Проблемы и перспективы использования технического анализа на российском рынке ценных бумаг
ОГЛАВЛЕНИЕ
Введение
. Теоретический обзор технического анализа
.1 История возникновения технического анализа
.2 Принципы технического анализа
.3 Два направления технического анализа
. Практическое применение технического анализа на российском
рынке ценных бумаг.
.1 Анализ структуры колебаний цен инструментов российского
рынка ценных бумаг через элементы технического анализа
.1.1 Обзор Российского фондового рынка
.1.2 Описание индекса РТС
.1.3 Описание фьючерса на индекс РТС
.2 Описание фигур технического анализа, используемых при
проведении практического исследования.
.3 Исследование эффективности применения технического анализа
на российском рынке ценных бумаг
. Проблемы и перспективы использования технического анализа
на российском рынке ценных бумаг
.1 Основные проблемы при использовании технического анализа
.2 Применимость технического анализа на Российском рынке
ценных бумаг.
.3 Методологические рекомендации разработки теории
технического анализа
Заключение
Список используемых источников
Приложение А.Подробное описание индекса РТС
Приложение Б.Сделки с использованием фьючерса на индекс РТС
Приложение В. Формирование фигур технического анализа,
используемых при совершениии сделок на графике фьючерсов на индекс РТС
ВВЕДЕНИЕ
Эпоха промышленной революции XIXв. способствовала появлению и развитию товарных бирж, некоторые из
которых продолжают функционировать и сегодня. На этих биржах впоследствии стали
устанавливаться цены не только на товары, но и различные финансовые
инструменты: облигации, акции, фьючерсы и др. Среди многих исследователей
подобных рынков возник вопрос возможности предсказания цен в будущем.
В настоящее время сложилось несколько подходов к решению данной проблемы.
Самые распространенные концепции движения цен акций основаны на старых экономических
законах спроса и предложения [10, С. 196].В данной работе будет рассмотрен один
из них - технический анализ. Технический
анализ в целом можно определить как
метод прогнозирования цены, основанный
на исследовании движения самой цены, а не на экономических показателях.
Технический анализ - это исследование динамики рынка, чаще всего посредством
графиков, с целью прогнозирования будущего направления движения цен.
Практическая ценность технического анализа заключается в визуальном
анализе сценариев. Не требующем большого объема разнородной информации.
Несмотря на то, что этот метод не дет точных прогнозов, я считаю, что его
ценность не до конца осознается значительной частью инвесторов[35, С. 482].
Технический анализ широко
используется в США и на Западе, а в последнее время находит применение и в
нашей стране при работе на всех видах товарных, фондовых и валютных рынков.
Актуальность темы заключается в том, что в современной экономике рынок
ценных бумаг играет важную роль, количество его участников и доля среди них
мелких спекулянтов возрастает, при этом он становится все более спекулятивным и
волатильным, что создает трудности для успешной торговли методами
фундаментального анализа. Возникает необходимость в разработке и применении
альтернативных методов, одним из которых может стать технический анализ. Такой
метод будет востребован многими участниками рынка ценных бумаг, особенно
частными инвесторами с относительно небольшим капиталом.
Новизна исследования заключается в том, что принципы ценообразования рассматриваются
через поведение покупателей и продавцов как различных групп участников рынка
ценных бумаг. Это даёт нам возможность понять суть структуры ценовых колебаний
на рынке ценных бумаг.
Цель работы состоит в исследовании структуры ценовых колебаний на
российском рынке ценных бумаг с помощью технического анализа, разработке
методики совершения торговых сделок и ее апробации в реальных рыночных
условиях.
Задачи работы:описать принципы технического анализа; выделить
структурообразующие элементы ценовых колебаний на рынке ценных бумаг - линии
поддержки/сопротивления, основные ценовые формации; провести практическое
исследование графического изображения цены.
Объектом исследования является ценообразование на российском рынке ценных
бумаг. Предметом - структура ценовых колебаний на российском рынке ценных
бумаг.
Теоретической основой исследования является вероятностный подход и анализ
финансовых рынков.
Методом исследования послужило графическое направление технического
анализа.
Практическая значимость дипломной работы заключается в возможности
применения исследования ценовой структуры для анализа не только рынка акций, но
и цен на другие активы, что поможет выявлять тенденции и определять
вероятностные сценарии движения цены.
1.ТЕОРЕТИЧЕСКИЙ ОБЗОР ТЕХНИЧЕСКОГО АНАЛИЗА
1.1 История возникновения технического анализа
Своими корнями современный технический анализ уходит в начало прошлого
века, в теорию Чарльза Доу. Проистекая из нее прямо или косвенно, он вобрал в
себя такие принципы и понятия, как направленный характер движения цен, «цены
учитывают всю известную информацию», подтверждение и расхождение, объем как
зеркало ценовых изменений и поддержка/сопротивление. А получивший широкое
распространение промышленный индекс Доу Джонса - это, конечно, прямой потомок
теории Доу [37, С. 7].
Одна из инноваций Доу состояла в том, что он в 1884 году начал составлять
индекс ценового развития для группы ведущих акций. Позже, в 1896 году, он
объединил несколько акций промышленных компаний для создания индекса акций
промышленных компаний и несколько акций железнодорожных компаний для создания
индекса акций железнодорожных компаний (позже переименованный в индекс акций
транспортных компаний). Таким образом, он обеспечил себя ценным аналитическим
инструментом в исследовании поведения рынка и формулировании своих правил.
Чарльз Доу внес огромный вклад в постижение движений фондового рынка. В
основном он занимался составлением экономических прогнозов на основе анализов
фондового рынка.
Одна из причин, по которой «правила Доу» запомнили поколения, в том, что
его знакомый, С.А. Нельсон, в 1903 году опубликовал несколько правил Доу в «The
ABC ofStockMarketSpeculation» [28, С. 1] и стал первым, кто представил
концепцию «Теории Доу». Сам Доу этим термином не пользовался.
В 1922 году Вильям Питер Гамильтон доработал правила Доу в
«TheStockMarketBarometer» [27, С. 1], находясь также под влиянием графической
системы Бэбсона. Однако статьи Гамильтона в «TheWallStreetJournal» и «Barron
's» стали привлекать все больше и больше внимания. Основываясь на применении
правил Доу, он предсказывал рыночные движения.
В 1932 году, 30 лет спустя после смерти Доу, методы Доу и Гамильтона
получили развитие в трудах Роберта Ри. Они были пересмотрены и стали более
структурированными, что облегчало их применение. Свои выводы он изложил в
Теории Доу, опубликованной в «TheStoryoftheAverages» в 1934 году [21, С. 376].
Среди российских исследователей в области рыночных колебаний нужно
отметить Николая Дмитриевича Кондратьева, крупнейшего русского экономиста начала
XX в. Если Ч. Доу делал акцент на исследованиях колебаний цен биржевых активов,
то Н. Кондратьев уделял внимание макроэкономическим процессам и циклам. В 1921
году выходит его работа «Мировое хозяйство и его конъюнктура во время и после
войны» [10, С. 767]. Здесь впервые Кондратьев выдвинул свою идею о сверхкрупных
циклах в экономике.
Он полагал, что система элементов капиталистического хозяйства никогда не
находится в состоянии идеального равновесия. Динамика этой системы подвержена
волнообразным колебаниям, что эти волны то поднимаются вверх, то опускаются
вниз, свидетельствует о том, что эта система имеет тенденцию к равновесию, что
ее волнообразные колебания происходят в каждый данный период около какого-то
уровня равновесия [10, С. 447].
Кондратьев также заметил ряд тенденций на основе собранной статистики,
которые не смог объяснить - «эмпирические правильности»[10, С. 37]. Так по его
мнению существует связь политического цикла с большим экономическим циклом,
перед повышательной волной наблюдаются глубокие изменения в жизни общества.
У Кондратьева 3 типа циклов: малые (3-4 года), средние (примерно 8 лет) и
большие (50 лет).
Кондратьев отметил эмпирические (статистические) факты, но объяснения им
дать не успел. На периоды подъема больших циклов приходятся войны, революции и
т.д. Малые циклы - особенные спады сельского хозяйства [10, С. 429].
Волновые колебания цен также исследовал Ральф Нельсон Эллиотт, который
разработал свою теорию во время Великой Депрессии, анализируя индексы
Доу-Джонса, и оставил труды по основной концепции и математическому обоснованию
технического анализа. Эти книги регулярно публикуются до сих пор. Кроме
определения базисной формы ценовых движений, Эллиотт открыл применение для
технического анализа рядов Фибоначчи. Волновая теория Эллиотта не забылась и
получила мощный толчок в конце 70-х - начале 80-х гг. с появлением аналитика
Роберта Пректера [18, С. 5].
По Закону волн, каждое рыночное решение является и следствием значимой
информации, и порождает значимую информацию. Каждая транзакция входит в
структуру рынка, являясь одновременно и следствием, и, через передачу
транзакционных данных инвесторам, одной из причин поведения других. Эта
обратная связь обусловлена общественной природой человека и, так как он имеет
такую природу, этот процесс порождает формации. Его движение отражает
структурированная строгая последовательность.
Развитие рыночных цен, в конечном счете, принимает фигуру пяти волн
особой структуры. Они разделяются двумя откатами- волнами противоположного
направления. Эти два отката, несомненно, являются неотъемлемой частью общего
направленного движения.
Р.Н. Эллиотт специально не подчеркивал, что существует только одна
базисная фигура - «пятиволновая» модель, но это, несомненно, факт. В любое
время рынок может быть оценен, как находящийся где-то на базовой пятиволновой
модели самого высокого волнового уровня движения. Так как пятиволновая модель
является базисной фигурой движения рынка, все остальные модели могут быть
составлены из нее [18, С. 21].
Бум технического анализа приходится на 70-е годы XXв., он был
прежде всего связан с развитием компьютерной техники. Участники биржевых
торгов получили в свои
руки отличный инструментарий, упрощающий работу. С возникновением
информационных систем типа Reuters, Dow-JonesTelerate, Bloomberg, Tenfore задача
трейдеров и аналитиков сильно упростилась. Тратилось меньше время на построение
графиков цены, объема торговли и открытого интереса; отпала
необходимость вести расчеты по сложным формулам на калькуляторе.
В заключение добавим, что честь систематизации
методов и оформления технического анализа как отдельной прикладной науки в большой степени принадлежит
Джону Мерфи, Роберту Пречтеру, Джеку
Швагеру[22, С. 13].
.2 Принципы технического анализа
Повторяющееся движение рыночных цен - источник всей торговой прибыли,
поскольку оно дает трейдеру возможность укрепить свои преимущества в трейдинге
за счет небольшого статистического перевеса над случайным поведением[42, С.
81].
Как известно, наиболее важным фактором, влияющим на движение цены отдельной
акции, является тенденция всего рынка, представленного промышленным индексом
Доу - Джонса и другими индексами. Если фондовый рынок растет, то растут цены
подавляющего большинства акций. Также и при падении фондового рынка наблюдается
одновременное падение многих акций.
Пытаясь предсказать движение рынка, инвесторы за много лет разработали не
одну сотню технических индикаторов.Многие индикаторы надежно указывают лучшее
время для покупки и продажи, тогда как другие дают плохие результаты[21, С 4].
В теории Чарльза Доу можно выделить шесть основных постулатов, которые
стали отправной точкой в развитии технического анализа:
.Фондовые индексы заранее ничего не принимают в расчет. Все участники
рынка одновременно владеют всей информацией, важной для толкования ценности
акции, и это знание не принимается в расчет при колебаниях рыночной цены.
. Рынок имеет три движения - «первостепенное», «второстепенное» и
«третьестепенное». Ценовые колебания всегда следствие этих трех типов движений,
действующих одновременно, но не обязательно в одинаковом направлении.
Самые большие движения - «первостепенные», это тренды протяженностью в
несколько лет. Основной бычий рынок начинается, когда вся наихудшая информация
не принимается в расчет в формирование цены и первые надежды на будущее
начинают давать свои всходы. Это называется «первой фазой» бычьего рынка. Во
«второй фазе» рынка эти надежды подтверждаются, и экономика демонстрирует
реальное улучшение. «Третья фаза» главного тренда отражает преувеличенный
оптимизм без какого-либо на то реального обоснования. Основной медвежий рынок
имеет те же самые три фазы, но только все развивается наоборот.
Рисунок 1.1- Три рыночных движенияЧ. Доу - «первостепенное»,
«второстепенное» и «третьестепенное» (малый тренд)
Рисунок 1.2 - Три фазы развития рыночного движения Ч. Доу.
Второстепенное движение длится от трех недель до нескольких месяцев,
часто сочетая в себе коррекцию, глубиной от одной трети до двух третей
предыдущей первой фазы [27, С. 30].
Третьестепенное движение длится менее трех недель.
. Зоны поддержки и сопротивления дают ценовые сигналы. Когда цена
колеблется в узком интервале от двух до трех недель или более, возможно
«накопление» ценных бумаг у маленькой группы профессионалов (до начала подъема)
или «распределение» ценных бумаг среди многих любителей (в преддверии начала
падения).
. Объем поддерживает цену. Сила ценового движения как сигнала
усиливается, когда возникает большой объем. Объем следует за направлением
тренда. Если объем высокий, при подъёме рынка, и маленький при его снижении,
следует ожидать его рост [27, С. 38].
. Тренд должен подтверждаться пиками и впадинами. Восходящий тренд
остается незыблемым, пока все новые пики и впадины не перестанут подниматься.
Нисходящий тренд соответственно устойчив, пока не прекратится понижение всех
пиков и впадин.
. Оба индекса должны подтверждать тренд акции. Первостепенный тренд
фондового рынка не может реально установиться, пока оба индекса - и индекс
акций промышленных компаний, и индекс акций транспортных компаний - не начнут
однонаправленное трендовое движение [27, С. 37].
Из описанных выше постулатов Чарлза Доу для анализа рынка ценных бумаг,
Джон Мэрфи выделяет три принципа, на которых строится весь технический анализ:
. Цены учитывают всё. Любой фактор, влияющий на цену - экономический,
политический или психологический - уже учтен рынком и включен в цену. Поэтому
изучение графика цены - это все, что требуется для прогнозирования. Это
утверждение «является краеугольным камнем всего технического анализа» [13, С.
18]. Любое экономическое прогнозирование стоится на следующей аксиоме: если
спрос превышает предложение - цены возрастают; если предложение превышает спрос
- цены идут вниз. Однако, технический аналитик рассуждает так: если по каким бы
то ни было причинам цены на рынке пошли вверх, значит, спрос превышает
предложение.
Несмотря на некоторое упрощение реальной ситуации, так как не учитывается
сдвиг во времени с момента получения информации до ее влияния на цену, на
промежутках времени от нескольких часов и более это положение трудно оспорить.
. Цена движется в одном направлении. Это предположение является основой
для трендового анализа и служит стержнем всего технического анализа. Как
правило, цены не движутся линейно вверх или вниз. Однако на растущем тренде
цены растут больше и быстрее, чем падают. «Действующий тренд с большей
вероятностью продлится, чем изменит направление» [13, С. 18].
. История повторяется. Суть этого утверждения заключается в неизменности
действия законов физики, экономики, психологии в различные периоды истории.
Следовательно, те правила, что действовали в прошлом - действуют и сейчас, а
также будут действовать и в будущем. Именно это утверждение и дает нам
основание проводить технический анализ действительности и, с какой-то, более
или менее точной оценкой прогнозировать будущее [13, С. 18].
Таким образом, если фундаментальный аналитик пытается разобраться в
причине движения рынка, технического аналитика интересует только факт этого
движения. Иногда рыночная цена опережает все известные фундаментальные данные и
служит опережающим индикатором фундаментальных данных.
«Технический анализ дает возможность инвесторам реализовать
самостоятельный подход к инвестициям. Известно, что каждый инвестор обладает
единственным, присущим только ему отношением к риску, темпераментом, опытом,
суммой свободных денежных средств. Все это определяет и различия
инвестиционного поведения. По указанной причине каждый инвестор, участник рынка
ищет свою золотую середину, стремится в заданных условиях принять наиболее
адекватные собственным предпочтениям решения. Именно на этой основе каждый
инвестор формирует собственный набор, можно сказать, систему показателей» [11,
С. 404].
Кроме того, возможность строить графики многих инструментов в одно и тоже
время, дают техническому аналитику значительное преимущество на поле
межрыночного анализа. Как только несколько рынков будет нарисовано, следующим
логическим шагом будет исследование из взаимовлияния. Фундаментальный аналитик,
напротив, стремится специализироваться в небольших рыночных группах. Природа
фундаментального анализа,с его ударением на экономическом исследовании,
фактически, требует специализации. Межрыночный чартист, охватывая картину в
большем масштабе, что является важным ингредиентом тщательного осмотра, имеет
неоспоримое преимущество[35, С. 66].
В целом, технический анализ позволяет оценить краткосрочные,
среднесрочные и долгосрочные инвестиционные альтернативы.
1.3 Два направления технического анализа
С момента зарождения технического анализа технические аналитики
занимались непосредственным анализом графического изображения цены. Позже, с
развитием компьютерных технологий стали использоваться более сложные методы
анализа, основанные на обработке статистических данных. Мэрфи Д. называет
первых - «графистами», последних - «техническими аналитиками» [13, С. 29]. В
современной литературе распространено название двух этих подходов -
«графическим анализом» и соответственно «математическим анализом». Чёткую
границу между сторонниками того или иного направления анализа провести сложно,
так как технические аналитики часто используют оба вида анализа. Под
«математическим анализом» понимается анализ ценовых изменений посредством
производных величин от цены.
Графический анализ предполагает работу с самим графическим отображением
истории ценовых колебаний. Обработка ценовых данных осуществляется через их
непосредственное визуальное восприятие. Графический аналитик обычно оперирует
такими категориями как: уровни поддержки/сопротивления, линии тренда, линии
канала, определением различных ценовых моделей и др.
Важная особенность графического анализа цены состоит в том, что в нём
есть место для его субъективной интерпретации, но в тоже время он позволяет
использовать формализованные подходы.
Технические аналитики для визуального восприятия используют четыре
основных типа графиков:
.Линейный график, представляет собой ломаную линию, соединяющую отдельные
значения цен через выбранный интервал времени (например цены на момент закрытия
торговой сессии). Недостатки в том, что не позволяют отображать колебания цены
между связующими точками.
. График баров или столбиков позволяет отображать четыре важных
показателя: максимальная цена, минимальная цена, цена начала периода и цена
окончания периода. Так же он отражает диапазон изменения цен за выбранный
период;
. График свечей по информативности схож с графиком баров или столбиков,
отличие от последнего только в визуальном отображении [16, С. 1].
График свечей привлекателен тем, что он, отражая ту же информацию, что и
западный столбиковый график дает дополнительную. Во - первых, цвет столбиков
раскрывает медвежью или бычью склонность данного рынка; во - вторых, сами свечи
образуют бычьи или медвежьи модели, которые на столбиковом графике не видны
[26, С. 62].
«Японские свечи предлагают картину краткосрочной торговли, изучая ее
результаты, а не причины. Этот факт относит японские свечи к категории
технического анализа. Они показывают, как взаимодействуют продавцы и
покупатели» [5, С 33].
. Пункто-цифровые графики отображают только движение цены, они не
учитывают времени. Когда курс идет вверх, его изменение изображается
крестиками, движение вниз изображается ноликами. График позволяет уменьшать
статистический шум, так как он меняет направление на противоположное только
после того, как курс развернется и пройдет определенное число пунктов [2, С.
69].
Применение одного из описанных выше типов графиков позволяет использовать
визуальное оформление цены для анализа уровней поддержки/сопротивления,
трендовых линий, ценовых моделей, которые будут рассматриваться в следующей
главе.
Исходя из того, что графический анализ основан на предположении, что
основа рынка - человеческая психология, а она является неизменной, в
графическом анализе принято различать устойчивые модели (которые также
достаточно часто называются шаблонами или паттернами).
Различают три разновидности графических моделей:
. Модели продолжения тенденции.
. Модели разворота тенденции.
. Модели неопределенности.
Модели продолжения тенденции - это различные типы фаз консолидации цен,
которые происходят внутри активных тенденций. Ожидается, что модель продолжения
завершится движением цен в том же направлении, которое предшествовало её
формированию. Каждой модели присуща определенная графическая форма и
специфические условия образования.
Общие правила для моделей продолжения тенденции.
.Следует дождаться окончательного формирования графической модели.
. Формирование фигур продолжения происходит на фоне значительного падения
торгового объема, что говорит об коррекционной природе моделей. Это объясняется
тем, что основная масса участников ранка не заинтересована открывать позиции в
противоположном направлении основному тренду.
. После выхода из фигуры рынок продолжает движение в направлении
предшествующего значительного импульса движения цены, проходя примерно такое же
расстояние, что и до начала ее формирования.
. Цель следует воспринимать только как приблизительный ориентир. Часто
цена либо не доходит до этого уровня, либо немного преодолевает его.
Среди моделей разворота наиболее важны три: двойная вершина и двойное
основание, тройная вершина и тройное основание, голова и плечи на вершине и в
основании. Эти конфигурации довольно легко увидеть на большинстве графиков, и
те из них, что определены верно, подадут сигнал о происходящем развороте.
Общие правила для моделей разворота тенденции:
1. Предпосылкой для возникновения любой модели перелома является
существование предшествующей тенденции.
. Первым сигналом грядущего перелома в существующей тенденции часто может
быть прорыв важной линии тренда.
. Чем крупнее модель, тем значительнее будет последующее движение рынка.
. Модели вершины рынка, как правило, короче по времени и более изменчивы,
чем модели основания.
. На фондовом рынке, обычно, объем торговли играет более важную роль,
когда начинается перелом от медвежьего рынка к бычьему.
. Окончанием формирования модели считается пробой ценой графической
границы, характеризующей данную модель.
К моделям неопределенности относятся графические фигуры, направление
выхода из которых равновероятно как вверх, так и вниз. К фигурам
неопределенности относятся горизонтальные треугольники всех видов и так
называемый бриллиант (ромб) - фигура, состоящая из расширяющегося и сходящегося
треугольников. Основным условием работы с данными моделями является ожидание
пробоя одной из графических границ. И только после этого делаются выводы о
дальнейшем направлении движении цены.
Так же в анализ графических моделей принято включать объем торгов. Чем больше объем, тем выше заинтересованность
участников рынка в продолжении
движения цены в том - же направлении. Вследствие этого аналитики делают такой
вывод: при увеличении объема текущая тенденция подтверждается, а при уменьшении становится возможным
разворот. Так, при образовании модели на вершине объем обычно падает во
время взлетов и растет во время откатов. Что касается откатов при нисходящей
тенденции, то более высокие столбики объема соответствуют периоду ценового
роста, а более низкие - периоду падения. Высокий объем - безусловная
составляющая крупных прорывов, особенно бычьих. Если линия тренда прорвана
вверх, а заметного роста торговой активности не произошло, - это мгновенный
сигнал тревоги в оценке любого рынка. При моделях продолжения (таких, как
треугольник) объем обычно сильно падает, отражая период нерешительности. Объем
должен заметно повыситься после того, как образование модели завершено, а цены
покидают предыдущий торговый коридор.
Помимо объема, различают так же балансовый объем. Балансовый объем, или
индикатор OBV, разработанный Джозефом Грэнвиллом (JosephGranville),
представляет собой один из популярнейших методов изучения
накопления/распределения в мире трейдинга. Этот простейший индикатор
распределяет дневной объем по закрытию каждого дня. Когда цена закрытия акции
выше цены закрытия предыдущего дня, к OBV прибавляется дневной объем. Если цена
закрытия акции оказалась ниже цены закрытия предыдущего дня, то дневной объем
вычитается из показателя. С течением времени индикатор выстраивает комплексную
картину настроя рыночных покупателей и продавцов.
Индикатор OBV характеризует ценовые модели, подобно ценовым барам. Данный
индикатор дает возможность исследовать ценовой график посредством таких
технических инструментов, как трендовые линии, модели «Двойное Дно». Трейдеры
должны проводить сравнительный анализ этих моделей с ведущими ценовыми моделями
и проводить предварительный прогноз схождений/расхождений. Часто индикатор OBV
опережает цену и завершает важный разворот, как раз перед движением тенденции.
Балансовый объем может очень пригодиться при изучении ценовых моделей.
Так как горизонтальные ценовые модели обычно отражают периоды нерешительности
на рынке, у аналитика никогда нет уверенности, куда движется цена интересующей
его акции - то ли она разворачивается или просто «отдыхает». И нередко кривая
объема помогает ответить на этот вопрос, показав, какому направлению
сопутствует рост объема. Благодаря этому аналитик может определить заранее, что
происходит с интересующей его акцией: накопление (покупка) или распределение
(продажа). Кривая OBV очень часто опережает движение цен. Обычно это - ранний
сигнал о том, что они пойдут в том же направлении. Желательно следить за линией
OBV, особенно при изучении ценовых моделей: она либо подтвердит достоверность
картины на ценовом графике, либо предупредит о ее ошибочности.
К математическим методам относят методы, использующие фильтрацию или
математическую аппроксимацию временных рядов. В техническом анализе в качестве
базового временного ряда используются ряды значений цены за некоторый
промежуток времени, объема торговли и числа открытых позиций.
Основным инструментом аналитических методов является индикатор, который в
свою очередь представляет собой набор функций от одного или нескольких базисных
временных рядов, с определенным временным «окном». Индикаторы можно условно
разбить на пять категорий:
. Индикаторы тренда. К ним относятся индикаторы, служащие для измерения
тренда, его силы и продолжительности. Классическим примером подтверждающих
тренд индикаторов является «скользящая средняя».
. Индикаторы изменчивости. Индикаторы второй категории служат для
измерения меры изменчивости цены базисного актива. Изменчивость - это понятие,
описывающее величину ежедневных, независящих от основного направления,
флуктуаций цены. Такие индикаторы особенно важны для аналитика срочного рынка
на смене тренда, или при боковом тренде. Сигналы таких индикаторов, построенные
с небольшим временным окном, позволяют входить и выходить из рынка в течение
дня.
. Индикаторы момента. Представители этой категории используются для
измерения скорости изменения цены за определенный промежуток времени. Но ничто
не мешает использовать сигналы индикаторов момента как для подтверждения
тренда, так и для прогнозирования момента его окончания, что большинство
специалистов и делает.
4. Индикаторы цикла. Данные индикаторы служат для выявления циклических
составляющих и их длины. Такие индикаторы хорошо работают только на боковых
трендах. Очень важны эти индикаторы для фьючерсных трейдеров, работающим на
товарных рынках зерна сахара или нефти - на рынках с очень высокой циклической
составляющей.
. Индикаторы силы рынка. Пятая категория использует в качестве одной из
базовых независимых переменных либо объем сделок, либо число открытых позиций.
Индикаторы этой категории, опираясь на ряды данных объема, подают сигналы о
силе текущей тенденции.
Сторонники математического анализа используют данные ценовых изменений за
какой-либо период времени для построения индикаторов позволяющих делать
рыночные прогнозы. То есть в таком случае основанием для анализа и прогноза
движения цены является не сама цена, а производные от неё значения, оформленные
в различные индикаторы [11, С. 22]:
1. Скользящие средние (MovingAverage - MA) - расчет сводится к формуле
простой арифметической средней:
МА = (Сумма цен за период времени) / порядок средней.(1)
Таким образом, происходит сглаживание кривой скользящей средней
относительно графика цен. Метод анализа средних можно соотнести по значимости с
анализом трендовых линий и моделей, которые помогают получать выводы по
направлению тренда, его силе и амплитуде [15, С. 67]. На основании этого
индикатора применяется множество стратегий с использованием комбинаций MA разных расчётных периодов.
2. Осцилляторы,- существует множество методик построения осцилляторов, но
способы их интерпретации схожи друг с другом. Диапазон колебаний осциллятора
задан, при этом взлеты и падения цены совпадают с пиками и спадами осциллятора.
Согласно общему правилу интерпретации осцилляторов, когда значение осциллятора
достигает критической величины у верхнего края полосы, это означает, что
текущее изменение цен слишком перекуплено или перепродано и следует ждать
противоположного движения.
. Другие индикаторы, такие как параболическая система, индекс направленного
движения, профиль рынка, балансовый объем.
Получается что, математический анализ вторичен по отношению к цене. Его
положительным моментом является возможность объективной оценки рыночной
ситуации, так как показатели индикаторов рассчитываются по формуле и являются
числовыми. Но в тоже время их недостаток в том, что когда на рынке имеется
сильное изменение цены, то осциллятор может выдавать ранние сигналы, не
соответствующие текущей ситуации.
В техническом анализе можно выделить два основных направления -
«графический анализ» и «математический анализ». Графический анализ предполагает
работу с самим графическом отображением истории ценовых колебаний. Обработка
ценовых данных осуществляется через их непосредственное визуальное восприятие.
Сторонники математического анализа используют данные ценовых изменений за
какой-либо период времени для построения индикаторов позволяющих делать
рыночные прогнозы. То есть в таком случае основанием для анализа и прогноза
движения цены является не сама цена, а производные от неё значения, оформленные
в различные индикаторы.
Таким образом, математический анализ вторичен по отношению к цене. Его
положительным моментом является возможность объективной оценки рыночной
ситуации, так как показатели индикаторов рассчитываются по формуле и являются
числовыми. Но в тоже время их недостаток в том, что когда на рынке имеется
сильное изменение цены, то осциллятор может выдавать ранние сигналы, не
соответствующие текущей ситуации;
В настоящей работе акцент сделан на исследовании графической части
технического анализа, потому что графическое отображение истории ценовых
колебаний является определяющем в выявлении ценовых моделей, которые помогают
понять тенденции и определить вероятностные сценарии движения цены. Таким
образом, это даёт возможность регулировать соотношение риск/доходность и
оценивать стандартное отклонение и дисперсию [4, С. 14].
2.ПРАКТИЧЕСКОЕ ПРЕМЕНЕНИЕ ТЕХНИЧЕСКОГО АНАЛИЗА НА РОССИЙСКОМ РЫНКЕ ЦЕННЫХ
БУМАГ
2.1 Анализ
структуры колебаний цен инструментов российского рынка ценных бумаг через
элементы технического анализа
Проведём в настоящей главе практическое исследование структуры ценовых
колебаний и выделим графическое изображение описанных ниже формаций. Конечно,
на практике подобные формации не всегда образуют идеально чёткие линии и
уровни, но принципы поведения участников рынка, описанные ниже, сохраняются.
Для исследования российского рынка акций в рамках обозначенной проблемы
был выбран фьючерс на индекс РТС, так как индекс РТС в полной мере отражает
основные тенденции российского фондового рынка и является ведущим российским
фондовым индикатором, но по самому индексу сделки не проводятся так как он
рассчитывается на основе нескольких показателей (методику расчета мы приведем
ниже), а фьючерсные контракты на индекс РТС торгуются на фондовом рынке и к
тому- же являются на данный момент самым ликвидным и, на наш взгляд, самым
интересным и перспективным инструментом для спекулятивных операций на
Российском фондовом рынке,(среднедневной оборот денег торгуемых во фьючерсе
может в трое превышать этот оборот всех других вместе взятых инструментов биржи
ММВБ - РТС) к тому же, по словам Патрика Янга, «фьючерсы рассматриваются
многими аналитиками, как самые совершенные производные инструменты[32, С. 2].
2.1.1 Обзор Российского фондового рынка
Понятие фондовый рынок появилось в России после ваучерной приватизации
1992 г. В те времена активно рекламировались и были широко известны такие
чековые инвестиционные фонды, как «Генеральный», «Державный», «Первый
ваучерный», «Нефть - Алмаз - Инвест», «Московская недвижимость», «AVVA» и другие. Их тогда называли ЧИФами.
Но первые попытки создать цивилизованный российский фондовый рынок провалились.
С 1998 г. стали появляться первые паевые инвестиционные фонды или ПИФы,
которые вкладывали свои капиталы в российские ценные бумаги. Вторая попытка
создания российского фондового рынка оказалась более удачной [9, С. 19].
Сначала (с 1990 по 1992 гг.), происходило создание предпосылок для его
развития: образование фондовых бирж и рынка акций коммерческих банков, началось
формирование законодательной базы российского рынка ценных бумаг. В это время
основная масса населения была ещё с советским менталитетом и мотив сбережений
(в экономическом смысле) практически отсутствовал. То, что принято называть сбережениями
граждан, было, по сути дела, «увеличением кассовых остатков», процент не
являлся мотивом вкладов в сберкассы, т.е. деньги накапливались для будущих
покупок, но, как правило, не вкладывались в какие-либо предприятия или долговые
обязательства с целью увеличения будущего потребления.
Наконец в марте 1992 г. было зарегистрировано АОЗТ «Московская
Межбанковская Валютная Биржа» (ММВБ), учредителями которой стали Центральный
Банк РФ, Правительство Москвы, АРБ и ряд коммерческих банков. В этом же году
ММВБ выиграла тендер на право организации биржевой инфраструктуры для
государственных ценных бумаг и начала подготовку к торгам по ГКО.
В мае 1993г. ММВБ, начав своё преобразование из чисто валютной биржи в
универсальную биржевую структуру, открыла биржевую торговлю государственными
долговыми обязательствами, что стало еще большим препятствием для получения
инвестиций предприятиями, так как вложения в них давали более быстрый, надежный
и высокий доход.
Со второй половины 1994г. Начал складываться фондовый рынок, на котором
торговля ведется уже акциями существующих российских акционерных обществ.
Происходит формирование основной нормативной базы, создаются органы по
регулированию рынка ценных бумаг (ФКЦБ), принимаются основополагающие законы
(«О рынке ценных бумаг», «Об акционерных обществах»).
Летом 1995 г. на смену ПОРТАЛ пришла Российская торговая система (РТС), и
вскоре ее терминалы появились в других городах страны. Первоначально в РТС
твердо котировались акции семи эмитентов, а сама система связывала в единую
сеть четыре крупных внебиржевых рынках страны: Московский, Санкт-Петербургский,
Новосибирский и Екатеринбургский. 1 сентября 1995 г. впервые был рассчитан
Индекс РТС (рис.2.1), официальный индикатор Биржи, который и на сегодняшний
день является основным показателем развития российского фондового рынка. Индекс
рассчитывается каждые 15 сек. в течение всей торговой сессии на основании
данных о сделках, заключенных в РТС с наиболее ликвидными акциями. Индекс РТС
обновляется в режиме реального времени и публикуется на WEB-сервере РТС.
Рисунок2.1 - Индекс РТС, рассчитываемый по ценам в долларах США, с 1996
-2012гг.
Следующим этапом развития российского рынка ценных бумаг, стал период
бурного развития (2000 - 2007 гг.). Начался этот период в конце 2000 г. со
взрывного роста ликвидности рынка, а затем и взлета индекса РТС и ММВБ. Индекс
РТС на закрытие торговой сессии в последний рабочий день 2007 г. (28 декабря)
зафиксирован на отметке 2290,51 пункта, а индекс ММВБ - на отметке 1888,86
пункта. По итогам 2000 - 2007 гг. индекс РТС вырос на 1279,54% (значение на 5
января 2000 г. - 179,01 пункта). По итогам 2001 г. индекс ММВБ вырос на
1014,10% (значение на 9 января 2000 г. - 186,26 пункта).
Основной вехой развития рынка на этом этапе стало внедрение в секции
фондового рынка ММВБ системы интернет-трейдинга. С этого момента торги
перестали быть привязанными к специально оборудованному рабочему месту, что
обеспечило прямой доступ к торговой сессии частных инвесторов. Еще одним
поворотным моментом стало создание рынка операций РЕПО с корпоративными ценными
бумагами, обеспечившего возможность построения системы маржинальной торговли.
Эти события очень быстро отразились на динамике основных индикаторов ММВБ. Если
говорить о качественных изменениях, происшедших на рынке, то можно выделить
следующую тенденцию: многие российские компании реального сектора экономики
начали рассматривать фондовый рынок как эффективный механизм привлечения
капитала. Основным инструментом привлечения инвестиций стала эмиссия рублевых
корпоративных облигаций с первичным размещением и вторичным рынком на ММВБ.
Можно сказать, что последние годы этого периода - это «золотой век»
корпоративных облигаций. Если в начале 2000 г. на рынок вышло всего около 10
компаний-эмитентов с облигационными займами, то по состоянию на середину 2008
г. их число достигло 463. Надо также иметь в виду, что предприятие, решившее
осуществить эмиссию корпоративных облигаций, принимает на себя не только
обязательства по их обслуживанию, но и готово раскрыть информацию о своей
деятельности, стать прозрачным для публичного рынка. Не случайно эмиссия
облигаций во многих случаях рассматривается как этап, предваряющий проведение
компанией первичного публичного размещения акций (IPO). Этот этап развития
рынка акций характеризуется еще одним важным отличием от предыдущих периодов -
проявившейся независимостью отечественного рынка от настроений иностранных
инвесторов. Вплоть до 2003 г. динамика российских фондовых индексов в той или
иной степени повторяла динамику фондовых индексов ведущих зарубежных стран,
т.е. у российского рынка не было «своего лица». Однако с 2003 г. происходит
самоидентификация рынка, ситуация изменилась, значительную роль на российском
рынке начинают играть отечественные инвесторы.
В 2008 г. российский рынок ценных бумаг оказался вовлеченным в глобальный
финансовый и экономический кризис, позитивная динамика, наблюдавшаяся в 2000 -
2007 гг., сменилась глубоким спадом по всем секторам рынка. В 2008 г. четко
различаются два этапа. Первый из них приходится на январь - август. Это
эволюционный период, в течение которого рынок развивался по инерции. На второй
этап (с сентября по декабрь) пришлась активная фаза финансового кризиса, что
привело к радикальным изменениям на российском рынке ценных бумаг. В результате
кризиса и мер по его стабилизации потеряны объективные ценовые ориентиры,
многие рыночные показатели приобрели аномальный характер и не в полной мере
отражают фундаментальные рыночные параметры.
Основные фондовые индексы в 2008 г. испытали замедление и глубокое
падение. Доходность (в процентах годовых) по сводным индексам для индекса РТС
составила минус 71,4%, а для индекса ММВБ - минус 66,5%. Отрицательную
доходность показали все отраслевые и капитализационные индексы, ведущиеся
фондовыми биржами. Наибольшее падение произошло по индексам промышленности
(минус 85%). Волатильность фондовых индексов увеличилась в среднем в три раза.
Стала проявляться разбалансированность аналогичных фондовых индексов,
рассчитываемых разными фондовыми биржами. Вследствие глобального финансового и
экономического кризиса вектор развития рынка кардинально изменился. Острая фаза
кризиса завершилась в конце 2008 - начале 2009 г. В течение 2009 г. рынок
постепенно восстанавливался после глубокого падения и компенсировал большую
часть потерь предыдущего года. Тем не менее, по многим основным показателям
российский рынок ценных бумаг еще далек от своего докризисного уровня.
Основные фондовые индексы акций испытали в течение 2009 г. стремительный
рост, начавшийся в марте. Доходность (в процентах годовых) по сводным индексам
акций «первого эшелона» составила: индекс РТС - 128%, индекс ММВБ - 121%.
Индекс акций «второго эшелона» - индекс РТС-2 показал еще более высокую
доходность - 160%. Среди отраслевых индексов опережающими темпами росли индексы
потребительских товаров и розничной торговли (индекс RTS cr - 230%) и
металлургической промышленности (индекс MICEX M&M - 212%). Медленнее
восстанавливался нефтегазовый сектор (индекс RTS og - 93%). Среди капитализационных
индексов наибольшую доходность продемонстрировал индекс компаний базовой
(малой) капитализации - индекс MICEX SC - 199%. Индексы корпоративных облигаций
MICEX CBI TR и IFX-CBONDS продемонстрировали сходное поведение.
Экстраординарным для фондового рынка России был 2010 г. Он начался на
позитивной ноте, и сначала это выглядело естественным продолжением ралли 2009
г. Однако оптимизм был недолгим. Глобальные проблемы и медленное восстановление
российской экономики были восприняты инвесторами негативно, что привело к
турбулентности рынка. В результате линия тренда в 2010 г. оказалась практически
ровной. Вместе с тем к завершению год подошел на оптимистичной ноте. Настрой
инвесторов улучшился, глобальный аппетит к риску возрос, цены на сырьевые
товары выросли, а перспективы внутреннего роста улучшились. Ралли на российском
рынке в конце года превзошло глобальные и развивающиеся рынки и подняло индексы
до посткризисных пиков. Индекс РТС за год увеличился на 22,54% до 1770,28
пункта, индекс ММВБ - на 23,21% до 1687,99 пункта. При этом индекс ММВБ на
закрытии торгов 30 декабря продемонстрировал максимальное значение 2010 г.
Структурно основное позитивное воздействие на российские индексы оказал
банковский сектор, который имеет существенный вес в отечественных индексах
(16,4% в индексе ММВБ и 17,6% в индексе РТС). Обещание государства
приватизировать крупные госпакеты Сбербанка и банка ВТБ в 2011 г. стали
допингом для роста акций, они-то и вытащили индексы к новым максимумам. Можно
также выделить металлургию, как черную, так и цветную (вес в индексе ММВБ -
19,31%, в индексе РТС - 15,78%). Цены на металлы, номинированные в долларах,
вернулись на докризисные отметки, основные расходы же отечественные металлурги
несут в заметно подешевевших рублях. Это вернуло акции металлургических
компаний на докризисные (рублевые) максимумы, хотя в секторе по-прежнему
сохраняется потенциал роста. А вот нефтегазовый сектор (за исключением
НОВАТЭКа) не пользуется спросом у участников торгов. Основной причиной для
пересмотра оценок сектора стало российское налогообложение, которое, по
заверениям российских нефтяников, не дает им развиваться. К тому же если в 2000
г. наблюдался явный стратегический интерес к российской нефтегазовой отрасли со
стороны западных инвесторов, то после кризиса тренд развернулся. В течение года
продолжалась эпопея выхода компании ConocoPhilips из капитала ЛУКойла, а в
декабре стало известно, что немецкий концерн E.ON покидает капитал «Газпрома».
Конечно, перспективы достаточно туманны для сектора нефти и газа, и
поводов для начала роста пока нет. А без интереса игроков именно к этому
сектору не следует в ближайшей перспективе ожидать достижения исторических
максимумов российскими индексами. В то же время цены на нефть могут начать
уверенный рост, и это, конечно, наилучшим образом скажется на капитализации
российских компаний нефти и газа.
декабря 2011 г. в 10.00 состоялось объединение двух крупнейших российских
бирж ММВБ и РТС. Создана единая российская биржа, имеющая все предпосылки для
того, чтобы стать одной из лидирующих площадок в мире по торговле всеми видами
активов.
Объединенная биржа стала универсальной площадкой, предоставляющей
российским и зарубежным участникам возможность торговать акциями, облигациями,
производными финансовыми инструментами и валютой. Объединение откроет новые
возможности для дальнейшего развития российского финансового рынка, включая
создание центрального депозитария ценных бумаг, что необходимо для построения в
Москве Международного Финансового Центра.
Капитализация объединенной компании при подготовке к сделке была оценена
в $4.5 млрд. При благоприятной рыночной конъюнктуре объединенная биржа
планирует проведение IPO в 2013 г. В целях подготовки к будущему IPO ММВБ-РТС
выбрала в качестве своей организационно-правовой формы открытое акционерное
общество.
2.1.2 Описание индекса РТС
Индекс РТС (код индекса - RTSI). Индекс РТС представляет собой ценовой,
взвешенный по рыночной капитализации (free-float) индекс широкого рынка акций
России, включающий 50 наиболее ликвидных акций крупнейших и динамично
развивающихся российских эмитентов, виды экономической деятельности которых
относятся к основным секторам экономики, представленных в ЗАО "Фондовая
биржа ММВБ".
Индекс РТС рассчитывается с 01 сентября 1995 г., расчет индекса
производится в режиме реального времени в долларах.
Правилами расчета Индекса РТС предусмотрен четкий и прозрачный механизм
формирования базы расчета индекса, в том числе включающий ежеквартальный
пересмотр значений индекса. Отбор акций для включения в Индекс РТС осуществляется
при участии Индексного комитета ЗАО "Фондовая биржа ММВБ" -
совещательного органа, в состав которого входят ведущие аналитики российского
финансового рынка и представители профессионального сообщества.
Индекс рассчитывается как отношение суммарной рыночной капитализации
акций, включенных в список для расчета индекса, к суммарной рыночной
капитализации на начальную дату, умноженное на значение индекса на начальную
дату и на корректирующий коэффициент. Расчет рыночной капитализации
производится на основе данных о ценах акций и количестве выпущенных эмитентом
акций, с учетом доли акций, находящихся в свободном обращении.
В базу Индекса РТС входит 50 наиболее капитализированных и ликвидных
акций.
Подробное описание индекса РТС см.Прил. А, табл. А.1,А.2.
2.1.3 Описание фьючерса на индекс РТС
Фьючерсы одновременно являются простыми и сложными финансовыми
инструментами. С одной стороны, вполне успешные спекулятивные операции с ними
можно проводить на основе тех же умений и навыков, которые применяются на рынках
базисных активов (акций, валюты и т.п.). С другой стороны, диапазон применений
данных инструментов гораздо шире.
Фьючерсы на акции составляют альтернативу коротким продажам акций на
спотовом рынке и по сравнению с ними обладают рядом преимуществ. Для осуществления
короткой продажи инвестор должен занять акции у брокера и уплатить ему за это
процент. Объем торговли ограничивается возможностями заимствования бумаг. При
торговле на фьючерсом, теоретически, инвестор не ограничен в объемах своих
операций. Ему необходимо внести только начальную маржу.[8, С. 116].
Фьючерсные контракты относятся к так называемым производным финансовым
инструментам (derivatives). Финансовый инструмент называется
производным, если его стоимость зависит от цены некоторого базисного актива
(товара, валюты, акции, облигации), процентной ставки, фондового индекса,
температуры или иного количественного показателя, в общем случае называемого
основой (underlying, underlyingvariable). В дальнейшем более привычный
термин базисный актив используется в расширительном смысле как синоним основы.
Обычно стоимость производного инструмента не определяется ценой базисного
актива однозначно, а зависит также и от множества других факторов, однако
влияние цены базисного актива наибольшее. Кроме того, наряду с ценовой всегда
присутствует очевидная функциональная взаимосвязь базисного актива и
производного инструмента. В частности, если по каким-либо причинам базисный
актив перестает существовать, то это автоматически делает невозможным и
обращение производного инструмента. У сложных производных инструментов базисных
активов может быть несколько. Производный инструмент, в свою очередь, может
выступать в роли базисного актива для другого производного инструмента.
Фьючерсные контракты всегда торгуются на бирже, преимущества торговли на
бирже сводятся к основным двум пунктам:
.Условия контрактов стандартизированы по количеству и качеству
подлежащего поставке базисного актива, срокам исполнения месту поставки, а цена
исполнения определяется в процессе публичных биржевых торгов. В настоящее время
это чаще всего электронные торги, когда трейдеры получают информацию о ходе
торгов, вводят заявки и заключают сделки либо с рабочих мест торговой системы,
располагаемых непосредственно а офисах участников торгов, либо через интернет -
шлюзы.
.Торговля носит «обезличенный», анонимный характер. В частности,
отсутствует необходимость оценки риска невыполнения контрагентом по сделке
своих обязательств. Эти функции берет на себя Клиринговая палата -
подразделение биржи или самостоятельная организация, в обязанности которой
входят учет заключенных сделок, денежные расчеты, о которых речь пойдет ниже, и
обеспечение гарантий по исполнению контрактов. После регистрации сделки
Клиринговая палата размыкает стороны в том смысле, что выступает в роли
продавца для каждого покупателя контракта и в роли покупателя для каждого
продавца
Следствиями отмеченных условий торговли являются: концентрация торговой
активности на ограниченном количестве контрактов; большие объемы торговли;
высокая ликвидность, то есть возможность быстро купить или продать большое
количество контрактов без существенного влияния на рыночную цену; небольшая
разность между ценами спроса и предложения.
Про покупателя фьючерсных контрактов говорят, что он открыл и имеет длинную
позицию (longposition), про продавца - что он имеет
короткую позицию (shortposition). В
электронной торговой системе участник видит заявки других участников без
указания того, кем подана та или иная заявка. Сделка заключается автоматически,
если цены встречных заявок (на покупку и продажу) совпадают. Если у некоторого
участника торгов открыта длинная позиция в 50 контрактов и он покупает
дополнительно 30 контрактов, то открытая позиция становится равна 80, а если
затем он продает 100 контрактов, то получает короткую позицию в 20 контрактов.
При этом безразлично, с кем именно заключаются сделки. Если число открытых
позиций становится равно 0, то говорят, что участник торгов закрыл позиции. В
этом случае он «выходит из игры» и не несет никаких обязательств по исполнению
фьючерсных контрактов. При наступлении дня исполнения контракта Клиринговая
палата вновь сводит вместе покупателей и продавцов, у которых на этот момент
остались открытые позиции для организации поставки и оплаты базисного актива
(общее число длинных позиций всегда равно общему количеству коротких).
В дальнейшем используется следующее соглашение: фраза «участник торгов
заключил сделку объемом n
контрактов» означает, что он купил n контрактов, если n
положительно и продал n
контрактов, если n отрицательно; число открытых позиций OI (openinterest) будет положительным для длинных и
отрицательным для коротких позиций.
Отмеченная выше стандартизация по датам поставки означает, что
одновременно на бирже торгуются контракты с фиксированными датами исполнения.
Стандартизация по датам исполнения позволяет проследить изменение цены
определенного контракта от сделки к сделке в течение всего срока обращения
этого фьючерса. Биржа ежедневно на основании данных о заключенных в этот день
сделках определяет для каждого фьючерсного его расчетную цену или цену
закрытия.
Ежедневная биржевая сводка содержит расчетные цены контрактов с
различными сроками исполнения, объем торгов и число открытых позиций. Объем
торгов подсчитывается как сумма контрактов во всех сделках данного торгового
дня с разбивкой по месяцам поставки, а число открытых позиций определяется как
сумма открытых позиций на конец дня всех участников торгов, имеющих длинные
открытые позиции по данному месяцу исполнения (или короткие, что одно и то же).
Подобная информация за определенный период, отображенная в графическом виде,
является исходной при принятии решения на основе методов технического анализа.
Сопоставим сделки на спот - рынке с фьючерсными сделками с точки зрения
движения денежных средств. Если сравнивать фьючерсный контракт и акции, то
покупатель акций немедленно оплачивает их цену, а при открытии фьючерсной
позиции цена лишь фиксируется без уплаты или получения денег. При изменении
курсовой стоимости акций владелец имеет потенциальные прибыли \ убытки не
выражающиеся в виде каких-либо платежей до момента продажи акций, а открытая
фьючерсная позиция влечет за собой ежедневные начисления/списания средств по
мере изменения расчетной цены. Окончательный же результат как в случае продажи
акций, так и в случае закрытия фьючерсной позиции равен разности между ценой
продажи и ценой покупки если временно отвлечься от вопросов, связанных с
процентными ставками.
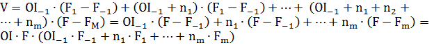
В общем случае, когда в течение торговой сессии один участник торгов
совершает последовательно ряд сделок по определенному фьючерсному контракту по
ценам F1, F2,…,Fm
объемами n1, n2,…,nm,
причем на конец предыдущего для его открытая позиция равнялась OI, а расчетные цены предыдущего и
этого дня равны Fm-1 и Fm соответственно, то прибыли \ убытки V по итогам текущего дня составляют:

.(2)
где

- новая
открытая позиция на конец дня.
Первая
из этих формул представляет собой сумму членов, каждый из которых является
произведением текущей открытой позиции на интервал изменения цены. В котором
сохранялась эта открытая позиция. Вторая формула показывает, что сделки можно
рассматривать раздельно, причем открытая позиция предыдущего дня OI
аналогична вновь проведенным сделкам, если считать ее совершенной по цене F.
При этом порядок заключения сделок несущественен. Последнюю строку проще было
бы интерпретировать. Если бы речь шла о сделках с акциями: эта строка
показывает увеличение или уменьшение общей стоимости портфеля по отношению цене
его приобретения. Во фьючерсной торговле цена приобретения является лишь
условной точкой отсчета, относительно которой определяется реальная прибыль
(убыток), то есть расчеты ведутся в дифференциалах.
Прибыли
\ убытки текущего дня по фьючерсной позиции, Определяемые формулой, называются
вариационной маржей. Введение процедуры ежедневной корректировки по рынку
фьючерсных позиций одновременно решает несколько задач.
Во-
первых, так технически проще организовать учет позиций. Вместо многообразия пар
покупатель- продавец и цен индивидуальных сделок после корректировки позиций по
рынку остаются лишь два показателя, определяющие будущие права и обязанности
сторон (покупателей, продавцов и «размыкающей» из Клиринговой палаты):
последняя расчетная цена фьючерсного контакта и число открытых позиций каждого
участника.
Во
- вторых. При открытии фьючерсных позиций и их последующем закрытии разность
цен покупки и продажи немедленно оказывается начисленной на счет \ списанной со
счета участника торгов, после чего он не несет никаких обязательств по этим
сделкам.
В
- третьих, и это самое важное. Вариационная маржа является составной часть
системы гарантий, применяемой биржей (Клиринговой палатой) для обеспечения
исполнения всеми участниками торгов своих обязательств. Необходимость в таких
мерах вызвана тем, что сделки по срочным контрактам несут повышенный риск
неисполнения контракта одной из сторон по сравнению со сделками на спот -
рынке, когда поставка и оплата базисного актив происходят практически в тех же
рыночных условиях, при которых был заключен контракт.
По
договоренности вместо поставки базисного актива исполнение срочного контракта
может быть сведено к простому перечислению между сторонами некоторой суммы
денег, если обе стороны сочтут это более удобным и согласуют ее. В том случае,
когда спот рынок данного базисного актива достаточно ликвиден и существует
механизм, позволяющий определить единую для всех участников торгов
«объективную» цену базисного актива, возникает возможность использовать эту
цену в день поставки для проведения окончательных расчетов прибылей / убытков
между всеми участниками форвардных или фьючерсных сделок, заранее оговорив это
в условиях контракта. Такая цена называется ценой исполнения или окончательной
расчетной ценой фьючерсного контракта, а контракт называется расчетным
(беспоставочным).
Очевидно,
что в случае, когда в качестве базисного актива выступает некоторый индекс
(фондовый индекс, процентная ставка, курс акции и т.п.), срочный инструмент
может быть только беспоставочным [1, С. 21].
2.2 Описание
фигур технического анализа, используемых при проведении практического
исследования
Уровни поддежки / сопротивления. Феномен уровней
поддержки и сопротивления объясняется человеческой природой. Движение цен
затрагивает три группы участников: трейдеры на «правильной» стороне рынка
начинают накапливать прибыль; трейдеры на «неправильной» стороне с тревогой
наблюдают как растут их бумажные убытки; а трейдеры, которые намеревались быть
на «правильной» стороне рынка, но не собрались с духом, чтобы действовать в
соответствии со своими убеждениями, рвут на себе волосы. Что же случается, если
цены возвращаются к точке, откуда они начали движение? Трейдеры на правильной
стороне рынка, обдумывают, не добавить ли еще к своим позициям, потому, что
рынок продемонстрировал свою способность двигаться в их направлении. Трейдеры
на неправильной стороне рынка, пропотев в период бумажных потерь, вздыхают с
облегчением, закрывая свои позиции с небольшими убытками. А те кто хотел
попасть, но опоздал на поезд в первый раз, стремятся найти гарантии, в том, что
они не пропустят его опять[43, С. 77].
На рынке движение цен характеризуется подъемами и
спадами, уровни предыдущих спадов называют «поддержкой», а уровни предыдущих
подъемов «сопротивлением» (рис. 2.1). На эти уровни также обращал внимание Ч.
Доу. Он описывал точки, обозначающие двойную вершину/дно [27, С. 36].
Уровни сопротивления и поддержки могут возникнуть
неожиданно, а могут быть предсказаны и заранее. Например, на рубежах круглых
чисел существует психологический барьер: уровень 2000 для индекса РТС, 100 руб.
для акций Сбербанка, 1500 для ЛУКОЙЛа. Вокруг чисел подобного рода почти всегда
возникают уровни сопротивления и поддержки. Это наблюдение - еще не правило, но может
быть весьма существенным.
Подчеркивая важность уровней поддержки/сопротивления
в своей торговле М. Беллафиоре писал следующее: - «Каков порядок действий после
обнаружения важного внутридневного уровня? Если акция уверенно находится над
ним, и цена покупателя удерживается, следует открывать длинную позицию. Если
акция находится под уровнем, и цена продавца удерживается, я продаю акцию.
Такая позиция растягивается по времени, я держу ее не пару минут, а несколько
часов, ожидая существенного отхода от внутридневного уровня. Только что
состоялась серьезная битва, теперь она завершена, и акция отправляется на поиск
новой цены. Движение к новому уровню может занять некоторое время, поэтому я не
спешу с выходом из рынка» [4, С. 230].
Рисунок 2.1. -Уровни поддержек/сопротивления, обозначенные одной точкой
предыдущего максимума/минимума
Уровни поддержки/сопротивления могут образовываться не только одной
точкой предыдущего максимума/минимума, но и несколькими точками (рис. 2.2). Это
придаёт большую силу обозначаемой линии при следующем подходе к ней цен.
Рисунок 2.2 - Уровни поддержек/сопротивления, обозначенные несколькими
точками предыдущего максимума/минимума
«Если тенденция идет вверх, то уровни поддержек/сопротивления являются
отражением перерывов в ее развитии, и на определенном этапе эти уровни удается
преодолеть и двигаться выше. Если тенденция идет вниз, то уровни поддержки не
могут полностью прекратить падение цен, однако способны задержать его, пусть
даже не время»[13, С. 18].
Часто сопротивление меняется местами с поддержкой, а
поддержка
- с сопротивлением. Другими словами, прорванный уровень поддержки становится
уровнем сопротивления выше рынка. Во время восходящей тенденции прорванный
уровень сопротивления обычно становится новым уровнем поддержки для последующих
рыночных коррекций[25,
С. 41].
Это можно объяснить чисто психологическим фактором:
никто не хочет наступать на одни и те же грабли. Если дилер упорствовал, не
желая покупать на уровне сопротивления и впоследствии потерпел из-за этого убытки,
то, скорее всего он постарается исправить свою ошибку в сходной ситуации. Такое
простое соображение может объяснить это ежедневно встречающееся событие. Эффективность использования, свойства замены сопротивления поддержкой велика.
Кроме того, всю эту терминологию
признают даже фундаменталисты и трейдеры
- скептики. Когда цены при восходящем движении проходят через
сопротивление, обозначенное одной, двумя или более точками, и не могут
преодолеть это сопротивление в обратном направлении, то сопротивление
становится поддержкой. Аналогично поддержка может стать сопротивлением при
движении цены в обратном направлении (рис. 2.3).
Рисунок 2.3 - Переход уровня сопротивления в уровень поддержки
Переход уровня сопротивления/ поддержки в поддержку/сопротивление -
образуется преодолением предыдущего уровня (точка А, рис. 2.4) образованного
максимумом/минимумом цены и возвратом к нему в противоположном направлении.
Рисунок 2.4 - Переход уровня сопротивления в уровень поддержки
Определившись с понятиями уровней сопротивления и поддержки, можно разобраться с более сложным
инструментом - линиями сопротивления
и поддержки. Эти линии могут принимать разнообразные формы, и мы далее
встретимся с такими из них, как линии тренда.
В известном смысле скользящие средние также
являются линиями сопротивления и поддержки.
Как бы ни различались способы построения этих линий, правила их использования всегда сходны с
правилами использования уровней
сопротивления и поддержки.
В общем случае можно грубо сформулировать основной
принцип:
когда цена пересекает (пробивает) линии сопротивления или поддержки, это
означает изменение направления тренда) Таким образом, пробой линии
сопротивления говорит о ярко выраженном бычьем, а пробой поддержки - о четком
медвежьем.
Восходящая и нисходящая линия тренда. Тренд, или тенденция, определяет
территорию между взаимосвязанными уровнями максимума и минимума цены, вне
зависимости от каких-либо временных рамок. Тренды можно наблюдать на графиках
различных временных диапазонов и на любых рынках. Тренд указывает на повышение
или понижение цены с течением времени. Если каждый последующий пик и спад цены
ниже предыдущего, то тренд понижающий. Когда же наблюдается серия пиков и
спадов цены, каждый из которых выше предыдущего, то тренд - повышающий[2, С.
47].
На рынке цена может двигаться в трёх направлениях: восходящем, нисходящем
и горизонтальном (боковом). Рассмотрим эти три направления. Для описания и
выделения горизонтального тренда подходят линии поддержки и сопротивления
описанные выше. Наклонной линией обозначают на графике восходящий тренд. Она
прочерчивается под последовательно возрастающими точками спадов. Необходимо
минимум две точки для того, чтобы провести линию тренда. Чем больше точек
обозначают линию тренда, тем большее значение она имеет как линия
поддержки/сопротивления (рис. 2.5).
Рисунок 2.5 - Восходящая линия тренда
Нисходящая линия тренда строится аналогично восходящей линии, только в
противоположном направлении (рис. 2.6).
Рисунок 2.6 - Нисходящая линия тренда
Все мы знаем правило «Работать только по тренду». Но есть и второй
вариант этого правила «Не работай против тренда». Мы обращаем на это внимание,
постольку, поскольку многим кажется, что это одно и то же правило. Но на самом
деле это два совершенно разных правила и следствия из них - разные. Да, если
тренд есть, то оба правила совпадают и говорят одно и тоже: если тренд
направлен вверх, то можно открывать только длинную позицию, а если тренд
направлен вниз, то можно открывать только короткую позицию. А что делать, если
тренда нет? В первом варианте мы не должны открывать никакую позицию, ведь в
любом случае мы не должны открывать никакую позицию, ведь в любом случае мы не
сможем открыть ее по тренду, так как тренда просто нет. А во втором варианте,
если тренда нет, то мы, в принципе, можем открывать как короткую, так и длинную
позицию. Ведь и длинная, и короткая позиция не будут направлены против тренда,
так как его просто нет. В целом же практика показывает, что в таких ситуациях
лучше всего вообще держаться в стороне от рынка, до того момента, когда
направление все - же сформируется.
Принцип работы линии тренда весьма схож с принципами устройства уровней
поддержки/сопротивления. По сути линия тренда состоит из ряда горизонтальных
уровней поддержек/сопротивлений, которые по мере движения по тренду меняются
ролями. Линии тренда в свою очередь так же могут меняться ролями (рис. 2.7).
Рисунок 2.7 - Переход линии тренда из поддержки сопротивление
Преодоление линии тренда является важным сигналом перелома в характере
движения. Ч. Доу в одном из своих постулатов обращал внимание на то, что
тенденция действует до тех пор, пока не появится явный сигнал о её смене.
Перечислим основные сигналы смены тренда:
преодоление линии тренда;
преодоления предыдущего ценового минимума/максимума из
повышательной/понижательной последовательности этих минимумов, например, в
точке А на рис 2.7;
новый ценовой пик ниже/выше последовательности восходящих / нисходящих
ценовых пиков (рис. 2.8).
Рисунок 2.8 - Новый ценовой пик ниже последовательности восходящих
ценовых пиков
На практике, проблема построения линий тренда заключается в том, что они
могут быть субъективны из-за сложности выбора точек, по которым они проводятся.
Например, для того чтобы провести линию тренда, необходимо использовать ценовые
минимумы/максимумы в движении цены за определенный промежуток времени, но
иногда ценовые минимумы/максимумы образуются относительно резкими скачками
цены.
Как уже упоминалось, нахождение рынка у начала
разворота основного тренда часто можно установить по классически сформированным графическим конфигурациям.
Однако рассматриваемые нами конфигурации не
всегда идеальные, поэтому так важно их доскональное изучение: что на самом деле
происходит [23, С. 265].
В своем практическом исследовании при определении структуры ценовых
колебаний автор исходил из вероятностного подхода. Теория вероятности подходит
для ситуаций, когда мы не знаем весь набор причинно-следственных механизмов,
определяющих исход ситуации, или для случаев, когда мы можем его знать. То есть
мы отказываемся от идеи предсказания конкретных исходов и предсказываем, что,
вероятно, случится, зная заранее возможные исходы. Если текущее движение цены
находится в тренде, то вероятность продолжения движения в этом же направлении
выше, чем возможный разворот цены. Но здесь возникает две проблемы, которые
тесно связаны между собой: во-первых, определение нахождения цены в том или
ином тренде, во-вторых, масштаб рассматриваемого тренда.
На рынке ценных бумаг во время торговой сессии цены находится в
постоянном движении, что приводит к образованию уровней поддержки/сопротивления
длиной от одной минуты и до нескольких десятилетий. Это множество уровней, с
локальными максимами/минимумами формируют формации на разных временных
промежутках, которые в свою очередь являются составными элементами структуры
ценовых колебаний.
Под термином «формация» мы понимаем графическое изображение уровней
поддержки/сопротивлений и различные комбинации движения цены от этих уровней.
Рассмотрим основные встречающиеся формации.
Двойное дно/вершина - образуется при движении цены вниз/вверх и при подходе
к предыдущему ценовому минимуму/максимуму (точка Б, рис. 2.12) покупки/продажи
перевешивают продажи/покупки формируя разворот цены. Чем больше цена подходила
к уровню и не могла преодолеть его, тем он сильнее, так как объём открытых
позиций участников возрастает. Может встречаться тройное и т.д. дно/вершина.
Рисунок 2.9 -
Двойное дно/вершина
«Голова и плечи» - формация, похожая по своему принципу на формацию
Двойное дно, отличие в том, что цена осуществляла подход к уровню три раза
(точка А,Б,В, рис 2.10), где на втором подходе цена делала преодоление
рассматриваемого уровня образуя локальный пик (точка Б,рис.2.10), но
безуспешно, тем самым показывая слабость покупателей/продавцов. В этой формации
выделяют еще так называемую «линию шеи», преодоление которой (точка Г, рис.
2.10) свидетельствует о развороте цены в противоположном направлении [1, С.
103].
«Для того чтобы фигура была достоверной, объем торговли в течение всего
срока существования фигуры должен снижаться. Самым высоким объем должен быть на
левом плече, затем он должен убывать в ходе роста по направлению к голове и еще
больше падать во время подъема к правому плечу. Это снижение объема указывает
на убывающую покупательную способность в течение каждого восходящего этапа
образования фигуры. Например, даже если голова лежит выше левого плеча, ралли в
направлении головы не сможет вызвать такой же покупательский интерес, как
подъем к левому плечу. Подъем к правому плечу вызовет еще меньший интерес среди
инвесторов. Спрос явно падает. Кроме того, если доказательства убывающего
объема отсутствуют, существование фигуры не подтверждается» [1, С. 105].
Рисунок 2.10 - Формация голова и плечи
Описанные выше формации представляют собой элементы структуры ценовых
колебаний, т.е. движение цены в том или ином направлении происходит посредством
консолидации цены в определенном диапазоне и выходе из него, где уровень
сопротивления/поддержки переходит в поддержку/сопротивление. Разворот направления
движения возможен через формацию Двойное дно и Голова и плечи. Подобные ценовые
структуры присутствуют одновременно в различных временных масштабах. Нахождение
в одной фармации нескольких фармаций меньшего масштаба, то есть фрактальную
природу рынка подробно исследует Эдгар Петерсв своей работе «Фрактальный анализ
финансовых рынков» [17, С. 54]. На рис. 2.11 видно, что формация Двойное дно
большего масштаба, образованная от линии поддержки в точках А и Б состоит из
множества формаций меньшего масштаба. На этом рис. также виден переход линии
поддержки в линию сопротивления. Так же в изображенной формации большего
временного периода - Двойное дно, в точке «Б», так же изображена формация
Двойное дно, но только меньшего временного периода, а в точке «А» - Голова и
плечи.
Эдгар Петерс объясняет подобные явления через информационное множество и
инвестиционные горизонты. По его мнению ««справедливая» стоимость акции
определяется двумя различными способами:
. Для однодневных трейдеров стандартом является высокая цена в течении
дня, когда они продают или низкая цена в течении дня, когда они покупают. Имеет
ли эта цена что-то общее с действительной стоимостью - спорный вопрос.
. Для долгосрочных инвесторов фактическая цена покупки или продажи
становится менее важной относительно высокой или низкой цены дня»[17, С. 52].
«Ликвидность также зависит от типа информации, которая циркулирует на
рынке, а также от того, какой инвестиционный горизонт находит ее важной»[17, С.
52].
Рисунок 2.14 - Фрактальная структура рынка
В этой главе для изучения структуры ценовых колебаний мы выделили три
направления движения цены: восходящее, нисходящее и горизонтальное (боковое).
Определили, что линии тренда состоят из ряда горизонтальных уровней
поддержек/сопротивлений, которые по мере движения по тренду меняются ролями.
Линии тренда с вою очередь так же могут меняться ролями.
Так как большую часть времени цены на рынке находятся в нетрендовом
состоянии, то это приводит к образованию определенных уровней, на которых
происходит открытие и аккумуляция позиций различных групп участников
рассмотренных выше. Это придает импульс к будущему движению цены при
поступлении какой-либо новой информации и смещению цен в другой диапазон.
Множество уровней, с локальными максимумами/минимумами формируют формации
на разных временных промежутках, которые в свою очередь являются составными
элементами структуры ценовых колебаний.
2.3 Исследование
эффективности применения технического анализа на российском рынке ценных бумаг
технический анализ фондовый рынок
Теперь я проведу исследование эффективности применения анализа структуры
ценовых колебаний с помощью фигур технического анализа, рассмотренных выше.
Исследование проводилось на динамике цен фьючерса на индекс РТС за период
январь-декабрь 2011г. Замечу, что технический анализ наилучшим образом работает
в условиях высокой ликвидности. В связи с этим поясню, что самым ликвидным
всегда является фьючерсный контракт с ближайшей датой экспирации. Поэтому для
исследования я взял последовательно 4 разных фьючерсных контракта на индекс
РТС: RIH1, RIM1, RIU1, RIZ1 с датами экспирации 15.03.2011г.,
15.06.2011г., 15.09.2011г., 15.12.2011г. соответственно.
Прежде чем показать методику проведения сделок, необходимо пояснить
некоторые специальные термины, которые были использованы при ее изложении.
Стоп лосс - биржевая заявка, выставленная в торговом терминале трейдером
или инвестором с целью ограничить свои убытки при достижении ценой заранее
определённого уровня.
Длинная позиция - позиция, при которой число купленных контрактов
превышает число проданных. Обладатель такой позиции является "чистым"
держателем срочных контрактов.
Короткая позиция - продажа ценных бумаг, товаров или валюты, которыми
торговец на момент продажи не владеет. Такая операция возможна, если условия
контракта предусматривают его исполнение (поставку) через некоторое время или
при маржинальной торговле, когда разрешено продавать взятый у брокера в кредит
товар с предполагаемой последующей покупкой аналогичного товара и возврата
кредита в натуральном (товарном) виде. Торговец надеется, что цена упадёт и он
сможет дешевле выкупить ранее проданный товар. Этот механизм обеспечивает
возможность получать прибыль при снижении цен.
Продажа без покрытия является одним из видов спекуляций. Наиболее часто
она проводится на условиях маржинальной торговли, которые позволяют заключать
торговые сделки на суммы, в несколько раз больше реального капитала торговца.
Методика проведения сделок заключалась в том, что трейдер оценивал
графическую картину изменения цены на часовых графиках динамики фьючерса на
индекс РТС, и старался отыскать там описанные выше фигуры и формации
технического анализа а именно:
. Если на взгляд трейдера намечалась среднесрочная восходящая или
нисходящая динамика то проводились линии восходящего или нисходящего тренда.
Далее при движении цены в будущем, как только цена подходила достаточно близко
либо пересекала линию тренда то при восходящей или нисходящей динамике
открывалась «длинная» либо «короткая» сделки соответственно. При этом всегда
ставился «стоп - лосс» на 2000 пунктов от цены открытия сделки. Соответственно
закрытие сделки происходило либо по «стоп - лоссу» либо при получении
технического сигнала на открытие противоположной сделки (при этом
соответственно данная сделка закрывалась и в этот же момент открывалась сделка
в противоположном направлении), либо при достижении уровня прибыли более 6000
пунктов (в этом случае трейдер не закрывал сделку сразу, а ожидал окончания
часа в который поступил сигнал, либо окончания торгового дня во время которого
поступил данный сигнал если на взгляд трейдера рынок давал сильные сигналы на
продолжение движения цены в прибыльном направлении. Поэтому в таких ситуациях
прибыль могла быть как выше 6000 пунктов, так и ниже.).
. Если формировалась фигура двойное дно то всегда открывалась длинная
позиция с закрытием сделки и ограничением убытков точно таким же образом как
описано в первом пункте.
.Если формировалась фигура двойная вершина то всегда открывалась короткая
позиция с закрытием сделки и ограничением убытков точно таким же образом как
описано в первом пункте.
. Если формировалась фигура двойное дно то всегда открывалась короткая
позиция с закрытием сделки и ограничением убытков точно таким же образом как
описано в первом пункте.
. Если формировалась фигура перевернутое двойное дно то всегда
открывалась длинная позиция с закрытием сделки и ограничением убытков точно
таким же образом как описано в первом пункте.
Положение фигур технического анализа которые были использованы конкретно
в практическом исследовании приведены в Прил. В, рис. В.1 - В.4.
На этих рисунках структуру ценовых колебаний составляют лини
поддержки/сопротивления: горизонтальные и наклонные, образованные от них такие
основные формации, как Двойная вершина/дно, Голова и плечи. Движение цены
происходит не только от уровня к уровню, но и по направлению тренда. Например,
при восходящем тренде мы видим большую последовательность линий сопротивлений
переходящих в линию поддержки и наоборот при противоположной тенденции.
Исходя из этого, трейдер совершал сделки купли-продажи с фьючерсными
контрактами на индекс РТС на основании сигналов, полученных по описанной выше
методике. Уточню, что для совершения всех сделок трейдер использовал
фиксированный объем контрактов. Совершенные сделки приведены в Прил. Б,
табл.Б.3.
Таким образом, из Прил. Б табл.Б.3, видно, что торговля, основанная на
описанных выше методах технического анализа структуры ценовых колебаний, дает
положительный финансовый результат применительно к российскому фондовому рынку.
А именно: доходность торговых операций составила204,4 %, что существенно выше
уровня инфляции за 2011г. (6%) и средней ставки по кредитам (15%). Это показывает,
что описанная здесь методика может успешно применяться трейдерами на российском
фондовом рынке при торговле.
3. ПРОБЛЕМЫ И
ПЕРСПЕКТИВЫ ИСПОЛЬЗОВАНИЯ ТЕХНИЧЕСКОГО АНАЛИЗА НА РОССИЙСКОМ РЫНКЕ ЦЕННЫХ БУМАГ
3.1 Основные
проблемы при использовании технического анализа
В настоящее время технический анализ, наряду с фундаментальным, является
важнейшим методом анализа биржевых рынков. В России его использует подавляющее
большинство игроков. Можно даже утверждать, что знание хотя бы основ
технического анализа является своеобразным пропуском на рынок: без него там,
увы, делать нечего. Вместе с тем, как метод анализа и прогноза ценовой динамики
биржевых рынков, технический анализ обладает большим количеством недостатков,
которые могут поставить под вопрос его практическую применимость.
При выборе методики технического прогнозирования нами было рассмотрено
огромное количество технических индикаторов. Вывод неутешителен: в большинстве
случаев рынок ведёт себя вопреки прогнозам. Поэтому, кстати говоря, автору и пришлось
выбрать из всего разнообразия только основные графические фигуры, а параметры
их построения оставить на субъективный выбор трейдера.
Получается, что очень многое зависит от настройки и выбора параметров
индикаторов, выбора точек для проведения трендовых линий, и уровней поддержки/
сопротивления и.д. Другими словами технический анализ требует высокой
квалификации аналитика. Только при субъективном правильном выборе всех этих
параметров и методов построения можно добиться хороших результатов. Из этого
напрашивается противоречивый вывод, что речь может идти не о проблемах в самом
техническом анализе, а проблеме в его грамотном использовании.
Однако, корень проблемы вероятнее всего заключается не в этом, а в том,
что техническому анализу, как методу анализа и прогноза ценовой динамики рынка,
присущи органические недостатки, коренящиеся в его основополагающих постулатах
и вообще в самой его идеологии, недостатки которой традиционно сводят к трем
основным вопросам:
.«Самоисполняющееся пророчество».
.Отсутствие связи между данными о прошлых ценах и будущими.
3.Случайный характер цен на рынке ценных бумаг.
Критики технического анализа считают, что графические ценовые модели
могут прогнозировать движение цены, так как они сами себя реализуют за счет
своей популярности. Поэтому, одинаковая интерпретация какой-либо графической
модели большинством участников рынка может провоцировать одинаковые действия с
их стороны и создавать цепные реакции покупок и продаж.
Идея обратной связи между ценой и участниками рынка описана в теории
рефлексивности Джорджа Сороса. Он считает, что для финансовых рынков не
подходит концепция равновесного состояния, которая разработана в рамках
неоклассической экономической теории. Например, в микроэкономике считается, что
фондовый рынок является одним из тех, что в максимальной мере отвечают
критериям модели рынка совершенной конкуренции (множество участников,
однородная продукция, низкие барьеры для входа и выхода с данного рынка). Дж.
Сорос полагает, что «концепция равновесия кажется в лучшем случае
иррелевантной, а в худшем - вводящей в заблуждение» [20, С. 29]. Так как на
фондовом рынке (как, впрочем, на всех финансовых рынках) существует
двусторонняя связь между текущими решениями и будущими событиями. В данном
случае проявляется рефлексивное взаимодействие.
С одной стороны, котировки акций определяются превалирующими
предпочтениями и отражают основной тренд. Они могут усиливать основной тренд, и
тогда тренд является самоусиливающимся. С другой стороны, котировки акций могут
влиять на основной тренд в противоположном направлении и такой тренд можно
назвать самокорректирующимся. Имеется ряд факторов, которые препятствуют
возникновению самоусиливающего тренда:
субъективность технического анализа [13, С. 35]: не позволяет давать
однозначных интерпретаций возникающих ценовых формаций. В один и тот же момент
времени графические аналитики могут давать различные прогнозы;
различный инвестиционный горизонт и временной масштаб анализа
графиков[17, С. 54]: технические аналитики могут оперировать в своём анализе
различными временными периодами (внутридневные, недели, месяцы, годы) и как
следствие получают на выходе отличные выводы;
фундаментальные факторы: на рынке ценных бумаг сделки совершаются не
только сторонниками технического анализа, но и приверженцами фундаментального
анализа, которые основывают свои суждения на микро- и макроэкономических
данных;.
технический анализ основан на идее неизменности человеческой природы, в
силу чего рыночные модели должны повторяться. Однако из этого следует, что возможности
технического анализа экстраполировать прошлое на будущее ограничены;
технический анализ говорит о степени вероятности того, что некоторое
событие произойдет, но не утверждает ,что оно произойдет непременно;
современный технический анализ основан на сложных математических и
статистических концепциях. Компьютерные программы технического анализа
существенно уменьшили трудности, связанные с расчетами, но это не облегчает
понимание того, как правильно вести эти расчеты;
для технического анализа жизненно важно, чтобы информация была точна и
своевременна[42, С. 16].
С одной стороны на рынке ценных бумаг могут присутствовать
самоусиливающиеся тенденции, но с другой стороны они могут быть в любой момент
времени прерваны описанными выше тремя факторами.
Проблема зависимости истории и будущего цены тесно связана с вопросом
случайного характера цен на рынке ценных бумаг, который рассматривается ниже.
Используя исторические данные о цене для её прогнозирования, технический
аналитик имеет дело с историей также как и любой другой исследователь. Анализ
графиков есть не что иное, как одна из форм анализа временных
последовательностей, основанного на изучении прошлых данных. Единственная
информация, которой располагает любой аналитик, это информация о прошлом и настоящем,
которая помогает делать предположения и прогнозы движения цены относительно
текущего её значения.
Сторонники теории случайных событий, считают, что ценовые колебания
серийно независимы, поэтому данные о прошлых ценах не могут использоваться для
достоверных прогнозов о динамике цен в будущем [26, С. 12]. Этот подход исходит
из «гипотезы эффективности рынка». «На эффективном рынке информационное
множество является полным и новая информация мгновенно отражается на рыночных
ценах» [22, С. 15]. В такой ситуации ее бесполезно использовать для
формирования инвестиционной стратегии. Если рынок является эффективным, то все
инвесторы находятся в равных условиях по отношению друг к другу, так как
существенное изменение цены актива может быть вызвано только появлением
какой-либо новой информации, которую нельзя было с достаточной степенью
достоверности предвидеть заранее и поэтому она не была учтена в цене.
В теории об «эффективном рынке», на практике проявляются слабые места:
если даже предположить что все участники рынка обладают одинаковой
информацией о нём, то при обработке этой информации используются различные
методы оценки и как следствие получают различные выводы;
присутствие субъективной составляющей в анализе и оценке информации и
субъективность в принятие решений;
теория эффективных рынков говорит о том, что рынки справедливы независимо
от ликвидности, но во время крахов и паническом бегстве при исчезновении
ликвидности получение «справедливой цены» не может быть таким же важным как
закрытие позиции по любой цене [17, С. 51].
Таким образом, рыночное ценообразование это сложный процесс,
обусловленный влиянием на него не только поступающей информации, но и
субъективностью самих участников
В свою очередь, при проведении практической части работы, по этому поводу
был сделан вывод, что в числе прочего, суть проблемы заключается в том, что при
использовании технического анализа многие аналитики, трейдеры и спекулянты
анализируют именно график, забывая, что нужно анализировать не график, а рынок
с помощью графика.
Увидев на графике какую-то фигуру, мы можем, например, сделать вывод, что
рынок меняет свое направление и формально исходя из этого принять
инвестиционное решение. Выход из этой ситуации может подсказать методика
применяемая нами при анализе фигур технического анализа, заключающаяся в том,
что мы оцениваем не только формальное графическое изображение этой фигуры но и
стараемся понять, какой процесс, происходящий на рынке вызвал появление данного
графического объекта? Приведёт ли этот процесс к развороту, или только к
коррекции»? каково распределение сил продавцов и покупателей в данный момент?
Пренебрежение сущностным содержанием процессов, происходящих на рынке,
часто приводит к грубейшим ошибкам при принятии торговых решений.
Таким образом ошибкой при использовании технического анализа, является
то, что исследователи не могут понять природу рынка. Некоторые считают, что это
естественный, а не искусственно созданный объект. Этот комплекс затруднений и
ошибок породила огромное количество некорректных методик прогнозирования.
Исследователи пытались искать совершенную упорядоченность там, где её нет и не
может быть. Пример - волны Эллиота и числа Фибоначчи. С другой стороны,
пытались применить для анализа рынка теорию хаоса и фрактальную геометрию,
которые никакого отношения к рынку не имеют, так как описывают совершенно
другие объекты.
3.2 Применимость технического анализа на Российском
рынке ценных бумаг
Помимо недоработанности самого технического анализа существуют проблемы
связанные с его применением именно на Российском рынке, что связано с рядом
факторов, негативно влияющих на применимость технического анализа на Российском
рынке ценных бумаг в настоящее время.
Среди таких факторов, можно назвать усиливающуюся тенденцию размещения
российскими компаниями своих акций на зарубежных площадках, неразвитость
института внутренних инвесторов, низкий уровень корпоративного управления и
несовершенное законодательство в финансовой сфере.
Глава ФСФР, выступая на "правительственном часе" в Совете
Федерации, привел факты, указывающие, что в настоящее время российский фондовый
рынок уступает рынкам ведущих развитых и развивающихся стран по ряду
показателей.
Капитализация отечественного фондового рынка составляет 1,04 триллиона
долларов, что соответствует доле в размере 2% в мировой капитализации. У
Бразилии, Индии и Германии этот показатель составляет 3%, у Великобритании и
Китая - 7%, у США - 31%.
Отношение капитализации российского фондового рынка к ВВП составляет 66%,
в то время как в Китае - 70%, в Бразилии - 74%, у Индии - 106%, у США - 122%, у
Великобритании - 171%.
Ключевыми проблемами российского фондового рынка, вызывающими наибольшие
затруднения для применения технического анализа можно назвать его
незначительный объем, высокую концентрацию оборота по акциям ограниченного
числа эмитентов, незначительное количество индивидуальных инвесторов (около 1
миллиона, из них активных - около 300 тысяч), недостаточное развитие
негосударственных пенсионных фондов и страховых компаний, которые являются
потенциальными долгосрочными внутренними инвесторами, а также высокую
зависимость российского рынка от международных рынков капитала.
Если оценить прошедшие размещения ценных бумаг российскими компаниями,
можно заметить, что в последние два года наметилась тенденция, когда компании с
российскими активами все чаще регистрируются в иностранных юрисдикциях и
размещают свои акции на зарубежных площадках. Ярким примером этого стала
компания "Русал", которая создала холдинговую структуру за рубежом и
провела IPO в Гонконге.
По этому поводу приведу слова главы ФСФР: "Для нас неприятно то, что
размещения нерезидентами с российскими активами за рубежом увеличиваются. В
2010 - 2011 гг. эта тенденция набирает силу. Для нас это очень неприятно. Это
означает, что рынок уходит из Российской Федерации, и фактически эмитенты
размещаются за рубежом", - отметил Панкин, добавив, что в 2011 г. только
порядка 20% ценных бумаг были размещены на российском рынке.
За одиннадцать месяцев 2011 г. иностранные компании с российскими
активами разместили на зарубежных площадках ценные бумаги в объеме 3,157
миллиарда долларов, российские корпорации на внешних рынках разместили бумаги
на 1,071 миллиарда долларов. Российские компании, в свою очередь, разместили на
отечественном рынке ценные бумаги в объеме 1,021 миллиарда долларов.
Решением этой проблемы, могли бы стать меры по упрощению эмиссии ценных
бумаг в России, формирование внутреннего частного инвестора и российских
институциональных инвесторов, развития рынка коллективных инвестиций, повышения
емкости и прозрачности внутреннего рынка ценных бумаг.
Меры, принимаемые российскими финансовыми властями, в настоящее время
недостаточны для развития рынка в России.
Например, закон о центральном депозитарии, который был принят Госдумой РФ
во втором чтении в начале ноября 2011г., не в полной мере может способствовать
притоку иностранных инвесторов и эмитентов на российский фондовый рынок.
Возможно, отдельный факт создания центрального депозитария может способствовать
лишь созданию комфортных условий для иностранцев.
Центрдеп, который позволяет иностранным инвесторам через счета
номинального держания открывать удобные для них счета в нашем центрдепе, в
регистраторах - это лишь удобная схема, которая может привести к тому, что
торговля бумагами будет вестись на западных площадках. Такая опасность тоже
есть. Мы сделаем удобную инфраструктуру, это может привести к тому, что
иностранцы будут и там торговать, открывая здесь счета.
Эту проблему нужно решать системно. Значит, нужно сделать так, чтобы им
было удобнее, легче торговать в России. Снизить комиссии, чтобы биржа не сбоила
раз в неделю. Тогда они будут здесь торговать.
Позитивным моментом, внушающим оптимизм относительно перспектив развития
российского фондового рынка является то, что ФСФР, так же видит эти проблемы и
предлагает пути их решения.
Для решения ключевых проблем российского фондового рынка ФСФР в 2012-2013
гг. планирует сконцентрироваться на решении четырех стратегических задач:
повышении прозрачности рынка и формировании внутреннего долгосрочного
инвестора, совершенствовании контроля и надзора за участниками рынка ценных
бумаг, на обеспечении эффективной рыночной инфраструктуры и совершенствовании
корпоративного управления.
Контроль и надзор за участниками рынка ценных бумаг ФСФР планирует вести
с учетом международных стандартов, в частности, привести нормы, касающиеся
права на получение информации, в соответствие с требованиями IOSCO.
Пруденциальный надзор, принятие закона о котором ожидается в 2012 г., позволит
прогнозировать и предупреждать как системные риски, так и риски отдельно взятых
участников рынка.
Кроме этого, ФСФР планирует вернуться к вопросу введения мотивированного
суждения финансовыми регуляторами. В случае введения мотивированного суждения
регулятор опирается не на правила, а руководствуется принципами. Регулятор
получит право в случае оценки деятельности участников фин рынка высказывать
свое оценочное, мотивированное суждение о том, насколько правомочны те или иные
их действия.
Усовершенствовать корпоративное управление на фондовом рынке можно обеспечивая
защиту прав акционеров при сделках M&A, улучшив регулирование отношений,
связанных с работой совета директоров, усилив гражданско-правовую
ответственность членов органов управления организаций и обеспечивая раскрытие
конечных бенефициаров.
Последнее, по мнению Панкина, вызовет наибольшее сопротивление среди
российских компаний. ФСФР в 2012 году планирует ввести норму по раскрытию
конечных бенефициаров. «Будет установлено, что без раскрытия конечных
бенефициаров акции не голосуют. На следующий год планируем работать в этом
направлении», - сказал он.
Учитывая вышеизложенные характеристики российского фондового рынка,
применению технического анализа нужно уделять особое внимание. Хотя бы для
минимизации рыночных рисков. Ключевым условием эффективной работы является
доступ к источникам информации. На протяжении всех лет функционирования
российского финансового рынка активно осваивался зарубежный опыт
инвестиционного анализа, и создавались собственные методические разработки.
Так, ставшие классикой на Западе, фундаментальные монографии по техническому
анализу стали доступны и в России, а некоторые из них переведены на русский
язык. Несколько десятков статей российских авторов опубликованы в деловой
прессе, также увидели свет первые учебники и пособия отечественных специалистов
в области технического анализа. Информационная инфраструктура российского
фондового рынка тоже непрерывно совершенствуется.
С некоторых пор на российском фондовом рынке аналитики стали тестировать
многие торговые системы, использующие широкий инструментарий технического
анализа. Проведенные исследования показывают, что признаваемая наиболее
адекватной в академических кругах и распространенная среди консервативных
инвесторов стратегия «купи и держи», будучи не самой прибыльной, оказывается
максимально рискованной и едва ли может считаться наилучшим выбором для
инвестора. Вместе с тем многие популярные стратегии технического анализа (равно
как и достаточно экзотические) продемонстрировали весьма невысокую
эффективность, что заставляет с большой осторожностью относиться к любой
непроверенной информации и говорит о необходимости тщательного предварительного
тестирования. По результатам статистической проверки можно сделать вывод, что
технический анализ на российском рынке акций способен обеспечивать инвестору
дополнительный доход и существенно снижать его риски. Это дает основания
предполагать, что развитие соответствующих методов представляет определенный
интерес.
Согласно структурному подходу принятие обоснованного инвестиционного
решения должно начинаться с изучения общего состояния рынка акций и выявления
господствующей ценовой тенденции. Характер и перспективы текущего движения
рынка становятся ясными из анализа сигналов индикаторов и графических фигур. В
случае возникновения расхождений сигналы на более долгосрочных графиках имеют
приоритет над более краткосрочными. На втором этапе объектом исследования
становится отраслевой индекс, для которого применяется аналогичная процедура.
Для определения позиций отрасли проводится анализ относительной силы
отраслевого индекса по сравнению с общим индексом рынка акций.
Заключительный третий этап строится на рассмотрении рынка акций конкретного
эмитента с учетом рыночной и отраслевой тенденций, выявленных на предшествующих
стадиях анализа.
Поскольку динамика фондовых индексов (например, РТС) оказывается
практически полностью зависимой от колебаний курсов лишь нескольких ценных
бумаг, отпадает необходимость в расчете и анализе промежуточных отраслевых
индексов. В этих условиях важная роль отводится анализу относительной силы
акций «большой шестерки» непосредственно по сравнению с индексом РТС.
Состояние отечественного рынка корпоративных ценных бумаг в настоящее
время таково, что возможности спекулятивной игры на нем сводятся к
купле-продаже не более 10 ликвидных бумаг и формированию межрыночного спрэда по
этим ценным бумагам. Выработка и использование правил закрытия позиций с целью
ограничения потерь, так называемые стоп-лоссы, как неотъемлемого элемента
торговых систем способно значительно повысить результативность игры на
неустойчивом российском фондовом рынке и оградить инвестора от неоправданного
риска. Хотя, нужно заметить, что многие инвесторы о риске начинают
задумываться, когда бывает уже поздно.
Одним из методов, позволяющих с большой степенью вероятности
предсказывать важные повороты рынка, является измерение его волатильности.
Анализ показывает, что в преддверии крупных изменений в динамике цен размах
колебаний рынка возрастает в 3 - 4 раза и более и соответствующий индикатор
(например, индикатор волатильности Чайкина) регистрирует сильный всплеск.
Измерения волатильности и корреляции, расчет рисковой стоимости,
технический анализ и сценарный анализ - все это может оказаться очень полезным
для определения специфических уровней подверженности рискам и управления ими
[11, С. 156].
Волатильность отечественного фондового рынка является, возможно, причиной
того, что извечная проблема совместимости фундаментального и технического
анализа приобрела в России несколько специфическую форму: может ли применение
апробированных методов технического анализа дать сколько-нибудь приемлемый
результат для российского рынка ценных бумаг.
3.3
Методологические рекомендации разработки теории технического анализа
Для
успешной торговли ценными бумагами и другими финансовыми инструментами очень
важно раскрыть содержание всех аспектов методологии применения технического
анализа, по этому поводу приведу обширную цитату из давней статьи французского
учёного и методолога Жана Луи Детуша, очень ясно обрисовавшего важность применения
методологии в любой науке: “«В науке любая действительно важная проблема
возникает как проблема метода. В самом деле, если для проблемы, которую нам
предстоит решить, метод уже известен, тогда достаточно применить к ней этот
метод, и поиск решения сведётся к чисто технической задаче. Напротив, если
метод решения нам неизвестен, необходимо прежде всего найти именно метод. Тогда
проблема решения становится методологической проблемой. Сам метод может быть
техническим элементом науки, о которой идёт речь. Но он может включаться и в
более общие рамки. К примеру, есть арифметические проблемы, метод решения
которых лежит за пределами самой арифметики и принадлежит к области анализа.
Все такие методы являются частью какой-либо отдельной науки. Но если мы рассматриваем
проблемы более общие, относящиеся к научному познанию вообще (а не только к
частным проблемам какой-то одной дисциплины), то вопросы методологического
порядка на этот раз выходят за рамки какой-либо отдельной науки. Это будут
методы, отвечающие на те вопросы, которые принадлежат к компетенции
методологии. При этом можно различать, с одной стороны, общую методологию,
пригодную для всех наук, и, с другой стороны, методологию, свойственную каждой
науке”» [49, С. 2].
Возвращаясь
к методологическим проблемам технического анализа можно увидеть что в первую
очередь для дальнейшего продуктивного развития технического анализа, на мой
взгляд, необходимо разработать теорию, которая бы описывала рынки (фондовый,
товарный, валютный) так, как они есть, со всеми их специфическими
особенностями, несводимыми к чисто природным, чисто финансовым или чисто
психологическим закономерностям, признать, что любой организованный (биржевой)
рынок является сложной системой, которая существует и развивается по своим
законам.
В
этом плане, особенно для целей спекулятивной торговли, необходимо разработать
такие методы проведения анализа, которые бы в своей внутренней логике опирались
на наиболее существенные факторы лежащие в основе образования фигур
технического анализа, что в свою очередь позволило бы наиболее достоверно
судить о правомерности применения той или иной «фигуры» в прогнозировании
дальнейшего развития конкретной рыночной ситуации.
Одним
из таких факторов, который является главной движущей силой рынка является поведение
продавцов и покупателей, поэтому для того чтобы понять природу рынка я
предлагаю использование фигур и индикаторов технического анализа через
рассмотрение этого поведения.
Можно
привести пример использования фигур технического анализа в таком ключе, на
примере наиболее часто использованной при проведении сделок из практической
части фигуры «уровень поддержки/сопротивления».
Рассмотрим
причины, по которым уровни поддержки/сопротивления определяются на графиках
цены. Для этого необходимо проанализировать более подробно процесс заключения
сделок и образования ценовых уровней. Разделим участников рынка на покупателей
и продавцов, а последних разделим на «входящих» в рынок и «уходящих» из рынка.
То есть «входящие» в рынок - это те, кто открывает позиции, а уходящие из рынка
- это те, кто закрывает позиции. Продавцы будут «входящими» в случае если они
заключают сделки РЕПО (посредством займа ценных бумаг, например, у брокера).
Рассмотрим примеры сделок в диапазоне точек от 1 до 8 на рис.3.1:
Покупатели
на линии, обозначенной точками 1,3,5:
)покупатели
входящие, открывающие новые позиции от текущего уровня;
)покупатели
уходящие, открывшие продажи ниже уровня поддержки (точки 1,3,5);
)покупатели
уходящие, открывшие продажи на уровне поддержки (точки 1,3,5);
)покупатели
уходящие, открывшие продажи на уровне сопротивления (точки 2,4,6).
Продавцы
на линии, обозначенной точками 1,3,5:
)продавцы
входящие, открывающие позиции от текущего уровня;
)продавцы
уходящие, открывшие позиции ниже уровня поддержки (точки 1,3,5);
)продавцы
уходящие, открывшие позиции на уровне поддержки (точки 1,3,5);
)продавцы
уходящие, открывшие позиции на уровне сопротивления (точки 2,4,6).
Покупатели
на линии, обозначенной точками 2,4,6,8:
)покупатели
входящие, открывающие новые позиции от текущего уровня;
)покупатели
уходящие, открывшие продажи ниже уровня поддержки (точки 1,3,5);
)покупатели
уходящие, открывшие продажи на уровне поддержки (точки 1,3,5);
)
покупатели уходящие, открывшие продажи на уровне сопротивления (точки 2,4,6).
Продавцы
на линии, обозначенной точками 2,4,6,8:
)продавцы
входящие, открывающие позиции от текущего уровня;
)продавцы
уходящие, открывшие позиции ниже уровня поддержки (точки 1,3,5);
)продавцы
уходящие, открывшие позиции на уровне поддержки (точки 1,3,5);
)
продавцы уходящие, открывшие позиции на уровне сопротивления (точки 2,4,6).
Последующее
движение цены через пробой вверх уровня сопротивления в точки 6 определяет
следующие сделки:
Покупатели
на линии, обозначенной точками 2,4,6,8:
)покупатели
входящие, открывающие новые позиции от текущего уровня в точке 8;
)покупатели
уходящие, открывшие продажи на уровне поддержки (точки 1,3,5);
)покупатели
уходящие, открывшие продажи ниже уровня поддержки (точки 1,3,5);
)покупатели
уходящие, открывшие продажи на уровне сопротивления (точки 2,4,6,8).
Продавцы
на линии, обозначенной точками 2,4,6,8:
)продавцы
входящие, открывающие позиции от текущего уровня;
)продавцы
уходящие, открывшие позиции ниже уровня поддержки (точки 1,3,5);
)
продавцы уходящие, открывшие позиции на уровне поддержки (точки 1,3,5);
)продавцы
уходящие, открывшие позиции на уровне сопротивления (точки 2,4,6,8);
)продавцы
уходящие, открывшие позиции на уровне 7.
Рисунок 3.1 - Образование уровней поддержки/сопротивления
Таким образом, на рис.3.1 видно, что в каждых точках графика сделки
совершают участники с различными ожиданиями и интересами. Так как большую часть
времени цены на рынке находятся в нетрендовом состоянии, это приводит к
образованию определенных уровней, на которых происходит открытие и аккумуляция
позиций различных групп участников рынка рассмотренных выше. Это придает
импульс к будущему движению цены при поступлении какой-либо новой информации и смещению
цен в другой диапазон. На рис3.1 видно, что в точке 6 произошел выход из
диапазона, обозначенного точками 1,2,5 и 2,4,6,8.
До новой поступившей информации, и её обработки продавцы «входящие»
имеющие открытые позиции не закрывали их, а потенциальные покупатели «входящие»
не делали покупки. Только новая информация изменила расстановку сил. Продавцы
«входящие» сделавшие продажи ранее на уровнях обозначенных точками 2,4,6,8;
1,3,5 и ниже, были вынуждены покупать в точках 6 и 8. А также в точке 6 и 8 начали
делать покупки покупатели «входящие».
Кроме того, расстановку сил продавцов и покупателей
вблизи уровней сопротивления и поддержки часто помогают понять наблюдения за
изменениями объема торговли при достижении уровней сопротивления и поддержки. Например,
достигнув уровня поддержки, тренд начал движение вверх. Если объем торговли при
этом сильно увеличился, можно с большой степенью уверенности сказать,
что медвежий тренд изменился на бычий, и стоит вовремя начать покупать. Если же
объем резко уменьшился, стоит предположить, что текущее движение вверх - всего
лишь временное, но торопиться принимать то или иное решение не стоит: это
коррективное движение может продлиться достаточно долго. И если не
учитывать этот фактор то можно потерять много денег на пустом месте, пытаясь
заранее войти во все не начинающееся и не начинающееся движение.
Теперь посмотрим, как с помощью анализа расстановки сил покупателей и
продавцов можно уточнить правильность использования перехода линий
сопротивления/поддержки в уровень поддержки/сопротивления на графике наиболее
ликвидных российский акций.
Рисунок 3.2 - Переход уровня сопротивления/поддержки в уровень
поддержки/сопротивления (данные цен от ММВБ на акции ОАО «Сбербанк России» за
период 2009г. - 2011г.)
На рис. 3.2 мы видим, что до апреля 2010г. цены находились в диапазоне
уровней Б и В, затем произошло снижение цен, через преодоление лини поддержки
Б, до уровня А. Затем был возврат к линии Б, которая уже была для цены линией
сопротивления. В конце сентября 2010г. цены преодолевают уровень сопротивления
В, который в течении нескольких дней работает как уровень поддержки и выходят в
диапазон Г и Д.
Для того чтобы еще более детально понять, как поведение покупателей и
продавцов влияет на структуру ценовых колебаний в режиме реальных торгов,
давайте посмотрим график с подобными уровнями, только на меньшем временном
интервале. На рис. 3.3 видно, что уровень В выступал несколько раз в роли
сопротивления в точках в, г и д, затем цены подошли к уровню поддержки Б,
который был преодолён ценой в точке а. Позже он послужил сопротивлением в точке
б.
Рисунок 3.3 - Переход уровня сопротивления/поддержки в уровень
поддержки/сопротивления (данные цен от ММВБ на акции ОАО «Сбербанк России» за
период 05.05.2011г. - 12.05.2011г.)
Таким образом, рассматривая историю цен за различные промежутки времени,
от нескольких дней до нескольких лет, мы видим, что ценовая структура на обоих
интервалах схожа, что говорит о фрактальной природе рыночных цен.( Фрактальная
размерность характеризует то, как предмет заполняет пространство. Фрактальная
размерность временного ряда измеряет, насколько изрезанным является временной
ряд. Согласно ожиданиям прямая линия должна иметь, фрактальную размерность 1,
равную ее евклидовой размерности (фрактальная размерность плоскости - 2).
Фрактальная размерность случайною временного ряда составляет 1,5. Фрактальная
размерность может быть решена как наклон графика в логарифмическом масштабе по
обеим осям.)
Теперь рассмотрим переход уровней поддержки/сопротивления в уровни
поддержки/сопротивления на графике индекс РТС.
Рисунок. 3.4 - Переход уровня сопротивления/поддержки в уровень
поддержки/сопротивления (данные цен от РТС «индекс РТС» за период 2009г. -
2011г.)
На рис. 3.4, мы видим движение цен в диапазонах обозначенные уровнями.
При появлении на рынке новой информации его участники могут изменить
представление о «справедливой» цене и своими сделками изменить торговый
диапазон цен. Но если информация оказалась несущественной, происходит
возращение цен в предыдущий диапазон. Таким образом, значимость этого диапазона
возрастает. Например, в начале 2011г. цены преодолевают уровень, обозначенный
точками «a, c, g, k,m» и идут в точку «в», после чего цена возвращается в
предыдущий диапазон.
Необходимо в этой ситуации также рассмотреть другую строну проблемы: так
как участники рынка приобретают актив с целью получения прибыли в будущем, то
покупатели, которые покупали в точках «а, b» не хотят чтобы цены были ниже их покупок и желают выйти из
этого актива по ценам его приобретения или с меньшими издержками. Поэтому ниже
линии с точками «а, б, ж, з» начинаются большие продажи и этого иногда ждут
большие покупатели, которые нуждаются в больших объемах. Таким образом, выход
за пределы уровня может использоваться для наращивания своих позиций крупными
участниками рынка.
Ложные провалы приводят к похожим последствиям, но с противоположным
знаком. Нарушения нижней границы торгового коридора вызывают очень
незначительные последствия с точки зрения дальнейшего падения. Дж. Аппель
обращал внимание на то, что «Ложные провалы приводят к похожим последствиям, но
с противоположным знаком. Нарушения нижней границы торгового коридора вызывают
очень незначительные последствия с точки зрения дальнейшего падения.
Сообразительные инвесторы понимают, что провал является ложным, и на рынке
начинаются крупные покупки, как только торговый коридор повторно пробивается,
на этот раз вверх» [1, С. 123].
Обратим также внимание, что в точках (h, p; x)линия скользящего среднего
обозначила уровень сопротивления, а в точках (c, k) - уровень
поддержки. Это показывает, что при растущем рынке открывать позиции следует при
совпадении скользящего среднего с уровнем поддержки, а на падающем - с уровнем
сопротивления.
Практические исследования показывают, что составными элементами ценовой
структуры являются уровни поддержки/сопротивления и основанные на них ценовые
формации, так как они отражают действия участников рынка, которые заключаются в
восприятии и обработке поступающей новой информации и выборе модели поведения с
учётом текущих открытых позиций некоторых групп участников рынка.
Формация Голова и плечи может быть изображена не только с горизонтальной
линии шеи (рис. 3.5, формация с точками «а, б, в»), но и наклонной линии (рис.
3.5, формация с точками «а1, b1, c1»).
Рисунок 3.5 -Формация голова и плечи (данные цен от ММВБ на акции «ВТБ»
за период 2009г. - 2011г.)
Рисунок 3.6 - Формация голова и плечи (РТС 2009г. - 2011г.)
На рис. 3.6 после каждой формации Голова и плечи мы видим разворот
направления движения цены. Также на всех формациях после преодоления ценой
линии шеи она меняет свою роль с линии поддержки в линию сопротивления и
наоборот.
Конечно, отсутствие ясности в вопросе об истинной природе и морфологии
биржевых рынков породило трудности в определении причин, по которым рынок
растёт и падает. Кроме таинственных "сил быков", "сил медведей"
и "потенциальной энергии рынка", очень часто речь идёт о
"эмоциях толпы" и о "психологическом настрое масс, но более
пристальном рассмотрении природы рынков можно выяснить, чтодля каждого типа
рынка действует определённый набор факторов. Например, для вторичного рынка
акций это переток капитала, для товарного рынка - изменение баланса спроса и
предложения плюс переток спекулятивного капитала и т.д.
Таким образом без развития методологии применения технический анализ
также может обеспечивать неточную или неполную информацию относительно
перспектив по некоторым рыночным инструментам, потому что: во - первых, это уже
история. Графики не могут обычно предсказывать будущие положительные и/или
отрицательные фундаментальные данные, а вместо этого они очень сильно
сосредоточены на прошлых.
Во - вторых, толпа не всегда права. Важно обратить внимание и понимать,
что толпа иногда бывает неправа. Другими словами, возможно, рыночный
инструмент, массово покупаемый на этой неделе, может оказаться под давлением
сильной распродажи на следующей. Соответственно, то же самое с обратной
ситуацией - тот инструмент, который подвергся масштабной распродаже на этой
неделе, может найти хороший спрос на последующих неделях.
В - третьих, технический анализ не прогнозирует макро-тренды. Графики
обычно не могут точно прогнозировать макроэкономические тренды. Например,
практически невозможно глядя на график акций ведущего игрока в нефтяном и
газовом секторе предугадать, намеревается ли ОПЕК увеличить добычу нефти, или
повлияет ли начавшийся в порту Венесуэлы пожар на поставки в ближайшее время.
Ну и наконец, в - четвертых, наличие субъективности. При чтении графиков
всегда присутствует определенная доля субъективности. Некоторым, глядя на
график, может показаться, что рынок достиг дна, в то время как другой человек,
посмотрев на тот же график, придет к выводу, что есть еще значительный
потенциал для снижения.
ЗАКЛЮЧЕНИЕ
В настоящей работе был рассмотрен графический анализ рынка ценных бумаг,
который предполагает работу с самим графическим отображением истории ценовых
колебаний.
Для изучения структуры ценовых колебаний мы выделили три направления
движения цены: восходящее, нисходящее и горизонтальное (боковое). Определили,
что линии тренда состоят из ряда горизонтальных уровней поддержек/сопротивлений,
которые по мере движения по тренду меняются ролями. Линии тренда с вою очередь
так же могут меняться ролями.
Так как большую часть времени цены на рынке находятся в нетрендовом
состоянии, то это приводит к образованию определенных уровней, на которых
происходит открытие и аккумуляция позиций различных групп участников рынка. Это
придает импульс к будущему движению цены при поступлении какой-либо новой
информации и смещению цен в другой диапазон.
Множество уровней, с локальными максимумами/минимумами формируют формации
на разных временных промежутках, которые в свою очередь являются составными
элементами структуры ценовых колебаний. Подобные ценовые структуры присутствуют
одновременно в различных временных масштабах. Нахождение в одной формации
нескольких формаций мы рассматриваем через гипотезу фрактального рынка Э.
Петерса.
В определении структуры ценовых колебаний применяется вероятностный
подход. То есть мы отказываемся от идеи предсказания конкретных исходов и
предсказываем, что, вероятно, случится, зная заранее возможные исходы. Если
текущее движение цены находится в тренде, то вероятность продолжения движения в
этом же направлении выше, чем возможный разворот цены. Основными формациями в
ценовой структуре являются: переход уровня сопротивления/поддержки в
поддержку/сопротивление; трендовые линии; Двойное дно/вершина и Голова и плечи.
Практические исследования показывают, что составными элементами ценовой
структуры являются уровни поддержки/сопротивления и основанные на них ценовые
формации, так как они отражают действия участников рынка, которые заключаются в
восприятии и обработки поступающей новой информации и выборе модели поведения с
учётом текущих открытых позиций некоторых групп участников рынка. Подобные
ценовые фармации помогают выявлять тенденции и определять вероятностные
сценарии движения цены в будущем.
На основании рассмотренных нами в теоретической части работы элементов
технического анализа был создан метод совершения торговых операций с ценными
бумагами, который применялся на практике в течение 2011г. в ООО «Альфа Брокер
Капитал», являющемся профессиональным участником российского фондового рынка.
На его основе по итогам года был получен положительный финансовый результат
(доходность составила 202,4% годовых). Данный результат является достаточно
высоким
Вместе с тем, у данного метода совершения торговых операций есть и
недостатки. Для его успешного применения необходима высокая ликвидность в
используемом торговом инструменте, которых на российском рынке пока крайне
недостаточно. Кроме того, эффективность его применения будет снижаться при
увеличении объема средств в обороте.
Таким образом, данную методику можно признать успешной и рекомендовать ее
к применению на российском рынке ценных бумаг при совершении спекулятивных
сделок с относительно небольшой суммой средств в обороте на ликвидных
инструментах.
Перспективы проведения исследований на данную тему могут заключаться в
более детальном изучении механизмов образования ценовых уровней, в
сопоставлении различных групп участников рынка с их объёмами входящих или
выходящих денежных средств на тех или иных ценовых уровнях. Эту методику можно
будет доработать, включив в нее другие индикаторы технического анализа.
СПИСОК
ИСКПОЛЬЗУЕМЫХ ИСТОЧНИКОВ
1. Аппель
Дж. Технический анализ. Эффективные инструменты для активного инвестора. СПб.:
Питер, 2007. 302 c.
2. Балабушкин
А.Н. Опционы и фьючерсы. М.: Фондовая биржа РТС, 2004. 105 c.
. Беллафиоре,
Маайк. Один хороший трейд: скрытая информация о высококонкурентном мире
частного трейдинга. М.: СмартБук, И - трейд, 2012. 400 с.
. Бенсигнор
Р. Новое мышление в техническом анализе. М.: Интернет - трейдинг, 2002. 304 с.
. Бенсигнор
Р. Новое мышление в техническом анализе. М.: Интернет-трейдинг, 2002. 304 c.
. Бердникова
Т.Б. Оценка ценных бумаг: учеб.пособие. М.: ИНФРА - М, 2006. 144 c.
. Буренин
А.Н. Управление портфелем ценных бумаг. М.: Научно-техническое общество имени
академика С.И. Вавилова, 2008. 440 с.
. Буренин
А.Н. Форварды, фьючерсы, опционы, экзотические и погодные производные. М.: Научно
- техническое общество имени академика С.И. Вавилова, 2005. 540 с.
. Ван
К. Тарп, Брайан Джун. Внутридневной трейдинг: секреты мастерства. Пер. с англ.
М.: Альпина Паблишер, 2002. 399 с.
. Грант
К.Л. Управление рисками в трейдинге: как повысить прибыльность с помощью
контроля над рисками. Пер. с англ. М.: Мир, 2005. 349 с.
. Грегори
М. Японские свечи. Метод анализа акций и фьючерсов, проверенные временим. М.:
Альпина Паблишерз, 2007. 312 с.
. Григорьев
Д. Инвестиционные торговые технологии. СПб.: Питер, 2010. 312 с.
. Джон
К. Халл Опционы, фьючерсы и другие производные финансовые инструменты. М.:
Вильямс, 2008. 1024с.
. Зверьков
В.Г. Как заработать на рынке акций. СПб.: Вектор,2007. 336 с.
. Кан
М. Технический анализ.СПб.: Питер, 2003. 288 с.
. Карбовский
В.Ф. Новый подход к инвестированию на рынке акций. М.: Вершина, 2006. 218 с.
. Киндлберг
Ч., Алибер Р. Мировые финансовые кризисы. Мании, паники и крахи. СПб.: Питер,
2010. 544 с.
. Ковел
М. Биржевая торговля по трендам. Как заработать, наблюдая тенденции рынка.
СПб.: Питер, 2009. 325 с.
. Колби
Р.В., Мейерс Т.А. Энциклопедия технических индикаторов рынка. Пер. с англ. М.:
Альпина, 2000 581 с.
. Колби
Р.В., Мейерс Т.А. Энциклопедия технических индикаторов рынка: Пер. с англ.М.:
АЛЬПИНА, 2011, 581 с.
. Кондратьев
Н.Д. Большие циклы конъюнктуры и теория предвидения. М.: ЗАО «Издательство
«Экономика», 2011. 767 с.
. Ларс
Твид. Психология финансов. М.: «ИК «Аналитика», 2011. 376 с.
. Лофтон
Т. Основы торговли Фьючерсами. М.: Аналитика, 2001. 304 с.
. Макс
Гюнтер. Аксиомы биржевого спекулянта М.: Трейдинг& инвестиции, 2008. 210 с.
. Мандельборт
Б. Фрактальная геометрия природы. М.: Институт компьютерных исследований, 2002.
656 с.
. Мэрфи
Д.Д. Визуальный инвестор. Как определять тренды. М.: Диаграмма, 2004. 326 с.
. Мэрфи
Д.Д. Межрыночный технический анализ. М.: Диаграмма, 1999. 317 с.
. Мэрфи
Д.Д. Технический анализ фьючерсных рынков. М.: Диаграмма, 1998. 166 с.
. Найман
Э. Малая энциклопедия трейдера. М.: ВИРА - Р. Альфа Капитал, 1999. 236 с.
. Нисон
С. За гранью японских свечей. Новые японские методы графического анализа. М.:
Диаграмма, 2001. 304с.
. Патрик
Я., Чарльз С. Фьючерсы на акции: руководство трейдера. М.: Интернет -
трейдинг,2010. 272 с.
. Петерс
Э.Э. Фрактальный анализ финансовых рынков: Применение теории Хаоса в
инвестициях и экономике. М.: Интернет - трейдинг», 2004. 304 с.
. Пректер
Р., Фрост А. Д. Волновой принцип Эллиотта. Ключ к поведению рынка. М.: Альпина
Паблишер, 2001. 268 с.
. Рынок
ценных бумаг. Учебник / под ред. В.А. Галанов, А.И. Басов. М.: Финансы и
статистика, 2006. 448 с.
. Саймон
В. Инвестиции и трейдинг. Формирование индивидуального подхода к принятию
инвестиционных решений. М.: Альпина Бизнес Букс, 2006. 534 с.
. Сорос
Д. Алхимия финансов. М.: Инфра, 1996. 336 с.
. Стивен
Б.А. Полный набор инструментов торговли. От абсолютного индекса ширины до
японских свечей, М.: Инфра, 1999. 940 с.
. Тарп
В. Супертрейдер М.: Трейдинг& Инвестиции, 2010. 352 с.
. Твид
Л. Психология финансов. М.: ИК Аналитика,
2002. 376 с.
40. Технический
анализ для начинающих (Серия Reuters
для финансистов) / Пер. с англ. М.: Альпина Поаблишер, 2007. 184 с.
. Фейс
К. Трейдинг основанный на интуиции М.: Трейдинг& инвестиции, 2011. 240 с.
. Фридфертиг
М., Уэст Д. Электронная внитридневная торговля ценными бумагами. М.: ЗАО Олимп
- Бизнесс, 2001. 272 с.
. Шарп
У., Александер Г., Бэйли Д. Инвестиции. Пер. с англ. М.: Инфра-М, 2003. 1028 с.
. Швагер
Д. Технический анализ. Полный курс. М.: Альпина Паблишер, 2001. 768 с.
45. Экономический
анализ: учеб. / Г.В. Савицкая. 14-е изд., испр. и доп. М.: ИНФРА-М, 2011. 649
с.
46. Экономический
анализ: учеб.пособие / В.Г. Артеменко, Н.В. Анисимова. М.: КНОРУС, 2011. 288 с.
. Экономический
анализ: учеб.пособие / Л.Е. Романова, Л.В. Давыдова, Г.В. Коршунова. СПб.:
Питер, 2011. 336 с.
. Эрлих
А.А. Технический анализ товарных и финансовых рынков: Прикладное пособие. 2-е
изд. М.: ИНФРА-М, 1996. 176 с.
49. Янукян
М.Г. Практикум по рынку ценных бумаг. СПб.: Питер, 2006. 192 с.
50. CootnerP
. The Random Character of Stock Market Price. - Cambridge: MIT Press, 1964. 78 с.
51. Destouches
J.L., Mййthodeetmййthodologie de la science // Atti del
congresso di metodologia, Torino, 1952. 100 с.
52. Hamilton
W.P. The Stock Market Barometer: A Study Of Its Forecast Value Based On Charles
H. Dows Theory Of The Price Movement, With An Analysis Of The Market And Its
History Since 1897. NY: John Wiey and Sons, Inc., 2007. 514 с.
53. Nelson
S.A. The ABC of Stock Speculation. NY: Cosimo Classics, 2006. 321 с.
54. Алан
С. Фарлей Мастерство свинг - трейдинга.М.: ЕВРО, 2005. 704 c.
ПРИЛОЖЕНИЕА
Подробное описание индекса РТС
Таблица А.1 -
Описание индекса РТС
|
Наименованиеиндекса
|
ИндексРТС
|
|
Кодиндекса
|
RTSI
|
|
Код Bloomberg
|
RTSI$
|
|
Код Reuters
|
IRTS
|
|
Тип индекса
|
Взвешенный по капитализации
с учетом free - float
|
|
Количество акций в списке
|
50 обыкновенных и
привилегированных акций по состоянию на 15 июля 2005г.
|
|
Периодичность расчета
|
Каждые 15 секунд
|
|
Время расчета
|
(Московское время) Начиная
с 17.05.2010 г. - с 19:00 до 23:50 и с 10:00 до 18:45, в период с 02.11.2009
г. по 14.05.2010 - с 19:00 до 23:50 и с 10:30 до 18:45, с 28.08.2009 г. до
30.10.2009 г.- с 10:30 до 18:45, с 26.03.2007 г. по 27.08.2009 г.- с 10:30 до
18:00, с 25.07.2005 г. до 25.03.2007 г. - с 10:30 до 18:45, до 25.07.2005 г.-
с11:00 до 18:00.
|
|
Индекс открытия
|
Первое значение индекса за
день
|
|
Индекс закрытия
|
Последнее значение индекса
за день
|
|
Начало расчета
|
01 сентября 1995г.
|
|
Начальное значение
|
100
|
|
Начальная капитализация
|
$12 666 080 264
|
|
Формула расчета индекса
|
 -
начальное значение индекса,  ,  -
сумма рыночных капитализаций акций, выраженная в долларах США,  -
поправочный коэффициент
|
Формула
расчета капитализации
где 
-
поправочный коэффициент, учитывающий количество ценных бумаг i-того вида в
свободном обращении,

-
коэффициент, ограничивающий долю капитализации ценных бумаг i-того типа;

-
количество ценных бумаг соответствующего наименования, выпущенных эмитентом на
текущую дату,

- цена I
- той ценной бумаги в долларах США на расчетное время t,
|
N - число наименований
ценных бумаг в списке, по которому рассчитывается индекс
|
|
|
Ограничение на вес в
индексе акций одного эмитента
|
15%
|
|
Список акций для расчета
индекса
|
http://www.rts.ru/s288
|
|
Принцип составления списка
индекса
|
http://www.rts.ru/s375
|
|
Сроки изменения списка
индекса
|
С декабря 2010г. изменения
вступают в силу 16 марта, 16 июня, 16 сентября, 16 декабря. До декабря 2010г.
- 15 марта, 15 июня, 15 сентября, 15 декабря.
|
|
Методика расчета
|
http://fs.rts.ru/files/3978
|
|
Исторические значения
|
http://www.rts.ru/s284
|
|
Ограничение на вес в
индексе акций одного эмитента
|
15%
|
Таблица А.2 - Список акций для расчета Индекса РТС (действует с 16
декабря 2011 года по 15 марта 2012 года)
|
№
|
Код
|
Наименование
|
Количество выпущенных акций
|
Коэффициент, учитывающий
free-float (Wi), %
|
Коэффициент ограничивающий
вес акции (Ci)
|
Вес акции по сост. на
31.11.2011, %
|
|
1
|
AFKS
|
ОАО АФК Система, ао
|
9 650 000 000
|
12%
|
1
|
0,55%
|
|
2
|
AFLT
|
ОАО Аэрофлот, ао
|
1 110 616 299
|
39%
|
1
|
0,37%
|
|
3
|
AKRN
|
ОАО Акрон, ао
|
47 687 600
|
20%
|
1
|
0,25%
|
|
4
|
BANE
|
ОАО Башнефть, ао
|
170 169 754
|
14%
|
1
|
0,59%
|
|
5
|
BANEP
|
ОАО Башнефть, ап
|
34 622 686
|
100%
|
1
|
0,71%
|
|
6
|
BSPB
|
ОАО Банк Санкт-Петербург,
ао
|
282 150 000
|
28%
|
1
|
0,11%
|
|
7
|
CHMFS
|
ОАО Северсталь, ао
|
1 007 701 355
|
17%
|
1
|
1,24%
|
|
8
|
DIXY
|
ОАО ДИКСИ Групп, ао
|
124 750 000
|
33%
|
1
|
0,22%
|
|
9
|
EONR
|
ОАО Э.ОН Россия, ао
|
63 048 706 145
|
22%
|
1
|
0,53%
|
|
10
|
FEESS
|
ОАО ФСК ЕЭС, ао
|
1 255 948 128 393
|
21%
|
1
|
1,56%
|
|
11
|
GAZPS
|
ОАО Газпром, ао
|
23 673 512 900
|
46%
|
0,46
|
15,00%
|
|
12
|
GMKNS
|
ОАО ГМК Норильский никель,
ао
|
190 627 747
|
24%
|
1
|
4,24%
|
|
13
|
HYDRS
|
ОАО РусГидро, ао
|
290 302 702 379
|
30%
|
1
|
1,78%
|
|
14
|
IRAO
|
ОАО ИНТЕР РАО ЕЭС, ао
|
9 716 000 000 000
|
13%
|
1
|
0,73%
|
|
15
|
LKOHS
|
ОАО ЛУКОЙЛ, ао
|
850 563 255
|
57%
|
1
|
14,24%
|
|
16
|
LSRG
|
ОАО Группа ЛСР, ао
|
103 030 215
|
15%
|
1
|
0,14%
|
|
17
|
MAGNS
|
ОАО ММК, ао
|
11 174 330 000
|
5%
|
1
|
0,12%
|
|
18
|
MGNT
|
ОАО Магнит, ао
|
88 975 073
|
24%
|
1
|
1,00%
|
|
19
|
MRKH
|
ОАО Холдинг МРСК, ао
|
42 964 067 081
|
30%
|
1
|
0,66%
|
|
20
|
MSNG
|
ОАО Мосэнерго, ао
|
39 749 359 700
|
15%
|
1
|
0,21%
|
|
21
|
MSRS
|
ОАО Московская объединенная
электросетевая компания, ао
|
48 707 091 574
|
18%
|
1
|
0,23%
|
|
22
|
MSTT
|
ОАО МОСТОТРЕСТ, ао
|
282 215 500
|
30%
|
1
|
0,28%
|
|
23
|
MTLR
|
ОАО Мечел, ао
|
416 270 745
|
18%
|
1
|
0,37%
|
|
24
|
MTSSS
|
ОАО МТС, ао
|
2 066 413 562
|
12%
|
1
|
0,90%
|
|
25
|
MVID
|
ОАО Компания М.видео, ао
|
179 768 227
|
26%
|
1
|
0,16%
|
|
26
|
NLMKS
|
ОАО НЛМК, ао
|
5 993 227 240
|
14%
|
1
|
1,03%
|
|
27
|
NMTP
|
ОАО Новороссийский морской
торговый порт, ао
|
19 259 815 400
|
30%
|
1
|
0,31%
|
|
28
|
ОАО НОВАТЭК, ао
|
3 036 306 000
|
29%
|
1
|
6,38%
|
|
29
|
OGKAS
|
ОАО ОГК-1, ао
|
65 451 744 495
|
25%
|
1
|
0,21%
|
|
30
|
OGKB
|
ОАО ОГК-2, ао
|
32 734 568 382
|
40%
|
1
|
0,19%
|
|
31
|
OGKC
|
ОАО ОГК-3, ао
|
47 487 999 252
|
18%
|
1
|
0,13%
|
|
32
|
PHST
|
ОАО Фармстандарт, ао
|
37 792 603
|
18%
|
1
|
0,23%
|
|
33
|
PIKK
|
ОАО Группа Компаний ПИК, ао
|
493 260 384
|
31%
|
1
|
0,21%
|
|
34
|
RASP
|
ОАО Распадская, ао
|
780 799 808
|
20%
|
1
|
0,25%
|
|
35
|
ROSNS
|
ОАО НК Роснефть, ао
|
10 598 177 817
|
15%
|
1
|
6,07%
|
|
36
|
RTKMS
|
ОАО Ростелеком, ао
|
2 943 258 269
|
43%
|
1
|
3,48%
|
|
37
|
RUALR
|
ОАО Сбербанк России,
Юнайтед Компани РУСАЛ Плс, РДР на акции, 1:10
|
2 000 000 000
|
8%
|
1
|
0,62%
|
|
38
|
SBERS
|
ОАО Сбербанк России, ао
|
21 586 948 000
|
40%
|
1
|
12,89%
|
|
39
|
SBERPS
|
ОАО Сбербанк России, ап
|
1 000 000 000
|
100%
|
1
|
1,15%
|
|
40
|
SIBNS
|
ОАО Газпром нефть, ао
|
4 741 299 639
|
5%
|
1
|
0,55%
|
|
41
|
SNGSS
|
ОАО Сургутнефтегаз, ао
|
35 725 994 705
|
25%
|
1
|
4,49%
|
|
42
|
SNGSPS
|
ОАО Сургутнефтегаз, ап
|
7 701 998 235
|
73%
|
1
|
1,61%
|
|
43
|
TATNS
|
ОАО Татнефть им.В.Д.Шашина,
ао
|
2 178 690 700
|
32%
|
1
|
1,98%
|
|
44
|
TNBP
|
ОАО ТНК-BP Холдинг, ао
|
14 996 968 366
|
5%
|
1
|
1,00%
|
|
45
|
TNBPP
|
ОАО ТНК-BP Холдинг, ап
|
450 000 000
|
70%
|
1
|
0,40%
|
|
46
|
TRNFPS
|
ОАО АК Транснефть, ап
|
1 554 875
|
100%
|
1
|
1,35%
|
|
47
|
URKAS
|
ОАО Уралкалий, ао
|
3 094 637 905
|
45%
|
1
|
5,88%
|
|
48
|
VSMO
|
ОАО Корпорация
ВСМПО-АВИСМА, ао
|
11 529 538
|
29%
|
1
|
0,30%
|
|
49
|
VTBRS
|
ОАО Банк ВТБ, ао
|
10 460 541 337 338
|
25%
|
1
|
3,01%
|
|
50
|
VZRZ
|
ОАО Банк Возрождение, ао
|
23 748 694
|
38%
|
1
|
0,10%
|
ПРИЛОЖЕНИЕ Б
Сделки с использованием фьючерса на
индекс РТС
|
№
|
Дата
|
Время
|
Операция
|
Основание
|
Цена
|
Финансовый результат
|
|
1
|
21.12.2010
|
10:10
|
продажа
|
касание нисходящего тренда
|
174,6
|
|
|
2
|
22.12.1010
|
13:00
|
покупка
|
стоп.лосс
|
176,6
|
-2
|
|
3
|
27.12.2010
|
20:25:00
|
покупка
|
касание восходящего тренда
|
175,2
|
|
|
4
|
28.01.2011
|
17:33
|
продажа
|
|
177,2
|
2
|
|
5
|
30.12.2010
|
14:25:00
|
покупка
|
касание восходящего тренда
|
176,3
|
|
|
6
|
30.01.2011
|
10:25:00
|
продажа
|
|
180
|
3,7
|
|
7
|
14.01.2011
|
11:32:00
|
продажа
|
от линии сопротивления
|
188
|
|
|
8
|
18.01.2011
|
11:29:00
|
покупка
|
стоп.лосс
|
192
|
-4
|
|
9
|
19.01.2011
|
21:25:00
|
продажа
|
голова плечи
|
189,5
|
|
|
10
|
20.01.2011
|
11:33
|
покупка
|
|
187
|
2,5
|
|
11
|
20.01.2011
|
19:25:00
|
покупка
|
двойное дно
|
185
|
|
|
12
|
24.01.2011
|
17:25:00
|
продажа
|
стоп.лосс
|
184
|
-1
|
|
13
|
31.01.2011
|
10:25:00
|
покупка
|
двойное дно
|
183
|
|
|
14
|
01.02.2011
|
19:30
|
продажа
|
от линии сопротивления
|
190
|
|
|
15
|
03.02.2011
|
11:22
|
покупка
|
стоп.лосс
|
194
|
-4
|
|
16
|
08.02.2011
|
12:25:00
|
продажа
|
двойная вершина
|
194
|
|
|
17
|
08.02.2011
|
19:14:00
|
покупка
|
|
189
|
5
|
|
18
|
09.02.2011
|
10:33:00
|
покупка
|
|
189
|
|
|
19
|
10.02.2011
|
11:44:00
|
продажа
|
стоп.лосс
|
186
|
-3
|
|
20
|
10.02.2011
|
18:25:00
|
покупка
|
уровень поддержки
|
183,5
|
|
|
21
|
14.02.2012
|
10:22:00
|
продажа
|
|
189
|
5,5
|
|
22
|
15.02.2011
|
23:25:00
|
покупка
|
уровень поддержки
|
183,5
|
|
|
23
|
17.02.2012
|
11:25:00
|
продажа
|
|
188
|
4,5
|
|
24
|
17.02.2011
|
11:25:00
|
продажа
|
уровень сопротивления
|
188
|
|
|
25
|
18.02.2012
|
13:43:00
|
покупка
|
|
183,5
|
4,5
|
|
26
|
18.02.2011
|
13:25:00
|
покупка
|
уровень поддержки
|
183,5
|
|
|
27
|
21.02.2012
|
0:00:00
|
продажа
|
|
188
|
4,5
|
|
28
|
21.02.2011
|
18:25:00
|
продажа
|
уровень сопротивления
|
188
|
|
|
29
|
22.02.2012
|
12:25:00
|
покупка
|
|
183,5
|
4,5
|
|
30
|
22.02.2011
|
12:25:00
|
покупка
|
уровень поддержки
|
183,5
|
24.02.2012
|
16:32:00
|
продажа
|
|
188
|
4,5
|
|
32
|
24.02.2011
|
16:25:00
|
продажа
|
уровень сопротивления
|
188
|
|
|
33
|
24.02.2011
|
23:45:00
|
покупка
|
стоп.лосс
|
189
|
-1
|
|
34
|
05.03.2011
|
20:25:00
|
продажа
|
уровень сопротивления
|
202,2
|
|
|
35
|
09.03.2012
|
19:44:00
|
покупка
|
|
198,5
|
3,7
|
|
36
|
09.03.2011
|
19:25:00
|
покупка
|
уровень поддержки
|
198,5
|
|
|
37
|
10.03.2011
|
10:25:00
|
продажа
|
стоп.лосс
|
197,5
|
-1
|
|
38
|
10.03.2011
|
19:30:00
|
покупка
|
от линии тренда
|
194
|
|
|
39
|
11.03.2011
|
11:11:00
|
продажа
|
стоп.лосс
|
192
|
-2
|
|
40
|
15.03.2011
|
10:44:00
|
покупка
|
двойное дно
|
190,5
|
|
|
41
|
15.03.2011
|
14:55:00
|
продажа
|
стоп.лосс
|
188
|
-2,5
|
|
42
|
16.03.2011
|
18:25:00
|
покупка
|
от линии тренда
|
184
|
|
|
43
|
16.03.2011
|
20:21:00
|
продажа
|
стоп.лосс
|
182
|
-2
|
|
44
|
16.03.2011
|
20:21:00
|
покупка
|
двойное дно
|
182
|
|
|
45
|
17.03.2011
|
13:43:00
|
продажа
|
|
183
|
1
|
|
46
|
05.04.2011
|
11:23:00
|
продажа
|
вдойная вершина
|
205
|
|
|
47
|
06.04.2011
|
14:00:00
|
покупка
|
стоп.лосс
|
207
|
-2
|
|
48
|
16.04.2011
|
23:12:00
|
покупка
|
от линии поддержки
|
189
|
|
|
49
|
18.04.2011
|
10:00:00
|
продажа
|
|
190
|
1
|
|
50
|
23.03.2011
|
11:32:00
|
покупка
|
от линии тренда
|
188
|
|
|
51
|
23.03.2011
|
19:00:00
|
продажа
|
|
195
|
7
|
|
52
|
29.03.2011
|
17:17:00
|
покупка
|
от линии тренда
|
196
|
|
|
53
|
31.03.2011
|
11:00:00
|
продажа
|
|
200
|
4
|
|
54
|
31.03.2011
|
23:52:00
|
покупка
|
от линии тренда
|
198
|
|
|
55
|
01.04.2011
|
19:18:00
|
продажа
|
|
204
|
6
|
|
56
|
07.04.2011
|
13:38:00
|
покупка
|
от линии тренда
|
203
|
|
|
57
|
07.04.2011
|
17:20:00
|
продажа
|
|
206
|
3
|
|
58
|
11.04.2011
|
14:20:00
|
покупка
|
от линии тренда
|
206
|
|
|
59
|
11.04.2011
|
23:43:00
|
продажа
|
стоп.лосс
|
205
|
-1
|
|
60
|
13.04.2011
|
21:11:00
|
покупка
|
уровень поддержки
|
200
|
|
|
61
|
14.04.2011
|
14:14:00
|
продажа
|
стоп.лосс
|
197
|
-3
|
|
62
|
14.04.2011
|
17:29:00
|
покупка
|
от линии тренда
|
196
|
|
|
63
|
18.04.2011
|
10:22:00
|
продажа
|
|
198
|
2
|
|
64
|
18.04.2011
|
10:22:00
|
продажа
|
пробой тренда
|
198
|
|
|
65
|
18.04.2011
|
23:30:00
|
покупка
|
|
190
|
8
|
|
66
|
18.04.2011
|
23:30:00
|
покупка
|
от линии поддержки
|
190
|
|
|
67
|
18.04.2011
|
23:49:00
|
продажа
|
|
191
|
1
|
|
68
|
20.04.2011
|
15:33:00
|
продажа
|
от линии сопротивления
|
199
|
|
|
69
|
21.04.2011
|
10:00:00
|
покупка
|
стоп.лосс
|
201
|
-2
|
|
70
|
21.04.2011
|
10:23:00
|
продажа
|
от линии сопротивления
|
202
|
|
|
71
|
21.04.2011
|
10:33:00
|
покупка
|
|
201
|
1
|
|
72
|
22.04.2011
|
14:18:00
|
продажа
|
от линии сопротивления
|
202
|
|
|
73
|
25.04.2011
|
13:19:00
|
покупка
|
стоп.лосс
|
204
|
-2
|
|
74
|
25.04.2011
|
18:18:00
|
покупка
|
от линии поддержки
|
197,5
|
|
|
75
|
27.04.2011
|
10:22:00
|
продажа
|
|
201,5
|
4
|
|
76
|
27.04.2011
|
10:22:00
|
продажа
|
от линии сопротивления
|
201,5
|
|
|
77
|
27:04.2011
|
18:37:00
|
покупка
|
|
196,5
|
5
|
|
78
|
27:04.2011
|
18:37:00
|
покупка
|
от линии поддержки
|
196,5
|
|
|
79
|
28.04.2011
|
10:23:00
|
продажа
|
|
202,5
|
6
|
|
80
|
28.04.2011
|
10:23:00
|
продажа
|
от линии сопротивления
|
202,5
|
|
|
81
|
29.04.2011
|
10:19:00
|
покупка
|
|
197,5
|
5
|
|
82
|
29.04.2011
|
10:19:00
|
покупка
|
от линии поддержки
|
197,5
|
|
|
83
|
29.04.2011
|
23:40:00
|
продажа
|
|
201,5
|
4
|
|
84
|
29.04.2011
|
23:40:00
|
продажа
|
от линии сопротивления
|
201,5
|
|
|
85
|
03.05.2011
|
22:20:00
|
покупка
|
|
192
|
9,5
|
|
86
|
04.05.2011
|
13:12:00
|
продажа
|
от линии нисходящего тренда
|
195
|
|
|
87
|
04.05.2011
|
21:29:00
|
покупка
|
|
189
|
|
88
|
04.05.2011
|
21:29:00
|
покупка
|
от линии поддержки
|
189
|
|
|
89
|
05.05.2011
|
10:24:00
|
продажа
|
|
192,5
|
3,5
|
|
90
|
05.05.2011
|
10:24:00
|
продажа
|
от линии нисходящего тренда
|
192,5
|
|
|
91
|
05.05.2011
|
23:11:00
|
покупка
|
|
185
|
7,5
|
|
92
|
06.05.2011
|
13:22:00
|
продажа
|
отлини нисходящего тренда
|
188
|
|
|
93
|
06.05.2011
|
17:21:00
|
покупка
|
стоп.лосс
|
190
|
-2
|
|
94
|
11.05.2011
|
14:12:00
|
продажа
|
от линии нисходящего тренда
|
193,5
|
|
|
95
|
12.05.2011
|
14:44:00
|
покупка
|
|
182
|
11,5
|
|
96
|
12.05.2011
|
14:44:00
|
покупка
|
от линии поддержки
|
182
|
|
|
97
|
12.05.2011
|
12:43:00
|
продажа
|
|
185
|
3
|
|
98
|
16.05.2011
|
14:22:00
|
покупка
|
от линии поддержки
|
180
|
|
|
99
|
16.05.2011
|
19:00:00
|
продажа
|
|
184
|
4
|
|
100
|
17.05.2011
|
17:05:00
|
покупка
|
от линии поддержки
|
180
|
|
|
101
|
18.05.2011
|
10:00:00
|
продажа
|
|
184
|
4
|
|
102
|
18.05.2011
|
17:22:00
|
покупка
|
от линии поддержки
|
182
|
|
|
103
|
20.05.2011
|
10:30:00
|
продажа
|
|
186
|
4
|
|
104
|
20.05.2011
|
10:30:00
|
продажа
|
от линии нисходящего тренда
|
186
|
|
|
105
|
24.05.2011
|
10:25:00
|
покупка
|
|
175,5
|
10,5
|
|
106
|
24.05.2011
|
10:25:00
|
покупка
|
от линии восходящего тренда
|
175,5
|
|
|
107
|
25.05.2011
|
19:56:00
|
продажа
|
|
180
|
4,5
|
|
108
|
26.05.2011
|
19:24:00
|
покупка
|
от линии восходящего тренда
|
179
|
|
|
109
|
27.05.2011
|
12:14:00
|
продажа
|
|
184
|
5
|
|
110
|
01.06.2011
|
20:00:00
|
покупка
|
от линии восходящего тренда
|
186
|
|
|
111
|
01.06.2011
|
23:40:00
|
продажа
|
стоп.лосс
|
184
|
-2
|
|
112
|
15.06.2011
|
16:12:00
|
продажа
|
от линии тренда
|
192
|
|
|
113
|
15.06.2011
|
20:54
|
покупка
|
|
188
|
4
|
|
114
|
15.06.2011
|
20:54
|
покупка
|
|
188
|
|
|
115
|
15.06.2011
|
22:13
|
продажа
|
стоп. Лосс
|
186
|
-2
|
|
116
|
24.06.2011
|
13:55:00
|
продажа
|
от линии тренда
|
184
|
|
|
117
|
27.06.2011
|
17:21:00
|
покупка
|
|
179,5
|
4,5
|
|
118
|
01.07.2011
|
12:32:00
|
покупка
|
от линии тренда
|
188
|
|
|
119
|
01.07.2011
|
14:12
|
продажа
|
|
192
|
4
|
|
120
|
06.07.2011
|
11:43:00
|
продажа
|
от линии сопротивления
|
195
|
|
|
121
|
06.07.2011
|
12:25:00
|
покупка
|
|
191,5
|
3,5
|
|
122
|
07.07.2011
|
12:25:00
|
продажа
|
от линии сопротивления
|
194,5
|
|
|
123
|
07.07.2011
|
17:31:00
|
покупка
|
стоп. Лосс
|
196,5
|
-2
|
|
124
|
08.07.2011
|
17:02:00
|
покупка
|
от уровня поддержки
|
194
|
|
|
125
|
11.07.2011
|
11:31:00
|
продажа
|
стоп. Лосс
|
193
|
-1
|
|
126
|
11.07.2011
|
19:03:00
|
покупка
|
от уровня поддержки
|
190
|
|
|
127
|
12.07.2011
|
11:15:00
|
продажа
|
стоп. Лосс
|
188
|
-2
|
|
128
|
12.07.2011
|
17:33:00
|
покупка
|
от уровня сопротивления
|
190
|
|
|
129
|
13,07.2011
|
13:33:00
|
продажа
|
стоп. Лосс
|
192
|
2
|
|
130
|
14.07.2011
|
17:42:00
|
продажа
|
от линии сопротивления
|
194,5
|
|
|
131
|
14.07.2011
|
21:55:00
|
покупка
|
|
190,5
|
4
|
|
132
|
18.07.2011
|
20:32:00
|
покупка
|
от линии тренда
|
189
|
|
|
133
|
20.07.2011
|
15:32:00
|
продажа
|
|
194
|
5
|
|
134
|
21.07.2011
|
18:00:00
|
продажа
|
от линии сопротивления
|
194
|
|
|
135
|
21:07.2011
|
18:40:00
|
покупка
|
стоп. Лосс
|
196
|
-2
|
|
136
|
25.07.2011
|
10:25:00
|
покупка
|
от линии сопротивления
|
194,5
|
|
|
137
|
27.07.2011
|
15:38:00
|
продажа
|
|
200
|
5,5
|
|
138
|
28.07.2011
|
10:11:00
|
покупка
|
от линии тренда
|
195,5
|
|
|
139
|
28.07.2011
|
19:54:00
|
продажа
|
|
198
|
2,5
|
|
140
|
01.08.2011
|
14:53:00
|
продажа
|
от линии сопротивления
|
200
|
|
|
141
|
01.08.2011
|
20:25:00
|
покупка
|
|
197
|
3
|
|
142
|
02.08.2011
|
11:13:00
|
покупка
|
от линии поддержки
|
196
|
|
|
143
|
02.08.2011
|
19:34:00
|
продажа
|
стоп. Лосс
|
193
|
-3
|
|
144
|
03.08.2011
|
19:05:00
|
покупка
|
от линии поддержки
|
188
|
04.08.2011
|
14:11:00
|
продажа
|
стоп. Лосс
|
186
|
-2
|
|
146
|
09.08.2011
|
14:25:00
|
покупка
|
от линии поддержки
|
150
|
|
|
147
|
10.08.2011
|
11:22:00
|
продажа
|
|
166
|
16
|
|
148
|
11.08.2011
|
16:43:00
|
покупка
|
от линии тренда
|
144
|
|
|
149
|
15.08.2011
|
18:12:00
|
продажа
|
|
166
|
22
|
|
150
|
17.08.2011
|
18:25:00
|
продажа
|
от линии сопротивления
|
167
|
|
|
151
|
19.08.2011
|
15:55:00
|
покупка
|
|
149
|
18
|
|
152
|
25.08.2011
|
18:12:00
|
продажа
|
от линии сопротивления
|
162
|
|
|
153
|
26.08.2011
|
18:23:00
|
покупка
|
|
154
|
8
|
|
154
|
01.09.2011
|
19:24:00
|
продажа
|
от линии тренда
|
169
|
|
|
155
|
06.09.2011
|
10:42:00
|
покупка
|
|
158
|
11
|
|
156
|
06.09.2011
|
17:51:00
|
покупка
|
от линии тренда
|
158
|
|
|
157
|
07.09.2011
|
23:22:00
|
продажа
|
|
167
|
9
|
|
158
|
08.09.2011
|
19:24:00
|
продажа
|
от линии тренда
|
167
|
|
|
159
|
09.09.2011
|
18:22
|
покупка
|
|
160
|
7
|
|
160
|
13.09.2011
|
13:21:00
|
покупка
|
от линии тренда
|
154
|
|
|
161
|
13.09.2011
|
17:19:00
|
продажа
|
|
158
|
4
|
|
162
|
19.09.2011
|
12:20:00
|
покупка
|
от уровня поддержки
|
150
|
|
|
163
|
19.09.2011
|
18:00:00
|
продажа
|
стоп. Лосс
|
148
|
-2
|
|
164
|
21.09.2011
|
22:25:00
|
продажа
|
касание нисходящего тренда
|
151,5
|
|
|
165
|
22.09.2011
|
20:00:00
|
покупка
|
|
130
|
21,5
|
|
166
|
22.09.2011
|
20:00:00
|
покупка
|
от уровня поддержки
|
130
|
|
|
167
|
22.09.2011
|
20:54:00
|
продажа
|
стоп. Лосс
|
126
|
-4
|
|
168
|
06.10.2011
|
22:12:00
|
продажа
|
касание нисходящего тренда
|
128
|
|
|
169
|
07.10.2011
|
10:32:00
|
покупка
|
стоп. Лосс
|
130
|
-2
|
|
170
|
07.10.2011
|
21:25:00
|
покупка
|
пробой нисходящего тренда
|
128
|
|
|
171
|
10.10.2011
|
10:32:00
|
продажа
|
|
133,5
|
5,5
|
|
172
|
13.10.2011
|
12:34:00
|
продажа
|
двойная вершина
|
141,5
|
|
|
173
|
14.10.2011
|
14:32:00
|
покупка
|
стоп. Лосс
|
144
|
-2,5
|
|
174
|
18.10.2011
|
13:11:00
|
покупка
|
двойное дно
|
137
|
|
|
175
|
18.10.2011
|
17:23:00
|
продажа
|
|
142
|
5
|
|
176
|
21.10.2011
|
18:30:00
|
продажа
|
от линии сопротивления
|
144
|
|
|
177
|
24.10.2011
|
10:33:00
|
покупка
|
стоп. Лосс
|
146
|
-2
|
|
178
|
26.10.2011
|
14:14:00
|
продажа
|
двойная вершина
|
152
|
|
|
179
|
26.10.2011
|
18:45:00
|
покупка
|
стоп. Лосс
|
154
|
-2
|
|
180
|
03.11.2011
|
10:44:00
|
покупка
|
двойное дно
|
146
|
|
|
181
|
03.11.2011
|
16:21:00
|
продажа
|
|
150
|
4
|
|
182
|
16.11.2011
|
22:23:00
|
продажа
|
от нисходящей линии тренда
|
153
|
|
|
183
|
21.11.2011
|
19:43:00
|
покупка
|
|
140
|
13
|
|
184
|
02.12.2011
|
10:11:00
|
покупка
|
линия поддержки
|
153
|
|
|
185
|
02.12.2011
|
13:33:00
|
продажа
|
|
157
|
4
|
|
186
|
02.12.2011
|
23:59:00
|
покупка
|
линия поддержки
|
153
|
|
|
187
|
05.12.2011
|
20:11:00
|
продажа
|
|
157
|
4
|
|
188
|
05.12.2011
|
20:11:00
|
продажа
|
линия сопротивления
|
157
|
|
|
189
|
06.12.2011
|
10:14:00
|
покупка
|
|
153
|
4
|
|
190
|
06.12.2011
|
10:14:00
|
покупка
|
линия поддержки
|
153
|
|
|
191
|
06.12.2011
|
14:25:00
|
продажа
|
стоп. Лосс
|
152
|
-1
|
|
192
|
06.12.2011
|
20:32:00
|
покупка
|
линия поддержки
|
145
|
|
|
193
|
08.12.2011
|
18:25:00
|
продажа
|
|
150
|
5
|
|
194
|
08.12.2011
|
18:25:00
|
продажа
|
линия сопротивления
|
150
|
|
|
195
|
13.12.2011
|
13:40:00
|
покупка
|
|
135
|
15
|
|
Итого: (тыс. пунктов)
|
|
|
|
|
|
323,9
|
|
Итого годовых: (%)
|
|
|
|
|
|
202,4
|