Моделирование и статистическая обработка выборки
МИНИСТЕРСТВО
ОБРАЗОВАНИЯ И НАУКИ РОССИЙСКОЙ ФЕДЕРАЦИИ
ФЕДЕРАЛЬНОЕ
АГЕНТСТВО ПО ОБРАЗОВАНИЮ
Сибирский
федеральный университет
Экономический
факультет
Лабораторная
работа
«Моделирование
и статистическая обработка выборки»
Выполнила:
Студентка группы
Э-14
Казакова Е.Е.
Проверил:
А.Ю. Ворожейкин
Красноярск,
2010
Получение выборки объема n нормального
распределения случайной величины
Метод получения: моделирование в Excel.
Число случайных чисел: n=100+35
Распределение: нормальное
Параметры:
среднее значение = 5 (последняя цифра номера
зачетки)
стандартное отклонение = 3 (предпоследняя цифра
номера зачетки)
|
n
|
x
|
|
1
|
6,00206
|
|
2
|
3,656426
|
|
3
|
5,564779
|
|
4
|
3,101637
|
|
5
|
0,791327
|
|
6
|
9,882363
|
|
7
|
11,4569
|
|
8
|
6,330648
|
|
9
|
5,613677
|
|
10
|
3,995515
|
|
11
|
6,293022
|
|
12
|
6,169926
|
|
13
|
10,76837
|
|
14
|
9,85411
|
|
15
|
4,362865
|
|
16
|
6,747642
|
|
17
|
5,140619
|
|
18
|
10,47754
|
|
19
|
6,273656
|
|
20
|
2,808584
|
|
21
|
6,440701
|
|
22
|
9,253338
|
|
23
|
6,96927
|
|
24
|
2,799587
|
|
25
|
6,851215
|
|
26
|
3,996484
|
|
27
|
4,82537
|
|
28
|
3,41016
|
|
29
|
3,256707
|
|
30
|
8,146467
|
|
31
|
5,000573
|
|
32
|
2,435211
|
|
33
|
5,030177
|
|
34
|
10,30567
|
|
35
|
2,859218
|
|
36
|
5,692407
|
|
37
|
1,133492
|
|
38
|
-0,72952
|
|
39
|
9,165522
|
|
40
|
5,90718
|
|
41
|
6,578496
|
|
42
|
5,110067
|
|
43
|
5,332875
|
|
44
|
5,690047
|
|
45
|
8,73891
|
|
46
|
5,830356
|
|
47
|
2,827721
|
|
48
|
5,893016
|
|
49
|
4,785354
|
|
50
|
0,475055
|
|
51
|
7,737406
|
|
52
|
4,410907
|
|
53
|
1,26757
|
|
54
|
7,77274
|
|
55
|
1,459874
|
|
56
|
1,816698
|
|
57
|
0,88797
|
|
58
|
4,411841
|
|
59
|
7,532197
|
|
60
|
4,171076
|
|
61
|
3,075205
|
|
62
|
7,276204
|
|
63
|
2,677623
|
|
64
|
3,741896
|
|
65
|
8,613945
|
|
66
|
3,346416
|
|
67
|
1,942829
|
|
68
|
1,833969
|
|
69
|
4,837785
|
|
70
|
8,862306
|
|
71
|
7,991558
|
|
72
|
4,917027
|
|
73
|
4,040065
|
|
74
|
-0,61437
|
|
75
|
2,594036
|
|
76
|
4,698277
|
|
77
|
1,60402
|
|
78
|
-1,31753
|
|
79
|
6,972687
|
|
80
|
6,114408
|
|
81
|
4,370375
|
|
82
|
-0,5045
|
|
83
|
7,902691
|
|
84
|
6,116376
|
|
85
|
5,721664
|
|
86
|
-0,79631
|
|
87
|
0,706144
|
|
88
|
7,832746
|
|
89
|
5,56805
|
|
90
|
6,800397
|
|
91
|
4,233842
|
|
92
|
5,636429
|
|
93
|
2,133741
|
|
94
|
2,746381
|
|
95
|
4,348776
|
|
96
|
8,569301
|
|
97
|
5,48787
|
|
98
|
2,473697
|
|
99
|
9,18851
|
|
100
|
4,175367
|
|
101
|
0,663525
|
|
102
|
3,003029
|
|
103
|
9,832978
|
|
104
|
10,0513
|
|
105
|
7,938816
|
|
106
|
4,743686
|
|
107
|
3,169283
|
|
108
|
6,576389
|
|
109
|
5,785616
|
|
110
|
6,138296
|
|
111
|
7,232071
|
|
112
|
5,58348
|
|
113
|
3,285966
|
|
114
|
3,695382
|
|
115
|
5,509278
|
|
116
|
5,526048
|
|
117
|
4,198699
|
|
118
|
0,032877
|
|
119
|
3,630243
|
|
120
|
4,28849
|
|
121
|
0,684943
|
|
122
|
8,962755
|
|
123
|
6,082014
|
|
124
|
-1,07557
|
|
125
|
7,787194
|
|
126
|
-2,4313
|
|
127
|
9,320227
|
|
128
|
5,448611
|
|
129
|
5,836795
|
|
130
|
6,839848
|
|
131
|
6,21837
|
|
132
|
2,483171
|
|
133
|
5,164974
|
|
134
|
4,436623
|
|
135
|
4,688359
|
Нахождение числовых характеристик выборки
Выборочное среднее:
Выборочная дисперсия:
Исправленная выборочная дисперсия:
Среднеквадратичное отклонение:
Исправленное среднеквадратичное
отклонение:
Выборочные начальные моменты порядка
2,3,4:
Выборочные центральные моменты
порядка 3,4:
Выборочный коэффициент асимметрии:
Выборочный коэффициент эксцесса:
Выборочная мода:
Выборочная медиана:
Выборочные квантили порядка
0.1,0.2,0.3,0.4,0.5,0.6,0.7,0.8,0.9:
Графическое представление выборки
Группировка данных:
Вариационный ряд:
|
n
|
x
|
|
1
|
-2,4313
|
|
2
|
-1,3175
|
|
3
|
-1,0756
|
|
4
|
-0,7963
|
|
5
|
-0,7295
|
|
6
|
-0,6144
|
|
7
|
|
8
|
0,03288
|
|
9
|
0,47506
|
|
10
|
0,66353
|
|
11
|
0,68494
|
|
12
|
0,70614
|
|
13
|
0,79133
|
|
14
|
0,88797
|
|
15
|
1,13349
|
|
16
|
1,26757
|
|
17
|
1,45987
|
|
18
|
1,60402
|
|
19
|
1,8167
|
|
20
|
1,83397
|
|
21
|
1,94283
|
|
22
|
2,13374
|
|
23
|
2,43521
|
|
24
|
2,4737
|
|
25
|
2,48317
|
|
26
|
2,59404
|
|
27
|
2,67762
|
|
28
|
2,74638
|
|
29
|
2,79959
|
|
30
|
2,80858
|
|
31
|
2,82772
|
|
32
|
2,85922
|
|
33
|
3,00303
|
|
34
|
3,07521
|
|
35
|
3,10164
|
|
36
|
3,16928
|
|
37
|
3,25671
|
|
38
|
3,28597
|
|
39
|
3,34642
|
|
40
|
3,41016
|
|
41
|
3,63024
|
|
42
|
3,65643
|
|
43
|
3,69538
|
|
44
|
3,7419
|
|
45
|
3,99552
|
|
46
|
3,99648
|
|
47
|
4,04007
|
|
48
|
4,17108
|
|
49
|
4,17537
|
|
50
|
4,1987
|
|
51
|
4,23384
|
|
52
|
4,28849
|
|
53
|
4,34878
|
|
54
|
4,36287
|
|
55
|
4,37038
|
|
56
|
4,41091
|
|
57
|
4,41184
|
|
58
|
4,43662
|
|
59
|
4,68836
|
|
60
|
4,69828
|
|
61
|
4,74369
|
|
62
|
4,78535
|
|
63
|
4,82537
|
|
64
|
4,83779
|
|
65
|
4,91703
|
|
66
|
5,00057
|
|
67
|
5,03018
|
|
68
|
5,11007
|
|
69
|
5,14062
|
|
70
|
5,16497
|
|
71
|
5,33288
|
|
72
|
5,44861
|
|
73
|
5,48787
|
|
74
|
5,50928
|
|
75
|
5,52605
|
|
76
|
5,56478
|
|
77
|
5,56805
|
|
78
|
5,58348
|
|
79
|
5,61368
|
|
80
|
5,63643
|
|
81
|
5,69005
|
|
82
|
5,69241
|
|
83
|
5,72166
|
|
84
|
5,78562
|
|
85
|
5,83036
|
|
86
|
5,8368
|
|
87
|
5,89302
|
|
88
|
5,90718
|
|
89
|
6,00206
|
|
90
|
6,08201
|
|
91
|
6,11441
|
|
92
|
6,11638
|
|
93
|
6,1383
|
|
94
|
6,16993
|
|
95
|
6,21837
|
|
96
|
6,27366
|
|
97
|
6,29302
|
|
98
|
6,33065
|
|
99
|
6,4407
|
|
100
|
6,57639
|
|
101
|
6,5785
|
|
102
|
6,74764
|
|
103
|
6,8004
|
|
104
|
6,83985
|
|
105
|
6,85122
|
|
106
|
6,96927
|
|
107
|
6,97269
|
|
108
|
7,23207
|
|
109
|
7,2762
|
|
110
|
7,5322
|
|
111
|
7,73741
|
|
112
|
7,77274
|
|
113
|
7,78719
|
|
114
|
7,83275
|
|
115
|
7,90269
|
|
116
|
7,93882
|
|
117
|
7,99156
|
|
118
|
8,14647
|
|
119
|
8,5693
|
|
120
|
8,61395
|
|
121
|
8,73891
|
|
122
|
8,86231
|
|
123
|
8,96276
|
|
124
|
9,16552
|
|
125
|
9,18851
|
|
126
|
9,25334
|
|
127
|
9,32023
|
|
128
|
9,83298
|
|
129
|
9,85411
|
|
130
|
9,88236
|
|
131
|
10,0513
|
|
132
|
10,3057
|
|
133
|
10,4775
|
|
134
|
10,7684
|
|
135
|
11,4569
|
Группировка выборки
Размах выборки
Размах выборки R - разность между максимальным и
минимальным значениями элементов выборки:
Число интервалов:
Число интервалов k находится из
условия 

Длина интервала
Длина интервала h находится по
формуле:
Группированный ряд:
|
Интервалы  
|
|
|
|
|
|
|
|
1
|
[-2,4313;-0,69528)
|
5
|
0,037037
|
|
0,021334
|
0,037037
|
|
2
|
[-0,69528;
1,04075)
|
9
|
0,066667
|
|
0,038402
|
0,103704
|
|
3
|
[1,04075;
2,776775)
|
14
|
0,103704
|
|
0,059736
|
0,207408
|
|
4
|
[2,776775;
4,5128)
|
30
|
0,222222
|
|
0,128006
|
0,42963
|
|
5
|
[4,5128;
6,248825)
|
37
|
0,274074
|
|
0,157874
|
0,703704
|
|
6
|
[6,248825;
7,98485)
|
21
|
0,155556
|
|
0,089604
|
0,85926
|
|
7
|
[7,98485;
9,720875)
|
11
|
0,081481
|
|
0,046936
|
0,940741
|
|
8
|
[9,720875;
11,4569]
|
8
|
0,059259
|
|
0,034135
|
1
|
Гистограмма частот:
Полигон частот:
Кумулята:
Эмпирическая функция распределения:
|
0
|
,
|
|
|
x
|
≤
|
-2,4313
|
|
0,007407407
|
,
|
-2,4313
|
<
|
x
|
≤
|
-1,3175
|
|
0,014814815
|
,
|
-1,3175
|
<
|
x
|
≤
|
-1,0756
|
|
0,022222222
|
,
|
-1,0756
|
<
|
x
|
≤
|
-0,7963
|
,
|
-0,7963
|
<
|
x
|
≤
|
-0,7295
|
|
0,037037037
|
,
|
-0,7295
|
<
|
x
|
≤
|
-0,6144
|
|
0,044444444
|
,
|
-0,6144
|
<
|
x
|
≤
|
-0,5045
|
|
0,051851852
|
,
|
-0,5045
|
<
|
x
|
≤
|
0,03288
|
|
0,059259259
|
,
|
0,03288
|
<
|
x
|
≤
|
0,47506
|
|
0,066666667
|
,
|
0,47506
|
<
|
x
|
≤
|
0,66353
|
|
0,074074074
|
,
|
0,66353
|
<
|
x
|
≤
|
0,68494
|
|
0,081481481
|
,
|
0,68494
|
<
|
x
|
≤
|
0,70614
|
|
0,088888889
|
,
|
0,70614
|
<
|
x
|
≤
|
0,79133
|
|
0,096296296
|
,
|
0,79133
|
<
|
x
|
≤
|
0,88797
|
|
0,103703704
|
,
|
0,88797
|
<
|
x
|
≤
|
1,13349
|
|
0,111111111
|
,
|
1,13349
|
<
|
x
|
≤
|
1,26757
|
|
0,118518519
|
,
|
1,26757
|
<
|
x
|
≤
|
1,45987
|
|
0,125925926
|
,
|
1,45987
|
<
|
x
|
≤
|
1,60402
|
|
0,133333333
|
,
|
1,60402
|
<
|
x
|
≤
|
1,8167
|
|
0,140740741
|
,
|
1,8167
|
<
|
x
|
≤
|
1,83397
|
|
0,148148148
|
,
|
1,83397
|
<
|
x
|
≤
|
1,94283
|
|
0,155555556
|
,
|
1,94283
|
<
|
x
|
≤
|
2,13374
|
|
0,162962963
|
,
|
2,13374
|
<
|
x
|
≤
|
2,43521
|
|
0,17037037
|
,
|
2,43521
|
<
|
x
|
≤
|
2,4737
|
|
0,177777778
|
,
|
2,4737
|
<
|
x
|
≤
|
2,48317
|
|
0,185185185
|
,
|
2,48317
|
<
|
x
|
≤
|
2,59404
|
|
0,192592593
|
,
|
2,59404
|
<
|
x
|
≤
|
2,67762
|
|
0,2
|
,
|
2,67762
|
<
|
x
|
≤
|
2,74638
|
|
0,207407407
|
,
|
2,74638
|
<
|
x
|
≤
|
2,79959
|
|
0,214814815
|
,
|
2,79959
|
<
|
x
|
≤
|
2,80858
|
|
0,222222222
|
,
|
2,80858
|
<
|
x
|
≤
|
2,82772
|
|
0,22962963
|
,
|
2,82772
|
<
|
x
|
≤
|
2,85922
|
|
0,237037037
|
,
|
2,85922
|
<
|
x
|
≤
|
3,00303
|
|
0,244444444
|
,
|
3,00303
|
<
|
x
|
≤
|
3,07521
|
|
0,251851852
|
,
|
3,07521
|
<
|
x
|
≤
|
3,10164
|
|
0,259259259
|
,
|
3,10164
|
<
|
x
|
≤
|
3,16928
|
|
0,266666667
|
,
|
3,16928
|
<
|
x
|
≤
|
3,25671
|
|
0,274074074
|
,
|
3,25671
|
<
|
x
|
≤
|
3,28597
|
|
0,281481481
|
,
|
3,28597
|
<
|
x
|
≤
|
3,34642
|
|
0,288888889
|
,
|
3,34642
|
<
|
x
|
≤
|
3,41016
|
|
0,296296296
|
,
|
3,41016
|
<
|
x
|
≤
|
3,63024
|
|
0,303703704
|
,
|
3,63024
|
<
|
x
|
≤
|
3,65643
|
|
0,311111111
|
,
|
3,65643
|
<
|
x
|
≤
|
3,69538
|
|
0,318518519
|
,
|
3,69538
|
<
|
x
|
≤
|
3,7419
|
|
0,325925926
|
,
|
3,7419
|
<
|
x
|
≤
|
3,99552
|
|
0,333333333
|
,
|
3,99552
|
<
|
x
|
≤
|
3,99648
|
|
0,340740741
|
,
|
3,99648
|
<
|
x
|
≤
|
4,04007
|
|
0,348148148
|
,
|
4,04007
|
<
|
x
|
≤
|
4,17108
|
|
0,355555556
|
,
|
4,17108
|
<
|
x
|
≤
|
4,17537
|
|
0,362962963
|
,
|
4,17537
|
<
|
x
|
≤
|
4,1987
|
|
0,37037037
|
,
|
4,1987
|
<
|
x
|
≤
|
4,23384
|
|
0,377777778
|
,
|
4,23384
|
<
|
x
|
≤
|
4,28849
|
|
0,385185185
|
,
|
4,28849
|
<
|
x
|
≤
|
4,34878
|
|
0,392592593
|
,
|
4,34878
|
<
|
x
|
≤
|
4,36287
|
|
0,4
|
4,36287
|
<
|
x
|
≤
|
4,37038
|
|
0,407407407
|
,
|
4,37038
|
<
|
x
|
≤
|
4,41091
|
|
0,414814815
|
,
|
4,41091
|
<
|
x
|
≤
|
4,41184
|
|
0,422222222
|
,
|
4,41184
|
<
|
x
|
≤
|
4,43662
|
|
0,42962963
|
,
|
4,43662
|
<
|
x
|
≤
|
4,68836
|
|
0,437037037
|
,
|
4,68836
|
<
|
x
|
≤
|
4,69828
|
|
0,444444444
|
,
|
4,69828
|
<
|
x
|
≤
|
4,74369
|
|
0,451851852
|
,
|
4,74369
|
<
|
x
|
≤
|
4,78535
|
|
0,459259259
|
,
|
4,78535
|
<
|
x
|
≤
|
4,82537
|
|
0,466666667
|
,
|
4,82537
|
<
|
x
|
≤
|
4,83779
|
|
0,474074074
|
,
|
4,83779
|
<
|
x
|
≤
|
4,91703
|
|
0,481481481
|
,
|
4,91703
|
<
|
x
|
≤
|
5,00057
|
|
0,488888889
|
,
|
5,00057
|
<
|
x
|
≤
|
5,03018
|
|
0,496296296
|
,
|
5,03018
|
<
|
x
|
≤
|
5,11007
|
|
0,503703704
|
,
|
5,11007
|
<
|
x
|
≤
|
5,14062
|
|
0,511111111
|
,
|
5,14062
|
<
|
x
|
≤
|
5,16497
|
|
0,518518519
|
,
|
5,16497
|
<
|
x
|
≤
|
5,33288
|
|
0,525925926
|
,
|
5,33288
|
<
|
x
|
≤
|
5,44861
|
|
0,533333333
|
,
|
5,44861
|
<
|
x
|
≤
|
5,48787
|
|
0,540740741
|
,
|
5,48787
|
<
|
x
|
≤
|
5,50928
|
|
0,548148148
|
,
|
5,50928
|
<
|
x
|
≤
|
5,52605
|
|
0,555555556
|
,
|
5,52605
|
<
|
x
|
≤
|
5,56478
|
|
0,562962963
|
,
|
5,56478
|
<
|
x
|
≤
|
5,56805
|
|
0,57037037
|
,
|
5,56805
|
<
|
x
|
≤
|
5,58348
|
|
0,577777778
|
,
|
5,58348
|
<
|
x
|
≤
|
5,61368
|
|
0,585185185
|
,
|
5,61368
|
<
|
x
|
≤
|
5,63643
|
|
0,592592593
|
,
|
5,63643
|
<
|
x
|
≤
|
5,69005
|
|
0,6
|
,
|
5,69005
|
<
|
x
|
≤
|
5,69241
|
|
0,607407407
|
,
|
5,69241
|
<
|
x
|
≤
|
5,72166
|
|
0,614814815
|
,
|
5,72166
|
<
|
x
|
≤
|
5,78562
|
|
0,622222222
|
,
|
5,78562
|
<
|
x
|
≤
|
5,83036
|
|
0,62962963
|
,
|
5,83036
|
<
|
x
|
≤
|
5,8368
|
|
0,637037037
|
,
|
5,8368
|
<
|
x
|
≤
|
5,89302
|
|
0,644444444
|
,
|
5,89302
|
<
|
x
|
≤
|
5,90718
|
|
0,651851852
|
,
|
5,90718
|
<
|
x
|
≤
|
6,00206
|
|
0,659259259
|
,
|
6,00206
|
<
|
x
|
≤
|
6,08201
|
|
0,666666667
|
,
|
6,08201
|
<
|
x
|
≤
|
6,11441
|
|
0,674074074
|
,
|
6,11441
|
<
|
x
|
≤
|
6,11638
|
|
0,681481481
|
,
|
6,11638
|
<
|
x
|
≤
|
6,1383
|
|
0,688888889
|
,
|
6,1383
|
<
|
x
|
≤
|
6,16993
|
|
0,696296296
|
,
|
6,16993
|
<
|
x
|
≤
|
6,21837
|
|
0,703703704
|
,
|
6,21837
|
<
|
x
|
≤
|
6,27366
|
|
0,711111111
|
,
|
6,27366
|
<
|
x
|
≤
|
6,29302
|
|
0,718518519
|
,
|
6,29302
|
<
|
x
|
≤
|
6,33065
|
|
0,725925926
|
,
|
6,33065
|
<
|
x
|
≤
|
6,4407
|
|
0,733333333
|
,
|
6,4407
|
<
|
x
|
≤
|
6,57639
|
|
0,740740741
|
,
|
6,57639
|
<
|
x
|
≤
|
6,5785
|
|
0,748148148
|
,
|
6,5785
|
<
|
x
|
≤
|
6,74764
|
|
0,755555556
|
,
|
6,74764
|
<
|
x
|
≤
|
6,8004
|
|
0,762962963
|
,
|
6,8004
|
<
|
x
|
≤
|
6,83985
|
|
0,77037037
|
,
|
<
|
x
|
≤
|
6,85122
|
|
0,777777778
|
,
|
6,85122
|
<
|
x
|
≤
|
6,96927
|
|
0,785185185
|
,
|
6,96927
|
<
|
x
|
≤
|
6,97269
|
|
0,792592593
|
,
|
6,97269
|
<
|
x
|
≤
|
7,23207
|
|
0,8
|
,
|
7,23207
|
<
|
x
|
≤
|
7,2762
|
|
0,807407407
|
,
|
7,2762
|
<
|
x
|
≤
|
7,5322
|
|
0,814814815
|
,
|
7,5322
|
<
|
x
|
≤
|
7,73741
|
|
0,822222222
|
,
|
7,73741
|
<
|
x
|
≤
|
7,77274
|
|
0,82962963
|
,
|
7,77274
|
<
|
x
|
≤
|
7,78719
|
|
0,837037037
|
,
|
7,78719
|
<
|
x
|
≤
|
7,83275
|
|
0,844444444
|
,
|
7,83275
|
<
|
x
|
≤
|
7,90269
|
|
0,851851852
|
,
|
7,90269
|
<
|
x
|
≤
|
7,93882
|
|
0,859259259
|
,
|
7,93882
|
<
|
x
|
≤
|
7,99156
|
|
0,866666667
|
,
|
7,99156
|
<
|
x
|
≤
|
8,14647
|
|
0,874074074
|
,
|
8,14647
|
<
|
x
|
≤
|
8,5693
|
|
0,881481481
|
,
|
8,5693
|
<
|
x
|
≤
|
8,61395
|
|
0,888888889
|
,
|
8,61395
|
<
|
x
|
≤
|
8,73891
|
|
0,896296296
|
,
|
8,73891
|
<
|
x
|
≤
|
8,86231
|
|
0,903703704
|
,
|
8,86231
|
<
|
x
|
≤
|
8,96276
|
|
0,911111111
|
,
|
8,96276
|
<
|
x
|
≤
|
9,16552
|
|
0,918518519
|
,
|
9,16552
|
<
|
x
|
≤
|
9,18851
|
|
0,925925926
|
,
|
9,18851
|
<
|
x
|
≤
|
9,25334
|
|
0,933333333
|
,
|
9,25334
|
<
|
x
|
≤
|
9,32023
|
|
0,940740741
|
,
|
9,32023
|
<
|
x
|
≤
|
9,83298
|
|
0,948148148
|
,
|
9,83298
|
<
|
x
|
≤
|
9,85411
|
|
0,955555556
|
,
|
9,85411
|
<
|
x
|
≤
|
9,88236
|
|
0,962962963
|
,
|
9,88236
|
<
|
x
|
≤
|
10,0513
|
|
0,97037037
|
,
|
10,0513
|
<
|
x
|
≤
|
10,3057
|
|
0,977777778
|
,
|
10,3057
|
<
|
x
|
≤
|
10,4775
|
|
0,985185185
|
,
|
10,4775
|
<
|
x
|
≤
|
10,7684
|
|
0,992592593
|
,
|
10,7684
|
<
|
x
|
≤
|
11,4569
|
|
,
|
|
<
|
x
|
≤
|
11,4569
|
|
|
|
<
|
|
≤
|
|
|
|
|
<
|
|
≤
|
|
|
|
|
<
|
|
≤
|
|
|
|
|
<
|
|
≤
|
|
|
|
|
<
|
|
≤
|
|
|
|
|
<
|
|
≤
|
|
Статистическое оценивание параметров
) Получение оценок параметров методом
максимального правдоподобия:
Оценка
,
обеспечивающая по параметру
максимум функции правдоподобия,
называется оценкой максимального правдоподобия параметра
.
Интервальное оценивание параметров
Построение доверительных интервалов для
мат.ожидания уровней значимости 0.05 и 0.01:
Доверительным интервалом с уровнем
значимости
мат.ожидания
а называется интервал
, для
которого выполняется условие:
Рассмотрим статистику:
По следствию теоремы Фишера, эта
статистика t имеет распределение Стьюдента с n-1 степенями свободы.
Здесь:
,
Поскольку распределение Стьюдента
симметрично, то
:
Следовательно, доверительный
интервал для мат.ожидания а с уровнем значимости
:
Доверительный интервал для
мат.ожидания а с уровнем значимости
:
Доверительный интервал для
мат.ожидания а с уровнем значимости
:
Проверка гипотез
) Проверка гипотезы о виде
распределения:
Для проверки гипотезы примем уровень
значимости
Гипотезы:
Для проверки гипотезы используем
критерий согласия
Пирсона
=135
=13,8882
k=8 h=1,736025
S=
Вероятность находится по формуле:
|
Интервалы   
|
|
|
|
|
|
|
|
|
1
|
[-2,4313;-0,69528)
|
5
|
|
|
|
|
|
|
2
|
[-0,69528;
1,04075)
|
9
|
|
|
|
|
|
|
3
|
[1,04075;
2,776775)
|
14
|
|
|
|
|
|
|
4
|
[2,776775;
4,5128)
|
30
|
|
|
|
|
|
|
5
|
[4,5128;
6,248825)
|
37
|
|
|
|
|
|
|
6
|
[6,248825;
7,98485)
|
21
|
|
|
|
|
|
|
7
|
[7,98485;
9,720875)
|
11
|
|
|
|
|
|
|
8
|
[9,720875;
11,4569]
|
8
|
|
|
|
|
|
|
|
|
|
|
|
|
|
|
2) Проверка гипотез о каждом из параметров.
. Гипотеза о среднем.
1.1. Возьмем гипотезы
Тогда
В случае, если справедлива

Таким образом,
ВЫВОД: Нельзя считать, что данная
выборка может иметь а = 5,65769999
Возьмем гипотезы
Тогда
В случае, если справедлива
Таким образом,
ВЫВОД: нельзя считать, что данная выборка может
иметь а = 4,238944
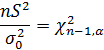
Гипотеза о дисперсии.
Возьмем гипотезы
Тогда
При справедливой гипотезе H0
Таким образом,
ВЫВОД: Нельзя считать, что данная выборка может
иметь
=
3,54688994
Возьмем гипотезы
Тогда
При справедливой гипотезе H0
статистический выборка группировка
распределение
Таким образом,
ВЫВОД: Нельзя считать, что данная выборка может
иметь
=
2,128134
Принятие статистического решения.