Золотий перетин і пропорції людини

  • Вид работы:
    Реферат
  • Предмет:
    Биология
  • Язык:
    Украинский
    ,
    Формат файла:
    MS Word
    1,21 Мб
  • Опубликовано:
    2013-03-29
Вы можете узнать стоимость помощи в написании студенческой работы.
Помощь в написании работы, которую точно примут!

Золотий перетин і пропорції людини

Міністерство освіти і науки, молоді та спорту України

Сумський державний університет









Реферат

з дисципліни: Концепції сучасного природознавства

на тему:

Золотий перетин і пропорції людини











Суми 2012

ЗМІСТ

Вступ

. Поняття «золотий перетин»

.1 Математичні властивості

.2 Золотий перетин і гармонія в мистецтві

.3 Принципи формоутворення в природі

. Пропорції людини

.1 Леонардо да Вінчі і золотий перетин

.2 Людина і золота пропорція

ВИСНОВКИ

СПИСОК ЛІТЕРАТУРИ

ВСТУП

У природі існує багато явищ які важко пояснити, одне с таких явищ це те що все в всесвіті та на нашій планеті підпорядковується золотому перетину. Всі явища природи, рослини тварини, люди, та створені людьми архітектурні, живописні, та інші елементи чітко вписуються у пропорції золотого перетину.

Дана робота присвячена розгляду таких питань, як: що таке золотий перетин, його прояви, формування, та те як він описує пропорції людського тіла.

1. Поняття «золотий перетин»

Золотий перетин (золота пропорція, ділення в крайньому і середньому відношенні) - ділення безперервної величини на дві частини в такому відношенні, при якому менша частина так відноситься до більшої, як більша до всієї величини.

У математиці та мистецтві дві величини утворюють золотий перетин, якщо співвідношення їх суми і більшої величини дорівнює співвідношенню більшої і меншої. Це відношення прийнято позначати грецькою буквою .

Золотий перетин вважається співвідношенням найвідповіднішим естетичному сприйняттю зображення, вперше запропоноване давньогрецьким математиком Евклідом. Вживається в мистецтві й архітектурі, найчастіше як золотий прямокутник. Золотий прямокутник утворюється при поділі відрізку АВ в такій точці О, що площа прямокутника, одною стороною якого є весь відрізок, а іншою - менший з відрізків, дорівнює площі квадрата з більшим відрізком як стороною (|АВ| * |OB| = =|АO|2).


Відношення більшої частини до меншої в цій пропорції виражається квадратичною ірраціональністю


і, навпаки, відношення меншої частини до більшої

Відношення двох відрізків приблизно дорівнює 13:8.

Число  деколи називають золотим числом.

Рисунок 1 - Сегменти лінії в золотому співвідношенні

Лука Пачолі, сучасник і друг Леонардо да Вінчі, називав це відношення «божественною пропорцією». Термін «золотий перетин» (goldener Schnitt) був введений в ужиток Мартіном Омом в 1835 році.

Золотий перетин має безліч чудових властивостей, але ще більше властивостей вигаданих. Багато людей прагнуть знайти золотий перетин у всьому, що між півтора і двома.

1.1 Математичні властивості

Золотий перетин  можна обчислити безпосередньо з означення:


Дане рівняння дає . Підставляючи цю рівність у ліву частину:


Скоротивши  отримаємо:


Помноживши обидві частини на  після перестановки отримаємо:

φ2 − φ − 1 = 0.

Це квадратне рівняння має два розв'язки, один з яких є додатнім


      - ірраціональне число алгебри, рішення квадратного рівняння:

x2 − x − 1 = 0, звідки, виходять співвідношення:

φ2 = φ + 1


      - представляється через тригонометричні функції:


      - представляється у вигляді нескінченного ланцюжка квадратного коріння:


      - представляється у вигляді нескінченного ланцюгового дробу

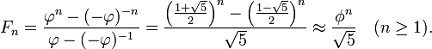
відповідними дробами якої служать відносини послідовних чисел Фібоначчі . Таким чином

При цьому члени послідовності  збігаються до  поперемінно - один елемент знизу, наступний згори і т.д. Наприклад


Формула Біне виражає за допомогою  значення числа Фібоначчі  в явному вигляді:


Окрім цього, послідовні степені числа  задовільняють рекурентному співвідношенню ідентичному до чисел Фібоначчі:


Спіраль Фібоначчі (Рисунок 2) є наближенням золотої спіралі.

Рисунок 2 - Спіраль Фібоначчі

      є знаменником геометричної прогресії, кожен член якої, починаючи з третього, рівний сумі двох попередніх.


Рисунок 3 - Золотий перетин у правильній пентаграмі

Геометрична побудова. Золотий перетин відрізка AB можна побудувати таким чином: у точці B відновлюють перпендикуляр до AB, відкладають на ньому відрізок BC, рівний половині AB, на відрізку AC відкладають відрізок CD, рівний BC, і нарешті, на відрізку AB відкладають відрізок AE, рівний AD (рисунок 3). Тоді

Рисунок 3 - Геометрична побудова золотого перетину

1.2 Золотий перетин і гармонія в мистецтві

Під «правилом золотого перетину» в архітектурі і мистецтві звичайно розуміються асиметричні композиції, що не обов'язково містять золотий перетин математично.

Є підстава вважати, що значущість золотого перетину в мистецтві перебільшена і ґрунтується на помилкових розрахунках. Деякі з таких тверджень: Пропорції піраміди Хеопса, храмів, барельєфів, предметів побуту і прикрас з гробниці Тутанхамона нібито свідчать, що єгипетські майстри користувалися співвідношеннями золотого перетину при їх створенні.

Згідно Ле Корбюзье, в рельєфі з храму фараона Сеті I в Абідосі і в рельєфі, що зображає фараона Рамзеса, пропорції фігур відповідають золотому перетину. У фасаді старогрецького храму Парфенона також присутні золоті пропорції (рис.4). У циркулі з давньоримського міста Помпеї (музей в Неаполі) також закладені пропорції золотого ділення, і т.д.

Рисунок 4 - Храм Парфенона

При обговоренні оптимальних співвідношень сторін прямокутників (розміри листів паперу A0 і кратні, розміри фотопластин (6:9, 9:12) або кадрів фотоплівки (часто 2:3), розміри кіно і телевізійних екранів - наприклад, 3:4 або 9:16) були випробувані самі різні варіанти. Виявилось, що більшість людей не сприймають золотий перетин як оптимальне і вважає його пропорції «дуже витягнутими»

1.3 Принципи формоутворення в природі

Все, що набувало якоїсь форми, утворювалося, росло, прагнуло зайняти місце в просторі і зберегти себе. Це прагнення знаходить здійснення в основному в двох варіантах - зростання вгору або розстилання по поверхні землі і закручування по спіралі.

Раковина закручена по спіралі. Якщо її розвернути, то виходить довжина, трохи поступлива довжині змії. Невелика десятисантиметрова раковина має спіраль завдовжки 35 см. Спіралі дуже поширені в природі. Уявлення про золотий перетин буде неповним, якщо не сказати про спіраль (рис.5).

Рисунок 5 - Спіраль Архімеда

Форма спіральний скрученої раковини привернула увагу Архімеда. Він вивчав її і вивів рівняння спіралі. Спіраль, викреслена по цьому рівнянню, називається його ім'ям. Збільшення її кроку завжди рівномірно. В даний час спіраль Архімеда широко застосовується в техніці.

Ще Гете підкреслював тенденцію природи до спіральності. Гвинтоподібне і спіралевидне розташування листя на вітках дерев помітили давно. Спіраль побачили в розташуванні насіння соняшнику, в шишках сосни, ананасах, кактусах і т.д. Спільна робота ботаніків і математиків пролила світло на ці дивовижні явища природи. З'ясувалося, що в розташуванні листя на вітці (філотаксис), насіння соняшнику, шишок сосни проявляє себе ряд Фібоначчі, а отже, проявляє себе закон золотого перетину. Павук плете павутину спіралеподібний. Спіраллю закручується ураган. Перелякане стадо північних оленів розбігається по спіралі. Молекула ДНК закручена подвійною спіраллю. Гете називав спіраль «кривого життя».

У ящірці (рис. 6) з першого погляду уловлюються приємні для нашого ока пропорції - довжина її хвоста так відноситься до довжини решти тіла, як 62 до 38.

Рисунок 6 - Ящірка

І в рослинному, і в тваринному світі наполегливо пробивається формоутворювальна тенденція природи - симетрія щодо напряму зростання і руху. Тут золотий перетин виявляється в пропорціях частин перпендикулярно до напряму зростання. Природа здійснила ділення на симетричні частини і золоті пропорції. У частинах виявляється повторення будови цілого.

2. Пропорції людини

У 1855 р. німецький дослідник золотого перетину професор Цейзінг опублікував свою працю «Естетичні дослідження». З Цейзінгом відбулося саме те, що і повинне було неминуче відбутися з дослідником, який розглядає явище як таке, яке звязане з іншими явищами. Він абсолютизував пропорцію золотого перетину, оголосивши її універсальної для всіх явищ природи і мистецтва. У Цейзінга були численні послідовники, але були і супротивники, які оголосили його вчення про пропорції «математичною естетикою».

Цейзінг виконав колосальну роботу. Він зміряв близько двох тисяч людських тіл і дійшов висновку, що золотий перетин виражає середній статистичний закон. Ділення тіла точкою пупа - найважливіший показник золотого перетину. Пропорції чоловічого тіла коливаються в межах середнього відношення 13 : 8 = 1,625 і дещо ближче підходять до золотого перетину (рис.7), чим пропорції жіночого тіла, відносно якого середнє значення пропорції виражається в співвідношенні 8 : 5 = 1,6. У новонародженого пропорція складає відношення 1 : 1, до 13 років вона рівна 1,6, а до 21 року стає чоловічою. Пропорції золотого перетину виявляються і відносно інших частин тіла - довжина плеча, передпліччя і кисті, кисті і пальців і т.д.

Справедливість своєї теорії Цейзінг перевіряв на грецьких статуях. Найдетальніше він розробив пропорції Аполлона Бельведерського (рис. 8). Піддалися дослідженню грецькі вази, архітектурні споруди різних епох, рослини, тварини, пташині яйця, музичні тони, віршовані розміри. Цейзінг дав визначення золотому перетину, показав, як воно виражається у відрізках прямої і в цифрах. Коли цифри, що виражають довжини відрізків, були одержані, Цейзінг побачив, що вони складають ряд Фібоначчі, який можна продовжувати до безкінечності в одну і в іншу сторону. Наступна його книга мала назву «Золоте ділення як основний морфологічний закон в природі і мистецтві».

Рис. 7. Золоті пропорції в фігурі чоловіка

золотий пропорція математичний технічний біологічний

Рис. 8 Пропорції Аполлона Бельведерського

В кінці XIX - початку XX вв. з'явилося немало чисто формалістичних теорій про застосування золотого перетину у витворах мистецтва і архітектури. З розвитком дизайну і технічної естетики дія закону золотого перетину розповсюдилася на конструювання машин, меблів і т.д.

2.1 Леонардо да Вінчі і золотий перетин

Вітрувіанська людина - малюнок, зроблений Леонардо да Вінчі приблизно в 1490-92 роках, що супроводжується написами, пояснень, в одному з його журналів. На ньому зображена фігура голого чоловіка в двох накладених одна на одну позиціях: з розведеннями в сторони руками, що описують круг і квадрат (рис.9).

Малюнок і текст іноді називають канонічними пропорціями. При дослідженні малюнка можна відмітити, що комбінація рук і ніг насправді складає чотири різні пози.

Рис.9 - Вітрувіанська людина

Поза з розведеннями в сторони руками і не розведеними ногами, вписується в квадрат ("Квадрат Стародавніх").

З іншого боку, поза з розкинутими в сторони руками і ногами, вписується в круг. І хоча, при зміні поз, здається, що центр фігури рухається, насправді, пуп фігури, який є сьогоденням її центром, залишається нерухомим.

Портрет Мони Лізи (Джоконда) Леонардо та Вінчі привертає тим, що композиція малюнка побудована на "золотих трикутниках", точніше на трикутниках, що є шматками правильного зірчастого п'ятикутника.(Рис. 10)

Рис.10 Портрет Мони Лізи (Джоконда)

2.2 Людина і золота пропорція

Дивовижні властивості золотої пропорції (золотого перетину) відомі з античних часів. Вже тоді стародавні архітектори, скульптори і художники застосовували їх в своїй творчості. Про те, що це не проста пропорція, свідчить увага до неї багатьох видатних учених і мислителів: Піфагора, Леонардо да Вінчі, Дюрера, Кеплера і інших. З часом увага до золотої пропорції то слабшало, то зростало з новою силою, і кожного разу на хвилі такої уваги з'являлися нові ідеї і результати, які приводили в захоплення одних дослідників і прихильників вивчення дивовижних властивостей золотої пропорції і породжували злобну критику інших, що убачають в встановлюваних результатах прояв містично-магічних спекуляцій.

На золоту пропорцію звернули увагу відомий російський композитор Л. Сабанєєв і мистецтвознавець Э. Розенов. Їх дослідження по гармонії музичних і поетичних творів видатних композиторів і поетів попереднього періоду переконливо показали, що золота пропорція є деяким нормативом творчості. Причому було встановлено, що чим геніальніший автор, тим з вищою точністю основні його твори, що одержуються в процесі творчості інтуїтивно, можуть бути підраховані за допомогою золотої пропорції.

Останнім часом увага до золотої пропорції прикована знов. З'явилися роботи в багатьох областях знань (математика, астрономія, механіка твердого тіла, що деформується, хімія, фізіологія людини і ін.), де виявлено прояв золотої пропорції в багатьох явищах фізичної і біологічної природи.

Зупинимося тільки на тих проявах золотого перетину, які пов'язані з людиною.

При аналізі канонів фігури людини, розроблених художниками і скульпторами всіх часів і народів, була встановлена велика кількість взаємозв'язків із золотою пропорцією. Основними з них є носіння частин тіла дорослої людини, розділеної пуповиною, які рівні d.

Відомий ряд робіт, пов'язаних з вивченням деяких фізіологічних функцій людини. А. Соколов встановив прояв закону золотої пропорційності в електричних коливаннях, що відбуваються в мозку людини. Основні клітки крові ерітроцити у відношенні до лейкоцитів і тромбоцитам - збалансовані в організмі здорової людини в тій же пропорції. У такому ж відношенні знаходяться показники змісту кисню в кров артеріальної і венозної систем, а також кількість основних білків: альбумінів і глобуліну. Яскраво виявляється золотий перетин в лейкоцитарній формулі крові дитини. Вже на четвертий день життя структура білої крові дитини стабілізується до норми, відповідної гармонійному стану здорової людини. Золотій пропорції задовольняє і розподіл людей по групах крові. К. Симонян використовував золотий перетин в діагностиці і лікуванні деяких форм гострих захворювань, ускладнених перитонітом. По ступеню зсуву вліво відносини плазматичного об'єму крові до глобулярного, рівному золотій пропорції у здорової людини, судять про тяжкість перебігу цієї хвороби.

Відомості, приведені вище, спонукають до систематичного і цілеспрямованого пошуку інших проявів золотого перетину в різних фізіологічних ритмах і функціях людини і його чисельних параметрів. В результаті такого пошуку вдалося виявити ряд цікавих фактів, які свідчать про те, що золота пропорція служить критерієм оптимальності у виборі сприятливих для людського організму параметрів багатьох фізіологічних і ергономічних функцій.

Наприклад, температура. Оптимальні параметри тіла людини виходять в результаті ділення діапазону температур від 0 (температура замерзання води) до 58 (максимальна температура, зареєстрована на Землі) золотим перетином - 58:2,618*22 C, 58:1,618*36 С. Перша межа є найбільш сприятливою температурою для організму людини, друга відповідає температурі його тіла. Ці дві межі зв'язані між собою також золотою пропорцією: 36,6:1,618=22,6 С.

При температурі нижче 12 і вище 25 погіршується розумова і фізична діяльність. Усередині вказаного інтервалу є дві границі 17 і 20 градусів, між якими знаходяться найбільш сприятливі температури для легкої фізичної роботи. Ці межі також можна одержати за допомогою золотої пропорції.

Найбільш висока температура, яку людина може витримати в сухій печі не більше 19 мік., рівна 130С. Якщо розділимо цю температуру відносно ряду золотого перетину то одержимо характерні межі: 50, 30, 19С, встановлені дослідженнями фізіологів праці. 50С - межа, вище за яку не може бути температура у виробничому приміщенні; 30С - межа безпечної і легкої ефективної роботи; 19С - оптимальна температура для легкої роботи. Аналогічні межі можна встановити і при аналізі негативних температур.

При температурі повітря 17С починається охолоджування тіла, при 25С тіло поглинає більше тепла, ніж втрачає. Ділення цього інтервалу золотим перетином дає температуру, що відповідає комфортному стану організму 20-22 С.

Або вологість повітря. На здоров'ї людини негативно впливає дуже висока - вище 85 відсотків і дуже низька - нижче 25 відсотків вологість. Оптимальним показником вологості вважається від 40 до 60 відсотків. Ці показники виходять з граничних меж ділення інтервалу між золотим перетином. Ті ж результати виходять з ділення гранично можливих показників вологості (0-100 відсотків).

Кожна людина володіє порогом чутності (найменша інтенсивність звуку, що сприймається вухом) і больовим порогом (звук сприймається як відчуття болю). Інтервал гучності, що сприймається вухом людини, рівний приблизно 140 децибелам. Якщо розділимо цей інтервал відносно членів ряду золотого перетину d то одержимо наступні межі: 86, 53, 33, 20 децибел. Ці межі співпадають з характерними параметрами гучності: 100 дб - гучність крику, 50-гучність розмови. У свою чергу гучності 85 і 33 дб. відповідають двом межам, встановленим фізіологами праці: перша відповідає гранично допустимому рівню гучності на робочому місці, друга - максимальній величині гучності, що не впливає на організм людини.

Працездатність людини характеризується двома підйомами і двома спадами протягом доби, тобто доба ділиться на два характерні періоди. Перший пік підйому відповідає 9-10 часам, другий - 18-19 годинам; перший мінімум доводиться на 0-1 годину, другу - на 15 годин. Якщо розділимо тривалість доби золотим перетином, то одержимо два періоди - 9,2 і 14,8 години. Розділивши кожний з періодів золотим перетином, одержимо ще дві межі ділення доби в часі по працездатності. Можна легко переконатися, що одержані чотири межі часу співпадають з вказаними вище екстремальними значеннями працездатності.

Якщо побудувати графік зміни температури тіла людини протягом доби, то одержимо аналогічні піки, що і для графіка працездатності, які узгоджуються із законом золотої пропорційності.

Кремі приведених відомостей отримано ще багато цікавих результатів, що стосуються ергономічних параметрів людини.

Таким чином, функціональний зв'язок між оптимальними параметрами функцій і ритмів людини і золотою пропорцією об'єктивно існує, і цю закономірність можна сформулювати таким чином: сприятливі параметри різних фізіологічних функцій і ритмів організму людини можуть бути одержані шляхом ділення золотим перетином діапазону між гранично можливими або гранично допустимими межами функціональних характеристик. У зв'язку з викладеним закон золотого перетину можна рекомендувати як метод дослідження фізіологічних функцій і ритмів людини.

Золотий перетин в пропорціях людини, також часто зустрічається в культурах різних народів по всьому світу. Наприклад в Єгипті коли говорили про красу людини то вважалося що красива людина чітко вписується в пропорції золотого перетину. Всім відомо що цариця Нефертіті вважалася найкрасивішою жінко Єгипту, адже пропорції її обличчя чітко співпадали с пропорціями золотого перетину це можна спостерігати на рисунку 11. Також всі скульптури фараонів, Богів, тварин теж вписувалися в золотий перетин.

Рисунок 11 - Пропорції Нефертіті

Розглядаючи культуру стародавнього сходу можна також спостерігати дану тенденцію, в пропорціях людини (рис. 12)

Рисунок 12 - Золотий перетин в культурі стародавнього сходу

Висновок

В даній роботі була розглянута тема золотого перетину, та пропорцій людини. Можна зробити висновок що закономірності золотого перетину виявляються в енергетичних переходах елементарних частинок, в будові деяких хімічних сполук, в планетарних і космічних системах, в генних структурах живих організмів. Ці закономірності, як вказано вище, є в будові окремих органів людини і тіла в цілому, а також виявляються в біоритмах і функціонуванні головного мозку і зорового сприйняття.

1. Ковалев Ф.В. Золотое сечение в живописи. К.: Выща школа, 1989.

. Кеплер И. О шестиугольных снежинках. - М., 1982.

. Дюрер А. Дневники, письма, трактаты - Л., М., 1957.

. Цеков-Карандаш Ц. О втором золотом сечении. - София, 1983.

. Стахов А. Коды золотой пропорции

6. <http://ru.wikipedia.org/wiki/Золотое_сечение>


Не нашли материал для своей работы?
Поможем написать уникальную работу
Без плагиата!
Без нейросетей!