. Увеличение прибыли в году t1,
по сравнению с годом t
в денежном выражении.
Решение
. Коэффициент кооперирования производства
равен:
Ккооп = 27 + 16 + 12 + 13 = 68%
. Прирост объема продаж в году t1
по сравнению с годом t
составил:
Тпр = (147 - 137) / 137 * 100% = 7,3%
. Увеличение прибыли в году t1
по
сравнению с годом t в денежном
выражении составило:
ΔП = (147 - 137) *
0,05 = 0,5 млн. ден. ед
Ответ: коэффициент
кооперирования 68%, прирост объема продаж составит 7,3%, прибыль увеличится на
0,05 млн. ден. Ед.
Задача 3. Мощность
установленного оборудования в механическом цехе - 470,5 кВт; средний
коэффициент полезного действия электромоторов ηд
= 0,9; средний коэффициент загрузки оборудования Кз = 0,85; средний
коэффициент одновременной работы оборудования Ко = 0,75; коэффициент
полезного действия питающей электрической сети Кс = 0,96. Режим
работы цеха - двухсменный, смены по 8 часов. Число рабочих дней в году - 254.
Потери времени на плановый ремонт составляют 5%. Определите годовую потребность
в силовой электроэнергии механического цеха.
Решение
. Рассчитаем годовой эффективный фонд
времени работы оборудования при двухсменном режиме:
Fэ
= Fн
* Кно * Ксм = 254 * 8 * 0,95 * 2 = 3861 час.
. Определим годовую потребность в силовой
электроэнергии механического цеха по формуле:
Рэл = (Wу
* Fэ
* Кз * Ко)/(Кс * ηд)
где Wу
-
суммарная мощность установленного оборудования, кВт;
Fэ
- эффективный фонд времени работы оборудования за плановый период, ч;
Кз - коэффициент загрузки
оборудования;
Ко - средний коэффициент
одновременной работы оборудования;
Кс - коэффициент полезного действия
питающей электрической сети;
ηд
- средний коэффициент полезного действия установленного электрооборудования.
Подставляя цифровые значения, получим:
Рэл = (470,5 * 3861 * 0,85 *
0,75)/(0,96 * 0,9) = 1 340 374 кВт * ч.
Ответ: годовая потребность в силовой
электроэнергии механического цеха составит 1 340 374 кВт * ч.
Задача 4. Определите
потребность в осветительной электроэнергии инструментального цеха, если в нем
установлено 10 люминесцентных светильников, средняя мощность каждого из которых
100 Вт. Время горения светильников в сутки - 17 часов. Число рабочих дней в
месяце - 22.
Решение
. Эффективный фонд времени работы
светильников составит:
Fэ
= 22 * 17 = 374 часа.
. Потребность в осветительной
электроэнергии инструментального цеха определим по формуле:
Рэл = (Ссв * Рср
* Fэ
* Ко) / 1000,
где Ссв - число светильников на
участке, в цехе, шт.; Рср - средняя мощность одной лампочки, Вт.
Тогда
Рэл = (10 * 100 * 374 * 0,75) / 1000
= 280,5 кВт * ч.
Ответ: потребность в осветительной
электроэнергии инструментального цеха 280,5 кВт * ч.
Задача 5. Определите
потребность участка в сжатом воздухе, если он используется на 12 станках.
Среднечасовой расход сжатого воздуха на одном станке - 10 м3.
коэффициент использования станков во времени - 0,8. Режим работы оборудования
двухсменный. Продолжительность рабочей смены - 8 часов. Число рабочих дней в
месяце - 21. Потери времени на плановый ремонт составляют 6%.
Решение
1. Эффективный фонд времени работы
оборудования составит:
Fэ
= 21 * 8 * 0,94 * 2 = 316 часов.
. Удельный расход сжатого воздуха всеми
станками равен:
d = 12 * 10 = 120 м3/ч.
. Потребность участка в сжатом воздухе за месяц
определим по формуле:
Qв = 1,5
Ки
Fэ Кз
,
где 1,5 - коэффициент, учитывающий
потери сжатого воздуха;
d - расход
сжатого воздуха при непрерывной работе
воздухоприемника, м3/ч;
Ки - коэффициент
использования воздухоприемника;
m - число
воздухоприемников.
Подставим числовые значения, тогда
Qв = 1,5 * 120
*0,8 * 316 * 0,75 = 34 128 м3.
Задача 6. Определите
расход воды на приготовление охлаждающей эмульсии для металлорежущего
инструмента за год по механическому цеху. Вода используется на 35 станках,
средний часовой расход на один станок составляет 1,3 л. Средний коэффициент
загрузки станков - 0,85. Режим работы цеха двухсменный. Продолжительность
рабочей смены - 8 часов. Число рабочих дней в году - 254. Потери времени на
плановый ремонт составляют 4%.
Решение
1. Эффективный фонд времени работы
оборудования составит:
Fэ
= 254 * 2 * 8 * 0,96 = 3901 час.
. Потребность в воде для приготовления
охлаждающей эмульсии определим по формуле:
Qвод
= qв
Спр Fэ
Кз / 1000,
где qв
- часовой расход воды на один станок, л;
Qвод =
1,3 * 35 * 3901 * 0,85 / 1000 = 151 м3.
Ответ: расход воды на приготовление охлаждающей
эмульсии составит 151 м3.
Задача 7. Определите
показатели поточной линии: такт, длину конвейера скорость поточной линии.
Исходные данные следующие: программа выпуска
изделий за смену 240 шт., продолжительность смены 8 часов, плановые остановки
оборудования 20 мин. в течение смены. Процесс сборки деталей на поточной линии
включает четыре операции продолжительностью соответственно 2, 8, 4 и 2 мин. На
второй операции норма обслуживания равна 2, на остальных - 1. Расположение
рабочих мест одностороннее, расстояние между смежными рабочими местами 1,2 м.
Решение:
. Эффективный фонд рабочего времени поточной
линии (Tэф)
равен 460 мин. (8*60 - 20).
. Такт поточной линии в расчетный период (смену)
(tп.л.)
равен 1,9 мин. (460 / 240).
. Расчетное число рабочих мест для выполнения
отдельных операций (Рм) и принятое число рабочих мест по каждой
операции (Рпр) будет равно:
Рм1 = 2 / 1,9 = 1Рпр1 = 1;
Рм2 = 8 / 1,9 = 4,2Рпр2 =
4;
Рм3 = 4 / 1,9 = 2,1Рпр3 =
2;
Рм4 = 2 / 1,9 = 1Рпр4 = 1.
. Общее число рабочих мест (Роб)
будет равно 8 (1 + 4 + 2 + 1).
. Численность рабочих на поточной линии в смену
(Ч) составляет 6 чел. (1 + 4*0,5 + 2 + 1).
. Рабочая длина конвейера (Д) равна 8,4 м (1,2 *
(8 - 1)).
. Скорость поточной линии (V)
составляет 0,63 м / мин (1,2 / 1,9).
Ответ: такт поточной линии (tп.л.)
равен 1,9 мин., рабочая длина конвейера (Д) равна 8,4 м, скорость поточной
линии (V) составляет 0,63 м
/ мин.
Задача 8. Определите
ритмичности работы производственного участка. Имеются следующие месячные
показатели работы производственного участка предприятия:
|
План
|
Первая декада, %
|
Вторая декада, %
|
Третья декада, %
|
|
33
|
33
|
34
|
|
Факт
|
10
|
10
|
80
|
Определить коэффициент ритмичности (Кр) работы
участка в течение месяца по декадным данным.
Решение. Кр
= (10 + 10 + 34) / (33 + 33 + 34) = 0,54.
Ответ: производственное задание на участке было
выполнено на 54%, но участок работал неритмично - план был выполнен за счет
объема продукции, произведенного в третьей декаде.
Задача 9. Произведите
расчет часовой производительности при переходе параллельности осуществления
производственных операций ( принцип параллельности).
Существуют три последовательно выполняемые
операции с нормами времени: t1 = 6 мин/ед.; t2 = 4
мин/ед.; t3 = 2 мин/ед. Каждая операция выполняется на одном рабочем
месте.
Решение.
Длительность изготовления 1 ед. продукции в этом
случае составит: t1 + t2 + t3 = 6 + 4 + 2 = 12
мин. Введем параллельные рабочие места на этих операциях c1
= 3, c2
= 2, c3
= 1 так, чтобы среднее время выполнения каждой операции было бы одинаковым: t1/c1
= t2/c2
=
t3/c3
= 2 мин. Очевидно, что в этом случае будет выполняться принцип
пропорциональности («узкие места» будут отсутствовать), а длительность
изготовления 1 ед. продукции сократится до 2 + 2 + 2 = 6 мин.
Часовая производительность до введения
параллельных рабочих мест составит: 60/6=10 ед./ч. Часовая производительность
за счет введения параллельных рабочих мест: 60/2 = 30 ед./ч
Ответ: часовая производительность увеличится с
10 ед./ч до 60/2 = 30 ед./ч за счет введения параллельных рабочих мест.
Задача 10. На
предприятии, имеющем три передела, запланирована и изготовлена 1000 изделий.
Согласно установленным нормам первому переделу отпущено сырья на 10 тыс.руб., а
затраты на обработку составили 5 тыс. руб., вторым переделом израсходовано на
обработку 4 тыс. руб., третьим переделом израсходовано на обработку 3 тыс.руб.
Определите себестоимости изделия.
Решение:
Расчет себестоимости изделия в данном примере:
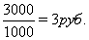
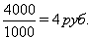
1 передел:
передел:
передел:
Себестоимость изделия составит: 15 +
4 + 3 = 22 руб.
Ответ: 22 руб.
Задача 11. Имеется
партия деталей n = 8 шт., технологический процесс обработки которой состоит из
m = 4 операции, продолжительностью t1 = 2 мин.; t2 = 1
мин.; t3 = 3 мин.; t4 = 4 мин. Все операции, кроме
третьей, выполняются на одном рабочем месте: с1 = 1; с2 =
1; с3 = 2; с4 = 1.
Определите аналитическим и
графическим методами длительность технологического цикла при последовательном
виде движения деталей.
Решение
Продолжительность цикла обработки
партии деталей составляет:
Длительность операционного цикла
обработки партии по каждой операции равна
После определения продолжительности
операционных циклов строится график технологического цикла (рис. 1):
Рисунок 1 - График технологического
цикла при последовательном виде движения предметов труда по операциям
Ответ: Тm (послед) = 68 мин.
Задача 12. Имеется
партия деталей n = 8 шт., технологический процесс обработки которой состоит из
m = 4 операций продолжительностью t1 = 2 мин.; t2 = 1 мин.; t3 = 3 мин.; t4 = 4
мин. Все операции, кроме третьей, выполняются на одном рабочем месте: с1 = 1;
с2 = 1; с3 = 2; с4 = 1. Величина транспортной партии p = 2.
Определите аналитическим и
графическим методами длительность технологического цикла при параллельном виде
движения деталей.
Решение
Продолжительность технологического
цикла будет равна:

Ответ: Тm (пар) = 41 мин
Задача 13. Имеется
партия деталей n = 8 шт., технологический процесс обработки которой состоит из
m = 4 операций продолжительностью t1 = 2мин.; t2 = 1 мин.; t3 = 3 мин.; t4 = 4
мин. Все операции, кроме третьей, выполняются на одном рабочем месте: с1 = 1;
с2 = 1; с3 = 2; с4 = 1. Величина транспортной партии p = 2.
Определите аналитическим и
графическим методами длительность технологического цикла при параллельно -
последовательном виде движения деталей.
Решение
Продолжительность технологического
цикла будет равна (формула 9)
Рисунок 1 - График технологического
цикла при параллельно-последовательном виде движения предметов труда по
операциям
Ответ: Тm (пар - посл)) = 47 мин
Задача 14. Норма
времени 30 мин. Определить норму выработки за 7 - часовую смену
Решение
Н выработки = (7*60): 30 = 14 единиц
Ответ: 14 единиц
Задача 15
Норма времени уменьшится на 6 %. Как
изменится норма выработки?
Н выработки = -100* (- 6): [100+(-
6)] = 6,4%
Ответ: увеличится на 6.4%
Задача 16. Определите
расход пара (Q) на
отопление здания заготовительного цеха.
Объем здания V зд = 8700 м
3 . Норма расхода пара q = 0,5
ккал/ч на 1 м 3 объема здания. Средняя наружная температура за
отопительный период t н =- 8о С.
Внутренняя температура здания цеха t
вн
=
+15 о С.
Продолжительность отопительного
сезона (Fc)- 200 дней,
i
-теплосодержание пара
принимается 540 ккал/кг.
Решение
.Определим отопительный период в
часах:
Fд = Fc*Кч = 200*24
= 4800 часов.
[15 - ( - 7)] =+ 22°С
. Разность температур за
отопительный период составит:
t о = t
вн
-
t
н
= [15
- ( - 7)] = + 22°С
. Расход период за отопительный
период составит:
Q =
0.5*22*4800*8700/1000*540 =851 т.
Ответ: 851 т.
Задача 17. Определите
безубыточный объем продаж и постройте график безубыточного объема продаж, если
цена единицы новой продукции составляет 420 рублей, условно-постоянные затраты
14 млн. руб. Общая сумма затрат - 58 млн. руб. Годовой выпуск продукции
составляет 180 тыс. штук.
Решение
Т = Сп / Ц- Спер
=14000000/420-58000000-14000000/180000 = 79545 шт.
Ответ: 79545 шт.
Вопросы для подготовки к
междисциплинарному экзамену по дисциплине «Организация производства»
оборудование комбинирование продажа прибыль
1. Назовите основные задачи и принципы
организации производства на предприятии.
. Назовите закономерности и принципы организации
производства.
. Чем отличается параллельный вид движения
предметов труда от параллельно-последовательного вида движения предметов труда?
Напишите формулу по определению длительности
параллельного вида движения предметов труда.
. Чем отличается последовательный вид движения
предметов труда от параллельно-последовательного вида движения предметов труда?
Напишите формулу по определению длительности
параллельно-последовательного вида движения предметов труда.
. Назовите виды движения предметов труда в
производственном процессе - последовательный вид движения предметов труда.
Напишите формулу по определению длительности
последовательного вида движения предметов труда на предприятии.
. Что такое ритмичность производства?
. Назвать и охарактеризовать составляющие
производственного цикла.
. На какие результаты работы предприятия влияет
длительность цикла?
9. Назвать
направления сокращения продолжительности цикла.
10. Какие факторы
ограничивают сокращение продолжительности цикла?
. Как определяется безубыточный объем продаж?
. Дайте определения поточного производства.
. Назовите формы организации производства.
. Определение такта, темпа, шага, длины, цикла
поточной линии; численности рабочих.
. Дайте определение производственного процесса.
. Какова структура производственного процесса?
Назовите основные принципы организации производственного процесса.
. Приведите пример структуры основного
производственного процесса.
. Цели специализации.
. Охарактеризовать формы специализации.
. Виды специализации. Их особенности.
. Нормы специализации на предприятии.
. Цели кооперации предприятий.
. Виды кооперированных связей.
. Формы комбинирования и их экономическая
эффективность.
. Как определяется снижение себестоимости
продукции?
Список литературы
1.
Организация производства и управление предприятием. Учебник. Под ред.
О.Г.Туровца. М.: ИНФРА-М. 2002
.
Организация производства. Учебник для вузов. Под ред. Р.А.Фатхутдинова. М.:
ИНФРА_М. 2002
.
Медведев И.А. и др. Организация, планирование и управление производством на
металлургических предприятиях. Киев-Донецк. Высшая школа. 1984
.
Организация, планирование и управление производством на металлургических
предприятиях./ Под ред. Медведева И.А., Бельгольского Б.П., Зайцева Е.П. 2-е
изд. Донецк. Высшая школа. 1984.
.
Экономика предприятия: Учеб. /Под ред. А.А. Сафонова: - М., 1996.
.
Сварцов
Н.В., Некрасов Л.А. Практикум по организации машиностроительного производства.
- М., 1990.